Разработка элективного курса 'Кинематика' для учеников средних общеобразовательных учебных учреждений

  • Вид работы:
    Дипломная (ВКР)
  • Предмет:
    Педагогика
  • Язык:
    Русский
    ,
    Формат файла:
    MS Word
    8,95 Mb
  • Опубликовано:
    2011-07-29
Вы можете узнать стоимость помощи в написании студенческой работы.
Помощь в написании работы, которую точно примут!

Разработка элективного курса 'Кинематика' для учеников средних общеобразовательных учебных учреждений

Содержание

Введение

Глава 1. Методологические основы разработки элективных курсов

.1 Профильное обучение и его задачи

.2 Методологические принципы построения элективных курсов

Глава 2. Разработка элективного курса «Кинематика»

.1 Примерная рабочая программа

.2 Разработка системы оценивания знаний учащихся

.3 Учебно-методический комплекс

.3.1 Конспекты лекций

.3.2 Конспекты семинарских занятий

.3.3 Лабораторная работа

Заключение

Список используемой литературы

Приложение

Введение

В сложившейся ситуации модернизации образования в РФ, одним из наиболее эффективных путей совершенствования образовательных процессов является переход на профильное обучение. Это позволяет осуществить индивидуальный подход преподавателя к ученику, с одной стороны, а также позволить ученику развивать умение выбирать главное для себя, ориентироваться на свою дальнейшую жизнь, выбор профессии. Исходя из этих убеждений, актуальным становиться разработка элективных курсов, способствующих более глубокому изучению материала определённой тематики.

Целью преподавания физики является обучение не только определениям, физическим понятиям, законам, но и способам решения задач. Необходимо отметить, что физические задачи зачастую имеют место быть в реальной жизни человека. К таким задачам можно отнести поднятие тяжестей, повседневный труд, рассматриваемый механикой, раздел динамика, перемещение человека, путешествие на работу, а после домой, рассматриваемые кинематикой, использование электрической энергии, раздел электродинамика и т.п. Задача преподавателя физики заключается в том, чтобы научить правильно использовать возможности человеческого тела, как физического объекта. А для этого необходимо иметь представление о структуре физики, её содержании.

Изучение раздела физики «Кинематика» происходит на первых занятиях по дисциплине, в 7 классе. Дальнейшее изучение кинематики происходит с достаточными промежутками во времени, что приводит к низкому качеству усвоения материала. Поэтому, актуальным является следующая тема исследования: «Разработка элективного курса «Основы кинематики» для учеников средних общеобразовательных учебных учреждений».

Цель работы - разработать элективный курс «Основы кинематики».

Для достижения этой цели необходимо решить следующие задачи:

Изучить методическую литературу по созданию элективных курсов;

Исследовать особенности построения элективного курса, его методологические основы;

Подобрать материал, необходимый для создания элективного курса;

Разработать систему оценивания знаний учащихся по данному курсу;

Создать элективный курс «Основы кинематики».

Теоретическая значимость данной курсовой работы заключается в изучении методологических основ предпрофильного образования и построения элективных курсов.

Практическая значимость заключается в разработке элективного курса «Основы кинематики». Данный курс можно предложить для использования в средних общеобразовательных учреждениях.

Предметом данной работы является процесс преподавания физики в средних общеобразовательных учебных заведениях.

Объектом исследования является разработка элективного курса по теме «Основы кинематики»

Дипломная работа состоит из введения, двух глав, заключения, списка используемой литературы и приложения. Первая глава посвящена изучению методологических основ построения элективных курсов. Вторая глава посвящена разработке элективного курса.

Глава 1. Методологические основы разработки элективных курсов

.1 Профильное обучение и его задачи

Дифференциация обучения - важная задача современной школы. Она позволяет реализовать многообразие образовательных траекторий, способствует индивидуализации обучения, развитию познавательной активности учащихся, выбору профессионального пути, помогает определиться с продолжением образования в вузе. Профильное обучение - средство дифференциации и индивидуализации обучения, позволяющее за счет изменений в структуре, содержании и организации образовательного процесса более полно учитывать интересы, склонности и способности учащихся, создавать условия для обучения старшеклассников в соответствии с их профессиональными интересами и намерениями в отношении продолжения образования.

Профильное обучение направлено на реализацию личностно ориентированного учебного процесса. При этом существенно расширяются возможности выстраивания учеником индивидуальной образовательной траектории.

Переход к профильному обучению преследует следующие основные цели:

обеспечить углубленное изучение отдельных предметов программы полного общего образования;

создать условия для существенной дифференциации содержания обучения старшеклассников с широкими и гибкими возможностями построения школьниками индивидуальных образовательных программ;

способствовать установлению равного доступа к полноценному образованию разным категориям обучающихся в соответствии с их способностями, индивидуальными склонностями и потребностями;

. расширить возможности социализации учащихся, обеспечить преемственность между общим и профессиональным образованием, более эффективно подготовить выпускников школы к освоению программ высшего профессионального образования.

Основная идея обновления старшей ступени общего образования состоит в том, что образование здесь должно стать более индивидуализированным, функциональным и эффективным.

Многолетняя практика убедительно показала, что, как минимум, начиная с позднего подросткового возраста, примерно с 15 лет, в системе образования должны быть, созданы условия для реализации обучающимися своих интересов, способностей и дальнейших (послешкольных) жизненных планов. Социологические исследования доказывают, что большинство старшеклассников (более 70%) отдают предпочтение тому, чтобы «знать основы главных предметов, а углубленно изучать только те, которые выбираются, чтобы в них специализироваться». Иначе говоря, профилизация обучения в старших классах соответствует структуре образовательных и жизненных установок большинства старшеклассников. При этом традиционную позицию, «как можно глубже и полнее знать все изучаемые в школе предметы (химию, физику, литературу, историю и т.д.)», поддерживают около четверти старшеклассников. [8;64]

К 15-16 годам у большинства учащихся складывается ориентация на сферу будущей профессиональной деятельности. Так, по данным социологических опросов, проведенных в 2002 году Центром социологических исследований Министерства образования России, «профессиональное самоопределение тех, кто в дальнейшем намерен учиться в ПТУ или техникуме (колледже), начинается уже в VIII классе и достигает своего пика в IX, а профессиональное самоопределение тех, кто намерен продолжить учебу в вузе, в основном складывается в IX классе». При этом примерно 70-75% учащихся в конце IX класса уже определились в выборе возможной сферы профессиональной деятельности. [3;6]

В настоящее время в высшей школе сформировалось устойчивое мнение о необходимости дополнительной специализированной подготовки старшеклассников для прохождения вступительных испытаний и дальнейшего образования в вузах. Традиционная непрофильная подготовка старшеклассников в общеобразовательных учреждениях привела к нарушению преемственности между школой и вузом, породила многочисленные подготовительные отделения вузов, репетиторство, платные курсы и др.

Большинство старшеклассников считают, что существующее ныне общее образование не дает возможности для успешного обучения в вузе и построения дальнейшей профессиональной карьеры. В этом отношении нынешний уровень и характер полного среднего образования считают приемлемым менее 12% опрошенных учащихся старший классов (данные Всероссийского центра изучения общественного мнения). [3;7]

Важнейшим вопросом организации профильного обучения является определение структуры и направленности профилизации, а также модели организации профильного обучения. При этом следует учитывать, с одной стороны, стремление наиболее полно учесть индивидуальные интересы, способности, склонности старшеклассников (это ведет к созданию большого числа различных профилей), с другой - ряд факторов, сдерживающих процессы во многом стихийной дифференциации образования: введение единого государственного экзамена, утверждение стандарта общего образования, необходимость стабилизации федерального перечня учебников, обеспечение профильного обучения соответствующими педагогическими кадрами и др.

