Социальное развитие России на карте мира

  • Вид работы:
    Статья
  • Предмет:
    Социология
  • Язык:
    Русский
    ,
    Формат файла:
    MS Word
    1,37 Mb
  • Опубликовано:
    2012-03-25
Вы можете узнать стоимость помощи в написании студенческой работы.
Помощь в написании работы, которую точно примут!

Социальное развитие России на карте мира

 

 

 

 

 

 

 

 

 

 

 

 

 

 

Социальное развитие России на карте мира


Н.Н. Клюев

 

Жизнь народа каждой страны многомерна, она не описывается даже тысячью параметров, и все из них важны. Между тем сопоставимая информация о состоянии общества в странах мира до сих пор весьма ограничена. Важным источником социальной статистики, позволяющим вести корректные международные сопоставления, стал ежегодный Доклад о развитии человека. На основе статистической информации, содержащейся в новом Докладе [1], попытаемся представить «социальный портрет» России в глобальном интерьере, выявить современное её место на мировой карте социального благополучия.

Признанным информативным показателем социального развития страны выступает индекс развития человеческого потенциала (ИРЧП) - показатель, интегрально характеризующий уровень материального благосостояния (душевой валовый внутренний продукт - ВВП), демографическую ситуацию (ожидаемая продолжительность предстоящей жизни при рождении) и уровень образования (рассчитывается на основе показателя уровня грамотности населения и показателя количества обучающихся в учебных заведениях).

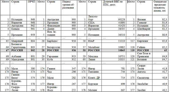
В 2005 г. наивысший ИРЧП зафиксирован в Исландии и Норвегии. Россия стоит на 67-ом месте в мире - табл.1. «Составляющие» российского ИРЧП далеко не равнозначны. На мировом фоне среднестатистический российский человек отличается высокой образованностью, средним уровнем материального достатка и крайне невысокой продолжительностью жизни.

По уровню образования Россия занимает достойное 28-е место, между Белоруссией и Германией - рис.1. Душевой ВВП, рассчитанный по паритету покупательной способности (ППС), в России немного превышает среднемировой - 58-е место, рядом с ЮАР, Малайзией, Мексикой и Ливией - рис.2.

В большинстве стран наивысшее значение ВВП в период 1975-2005 гг. приходится, естественно, на последний, 2005 г. Но в некоторых странах максимальный экономический результат был достигнут ранее, что объясняется, например, благоприятной ценовой конъюнктурой для нефтедобывающих стран. С этим связан, в частности, пик экономического процветания в Кувейте в 1979 г. и Объединенных Арабских Эмиратах в 1981 г. Российский максимум ВВП приходится на позднесоветский 1989 г. (полезно вспомнить, что мировые цены на нефть тогда были невысоки). За 17 лет (1989-2005 гг.) наш ВВП (по ППС) сократился на 10%. Среднегодовые темпы его роста (в данном случае, соответственно - падения) составили минус 0,7%. В этот же период мировая экономика росла на 1,4% в год. Такие мощные экономики, как США, Германия, Италия развивались умеренно - средний темп роста ВВП 2%. Их заметно опережали, например, Ирландия (4,5%), Вьетнам (5,2%), Ботсвана (5,9%) и, разумеется, Китай (8,4%). Впрочем, российский показатель ежегодного падения валового продукта отнюдь не самый худший. В Гаити, например, он составил -2,2% в год, на Украине -3,8%, в Грузии -3,9%.

Сократившийся за годы перестройки и реформ ВВП России распределяется весьма неравномерно. Доходы 10% богатейших наших жителей в 12,7 раз превосходят доходы беднейших 10%. Неравенство по доходам намного меньше в Германии, Швеции, Норвегии, где соответствующий коэффициент составляет 6,1 - 6,9 раз, и Японии (4,5 раза). Впрочем, североамериканский уровень неравенства (США - 15,9 раз) к нам всё же ближе, чем латиноамериканский (Колумбия - 63,8 раза, Парагвай - 65,4 раза) и африканский (Намибия - 128,8 раза) уровни.

