Дифференциальная диэлектрическая спектроскопия
Министерство образования республики
Беларусь
Брестский государственный университет
имени А.С. Пушкина
Кафедра общей физики
Курсовая работа
Дифференциальная диэлектрическая
спектроскопия
Брест 2012
Содержание
Введение
§1. Диэлектрическая спектроскопия кристаллов
§2. Кристаллическая структура перовскита
§3. Диэлектрическая проницаемость
§4. Диэлектрические и оптические функции
Заключение
Литература
Введение
Современное развитие микро- и оптоэлектроники требует
создания новых материалов с широким диапазоном физических свойств. Актуальной
является задача синтезирования и исследования веществ с повышенным
взаимодействием магнитной и электрической подсистем, позволяющих создавать
устройства на их основе, обладающие принципиально новыми функциональными
возможностями. Большое место в физике конденсированного состояния занимают
исследования взаимодействия различных подсистем твердого тела друг с другом. В
последнее время резко возрос интерес к материалам, демонстрирующим
одновременное существование электрического и магнитного упорядочения.
Существует всего лишь несколько однофазных материалов,
которые одновременно обладают сильными электрическими и магнитными свойствами.
Композиты, содержащие как электрические, так и магнитные материалы, могут быть
изготовлены, но это достаточно трудная задача, поскольку для этого оба типа
материалов должны иметь совместимые структуры решеток и эффективно
взаимодействовать друг с другом. Перспективными исходными компонентами,
используемыми для получения таких материалов, являются сильномагнитные ионные
кристаллы со структурой перовскита.
Сведения о температурных и частотных зависимостях
диэлектрических свойств перовскитов позволяют получить представление о
значениях вкладов в диэлектрическую проницаемость, связанных с упругими
смещениями атомных электронов и упругими колебаниями ионов около положения
равновесия. Они дают возможность строить полуэмпирические модели расчётов
соответствующих величин на основании заданного состава кристаллов и электронной
структуры атомов. Постановка и решение подобного рода задачи представляются
актуальными и имеющими важное практическое значение, в частности, при синтезе
новых материалов с заданными свойствами. Несомненный интерес представляет
решение задач физики прозрачности магнитных оксидов, теории взаимодействия их
магнитной и электронной подсистем, а также изучение механизмов формирования
диэлектрического отклика для различных частотных диапазонов.
Взаимодействие между магнитными и диэлектрическими свойствами
- интригующий предмет, который был уже обсужден Пьером Кюри в 1894 году. Так,
магнитоэлектрические эффекты были предметом обширных исследований в течение
1960-ых. Позже, способность управлять диэлектрическими свойствами через
магнитное поле и наоборот возобновила интерес к этим материалам.
Связь между электрическими и магнитными свойствами особенно
интересна в перовскитных материалах, которые представляют одновременно два из
трёх типов упорядочений: магнитного, электрического и механического.
Сегнетоэлектрические и антиферромагнитные свойства BiFeO3 (BFO) были известны в течение
долгого времени, и возможность создания устройств, работающих при комнатной
температуре, дала новый взрыв ферриту висмута. Сосуществование
сегнетоэлектричества и антиферромагнетизма при комнатной температуре делает BFO одним из самых
интересных мультиферроиков (класс кристаллических твердых тел, в которых
сосуществуют хотя бы два из трех параметров порядка: магнитного, электрического
или механического).
Цели работы:
) Исследование оптических и дифференциальных свойств
мультиферроиков, а также изучение решёточных оптических спектров кристаллов со
структурой перовскита.
При этом решались следующие задачи:
. Обработка спектров коэффициента отражения и
восстановление диэлектрических функций феррита висмута;
2. Моделирование коэффициента отражения феррита
висмута.
§1.
