Использование мультимедийных средств при изучении свойств степенной функции в общеобразовательной школе
Департамент образования города Москвы
Государственное
образовательное учреждение
высшего
профессионального образования
города Москвы
«Московский городской педагогический
университет»
Математический факультет
Кафедра математического анализа и
методики его преподавания
ДИПЛОМНАЯ РАБОТА
По теме
Использование мультимедийных средств
при изучении свойств
степенной функции в
общеобразовательной школе
По
специальности № 050201.65
«Математика»
с дополнительной
специальностью
«Информатика»
Студентки
курса очной формы обучения
Пантелиди Е.
А.
Научный
руководитель
ст.
преподаватель
Кирюшкина
О.В.
Москва, 2010
Введение
Изучение школьной программы по математике сопровождается применением
средств наглядности и визуализации базовых элементов математической теории.
Наглядные средства используются не только для создания у школьников
образных представлений, но и для формирования понятий, для понимания
отвлеченных связей и зависимостей - это и есть одно из важнейших положений
дидактики.
В настоящее время учитель математики ставит перед собой задачи: сообщить
школьникам определенную информацию, некоторым набором фактов и теорем и научить
учащихся думать, развить их творческую инициативу, мысль, самостоятельность.
Функциональная линия школьного курса математики является одной из
ведущих, определяющих стиль изучения многих тем и разделов курса алгебры.
Изучение функций в средней школе позволяет раскрыть внутренние связи между
понятием функции и другими понятиями школьного курса математики, осуществлять
межпредметные связи.
В школе учащиеся овладевают понятиями функции, ее графика и способов
задания. Изучают элементарные функции, знакомятся с такими свойствами функций,
как: область определения, область значения, монотонность, четность и другие.
Учатся применять знания о функциях к изучению разнообразных процессов и
явлений.
Изучение степенной функции в 9 классе расширяет представление учащихся о
функции, ее свойствах и графике.
Использование компьютерных технологий на уроках позволяет формировать и
развивать познавательную мотивацию школьников к получению новых знаний, так же
помогает создавать условия успешности каждого ученика на уроке, значительно
улучшает чёткость в организации работы учащихся.
Цель дипломной работы заключается в создании мультимедийного пособия по
теме «Свойства степенной функции», содержащего динамические иллюстрации,
использование которых позволит школьникам получить более прочное и ясное
представление о степенной функции. Для достижения данной цели, были поставлены
следующие задачи:
1. Изучить психолого-педагогическую литературу о развитии мышления
и памяти у учащихся и об использовании мультимедийных средств в процессе
обучения, в частности, установить роль и виды компьютерной наглядности в
обучении, требования, предъявляемые к компьютерным средствам обучения;
2. Проанализировать методическую литературу по теме «Свойства
степенной функции» курса алгебры средней школы;
. Разработать мультимедийное пособие по теме «Свойства степенной
функции»;
. Разработать методические рекомендации по использованию этого
мультимедийного пособия в учебном процессе.
Решение поставленных задач определило структуру дипломной работы. Она
состоит из двух частей, введения, заключения, списка литературы и приложения.
Первая часть посвящена изучению психолого-педагогических основ использования
компьютерных пособий в процессе обучения. Рассматривается целесообразность
использования компьютерной наглядности, определяются возможности использования
современных компьютерных средств в процессе обучения и требования,
предъявляемые к ним. Для отбора содержания и определения структуры нашего
учебного пособия, проводится анализ учебно-методической литературы по теме
«Степенная функция».
Во второй части описывается мультимедийное пособие по теме «Свойства
степенной функции», задача которого состоит в визуализации учебного материала,
связанного с изучением степенной функции, а также даются методические
рекомендации по применению этого дидактического пособия.
К работе прилагается компакт-диск, содержащий мультимедийное пособие по
теме «Свойства степенной функции».
Глава 1. Психолого-педагогические основы использования компьютерных
технологий как средства наглядности при изучении темы «Свойства степенной
функции»
§1. Психолого-педагогические аспекты реализации принципа наглядности при
изучении математики в средней школе
1. Наглядность как один из основных принципов обучения
Одним из важнейших принципов обучения является принцип наглядности, так
как путь человеческого познания начинается с чувственного восприятия конкретных
фактов и явлений.
На основе особенностей человеческого восприятия педагогика и психология
утверждают, что наиболее высокое качество усвоения информации достигается при
сочетании словесного изложения материала и использования средств наглядности,
которые дают возможность визуально представить предъявляемую информацию.
Наглядный материал служит внешней опорой внутренних действий, совершаемых
учеником под руководством учителя в процессе овладения знаниями.
Наглядность в обучении способствует тому, что у школьников, благодаря
восприятию предметов и процессов окружающего мира, формируются представления,
правильно отображающие объективную действительность, и вместе с тем
воспринимаемые явления анализируются и обобщаются в связи с учебными задачами.
Использование наглядных средств не только для создания у школьников
образных представлений, но и для формирования понятий, для понимания
отвлеченных связей и зависимостей - одно из важнейших положений дидактики.
Ощущение и понятие - различные ступени единого процесса познания.
Еще Я. А. Коменский выдвинул «золотое правило»: «все, что ...можно,
предоставлять для восприятия чувствам...» [20]. Требование, чтобы знания
черпались учениками прежде всего из собственных наблюдений, сыграло большую
роль в борьбе с догматическим обучением.
Принцип наглядности был значительно обогащен в трудах Г. Песталоцци.
Отстаивая необходимость наглядности в обучении, он считал, что органы чувств
сами по себе доставляют нам беспорядочные сведения об окружающем мире. Обучение
должно уничтожить беспорядочность в наблюдениях, разграничить предметы, а
однородные и близкие снова соединить, то есть сформировать у учащихся понятия.
В педагогической системе К. Д. Ушинского [38] использование наглядности в
обучении органически связано с преподаванием родного языка. Ушинский считал,
что лучшим средством добиться самостоятельности детей в процессе развития дара
слова служит наглядность. Необходимо, чтобы предмет непосредственно
воспринимался ребенком и чтобы под руководством учителя «...ощущения дитяти
превращались в понятия, из понятий составлялась мысль, и мысль облекалась в
слово».
Принцип наглядности вытекает из сущности процесса восприятия, осмысления
и обобщения обучаемыми изученного материала. Л.С. Выготский, признавая ценность
наглядности, протестовал против обучения на одной только ее основе. К.Д.
Ушинский требовал, чтобы возникающие на основе ощущений понятия объединялись
затем в мысль, а мысль находила словесное выражение. Теоретическим обоснованием
принципа наглядности является учение И.П. Павлова о взаимодействии I и II
сигнальных систем. Языковые знаки, являясь важным средством отражения, сами не
отражают обозначаемые объекты. По И.П. Павлову, предметный раздражитель
вызывает ответную реакцию, словесный раздражитель опосредован промежуточным
этапом - в коре головного мозга оживает связь между словом и образом,
запечатленная в прошлом опыте. Физиолог П.К. Анохин доказал, что между
восприятием и мыслью существует не только прямая последовательная связь, но и
более сложная зависимость. Он охарактеризовал явление “опережающего отражения”,
при котором человек уже опирается на мысль при чувственном восприятии
действительности. “Мыслить, - отмечал С.Л. Рубинштейн, - человек начинает
тогда, когда у него появляется потребность что-то понять. Мышление всегда
начинается с проблемы или вопроса, с удивления или недоумения. Этой проблемной
ситуацией определяется вовлечение личности в мыслительный процесс: он всегда
направлен на разрешение какой-то задачи ”.
И. М. Сеченов - выдающийся русский физиолог и мыслитель-материалист
отмечал, что мысль человека переходит из области ощущений в область внутренней
речи как системы условных знаков. Без этого элементы мышления, лишенные
образных форм, не имели бы возможности фиксироваться в сознании [36].
Рассмотрим принципы, признаки и функции наглядности на примере
иллюстрирования.
Наглядные средства обучения или иллюстративные материалы - это рисунки,
схемы, фотографии, мультимедиа, диаграммы и другие графические изображения,
поясняющие текст.
Принцип наглядности обучения в современной дидактике - это ориентация на
использование в процессе обучения разнообразных средств наглядного
представления соответствующей учебной информации [18].
В современной дидактике утверждается, что принцип наглядности - это
систематическая опора не только на конкретные визуальные предметы (люди,
животные, предметы и т.п.) и их изображения, но и на их модели. Модель -
условный образ какого-либо объекта или системы объектов. Натуральные предметы и
их изображения дают, прежде всего, представление о внешнем облике изучаемого
объекта в целом. Модели воспроизводят лишь отдельные, наиболее существенные
стороны явления или процесса, причем эти стороны должны быть отражены
адекватно, то есть быть изоморфны изучаемому явлению [7].
Чтобы сделать средства обучения наглядными, необходимо выделить основные
свойства изучаемого явления, то есть превратить его в модель, отразив при этом
реальные свойства.
Таким образом, изоморфизм и простота являются отличительными признаками
наглядности.
Роль учебных моделей (как вид иллюстраций) в формировании теоретических
понятий широко раскрыта советским педагогом и психологом В.В. Давыдовым. Он
характеризует учебные модели как своеобразный сплав наглядности и понятия,
конкретного и абстрактного и предлагает рассматривать моделирование как
дидактический принцип, дополняющий наглядность. Соотношение этих принципов В.В.
Давыдов определяет следующим образом: “…там, где содержанием обучения выступают
внешние свойства вещей, принцип изобразительной наглядности себя оправдывает.
Но там, где содержанием обучения становятся связи и отношения предметов,
- там наглядность далеко не достаточна. Здесь вступает в силу принцип
моделирования” [14].
Более правомерно говорить о моделировании как составной части принципа
наглядности, то есть о расширении содержания принципа наглядности. Это, в свою
очередь, означает расширение арсенала средств наглядности (использование не
только конкретно-образного материала, но и моделей) и расширение сферы их
применения (формирование не только представлений, но и понятий, не только знаний,
но и умений и навыков).
Благодаря современным компьютерным технологиям можно во всех подробностях
реализовать статические модели иллюстрации и представить эти модели в динамике,
то есть в движении.
Все это позволяет говорить о том, что средства наглядности обретают новую
функцию - управления познавательной деятельностью учащихся. С их помощью можно
подводить учащихся к необходимым обобщениям, учить применять полученные знания.
Итак, одним из требований эффективной методики использования
иллюстративных средств обучения является реализация их дидактических и
воспитательных возможностей.
Использование форм наглядности, которые не только дополняют словесную
информацию, но и сами выступают носителями информации, способствует повышению
степени мыслительной активности учащихся.
Изобразительные (рисунки, фотопортреты, фоторепродукции картин, живописи,
архитектуры и другие фотоизображения окружающего мира) и условно-графические
(таблицы, схемы, блок-схемы, чертежи графики, диаграммы, карты и картосхемы и
т.д.) средства наглядности, а также современные мультимедиа приложения (аудио-
и видеофрагменты, анимация) являются одними из эффективных дидактических
средств как для печатных, так и для электронных учебников, которые, как было
сказано выше, играют существенную роль в интеллектуальной познавательной
деятельности учащихся.
От наглядности, как и от доступности, смысловой полноты и других полезных
свойств теоретического материала зависит скорость восприятия учебной
информации, ее понимание, усвоение и закрепление полученных знаний.
Широкое использование того или иного вида иллюстраций в трудных для
понимания фрагментах текста, которые требуют наглядного разъяснения,
иллюстрирования понятий и определений, явлений и процессов, а также
оптимального использования иллюстраций для “оживления” всего материала (как
печатного, так электронного) позволяют улучшить восприятие, понимание и
усвоение, оптимизировать время обучения, повысить эффективность
учебно-познавательной деятельности в целом. Вышеперечисленные задачи в части реализации
принципа наглядности с успехом решаются в настоящее время с помощью новых
информационных технологий.
Отметим некоторые качества принципа наглядности обучения при
использовании информационных технологий: с одной стороны, средства современных
информационных технологий существенно повышают качество самой визуальной
информации, она становится ярче, красочнее, динамичнее. Огромными возможностями
обладают в этом плане технологии мультимедиа. С другой, при использовании
современных информационных технологий коренным образом изменяются способы
формирования визуальной информации, становится возможным создание разнообразных
моделей, явлений, процессов.
Если первое преимущество, касающееся реализации принципа наглядности
обучения, а именно - высокое качество компьютерной визуализации, как бы лежит
на поверхности и всеми признано, то второе преимущество, заключающееся в
возможности наглядно-образного представления абстрактных, сущностных, наиболее
значимых сторон и свойств изучаемых явлений, закономерностей, систем,
устройств, пока еще не в должной мере осознано. Но именно в нем скрывается
большой резерв повышения эффективности процесса обучения.
Иллюстративный материал нужно использовать в следующих случаях:
· в местах, трудных для понимания учебного материала, требующих
дополнительного наглядного разъяснения;
· для обобщений и систематизации тематических смысловых блоков
(в конце модуля, темы, параграфа); для общего "оживления" учебного
материала и повышения мотивации.
Принцип - "чем больше иллюстраций, тем лучше" - ложный. Наличие
большого количества иллюстраций в тексте, неоправданное количество переходов на
тот или иной вид рисунков, предоставление "неограниченной" свободы
передвижения (за счет средств компьютерной навигации) по всему полю гипертекста
к другим объектам посредством ссылок, может привести к противоположного
результату.
Так сколько должно быть иллюстраций, например, в одной теме? Ответ
однозначен: количество иллюстраций диктуется содержанием учебного материала и
психолого-возрастными особенностями контингента обучаемых. Конкретное
количество иллюстраций на страницу или тему курса специально не может быть
установлено.
Согласно исследованиям педагогической психологии в копилку формирования
знаний учебный текст вносит около 25-30%, иллюстративный материал - до 10-15%,
практические мероприятия и тренинги - до 35%, правильно выбранная методика
обучения и средства - около 25%, тесты - не более 5%.
Специалисты классифицируют наглядные средства обучения по содержанию,
характеру изображаемого и форме представления, при этом выделяются три группы:
. Изобразительная наглядность:
· фоторепродукции картин;
· фоторепродукции памятников архитектуры и скульптуры;
· фотопортреты;
· фотоизображения окружающего мира (природы и общества);
· учебные рисунки - специально созданные художниками или
иллюстраторами для учебных текстов;
· фоторисунки и аппликации;
· видеофрагменты (сюжетные видеоролики);
· видеофильмы (художественные и документальные).
2. Условно-графическая наглядность (логико-структурные схемы или модели):
· таблицы;
· схемы;
· блок-схемы
· диаграммы;
· гистограммы;
· графики;
· макеты;
· карты;
· картосхемы;
· планшеты.
3. Мультимедийная наглядность (на основе как изобразительных, так и
условно-графических иллюстраций):
· все фотоизображения;
· анимация и 3D моделирование (без звука);
· анимация и 3D моделирование (с музыкальным или речевым
сопровождением);
· аудиофрагменты (аудиофрагменты текста, аудиолекции, звуковые
комментарии к рисункам, речевые фрагменты персоналий и др.);
· видеофрагменты, или видеоролики;
· аудиовидеофрагменты (лекций, конференций, видеообращений,
политических событий, явлений и др.);
· видеофильмы (художественные и документальные).
Кроме представленной выше, существуют и другие классификации, такие как,
например, классификация наглядных средств по признаку восприятия учебного
материала. Под понятием восприятие информации подразумевается включение в
процесс усвоения информации органов чувств: слуховых, зрительных, двигательных
и др.
Чем больше органов чувств участвуют в восприятии учебной информации, тем
легче она усваивается. Конечно, кроме наличия иллюстративного материала, для
активизации процесса осмысления учебного текста важно, чтобы он был доступным,
интересным, логически взаимосвязанным, актуализированным. В этих целях лучше
использовать яркие и точные формулировки, таблицы, схемы, репродукции картин,
рисунки, анимацию, аудио-видеофрагменты.
Различают следующие виды восприятия и познания (см. табл. 1)
Таблица 1
Чтобы уроки стали живыми, яркими и запоминающимися, учитель может
использовать разные виды наглядности, применив плакаты, графики и картинки,
иллюстрирующие тот или иной сюжет. Рассмотрим виды наглядности.
. Виды наглядности
Выдающийся педагог Ян Амос Каменский противопоставляет принцип
наглядности сухому преподаванию. Он считал, что “людей нужно учить
разносторонне, не из книг только черпать мудрости, а с неба, с земли, с дубов,
буков”.
Существует шесть видов наглядности, которые можно использовать на уроках:
. Натуральная (естественная) наглядность
Натуральная (естественная) наглядность, представляющая собой реальные
предметы или процессы (объекты и явления, раздаточный материал и др.) и их
использование такими, какие они есть на самом деле [11].
. Изобразительная наглядность
Изобразительная наглядность (фотографии, художественные картины, рисунки,
учебные картины и др.) - это демонстрация на занятиях изображений предметов,
явлений, процессов, а также теоретических знаний о них. Существует три вида
изобразительной наглядности: художественная, символическая и текстовая [19].
Дети с легкостью запоминают главную мысль, если они ее не только услышат,
но и увидят.
. Аналогии
В аналогии упоминается два объекта и какое-нибудь ключевое утверждение,
связывающее эти объекты. Для одного объекта ключевое утверждение не очень
понятно, непривычно, неясно, сомнительно, а для второго - хорошо понятно,
привычно, ясно и очевидно.
В основе аналогии лежит сходство, в виде некоторого общего свойства или
нескольких свойств. Как следствие, в любой аналогии должно быть некое
сравнение, указывающее на то, что это свойство одинаково у обоих. В частности,
это может быть сравнение в яркой, художественной форме, то есть, метафора.
Наличие метафоры, почти всегда сигнализирует о явной или скрытой аналогии.
. Словесно-образная наглядность
Словесно образная наглядность - это использование художественных образов,
сравнений, образцов устного народного творчества. Применение словесно образной
наглядности помогает ярче раскрыть математические модели, облегчив тем самым