Гораздо ближе к отсталому - в социальной сфере - миру наша страна находится по ожидаемой продолжительности жизни (119-е место). Особенно неблагоприятна ситуация со смертностью мужчин. Если в мире в целом вероятность дожить до 65 лет среди мужчин составляет 63,1% (максимум в Исландии - 88,7%), то в России - лишь 42,1%. Это - уровень Чада, Эфиопии, Папуа - Новой Гвинеи - рис.3.

Ещё более неблагополучными являются современные изменения ожидаемой продолжительности жизни в нашей стране. Если в 1970-1975 гг. она составляла 69 лет, в 1986-1987 гг. возросла до 70,1 года [4], то в 2000-2005 гг. упала до 64,8 года. У нас поворот кривой продолжительности жизни вниз произошёл в начале 1990-х гг., и трудно не связать его с развернувшимися в этот период крупномасштабными социальными экспериментами.

Степень витальности (жизнеспособности) российского общества была резко подорвана наступившей нищетой масс и стрессовым состоянием, связанным с лишением людей привычных ориентиров, кардинальной ломкой всех ценностей, зависанием в неопределённости при неясном векторе общественного развития и отсутствием чёткой (или хотя бы нечёткой) доктрины социальных перемен.

За 1970-2005 гг. ожидаемая продолжительность жизни в мире выросла на 8,3 года (лидер - Вьетнам - плюс 23,4 года). Конечно, Вьетнам стартовал в 1970 г. с весьма низкого уровня в 50,3 года, но и бывшая на тот период на самом высоком месте в мире Швеция (74,7 лет) прибавила за четверть века заметно - до 80,1 года. По темпам роста продолжительности жизни за указанный период Россия на 168-м (!) месте в мире - табл. 2. Лишь в пяти странах неблагоприятная динамика хуже - в Лесото, Ботсване, Свазиленде, Замбии и Зимбабве. Замечу, что в указанных странах - у наших африканских соседей в этом списке - не только высокий уровень нищеты (в Лесото, например, 36,4% населения живёт менее, чем на 1 доллар в день, в Зимбабве - 56,1%), но и высокий уровень распространения ВИЧ (Лесото - 23,2%, Ботсвана - 24,1%, Свазиленд - 33,4%). У российской динамики смертности - «африканское лицо», хотя ни столь вопиющей нищеты, ни эпидемии ВИЧ у нас не наблюдается.

По уровню младенческой смертности Россия занимает 60-е место - не самое плохое для наших медико-демографических показателей (ситуация с заболеваемостью туберкулёзом, например, значительно хуже - 111-е место), но и здесь динамика негативная. В 1970 г. Россия отставала по младенческой смертности (29 на 1000 живорождённых) от лидера - Швеции (11), но находилась на уровне Италии (30) и опережала Португалию (53), Корею (43), Кубу (34). К 2005 г. в названных странах младенческая смертность сократилась до 4-6, а в России - лишь до 14 (рис.4). В современном мире это уровень Шри-Ланки, Вьетнама, Колумбии.

Россия не лучшим образом выглядит в мире и по такому мало престижному показателю, как распространение курения. По доле курящих мужчин (60%) наша страна уступает в мире лишь Монголии (68%), Китаю (67%), Казахстану (65%) и Армении (62%) (среди 95-и стран, по которым имеются данные). Распространение курения среди российских женщин составляет 16%, до мировых лидеров (здесь: аутсайдеров) далеко: Нидерланды, Германия, Венгрия (по 28%), Чили - 37%. Однако в Китае курит лишь 4% женщин, в Казахстане - 9%, в Армении - 2%. В итоге, по удельному весу курящих среди всего населения Россия сохраняет непочётное «лидерство» наряду с Монголией и Албанией. Высокая распространённость курения закладывает основы будущей деградации человеческого капитала.

Вследствие прежде всего сокращения ожидаемой продолжительности жизни российский индекс развития человеческого потенциала за 1990-2005 гг. уменьшился, в то время как у подавляющего большинства стран он возрос. Из рис.5 видны страны, с которыми по динамике ИРЧП Россию можно объединить в одну группу. Это Конго, Центрально-Африканская республика, Кот д'Ивуар и т.п. Получается, что по темпам социального развития (вернее, неразвития и даже деградации) на рубеже веков Россия попадает в мировое захолустье.