Очевидно, что любая форма профилизации обучения ведет к сокращению инвариантного компонента. В отличие от привычных моделей школ с углубленным изучением отдельных предметов, когда один - два предмета изучаются по углубленным программам, а остальные - на базовом уровне, реализация профильного обучения возможна только при условии относительного сокращения учебного материала непрофильных предметов, изучаемых с целью завершения базовой общеобразовательной подготовки учащихся.

Модель общеобразовательного учреждения с профильным обучением на старшей ступени предусматривает возможность разнообразных комбинаций учебных предметов, что и будет обеспечивать гибкую систему профильного обучения. Эта система должна включать в себя следующие типы учебных предметов: базовые общеобразовательные, профильные и элективные.

Базовые общеобразовательные предметы являются обязательными для всех учащихся во всех профилях обучения. Предлагается следующий набор обязательных общеобразовательных предметов: математика, история, русский и иностранные языки, физическая культура, а также интегрированные курсы обществоведения (для естественно-математического, технологического и иных возможных профилей), естествознания (для гуманитарного, социально- экономического и иных возможных профилей).

Профильные общеобразовательные предметы - предметы повышенного уровня, определяющие направленность каждого конкретного профиля обучения. Например, физика, химия, биология - профильные предметы в естественнонаучном профиле; литература, русский и иностранные языки - в гуманитарном профиле; история, право, экономика и др. - в социально-экономическом профиле и т.д. Профильные учебные предметы являются обязательными для учащихся, выбравших данный профиль обучения. Содержание указанных двух типов учебных предметов составляет федеральный компонент государственного стандарта общего образования.

Достижение выпускниками уровня требований государственного образовательного стандарта по базовым общеобразовательным и профильным предметам определяется по результатам единого государственного экзамена.

Элективные курсы - обязательные для посещения курсы по выбору учащихся, входящие в состав профиля обучения на старшей ступени школы. Элективные курсы реализуются за счет школьного компонента учебного плана и выполняют две функции. Одни из них могут «поддерживать» изучение основных профильных предметов на заданном профильным стандартом уровне. Например, элективный курс «Математическая статистика» поддерживает изучение профильного предмета экономики. Другие элективные курсы служат для внутрипрофильной специализации обучения и для построения индивидуальных образовательных траекторий. Количество элективных курсов, предлагаемых в составе профиля, должно быть избыточно по сравнению с числом курсов, которые обязан выбрать учащийся. По элективным курсам единый государственный экзамен не проводится.

При этом примерное соотношение объемов базовых общеобразовательных, профильных общеобразовательных предметов и элективных курсов определяется пропорцией 50:30:20. [3;7]

Предлагаемая система не ограничивает общеобразовательное учреждение в организации того или иного профиля обучения (или нескольких профилей одновременно), а школьника в выборе различных наборов базовых общеобразовательных, профильных предметов и элективных курсов, которые в совокупности и составят его индивидуальную образовательную траекторию. Во многих случаях это потребует реализации нетрадиционных форм обучения, создания новых моделей общего образования.

Важна связь профильного обучения на старшей ступени с общей установкой на введение государственного стандарта общего образования. Если модернизация образования предусматривает введение института единого государственного экзамена, если речь идет о становлении общенациональной системы контроля качества образования, то, очевидно, объективность и реализуемость подобной системы может быть обеспечена только введением соответствующих образовательных стандартов не только для базовых общеобразовательных, но и для профильных общеобразовательных предметов.

Реализация идеи профильности старшей ступени ставит выпускника основной ступени перед необходимостью совершения ответственного выбора - предварительного самоопределения в отношении профилирующего направления собственной деятельности.

Необходимым условием создания образовательного пространства, способствующего самоопределению учащегося основной ступени, является введение предпрофильной подготовки через организацию курсов по выбору.

В этих целях необходимо:

увеличить часы вариативного (школьного) компонента Базисного учебного плана в выпускном классе основной ступени общего образования;

при организации обязательных занятий по выбору ввести деление класса на необходимое число групп;

образовательным учреждениям использовать часы вариативного компонента, прежде всего, на организацию предпрофильной подготовки.

При планировании введения профильного обучения следует принять во внимание объективную необходимость подготовительной работы по обновлению содержания образования и его обеспечения (стандарты, учебные планы, примерные программы, учебники и методические пособия, переподготовка кадров и прочее). Следует также учитывать необходимость соотнесения планируемых действий с рядом осуществляемых общесистемных нововведений в образовании. В частности, введение единого государственного экзамена. С учетом реально складывающейся ситуации предлагаются следующие этапы перехода на профильное обучение в среднесрочной перспективе.

Предварительным этапом введения профильного обучения является начало перехода на предпрофильное обучение в последнем классе основной ступени.

1.2 Методологические принципы построения элективных курсов

Любой элективный курс имеет стандартную структуру, включающую в себя разработку рабочей программы курса, подбор лекционного материала, задач для усвоения материала, в течение семинарских и лабораторных занятий, а также контролирующий материал, для текущего и итогового контроля.

Рабочая программа учебной дисциплины: учебно-программное издание, нормативный документ, определяющий объем, содержание, порядок изучения и преподавания учебной дисциплины (ее части, раздела), а также способы контроля результатов ее усвоения (зачет, экзамен).

Объем учебной дисциплины: количество часов, отводимых на ее изложение и изучение в различных формах образовательного процесса (лекции, лабораторные работы, практические занятия и самостоятельная работа).

Содержание учебной дисциплины: совокупность взаимосвязанных разделов информации (дидактических единиц), раскрывающих общие и специфические свойства объекта (предмета) изучения, особенности его строения и функционирования, методы и способы его исследования, преобразования, создания или применения. Рабочая программа элективного курса должна удовлетворять следующим требованиям:

. Рабочая программа входит в состав комплекта документов, регламентирующих образовательный процесс по направлению подготовки, специальности;

. Рабочая программа определяет деятельность, как преподавателей, так и студентов в ходе образовательного процесса по дисциплинам;

. При составлении и утверждении рабочей программы должно быть обеспечено ее соответствие следующим документам:

Государственному Образовательному Стандарту СОО по соответствующему направлению подготовки (специальности)

Основной Образовательной Программе

Учебному плану данного направления подготовки (специальности)

Примерной рабочей программе дисциплины (при ее наличии).

Требования к рабочей программе:

соответствие современному состоянию, тенденциям и перспективам развития науки и практики в данной предметной области;

соответствие особенностям профессиональной деятельности, сфере ее реализации и уровню квалификации выпускника данного направления подготовки, специальности (специализации);

соответствие составу, содержанию и характеру междисциплинарных связей данной учебной дисциплины и дисциплин предшествующих, последующих и изучаемых параллельно;

логическая упорядоченность информации, образующей содержание учебной дисциплины;

оптимальное соотношение между содержанием, способами и средствами реализации различных видов преподавания, изучения учебной дисциплины (лекции, практические занятия, самостоятельная работа студентов и т.п.), контроля и оценки достигаемых результатов;

соответствие средств и методов оценки результатов изучения дисциплины целям программы;

соответствие особенностям индивидуального стиля ведущего преподавателя.