процесс восприятия и усвоения теоретического материала, усилить эмоциональное
воздействие на аудиторию слушателей.
. Практический показ
Практический показ обучающим тех или иных действий: выполнение физических
упражнений на уроках физкультуры, работа с определенным инструментом на уроках
трудового обучения, выполнение конкретных практических операций при обучении в
учебных заведениях [11].
. Внутренняя наглядность
Внутренняя наглядность - это возникающие в сознании школьника все представления,
связанные с демонстрацией прибора, и опирающиеся на прошлый его опыт [23],
когда в процессе обучения как бы осуществляется опора на прежний опыт
обучающихся, когда им предлагается просто представить какую-либо ситуацию,
какое-то явление [11]. Например, при изучении свойств функций (возрастание,
убывание, максимум, минимум и др.) целесообразно их аналитическую запись
переводить на язык графиков и на этой основе тренировать учащихся
"читать" графики функций.
Наглядность является показателем простоты и понятности того психического
образа, который обучаемый создаёт в процессе восприятия, памяти, мышления и
воображения. Основная задача наглядности - базировать развитие мышления
учащихся на чувственно-наглядных впечатлениях. Благодаря наглядности создаются
условия для практического применения осваиваемого материала. Наглядность не
должна сводиться к какому-то автоматизму, к механическому отражению внешних
предметов. Она должна включаться в познавательную систему головного мозга,
являясь “пищей для ума”, и в процессе обработки информации давать в той или
иной степени содержательные знания об исследуемом объекте.
Использование наглядности повышает эффективность урока, так же
наглядность помогает формировать визуальное мышление, а визуальное мышление
играет важную роль, когда мы работаем с объектами. Таким образом, формирование
словесных понятий необходимо подкреплять визуальными образами.
. Визуальное мышление
Познание окружающей действительности начинается с ощущений и восприятия и
переходит к мышлению.
Мышление - это психический процесс опосредствованного и обобщенного
отражения действительности в ходе ее анализа и синтеза, возникающий на основе
практической деятельности, из чувственного познания и далеко выходящий за его
пределы [4].
Различаются три формы мышления - понятие, суждение и умозаключение.
Понятие - форма мышления, в которой отражаются общие и при том
существенные свойства однородной группы предметов и явлений.
Суждение - форма мышления, в которой что- либо утверждается или
отрицается о предмете, его свойствах или отношениях между предметами.
Рассуждение (умозаключение) - это словесное изложение, разъяснение и
подтверждение какой-либо мысли. Рассуждение приводит к получению нового знания
о предмете.
Функция мышления - расширение границ познания путем выхода за пределы
чувственного восприятия. Мышление позволяет с помощью умозаключения раскрыть
то, что не дано непосредственно в восприятии.
Задача мышления - раскрытие отношений между предметами, выявление связей
и отделение их от случайных совпадений. Мышление оперирует понятиями и
принимает на себя функции обобщения и планирования.
Мышление - высшая форма активного отражения объективной реальности,
состоящая в целенаправленном, опосредованном и обобщенном отражении субъектом
существенных связей и отношений действительности, в творческом созидании новых
идей, прогнозировании событий и действий (говоря языком философии); функция
высшей нервной деятельности (говоря языком физиологии); понятийная (в системе
языка психологии) форма психического отражения, свойственного только человеку,
устанавливающая с помощью понятий связи и отношения между познаваемыми
феноменами. Мышление имеет ряд форм - от суждений и умозаключений до
творческого и диалектического мышления и индивидуальные особенности как
проявление ума с использованием имеющихся знаний, запаса слов и индивидуального
субъективного тезауруса.
Механизм создания образа таков: чувственный опыт, полученный в процессе
восприятия, накладывается на познавательные структуры человека, в результате
чего приобретает образную форму.
Таким образом, в создании образа участвует восприятие с последующим
наложением новой чувственной информации на уже имеющиеся знания и опыт. Если
речь идет о зрительном восприятии, то становится ясно, что умение видеть,
которым виртуозно владеет каждый здоровый человек, на самом деле является
результатом работы механизмов зрительного восприятия и интерпретации цвета,
света и тени, попадающих на наши глаза с ранее полученной системой знаний.
Таким образом, восприятие представляет собой часть мыслительной
деятельности.
В частности, зрительное восприятие является базой зрительного
(визуального) мышления. То есть, визуальное мышление берет свое начало в
процессе зрительного восприятия, но идет гораздо дальше.
Визуальное мышление - это мышление посредством визуальных операций,
связанное с порождением, трансформацией предметных пространственных образов
восприятия и воображения, созданием новых визуальных форм, несущих определенную
смысловую нагрузку и делающих знание видимым [34].
Визуальное мышление опирается на формирование и использование зрительного
образа, а значит, является составной частью того вида мышления, который делает
акцент на наглядно-действенного, образного и наглядно-образного.
Таким образом, визуальное мышление можно вписать в представленную схему
следующим образом:
Рассмотрим подробнее каждый вид мышления
Теоретическое понятийное мышление - это такое мышление, пользуясь которым
человек в процессе решения задачи обращается к понятиям, выполняет действия в
уме, непосредственно не имея дела с опытом, получаемым при помощи органов
чувств. Он обсуждает и ищет решения задачи с начала до конца в уме, выраженными
в понятийной форме, суждениях и умозаключениях. Теоретическое понятийное
мышление характерно для научных теоретических исследований.
Теоретическое образное мышление - отличается тем, что материалом, который
здесь использует человек для решения задачи, являются не понятия, суждения или
умозаключения, а образы. Они или непосредственно извлекаются из памяти, или
творчески воссоздаются воображением. Таким мышлением пользуются работники
литературы, искусства вообще люди творческого труда, имеющие дело с образами.
Наглядно-действенное мышление - вид мышления, опирающегося на
непосредственное восприятие предметов, реальное преобразование в процессе
действий с предметами. Вид этого мышления направлен на решение задач в условиях
производственной, конструктивной, организаторской и иной практической
деятельности людей. Практическое мышление - это прежде всего техническое,
конструктивное мышление. Характерными особенностями наглядно-действенного
мышления являются ярко выраженная наблюдательность, внимание к деталям,
частностям и умение использовать их в конкретной ситуации, оперирование
пространственными образами и схемами, умение быстро переходить от размышления к
действию и обратно.
Наглядно-образное мышление - вид мышления, характеризующийся опорой на
представления и образы; функции образного мышления связаны с представлением
ситуаций и изменений в них, которые человек хочет получить в результате своей
деятельности, преобразующей ситуацию. Очень важная особенность образного
мышления - установление непривычных, невероятных сочетаний предметов и их
свойств. В отличие от наглядно - действенного мышления при наглядно-образном
мышлении ситуация преобразуется лишь в плане образа.
Образное мышление - мышление в виде образов; входит как существенный
компонент во все без исключения виды человеческой деятельности, какими бы
развитыми и отвлеченными они ни были.
Приведенные выше виды мышления выступают как уровни развития. В
зависимости от профессии, у человека доминирует тот или иной вид мышления.
Образное мышление (теоретическое и практическое), основанное на визуальных
(зрительных) образах называемых “визуальным мышлением”.
При визуальном мышлении зрение способствует образованию визуальных
понятий, которые имеют свои эквиваленты в рисунках и картинах. В течение жизни
человек накапливает всевозможные образы, когда предметы физически отсутствуют,
они представлены косвенно нашей памятью и знаниями о них.
Чтобы формировать визуальное мышление учащихся, необходимо заботиться об
организации зрительной информации, воспользовавшись одним из средств повышения
эффективности урока - использование наглядности. Таким образом, формирование
привычных вербальных (словесных) понятий необходимо дополнять формированием
соответствующих визуальных образов.
В условиях технического прогресса можно отметить преимущество
компьютерной графики и мультимедийных проектов. Для того чтобы грамотно формировать
и использовать визуальное мышление нужен тщательный отбор наглядных пособий.
§2. Информационные технологии в современном учебном процессе
. Программно-педагогические средства обучения
С главным направлением информатизации образования в последнее время очень
активно разрабатываются программно-педагогические средства практически по всем
дисциплинам, преподаваемым в школе, в том числе и по математике.
Компьютерные обучающие программы (КОПР) - это программные средства
учебного назначения, используемые школьником при самостоятельном освоении
учебного материала в системе дистанционного обучения [13].
Компьютерные обучающие программы являются дополнительным
учебно-методическим средством. Они могут использоваться как для проведения
групповых занятий со школьниками в компьютерных классах, так и для эффективной
организации самостоятельной работы, и для повышения эффективности учебного
процесса в школах.
Целью создания и применения таких программ является более рациональное
использование учебного времени школьниками и преподавателями. Преподаватели при
использовании компьютерного обучения уменьшают объем работы по изложению
некоторых разделов учебных дисциплин и частично освобождаются от рутинных
этапов контроля. А учащиеся получают возможность выбора порядка изучения
материала, темпа изучения материала и другие возможности индивидуализации
обучения.
Компьютерные обучающие программы обычно предоставляют возможность
обучения в двух режимах:
) Информационно-справочный. Цели использования при инновационном
обучении: расширение и упрощение доступа к учебному материалу; удобная и
наглядная структуризация материала; легкость навигации по учебному материалу.
) Контрольно-обучающий. Цели использования при инновационном
обучении: самотестирование; предварительное или промежуточное тестирование.
Использование специально разработанных инструментальных средств
существенно облегчает процесс создания компьютерных обучающих программ. С их
помощью даже преподаватели истории, философии, менеджмента и других дисциплин,
далеких от компьютерных технологий, могут легко создавать обучающие программы
[42].
Для оценки качества педагогических программных средств с целью
определения возможности их использования в процессе обучения проводят
классификацию по методическому назначению, многие авторы выделяют четыре типа
обучающих программ [26]:
• тренировочные и контролирующие;
• наставнические;
• имитационные и моделирующие;
• развивающие игры.
Тренировочные (программы 1-го типа) предназначены для закрепления умений
и навыков. Предполагается, что теоретический материал уже изучен. Эти программы
в случайной последовательности предлагают учащемуся вопросы и задачи и
подсчитывают количество правильно и неправильно решенных задач (в случае
правильного ответа может выдаваться поощряющая ученика реплика). При
неправильном ответе ученик может получить помощь в виде подсказки.
Наставнические (программы 2-го типа) предлагают ученикам теоретический
материал для изучения. Задачи и вопросы служат в этих программах для
организации человеко-машинного диалога, для управления ходом обучения. Так если
ответы, даваемые учеником, неверны, программа может “откатиться назад” для
повторного изучения теоретического материала.
Моделирующие (программы 3-го типа) основаны на графически-иллюстративных
возможностях компьютера, с одной стороны, и вычислительных, с другой, и
позволяют осуществлять компьютерный эксперимент. Такие программы предоставляют
ученику возможность наблюдать на экране дисплея некоторый процесс, влияя на его
ход подачей команды с клавиатуры, меняющей значения параметров.
Развивающие игры (программы 4-го типа) предоставляют в распоряжение
ученика некоторую воображаемую среду, существующий только в компьютере мир,
набор каких-то возможностей и средств их реализации. Использование
предоставляемых программой средств для реализации возможностей, связанных с
изучением мира игры и деятельностью в этом мире. приводит к развитию
обучаемого, формированию у него познавательных навыков, самостоятельному
открытию им закономерностей, отношений объектов действительности, имеющих
всеобщее значение.
Наибольшее распространение получили обучающие программы первых двух типов
в связи с их относительно невысокой сложностью, возможностью унификации при
разработке многих блоков программ. Если программы 3-го и 4-го типов требуют,
большой работы программистов, психологов, специалистов в области изучаемого
предмета, педагогов-методистов, то технология создания программ 1-го и 2-го
типов ныне сильно опростилась с появлением инструментальных средств или
наполняемых автоматизированных обучающих систем [43].
Среди положительных аспектов использования компьютерных технологий на
уроке математики, а в частности использование программно-педагогических
средств, можно выделить следующее [27]:
· сокращается время выработки необходимых навыков учащихся за
счет возможности увеличения количества тренировочных заданий;
· появляется возможность осуществлять контроль и самоконтроль;
· достигается оптимизация темпа работы ученика;
· легко достигается уровневая дифференциация обучения;
· появляется возможность моделирования сложных процессов
(например, движения космического корабля), организации самостоятельной
исследовательской деятельности;
· создание на уроке игровых познавательных ситуаций;
· урок можно обеспечить материалами из удаленных источников,
пользуясь средствами телекоммуникаций;
· повышение мотивации учебной деятельности и др.
· высвобождение учебного времени за счет выполнения на ЭВМ
трудоемких вычислительных работ;
· визуализация учебной информации;
Применение компьютерных технологий позволяет повысить уровень
самообразования, дает совершенно новые возможности для творчества, обретения и
закрепления различных, профессиональных навыков. Но есть и свои минусы, к ним
можно отнести:
· диалог с программой лишен эмоциональности и, как правило, однообразен;
· не обеспечивается развитие речевой, графической и письменной
культуры учащихся;
· помимо ошибок в изучении учебного предмета, которые ученик
делает и на традиционных уроках, появляются технологические ошибки - ошибки в
работе с программой;
· контроль знаний ограничен несколькими формами - тестами или
программированными опросами;
Учебно-наглядные пособия и технические средства обучения выполняют
двойную роль: с одной стороны, они служат источниками новых знаний и средствами
выработки практических умений и навыков, а с другой - помогают учителю в
осуществлении проверки и оценки знаний учащихся, поэтому их следует
использовать на всех этапах учебного процесса.
Грамотное и рациональное использование качественных компьютерных
программных средств повышает эффективность процесса обучения, предоставляя
учащимся возможность активного, деятельностного подхода в обучении, позволяет
разнообразить традиционные формы обучения.
Основная задача математики - поиск причинно-следственных связей между
отдельными величинами, поэтому обучение математике может сопровождаться
организацией проектной и исследовательской деятельности. В этом случае
компьютер - не техническое средство обучения и не игрушка, а помощник,
позволяющий сохранить время и силы, источник новой современной информации.
В последнее время значительно увеличился выпуск программных средств, в
том числе и по математике. Их можно условно разделить на две группы,
различающиеся структурой и подходами:
) Дидактические игры, например, “Учимся решать проблемы”, “Учимся
решать дроби”, могут быть использованы как на уроках в 5-6 классах, так и во
внеурочной деятельности. Веселые анимированные герои, занимательная форма
подачи материала способствуют непосредственному запоминанию и более
качественному усвоению знаний, дают возможность младшему подростку получить
опыт решения проблем. Но в настоящее время ограничено количество учебных тем,
разработанных в данной форме.
) Комплексы, охватывающие полные курсы математики. Например,
полный мультимедийный курс стереометрии “Открытая математика. Стереометрия”
(авторы - Р. П. Ушаков, С. А. Беляев) имеет кроме иллюстрированного учебника
трехмерные чертежи, интерактивные модели, справочные материалы и биографии
ученых-математиков. Курс можно использовать и в качестве наглядного материала
на уроках с одним компьютером, так и на уроках, проводимых в компьютерном
классе для самообучения. Другой комплекс “Все задачи школьной математики” имеет
многоуровневую дифференциацию по сложности и систему пошагового интерактивного
решения задач.
Несомненно, использование компьютера на уроке делает преподавание
динамичным, позволяет реализовать современные личностно-ориентированные
технологии. Учителю нужно лишь быть открытым ко всему новому, постоянно
повышать свой профессиональный уровень. А также не стоит бояться, что
современные дети разбираются в технике лучше нас, наоборот это позволит
воплотить в жизнь технологию сотрудничества.
При отборе компьютерной программы необходимо проверять, отвечает ли она
психолого-педагогическим и дидактическим требованиям, так как существует
большое количество учебных программ по математике ориентированных на управление
познавательной деятельностью учащихся, связанной с формированием различных
навыков.
. Требованиям к обучающим программам
Обучающая программа - программа, предназначенная для передачи учащемуся
некоторых знаний и развития навыков.
Основным показателем высокого качества обучающей программы является
эффективность обучения, что зависит от эффективности программы. Эффективность
программы целиком и полностью определяется тем, насколько она обеспечивает
предусмотренные цели обучения. Возможности компьютера должны быть
проанализированы с точки зрения психологии и дидактики и использованы тогда,
когда это необходимо с педагогической точки зрения.
Вопрос о том, насколько эффективна обучающая программа, может быть решен
только после ее утверждения. Тем не менее, можно привести ряд
психолого-педагогических требований, которым должна удовлетворять обучающая
программа:
· научность содержания: обеспечение возможности построения
содержания учебной деятельности с учетом основных принципов педагогики,
психологии, теории системного дизайна;
· открытость: возможность реализации любого способа управления
учебной деятельностью, выбор которого обусловлен, с одной стороны,
теоретическими воззрениями разработчиков обучающей программы, а с другой -
целями обучения; обеспечение возможности модификации, внесения изменений в
способы управления учебной деятельностью;
· целенаправленность: обеспечение обучаемого постоянной информацией
о ближайших и отдалённых целях обучения, степени достижения целей; стимуляция
тех видов познавательной активности обучаемых, которые необходимы для
достижения основных учебных целей;
· обеспечение мотивации: стимулирование постоянной высокой
мотивации обучаемых, подкрепляемой целенаправленностью, активными формами
работы, высокой наглядностью, своевременной обратной связью, причем мотивация
