Биномиальные коэффициенты

  • Вид работы:
    Дипломная (ВКР)
  • Предмет:
    Математика
  • Язык:
    Русский
    ,
    Формат файла:
    MS Word
    349,84 kb
  • Опубликовано:
    2011-10-10
Вы можете узнать стоимость помощи в написании студенческой работы.
Помощь в написании работы, которую точно примут!

Биномиальные коэффициенты

Содержание

Введение

. Сочетания

.1 Число Ckn

.2 Свойства

.3 Упражнения

. Бином Ньютона

.1 Треугольник Паскаля

.2 Свойства

.3 Алгоритм вычисления биномиальных коэффициентов

.4 Упражнения

3. Комбинаторные тождества

Заключение

Список литературы

Введение

Как известно, биномиальные коэффициенты изучаются в разделе комбинаторика.

Комбинаторика возникла в XVI веке. В жизни привилегированных слоёв тогдашнего общества большое место занимали азартные игры. В карты и кости выигрывались и проигрывались золото и бриллианты, дворцы и имения, породистые кони и дорогие украшения. Широко были распространены всевозможные лотереи. Понятно, что первоначально комбинаторные задачи касались в основном азартных игр - вопросов, сколькими способами можно выбросить данное число очков, бросая две или три кости, или сколькими способами можно получить двух королей в данной карточной игре. Эти и другие проблемы азартных игр явились движущей силой в развитии комбинаторики и развивавшейся одновременно с теорией вероятностей.

Целью моей работы является проектирование содержания темы "Биномиальные коэффициенты" как элемента стохастической линии в курсе школьной математики.

Задачи при достижении этой цели ставятся следующие:

разработать содержание темы "Сочетания и число сочетаний";

разработать содержание темы "Бином Ньютона и свойства биномиальных коэффициентов" .

1. Сочетания

1.1 Числа Сkn

Пусть X - множество, состоящее из n элементов. Любое подмножество Y множества X, содержащее k элементов, называется сочетанием k элементов из n; при этом, разумеется, k ≤ n.

Число различных сочетаний k элементов из n обозначается Сnk . Одной из важнейших формул комбинаторики является следующая формула для числа Сnk :


Её можно записать после очевидных сокращений следующим образом:


В частности,


Это вполне согласуется с тем, что в множестве X имеется только одно подмножество из 0 элементов - пустое подмножество.

Приведём доказательство формулы (2). Пусть Y - какое-либо подмножество множества X , содержащее k элементов. Составив всевозможные перестановки из этих элементов, получим k! различных строк длинной k. Если указанную операцию проделать с каждым подмножеством Y, содержащим k элементов, то получим всего Cnk · k! различных строк длинной k . Но очевидно, что таким путём должны получиться все без исключения строки длиной k без повторений, которые можно составить из элементов множества X. поскольку число таких строк равно Ank , то имеем соотношение Cnk · k! = An , из которого следует Cnk =Akn, т.е. формула (2).

1.2 Свойства

Числа Cnk обладают рядом замечательных свойств. Эти свойства в конечном счёте выражают различные соотношения между подмножествами данного множества X. Их можно доказывать непосредственно, исходя из формулы (1), но более содержательными являются доказательства, опирающиеся на теоретико-множественные рассуждения.

1.   Справедлива формула

Сnk = Сn-kn , (3)

Вытекающая из (1) очевидным образом. Смысл формулы (3) состоит в том, что имеется взаимно-однозначное соответствие между множеством всех k-членных подмножеств из X и множеством всех (n - k)-членных подмножеств из X: чтобы установить это соответствие, достаточно каждому k-членному подмножеству Y сопоставить его дополнение в множестве X.

2.   Справедлива формула

С0n + С1n + С2n + … + Сnn = 2n . (4)

Поскольку сумма, стоящая в левой части, выражает собой число всех подмножеств множества X (C0n есть число 0-членных подмножеств, C1n - число 1-членных подмножеств и т.д.), то для доказательства формулы (4) достаточно сослаться на уже известный читателю факт: число различных подмножеств n-членного множества X равно 2n.

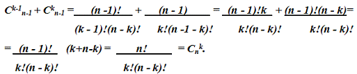
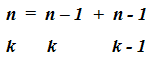
3.   При любом k, 1≤ k≤ n , справедливо равенство

Ckn = Cn-1k + Cn-1k-1. (5)

Это равенство нетрудно получить с помощью формулы (1). В самом деле,


Вывод формулы (5), основанный на теоретико-множественных соображениях. Укажем, что для этого следует выделить какой-то определённый элемент а є X и все k-членные подмножества разбить на две группы: подмножества, содержащие а , и подмножества, не содержащие а.