Рабочая программа учебной дисциплины должна включать следующие структурные элементы в указанной последовательности:

а) Титульный лист;

б) Оборотная сторона титульного листа;

в) Пояснительная записка;

г) Структура и содержание дисциплины;

д) Учебно-методическое обеспечение дисциплины;

е) Материально-техническое обеспечение дисциплины;

ж) Перечень ключевых слов

В программе приводится перечень разделов дисциплины, тем индивидуальных заданий, вопросов для самостоятельного изучения и т.п. с указанием содержания и объема самостоятельной работы по каждому занятию, заданию и формы контроля.

«Текущий и итоговый контроль результатов изучения дисциплины» должен определять цели, состав, периодичность, формы и способы проведения и оценки уровня знаний и умений, приобретаемых и усваиваемых каждым студентом при изучении дисциплины в целом и/или ее отдельных разделов.

Глава 2. Разработка элективного курса «Кинематика»

2.1 Примерная рабочая программа

Существующая в России система школьного образования включает значительный объём естественнонаучных знаний, формирование которых осуществляется в процессе изучения отдельных учебных предметов. При этом общий объект изучения - природа - остаётся расчленённым между отдельными учебными предметами. Одной из таких дисциплин является физика.

Особый интерес, с нашей точки зрения, заслуживает раздел кинематика, так как в нём рассматриваются процессы, наиболее приближенные к повседневной жизни каждого человека: равномерное и неравномерное движение, а также движение по окружности. В связи с этим, мы предлагаем ввести для изучения следующий элективный курс. Программа курса предназначена для учеников 10 класса средних общеобразовательных учебных заведений и рассчитана на 23 часа.

Настоящая программа составлена на основе программы средней общеобразовательной школы.

При изучении данного курса, ученик должен научиться самостоятельно работать с литературой, применять теоретические знания на практике, при решении задач, строить причинно-следственные цепочки, анализировать, делать выводы.

По завершении курса ученик сдаёт зачёт на знание дисциплины.

. Цели и задачи курса «Основы кинематики»

Цель данного курса: ученик должен иметь представление о структуре кинематики, основных понятиях, а также уметь применять свои знания на практике, в частности при решении задач.

. Требования к уровню освоения содержания элективного курса иметь представление:

о физических величинах, их единицах измерения;

о физических законах и понятиях;

об исторических моментах развития физики;

об учёных, сделавших вклад в развитие физики;

знать:

физические законы, определения, изученные в данном курсе;

уметь:

решать задачи по физике;

самостоятельно делать выводы, анализировать полученный в ходе решения задачи результат;

работать с литературой, обрабатывать полученную информацию.

. Организационно-методический план

Вид учебной работы

Общая трудоемкость (в часах)

I. Аудиторная:


Лекции

4

Семинары

24

….лабораторные работы

3

ИТОГО:

31

II. Внеаудиторная:


Рефераты

2

домашние контрольные работы

4

 Изучение лекционного материала

2

Теоретическая подготовка к лабораторным и практическим занятиям, коллоквиумам и др.

2

ИТОГО:

10

Общая трудоемкость дисциплины:

41

Итоговый контроль (форма)

зачёт


4. Содержание дисциплины

.1 Тематический план

№ п/п

Наименование разделов и тем дисциплин

Всего часов

Аудиторные

Самостоятельная работа




лекции

семинарские

лабораторные


1.

Равномерное движение

11

1

7


3

1.1 1.2

Равномерное движение


1



1


Решение задач по теме «Равномерное движение»



7


2

2.

Равнопеременное движение

15

1

8

3

3

2.1 2.2

Равнопеременное движение


1





Решение задач по теме «Равнопеременное движение»



8

3

3

3.

Движение по окружности

14

2

8


4

3.1 3.2

Движение по окружности


2

4


2


Решение задач по теме «Движение по окружности»



4


2

4.

Зачёт

1


1




Итого

41

4

24

3

10


.2 Содержание разделов дисциплины

Равномерное движение

Скорость, перемещение. Зависимость перемещения от времени. Путь, траектория. Система координат.

Равнопеременное движение

Ускорение, зависимость перемещения от скорости и времени.

Движение по окружности

Ускорение, тангенциальное, нормальное ускорения. Движение тела брошенного под углом к горизонту.

.3 Перечень лекций

.1 Равномерное движение

Понятие системы отсчёта;

Скорость тела;

Перемещение, путь.

.1 Равнопеременное движение

Ускорение;

Равноускоренное движение.

.1 Движение по окружности

Центростремительное ускорение;

Тангенциальное и нормальное ускорения.

.1 Обобщение

Равномерное движение;

Равнопеременное движение;

Движение по окружности.

. Контролирующие материалы

В качестве контролирующих материалов целесообразно разработать несколько тестов: входной контролирующий тест, промежуточные тесты по каждому модулю, а также итоговый, зачётный тест.

. Информационно-методическое обеспечение дисциплины

Список рекомендуемой литературы:

Основная литература:

1.   Пёрышкин А.В. Физика: учеб. Для 10 кл. сред. шк.- М.: Просвещение, 2003

2.       Пёрышкин А.В. Физика: учеб. Для 11 кл. сред. шк.- М.: Просвещение, 2003

.        Бесчетнов В.М. Физика: Курс лекций для учащихся 7-11 кл.: в 2 т. - М.: Демиург, 1995,1996

.        Рымкевич А.П. Сборник задач по физике для 9-11 классов средней школы. - 12-е изд. - М.: Просвещение, 1988. - 191 с.

Дополнительная литература:

1.   В.И. Лукашик, Е.В. Иванова Сборник задач по физике. - 12-е изд. - М.: Просвещение, 1999. - 224 с.

2.       Блудов М.И. Беседы по физике: Кн. для учащихся. - М.: Просвещение, 1992

.        Учитесь решать задачи по физике: кн. для учащихся/Г.В. Ефашкин, Н.Н. Романовская, А.н. Тарасова: п.р. Тарасовой А.Н. - М.: Просвещение; учеб. лит., 1997

.        Савченко Н.Е. Задачи по физике с анализом их решения. - М.: Просвещение, 1996.

.        Луппов Г.Д. Молекулярная физика и электродинамика в опорных конспектах. - М.: Просвещение, 1992

.        Кошкин Н.И., Васильчикоав Е.Н. Элементарная физика: справочник. - М.: Высш. шк., 2003. - 261 с.

Перечень ключевых слов

Тело отсчёта, система отсчёта, время, скорость, ускорение, перемещение, траектория, путь, материальная точка, основная задача механики.

2.2 Разработка системы оценивания знаний учащихся

элективный курс методический кинематика

Система оценивания знаний базируется на нескольких факторах: сложность выполняемых задач, общий уровень активность обучающегося в течение изучения курса, количество выполненных заданий, самостоятельное изучение материала, выполнение творческих заданий, если таковые имеются в наличии.

Наиболее рациональный метод оценивания - модульно-рейтинговая система. В рабочей программе элективного курса предполагается наличие сквозного и итогового контроля. Данный контроль включает в себя несколько заданий различной сложности. В соответствии с этим, их можно оценить определённым числом баллов.