не должна идти за счет интереса к самому компьютеру;
· наличие входного контроля: диагностика обучаемого перед началом
работы с целью обеспечения индивидуализации обучения, а также оказания
требуемой первоначальной помощи;
· индивидуализация обучения: содержание учебного предмета и
трудность учебных задач должны соответствовать возрастным возможностям и
индивидуальным особенностям обучаемых и строиться с учетом уже приобретенных,
знаний, умений и навыков; для реализации индивидуального подхода программа
должна включать динамическую модель изучаемого объекта;
· обеспечение обучения в сотрудничестве: программа должна по
возможности моделировать совместную субъект-субъектную деятельность;
· креативность: программа должна формировать логическое и
системное мышление, обеспечивать подготовку специалистов с творческим
потенциалом, способных видеть противоречия, а также самостоятельно ставить и
решать проблемы; исключение таких нежелательных последствий компьютеризации,
как чрезмерная алгоритмизация мыслительной деятельности, пассивность мышления,
отказ от самостоятельных усилий в достижении целей;
· обеспечение систематической обратной связи; обратная связь
должна быть, педагогически оправданной, не только сообщать о допущенных
ошибках, но и содержать информацию, достаточную для их устранения;
· наличие развитой системы помощи: система помощи должна быть
многоуровневой, педагогически обоснованной, достаточной для того, чтобы решить
задачу и усвоить способ ее решения; помощь должна оказываться с учетом
характера затруднения и модели обучаемого;
· наличие многоуровневой организации учебного материала, базы
знаний и банка заданий: соблюдение данных требований позволяет организовать
систему повторов по спирали с постоянной опорой на зону ближайшего развития,
добавлением на каждом уровне повторения нового, более расширенного,
конкретизированного материала и использованием неповторяющихся задач;
· педагогическая гибкость: программа должна позволять
обучаемому самостоятельно принимать решение о выборе стратегии обучения,
характера помощи, последовательности и темпа подачи учебного материала; должна
быть обеспечена возможность доступа к ранее пройденному учебному материалу,
выхода из программы в любой ее точке;
· возможность возврата назад; при самостоятельной работе должна
быть предусмотрена отмена обучаемым ошибочных действий;
· наличие специально отведённого места для рефлексии обучаемых;
программа должна накапливать результаты рефлексии с целью последующей
корректировки обучающих воздействий;
· наличие интуитивно понятного дружелюбного интерфейса;
программа должна адекватно использовать все способы предъявления информации в
виде текста, графики, анимации, гипертекста, мультимедиа; обучаемый должен
иметь возможность пролистывания информационного материала в обоих направлениях
"вперед-назад" с возможностью установления типа и размера шрифта, а
также повторения любого фрагмента желаемое число раз;
· обеспечение возможности получения твердой копии статических
(текстовых, графических, иллюстративных) разделов программы; возможность
копирования выбранной информации в личный электронный конспект, ее
редактирования и распечатки без выхода из самого программного продукта;
· наличие развитой поисковой системы, режимов “лупы”,
“автопоказа”;
· наличие блока контроля утомления обучаемого, блока
релаксации; последний должен содержать тематически однородные небольшие
"банки" шуток, анекдотов, музыкальные фрагменты и т. д.;
· надёжность работы и системная целостность; техническая
корректность;
· защита от случайного или неправильного нажатия; обеспечение
адекватной реакции на любые, даже самые неожиданные ответы обучаемых; программа
не должна “зависать” из-за непредвиденной последовательности срабатывания
отдельных ее модулей или других причин; необходимо использовать иерархическую
древовидную структуру различных программ и возможность отступления на
предыдущий уровень в случае возникновения сбоя в работе системы.
При формировании дидактических требований к обучающим программам следует,
ориентироваться на принципы обучения, содержание которых базируется на
достижениях в области педагогики и психологии, что и позволяет использовать их
в качестве системы дидактических требований:
. Принцип научности диктует целый ряд требований к обучающим программам:
· обучающие программы целесообразно наполнять таким
содержанием, которое наиболее эффективно может быть усвоено только с помощью
компьютера;
· содержание программ должно соответствовать современному
состоянию научного знания;
· способы усвоения учебного материала, предусмотренные
программой, должны быть адекватны современным научным методам познания и
динамично меняться, обеспечивая быстрое перенастраивание программного продукта
в соответствии с изменяющимися требованиями.
. Принцип наглядности формирует следующие требования к обучающим
программам:
· в них при отражении чувственного объекта не следует
увлекаться натурализмом: в программе должна быть представлена не любая модель,
а только та, которая способствует реализации дидактических целей данной
обучающей программы;
· модель, содержащуюся в программе, следует предъявлять в
форме, позволяющей наиболее четко раскрыть существенные связи и отношения
объекта; существенные признаки, связи и отношения модели должны быть в
программе адекватно зафиксированы цветом, миганием, звуком и т. д.;
· наиболее важное требование, состоит в том, что с помощью
обучающих программ необходимо не только предъявлять объект изучения, но и
организовывать деятельность учащихся по его преобразованию.
. Принцип систематичности и последовательности может быть наиболее
оптимально реализован с помощью обучающих программ следующим образом:
· в объектах или явлениях, представляемых с помощью компьютерных
программ, должны быть выделены основные структурные элементы и существенные
связи между ними, позволяющие представлять этот объект или языковое явление в
виде целостного образования;
· наряду с этим, алгоритм, в соответствии, с которым строится
деятельность обучаемого по усвоению материала, должен отражать логику его
системного анализа.
. Принцип активности. Поскольку активность обусловлена сознательностью,
при разработке обучающих программ необходимо ориентироваться на следующие
требование:
· целесообразно в структуру программы вводить ориентировочный
компонент, который должен включать два вида знаний - знание о деятельности,
реализуемой с помощью программы (цель деятельности, ее предмет, средства и
основные этапы осуществления), и предметные знания, необходимые для успешной
работы с программой (правила, справочно-информационные данные и т.д.).
Помимо психолого-педагогических и дидактических требований, в настоящее
время большое внимание уделяется изучению психологических и социальных аспектов
взаимодействия человека и компьютера, так как применение компьютера имеет
положительные и отрицательные стороны.
1. Психологические особенности использования информационных
технологий
В настоящее время особую актуальность приобретает изучение
психологических и социальных аспектов взаимодействия человека и компьютера, а
также поиск эффективных методов применения информационных технологий.
Среди психологических особенностей людей, имеющих многолетний контакт с
компьютером, выделяют упорство, настойчивость в достижении целей,
независимость, склонность к принятию решений на основании собственных
критериев, пренебрежение социальными нормами, склонность к творческой
деятельности, предпочтение процесса работы получению результата, а также
интровертированность, погруженность в собственные переживания, холодность и не
эмоциональность в общении, склонность к конфликтам, эгоцентризм, недостаток
ответственности [8].
Растущее применение компьютеров во всех сферах человеческой деятельности
порождает новые проблемы. Выделяют следующие психологические феномены,
связанные с освоением человеком новых информационных технологий [17]:
· персонификацию, «одушевление» компьютера, когда компьютер
воспринимается как живой организм;
· потребность в «общении» с компьютером и особенности такого
общения;
· различные формы компьютерной тревожности;
· вторжение во внутренний мир человека, ведущее к возникновению
у некоторых пользователей экзистенциального кризиса, сопровождающегося
когнитивными и эмоциональными нарушениями. При этом может происходить
переоценка ценностей, пересмотр взглядов на мироздание и свое место в мире.
Положительным моментом применения информационных технологий в образовании
является возможность самостоятельного обучения с открытым доступом к
информационным ресурсам и наличие обратной связи.
Одной из негативных сторон информатизации является появление у некоторых
людей компьютерной тревожности. Большинство психологов подразумевают под нею
страх, возникающий при работе на компьютере или при размышлении о ней.
Установлено, что уровень компьютерной тревожности позволяет предсказать
успешность обучения работе на компьютере. Г. Маркулидес показал, что наличие
компьютерной тревожности значительно снижает компьютерную грамотность и интерес
к работе на компьютере. Люди, испытывающие высокую тревогу при выполнении
какого либо задания на ЭВМ, как правило имеют отрицательное отношение к
компьютеру. С другой стороны, как указывают Д. Кэмпбелл и К. Перри,
отрицательные эмоции в некоторых случаях могут стимулировать рост активности,
стремление выполнить задание как можно лучше и приводить тем самым к повышению
успешности деятельности [8].
Компьютерная тревожность у учащихся возникает как реакция на страх
получить плохую отметку, показаться неспособным или глупым по сравнению с
другими обучающимися. Преподаватели также сталкиваются с серьезными трудностями
в процессе освоения навыков работы на компьютере. У них может иметь место
опасение, что их рабочие места займут компьютеры или педагоги, лучше владеющие
компьютером. Одним из важных факторов тревожности является также осознание ими
того, что их ученики владеют компьютером намного лучше, чем они сами.
При использовании мультимедийного пособия учителю поможет снизить
компьютерную тревожность у учащихся: правильная методика работы с информационными
технологиями, простой интерфейс, качественное пособие и грамотное использование
его.
4. Методика применения информационных технологий
В настоящее время дальнейшее развитие методической науки переплетается с
применением современных средств информационных технологий. Это связано, с тем,
что традиционная отечественная школьная методика обучения за десятилетия своего
развития уже достигла достаточно высокого уровня, и традиционными методами
сложно добиться существенного повышения качества и эффективности учебного
процесса. Безусловно, росту эффективности и качества обучения способствует
пересмотр образовательных стандартов, улучшение системы повышения квалификации
учителей, введение профильного обучения и ряд других мер, которые принимаются в
системе образования. Но область применения средств информационных технологий в
школьной практике обучения для повышения эффективности учебного процесса до
конца не реализована. Информационные технологии должны автоматизировать учебный
процесс, позволять более рационально расходовать учебное время, расширять и
углублять содержание учебного предмета.
Информационные технологии - совокупность средств и методов преобразования
информационных данных для получения информации нового качества (информационного
продукта). Компьютерные технологии обучения - совокупность средств и методов
создания педагогических условий работы на основе компьютерной техники, средств
телекоммуникационной связи и интерактивного программного продукта, которые
моделируют часть функций педагога по обработке информации, организации контроля
и управления познавательной деятельностью [22].
Когда речь заходит о применении компьютера на уроке, возникает сразу
несколько вопросов [22]:
. Целесообразность применения компьютера. Решение о применении техники на
каком-то уроке каждый учитель принимает сам. Из каких соображений он делает
такой вывод:
· компьютер применяется там, где есть возможность
автоматизировать деятельность и сэкономить время для обработки результатов
(всевозможные контролирующие, тестирующие программы);
· компьютер применяется для обучения (Здесь речь идет о
применении всевозможных обучающих программ, к выбору которых надо подходить
очень ответственно. Не все программные продукты, производимые сейчас, имеют
хорошие рекомендации. Применять обучающие программы или нет, какие применять -
принимает решение сам учитель. Сколько применять - в соответствии с санитарными
нормами.);
· применяется для демонстрации.
. Исходя из целесообразности, формируются подходы к организации уроков с
использованием информационных технологий:
· используется один компьютер, как правило, для демонстрации
при объяснении нового материала, показа моделей, опытов, которые опасно
проводить в реальной жизни;
· используется компьютерный класс. Применяется обычно для
контроля знаний учащихся, когда за короткое время большое количество учеников
проверяют свои знаний. Или же для обучения учащихся. И, конечно же, на уроках
информатики.
. Средства для применения на уроках
· использование готовых мультимедийных программ;
· создание собственных разработок с помощью стандартного
программного обеспечения. Опять-таки к созданию этих средств надо подходить
очень ответственно. К программам такого рода предъявляются определенные
требования, о которых упоминается выше.
Итак, компьютер может применяться на следующих этапах урока и учебного
процесса в целом [22]:
. этап объяснения нового материала;
. этап первоначального закрепления материала;
. этап контроля и проверки знаний.
Учителя должны активнее использовать компьютеры в преподавании математики.
Даже если техника в кабинете несовершенна и нет готовых программных продуктов,
существует возможность создания таких программ как обучающие, тренажеры и
тесты. Их можно использовать на уроках, в работе кружков и интегрированных
факультативов.
В частности учитель может использовать программные
продукты: Macromedia Flash и Power Point.
При изучении темы “Степенная функция” в 9 классе можно
использовать обучающую программу “Свойства степенной функции”, в частности
мультимедийное пособие, в котором демонстрируются основные виды и свойства
степенной функции.
При грамотном и рациональном использовании качественных компьютерных
программных средств повышается эффективность процесса обучения, что позволяет
разнообразить традиционные формы обучения.
5. Использование технологии Macromedia Flash при разработке учебных пособий
В разработке учебных пособий и демонстраций популярна технология
Macromedia Flash.
На уроках математики Macromedia Flash целесообразно использовать при
изучении функциональной линии школьного курса. На уроках, посвящённых
исследованию функций учителю, как правило, приходится рисовать на доске
множество различных графиков и дополнительных построений к ним. Это занимает
много времени и достаточно утомительно. Применение Macromedia Flash в таких случаях
экономит время на уроке. Векторный подход к рисованию может повысить точность
изображения, а повысить наглядность позволяет анимация. В нужное время
масштабируемый и динамично прорисовывающийся график гораздо наглядней статичной
картинки на доске. При помощи интерактивности и Action Script появляется
возможность варьировать параметры кривых и других элементов чертежа.
Трудно переоценить преимущества векторной графики в занятиях геометрией.
Снова экономиться время за счёт готовых чертежей, демонстрируемых с компьютера.
Анимация особенно пригодится при изучении преобразований, в стереометрии.
Решение задач построения становится на порядок нагляднее.
В физике наглядность Macromedia Flash, наверное, проявляется в полной
мере. Иллюстрацию к любому динамическому процессу в физике можно создать,
использую Macromedia Flash. Используя достаточно развитые средства рисования и
анимации можно создавать достаточно сложные ролики. Хотя это всё возможно при
помощи и других средств. Но не стоит забывать об Action Script. Именно
использование языка программирования поднимает презентацию по физике на
качественно новый уровень. Как правило, большинство демонстраций в физике
связано с координатами, рассчитываемыми по определённым законам. Action Script
имеет богатый математический аппарат для описания таких законов, и возможность
изменять координаты объектов на экране. Теперь тело, двигающееся под углом к
горизонту, летит не по кривой, нарисованной от руки, а по той траектории,
которая была бы на самом деле. Добавьте сюда возможность изменять параметры
прямо по ходу демонстрации и получим полностью смоделированный и подконтрольный
эксперимент. Даже время не останется неизменным. Есть возможность замедлять,
ускорять, или вообще останавливать проигрывание ролика.
Можно привести ещё массу примеров использования Macromedia Flash в
физике. Но и в остальных предметах найдётся место для применения этой
прогрессивной технологии. В географии - анимированные карты, в химии -
иллюстрации процессов на молекулярном и атомном уровнях, в черчении -
анимированные чертежи и разрезы, в биологии - клетки и поведение простейших, и
т. д.
И, в заключение, несколько слов о перспективах. Технология Macromedia
Flash давно вышла за рамки одной программы. Регулярное обновление версий делает
Macromedia Flash современным в любой момент времени. Её используют в массе
инструментальных средств. Одним из таких средств стала программа «Macromedia
Director», симбиоз Macromedia Flash и PowerPoint с уклоном в сторону обучающих
средств. Эта программа специально предназначена для разработки именно обучающих
средств с использованием инструментария и возможностей Macromedia Flash.
Единственным препятствием на пути её освоения стоит достаточно высокая
сложность и почти полное отсутствие литературы. Но уже сейчас можно сказать,
что Macromedia Director займёт прочное положение среди средств разработки
мультимедийных обучающих систем [12].
Среда Macromedia Flash удобна для создания мультимедийных пособий,
поэтому наше пособие создавалось в Macromedia Flash. Важную роль, в первую
очередь, играет содержание пособия. В дальнейших параграфах перейдем к
методическому анализу содержания темы “Свойства степенной функции”.
§3. Методика изучения темы “Свойства степенной функции”
. Анализ учебной литературы по теме: “Свойства степенной функции”
Изучение степенной функции начинается еще с 7 класса, с частных случаев и
продолжается на протяжении всего курса алгебры. Вплоть до 11 класса, знания о
степенной функции обобщаются, расширяются и систематизируются.
Анализ учебной литературы необходимо проводить за 9 класс, чтобы на
основе этого анализа учебной литературы построить содержание дидактического
пособия.
Учебник: “Алгебра. 9 класс”. Мордкович А. Г., Семенов П. В. (Мнемозина,
2009г.)
В учебнике рассматриваются степенные функции с целым показателем.
Теоретический материал по теме «Степенная функция» включен в главу «Числовые
функции» отдельными параграфами, в которых рассматриваются как сами функции,
так и их свойства и графики.
Доступное для школьников изложение материала, включено большое число
примеров с детальными и обстоятельными решениями в 1-й части (в учебнике), а
упражнения для самостоятельной работы помещены во 2-й части (в задачнике).
Структура изучения материала:
ГЛАВА 3. Числовые функции
§12.
Функции 
, их
свойства и графики.
§13.
Функции 
, их
свойства и графики.
§14.
Функции 
, ее
свойства и график.
В
§ 12 автор напоминает, что в 7-8-ых классах школьники изучили графики функций,
четные и нечетные функции.