4.   Арифметический треугольник Паскаля.

Равенство (5) позволяет вычислять значения Cnk, если известны Сn-1k и Сk-1n-1 . Иными словами, с помощью этого равенства можно последовательно вычислять Сnk сначала при n = 1, затем при n = 2, n = 3 и т.д. Вычисления удобно записывать в виде треугольной таблицы:

в (n + 1) строке которой по порядку стоят числа С0n, С1n, …, Сnn . При этом крайние числа строки, т.е. С0n и Сnn , равны 1, а остальные числа находяться по формуле (5). Поскольку Сk-1n-1 и Сkn-1 распологаются в этой таблице строкой выше, чем число Сkn , и находяться в этой строке слева и справа от него, то для получения числа Сkn надо сложить находящиеся слева и справа от него числа предыдущей строки. Например, число 10 в шестой строке мы получаем, сложив числа 4 и 6 пятой строки. Указанная таблица и есть как раз "арифметический треугольник Паскаля".

. Задача. Пусть n и k - два целых числа, при чём n > 0, k ≥0. сколько существует различных строк длиной n, состоящих из букв а и b , с условием, что в каждой из этих строк буква а встречается k раз .(и, следовательно, b-n-k раз)?

Решение. Пусть (x1, x2, ..., xn) - одна из строк указанного вида. Рассмотрим все номера i , такие, что xi = а. Совокупность таких номеров является подмножеством множества М = {1, 2, …, n}, состоящим из k элементов. Обратно, если Y - любое подмножество множества М, состоящее из k элементов, то, положив xi = а для всех i є Y и xi = b для всех i є Ŷ, получим строку (x1, x2, ..., xn) требуемого вида. Значит, число указанных в задаче строк равно числу k-элементных подмножеств в n-элементном множестве М, т.е. равно числу Сnk .

1.3 Упражнения

. Вычислите C83.

Решение.


Ответ: 56.

II. Вычислите С94.

Решение.


Ответ: 126.

III.

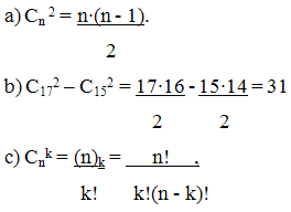
a) По какой формуле вычисляется Сn2?

b) Вычислите С172 - С152.

c) По какой формуле вычисляется Сnk?

d) Вычислите С173 - С154.

Решение.


где (n)k - убывающий k-факториал от n, т.е. произведение k убывающих натуральных чисел, начиная с n:

Ответ: b) 31; d) -685.


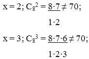
а) Cx3 = 2∙Cx2;

b) Cxx-2 = 15;

c) Cx2 + Cx+12 = 49;

d) C8x = 70.

Решение.

а) Сx3 = 2∙Cx2;

- 2 = 6;= 8.) Cxx-2 = 15;xx-2 = Cxx-x+2 = Cx2;∙(x - 1) = 30 = 6∙5;= 6.) Cx2 + Cx+12 = 49;∙(x - 1) + (x + 1)∙x = 98;x = 98;2 = 49; x € N;= 7.) C8x = 70;= 1; C81 = 8 ≠ 70;

 = 4; C84 = 8∙7∙6∙5 = 2∙7∙5 = 70.

Искомое значение x = 4.

Ответ: а) 8; b) 6; c) 7 d) 4.

2. Бином Ньютона

Из школьного курса читателю известны формулы:

(а + b)2 = a2 + 2ab + b2,

(a + b)3 = a3 +3a2b + 3ab2 + b3.

Обобщением этих формул является следующая формула, называемая обычно формулой бинома Ньютона:

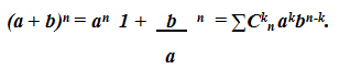
(a + b)n = C0n a0bn + C1n abn-1 + C2n a2bn-2 + ... + Cn-1n an-1b + Cnn anb0. (6)

В этой формуле может быть любым натуральным числом.

