Кристаллографический исследование структуры и потенциальных свойств заданного материала
Краткое описание кристаллографических характеристик и
кристаллофизических свойств материалов
2
SnO2 -
бесцветные кристаллы, кристаллическая решетка типа рутил.
Сингония: тетрагональная.
Точечная группа (класс симметрии): планаксиальный (дитетрагонально-дипирамидальный),
4/mmm (обозначение по Шенфлису D4h).
Пространственная группа: P42/mnm. Два атома олова в
ячейке занимают места одной правильной системы точек с координатами (000;
½ ½ ½). Четыре атома кислорода также расположены по точкам правильной системы.
Точки эти имеют координаты
(xx0; 1-x, 1-x, 0;
½ + x,
½ - x,
½; ½ - x, ½ + x, ½)
Параметры ячейки SnO2 [4, с.
130]:
a =
0,472 нм,
с =
0,317 нм,
x = 0,26.
Таким образом, атомный базис представляет собой:
Атомы Sn: (000); (0,5; 0,5; 0,5)
Атомы O: (0,26; 0,26; 0); (0,74; 0,74; 0);
(0,76; 0,24; 0,5); (0,24; 0,76, 0,5)
PbTe
Типа решетки: NaCl
Параметр ячейки [5, с. 37]:
a = 0,6452 нм
Атомы Pb:
(0, 0, 0), (0, ½, ½), (½, 0, ½),
(½,½,0);
Атомы Te:
(0, ½, 0), (½, 0, 0), (0, 0, ½),
(½,½,½)
а б
Рис. 1. Структурные типы исследуемых фаз: a) SnO2 - рутил, б)
PbTe - тип NaCl.
Стереографическая проекция элементов симметрии и общей простой формы,
формула симметрии
Рис. 2. Стереографическая проекция элементов симметрии и общей простой
формы
Исходные элементы симметрии планаксиальной ступени тетрагональной
сингонии представлены вертикальной осью четвертого порядка, горизонтальной осью
второго порядка и перпендикулярной ей вертикальной плоскостью 4v + 2h / mv рождают множество новых элементов симметрии:
v + 2h
/ mv = 4v 2h4 mv4 mh -1.
Доказать последнее утверждение о порожденных элементах можно с помощью
теорем о сочетании операций симметрии:
) Если есть ось симметрии порядка n и перпендикулярно этой оси проходит ось 2, то
всего имеется n осей 2-го
порядка, перпендикулярных оси n-го
порядка:
v + 2h ® 4v 2h4 .
) Если есть ось симметрии n-го порядка и вдоль нее проходит плоскость симметрии, то таких плоскостей
имеется n:
v + mv ® 4v mv4.
) Точка пересечения четной оси симметрии с перпендикулярной ей плоскостью
симметрии есть центр симметрии:
h / mv ® -1.
) Если есть центр четная ось симметрии и на ней центр симметрии, то
перпендикулярно этой оси проходит плоскость симметрии:
v + -1 ® mh.
Таким образом, мы действительно доказали наличие указанных порожденных
элементов. Исходные и порожденные элементы симметрии вместе с общей простой
формой изображены на стереографической проекции на рис. ххх.
Кристаллографическая формула (или формула симметрии)
состоит из записанных подряд всех элементов симметрии данного объекта. На
первом месте принято писать оси симметрии от высших к низшим, на втором -
плоскости симметрии, затем центр:
4v 2h4 mv4 mh
-1 ® L4 2L2 5P C.
Стандартная установка кристаллографических и
кристаллофизических осей координат, проекция выбранной грани на сетке Вульфа
Рис. 3. Стандартная установка кристаллографических и кристаллофизических
осей координат