Далее
определяются степенные функции, как функции с натуральным показателем (сначала
приводятся частные случаи степенных функций, затем выявляется общая формула).
Рассматриваются степенные функции с четным показателем степени, их графики, по
которым позже выявляют свойства (область значения и область определения
функции, четность и нечетность, монотонность, непрерывность, наибольшее и
наименьшее значение функции, выпуклость). Далее рассматриваются степенные
функции с нечетным показателем степени, а так же их графики и свойства.
В
§ 13 определяют степенные функции с отрицательными показателями: сначала четные
функции, затем нечетные. Аналогично степенным функциям с натуральным
показателем приводятся частные случаи:

После
чего выявляется общая формула, так же рассматриваются графики и свойства

В
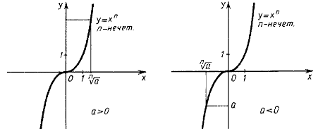
§ 14 вводится функция

ее
свойства и график, как частный случай степенной функции с рациональным
показателем n = 
Преобразование
графиков (симметрия) сводится к тому, что график четной функции симметричен
относительно оси ординат, а график нечетной относительно начала координат.
Поэтому, для степных функций рассматривается данная функция на определенном
луче, строится ее график и, используя симметрию, строится график на всей
числовой прямой. Далее производится чтение графика, т. е. по графику
перечисляются свойства функции по схеме:
)
область определения;
2)
четность, нечетность;
)
монотонность;
)
ограниченность снизу, сверху;
)
наименьшее и наибольшее значения функции;
)
непрерывность;
)
область значений;
)
выпуклость.
При
построении графиков функции автор в решении выделяет два этапа, в которых:
а)
переходит к вспомогательной системе координат с началом в точке, в которой
получены значения при х = 0 и у = 0.
б)
«привязывает» функцию к новой системе координат.
Пример
3. Построить график функции 
Решение.
Перейдем к вспомогательной системе координат с началом в точке (-1;-2)
(пунктирные прямые 
на рис.
117) и «привяжем» функцию 
к новой
системе координат. Получим требуемый график (рис. 117)
В
задачнике “Алгебра. 9класс.” под редакцией Мордкович А. Г. и Семенова П. В.
представлена разнообразная система упражнений. Набор упражнений делится на два
блока: первый содержит задания двух базовых уровней: устные (полуустные) и
задания средней трудности; второй блок содержит задания уровня выше среднего
или повышенной трудности. К большинству задач второго и третьего уровней
приведены ответы. Задачник содержит большое количество разнообразных заданий на
построение графиков различных видов степенной функции и определении свойств
функции по ее графику. Например:
№
12.10. Постройте график функции:
а)

;
б)

;
в)

;
г)

.
№
12.15. Решите графически уравнение
а)

;
в) 
;
б)

; г) 
.
№
12.19. Постройте и прочитайте график функции
а)

б)

в)

г)

Постройте
и прочитайте график функции
№
12.26.
а)

;
б)

;
в)

;
г)

.
№
12.27.

№
12.30.
Учебник:
“Алгебра. 9 класс”. Никольский С. М., Потапов М. К., Решетников Н. Н., Шевкин
А. В. (Просвещение, 2006г.)
Данный
учебник предназначен и для общеобразовательных классов, в которых
дополнительные материалы и сложные задачи можно не рассматривать. Если же
имеется достаточно часов, если класс проявляет интерес к математике, то за счет
дополнений в конце глав учебника, а также пунктов и отдельных задач со
звездочкой, необязательных в обычных общеобразовательных классах, можно
расширить и углубить содержание изучаемого материала до объема, предусмотренного
программой для классов с углубленным изучением математики. То есть учебник
можно использовать как в обычных, так и в классах с углубленным изучением
математики.
Структура
изучения материала:
ГЛАВА II. Степень числа
§4.
Корень степени 
.1 Свойства
функции 
.2 График
функции
.3 Понятие
корня степени 
.4 Корни
четной и нечетной степеней
.5 Арифметический
корень
.6 Свойства
корней степени 

.8 *Функция

Изучение
темы начинается со свойств функции 
(на
примере n = 2 и n = 3) и ее графика. Затем изучаются корень степени n,
арифметический корень и свойства корней степени n, а также их
применение к преобразованию выражений. В классах с углубленным изучением математики
дополнительно рассматриваются темы: «Функция 
»,
«Степень с рациональным показателем и ее свойства».
Утверждается,
что функции 
имеют
ряд одинаковых свойств (область определения, нули функции, четность,
нечетность, непрерывность, промежутки монотонности). Поэтому целесообразно
рассмотреть в общем случае функцию 
, где 
-
некоторое натуральное число, 
.
Введение определения графика функции 
ведется
через определение параболы. Т. е., по известному факту, что график функции 
-
парабола, далее этот график называют параболой второй степени, график функции 
, 
называют
параболой 
- й
степени или, коротко, параболой 
.
Свойства функции 

рассматриваются
только для неотрицательных 
с
некоторыми доказательствами.
Изучение
построение графика функции 
начинается
с изображения графиков функций 
на одной
координатной плоскости только для неотрицательных значений 

.
Далее
рассматривается построение функции 
на всей
области ее определения, т. е. для всех 
принадлежащих
интервалу 
, с
обобщением всех ранее полученных знаний.
Изучение
функции 
основывается
на полученных ранее знаниях об арифметическом корне степени 
.
Построение графика функции 
ведется
в декартовой системе координат 
. Для
начала рассматривается степенная функция 
и
построение ее графика в системе координат 
О
. Таким
образом, доказывается, что график функции 
есть
часть параболы степени 
.
Далее
производится чтение графика, т. е. по графику перечисляются свойства функции:
)
Если х = 0, то у = 0.
)
Если 
, то 
.
)
Функция 
возрастает.
)
Если 
, то 
.
)
Функция 
непрерывна.
Система
упражнений по теме «Степенная функция» разнообразна. Она содержит тренировочные
задания как устные, так и письменные. Например:
№
316. Дана функция

Исследуйте
эту функцию и постройте ее график.
№
318. Постройте график функции
а)

; б) 
.
№
321. В одной системе координат постройте графики функций

и 
№
441. Постройте график функции для
:
а)
б)
в)

г)

д)
е)

ж)
з)
№
442. Постройте график функции для 
:
а)
б)

в)

г)

Учебник:
«Алгебра. 9 класс». Ю. Н. Макарычев, Н. Г. Миндюк, К. И. Нешков, С. Б. Суворова
(Просвещение, 2009г.)
Данный
учебник предназначен для общеобразовательных школ.
Структура
изучения материала:
ГЛАВА IV. Степень с рациональным показателем
§9. Степенная функция
. Четные и нечетные функции
22. Функция
§10. Корень n-й степени
. Определение корня n -й
степени
. Свойства арифметического корня n -й степени
§11. Степень с рациональным показателем и ее свойства
. Определение степени с дробным показателем
. Свойства с рациональным показателем
. Преобразование выражений содержащих степени с дробными
показателями
Изучение степенной функции начинается с введения понятий четных и
нечетных функций на примерах сравнения значений функции при двух
противоположных значениях аргумента. Далее дается определение четной и нечетной
функции с построением соответствующих графиков.
Далее
рассматривается функция, заданная формулой 
, где х -
независимая переменная, а 
-
натуральное число. Такую функцию называют степенной функцией с натуральным
показателем.
Говорится,
о том, что степенные функции при 
= 1, 2 и
3 (т. е. функции 
) их
свойства и графики, изучены ранее. Далее выясняются свойства степенной функции
и особенности ее графика при любом натуральном 
.
Рассматривают функции, когда показатель n - четное
число, затем n - нечетное. Разбирают свойства на примерах 
, 
, 
по
схеме:
1. Область определения;
. Область значения;
. Нули функции;
. Четность;
. Нечетность;
. Монотонность функции.
Следующий параграф главы посвящен корню n-й степени, в котором вводится определение, и рассматриваются
свойства.
Повторяется
определение: квадратным корнем из числа а называется такое число, квадрат
которого равен а. Аналогично определяется корень любой натуральной степени
n : корень n-й степени из числа а называется
такое число, n-я степень которого равна а. Для этого рассматривается
степенная функция 
сначала
с нечетным показателем n и ее график, по которому показывается, что для любого
числа а существует единственное значение х, n-я степень
которого равна а. Затем рассматривается степенная функция 
с четным
показателем n, причем, если 
, то
существует два противоположных значения х, при 
такое
число одно (число 0), при 
таких
чисел нет.
В
заключение главы рассматривается степень с рациональным показателем и ее
свойства.
Система
упражнений разнообразна. Например:
№503.
Изобразите схематически график функции
а)

;
б)

;
в)

;
г)

№508.
Решите графически уравнение
а)

;
б)

;
в)

№513.
Используя график функции 
решите
уравнение
а)

б)
в)
№580.
Постройте график функции

№643.
Постройте график функции

№644.
Постройте график функции f , зная, что она нечетная и что ее значение при 
могут
быть найдены по формуле
а)

;
б)

в)

№643.
Постройте график функции
а)

;
б)

;
в)

;
г)

;
д)

;
е)

;
ж)

;
з)

№663.
Постройте график функции 
. Пользуясь
графиком, сравните значение корней
а)

;
б)

;
в)

№669.
Постройте график функции
а)

;
б)

;
в)

;
г)