Диэлектрическая спектроскопия кристаллов
Спектроскопия кристаллов - раздел спектроскопии, посвященный
изучению квантовых переходов в системе уровней энергии кристаллических тел и
сопутствующих им физических явлений. Спектроскопия кристаллов - важный источник
информации о свойствах и строения кристаллов. Её теоретической основой является
квантовая теория твёрдого тела. В спектроскопии кристаллов широко используется
теория групп, которая позволяет учесть свойства симметрии кристаллов, то есть
установить симметрию волновых функций для энергетических уровней и найти Отбора
правила для разрешенных переходов между ними. Для спектроскопии кристаллов
характерно разнообразие экспериментальных методов, включающих использование
низких температур, лазеров (как источников возбуждения), фотоэлектрического
счёта фотонов, модуляционных методов регистрации спектров, синхротронного
излучения и так далее.
Многообразие в кристалле частиц и квазичастиц с сильно различающимися
характерными энергиями обусловливает поглощение и испускание квантов
электромагнитной энергии в широком диапазоне частот от радиоволн до γ-излучения. Малые кванты энергии связаны в основном с магнитными
взаимодействиями частиц и изучаются радиоспектроскопическими методами.
Рентгеновская спектроскопия изучает переходы электронов на внутренние оболочки
атомов и ионов, образующих кристалл. Гамма-излучение связано с переходами между
ядерными уровнями. Однако обычно под спектроскопией кристаллов понимают
оптическую спектроскопию, охватывающую диапазон электромагнитных волн от
далёкой инфракрасной до дальней ультрафиолетовой областей.
В спектроскопии кристаллов исследуются спектры поглощения,
отражения, люминесценции и рассеяния, а также влияние на них различных внешних
воздействий: электрического поля (Штарка эффект), магнитного поля (Зеемана
эффект), всестороннего сжатия кристалла и направленных деформаций
(пьезоспектроскопический эффект). Исследуется также зависимость спектра
кристалла от температуры (изменение структуры, сдвиги и уширения полос,
изменения интенсивности) и поляризации света. После поглощения света в
кристалле развиваются процессы релаксации и передачи энергии возбуждения. Для
их исследования важны временные измерения спектральных характеристик,
позволяющие найти времена жизни определённых состояний, времена релаксации и
так далее. Если во взаимодействии с излучением принимает участие несколько
частиц, взаимодействующих также между собой, то возникают кооперативные
явления.
Спектроскопия кристаллов изучает влияние дефектов в
кристаллах (как существующих в реальном кристалле, так и намеренно создаваемых
для придания кристаллу определённых свойств, например введением примесей) на их
спектры. Спектры тонких кристаллических плёнок и кристаллов малых размеров
могут обладать особенностями (влияние поверхности).
Спектроскопия кристаллов позволяет получить информацию о
системе энергетических уровней кристалла, о механизмах взаимодействия света с
веществом, о переносе и преобразовании энергии, поглощённой в кристалле, и её
изменениях (фазовые переходы), о фотохимических реакциях и фотопроводимости
спектроскопия кристаллов позволяет также получить данные о структуре
кристаллической решётки, о строении и ориентации различных дефектов и примесных
центров в кристаллах и так далее. На данных спектроскопии основаны применения
кристаллов в квантовой электронике, в качестве люминофоров, сцинтилляторов,
преобразователей световой энергии, оптических материалов, ячеек для записи
информации. Методы спектроскопии кристаллов используются в спектральном
анализе.
Систематическое изучение спектров началось во 2-й половине 19
века. В 1859 г.Р. Кирхгоф сформулировал принципы спектрального анализа. Н. Бор
в 1913 объяснил закономерности в расположении спектральных линий. Изучение
спектров атомов послужило основой создания квантовой механики. По спектрам были
открыты несколько химических элементов. Методы спектроскопии используют для
исследования уровней энергии атомов, молекул и образованных из них
макроскопических систем, изучения строения и свойств химических соединений, для
проведения качественного и количественного анализа веществ.
Задачи спектроскопии:
Прямая задача спектроскопии - предсказание вида спектра
вещества исходя из знаний о его строении, составе и прочем.
Обратная задача спектроскопии - определение характеристик
вещества (не являющихся непосредственно наблюдаемыми величинами) по свойствам
его спектров (которые наблюдаются непосредственно и напрямую зависят как от
определяемых характеристик, так и от внешних факторов).