Степень социального неблагополучия в России отражает наше «лидерство» по числу преднамеренных убийств на 100 тыс. чел. Из 125 стран, по которым есть данные, мы на 118-ом месте в мире. По уровню убийств наша страна аналогична Эквадору, Никарагуа, Гватемале. В большинстве европейских стран совершается 1-3 убийство на 100 тыс. жителей, в США вдвое больше - 5,6. Жители России истребляют друг друга намного активнее - 19,9 убийства (2005 г.).

В России чрезвычайно высок на мировом фоне уровень преступности. Этот уровень можно отследить по количеству заключённых, содержащихся в тюрьмах, на 100 тыс. чел. По этому параметру в 2007 г. Россию (611 заключённых) опережали лишь Руанда (691) и США (738). Конечно, ввиду различий в юридических системах разных стран подобные данные не в полной мере сопоставимы. Однако, по-видимому, в общих чертах «население тюрем» (так не совсем удачно переведён на русский язык этот показатель в Докладе [1]) отражает криминальную обстановку. В мире есть 169 стран, где она лучше, чем в России.

Рис.6 показывает соотношение элементов ИРЧП по некоторым странам мира, сильно различающимся по конфигурации человеческого потенциала. Эти конфигурации выявляют синдромы социального (не)благополучия стран на мировом фоне. Можно видеть, что кубинский потенциал, который можно выразить формулой «Образование (уровень образования) > Жизнь (ожидаемая продолжительность жизни) > Доходы (душевой ВВП)», имеет изъян по показателю душевых доходов. Куба характеризуется сопоставимыми с США уровнями образования и продолжительности жизни, но существенно уступают им по душевому ВВП. Ещё более заметна аналогичная диспропорция в Таджикистане.

Конфигурация ИРЧП Ботсваны (Доходы > Образование > Жизнь) перекошена в сторону низкой продолжительности жизни, а Нигера (Жизнь > Доходы > Образование) - невысокого образовательного уровня.

Жителей России (Образование > Доходы > Жизнь), как уже отмечалось, можно охарактеризовать так: высокообразованные, среднеобеспеченные, мало живущие.

Наиболее сбалансированным является японский ИРЧП. Обнаружилась ожидаемая закономерность: чем выше ИРЧП, тем более сбалансированы его элементы (коэффициент корреляции между ИРЧП и коэффициентом вариации элементов ИРЧП каждой страны равен минус 0,65) - рис.7. Получается, что в целом благополучные страны, как и благополучные семьи, счастливы одинаково, а каждая неблагополучная страна несчастлива по-своему.

Краткое межстрановое сопоставление на основе информации, содержащейся в Докладе, показывает, что в России весьма неблагоприятное состояние социальной сферы, а по некоторым параметрам (продолжительность жизни, преступность, убийства) - крайне неблагополучное. Рис.8 позволяет диагностировать в нашей стране грубо капиталистический тип общества. Относительные экономические успехи страны сопровождаются деградацией социальных характеристик, а вернее - в основе этих успехов лежит деградация человеческого капитала.

В частности, примером может служить «псевдо-интенсификация» отечественного аграрного сектора. Прирост производства в пореформенном сельском хозяйстве достигается не за счет повышения технического уровня (применения производительных машин, удобрений, новых технологий и т.п.), а за счёт усиления эксплуатации земельных ресурсов, а также ужесточения эксплуатации труда, прежде всего труда доиндустриальной эпохи - мускульной силы человека в личных подсобных хозяйствах населения, ставших ныне основными кормильцами страны [2] .

В условиях систематического уклонения российского государства от выполнения социальных функций наше бедное население выживает за счёт чрезмерной эксплуатации биологических ресурсов [5] - почвенного плодородия, браконьерства, незаконных рубок леса, замозаготовок дров, самозахвата земель и т.п. В результате происходит подрыв экологического потенциала страны. Кстати, на другом социальном полюсе - богатое меньшинство нашего общества выживает (хотя, по-видимому, здесь правильнее сказать - «процветает») за счёт эксплуатации ресурсов литосферы, тоже чрезмерной эксплуатации.