.
Учебник:
«Алгебра. 9 класс». Ш.А. Алимов, Ю. М. Колягин, Ю. В. Сидоров и др.
(Просвещение, 2009г.)
При
изучении данной темы особое внимание уделяется свойствам функций и отображению
этих свойств на графиках. Одновременно формируются начальные умения выполнять
простейшие преобразования графиков функций.
Структура
изучения материала:
ГЛАВА III. Степенная функция
§12. Область определения функции
§13. Возрастание и убывание функции
§14. Четность и нечетность функции
§15.
Функция 
§16.
Неравенства и уравнения, содержащие степень
Основной
целью данной главы, является не только познакомить учащихся со степенной
функцией, но и расширить известные сведения о свойствах функции в целом
(область определения, монотонность, четность и нечетность функции), выработать
умение исследовать по заданному графику функции 
, 
, 
, 
, 
, 
При
изучении материала данной главы углубляются и существенно расширяются
функциональные представления учащихся.
В
§12 формулируется определение функции, аргумента и области определения функции.
Напоминается определение графика функции способы его построения, в том числе и
с помощью элементарных преобразований.
В
§13 идет знакомство с понятием степенной функции. На примерах
и 
выявляется
область определения; напоминаются определения возрастающей и убывающей функции,
и даются определения возрастания и убывания степенной функции.
Представление
о четной и нечетной функции учащимся дается на наглядном уровне. В учебнике
рассмотрены две задачи, в которых требуется построить графики функции 
и
.
Изучаются свойства данных функций и на основе симметричности даются понятия о
четности или нечетности функции.
В
§15 учащиеся получают представление о функции при различных значениях k,
учатся строить график функции и читать его (т. е. определять свойства функции
по ее графику). С помощью функции 
уточняется
понятие обратной пропорциональности, о котором лишь упоминалось в курсе алгебры
8 класса.
При
изучении функции 
при k
> 0 сначала функция 
,
представляется, как частный случай степенной: 
с учетом
изменения параметра k.
В
параграфе рассматриваются четыре задачи, в которых требуется построить графики
функций. В задаче 1 для построения графика функции 
используются
все свойства функции, изученные в предыдущих параграфах. В задаче 2 при
построении графиков функций 
и 
применяется
уже известное растяжение графика функции 
по оси
абсцисс в 2 раза. И, с опорой на эти две задачи, формулируются свойства функции

при 
и 
.
В
задаче 4 требуется построить графика функции 
(опора
на задачи 1-2), т. е. график этой функции можно построить, сдвигая график
функции 
вдоль
оси Ох вправо на единицу и вдоль оси Оу вниз на 2 единицы.
В
системе упражнений представлены различные типы заданий: как обязательные, так и
дополнительные задачи повышенной сложности.
Среди
заданий на построение графиков степенных функций можно выделить следующие
упражнения:
№
164. Построить график и найти промежутки возрастания и убывания функции
)

;
)

;
)

;
)

;
)

;
)

.
№
166. Нарисовать эскиз графика функции при 
)

; 2) 
; 3) 
; 4) 
№
171. Построить график и найти промежутки возрастания и убывания функции
)

; 2) 
№
174. Построить эскиз график функции
)

; 2) 
; 3) 
; 4) 
.
№
179. Выяснить свойства функции и построить ее график
)

;
)

;
)

;
)

;
)

;
)

№ 180. Построить график функции
1)

; 2) 
№
191. Построить график функции
)

;
)

;
)

;
)

№
218. Выяснить, является ли функция четной или нечетной
)

; 3) 
;
)

; 4) 
Учащиеся
по изучение материала овладевают такими понятиями, как область определения,
четность и нечетность функции, возрастание и убывание функции на промежутке.
Понятие
возрастания и убывания функции учащиеся встречали в курсе алгебры 8 класса, но
лишь при изучении данной темы формируются определения этих понятий, а
следовательно, появляется возможность аналитически доказать возрастание или
убывание конкретной функции на промежутке (однако проведение подобных
доказательств не входит в число обязательных умений). Учащиеся учатся находить
промежутки возрастания функции с помощью графика рассматриваемой функции.
При
изучении темы примеры степенной функции с дробным показателем не
рассматриваются, так как понятие степени с рациональным показателем в данном
курсе не вводится.
При
изучении каждой конкретной функции (включая и функции 
, 
)
учащиеся смогут изобразить эскиз графика рассматриваемой функции и по графику
перечислить ее свойства.
Учебник:
“Алгебра. Углубленное изучение. 9 класс.” Мордкович А. Г. (Мнемозина, 2006г.)
Взяли учебник за 2006 год, так как в этом учебнике, в
отличие от более поздних изданий, включена тема степень с рациональным
показателем. Вообще говоря, в настоящее время, эта тема изучается в старшей
школе, но в мультимедийном пособии мы включили как пропедевтический материал.
Книга предназначена для углубленного изучения курса
математики в 9-м классе средней школы. Этот учебник написан на базе учебника
9-го класса для общеобразовательных учреждений (А. Г. Мордкович. Алгебра-9). В
нем реализована та же программа, а отличие состоит в более глубоком изучении
соответствующих вопросов курса: простые примеры заменены более сложными и
интересными.
Структура изучения материала:
ГЛАВА 4. Степенные функции. Степени и корни
§17. Степень с отрицательным целым показателем
§18.
Функции 
, их
свойства и графики
§19.
Понятие корня n-й степени из действительного числа
§20.
Функции 
, их
свойства и графики
§21.
Свойства корня n-й степени
§22.
Преобразование выражений, содержащих радикалы
§23.
Обобщение понятия о показателе степени
§24.
Функции 
, их
свойства и графики
В
§ 18 речь идет о степенных функциях с целочисленным показателем, т. е. о
функциях 
и т. д.
Этот параграф разбивается на пункты:
Функция

Автор
напоминает, что простейший случай такой функции рассматривали в 7-м классе -
это была функция 
. Данный
пункт начинается с рассмотрения функции 
.
Строится график и перечисляются свойства данной функции по определенному
порядку: 1) область определения; 2) четность, нечетность; 3) монотонность; 4)
ограниченность снизу, сверху; 5) наименьшее и наибольшее значения функции; 6)
непрерывность; 7) область значений; 8) выпуклость.
Свойства
были прочитаны по графику, теперь предлагается доказать существование ряда этих
свойств аналитически.
Автор
делает вывод о том, что график любой степенной функции 
, 
похож на
график функции 
, только
его ветви круто направлены вверх и более прижаты к оси х на отрезке 
и
отмечает, что кривая 
касается
оси х в точке (0;0).
В
конце пункта приводится пример построения графика функции 
Построение:
1) переход к вспомогательной системе координат с началом в точке (1; -2); 2)
построение кривой 
.
) Функция

Свойства
и график степенной функции с нечетным показателем сначала исследуются на
примере функции 
,
графиком которой является кубическая парабола.
Автор
делает вывод о том, что график любой степенной функции 
, 
похож на
график функции 
, только
чем больше показатель, тем более круто направлены вверх (и соответственно вниз)
ветви графика и отмечает, что кривая 
касается
оси х в точке (0;0).
Далее
приводится пример использования графика степенной функции для решения уравнения

Решение
проходит в 4 этапа: 1) рассматриваются две функции:
и 
; 2)
построение графика функции 
; 2)
построение графика линейной функции 
; 4)
находят точку пересечения и выполняется проверка.
2) Функция

Речь
идет о степенных функциях с отрицательным целым показателем (четным). Сначала
рассматривается пример функции 
.
Строится график и перечисляются свойства данной функции. В частности,
доказывается свойство убывания функции при 
.
мультимедийный
наглядность функция школа математика
Автор
делает вывод о том, что график любой степенной функции 
похож на
график функции 
, и
отмечает, что кривая 
асимптотически
приближается к осям координат.
) Функция

В
этом случае рассматриваются степенные функции с отрицательным целым показателем
(нечетным): 
и т. д.
Автор напоминает, что одну такую функцию уже изучили в 8-м классе - это 
.
Напоминаются ее свойства и график (гипербола), и делается вывод о том, что
график любой функции 
похож на
гиперболу.
В
§ 19 дается понятие корня n-й степени из действительного числа и, в частности
отмечается, что из любого неотрицательного числа можно извлечь корень любой
степени (второй, третьей, четвертой и т. д.), а из отрицательного числа можно
извлечь корень любой нечетной степени.
В
§ 20 говорится о функции 
заданной
при 
,
исследуются ее график и свойства на частном примере 
(при 
). По
рисунку, на котором изображены график функции 
и график
функции 
,
определяется и, затем, подтверждается аналитически симметрия этих графиков.
Далее
автор формулирует общий вывод о том, что при 
график
функции 
симметричен
графику функции 
относительно
прямой 
и, из
соображений симметрии, выводит свойства функции 
при 
.
В
этом же параграфе рассматривается функция 
в случае
нечетного 
для
любых значений 
.
Говорится о свойствах данной функции и строится график.
Вывод
· если 
- четное
число, то график функции 
имеет
вид, представленный на рис. 1;
· если 
-
нечетное число, то график функции 
имеет
вид, представленный на рис. 2.
рис. 1
рис. 2
В
§ 24 рассматривается функция вида 
, 
- любое
действительное число (ограничиваемся случаями рационального показателя 
).
Автор
напоминает, что целый ряд таких функций уже изучили:
. Если

-
натуральное число 
, то
получаем функцию 
(графики
и свойства известны)
2. Если

, то
получаем функцию 
, т. е. 
. В
случае четного 
график
имеет вид, изображенный на рис. 3а, в случае нечетного 
график
имеет вид, изображенный на рис. 3б
рис. 3а рис.
3б
3. Если

, т. е.
речь идет о функции 
, то это
функция
, где 
Далее
рассматривается пример функции 
,
исследуются ее свойства (с учетом того, что показатель степени данной функции 2
< 2,5 < 3) и строится график.
Примерно
так же обстоит дело для любой степенной функции вида 
, где:
. 
-
неправильная дробь (числитель больше знаменателя). Ее графиком является кривая,
похожая на ветвь параболы. Чем больше показатель 
, тем
«круче» устремлена эта кривая вверх. Строится график и приводятся свойства.
. 
-
правильная дробь (
) (§ 20).
Строится график и приводятся свойства.
3. 
(
)
Строится график и приводятся свойства.
В задачнике “Алгебра. Углубленное изучение. 9 класс.” Завича Л. И.,
Рязановского А. Р. представлена разнообразная система упражнений. Сложность
заданий повышается по мере возрастания их порядковых номеров. Задачник содержит
большое количество разнообразных упражнений на построение графиков различных
видов степенной функции, исследовании и применении ее свойств.
Например:
№ 17.05. Постройте на одном чертеже графики функций
а)
б)
в)
г)
д)
е)
Постройте
графики функций
№
17.08
а)
б)

в)
№
17.11
а)
б)

в)
№
17.12.
а)
б)

в)
№
17.35. Постройте график функции

и
с помощью графика укажите промежутки ее монотонности, точки экстремума,
экстремумы и количество ее нулей.
Постройте
графики функций:
№
17.46.
а)
б)

в)
г)
№
17.47
а)
б)

в)
г)
№
17.48
а)
б)

№
17.49
а)
б)

№
19.01. Постройте на одном чертеже графики функций
№
19.04. Постройте графики функций
а)
б)

в)
г)
№
19.22. Постройте графики и проведите исследование функций
а)
б)

№
21.01. Постройте на одном чертеже графики функций 
, при 
и 
, при 
и
перечислите свойства функции 
: а)
область определения D(y); б) множество значений E(y);
в) нули функции; г) промежутки монотонности; д) промежутки выпуклости; е) точки
экстремума; ж) экстремумы; з) четность или нечетность; и) наибольшее и
наименьшее значения.
№
21.03. Постройте графики и исследуйте следующие функции
а)
б)

в)
г)
д)
е)
№
21.11. Постройте на одном чертеже графики функций


на
отрезке 
№
21.17. Постройте графики функций
а)
б)

№
25.01. Постройте на одном и том же чертеже эскизы графиков следующих пар
функций
а)
и 


и 
в)

и 
г)

и 
д)

и 
е)

и 
ж)

и 
з)

и 
№
25.05. Постройте графики функций и опишите их свойства
а)
б)

в)
г)
д)
е)
ж)
з)
№
25.06. Постройте на соседних чертежах графики функций
а)
и 
б)

и 
№
25.18. Постройте графики функций
а)
б)

в
№
25.30. Постройте графики функций
а)


и 
б)


и 
в

; 
и 
Анализ учебной литературы позволяет сделать некоторые выводы
Рассматривая стандарт основного общего образования по математике, мы
видим, что учащиеся должны изучить следующие виды степенной функции:
• частные случаи (прямая, обратная пропорциональность, квадратичная
функция),
• с натуральным показателем,
• с целым показателем,
• с положительным рациональным показателем,
• с рациональным показателем,
• с иррациональным показателем,
• с действительным показателем.
Важную роль в данной теме играет формирование образа графиков функций.
Также ученики должны уметь: определять свойства функции по ее графику;
описывать свойства изученных функций, строить их графики. Рассмотрение стандарта
позволяет сделать вывод, что тема “Степенная функция” включена в обязательный
минимум знаний, умений и навыков школьников и, следовательно, наше внимание к
ней вполне оправдано.
Для того чтобы сформировать прочные умения и навыки о степенной функции,
необходимо изучить методику темы «Свойства степенной функции», к которой мы и
переходим.
. Методические основы изучения темы “Свойства степенной функции” в
школе
Степенная функция принадлежит к классу элементарных функций.
Целью ее изучения является не только знакомство учащихся со степенной
функцией, но и расширение известных им сведений о свойствах функций в целом.
При изучении темы «Степенная функция» в основном пользуются аналитическим
и графическим методом исследования функций. В тех случаях, когда аналитическое
исследование трудно воспринимается учащимися, используют графические методы,
однако последние не могут служить доказательствами.
Учащимися выполняется большое количество графических работ, при этом
обращается внимание не только на точность и аккуратность их выполнения, но и на
рациональные приемы построения графиков.
Сформировать прочные умения в построении и чтении графиков степенной
функции, добиться, чтобы каждый ученик мог выполнять основные виды заданий
самостоятельно, можно только при условии выполнения учащимися достаточного
числа тренировочных упражнений.
Например, в журнале “Математика в школе” Лопатина,
Л.В. предлагает следующий урок-мастерскую:
Урок-мастерская
нацеливает учащихся на то, чтобы они собственным трудом добывали знания. В этом
- основной лейтмотив развивающей педагогики. Тема «Степенная функция» очень
подходит для творческой работы всего класса, так как степенная функция (
, где 
- любое
рациональное число) - это фактически множество функции, имеющих различные
свойства в зависимости от показателя степени.
Обсуждение
этих свойств лучше всего организовать по группам. Для этого класс целесообразно
поделить на шесть групп.
Прежде
всего, учителю необходимо представлять себе последовательность работы в
«мастерской»:этап - индукция - обращение к предыдущему опыту;этап - обсуждение
темы в группах, а далее со всем классом;этап - разрыв - момент, когда учащиеся
должны осознать, что в их знаниях имеются пробелы, которые они сами должны
восполнить;этап - рефлексия - определение степени усвоения.
Опишем
подробнее каждый из этапов урока. этап - индукция. Учитель напоминает о том,
что в классе уже изучали функции 
, их
свойства и графики. Эти функции можно в общем виде задать формулой: 
, где 
-
-некоторое целое число. Такая функция называется степенной. Перед классом
ставится следующая задача: перечислить вопросы, на которые мы должны ответить,
изучая новую функцию.
Класс
обсуждает эти вопросы по группам, а потом все вопросы ох групп собираются в
единый список:
· Какими свойствами обладает данная функция?
· Каков ее график?
· В каких ситуациях она используется?
Начнем с ответа на последний вопрос. Приведем примеры нескольких
ситуации, в которых появляется степенная функция.
Три ученика поочередно выходят к доске и делают сообщения, подготовленные
дома.
Первый
ученик рассматривает функцию 
, где 
-
площадь поперечного сечения провода диаметром 
.
Слушатели замечают, что эта степенная функция фактически представляет собой
квадратичную, но с ограничениями на значение аргумента 
.
Третий
ученик анализирует дальность 
расстояния
горизонта от наблюдателя: 
. Эта
функция высоты, на которую поднят наблюдатель над уровнем моря. Если ребята
сами этого не заметили, то учитель должен подчеркнуть, что здесь величина 
не может
возрастать неограниченно. Действительно, как бы ни был высоко поднят
наблюдатель, он не может увидеть больше, чем позволяют возможности его зрения и
выпуклость Земного шара. Этот пример особенно показателен, так как позволяет
судить о целесообразности ограничений на значения функции. Здесь какие-то
ограничения мы должны наложить на значения функции 
, хотя
значения 
,
теоретически говоря, могут возрастать неограниченно.этап - обсуждение темы.
Учащимся предоставляется некоторое время для того, чтобы они разобрали свойства
одной из выбранных ими степенных функций. Главная проблема здесь в выборе
функции. Одна группа склонна упрощать задачу, ограничиваясь функцией вида 
, которая
всем учащимся хорошо известна. Другая группа слишком усложняет свою работу,
занявшись функцией вида 
или 
, а то и
обеими вместе, хотя общий подход к вопросу учащимся еще не ясен.
В
конце концов, находятся группы, избравшие функции, графики которых уже
рассматривались ранее, хотя на них не делалось нужного акцента.
Первая
группа рассматривала функцию вида 
;
отметила область ее определения: 
и
нулевое значение функции при 
. Ребята
особо остановились на том, что функция возрастает на всей области определения.
Выделили промежутки, на которых функция больше или меньше нуля. Выступавшие
особо подчеркнули, что эта функция нечетная и не имеет ни наибольшего, ни
наименьшего значения.
От
этой группы выступает перед классом один ученик, который рассказывает о
результатах исследований в группе.
Вторая
группа выбрала для рассмотрения функцию 
. Ребята
заметили, что теперь придется исключить из области определения функции число 0,
т.е. 
. В
отличие от предыдущей, эта функция не имеет нулей. Но, как и рассмотренная
выше, эта функция положительна при 
и
отрицательна при 
. Она
убывает на всей области определения.
Представитель
этой группы особо подчеркивает различия между функциями 
и 
.
Еще
двое учеников рассказывают о функциях 