А дифференциальная спектроскопия используется для получения
более точного анализа.
§2.
Кристаллическая структура перовскита
Соединения с обобщенной формулой АВХ3 могут кристаллизоваться
в структурный тип перовскита (родоначальник - минерал CaTiO3),
где A, B - катионы,
X - анионы O2-, F-, Cl-, Br-, I-. Перовскитовая элементарная ячейка может быть кубической, с
пространственной группой Pm3m (Оh1), №221, z=1, В -
(1a) (000), А - (1b) (½ ½ ½), Х - (3d) (½ 0 0, 0 ½ 0, 0 0 ½). Шесть ионов Х образуют кристаллографический полиэдр в виде
правильного октаэдра вокруг меньшего катиона В, а восемь крупных
катионов А - правильный куб, рис.1а. Двенадцать ионов Х,
удаленные на одинаковые расстояния от иона А, образуют кубооктаэдр,
рис.1b. Для каждого Х ближайшими соседями
будут как А, так и В, расположенные в виде тетрагональной
бипирамиды и имеющие разные размеры и свойства, рис.1с. Четыре А образуют
квадратное основание бипирамиды со стороной, равной параметру элементарной
ячейки а. Два В (RB < RА), расположены на перпендикуляре к центру основания бипирамиды по
обеим сторонам на расстояниях а/2. [1]
Перовскитовая структура может быть составлена как из полиэдров,
содержащих внутри Х, так и из полиэдров, содержащих А и В,
рис.1. В первом случае пространство полностью заполнено бипирамидами, которые
имеют общие ребра и грани, рис.1с. Во втором случае пространство заполняется
кубооктаэдрами и октаэдрами, содержащими А и В, рис.1а, b.
На рисунках 2 - 5 представлены основные типы
перовскитоподобных кристаллических решеток.
Рисунок 2. - Структура идеального кубического перовскита, где
А (синий) катионы в углах решетки, катион В (желтый) в центре,
окруженный гранецентрированными анионами О (красный).
дифференциальная диэлектрическая спектроскопия
Рисунок 3. - Pnma, ороторомбическая ячейка перовскита. Синие шары
представляют А катионы, желтые шары - В катионы, красные - ионы
кислорода.
Рисунок 4. - R-3c ромбоэдрическая перовскитовая ячейка. Синие шары представляют А
катионы, желтые шары - В катионы, красные - ионы кислорода.
Рисунок 5. P63cm гексагональная перовскитовая ячейка. Синие шары
представляют А катионы, желтые шары - В катионы, красные - ионы
кислорода.
§3.
Диэлектрическая проницаемость
Важной характеристикой ионных кристаллов, отражающей
процессы, происходящие в них при помещении в электрическое поле, является
диэлектрическая проницаемость.
Под дисперсией диэлектрической проницаемости понимают ее
зависимость от частоты электрического поля:
. Важным свойством диэлектрической дисперсии следует считать
выполнение соотношений Крамерса-Кронига, связывающих частотную зависимость
действительной и мнимой частей комплексной диэлектрической проницаемости

(1)

(2)

(3)
Эти соотношения позволяют по известной частотной зависимости
поглощения ε″ (Ω) вычислить частотную зависимость диэлектрической проницаемости ε′ (ω). И напротив, по
частотной зависимости ε′ (Ω) аналитически (или численными методами с помощью ЭВМ) можно
определить частотную зависимость коэффициента потерь ε″ (Ω). Соотношения
Крамерса-Кронига носят универсальный характер для описания явления дисперсии ε и позволяют не только контролировать экспериментальные
результаты, но и получить интересные прогнозы о диэлектрических потерях.
Например, из (5) можно вычислить статическую диэлектрическую проницаемость

(4)
В кристаллах активных диэлектриков (по различным кристаллографическим
направлениям) обычно наблюдаются несколько областей дисперсии ε* (ω), которые образуют
диэлектрический спектр.