Стандартная установка осей координат приведена на рис. 3.
Для решения количественных задач с помощью стереографической и
гномостереографической проекций пользуются обычными градусными сетками.
Наиболее употребительна сетка Вульфа.
Сетка Вульфа (рис. 4) - это стереографическая проекция всей системы
меридианов и параллелей, нанесенных на поверхность сферы. Плоскостью проекций
является плоскость одного из меридианов. Положение любой точки на сфере
определяется ее сферическими координатами ρ и φ.
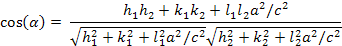
Для получения данных угловых координат нужно знать, как найти угол α
между двумя плоскостями
(h1k1l1) и (h2k2l2). Косинус такого угла определяется из скалярного
произведения для обратных векторов:
Для угла ρ в качестве (h1k1l1) выступает выбранная грань (1-23), в качестве (h2k2l2) выступает (001). Для угла φ ищется угол с проекцией в
экваториальной плоскости, поэтому (h1k1l1) = (1-20), вторая грань (h2k2l2) соответствует (010). Таким образом, узнаем угловые
координаты исходной грани.
Полученные угловые координаты служат для проекции на сетке Вульфа (рис.
4) и поиска применением всех элементов симметрии других граней общей простой
формы, которые также отображены с соответствующими им индексами Миллера на рис.
4.
кристаллографический кристаллофизический титан олово свинец
кристалл
Рис. 4. Сетка Вульфа, проекция грани (1-23) и общей простой формы на ее
основе.
Простую форму определяют как совокупность симметрично эквивалентных
плоскостей, получаемых из одной плоскости, если размножить ее с помощью
операций симметрии, свойственных данному классу симметрии. Символы всех 16
граней простой формы, полученные методом перестановки индексов, можно
объединить одним символом в фигурных скобках {123}, означающем совокупность
всех симметрично эквивалентных граней, принадлежащих данной простой форме.
Название общей простой формы соответствует обозначению класса по Гроту -
дитетрагональная дипирамида.
Стереографические проекции всех частных простых форм
Таблица 1
Частные простые формы
|
Грань в частном положении
|
Стереографическая проекция
частной простой формы
|
Название
|
Собственная симметрия грани
|
Форма фигур травления
|
|
(001)
|
пинакоид
|
октагон
|
|
|
(100), (110)
|
тетрагональная призма
|
2m
|
ромб
|
|
|
(hk0)
|
дитетрагональная призма
|
m
|
любые фигуры, симметричные
относительно плоскости
|
|
|
(hhl, h0l)
|
тетрагональная дипирамида
|
m
|
любые фигуры, симметричные
относительно плоскости
|
|
|
(hkl)
|
дитетрагональная дипирамида
|
1
|
однородное травление, без
выделенного направления
|
|
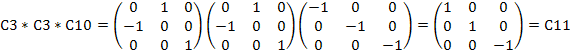
Операции симметрии матричным методом
Сложение элементов симметрии, которое выше производилось графически и с
помощью теорем о сочетании операций симметрии, можно производить и матричным
методом.
Сочетание элементов симметрии получается путем перемножения
соответствующих матриц (номера матриц соответствуют номерам Таблице ххх):
) 4v + mv - воздействуем преобразованием 4
раза:

® порожденный элемент mv;

® порожденный элемент mv

® порожденный элемент mv;

® исходный элемент mv;
)
4v + 2h - воздействуем
преобразованием 4 раза:

® порожденный элемент 2h;

® порожденный элемент 2h;

® порожденный элемент 2h;

® исходный элемент 2h;
)
2h + mv дают центр симметрии:

® порожденный элемент -1;
)
4v + -1 дают горизонтальную плоскость mh:

.
Группа
элементов симметрии с включением единичного элемента (единичной матрицы)
является полной, любые дальнейшие сложения элементов (перемножения матриц) не
дают никаких новых элементов группы. Все элементы симметрии и матрицы
преобразований представлены в таблице 2.
Таблица
2. Матрицы преобразований элементов симметрии
|
Номер
|
Элемент симметрии
|
Штрихованные оси
|
Матрица преобразования
|
|
|
Исходные элементы симметрии
|
|
|
1
|
4v
|

|
|
|
|
2
|
mv
|
|
|
|
|
3
|
2h
|

|
|
|
|
Порожденные элементы
симметрии
|
|
4
|
mv
|

|
|
|
5
|
mv
|

|
|
|
6
|
mv
|

|
|
|
7
|
2h
|

|
|
|
8
|
2h
|

|
|
|
9
|
2h
|

|
|
|
10
|

|
|
|
11
|
mh
|

|
|
|
|
|
|
|
|
|
|
|
Оценка возможности возникновения эффектов
В наших рассуждениях мы будем исходить из принципа Кюри: если
накладываются друг на друга два явления или явление и окружающая его среда, то
сохраняется лишь та симметрия, которая является общей для обеих.
Пироэлектрический эффект
Пироэлектричество - это свойство некоторых диэлектрических кристаллов
изменять величину электрической поляризации при изменении температуры. В
результате нагревания или охлаждения пироэлектрического кристалла на го гранях
появляются электрические заряды. Иначе говоря, в пироэлектрическом эффекте
происходит прямое преобразование теплоты в энергию электрического поля.
Из 32 классов симметрии полярные единичные направления
могут существовать лишь в 10 классах симметрии, именно в тех, где есть либо
одна единственная ось симметрии, либо одна ось и продольные плоскости
симметрии. Поэтому пироэлектрический эффект может проявляться только в
диэлектрических кристаллах, принадлежащих к одному из десяти полярных классов
симметрии: 1, 2, 3, 4, 6, m, mm2, 3m, 4mm, 6mm.
Рассматриваемый класс симметрии 4/mmm не содержит полярных направлений,
откуда следует, что пироэлектрический эффект в кристалле данного типа
наблюдаться не будет.
Пьезоэлектрический эффект
Под
действием механического напряжения или деформации в кристалле возникает
электрическая поляризация, величина и знак которой зависят от приложенного
напряжения. Это явление называют прямым пьезоэлектрическим эффектом. Существует
и обратный пьезоэлектрический эффект - возникновение механических деформаций
под действием электрического поля
<#"510314.files/image042.gif">
,
где Pi и Tjk - компоненты вектора поляризации и тензора механических
напряжений соответственно, а dijk - компоненты тензора пьезоэлектрических модулей.
В
случае пьезоэлектрического эффекта полярный вектор электрической поляризации 
возникает
в результате воздействия центросимметричиого, неполярного тензора напряжений.
По принципу Неймана это возможно только в том случае, если в кристалле имеются
полярные направления. Очевидно, пьезоэлектрический эффект может возникнуть
только в кристаллах, лишенных центра симметрии.
В
11 классах из 32, а именно в классах центральных и планаксиальных нет полярных
направлений, а, значит, в кристаллах этих классов не может возникать
пьезоэлектрический эффект.
Поляризация в электрическом поле
Поляризация
кристалла в электрическом поле можно описать при помощи тензоров 2-го ранга - диэлектрической
проницаемости 
или
диэлектрической восприимчивости 
. При
этом уравнение, описывающее данный эффект, можно выразить в виде соотношения
между вектором напряжённости электрического поля и вектором электрического
смещения:
В
качестве характеристической поверхности тензора диэлектрической проницаемости
выступает эллипсоид, форма которого определяется сингонией, которой принадлежит
рассматриваемый кристалл.
Кристалл
оксида олова принадлежит к тетрагональной сингонии, что позволяет полностью
охарактеризовать тензор 2-го ранга всего двумя компонентами (в главной системе