.
Во
время своих выступлений все докладчики должны продемонстрировать графики
рассмотренных функций.
Во
время III этапа урока учащиеся должны обобщить свои знания. А сделать это они
должны самостоятельно, удивившись разнообразию рассмотренных функций. «Почему
им дано одно название, если их так много и они разные?» - вот вопрос, который
должны поставить перед собою учащиеся. Задача учителя - незаметно подвести
учащихся к этому вопросу. Наступает момент так называемого разрыва, когда
ребята должны осознать недостатки своих знаний, их ограниченность или
неполноту. Действительно, одна функция из рассмотренных имеет нули, другая нет.
Одна возрастает на всей области определения, другая - то возрастает, то
убывает. Какую же характеристику мы должны дать всей степенной функции, чтобы
она охватывала как можно больше частных случаев?
В
поиске ответа на этот вопрос кто-то из ребят в конце концов догадывается, что
вид степенной функции 
удобно
связать с четностью или нечетностью показателя степени 
.
Теперь
уместно снова дать задание группам обсудить свойства функций

где 
-
нечетное;

где 
--
четное;

где 
--
нечетное;

где 
--
четное.
Еще
раз отмечаем план исследования функции:
Указать
область определения.
Определить
четность или нечетность функции (или отметить, что она не является ни четной,
ни нечетной).
1. Найти нули функции, если таковые существуют.
2. Отметить промежутки знакопостоянства.
. Найти промежутки возрастания и убывания.
. Указать наибольшее или наименьшее значение функции.
В
завершении учащимся представляются графики рассмотренных функций 
, 
= -6,
-5, -4, -3, -2, -1, 0, 1, 2, 3, 4, 5, 6. Эти графики выполняют представители
каждой из групп.
Теперь
вместе с классом строим графики функции 
, 
, где 
натуральное
число и 
.
Отмечается
общее свойство этих функций: они обе имеют область определения - промежуток 
. Они обе
являются ни четной, ни нечетной. Они обе больше нуля.
Но
у этих функций есть и различия. Ребята их называют особо: функция вида 
возрастает
на своей области определения, а функция вида 
убывает
на той же области. Функция вида 
имеет
нулевое значение при 
, а
функция вид
, а не
имеет нулей.
На
IV этапе учащиеся должны заняться рефлексией, т.е. определением степени усвоения
материала. Весь класс получает следующее задание по рис. 3.
На рис. 3, а-з схематически изображены графики функций, которые заданы
формулами

Установите,
какая формула из данного списка примерно соответствует каждому из графиков а-з
[24].
В журнале “Математика в школе” Петрова, Н.П.
предлагает проект «Изучение свойств степенной функции с помощью программы Excel»:
Описанный
в статье учебный проект по теме «Изучение свойств функций 
и 
с
помощью электронных таблиц Excel» проводился учителями математики и информатики нашего
лицея в IX классе и был рассчитан на пять уроков.
Целью
проекта было предоставление учащимся самостоятельности и инициативы при
изучении новой темы и применении на практике изученного ранее материала.
В
процессе выполнения проекта девятиклассники должны были показать:
· умение грамотно формулировать задачи проекта;
· умение анализировать информацию и делать выводы;
· умение грамотно интерпретировать полученные результаты и
применять их в практической деятельности.
Перед
учащимися стояла задача исследовать поведение графиков функций 
и 
средствами
программы Excel, а затем на основе полученных данных описать свойства
функций.
По
результатам проекта девятиклассники должны были усвоить общий вид графиков
функций 
и 
,
научиться строить и «читать» эти графики, а также решать графически уравнения
вида 
= f(x).
Заметим,
что работа над данным проектом была призвана способствовать развитию у
школьников умения сравнивать, выделять общие признаки и различия в графиках
степенной функции 
при
разных значениях 
.
Приведем
поэтапное описание проекта.
Этап
I. Подготовка (поисковый этап)
Пробуждение
у учащихся интереса к теме проекта происходит в процессе беседы. Ученикам
предлагается решить известными им способами уравнения
. 
. 
. 
. 
. 
Выясняется,
что уравнение 
ребята
могут решить двумя способами: аналитическим и графическим, уравнение 
-
графическим способом. Остальные уравнения они решить затрудняются, но если бы
были знакомы с графиками функций 
, то
решили бы задачу графически.
Итогом
беседы является формулировка проблемного вопроса: как выглядят графики функций 
и 
, где 
? После
этого определяются направления дальнейшей работы, формулируются задачи:
. Выясните
с помощью программы Excel, как выглядит график функции 
при
четном п и опишите свойства этой функции.
. Выясните
с помощью программы Excel, как выглядит график функции 
при
нечетном п и опишите свойства этой функции.
. Выясните
с помощью программы Excel, как выглядит график функции 
при
четном п и опишите свойства этой функции.
. Выясните
с помощью программы Excel, как выглядит график функции 
при
нечетном п и опишите свойства этой функции.
Затем происходит разбиение класса на рабочие группы. Учитель предлагает
учащимся самостоятельно разделиться на четыре группы (по желанию) и выбрать в
каждой группе руководителя. Когда группы сформированы, они выбирают одно из
направлений работы в проекте (согласно перечисленным выше задачам).
Этап II. Планирование (аналитический этап)
Учитель помогает группам составить план работы по решению выбранной
задачи и рекомендует источники получения информации. Учащиеся самостоятельно
распределяют роли в группах. Примерное распределение ролей в группе указано в
следующей таблице. Количество учащихся в группе зависит от количества учеников
в классе.
|
Ф.И. ученика
|
Роль в группе
|
Материал, подготовленный
для защиты
|
|
Ученик 1
|
Руководитель группы
|
Компьютерная презентация
|
|
Ученик 2
|
Докладчик
|
|
|
Ученик 3
|
Демонстратор
|
|
|
Ученик 4
|
Докладчик
|
|
|
Ученик 5
|
Оформитель презентации
|
|
|
Ученик 6
|
Оформитель презентации
|
|
На этом же этапе обсуждается форма представления результатов работы. В данном
случае была выбрана компьютерная презентация с использованием PowerPoint.
Этап III. Исследование (практический этап)
Учащиеся выполняют задания в соответствии с намеченным планом работы.
Учитель наблюдает за их деятельностью, при необходимости консультирует
учеников.
В качестве примера приведем план работы группы № 1.
1. Построение
графиков функций 
, 
, 
, 
средствами
программы Excel.
. Сравнение
графиков, формулирование вариантов рекомендаций для построения графика функции 
при
натуральном четном п.
. Определение
свойств функции по графику.
. Разбор
примеров практического применения графика функции 
.
На
основе проведенного исследования учащиеся делают вывод, что графики функций
вида 
при
натуральном четном п являются кривыми, похожими на параболу 
, и дают
рекомендации для построения графика: следует учитывать, что график симметричен
относительно оси Оу, поэтому достаточно составить таблицу значений функции для
положительных значений аргумента х.
Кроме
того, на данном этапе создается общий сценарий презентации, который будет
уточняться по ходу проекта. В этом сценарии, в частности, определяются
количество слайдов, назначение каждого из них, а также основные объекты,
которые следует разместить на слайдах.
Этапы
IV и V. Защита проекта, оценка результатов (презентационный и контрольный
этапы)
Защита
проектов (по группам) происходит на последнем из запланированных уроков.
Приведем
теперь поурочный график работы над данным проектом и содержание каждого урока.
Урок
1 (математика)
· Постановка проектной задачи. Определение направлений работы,
формулирование задач проекта.
· Разбиение на рабочие группы, выбор руководителя в группах.
· Составление плана работы по решению поставленных задач,
распределение ролей в группах, выбор формы представления результатов.
Урок 2 (информатика)
· Разговор о назначении электронных таблиц Excel.
· Повторение построения графиков различных функций средствами Excel.
· Построение графиков изучаемых функций средствами Excel. Анализ полученной информации,
формулирование выводов.
· Составление рекомендаций по построению графика изучаемой
функции.
· Оформление выводов и рекомендаций в текстовом редакторе Word. Распечатка полученных результатов.
Урок 3 (математика)
· Построение и
«чтение» графиков функций 
и 
· Решение
уравнений вида 
, где 
графическим
способом.
· Создание
сценария презентации.
Урок 4 (информатика)
· Повторение назначения и принципов работы программы Power Point.
· Создание презентации.
Урок 5 (математика)
· Защита проектов.
Приведем также общий план урока - защиты проекта.
. Организационный момент.
. Мотивация к применению знаний через выявление проблемы.
Вступительное слово учителя
На
сегодняшнем уроке главным объектом изучения являются функции 
и 
, где 
, их
свойства и графики. Вы уже умеете решать уравнения первой степени (линейные) и
второй (квадратные) по формулам корней. Для уравнений 3-й степени также имеются
специальные формулы корней, но они очень громоздкие и на практике применяются
редко. Для уравнений, степень которых выше третьей, общих формул корней нет.
Возникает проблема: как же можно решить такие уравнения? Оказывается, если не
аналитически, то графически. А чтобы применять графический способ для решения
уравнений вида 
и 
, надо
уметь строить графики функций 
и 
, где 
.
Исследованием
графиков этих функций занимались четыре группы. Сейчас каждая из них познакомит
нас с результатами проделанной работы.
.
Выступления групп.
Представление
(защита) проекта каждой группой, ответы на вопросы оппонентов.
.
Самооценка и оценка каждого выступления остальными группами (по пятибалльной
шкале).
Перечислим
основные критерии оценки:
· соответствие содержания заявленной теме, точность,
законченность изложения;
· отсутствие ошибок;
· оформление (дизайн): насколько разметка слайдов отвечает
эстетическим требованиям;
· легко ли читается текст; соответствует ли изображение
содержанию и т.д.;
· убедительность, аргументированность выступления; грамотность
речи, владение терминологией;
· полнота ответов на вопросы.
Отдельно оценивается взаимодействие в группе: коммуникабельность,
уважение и внимание к другим участникам, активность.
Подсчитывается общее количество заработанных баллов и рейтинговая оценка
(среднеарифметический балл); на их основе выставляется оценка за участие в
проекте.
. Обсуждение вклада в проект каждого ученика и выставление оценок.
. Подведение итогов (рефлексия).
. Заключительное слово учителя
В
ходе проектной деятельности по данной теме вы ответили на вопрос, что
представляют собой графики функций 
и 
, и дали
рекомендации по их построению. Теперь вы можете решать некоторые уравнения вида

и 
графическим
методом. Благодарим всех учащихся за творческую и плодотворную работу, которая
способствовала достижению целей проекта [32].
Учитывая вышесказанное, в своем пособии мы попытались отразить системный
подход к изучению степенной функции. Для того чтобы минимизировать трудности
работы с компьютером постарались сделать удобную и естественную навигацию и
учесть требования, предъявляемые к дидактическим программным средствам.
Глава 2. Мультимедийное пособие по теме «Свойства степенной функции»
§1. Основные характеристики пособия
Данное
мультимедийное пособие направлено на повторение и обобщение знаний учащихся о
свойствах степенной функции. При анализе школьной литературы было выяснено, что
в большинстве учебников данная тема рассматривается с 7 по 11 класс. В 7-8
классах изучаются некоторые частные случаи степенной функции: 
, 
, 
, 
в 9
классе - с целым, с положительным рациональным показателем, с иррациональным
показателем, с действительным показателем (ограничиваемся случаями
рационального показателя 
). В 10 и
11 классах повторяются и углубляются знания. Интерактивное пособие направлено
на систематизацию знаний учащихся.
Интерактивное
пособие разрабатывалось с учётом требований, предъявляемых компьютерным
программным средствам, использующимся в учебном процессе: дидактических,
педагогических, методических и эргономических.
Данная
тема «Свойства степенной функции» выбрана не случайно. Это обширная тема
присутствует в программе 7-11 класса. Она перекликается с другими разделами
математики и трудна для восприятия школьниками. В данном пособии основные виды
степенной функции систематизированы. Поэтому пособие можно использовать как при
изучении конкретного вида степенной функции, так и на этапе обобщения и
систематизации знаний учащихся о степенной функции в целом.
Данное пособие можно использовать на различных этапах урока. Просмотр представленного
flash-фильма целесообразно организовывать
как на уроках изучения нового материала в качестве вспомогательного
демонстрационного пособия, так и на уроках закрепления, при этом просматривая
лишь его фрагменты. Кроме того, пособие можно использовать в качестве
дополнения к учебнику для самостоятельного просмотра учениками.
Предложенный продукт может быть использован на занятии, проводимом
объяснительно-иллюстративным методом в качестве наглядной демонстрации свойств
объектов, как в качестве первичного закрепления введенных понятий, так и при
обобщении и систематизации знаний. При этом возможно использование пособия
учениками самостоятельно, в качестве дополнительного источника знаний
(справочника), связанных с разделом «Степенная функция».
Объем flash ролика составляет 1,12 Мб.
Системные требования:
· Pentium;
· CD ROM x 4
· Windows 95/98/2000/XP
· Macromedia Flash Player от 6
Структура flash-фильма.
Flash-фильма
состоит из пяти блоков:
1. Функции

, их
свойства и графики.
. Функции

, их
свойства и графики.
. Функции

, их
свойства и графики.
. Задачи
на распознавание видов графиков степенной функций.
5. Тест (на знание и применение к практическим задачам свойств
степенной функции).
Просмотр flash-фильма может
осуществляться несколькими способами.
Первый вариант, ориентированный на самостоятельный просмотр учащимися без
помощи и управления со стороны преподавателя, предполагает просмотр сцен в
порядке, указанном в содержании. Пользователь просматривает теоретическую
информацию, содержащуюся во flash-фильме,
используя в основном кнопки перехода на следующую страницу или возращения к
содержанию flash-фильма.
Каждый теоретический раздел содержит перечисление основных свойств
степенной функции указанного вида, и, подкреплен конкретными примерами графиков
таких функций.
Кроме теоретической части пособие содержит визуальные задачи и тест,
посредством которых учащимся предоставляется возможность закрепить полученные
знания на практике. Визуальные задачи направлены на распознавание графиков
различных видов степенной функции. А тест способствует проверке знаний учащихся
о свойствах степенной функции и формирует навык применения этих знаний к
практическим задачам (причем, по ходу выполнения ряда тестовых заданий,
учащийся может, при желании, получить графическую подсказку).
Второй вариант просмотра может быть организован учителем на уроке
алгебры. В этом случае учитель вызывает сцены в порядке, соответствующем его
методике изложения материала. А практические задачи, содержащиеся в пособии,
могут обсуждаться в рамках фронтальной беседы со всем классом. Переход от одной
сцены к другой осуществляется возвратом к содержанию с последующим переходом к
нужной сцене. Ниже подробнее рассмотрим способы организации работы с пособием.
Схема, отражающая полное содержание flash
- фильма
Для того, чтобы управлять данным мультимедийным пособием, используются
следующие элементы навигации:
Навигация
- данная кнопка приведет вас к сцене “Содержание”.
- кнопка
«вперед» позволит вам листать мультимедийное пособие вперед, как книгу, в соответствии
с предложенным содержанием или кнопка обозначающая продолжение просмотра в
данной сцене.
- кнопка
«прокрутка» позволит вам перейти в конец сцены.
- кнопка «назад» позволяет вернуться на “страницу” ранее.
- кнопка, позволяющая увидеть примеры графиков конкретных
степенных функций данного типа.
- кнопка обозначающая тот или иной выброр.
- кнопка обозначающая повтор того или иного действия в
данной сцене.
А теперь рассмотрим особенности каждой части интерактивного пособия.
1. Функции

, их
свойства и графики.