Вывод формулы (6) несложен. Прежде всего запишем:

(a + b)n = (a + b)(a + b) ... (a + b), (7)

где число перемножаемых скобок равно n. Из обычного правила умножения суммы на сумму вытекает, что выражение (7) равно сумме всевозможных произведений, которые можно составить следующим образом: любое слагаемое первой из сумм а + b умножается на любое слагаемое второй суммы a +b, на любое слагаемое третьей суммы и т.д. Hапример, при n = 3 имеем:

(a +b)(a + b)(a + b) = aaa + aab + aba + abb + baa + bab + bba + bbb.

Из сказанного ясно, что слагаемым в выражении для (a + b)n соответствуют (взаимно-однозначно) строки длиной n, составленные из букв а и b. Среди слагаемых будут встречаться подобные члены; очевидно, что таким членам соответствуют строки, содержащие одинаковое количество букв а. Но число строк, содержащих ровно k раз букву а, равно Сkn . Значит, сумма всех членов, содержащих букву а множителем ровно k раз, равна Сnk akbn-k. Поскольку k может принимать значения 0, 1, 2, …, n-1, n, то из нашего рассуждения следует формула (6).

Заметим, что (6) можно записать короче: (a + b)n = ∑Ckn akbn-k. (8)

Хотя формулу (6) называют именем Ньютона, в действительности она была открыта ещё до Ньютона (например, её знал Паскаль). Заслуга Ньютона состоит в том, что он нашёл обобщение этой формулы на случай не целых показателей.

Числа С0n, C1n, ..., Cnn, входящие в формулу (6), принято называть биномиальными коэффициентами, которые определяются так:


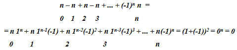
Из формулы (6) можно получить целый ряд свойств этих коэффициентов. Например, полагая а =1, b = 1, получим:

n = C0n - C1n + C2n - C3n + ... +Cnn,

т.е. формулу (4). Если положить а = 1, b = -1, то будем иметь:

= С0n - C1n + C2n - C3n + ... + (-1)nCnn или С0n + C2n + C4n + ... = C1n + C3n + + C5n + ... .

Докажем формулу (8). Рассмотрим функцию f(x) = (1 + x)n. Это многочлен n-ой степени, то есть

(1 + x)n = anxn + an-1xn-1 + ... + a1x + a0.

Найдём коэффициенты an, an-1, ..., a1, a0, вычислив значения функции и всех её производных от 1-го до n-го порядка при x = 0. Получим, что производная k-го порядка с одной стороны равна

f (k)(x) = (1 + x)(k) = n(n - 1)· ... ·(n - k + 1)(1 + x)(n-k).

С другой стороны, она равна

 (k)(x) = n( n - 1)· ... ·(n - k)anxn-k + ... + k!ak,

При x = 0 получим равенство

(n - 1)· ... ·(n - k + 1) = k!ak

отсюда


При всех k = 1, 2, …, n.

Тогда

(1 + x)n = C0 nxn + C1n xn-1 + ... + Ckn xn-k + ... + Cnn x0

или короче

(1 + x)n = ∑Ckn xn-k,

Отсюда


.1 Треугольник Паскаля

Коэффициент в разложении (a + b)n при an-kbk обозначается k. Это обозначение в 1778 г. Ввёл Л. Эйлер. Таким образом, можно записать разложение бинома так:


Соответственно,


Разумеется, можно вычислить все биномиальные коэффициенты для любого n путём непосредственного перемножения n множителей (a + b), раскрытия скобок и приведения подобных членов. Правда, математикам древности и среднековья сделать это мешало отсутствие алгебраической символики. Например, в одном средневековом математическом тексте, имевшем хождение в Западной Европе в XV в. и, по-видимому, восходящем к арабам, биномиальные коэффициенты вычисляются очень наглядно путём возведения в степени числа 10001 и приводятся в виде таблицы.

Таблица 1. степень числа 1001 воспроизводит биномиальные коэффициенты.


Ат-Тутси (XIII в.) располагал таблицей биномиальных коэффициентов до n = 2 и, что важнее, привёл общее правило для их получения, которое в современных обозначениях может быть выражено так:


Доказательство:

Благодаря данному правилу можно вычислять биномиальные коэффициенты последовательно для всех больших степеней n: а именно, k-й коэффициент бинома степени n равен сумме k-го и (k-1)-го коэффициентов степени (n-1). К этому следует добавить, что в биноме степени n первый (точнее, нулевой, k = 0) и последний (k = n) коэффициенты - т.е. коэффициенты при an и при bn - оба равны 1(при перемножении n множителей (a + b) член an получается единожды, а именно, при перемножении n раз чисел a; то же верно и для члена bn).