Исследование диэлектрических спектров является одним из
важных физических методов изучения свойств диэлектриков. Частотная зависимость ε дает возможность не только составить качественное суждение о
физической природе и механизмах диэлектрической поляризации и потерь в том или
ином веществе. Кроме того, можно получить количественные данные о
характеристических частотах (Ωk) и диэлектрических
вкладах Δεk = [ε (0) - ε (∞)] k этих механизмов
поляризации. Исследование диэлектрических спектров в температурном интервале,
то есть ε* (ω, Т), позволяет определить температурную зависимость
характеристических частот и других параметров различных механизмов поляризации.
Чтобы провести подробное исследование диэлектрического
спектра, нужно выполнить диэлектрические измерения в весьма широком диапазоне
частот. Этот спектр включает в себя не только низкочастотный диапазон (10-3-108
Гц), но также и сверхвысокочастотный (3.108-1011 Гц), субмиллиметровый
(1011-1012 Гц) и инфракрасный (1012-1014 Гц) диапазоны. Для таких исследований
используются различные экспериментальные методы и установки.
Математические закономерности, описывающие изменения ε* (ω), устанавливаются исходя
из простых модельных представлений о физических процессах, происходящих в
диэлектриках в переменном синусоидальном поле. Различают релаксационную
дисперсию ε, когда дε′/дω < 0 и ε″ имеет пологий максимум, и резонансную, когда дε′/дω изменяет знак и ε″ имеет острый максимум. Простейшими уравнениями,
описывающими два вида дисперсии, являются соответственно уравнение Дебая и
уравнение Друде - Лоренца:

(5)

(6)
где τ - время релаксации,
зависящее от температуры:
τ = (2ν) - 1·exp (U/kT).
Параметр U - потенциальный барьер, преодолеваемый заряженными частицами
при тепловых прыжках; k - постоянная Больцмана; ν − частота колебаний частиц; ωT − поперечная оптическая частота; Γ = γ/ωT − относительное затухание осциллятора, а параметр [ε (0) − ε (∞)] характеризует
диэлектрические вклады соответственно релаксатора либо осциллятора. При большом
затухании осциллятора (Γ > 1) уравнение (6)
переходит в уравнение (5), в котором τ = Γ/ωΤ, то есть осциллятор
становится "переторможенным". Если в диэлектрике, в исследуемом
диапазоне частот нет ни релаксационной, ни резонансной дисперсии, то ε′ (ω) остается постоянной величиной,
а ε′′ (ω) определяется удельной проводимостью σ и снижается с ростом частоты:

(7)
где ε0 - электрическая постоянная.
Последнее уравнение не является дисперсионным, хотя оно и описывает зависимость
ε* (ω). В случае, когда величина проводимости σ не зависит от частоты, электропроводность не может давать вклад в
ε′ − действительную часть
диэлектрической проницаемости. Таким образом, имеются три основные частотные
зависимости ε* (ω), приведенные в формулах (5), (6) и (7). Однако при
экспериментальных исследованиях диэлектриков иногда нельзя установить столь
определенные закономерности. Это чаще всего происходит из-за неизбежных
погрешностей в измерениях ε′ и ε′′. Кроме того, согласно многим экспериментальным
данным, диэлектрическая проницаемость и потери все же (иногда в малой степени)
изменяются с частотой в широком диапазоне частот. Это может означать, что
поляризация в реальных диэлектриках приводит к гораздо более пологому, "размытому"
дисперсионному спектру ε* (ω), чем ожидается из рассмотренных моделей поляризации. Кроме того,
возможны случаи, когда при уверенном наблюдении дисперсии ε в некотором диапазоне частот все же нельзя четко определить,
какой именно моделью - резонансной или релаксационной - нужно воспользоваться.
§4.
Диэлектрические и оптические функции
При получении экспериментального спектра некоторой величины
могут возникнуть различного рода отклонения, обусловленные самой измерительной
установкой. Для частичной ликвидации таких погрешностей используют
моделирование.
На полученной в инфракрасной области спектральной зависимости
коэффициента отражения феррита висмута выражены решеточные резонансы,
характеризующие колебательные свойства кристаллической решетки (рисунок 6).