Процессы деградации человеческого и экологического потенциалов в нашей стране находятся в противофазе с современными мировыми тенденциями. В формирующемся постиндустриальном, информационном обществе «социальные, культурные, экологические продукты заменяют материальные блага в качестве сердцевины производства» [3]. Если в сфере недвижимости, как образно говорят специалисты, на эффективность проекта влияют три фактора: место, место и … место, то в индустрии информационных технологий фактора тоже три - это кадры, кадры и ещё раз кадры. Трудовые ресурсы, отвечающие вызовам современности, могут формироваться лишь в высококачественной социальной среде.

Анализ места России на мировой карте социального благополучия требует, конечно, более детальных и обширных исследований. Доклад даёт чрезвычайно ценную и актуальную информацию для проведения типологии стран мира по уровню и характеру социального и экономического развития. Но даже проведённый экспресс-анализ позволил получить важные результаты:

·        Выявить синдром социального неблагополучия в России: её европейский облик по уровню образования; место «середняка» (пусть и не процветающего) по материальному благосостоянию; латиноамериканское «лицо» по убийствам и африканское - по продолжительности жизни и нисходящей ветви развития человеческого потенциала.

·        Показать, какой социальной ценой оплачены маловразумительные иррациональные реформы 1990-х годов, что помогает определить приоритеты социально-экономической политики.

Больная нация с ухудшающими социальными характеристиками и деградирующей средой обитания не может претендовать на место в авангарде мировой экономики в современной модели развития, в центре которой - непосредственно человек. Стратегические интересы России требуют отказаться от фетишизации экономического роста (пример которой - идея удвоения ВВП, едва ли не единственное достижение экономической мысли в пореформенный период) и сконцентрироваться на социальных и экологических факторах развития.

Табл. 1. Индекс развития человеческого потенциала и его элементы в некоторых странах мира, 2005 г.


Табл.2. Изменения ИРЧП и ожидаемой продолжительности жизни в некоторых странах мира

Место

Страна

Изменение ИРЧП за 1990-2005 гг.

Место

Страна

Изменение ожидаемой продолжительности жизни за 1970-2005 гг., лет

1

Китай

0,143

1

Вьетнам

23,4

2

Экваториальная Гвинея

0,137

2

Оман

22,9

3

Египет

0,133

3

Бутан

4

Бангладеш

0,125

4

Йемен

21,7

5

Лаос

0,123

5

Ливия

20,6

124

Конго

-0,011

164

Намибия

-2,3

125

Конго, Дем. Респ.

-0,012

165

Украина

-2,4

126

РОССИЯ

-0,013

166

Кот-д"Ивуар

-2,4

127

ЦАР

-0,014

167

Белоруссия

-2,8

128

Кот-д"Ивуар

-0,018

168

ЮАР

-2,9

169

РОССИЯ

-4

134

Замбия

-0,043

170

Лесото

-7,2

135

Лесото

-0,056

171

Ботсвана

-7,9

136

ЮАР

-0,057

172

-8,7

137

Свазиленд

-0,086

173

Замбия

-9,6

138

Зимбабве

-0,141

174

Зимбабве

-14,7

Рис. 1. Двадцать стран-аналогов России по индексу уровня образования, 2005 г.

Рис. 2. Двадцать стран-аналогов России по душевому ВВП (по ППС), 2005 г., долларов

Рис. 3. Двадцать стран-аналогов России по вероятности дожития мужчин до 65 лет, %, 2005 г

благополучие социальный экономический россия

Рис. 5. Двадцать стран-аналогов России по изменению ИРЧП за 1990-2005 гг.


Список литературы

[1] Доклад о развитии человека 2007/2008. Борьба с изменениями климата: человеческая солидарность в разделённом мире / Пер. с англ. - М.: Весь мир, 2007. - 400 с.

[2] Клюев Н.Н. Эколого-хозяйственная трансформация постсоветской России и ее регионов // Известия РАН, сер. геогр., №1, 2004, с.37-45.

[3] Мироненко Н.С. Особенности пространственной структуры современного мирового хозяйства // Институциональная модернизация российской экономики: теоретический аспект. - Ростов-на-Дону, РГУ, 2004, с.53-68.

[4] Российский статистический ежегодник. Стат. сб. /Госкомстат России. - М., 1995. - 976 с.

[5] Тишков А.А. Биосферные функции природных экосистем России. - М.: Наука, 2005. - 309 с.


Не нашли материал для своей работы?
Поможем написать уникальную работу
Без плагиата!
Без нейросетей!