Если записать биномиальные коэффициенты n в виде таблицы со строками n и столбцами k, то каждая строка будет начинаться и заканчиваться единицей, а каждое промежуточное число строки будет равняться сумме двух чисел предыдущей строки - того, что стоит непосредственно над ним, и то, что стоит левее:

Таблица 2. Биномиальные коэффициенты.


Не трудно видеть, что каждая строка данной таблицы симметрична: n = n , т.к. коэффициенты при akbn-k и an-kbk в разложении бинома совпадают. Полученный числовой треугольник называется треугольником Паскаля. Таблицы биномиальных коэффициентов были известны и предшествующим математикам - китайским, арабским и европейским (П. Аппиан, 1527 г.; М. Штифель, 1544 г.; Н. Тарталья, 1556 г.). Однако именно благодаря работе Паскаля "Тракт о арифметическом треугольнике", опубликованной уже после смерти автора (в 1665 г.), свойства биномиальных коэффициентов получили широкую известность. Правда сам Паскаль (и многие его предшественники) рисовали этот треугольник несколько иначе, с "повышенными" столбцами и прямым углом при вершине:

Таблица 3. Треугольник Паскаля.


В такой таблице числа, соответствующие разложению бинома степени n, стоят не вдоль одной и той же строки, а вдоль одной и той же восходящей диагонали. Все восходящие диагонали, а значит, и вся таблица симметрична относительно главной нисходящей диагонали - "биссектрисы прямого угла". Каждое число в таблице (кроме единиц, находящихся на верхнем и левом краях), равняется сумме двух чисел, стоящих от него сверху и слева.

Вот ещё несколько свойств таблицы 3, доказанных Паскалем:

Интересно свойство делимости чисел, составляющих треугольник Паскаля. Если обозначить одним цветом числа, делящиеся нацело на какое-нибудь натуральное число, а другим - делящиеся с остатком, получается неожиданные узоры. Некоторые из них составлены из равных разноцветных треугольников - это результат деления на простые числа. Другие же похожи на фракталы. Почему? Числа, стоящие вдоль одной и той же строки (столбца) на таблице, так же интересны. То, что в нулевой строке и нулевом столбце стоят единицы, очевидно. Очевидно и то, что на первой строке и первом столбце стоят подряд все натуральные числа: 1, 2, 3, 4 и т.д.

А вот что за числа стоят на второй строке (столбце)? Оказывается, эти числа имеют своё название, причём носят его с глубокой древности - это треугольные числа. А числа на третьей строке (столбце) - пирамидальные числа, равные сумме треугольных.


Если обратиться к форме треугольник Паскаля, представленный в таблице 2, и рассмотреть её столбцы и нисходящие диагонали, то это рассмотрение ничего не даст: фактически, столбцы у таблиц 2 и 3 одни и те же, а нисходящие диагонали таблицы 2 совпадают со строками таблицы 3. Строки же таблицы 2 совпадают с восходящими диагоналями таблицы 3. Последовательность (1, 1, 2, 3, 5, 8, …), полученная при разборе восходящих диагоналей: 1; 1; 1+1 = 2; 1+2 = 3; 1+3 = 5, 1+3+1 = 5; 1+4+3 = 8 и т.д., обладает тем свойством, что каждое число в ней равно сумме двух предыдущих. Эти числа носят название чисел Фибоначчи и обладают многими интересными математическими свойствами, возникая в самых неожиданных задачах.

Гораздо проще вопрос о том, чему равны суммы чисел, стоящих на каждой из строк таблицы 2 ( и ли на каждой из восходящих диагоналей таблицы 3).


Ещё один вопрос - чему равна сумма:


в которой все биномиальные коэффициенты степени n>0 c нечётными номерами взяты со знаком плюс, а с чётными - со знаком минус?

Ответ:


Чрезвычайно важное свойство биномиального разложения связано с тем, что его коэффициенты n , оказывается, представляют собой не что иное, как числа сочетаний по k элементов из множества с n элементами.

Приведём одно из свойств, связанных с делимостью биномиальных коэффициентов. Рассмотрим таблицу 2. Легко видеть, что все числа её 5-й строки, кроме крайних единиц, делятся на 5; все числа 7-й строки, кроме крайних единиц, делятся на 7. Очевидно, у 2-й и 3-й строки есть такое же свойство. А у остальных, легко видеть, такого свойства нет. Что объединяет числа 2, 3, 5 и 7 и отличает их от других чисел первого десятка? Верно, все они простые. Можно доказать, что, действительно, все числа n-ой строки треугольника Паскаля (в форме таблицы 2), кроме крайних единиц, делятся на n тогда и только тогда, когда n простое.