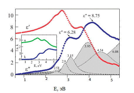
В ближнем ИК - диапазоне составляющие Ɛ* носят явно резонансный характер (рисунок 7,8).
Рисунок 7. - Спектры диэлектрической проницаемости феррита висмута
в области решеточных резонансов
Рисунок 8. - Спектры диэлектрической проницаемости феррита висмута
в области решеточных резонансов
Метод дифференцирования кристаллов со структурой перовскитов (на
примере феррита висмута) и сравнение результатов с экспериментом.
Рисунок 9. - Спектр коэффициента феррита висмута в области
электронных резонансов
Рисунок 10. - Дифференциальный спектр коэффициента феррита висмута
в области электронных резонансов
Для дифференцирования было использовано два метода по Гауссу и
Лоренцу. Оба метода используют один и тот же анализ.
Рисунок 10. - Дифференцированный спектр феррита висмута по модели
Гаусса
Рисунок 11. - Дифференцированный спектр феррита висмута по модели
Лоренца
Но полученные спектры немного различаются: положение резонансных
частот немного разные, а вот по абсолютным величинам компоненты совпадают.
Рисунок 12. - Диэлектрическая функция феррита висмута
(эксперимент)
Как видно, полученные результаты хорошо согласуются с
экспериментом.
Заключение
Основным положительным эффектом дифференцирования спектров
является увеличение разрешения перекрывающихся в исходных спектрах полос. С
ростом порядка производные спектры усложняются. На каждой ступени
дифференцирования точки перегиба в исходном спектре превращаются в экстремумы,
а экстремумы - в точки пересечения следующей производной с осью абсцисс.
Уменьшение полуширины основных пиков в четных производных улучшает разрешение
полос, перекрывающихся в исходных спектрах. При этом полосы большей ширины
(независимо от интенсивности), ниспадающие или восходящие ветви пологих пиков,
рассеянный свет, постоянное фоновое поглощение и тому подобное при
дифференцировании подавляются, что обеспечивает уменьшение систематических
ошибок количественного анализа.
В настоящей работе методами диэлектрической спектроскопии
проведено исследование диэлектрических свойств кристаллов со структурой
перовскита.
На основании полученных данных можно сделать следующие
выводы:
. Методами диэлектрической спектроскопии восстановлены
оптические функции кристаллов со структурой перовскита.
2. Результаты разложения подтверждают возможность
интерпретации решеточных спектров кристаллов со структурой перовскита в рамках
модели невзаимодействующих квазигармонических осцилляторов.
. С помощью программного обеспечения Origin 6,0. DEMO выполнено
дифференцирование кристаллов на примере феррита висмута.
Литература
1. Воронов,
В.Н. Ионная подвижность и свойства соединений ABX3 типа
перовскита / В.Н. Воронов. - Препринт №000Ф. - Красноярск: Институт физики СО
РАН, 2006. - 64 с.
2. Поплавко,
Ю.М. Переверзева, Л.П. Раевский, И. П: Физика активных диэлектриков: учебное
пособие / Ю. М Поплавко, Л. П Переверзева, И. П Раевский; под редакцией
проф.В.П. Сахненко - Ростов н/Д: Изд-во ЮФУ, 2009. - 480с
ISBN978-5-9275-0636-1.
3. Дифференциальная
диэлектрическая спектроскопия кристаллов/Диэлектрическая спектроскопия
[электронный ресурс] - 2007. - Режим доступа:
<http://www.worldlingo.com/ma/enwiki/ru/Spectroscopy>. - Дата доступа:
12.05.2011.
. Диэлектрическая
спектроскопия / спектроскопия кристаллов [электронный ресурс] - 2009. - Режим
доступа: <http://allphysics.ru/phys/spektroskopiya-kristallov>. - Дата
доступа: 3.05.2011.
. Мультиферроики /
Мультиферроики как будущее спектроники [электронный ресурс] - 2009. - Режим
доступа:
<http://www.3dnews.ru/news/multiferroik_kak_budushee_spintroniki> - Дата
доступа: 20.05.2011.