координат, совпадающей в рассматриваемом случае с кристаллографическими и
кристаллофизическими осями):
Электропроводность
Явление электропроводности описывается тензором второго ранга - тензором
удельной проводимости. Уравнение, описывающее явление электропроводности,
представляет собой закон Ома в дифференциальной форме и связывает между собой
два вектора - вектор плотности тока и напряжённости электрического поля:
Как можно заметить из последнего уравнения, отсутствует принципиальное
различие между явлением электропроводности и поляризации в электрическом поле.
В обоих случаях явление и воздействие являются векторными, причём в качестве
воздействия выступает электрическое поле, т. е совпадает симметрия воздействия.
Поэтому все результаты, полученные для предыдущего случая, распространяются и
на данный эффект.
Таким образом, в главной системе координат характеристическая поверхность
тензора удельной проводимости будет иметь вид эллипсоида вращения, а сам тензор
примет вид:
Влияние направления внешнего воздействия на результирующую симметрию
кристалла и вероятность возникновения эффекта
1. Пьезоэлектрическому эффекту соответствует предельная группа симметрии ∞/mmm, которая представлена элементами: ∞v mh mv∞ 2h∞ -1. Группа изображается покоящимся
цилиндром. Такова симметрия одноосного сжимающего или растягивающего
механического усилия, а значит и пьезоэффекта. Исходя из принципа суперпозиции
Кюри, построена следующая таблица.
Исследование вероятности возникновения пьезоэффекта
|
Направление, параллельное
оси бесконечного порядка
|
Общие элементы симметрии 4/mmm
и ∞/mmm
|
Результирующая симметрия
кристалла
|
Вероятность возникновения
эффекта
|
|
[001]
|
4v 2h4 mh mv4 -1
|
4/mmm
|
нет
|
|
[100] или [110]
|
2h22v mh
-1
|
mmm
|
нет
|
|
[hk0]
|
2v mh -1
|
2/m
|
нет
|
|
[hhl] или [h0l]
|
2h mv -1
|
2/m
|
нет
|
|
[hkl]
|
-1
|
-1
|
нет
|
. Эффекту поляризации, в котором воздействующим полем является
электрическое поле, соответствует предельная группа симметрии ∞m, которая представлена элементами: ∞v mv∞. Символ группы - покоящийся конус.
Исходя из принципа суперпозиции Кюри, построена следующая таблица.
Исследование вероятности возникновения поляризации
|
Направление, параллельное
оси бесконечного порядка
|
Общие элементы симметрии 4/mmm
и ∞/mmm
|
Результирующая симметрия
кристалла
|
Вероятность возникновения
эффекта
|
|
[001]
|
4v mv4
|
4mm
|
продольный
|
|
[100] или [110]
|
2h2v mh
|
2m
|
продольный
|
|
[hk0]
|
mh
|
поперечный и продольный
|
|
[hhl] или [h0l]
|
mv
|
m
|
поперечный и продольный
|
|
[hkl]
|
1
|
1
|
нет
|
Таким образом, рассмотрение влияния направления внешнего воздействия
доказало предыдущие предположения об отсутствии в классе 4/mmm пьезоэффекта (ни один из
результирующих классов симметрии не относится к полярным) и возможности
возникновения продольного и поперечного эффектов поляризации.
Расчёт
дифрактограмм заданных материалов
Исходными данными для расчета являются периоды решетки
и индексы интерференции, определяемые по законам погасаний рефлексов. Расчет
проводится до тех пор, пока вычисленные межплоскостные расстояния не станут
меньше половины длины волны того излучения, так как на рентгенограмме
получаются отражения только от плоскостей, для которых dHKL ≥ λ/2.
Расчет углов производится по данным о межплоскостных расстояниях по
формуле Вульфа-Брэгга:
dhkl sin(θ) = nλ.
Рассматриваемые материалы относятся к двум разным сингониям: кубической (PbTe) и тетрагональной (SnO2). Расчёт межплоскостных расстояний производится
соответственно по следующим выражениям:
Проведем расчет относительной интегральной интенсивности IHKL/I0 каждого рефлекса по следующей формуле:
где
I0 -
интенсивность падающего рентгеновского луча, постоянная величина для всех
рефлексов; k - постоянная в которую входят влияния, не отражаемые
остальными факторами (коэффициентами).
p -
множитель повторяемости, определяется числом граней кристаллографической формы.
В случае кубических структур символу (hkl)
отвечает множитель 48, символам (hhl) и (hk0)
- 24, символам (hh0) - 12, символам (hhh) - 8,
символам (h00) - множитель 6.