В
данной сцене перечисляются свойства, и демонстрируется график степенной функции
с натуральным четным показателем степени. Сначала строится типовой график
функции вида 
, затем
поэтапно перечисляются свойства функции этого вида. Некоторые из перечисленных
свойств дополнительно иллюстрируются на графике выделением определенных
элементов чертежа красным цветом. Переход к следующему свойству осуществляется
кнопкой «вперед», таким образом, достигается регулируемая учителем пауза, во
время которой учитель может обсудить с классом текущее свойство функции. С
помощью кнопки «прокрутка» учитель может перейти сразу к полному списку
свойств, а не открывать их поэтапно. Эта функция полезна при повторном
просмотре сцены. Кроме того, из полного списка свойств можно выбрать простым
щелчком курсора любое свойство и воспроизвести именно его еще раз.
Для формирования более детального представления о графике степенной
функции с четным натуральным показателем, в завершение этой части предлагается
сравнить поведение графиков трех конкретных функций
1. 
;
2. 
;
3. 

В
следующей сцене перечисляются свойства, и демонстрируется график степенной
функции с натуральным нечетным показателем степени. Сначала строится типовой
график функции вида 
, затем
поэтапно перечисляются свойства функции этого вида. Некоторые из перечисленных
свойств дополнительно иллюстрируются на графике выделением определенных
элементов чертежа красным цветом. Переход к следующему свойству осуществляется
кнопкой «вперед», таким образом, достигается регулируемая учителем пауза, во
время которой учитель может обсудить с классом текущее свойство функции. С
помощью кнопки «прокрутка» учитель может перейти сразу к полному списку
свойств, а не открывать их поэтапно. Эта функция полезна при повторном
просмотре сцены. Кроме того, из полного списка свойств можно выбрать простым
щелчком курсора любое свойство и воспроизвести именно его еще раз.
Для формирования детального представления о графике степенной функции с
нечетным натуральным показателем, в завершение этой части предлагается сравнить
поведение графиков трех конкретных функций
1. 
;
2. 
;
3. 

В
данной сцене перечисляются свойства, и демонстрируется график степенной функции
с отрицательным четным показателем степени. Сначала строится график функции
вида 
, затем
поэтапно перечисляются свойства функции этого вида. Некоторые свойства
иллюстрируются на графике выделением определенных элементов чертежа красным
цветом. Переход к следующему свойству осуществляется кнопкой «вперед», таким
образом, достигается регулируемая учителем пауза, во время которой учитель
может обсудить с классом текущее свойство функции. С помощью кнопки «прокрутка»
учитель может перейти сразу к полному списку свойств, а не открывать их
поэтапно. Эта функция полезна при повторном просмотре сцены. Кроме того, из
полного списка свойств можно выбрать простым щелчком курсора любое свойство и
воспроизвести именно его еще раз.
В завершение предлагается сравнить поведение графиков двух конкретных
функций с отрицательным четным показателем
1. 
;
2. 
.

В
данной сцене демонстрируется график, и перечисляются свойства степенной функции
с отрицательным нечетным показателем степени. Некоторые из перечисленных
свойств дополнительно иллюстрируются на графике выделением определенных
элементов чертежа красным цветом. Переход к следующему свойству осуществляется
кнопкой «вперед», таким образом, достигается регулируемая учителем пауза, во
время которой учитель может обсудить с классом текущее свойство функции.
Учитель с помощью кнопки «прокрутка» может перейти сразу к полному списку
свойств, а не открывать их поэтапно. Кроме того, из полного списка свойств
можно выбрать простым щелчком курсора любое свойство и воспроизвести именно его
еще раз.
В завершение этой части предлагается сравнить поведение графиков трех
конкретных функций
1. 
;
2. 
2. Функции

, их
свойства и графики

, n
-четное число, х ≥ 0:
В данной сцене перечисляются свойства, и демонстрируется график степенной
функции корня четной степени из положительного числа. Сначала строится типовой
график, затем поэтапно перечисляются свойства функции этого вида. Некоторые из
перечисленных свойств дополнительно иллюстрируются на графике выделением
определенных элементов чертежа красным цветом. Переход к следующему свойству
осуществляется кнопкой «вперед», таким образом, достигается регулируемая
учителем пауза, во время которой учитель может обсудить с классом текущее
свойство функции. С помощью кнопки «прокрутка» учитель может перейти сразу к
полному списку свойств, а не открывать их поэтапно. Эта функция полезна при
повторном просмотре сцены. Кроме того, из полного списка свойств можно выбрать
простым щелчком курсора любое свойство и воспроизвести именно его еще раз.
В завершение предлагается сравнить поведение графиков трех конкретных
функций
1. 
;
. 
;
. 

, n-нечетное
число:
В
данной сцене демонстрируется график, и перечисляются свойства степенной функции

, где n -
нечетное число. Некоторые из перечисленных свойств дополнительно иллюстрируются
на графике выделением определенных элементов чертежа красным цветом. Переход к
следующему свойству осуществляется кнопкой «вперед», таким образом, достигается
регулируемая учителем пауза, во время которой учитель может обсудить с классом
текущее свойство функции. Учитель с помощью кнопки «прокрутка» может перейти
сразу к полному списку свойств, а не открывать их поэтапно. Кроме того, из
полного списка свойств можно выбрать простым щелчком курсора любое свойство и
воспроизвести именно его еще раз.
После просмотра данной сцены предлагается сравнить поведение графиков
трех конкретных функций
1. 
;
. 
;
. 
.
3.
Функции 
, их
свойства и графики.
В данной сцене рассматривается построение графика функции

Сначала
появляется график функции

затем
появляются свойства, после нажатия кнопки обозначающая продолжение просмотра в
данной сцене.
После просмотра данной сцены, можно подкрепить теорию наглядными
примерами на построение графиков конкретных функций.
Итак, перейдем к примерам. В сцене “примеры построения графиков функций”
предлагается 3 примера
1.
;
. 
;
. 
.
В данной сцене рассматривается построение графика функции

Сначала
появляется график функции

затем
появляются свойства, после нажатия кнопки обозначающая продолжение просмотра в
данной сцене.
После просмотра данной сцены, можно подкрепить теорию наглядными
примерами на построение графиков конкретных функций.
Итак, перейдем к примерам. В сцене “примеры построения графиков функций”
предлагается 3 примера
1.
;
. 
;
. 
.
В данной сцене рассматривается построение графика функции

Сначала
появляется график функции

затем
появляются свойства, после нажатия кнопки обозначающая продолжение просмотра в
данной сцене.
После просмотра данной сцены, можно подкрепить теорию наглядными
примерами на построение графиков конкретных функций.
Итак, перейдем к примерам. В сцене “примеры построения графиков функций”
предлагается 2 примера
1. 
;
. 