Касаемо разрабатываемого курса предлагается разделить весь материал на три основных модуля: равномерное движение, равнопеременное движение; движение по окружности. Каждый модуль позволяет заработать определённое число баллов. Первый модуль «Равномерное движение» позволяет заработать максимум 25 баллов. Второй модуль «Равнопеременное движение» позволит заработать 35 баллов. Третий модуль «Движение по окружности» позволит заработать 40 баллов. Для получения оценки о прохождении курса без сдачи зачёта достаточно заработать 90 баллов. Данная мотивация способствует самостоятельному изучению материала, т.к. для большинства учеников сдача зачёта вызывает опасение, лишнее волнение, а присутствие возможности избежать этой участи активизирует на самостоятельную работу.

Элективный курс «Основы кинематики» предлагает несколько путей приобретения баллов:

решение задач и выполнение тестов, предлагаемых преподавателем;

написание и защита докладов по истории развития и физическим принципам кинематики;

создание контрольных тестов, кроссвордов, ребусов по кинематике, а также иные творческие задания.

Таким образом, перед нами возникает необходимость определения стоимости каждого задания.

Изначально необходимо разделить задачи на репродуктивные и задачи творческого характера. К репродуктивным задачам относятся задачи, в которых решение можно найти, используя стандартные формулы, т.е. задачи с низким уровнем сложности. Такие задачи предлагается оценивать в 3 балла, при условии, что она решалась без помощи преподавателя. Если преподаватель оказывал содействие, ученик зарабатывает только 1,5 балла. Решение творческих задач можно оценить в 5 баллов, при помощи педагога - в 2,5 балла. Выполнение тестов имеет свою систему оценивания, зависящую от вида теста. Так для тестов входного или текущего контроля, одно тестовое задание можно оценить в 0,5 балла. Для итогового теста, одно задание оценивается в 1 балл. Написание и защита докладов и рефератов оценивается в зависимости от качества доклада или реферата, а также от качества их защиты. В любом случае, максимальная оценка за выполнение такого рода заданий - 5 баллов. В случае если доклад, или реферат сдаётся без защиты, ученик получает только 1 балл. Создание контрольных тестов и другие творческие задания оцениваются максимум в 5 баллов, в зависимости от качества выполненного задания.

Но кроме поощрений требуется учесть и систему наказаний. Непосещение одного занятия оценивается в -5 баллов. Неправильное решение самостоятельной задачи -5 баллов, отсутствие правильных ответов при написании входного или текущего теста оценивается в -10 баллов.

По нашему мнению, такая система оценивания позволит проверить достоверность усвоения материала, а также оградит учеников от склонности пропускать учебные занятия.

2.3 Учебно-методический комплекс

.3.1 Конспекты лекций

Лекция 1. Равномерное движение

Цель: ученик должен уметь решать основную задачу механики в случае равномерного движения.

Для достижения данной цели необходимо решить следующие задачи:

Образовательная задача: раскрыть суть основной задачи механики для равномерного движения;

Воспитательная задача: гуманизация физики через объяснения физических понятий на основе повседневной жизни учеников;

Развивающая задача: развитие логического мышления при формировании целостной научной картины мира.

План

Организационный момент - 2 мин.

Изучение нового материала - 40 мин.

Подведение итогов - 3 мин.

«Движение - есть жизнь», - гласит древняя поговорка. А что мы можем сказать о движении. Мы часто произносим слова не задумываясь о их смысле. Что же такое движение? [предполагается диалог с учениками с целью поиска ответа на поставленный вопрос]

Если мы выяснили, что движение - это перемещение тела в пространстве с течением времени относительно другого тела, давайте разберёмся с тем, как охарактеризовать этот процесс. Для этого необходимо обратиться к научным знаниям. Кинематика - это раздел механики, изучающий движение без рассмотрения причин, вызывающих это движение. Мы знакомы с несколькими видами движения: равномерное, равнопеременное, а также движение по окружности. Между ними есть разница, в чем она заключается? [предполагается диалог с учениками с целью поиска ответа на поставленный вопрос]

Сегодня мы поговорим о равномерном движении. Прежде всего, мы должны определиться, как охарактеризовать равномерное движение. Какие у вас будут предположения? [предполагается диалог с учениками с целью поиска ответа на поставленный вопрос]

Так как движение - это изменение положения тела с течением времени относительно точки отсчёта, делаем вывод о том, что при равномерном движении выполняется зависимость перемещения от времени.

 (1)

Осталось выяснить, каков характер зависимости. Человек может за равные промежутки времени проходить разные расстояния, и совершенно наоборот: равные расстояния за разные промежутки времени. Отношение расстояния ко времени называется средней скоростью движения.

 (2)

Скорость - это векторная величина, следовательно, имеет направление и точку приложения. Единица измерения скорости - м/с.

Скорость движения можно вычислить по следующей формуле:

 (3)

В течение последующих нескольких занятий мы с вами рассмотрим случай, когда скорость будет являться величиной постоянной. В данном случае, движение называется равномерным.

[для закрепления материала предлагается решить несколько задач на равномерное движение из нижепредставленных]

Задача 1. Сколько секунд пассажир, стоящий у окна поезда, идущего со скоростью 54 км/ч, будет видеть проходящий мимо него встречный поезд, скорость которого 36 км/ч, а длина 150м?

Задача 2. Эскалатор метрополитена, двигаясь равномерно, поднимает неподвижно стоящего на нем пассажира в течение одной минуты. По неподвижному эскалатору пассажир, двигаясь равномерно, поднимается за 3 минуты. Сколько секунд будет подниматься пассажир по движущемуся вверх эскалатору.

Задача 3. Самолет летел на север со скоростью 48 м/с относительно земли. С какой скоростью относительно земли будет лететь самолет, если подует западный ветер со скоростью 14 м/с?

Лекция 2. Равнопеременное движение

Цель: ученик должен уметь решать задачи на равнопеременное движение.

Для достижения данной цели необходимо решить следующие задачи:

Образовательная задача: ввести понятие ускорения, ввести формулу для решения основной задачи механики;

Воспитательная задача: гуманизация физики через объяснение физических понятий на основе повседневной жизни учеников;

Развивающая задача: развитие логического мышления через построение причинно-следственных цепочек, а также через формирование целостной физической картины мира на основе внутрипредметных связей.

План

Организационный момент - 2 мин.

Изучение нового материала - 40 мин.

Подведение итогов - 3 мин.

Во время организационного момента оглашается тема занятия и формулируется его цель.

Ранее мы с вами изучали равномерное движение. Но такое движение достаточно редко встречается в природе и нашей повседневной жизни. Потому целесообразно рассмотреть какое движение наиболее характерно для нашего мира.

Для иллюстрации проведём ряд экспериментов. [проводится эксперимент с шариком, движущимся по желобу, причём угол подъёма желоба изменяется]

Наблюдая за движущимся телом можно прийти к выводу, что скорость движения изменяется, в зависимости от угла наклона желоба. Теперь проведём тот же опыт без желоба. [шарик просто толкают по ровной поверхности, отмечают, что при увеличении времени движения, скорость движения уменьшается]

Из данных экспериментов можно сделать вывод о том, что в реальности мы часто встречаемся с неравномерным движением. В этом случае, скорость тела изменяется с течением времени. Физическая величина, равная изменению скорости за единицу времени называется ускорением.

 (1)

Ускорение - величина векторная, следовательно, имеет направление и точку приложения. Единица измерения ускорения м/с2.

Среднее значение ускорения можно найти по следующей формуле:

 (2)

В данном случае получаем, что перемещение тела за время t будет зависеть от ускорения. Необходимо выяснить каким образом.

Изначально, мы имеем перемещение при постоянной скорости

 (3)

Теперь необходимо выяснить, какой путь пройдёт тело при условии изменения скорости. Для этого нам необходимо найти среднюю скорость.