Еще одно красивое свойство треугольника Паскаля (в форме таблицы 2) связано с вопросом, сколько нечётных чисел содержит n-я строка. Оказывается, число этих нечётных чисел всегда равно 2k, где k - число единиц в двоичной записи числа n.

И наконец приведём сравнительно недавно, в общем, то, случайно обнаруженное свойство треугольника Паскаля, связывающее его с простыми числами (Г.В. Манн, Д. Шенкс, 1972г.). запишем строки треугольника Паскаля (в форме таблицы 2), каждый раз сдвигая строки в право на две позиции.

Таблица 4. Связь ряда простых чисел и треугольника Паскаля.

Числа, стоящие в таблице, выделены, если они делятся на номер строки. Числа в нижней строке, нумерующие столбцы, выделены, если в этом столбце все числа выделены. Выходит, что выделенные номера столбцов в точнсти соответствуют простым числам.

.2 Свойства

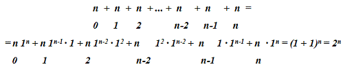
1. Сумма коэффициентов разложения (a + b)n равна 2n.

Для доказательства достаточно положить a = b = 1. Тогда в правой части разложения бинома мы будем иметь сумму биномиальных коэффициентов, а слева: (1 + 1)n = 2n.

.Коэффициенты членов, равноудалённых от концов разложения, равны. Это свойства следует из соотношения: Ck = Cn-k.

.Сумма коэффициентов чётных членов разложения равна сумме коэффициентов нечётных членов разложения; каждая из них равна 2n-1.

Для доказательства воспользуемся биномом: (1 - 1)n = 0n = 0. здесь чётные члены имеют знак "+", а нечётные - "-". Так как в результате разложения получается 0, то следовательно, суммы их биномиальных коэффициентов равны между собой, поэтому каждая из них равна: 2n : 2 = 2n-1, что и требовалось доказать.

2.3 Алгоритмы вычисления биномиальных коэффициентов

 

·        Биномиальные коэффициенты могут быть вычислены с помощью формулы , если на каждом шаге хранить значения при . Этот алгоритм особенно эффективен, если нужно получить все значения при фиксированном n. Алгоритм требует O(n) памяти (O(n2) при вычислении всей таблицы биномиальных коэффициентов) и O(n2) времени (в предположении, что каждое число занимает единицу памяти и операции с числами выполняются за единицу времени).

·        Второй способ основан на тождестве . Он позволяет вычислить значения при фиксированном k. Алгоритм требует O(1) памяти (O(l) если нужно посчитать l последовательных коэффициентов с фиксированным k) и O(k) времени.

2.4 Упражнения

.

a)   Проверьте, что (а + b)2 = C20a2b0 + C12a1b1 + C22a0b2.

b)      Проверьте, что (а + b)3 = C03a3b0 + C13a2b1 + C23a1b2 + C33a0b3.

c) Используя равенство (а + b)4 = (a + b)3·(a + b), выведите формулу сокращённого умножения для суммы двух чисел в четвёртой степени.

d) Проверте, что (a + b)4 = C04a4b0 + C14a3b1 + C24a2b2 + C34a1b3 + C44a0b4.

Решение:

a)   (a +b)2 = a2 + 2ab + b2 = C02a2b0 + C 12a1b1 + C22a0b2.

b)      (a + b)3 = a3 + 3a2b + 3ab2 + b3 = C03a3b0 + C13a2b1 + C23a1b2 + C33a0b3.)  (a + b)4 = (a + d)3·(a + b) = (a3 + 3a2b + 3ab2 b3)·(a + b) = a4+4a3b + + 6a2b2+ 4ab3+ b4.) (a +b)4 =a4 + 4a3b + 6a2b2 + 4ab3 + b4 = C04a4b0 + C14a3b1 + C24a2b2 + C34a1b3 + C44a0b4.

Решённые примеры являются частными случаями бинома Ньютона.

II.

a) Составьте таблицу из двух строк, расположив в первой строке k от 0 до 5, во второй строке - числа Ck5.

b) При каком значении числа k получится наибольшее значение числа Ck5?

c) Найдите сумму чисел во второй строке составленной таблицы.

d) Отметьтье на координатной плоскости точки (k, Ck5).

Решение.