4. Задачи на распознавание графиков степенной функций.
В данном разделе три сцены (три задачи). Целью работы с этими сценами
является формирование навыка распознавания графиков различных видов степенной
функции. Каждая задача соответствует определенному блоку теории.
Сцена зрительно разделена на две части. В правой части окна даны элементы
графика, которые пользователь может курсором перемещать на графическое поле, а
в левой части расположены координатные плоскости, куда нужно переместить
соответствующий график степенной функции. При наведении курсора на кнопку
«проверка», на графическом поле высвечивается правильный ответ (искомый график)
и, таким образом, пользователь может сравнить результат собственного выбора с
верным результатом.
. Тест.
Тест содержит девять вопросов, к каждому вопросу предлагается три или
четыре варианта ответа, один из которых верный. При выборе правильного ответа
появляется надпись: «Молодец», при выборе неправильного ответа - появляется
надпись: «Неверно».
Задания № 1, 2.
В этих заданиях необходимо определить четность функции по готовому
графику. Целью заданий является закрепление полученных знаний и применение их
на практике, в данном случае определить четная функция или нет. Учащимся
предлагается рисунок, на котором изображен график какой-то функции. Их задача
состоит в том, чтобы определить из предложенного списка верное свойство этой
функции. При выборе правильного ответа появляется надпись: «Молодец», при
выборе неправильного ответа - появляется надпись: «Неверно».
Задания 3, 4.
В этих заданиях стоит обратная задача, то есть необходимо подобрать часть
графика, при подстановке которого функция будет четной или нечетной. Целью
заданий является закрепление полученных знаний и применение их на практике.
Учащимся предлагается достроить рисунок, на котором изображена часть графика
четной, либо нечетной функции. Их задача состоит в том, чтобы из предложенных
графиков выбрать верный, и достроить функцию. При наведении курсора на кнопку
«проверка», на графическом поле высвечивается правильный ответ (искомый график)
и, таким образом, пользователь может сравнить результат собственного выбора с
верным результатом.
Задания 5 - 8
Здесь необходимо сравнить выражения, пользуясь знаниями о свойствах
степенной функции. Целью заданий является закрепление полученных знаний и
применение их на практике. Задача учащихся состоит в том, чтобы определить из
предложенного списка верный ответ. Предлагается сравнить выражения,
воспользовавшись знаниями четности степенной функции от положительного, либо от
отрицательного значения. Присутствует кнопка «подсказка», при наведении на
графическом поле высвечивается график, на котором изображены соответствующие
степенные функции, точки и их значения, таким образом, пользователь может
наглядно увидеть верный результат. При выборе правильного ответа появляется
надпись: «Молодец», при выборе неправильного ответа - появляется надпись:
«Неверно».
Задание 9
Здесь требуется найти количество решений уравнения. Задача учащихся
состоит в том, чтобы переместить графики в одну систему координат и определить
из предложенного списка верный ответ. При выборе правильного ответа появляется
надпись: «Молодец», при выборе неправильного ответа - появляется надпись:
«Неверно».
Данный тест не является оценочным, он предполагает режим самопроверки.
Самопроверка полезна на начальном этапе освоения материала, такой вид работы
помогает снять психологический барьер у учащихся, снимается страх, учащиеся не
боятся сделать ошибку или получить плохую оценку. Подсказки дают опору для
рассуждений, вносят игровой элемент, тем самым раскрепощается мышление.
После того как мы рассмотрели основные характеристики интерактивного
пособия, рассмотрим как именно и где данное мультимедийное пособие можно
применять на уроках математики.
§2. Методические рекомендации к использованию пособия
Разумное, продуманное использование компьютерных технологий на уроках
позволяет формировать и развивать познавательную мотивацию школьников к
получению новых знаний, помогает создавать условия успешности каждого ученика
на уроке, значительно улучшает чёткость в организации работы учащихся.
Предложенный flash-фильм
выполняет роль наглядного пособия, которое является демонстрационным, а так же
содержит элементы проверки и контроля (самоконтроля), полученных учащимися
знаний. После ознакомления с теоретическим материалом, учащиеся могут проверить
свои знания, выполняя тест или решая визуальные задачи на распознавание
графиков функций.
Основной дидактической целью пособия является обобщение и систематизация
знаний, полученных по теме «Свойства степенной функции», а именно
· функции 
, их
свойства и графики;
· функции 
, их
свойства и графики;
· функции 
, их
свойства и графики.
Данное пособие можно использовать при изучении раздела “Функции” по
различным учебникам курса алгебры средней школы.
Мультимедийное пособие содержит основные виды степенной функции,
изучаемые в школьном курсе математики. Так как ни один школьный учебник
основной школы не содержит сразу все виды степенной функции в одном разделе, то
данное интерактивное пособие можно давать не только целиком, как уже
систематизирующий материал, но и по частям, то есть учитель может показывать
отдельные сцены интерактивного пособия, которые соответствуют теме урока. Чтобы
лучше понять, где конкретно можно использовать данный flash-фильм, рассмотрим примеры поурочного планирования
изучения данного раздела с указанием возможностей использования мультимедийного
пособия «Свойства степенной функции» на отдельных уроках.
Цель изучения материала функциональной линии - осознание учащимися
понятия функции как одной из основных математических моделей, позволяющих
описывать и изучать разнообразные зависимости между реальными величинами. Для
понимания учащимися курса алгебры важно, чтобы они не только усвоили понятие
функция, но и научились работать с этой математической моделью. И здесь большое
значение имеет изучение свойств функции, формирование у учащихся умения
использовать их при решении уравнений, неравенств.
«Главное условие успешного изучения функций, в школьном курсе алгебры, -
пишет Ю.Н. Макарычев, - заключается в широком использовании фундаментальных
понятий внутри этого курса, в установлении связей с другими понятиями курса
алгебры, делающее всю структуру курса легко обозримой».
Примерное планирование по алгебре 9 класса для классов (учебник под
редакцией Мордковича А.Г.) (3 часа в неделю.)
Примерное планирование учебного материала по алгебре 9 класса (авт. Ю.Н.
Макарычев, Н.Г. Миндюк) (3 ч в неделю по алгебре)
|
Тема урока
|
Количество часов
|
Комментарии к использованию
мультимедийного пособия.
|
Функция 
2чВ
данном разделе учитель может продемонстрировать следующие сцены:
· “функции 
, их
свойства и графики:
”,
· “функции 
, их
свойства и графики:
”,
· “функции 
, их
свойства и графики:
”,
· “функции 
, их
свойства и графики: 
”.
|
После чего можно
рассматривать примеры к каждому виду степенной функции.
|
|
|
Примерное планирование учебного материала по алгебре и началам анализа 9
класса для классов с углубленным изучением математики (авт. Мордкович А.Я.) (5
ч в неделю по алгебре)
|
Тема урока
|
Количество часов
|
Комментарии к использованию
мультимедийного пособия.
|
|
СТЕПЕННЫЕ ФУНКЦИИ. СТЕПЕНИ
И КОРНИ (32 ч)
|
|
Функции 
, их
свойства и графики4чВ данном разделе учитель может продемонстрировать следующие
сцены: · “функции 
, их
свойства и графики:
”,
· “функции 
, их
свойства и графики:
”,
· “функции 
, их
свойства и графики:
”,
· “функции 
, их
свойства и графики:
”.
|
После чего можно
рассматривать примеры к каждому виду степенной функции.
|
|
|
Функции 
, их
свойства и графики4чПри изучении данной темы учитель может продемонстрировать
следующие две сцены: ·
“функции 
, их
свойства и графики, когда 
-
чётное”,
· “функции 
, их
свойства и графики, когда 
-
нечётное ”.
|
После рассмотрения
теоретической части, целесообразно рассмотреть эти виды степенной функции на
конкретных примерах.
|
|
|
Функции 
, их
свойства и графики4чВ этом разделе целесообразно продемонстрировать сцену: · “функции 
, их
свойства и графики: 
”,
· “функции 
, их
свойства и графики: 
”,
· “функции 
, их
свойства и графики: 
”.
|
После чего рассмотреть это
на конкретных примерах, которые предложены в данной сцене.
|
|
|
Просмотр данного flash
- фильма можно осуществлять как на различных этапах изучения раздела “Степенная
функция”, так и на различных этапах в рамках одного урока, то есть
мультимедийное пособие может быть использовано на этапе повторения и обобщения,
и систематизации изучаемого материала. Так как пособие охватывает темы разных
уроков, преподавателю целесообразно вызывать сцены в порядке, соответствующем
методике изложения материала. Переход от одной сцены к другой при таком порядке
просмотра осуществляется либо возвратом к содержанию с последующим переходом к
нужной сцене, либо с помощью последовательного перехода.
Также, интерактивное пособие может быть ориентировано на самостоятельный
просмотр учащимися без помощи и управления со стороны преподавателя после
изучения соответствующей темы на уроке, как дополнение к учебнику, с целью
повторения или устранения пробелов в знаниях и умениях. В этом случае
предполагается просмотр учащимся сцен в порядке, указанном в содержании. Данный
материал мультимедийного пособия можно давать учащимся для самостоятельного
изучения темы на этапе закрепления и систематизации знаний с целью лучшего
усвоения темы.
Мультимедийное пособие ориентировано на использование наглядно-образного
мышления у учащихся, выступает в роли средства активизации познавательного
интереса к содержанию обучения. Пособие призвано стимулировать интерес к
учению, позволяет конкретизировать изучаемые теоретические вопросы. В связи с
тем, что обучаемые, в большей степени обладают одним из двух типов
преимущественного мышления, словесно-логическим или наглядно-образным, пособие
направлено на оба типа восприятия. Представленная информация поступает по
нескольким каналам, которые дополняя друг друга, дают наиболее полное
представление о степенной функции. Опираясь на зрительные и чувственные
компоненты восприятия, можно добиться более глубокого понимания материала.
Таким образом, визуализацию данного материала мы считаем возможной и полезной.
Материал темы реализуется дедуктивным путем, от общего к частному:
сначала дается общее описание определенного вида степенной функции и ее
свойств, а затем предлагаются к сравнительному анализу конкретные функции
данного вида.
Задачи и тестовые задания данного пособия так же предлагают к
рассмотрению конкретные степенные функции, носят преимущественно визуальный
характер и выполняются в режиме самопроверки.
Таким образом, предлагаемое мультимедийное пособие позволяет
визуализировать представления о различных ключевых понятиях и закономерностях,
связанных со свойствами степенной функции. Данный Flash - фильм можно использовать на различных этапах
изучения раздела “Степенная функция”, и на различных этапах одного урока за
счет возможности демонстрации отдельных сцен пособия. Кроме того, показ
составляющих частей фильма можно организовать в произвольном порядке, что
обеспечивает возможность применения пособия независимо от используемого
преподавателем учебника по алгебре.
Предлагаемый в пособии тест, состоящий из девяти заданий, способствует
формированию у учащихся навыка чтения свойств функции по графику, применения
свойств степенной функции к решению ряда практических задач.
Пособие создано для 9 класса, но блок степенная функция с рациональным
показателем, так и все пособие может использоваться в старшей школе.
Ученик может использовать данное пособие при итоговом повторении
материала, при подготовке к зачету или для ликвидации пробелов по теме, для
расширения собственных знаний, в качестве справочника. Учителю математики
предлагается использовать данное пособие на своих уроках преимущественно для
повторения и систематизации знаний учащихся о свойствах степенной функции.
Надеемся, что пособие принесёт пользу всем, кто будет использовать его на
уроках алгебры или при повторении учебного материала в домашних условиях.
Заключение
Основной целью дипломной работы является создание мультимедийного
дидактического пособия по теме “Свойства степенной функции” школьного курса
алгебры.
Для определения структуры нашего дидактического пособия, была
проанализирована учебная литература по теме «Степенная функция» и было отобрано
содержание учебного материала в соответствии с содержанием рассмотренных
учебников. Была проанализирована литература по психологии, педагогике и
методике преподавания математики. Изучение разных видов наглядности позволило
определить роль динамической наглядности и рассмотреть целесообразность ее
использования при изучении свойств степенной функции. Для реализации
динамической наглядности мы применяем компьютер, поэтому были рассмотрены пути
применения компьютерных средств в образовании, классификации компьютерных
средств обучения. Так как компьютерная наглядность имеет как свои достоинства,
так и недостатки, то были рассмотрены и учтены требования, предъявляемые
учебным компьютерным средствам. Компьютерная наглядность опирается
преимущественно на визуальное мышление, поэтому нам следовало рассмотреть
взаимосвязь различных видов мышления, и определить для нашего пособия стратегию
перехода от визуального мышления к аналитическому.
Исходя из результатов, было разработано мультимедийное пособие по теме
«Свойства степенной функции», выполненное с помощью компьютерной программы Macromedia Flash. Пособие представляет собой информационно - обучающий
анимированный ролик, предназначенный для использования в качестве
дополнительного демонстрационного материала при изучении раздела «Степенная
функция» школьного курса алгебры.
Мультимедийное пособие ориентировано на использование наглядно-образного
мышления учащихся и, в частности, содержит не только перечисление основных
видов и основных свойств степенной функции, но и интерактивные визуальные
задачи с элементами самопроверки для самостоятельной работы учащихся.
Визуальные задачи направлены на распознавание графиков различных видов
степенной функции.
Еще в нашем пособии представлен тест, который способствует проверке
знаний учащихся о свойствах степенной функции и формирует навык применения этих
знаний к практическим задачам (причем, по ходу выполнения ряда тестовых
заданий, учащийся может, при желании, получить графическую подсказку).
Этот тест не является оценочным, он предполагает режим самопроверки.
Самопроверка полезна на начальном этапе освоения материала. Такой вид работы
помогает снять у ребят психологический барьер по отношению к новому, еще
недостаточно освоенному учебному материалу: не страшно сделать ошибку и
получить за это плохую оценку, но интересно, сумеешь ли выбрать правильный
ответ. Подсказки дают опору для рассуждений, вносят игровой элемент, тем самым,
раскрепощая мышление.
Во второй главе дипломной работы дается подробное описание структуры и
содержания мультимедийного дидактического пособия по теме Свойства степенной
функции, а также разработаны методические рекомендации к его использованию.
Пособие создано, в первую очередь, для 9 класса, но содержит блок
«степенная функция с рациональным показателем», и потому может использоваться в
старшей школе для повторения, расширения и обобщения представлений учащихся о
видах и свойствах степенной функции.
Данное пособие представляет собой дополнительное средство обучения,
которое возможно использовать в учебном процессе, наряду с традиционными
средствами, по усмотрению преподавателя полностью или частично. Применение
нашего пособия возможно как учителем на уроке, на этапе повторения и обобщения
знаний о свойствах степенной функцции, так и самостоятельно учеником для
повторения и закрепления соответствующего учебного материала.
К работе прилагается компакт-диск, содержащий мультимедийное пособие по
теме: «Свойства степенной функции».
Библиография
1. Алгебра
[Текст] : Учеб. для 9 кл. общеобразоват. учреждений / Ш.А. Алимов, Ю.М.
Колягин, Ю.В. Сидоров и др.; Под ред. Ш.А. Алимова.- М.: Просвещение, 2009.-
287 с.: ил.
2. Алгебра
[Текст] : Учеб. для 9 кл. общеобразоват. шк. / Ю.Н. Макарычев, Н.Г. Миндюк,
К.И. Нешков, С.Б. Суворова.- М.: Просвещение, 2009.- 272 с.: ил.
3. Алгебра
[Текст] : Учебник для 9 кл. общеобразоват. шк. С.М. Никольский, М.К. Потапов,
Н.Н. Решетников и др.- М.: Просвещение: Моск. учеб, 2006.- 255 с.: ил.
4. Арнхейм,
Р. Визуальное мышление [Текст] : Хрестоматия по общей психологии / Р. Арнхейм.-
М.: Изд-во МГУ, 1981.- 107 с.
5. Басова,
Н.В. Педагогика и практическая психология [Текст] : Учеб. пособие Н.В. Басова.-
Ростов н/Д: Феникс, 2000.- 416 с.
. Беспалов,
Б.И. Действие. Психологические механизмы визуального мышления [Текст] / Б.И.
Беспалов.- М.: Изд-во Моск. ун-та, 1984.- 192 с.
. Болтянский,
В.Г. Формула наглядности - изоморфизм плюс простота [Текст] В.Г. Болтянский //
Сов. педагогика.- 1970.- № 5.- C. 40
- 46.
. Васильева,
И.А. Психологические аспекты применения информационных технологий [Текст] /
И.А. Васильева, Е.М. Осипова, Н.Н. Петрова // Вопросы психологии.- 2002.- № 3.-
С. 80 - 88.
. Высоцкий,
И.Н. Компьютер в образовании [Текст] / И.Н. Высоцкий // Информатика и
образование.- 2000.- № 1.- C. 86
- 87.
. Гальперин,
П.Я. Введение в психологию [Текст] : Учеб. пособие для вузов П.Я. Гальперин.-
М.: Кн. дом «Университет», 1999.- 332 с.
. Голуб,
Б.А. Основы общей дидактики [Текст] : Учеб. пособие для студ. педвузов / Б.А.
Голуб.- М.: Туманит: ВЛАДОС, 1999.- 96 с.
. Григорович,
Д.Б. Технология дистанционного обучения в системе заочного экономического
образования [Текст] / Д.Б. Григорович, А.Н. Романов, В.С. Торопцов.- М.: ЮНИТИ,
2000.- 303 с.
. Давыдов,
В.В. Виды обобщения в обучении [Текст] : логико-психологические проблемы
построения учебных предметов / В.В. Давыдов.- М.: Педагогика, 1972.- 210 c.
. Давыдов,
В.В. Теория развивающего обучения [Текст] / В.В. Давыдов.- М.: ИНТОР, 1996.-
544 с.
. Егерев,
В.К. Методика построения графиков функций [Текст] : Учеб. пособие В.К. Егерев,
Б.А. Радунский, Д.А. Тальский.- 2-е изд.- М.: Высш. шк., 1970.- 152 с.
. Занков,
Л.В. Наглядность и активизация учащихся в обучении [Текст] / Л.В. Занков.- М.,
1960.- 162 с.
. Карандашев,
В.Н. Методика преподавания психологии [Текст] : Учеб. пособие. / В.Н.
Карандашев.- СПб.: Питер, 2005.- 250 с: ил.
. Коменский,
Я.А. Великая дидактика [Текст] : Избранные педагогические сочинения: в 2-х т. /
Я.А. Коменский.- М., 1982.- Т. 1.- 384 с.
. Краснова,
Г.А. Технологии создания электронных обучающих средств [Текст] / Г.А. Краснова,
М.И. Соловов, М.И. Беляев.- М.: МГИУ, 2001.- 224 с.
20. Кривцова, С.А.
Информационные технологии в образовательном процессе. Основные подходы к
организации уроков и мероприятий с использованием компьютера [Электронный
документ] / С.А. Кривцова.- (http://pedsovet.org/component/option,com_mtree/task,viewlink/link_id,3814/Itemid,118/). 25.01.10
21. Леонтьев,
А.Н. Психологические вопросы сознательности учения [Текст] А.Н. Леонтьев //
Известия АПН РСФСР.- 1947.- № 7.- C. 3 - 40.
22. Лопатина,
Л.В. Урок-мастерская по теме «Степенная функция» [Текст] Л.В. Лопатина //
Математика в шк.- 2004.- № 7.- C. 43
- 45.
. Математика:
5-11 кл.: Программы. Тематическое планирование [Текст] : Для общеобразоват.
шк., гимназий, лицеев. / М-во образования РФ; Сост. Г.М. Кузнецова, Н.Г.
Миндюк.- М.: Дрофа, 2000.- 320 с.
. Машбиц,
Е.И. Психолого-педагогические проблемы компьютеризации обучения [Текст] : Кн.
для учителя / Е.И. Машбиц.- М.: Просвещение, 1988.- 191 с.
. Машбиц,
Е.И. Компьютеризация обучения: проблемы и перспективы [Текст] Е.И. Машбиц.- М.:
Знание, 1986.- 80 с.
. Мишин,
В.И. Методика преподавания математики в средней школе [Текст] : Частная
методика: Учебное пособие для студентов пед. ин-тов по физ.-мат. спец. / В.И.
Мишин.- М.: Просвещение, 1987.- 287 с.
. Мордкович,
А.Г. Алгебра [Текст] : Учебник для 9 кл. с углубленным изучением математики /
А.Г. Мордкович.- М.: Мнемозина, 2006.- 296 с.: ил.
. Мордкович,
А.Г. Алгебра [Текст] : Учебник для 9 кл. общеобразоват. шк. А.Г. Мордкович.-
М.: Мнемозина, 2009.- 448 с.: ил.
. Немов,
Р.С. Психология: Учеб. для студ. высш. пед. учеб. заведений [Текст] : в 3 кн. /
Р.С. Немов.- 4-е изд.- М.: Владос, 2001.- Кн. 2 : Психология образования.- 608 с.
. Петрова,
Н.П. Проект «Изучение свойств степенной функции с помощью программы Excel» [Текст] / Н.П. Петрова //
Математика в шк.- 2008.- № 2.- C. 45
- 47.
. Роберт,
И.В. Информационные и коммуникационные технологии в образовании [Текст] :
Учебно-методическое пособие / И.В. Роберт.- М.: Дрофа, 2008.- 312 с.
. Рысь,
Ю.И. Психология и педагогика [Текст] : Учеб. пособие для студ. вузов Ю.И. Рысь,
В.Е. Степанов, В.П. Ступницкий.- М.: Академический проект: РЭА, 1999.- 308 с.
. Саранцев,
Г.И. Методика обучения математике в средней школе [Текст] : Учеб. пособие для
студентов мат. спец. пед. вузов и ун-тов / Г.И. Саранцев.- М.: Просвещение,
2000.- 224 с.
. Сеченов,
И.М. Избранные произведения: в 2 т. [Текст] / И. М. Сеченов.- М.: АН СССР,
1962.- Т. 1.- 381 с.
. Толстых,
В.И. Образ художественный / В.И. Толстых / Новая философская энциклопедия
[Текст] : в 4 т. / под ред. В. С. Стенин.- М., 2001.- 692 с.- Т. 3.- С. 129.
. Ушинский,
К.Д. Собрание сочинений [Текст] : Избранные педагогические сочинения: в 11 т. /
К. Д. Ушинский.- М.: Акад. пед. наук, 1948.- Т. 6.- 265 с.
. Федорова,
Н.Е. Изучение алгебры и начал математического анализа в 10 классе [Текст] : кн.
для учителя / Н.Е. Федорова, М.В. Ткачева.- М.: Просвещение, 2008.- 190 с.: ил.
38. Фридман,
Л.М. Психолого-педагогические основы обучения математики в школе [Текст] / Л.М.
Фридман.- М.: Просвещение, 1983.- 432 с.