Для
тетрагональной сингонии для p можно вывести следующее правило: символам (hkl),
(hll) отвечает множитель 16, символам (hhh),
(hhl), (hk0), (h00), (0kl) (0ll)
- 8, символам (h00), (hh0) - множитель 4, символам
(00l) - 2.
SHKL -
структурная амплитуда рассеяния рентгеновских лучей от плоскости (HKL),
о которой речь пойдет далее.
D(θ) - температурный
фактор Дебая, учитывает разность фаз, возникающую вследствие тепловых колебаний
атомов; A(θ) - абсорбционный множитель, учитывающий влияние
поглощения рентгеновских лучей образцом, зависит от толщины образца, линейного
коэффициента поглощения рентгеновских лучей и от угла θ. Для веществ, средне и сильно поглощающих рентгеновские
лучи D(θ) A(θ) = 1, т. е. эти множители при расчете относительной
интенсивности можно одновременно не учитывать.
Ф(θ) - угловой множитель который отражает влияние угла на
интенсивность рефлекса:
Выведем
закон погасания рефлексов для известного типа решетки Браве, т. е. покажем, для
каких индексов (HKL) интенсивность равна нулю, а для каких - отлична от
нуля.
С
этой целью запишем базис (mpq). Примем во внимание, что любую решетку с известным
базисом можно представить как совокупность простых решеток, число которых равно
кратности ячейки, т. е. числу атомов, содержащихся в каждой элементарной
ячейке. Для структуры PbTe (типа NaCl) запишем координаты атомов базиса:
для
четырех атомов несмещенной решетки (атомы Pb):
(0, 0, 0), (0, ½,
½), (½, 0, ½), (½,½,0);
-
для четырех атомов смещенной решетки (атомы Te):
(0, ½, 0), (½, 0,
0), (0, 0, ½), (½,½,½)
Тогда
структурный множитель интенсивности |SHKL|2
может быть рассчитан по формуле
где
SHKL -
структурная амплитуда рассеяния рентгеновских лучей от плоскости (HKL);
mj, pj, qj - координаты базиса в долях периода решетки; fj - атомный фактор рассеяния рентгеновских лучей,
равный отношению амплитуды рассеяния Z-электронами атома к амплитуде
рассеяния одним электроном (Z - порядковый номер j-го
элемента), fj равен Z только при sin(θ)/λ
= 0 и уменьшается с ростом угла θ. Значения атомных факторов рассеяния в зависимости от sin(θ)/λ берутся из аппроксимации справочных данных.
Теперь,
в соответствии с координатами базиса и известной формулой определения
структурного множителя мы можем вывести закон погасания рефлексов, подставив
координаты базиса в долях решетки:
В
первой части сумма синусов всегда равна нулю, поскольку их аргументы всегда
кратны π
и каждый синус дает 0. Косинусы в случае,
если все индексы четны или нечетные дают по 1, итого 4, в случае разной
четности один из трех косинусов дает 1, другие два дают -1, итого 0.
Во
второй части сумма синусов также всегда равна нулю по той же причине. Но
теперь, как видно, сумма косинусов дает или 4 или -4, в зависимости от того
четны или нечетны все коэффициенты. В случае разной четности последний косинус,
содержащий сумму коэффициентов, приводит к тому, что сумма косинусов всегда
будет равна нулю.
Беря
модуль и возводя структурную амплитуду в квадрат, получаем правила погасания
рефлексов:
)
Если все индексы четные, то |SHKL|2 = 16(fPb + fTe)2.
)
Если все индексы нечетные, то |SHKL|2 = 16(fPb - fTe)2.
)
В остальных случаях |SHKL|2 = 0.
Примем
максимально значение найденной интенсивности за единицу и рассчитаем относительные
интенсивности всех рефлексов. Результаты расчета отдельных множителей
интегральной интенсивности приведены в Приложении в таблицах 1-4.
Для
SnO2 ввиду
того, что это решетка с параметром, закон погасания искать бессмысленно, так
как этот закон был бы слишком сложным по сравнению с исходным уравнением для
структурной амплитуды рассеяния.
Штрих-диаграммы
приведены в Приложении на рис. 1-2.
Выбор
материала фильтра
Помимо Kα-излучения в спектральной характеристике
рентгеновского излучения присутствует Kβ-излучение и, кроме того, непрерывный
спектр. Таким образом перед исследователем возникают две задачи: отфильтровать
(если нужно) β-излучение, т. е. избавиться от β-рефлексов на рентгенограмме и
избавиться от фона непрерывного излучения используемого луча.
Первым практически эффективным способом монохроматизации рентгеновских