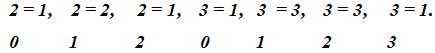
а) Вторая строка в таблице будет пятой строкой в треугольнике Паскаля:

k

0

1

2

3

4

5

Ck5

1

5

10

10

5

1

) Наибольшее значение Сk5 получается при двух значениях k =2 и k = 3, т.е. при [5/2] и при [5/2]+1 (в квадратных скобках записываем целую часть числа, т.е. наибольшее целое, не превосходящее 5/2). В данном случае n = 5 - нечётное число.

c)   Сумма чисел во второй строке составленной таблицы равна 32 = 25 (свойство биномиальных коэффициентов ∑Сkn = 2n).

d)      Точки (k, Ck5) на координатной плоскости:

Ответ: c)2; 3; d) 32.

III. Решите уравнения:

а) 14 Cnn-2= 15A2n-3;) 6Cnn-3= 11A2n-1;) 13C2nn+1= 72n+1n-1;) 21C2nn+1= 11C2n+1n-1.

Решение:

а) 14Сnn-2= 15Ann-3; n є N.

Поскольку Сnn-2= Cnn-n+2= Cn 2, то

Cn2= 15A2n-3;

·n·(n -1) = 15·(n -3)·(n -4);

n2 - 49n + 90 = 0;) 6Cnn-3 = 11A2n-1; n є N

C3n = 11A2n-1·(n - 1)·(n -2) = 11·(n - 1)·(n -2);= 11.) 13C2nn+1 = 7Cn-12n+1; n є N.

13C2nn-1 = 7C2n+1n-1

Сокращая получаем:


отсюда n = 19.

d) 21C2nn+1 = 11Cn-12n+1;

сокращая, получаем:

21·(n + 2) = 11·(2n + 1),

Отсюда n = 31.

Ответ: а) 10; b) 11; c) 19 d) 31.

Замечание. Расписывая факториалы, мы воспользовались формулой:

Поэтому С2n+1n-1 преобразуется аналогично.

IV. Вычислите.

C272 - C262;

a)   C115 + C116;

b)      C52 + C72 + C92;

c)      Числа Cnk при n = 1, 2,3,4 и 0 < k < n.

Решение:


Числа Сnk при заданных n и k удобнее всего записать в виде треугольника Паскаля:


Ответ: a) 26; b) 9;2;4; c) 67; d) 14 чисел в треугольнике Паскаля.

Замечание. В условие варианта d) должно быть 0 ≤ k ≤ n, т.к. при

< n < k и n = 1 нет значений k (k€N).

3. Комбинаторные тождества.

Рассмотрим некоторые тождества, связанные с биноминальными коэффициентами.

арифметический биномиальный комбинаторный тождество

·             

·              (правило симметрии)

·             

·             

·             

·             

·              (свёртка Вандермонда)

·              Мультисекция ряда <#"511008.files/image042.gif">в виде замкнутой суммы из s слагаемых:


Применим последовательно формулу сложения:


получили тождество

∑Cn+km = Cn+mm,

Cn0 + Cn+11 + Cn+22 + … + Cn+m-1m-1 = Cn+mm

Применим формулу сложения иначе (пусть m ≤ n):

Cn+mm+1 = Cn+m-1m + Cn+m-1m+1 = Cn+m-1m + Cn+m-2m + Cn+m-2m+1 = Cn+m-1m + Cn+m-2m-1 + Cn+m-3m + Cn+m-3m+1 = ... = Cn+m-1m + Cn+m-2m-1 + ... + Cnm

получили тождество ∑Cn+km = Cn+mm,

Cnm + Cn+1m + Cn+2m + ... + Cn+m-1m = Cn+mm

в частности,

11 + C21 + C31 + ... + Cn1 = Cn+12

то есть,


Заключение

При создании специальных программ для осуществления факультативов можно использовать данную тему моей работы как одну из тем изучения комбинаторики, так как она в современной школе выделяется отдельным разделом.

Список литературы

1.     Комбинаторика / автор - составитель Н.Я. Виленкин. - М., 1969 г.

2.       Комбинаторика / автор - составитель Н.Я. Виленвин. - изд. "Наука". - М., 1969 г.

.        Решение задач по статистике, комбинаторике и теории вероятностей. 7-9 кл./ автор - составитель В.Н. Студенецкая. - изд. 2-е., испр., - Волгоград: Учитель, 2009 г.


Не нашли материал для своей работы?
Поможем написать уникальную работу
Без плагиата!
Без нейросетей!