 (4)

В этом случае, перемещение тела при непостоянной скорости будет равно

 (5)

Учитывая формулы 5 и 3, а также то, что при эксперименте скорость уменьшалась, получим, что перемещение равно

 (6)

Учитывая формулу для среднего ускорения (формула 2), получим следующее преобразование формулы для перемещения:

 (7)

Знаки плюс и минус говорят о том, что движение может быть ускоренным и замедленным.

Мы с вами, для простоты будем использовать ситуацию, в которой ускорение является величиной постоянной, следовательно движение, в нашем случае может быть равноускоренным, или равнозамедленным.

Для закрепления материала предлагается решить следующие задачи:

Поезд начинает тормозить. Как направленно его ускорение? Скорость?

Ускорение тела равно -2 м/с2. Что это означает?

За 3 с скорость шарика возросла с 2 м/с до 5 м/с. Определите ускорение шарика.

Лекция 3. Движение по окружности

Цель: ученик должен уметь решать задачи связанные с движением тел по окружности.

Для достижения данной цели необходимо решить следующие задачи:

Образовательная задача: ввести понятие центростремительного ускорения

Воспитательная задача: гуманизация физики через объяснение физических понятий на основе повседневной жизни учеников;

Развивающая задача: развитие логического мышления через построение причинно-следственных цепочек, а также через формирование целостной физической картины мира на основе внутрипредметных связей.

План

Организационный момент - 2 мин.

Изучение нового материала - 40 мин.

Подведение итогов - 3 мин.

Для подготовки к изучению нового материала предлагается рассмотреть несколько задач:

По какой траектории полетит камень, вращающийся на нити, если нить внезапно обрезать?

Автомобиль движется по криволинейной траектории с постоянной по модулю скоростью. Можно ли утверждать, что его ускорение в этом случае равно нулю?

Задача механики, состоящая в том, чтобы по известному начальному положению и скорости найти положение тела в любой момент времени, должна быть решена и для криволинейного движения. Но для этого надо знать, как изменяются со временем основные характеристики движения: перемещение, скорость, ускорение.

При криволинейном движении направление вектора скорости изменяется от точки к точке, и если говорят о скорости криволинейного движения, то под этим понимают мгновенную скорость. Возникает вопрос, что следует понимать под мгновенной скоростью криволинейного движения, и как она направлена. Под мгновенной скоростью понимают предел отношения пути ко времени, а направлена она по касательной к траектории движения. Это можно доказать простыми жизненными примерами: движение искр, отрывающихся от точильного камня; движение по окружности шарика, привязанного к нити: если отпустить нить, то шарик полетит по направлению скорости, которую он имел в последний момент перед тем, как была отпущена нить. Далее учащимся говорим о том, что если при криволинейном движении численное значение скорости не изменяется, то положение движущейся точки на заданной траектории в любой момент времени можно легко определить, умножив скорость на время движения.

При движении по окружности тело совершает некоторый поворот за определённый промежуток времени. В этом случае выполняется следующее соотношение:

 (1)

Данная величина называется угол поворота. Здесь l - перемещение тела, r - радиус окружности. При этом, скорость изменения угла поворота можно вычислить следующим образом:

 (2)

Данная величина называется угловой скоростью. В этом случае, связь между линейной и угловой скоростью, а также ускорение при движении по окружности будет выглядеть следующим образом. [формулы предлагается вывести ученикам самостоятельно, а также определить направление ускорения]

Для закрепления материала предлагается решить ряд задач из ниже представленных.

Задача 1. Минутная стрелка в 3 раза длиннее секундной Найти отношение линейных скоростей концов стрелок

Задача 2. Число зубьев одной из шестерен зубчатой передачи 18, а второй 90. Определить угловую скорость второй шестерни, если первая совершает 3000 об/мин

Задача 3. Линейная скорость точек окружности вращающегося диска 3 м/с, а точек, находящихся на 0,1 м ближе к оси вращения, 2 м/с . Сколько оборотов делает диск в минуту?

Лекция 4. Обобщение материала

Кинематика - это раздел механики, изучающий движение тел без силового воздействия.

В кинематике изучается механическое движение, но не рассматриваются причины этого движения. Тело, размерами которого можно пренебречь при изучении данного механического движения, называется материальной точкой. Кинематика решает основную задачу механики для трёх случаев: равномерного движения, равнопеременного движения, движения по окружности. [2;13]

При равномерном движении скорость материальной точки является величиной постоянной, при этом перемещение зависит только от времени. При равнопеременном движении постоянным параметром является ускорение. В данном случае перемещение материальной точки зависит от времени и скорости движения. В случае движения материальной точки по окружности, мы сталкиваемся с понятием тангенсального нормального ускорения. Основные формулы кинематики материальной точки представлены в таблице 1.

Таблица 1.



Знак «минус» относится к равнозамедленному движению.

Кроме этого, важное значение, имеет рассмотрение движения тел у поверхности Земли. Ускорение свободного падения g можно считать постоянным (по модулю и направлению) вблизи поверхности Земли, а небольшой участок поверхности Земли - плоскостью. Координаты тела относительно неподвижной инерциальной системы отсчета определяются следующими уравнениями (α - угол между v0 и горизонтальной плоскостью.[4;27]

 (2.2)

Дальность полета L и наибольшая высота подъема Н (рис. 1) рассчитываются (без учета сопротивления воздуха) по формулам:

 (2.3)

 (2.4)

Рис. 1. Наибольшая высота и дальность полёта

Наибольшая дальность полета (при постоянном значении υ0) достигается при α= π/4 (рис. 2). При наличии сопротивления дальность полета и высота подъема уменьшаются в 1,5-2 раза.

Рис.2. Наибольшая дальность полёта

2.3.2 Конспекты семинарских занятий

При проведении семинарских занятий предлагается на практике освоить методику решения задач на различные виды движения.

Методологическая схема решения задач по физике в средней школе включает в себя несколько компонентов, к числу которых относятся математические и физические методы решения задач.

Полностью данная схема представлена в приложении к дипломной работе.

Информация в методологической схеме сгруппирована по разделам: «Методическая схема решения задач», «Построение гипотезы», «Общие методы», «Принцип относительности», «Симметрия», «Законы сохранения», «Частные законы», «Математические методы», «Стратегия поиска решения», «Причины и типы ошибок», «Страховка».

В методической схеме решения задач предлагается алгоритм решения, состоящий из восьми пунктов. На семинарских занятиях, в рамках данного элективного курса предполагается следование данному алгоритму решения задач, и всей методологической схеме решения задач.

В случае рассмотрения решения задач по кинематике мы столкнемся с рядом методов, к числу которых относятся:

анализ и синтез;

по аналогии;

переформулировка;

деление на подзадачи;

координатный метод;

суперпозиция движения;

рациональный выбор системы отсчёта;

метод малых величин;

графический метод;

векторный метод;

интегрирование - дифференцирование.

В течение изучения каждого раздела требуется обобщить материал, полученный во время лекционных занятий. Мы предлагаем изначально рассмотреть весь теоретический материал, а впоследствии, заниматься решением задач, при условии обязательной актуализации изученного ранее теоретического материала. Причём, подача данного материала должна оказываться в менее подробном виде, например следующим образом.











Кроме этого можно использовать блок-схемы, представленные в приложении.

Особое место в семинарских занятиях следует уделить методике решения задач. Поэтому ниже мы приводим возможные варианты использования физических методов решения задач по кинематике. Право использования данных методов и задач остаётся за учителем.