лучей является применение фильтров из вещества, образованного элементом с
атомным номером на единицу меньшем, чем у вещества элемента анода. Фильтры
обычно вводятся в окошко трубки или входного отверстия камеры.
Теория выбора материала фильтра очевидна: край полосы поглощения фильтра
должен лежать между пиками β- и α-излучения.
Таким образом, для указанных мишений используем следующие фильтры:
Медь Cu (Z = 29) - фильтр никель Ni (Z = 28)
Молибден Mo (Z = 42) - фильтр цирконий Zr (Z = 41)
Выбор
излучения для прецизионной рентгеносъемки
Точность рентгеновского определения периодов идентичности резко
возрастает с увеличением брэгговских углов. В самом деле, показано, что
точность измерения межплоскостного расстояния определяется величиной
Отсюда
следует, что чем больше θ,
тем меньше относительное изменение
межплоскостного расстояния, которое может быть обнаружено.
Итак,
при прецизионной съемке следует выбирать излучение, прежде всего исходя из
возможно больших реализуемых значений θ. Решим эту задачу на примере наших веществ. Из уравнения Вульфа Брэгга и
уравнения для d получаем:
Выбор
mmax обусловлено минимально возможным определенным dmin = λ/2. Итак, сначала определяем mmax = (2a/ λ)2, потом
находим наиболее близкое из возможных значений рефлексов m
и подставляем это значение в формулу для угла. При этом надо учитывать, что
значение угла θ
> 86° практически нереализуемо.
Полученные данные заносим в табл. 3.
Как
видно из таблицы, для двух исследуемых фаз для прецизионной съемки оказалось
разумным использовать разные мишени и, соответственно, фильтры:
Фаза
SnO2: анод - Cu-Kα, фильтр - Ni.
Фаза
PbTe: анод - Fe-Kα, фильтр - Mn.
Таблица
3
Выбор
излучения для прецизионной рентгеносъемки
|
Фаза
|
Излучение
|
a, нм
|
λ,
нм
|
mmax
|
mmax (реал.)
|
(hkl)
|
|
SnO2
|
Cu-Kα
|
0,4720
|
0,15418
|
37,488
|
37,00
|
(610)
|
83,451
|
|
Fe-Kα
|
0,4720
|
0,19373
|
23,744
|
22,22
|
(421)
|
75,325
|
|
PbTe
|
Cu-Kα
|
0,6452
|
0,15418
|
70,047
|
68
|
(820) (644)
|
80,156
|
|
Fe-Kα
|
0,6452
|
0,19373
|
44,366
|
44
|
(622)
|
84,785
|
Выводы
В ходе курсового проекта была тщательно изучена кристаллическая структура
оксида титана (SnO2)
как с точки зрения кристаллографических, так и кристаллофизических свойств.
Проведённый анализ позволил установить отсутствие в кристаллах SnO2 пиролитического и пьезоэлектрического эффектов, что
связано с присутствием центра симметрии в его кристаллической структуре. Для
описания тензоров поляризации и электропроводности в главной системе координат
достаточно измерение лишь двух элементов, отвечающих за продольные и поперечные
эффекты.
В рамках курсовой работы были рассчитаны рентгенограммы для двух
материалов: диоксида олова (SnO2)
и теллурида свинца (PbTe), относящимся
к различным сингониям, тетрагональной и кубической соответственно. Можно
отметить существенное увеличение числа рефлексов при переходе от высшей
сингонии к средней (тетрагональной).
Стоит также отметить, что применение коротковолновое излучение Mo-Kα вызывает очень большое число линий.
При малых диаметрах камер эти линии, особенно под большими углами θ,
будут сливаться, что не
только приведет к уменьшению числа видимых линий, но и может сделать
невозможным индицирование и использование рентгенограммы, особенно в случае
совместно присутствия нескольких фаз.
При выборе материала анода для прецизионной рентгеносъёмки из
предложенных материалов (Cu и Fe), предпочтение было отдано различным
мишеням, чтобы получить наибольший практически возможный угол съемки, понизив
тем самым погрешность в определении периода решетки исследуемой фазы.
Список литературы
1. М.П.
Шаскольская. Кристаллография. М.: Высшая школа, 1984
. Б.Ф.
Ормонт. Введение в физическую химию и кристаллохимию полупроводников: Учеб.
пособие для студентов техн. вузов/ Под ред. В.М. Глазова. М.: Высшая школа,
1982
3. <#"510314.files/image058.jpg">
Рис. 1. Штрихдиаграммы для фазы PbTe на Cu (сверху) и Mo (снизу) излучениях
Рис. 2. Штрихдиаграммы для фазы PbTe на Cu излучении (сверху) и первых ста и
последних пяти рефлексов на Mo
(снизу) излучении