Семинарское занятие № 1

Метод переформулировки условия задачи

Суть этого метода заключается в таком видоизменении условия задачи, при котором решение становится более простым. Успех в решении задачи этим методом во многом зависит от выбора правильного пути. При переформулировке задачи, происходит ее видоизменение, этот процесс должен длиться до тех пор, пока он не приведет к доступной вспомогательной задаче.

Задача 1

Из точки А свободно падает тело. Под каким углом к горизонту следует одновременно бросить другое тело из точки В ( рис. 3), чтобы они столкнулись в воздухе? Какой должна быть скорость этого тела?

Решение


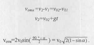
Казалось бы, основное в рассматриваемом явлении - это наличие ускорения свободного падения, которое заставляет двигаться вниз первое тело и искривляет траекторию полета второго. Предположим, однако, что земное притяжение отсутствует. Тогда первое тело будет оставаться неподвижным, а второе, брошенное со скоростью v0 двигаться равномерно и прямолинейно. Ясно, что скорость Vq должна быть направлена вдоль прямой, соединяющей эти тела, а ее модуль может быть любым - от этого зависит лишь время, по прошествии которого второе тело преодолеет разделяющее их расстояние. Теперь подумаем, что изменится при наличии земного притяжения. Все тела падают в поле земного тяготения одинаково, поэтому относительное движение тел - движение второго тела относительно первого - будет таким же, как и в отсутствие тяготения. Следовательно, это тело нужно бросить под тем же углом а к горизонту, что и раньше:


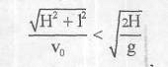
Модуль скорости v0 уже не может быть произвольным: тела должны по условию задачи столкнуться в воздухе, то есть прежде, чем первое тело упадет на землю. Это с учетом соотношения Я =gt2/2 приводит к условию


откуда


Итак, тяготение, определяющее траекторию движения тела относительно земли, оказывается несущественным при рассмотрении относительного движения двух тел, если, разумеется, они одновременно начинают падать в поле земного притяжения.

Без учета указанного обстоятельства решение задачи будет более громоздким. Обозначив высоту точки, где столкнутся тела, через h, имеем


Теперь описанные выше физические закономерности движения нужно "выудить" из системы уравнений (1.3). Складывая первые два уравнения, находим


что вместе с последним уравнением (1.3) дает формулу (1.1) . Для получения неравенства (1.2) следует потребовать, чтобы время падения первого тела на землю 2H/g было больше времени полета второго тела до встречи с первым, которое определяется из последнего уравнения (1.3):


Графический метод

Этот метод используется в случае, если зависимости каких-либо физических величин от других, задаются графическим способом, и дт нахождения ответа требуется анализ этих графиков.

Задача 1

Тело начинает двигаться так, что ни в какой из моментов его ускорение не равно 0. График зависимости ускорения тела от скорости приведен на рисунке (рис. 9). Найдите время, которое пройдет тело до того, как оно наберет скорость 12 м/с, а также расстояние, которое пройдет тело за это время.


Решение

. Построим график зависимости 1/а от n. Так как a=dv/dt, то dt=dv/a, следовательно, At=Av/a. Таким образом, чтобы найти время, через которое скорость тела будет равна v, надо просто посчитать площадь под графиком на рис. Отсюда находим, что время движения t=28 с.


Строим график зависимости скорости тела от времени


По графику находим путь, который прошло тело:


Задача 2

Тело падает без начальной скорости с высоты h. Где следует поместить "зеркало" и как его расположить, чтобы, упруго отразившись, тело проделало наибольший путь по горизонтали.

Решение


Прямое решение этой задачи подразумевает исследование на экстрем} функции двух переменных: "зеркало" можно расположить на произвольнс высоте, например меньшей Ъ, и ориентировать его под произвольным углом интервале от О до тс/2. Необходимые математические преобразоваю оказываются весьма громоздкими. Между тем можно предложить простс решение этой задачи, основанное на использовании свойства обратимост механического движения, которое вообще не требует никаких математически выкладок и заключается в следующем. Уравнения динамики консервативны: систем не меняются при замене t-»-t. Отсюда следует, что движение ; потенциальном поле обратимо: при обращении скорости движения в какой либо момент времени (5->-о) тело движется вспять по той же сами траектории, причем на прохождении всех ее участков затрачивается то ж< самое время, что и при движении в «прямом» направлении, a i соответствующих точках траектории при движении в «прямом» и «обратном) направлениях модули скорости одинаковы.

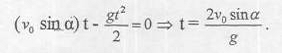
Решим вспомогательную задачу: под каким углом нужно бросить тело с начальной скоростью, чтобы дальность его полета по горизонтали была максимальной?

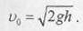
Ответ прост: нужно бросить под углом тс/4 к горизонту, тело улетит на расстояние


В точке падения тела на землю устанавливаем «зеркало» так, чтобы скорость тела после отражения оказалась направленной вертикально вверх. Тело поднимается на высоту h. Полученная траектория и является оптимальной для условия исходной задачи.

Действительно, пусть при расположении «зеркала» в какой-либо другой точке тело улетит по горизонтали дальше, чем в только что рассмотренном случае. На землю тело упадет при этом с той же скоростью

Тогда обратив эту траекторию, можно заставить тело проделать по горизонтали большой путь при той же начальной скорости, чем тот который найден при решении вспомогательной задачи. Но это не возможно так как найденный во вспомогательной задаче путь является наибольшим и: возможных и реализуется он при движении по единственной найденной нами траектории.

Способ рационального выбора системы отсчета

Задача 1

Одновременно из одной точки брошены два тела с одинаковой по модулю скоростью Vo: первое вертикально вверх, второе -под углом а к горизонту. В дальнейшем они двигались поступательно. Определить скорость второго тела в момент времени, когда второе тело будет находиться в точке А, достигнув половины своей максимальной высоты полета. Сопротивлением воздуха пренебречь.

Решение



Задача 2

По поверхности стола движется с постоянной скоросты черная доска. По доске движется кусок мела, пущенный по ней так, что начальный момент скорость мела относительно стола перпендикулярн скорости доски. Какой формы след оставит мел при своем движении?

Решение


В системе координат, движущейся относительно поверхности стола с тог же скоростью V, что и доска, мел имеет скорость U' = U-V. Так как сила трения направлена противоположно вектору U', то направление скорости мела меняться не будет. Будет изменяться лишь абсолютное значение скорости мела. Это означает, что мел прочертит прямую линию, идущую под углом  к вектору V

Задача 3

Из точек А и В, находящихся на одной горизонтальной прямой, одновременно бросили два камня с одинаковыми по модулю скоростями V0=20 м/с. Один из них полетел по навесной траектории, а другой по настильной и каждый упал в точку старта другого камня. Известно, что угол бросания а камня из точки А составляет 75°. Через какое время после бросания расстояние между камнями станет минимальным? Чему равно это расстояние?

Решение


Рассмотрим полет камня, брошенного из точки А:


Расстояние L между точками Аи В равно:





Поскольку для камня, брошенного из точки В, можно аналогичным

Положение камней можно найти параллельным переносом отрезка АС до тех пор, пока его начало и конец не окажутся лежащими на навесной и настильной траекториях камней. При этом А 'С = АС.

Семинарское занятие № 2

Переходим к непосредственному решению задач.

Задача 1. Мяч упал с высоты 3 м, отскочил от пола и был пойман после отскока на высоте 1 м. во сколько раз путь, пройденный мячом, больше модуля перемещения мяча?

Данная задача использует графический метод. Мы строим изображение движения, в результате чего определяем, что путь мяча составляет 4 м, а перемещение только 2 м. Следовательно, ответом в задаче будет следующее утверждение: путь больше модуля перемещения в 2 раза. Такой подход не предполагает введения какой-либо системы координат, только одну ось координат, для выбора направления движения мяча.

Задача 2. Со станции вышел товарный поезд, идущий со скоростью 20 м/с. Через 10 минут по тому е направлению вышел экспресс, скорость которого 30 м/с. На каком расстоянии (в км) от станции экспресс нагонит товарный поезд?

При решении данной задачи осуществляется метод выбора рациональной системы отсчёта.

Будем отсчитывать время от момента старта товарного поезда, а координаты поездов - от станции. При этом совпадение координат поездов будет считаться условием встречи.

В этом случае:


Тогда


Далее предлагается самостоятельное решение задач по исследуемой тематике.

Задача 3. С подводной лодки, погружающейся равномерно, испускаются звуковые импульсы длительностью 30,1 с. Длительность импульса, принятого на лодке после его отражения от дна равна 29,9 с. Определите скорость погружения лодки. Скорость звука в воде 1500 м/с.

Для решения данной задачи также используется метод выбора рациональной системы отсчёта.

Задача 4. Сколько секунд пассажир, стоящий у окна поезда, идущего со скоростью 54 км/ч, будет видеть проходящий мимо него встречный поезд, скорость которого 36 км/ч, а длина 150м?

Задача 5. Эскалатор метрополитена, двигаясь равномерно, поднимает неподвижно стоящего на нем пассажира в течение одной минуты. По неподвижному эскалатору пассажир, двигаясь равномерно, поднимается за 3 минуты. Сколько секунд будет подниматься пассажир по движущемуся вверх эскалатору.

Задача 6. Самолет летел на север со скоростью 48 м/с относительно земли. С какой скоростью относительно земли будет лететь самолет, если подует западный ветер со скоростью 14 м/с?

В данной задаче, кроме выбора системы отсчёта используется векторный метод.

Задача 7. Из пункта А по взаимно перпендикулярным дорогам выехали два автомобиля: один со скоростью 80 км/ч, другой со скоростью 60 км/ч. С какой скоростью они удаляются друг от друга?

Задача 8. Автомобиль двигался из пункта А в пункт В со скоростью 40 км/ч, а обратно из пункта В в пункт А - со скоростью 60 км/ч. Определить среднюю путевую скорость автомобиля на всем пути и среднюю скорость перемещения, если автомобиль в пункте В: а) мгновенно развернулся и поехал назад; б) простоял в течение времени, равного половине времени движения из пункта В в пункт А

Задача 9. Всадник проехал половину пути со скоростью 10 км/ч . Далее половину оставшегося времени движения он ехал со скоростью 8 км/ч , а затем до конца пути шел пешком со скоростью 4 км/ч . Определить среднюю скорость движения всадника на всем пути.

Задача 10. Тело совершает два последовательных, одинаковых по длине перемещения со скоростями 20 м/с под углом 60° к направлению оси Ох и 40 м/с под углом 120° к тому же направлению. Найти среднюю скорость движения.

Задача 11. Когда две лодки равномерно движутся навстречу друг другу - одна по течению, а другая против течения реки, то расстояние между ними сокращается на 20 м за каждые 10 с. Если же лодки с прежними по модулю скоростями будут двигаться по течению реки, то расстояние между ними за то же время будет увеличиваться на 10 м. каковы скорости лодок относительно воды?

Все эти задачи посвящены тематике первой лекции.

Семинарское занятие № 3

Ниже представлено несколько задач на равноускоренное движение, т.е. используют материал второй лекции.

Задача 1. Торможение автомобиля до полной остановки заняло время 4 с. и происходило с постоянным ускорением 4 м/с2. Найдите тормозной путь.

В данной задаче осуществляется метод синтеза нескольких формул, а именно формулы для нахождения ускорения, и формулы для нахождения перемещения при известных начальной скорости и ускорении. В результате расчётов получим, что перемещение равно:

 м

Задача 2. Локомотив находился на расстоянии L = 400 м от светофора и имел скорость 54 км/ч , когда началось торможение с ускорением, модуль которого 0,3 м/с2 . На каком расстоянии S от светофора остановится локомотив?

Задача 3. Автомобиль, двигаясь равноускоренно, через 5 с после начала движения достиг скорости 36 км/ч. Какой путь прошел автомобиль за третью секунду движения.

Задача 4. При равноускоренном движении точка проходит в первые два равных последовательных промежутка времени t=4 с отрезки пути S1 = 24 м и S2 =64 м. Чему равна средняя скорость движения точки на первой и второй половине пути?

Задача 5. За пятую секунду равнозамедленного движения точка проходит 5 см и останавливается. Какой путь проходит точка за третью секунду этого движения?

Задача 6. Длина перегона трамвайного пути равна 400 м. Зная, что в начале и в конце перегона трамвайный вагон движется с постоянным ускорением 0,5 м/с2 и что вагон должен проходить перегон за 1 мин 20 с, определите наибольшую скорость, с которой должен двигаться вагон.

Задача 7. С крыши дома через каждые четверть секунды падают капли воды. На каком расстоянии друг от друга будут находиться первые две капли воды в момент отрыва десятой? С какой скоростью будет двигаться первая капля относительно второй?

В данной задаче необходимо выбрать систему отсчёта.

Задача 8. Дальность полёта тела, брошенного в горизонтальном направлении со скоростью 9,8 м/с, равна высоте, с которой брошено тело. Чему равна эта высота, и под каким углом к горизонту тело упало на землю?

В данной и нескольких нижеприведённых задачах рассматривается двумерная система отсчёта, а также используется векторный метод решения задач. Для качественного решения необходимо строить графическое описание физического процесса.

Задача 9. Тело, брошенное под углом к горизонту, имеет дальность полёта lm и максимальную высоту подъёма hm. Чему равны угол бросания и начальная скорость тела?

Задача 10. Орудие установлено на расстоянии 8100 м от вертикального обрыва высотой 105 м. под каким углом нужно установить ствол, чтобы снаряды подали как можно ближе к основанию обрыва? На каком расстоянии от обрыва будут при этом падать снаряды? Начальная скорость снарядов равна 300 м/с

Семинарское занятие № 4

Далее представлены задачи на движение по окружности, для их решения используется теоретический материал третьей лекции.

Задача 1. Линейная скорость точек обода, вращающегося колеса равна 50 см/с, а линейная скорость его точек, находящихся на 3 см ближе к оси вращения равна 40 см/с. Определить радиус колеса.

В данной задаче также используется синтез формул, так как линейные скорости выражают через угловые, в результате чего находят радиус.

Задача 2. Колесо катится без проскальзывания по горизонтальной дороге со скоростью 1 м/с. Определите скорость точки колеса, лежащей на верхнем конце вертикального диаметра.

Относительно поступательно движущейся системы отсчёта, связанной с осью колеса, оно совершает чисто вращательное движение с угловой скоростью. Скорость любой точки колеса относительно земли равна векторной сумме скорости поступательного движения, равной скорости колеса и скорости вращательного движения. Так как колеса катится без проскальзывания, скорость нижней точки колеса равна нулю, т.е. скорости поступательного и вращательного движений в этой точке компенсируются. В точке, лежащей на верхнем конце диаметра, скорость вращательного движения направлена в ту же сторону, что и скорость колеса, т.е. скорость этой точки относительно земли равна 2 м/с.

Таким образом, при решении данной задачи мы использовали синтез формул, векторный метод, а также выбор рациональной системы отсчёта.

Нижеприведённые задачи также изучают движение тел по окружности.

Задача 3. Минутная стрелка в 3 раза длиннее секундной Найти отношение линейных скоростей концов стрелок

Задача 4. Число зубьев одной из шестерен зубчатой передачи 18, а второй 90. Определить угловую скорость второй шестерни, если первая совершает 3000 об/мин

Задача 5. Линейная скорость точек окружности вращающегося диска 3 м/с, а точек, находящихся на 0,1 м ближе к оси вращения, 2 м/с . Сколько оборотов делает диск в минуту?

Задача 6. Найти линейную скорость и ускорение точек на поверхности земного шара: а) на экваторе; б) на широте 60°; в) на полюсах. Радиус Земли принять равным 6400 км

Задача 7. Гладкий диск радиусом R . плоскость которого горизонтальна, вращается вокруг своей оси с частотой п = 40 об/мин . От поверхности диска на расстоянии R/2 от оси отрывается небольшое тело, которое без трения скользит по диску. Через какое время оно соскользнет с диска?

Задача 8. Диск начинает движение из состояния покоя и вращается равномерно-ускоренно. Каким будет угол между векторами скорости и ускорения произвольной точки диска, когда он сделает k оборотов?

Задача 9. Цилиндр радиусом 20 см вращается вокруг своей оси с частотой п = 20 об/мин . Вдоль образующей цилиндра с постоянной скоростью 30 см/с относительно поверхности цилиндра движется материальная точка. Определить полную скорость и ускорение этой точки. Какими будут скорость и ускорение, если точка движется по поверхности цилиндра в противоположном направлении с относительной скоростью - 30 см/с?

2.3.3 Лабораторная работа

Исследование равноускоренного движения без начальной скорости

Цель работы: определить ускорение движения шарика и его мгновенную скорость перед ударом о цилиндр.

Оборудование: желоб лабораторный металлический длиной 1,4 м, шарик металлический диаметром 1,5-2 см, цилиндр металлический, метроном (один на весь класс), лента измерительная, кусок мела.

Теоретические обоснования

Известно, что шарик скатывается по прямолинейному наклонному желобу равноускоренно.

При равноускоренном движении без начальной скорости пройденное расстояние определяется по формуле:


Зная ускорение, можно определить мгновенную скорость по формуле:


Если измерить промежуток времени t от начала движения шарика до его остановки при ударе о цилиндр и расстояние s, пройденное им за это время, то по формуле (2) мы вычислим ускорение шарика а, а по формуле (3) - его мгновенную скорость v.

Промежуток времени t измеряется с помощью метронома. Метроном настраивают на 120 ударов в минуту, значит, промежуток времени между двумя следующими друг за другом ударами равен 0,5 с. Удар метронома, одновременно с которым шарик начинает движение, считается нулевым. В нижней половине желоба помещают цилиндр для торможения шарика. Положение цилиндра опытным путем подбирают так, чтобы удар шарика о цилиндр совпадал с третьим или четвертым от начала движения ударом метронома. Тогда время движения t можно вычислить по формуле:


где п - число ударов метронома, не считая нулевого удара (или число промежутков времени по 0,5 с от начала движения шарика до его остановки).

Начальное положение шарика отмечается мелом. Расстояние s, пройденное им до остановки, измеряют сантиметровой лентой.

Указания к работе

. Соберите установку по рисунку (Наклон желоба должен быть таким, чтобы шарик проходил всю длину желоба не менее чем за четыре удара метронома.)


. Перечертите таблицу в тетрадь


. Измерьте расстояние s, пройденное шариком за три или четыре удара метронома. Результаты измерений занесите в таблицу

. Вычислите время t движения шарика, его ускорение и мгновенную скорость перед ударом о цилиндр. Результаты измерений занесите в таблицу 3 с учетом абсолютной погрешности, полагая


Заключение

В ходе выполнения дипломной работы были изучены методологические основы предпрофильного образования, выявлена необходимость его введения в курсе среднего общего образования. Мы выяснили, что введение профильного обучения поможет ученику определиться со своей будущей профессией, а также даст возможность более качественно подготовиться к экзаменам в высшее учебное заведение.

Кроме этого, мы рассмотрели материал, содержание которого является основой для элективного курса «Основы кинематики», а также разработали примерную рабочую программу элективного курса.

Разработка элективного курса «Основы кинематики» в нашей работе несёт особую нагрузку, так как основной её целью является обучение школьника методике решения задач по физике.

Разработанный нами элективный курс может успешно применяться в средних общеобразовательных школах. К сожалению, на сегодняшний момент его апробация не была осуществлена, но это планируется сделать при проведении профессиональной деятельности.

Список используемой литературы

1.     Балашов М.М. Методические рекомендации к преподаванию физики в 7-8 классах средней школы: кн. для учителя. - М.: Просвещение, 1991. -156 с.

2.       Балашов М.М. Механика за 70 уроков. - М.: Просвещение, 1993. - 60 с.

.        Васюков В. И., Еркович О.С. Физика. Пособие для поступающих в вузы. - М.: Ориентир, 2004. - 456 с.

.        Дмитриев С.Н., Васюков В.И., Струков Ю.А. Физика: сборник задач для поступающих в вузы. - М.: Ориентир, 2004. - 304 с.

.        Калбергенов Г.Е. Физика в таблицах и схемах. - М.: Просвещение, 2005. - 134 с.

.        Концепция профильного обучения на старшей ступени общего образования// Вестник образования. - 2002. - 12. - с. 5-7, 11-16, 80-82.

.        Кошкин Н.И., Васильчикоав Е.Н. Элементарная физика: справочник. - М.: Высш. шк., 2003. - 261 с.

.        Малобродский Д.И. Хипенякова Л.С. Преподавание механики в 9 классе. - М.: Просвещение, 1973. -78 с.

.        Оконь В. Введение в общую дидактику. - М.: Высшая школа, 1990. - 382 с.

.        Поспелов Н. Н., Поспелов И. Н. Формирование мыслительных операций старшеклассников. - М.: Педагогика, 1989, - 152 с.

.        Рубинштейн С. Л. Основы общей психологии. - СПб.: Питер, 1999. - 720 с.

.        Теория и методика обучения физики в школе: общие вопросы/С.Е. Каменецкий, Н.С. Пурышева и др. - М.: АКАДЕМИЯ, 2000. - 368 с.

.        Трофимов Т.И., Фирсов А.В. Физика: формулы, формулировки. - М.: Вербум-М, 2001. - 176 с.

.        Унт И. Э. Индивидуализация и дифференциация обучения. - М.: Педагогика, 1990. - 192 с.

.        Черноуцан А.И. Решение избранных задач по физике/под ред. В.И. Антипова. - М.: Высшая школа, 2002. - 342 с.

.        Эвенчик Э.Е. Преподавание механики в курсе средней школы. - М.: Просвещение, 1971. -88 с.

Приложение

Похожие работы на - Разработка элективного курса 'Кинематика' для учеников средних общеобразовательных учебных учреждений

 

Не нашли материал для своей работы?
Поможем написать уникальную работу
Без плагиата!
Без нейросетей!