|
R
|
0,94
|
1,21
|
1,57
|
2,1
|
|
Nт
|
19
|
13
|
11
|
9,5
|
|
36,8628,7328,2729,45
|
|
|
|
|
где
- минимальное произведение,
пропорциональное объему ректификационной колонны (
- число
ступеней изменения концентраций или теоретических тарелок, а
- расход
паров).
По данным табл. 2 построим график
зависимости:
Рис. 7 - График зависимости Nт
от Nт·(R-1)
Из рис. 6 находим, что R=1,36
3.3 Средние массовые расходы по
жидкости и пару
Средний мольный состав жидкости в верхней и
нижней частях колонны
Средние мольный массы жидкости в
верхней и нижней частях колонны

Мольная масса исходной смеси
Средние массовые расходы по жидкости
для верхней и нижней частей колонны
где
- мольная масса дистиллята (
)
Средний мольный состав пара в
верхней и нижней частях колонны
Из рис. 2 находим:
,
Средние мольный массы пара в верхней
и нижней частях колонны
Средние массовые расходы пара в
верхней и нижней частях колонны
4. Диаметр колонны и скорость пара
4.1 Средняя температура верха и низа
колонны
Построим диаграмму зависимости
концентраций в паровой и жидкой фазе от температуры
:
Рис. 8 - Диаграмма зависимости концентраций в
паровой и жидкой фазе от температуры
Из рис. 8 температура в средней
части колонны равна
, что
соответствует
, в верхней
части температура 
и в нижней части температура
(
). Тогда
средние температуры равны:
4.2 Плотности жидкой и паровой фазы
Плотность жидкой фазы в верхней
части колонны
При средней температуре верхней
части 71,7°С, плотности жидких метанола и воды равны соответственно:
и
[3, с. 512,
табл. IV]
По закону аддитивности:
Плотность жидкой фазы в нижней части
колонны
При средней температуре нижней части
88,8°С, плотности жидких метанола и воды равны соответственно:
и
[3, с. 512,
табл. IV]
По закону аддитивности:
Плотность паровой фазы в верхней и
нижней части колонны
;
4.3 Максимальная скорость пара и
диаметр верхней части колонны
Принимаем расстояние между тарелками
Н=400 мм. Последующим расчетом проверим правильность принятого значения.
Объемный расход пара
Коэффициент λ
k1=1 (для
колпачковых тарелок) [2, с. 118]
=520 [4, с. 119, рис. III-3]
Коэффициент
(при
) [4, с. 118]
(для колпачковых тарелок) [4, с.
118]
Максимально допустимая скорость пара
Диаметр верхней части колонны
4.4 Максимальная скорость пара и
диаметр нижней части колонны
Объемный расход пара
Коэффициент λ
Коэффициент
Максимально допустимая скорость пара
Диаметр нижней части колонны
4.5 Выбор диаметра колонны
Из двух найденных диаметров
и
выбираем
максимальный (
), и в
соответствии с этим выбираем из принятого в химической промышленности
нормального ряда диаметров колонн
[4, с. 122]. При этом диаметре
колонны расстояние между тарелками
выбрано правильно [4, с. 115].
4.6 Действительные рабочие скорости
паров
5. Высота и полное гидравлическое
сопротивление колонны
5.1 Выбор тарелки
Выберем тарелку типа ТСК-Р по ОСТ
26-808-73 для колонны диаметром
[13]
Основные характеристики тарелки:
Площадь прохода паров, м2 - 0,09 (F0)
Рабочая площадь тарелки, м2 - 0,64 (Fp)
Площадь слива, м2 - 0,064 (Fсл)
Число колпачков - 39 (m)
Диаметр колпачка, м - 0,08 (dк)
Длина пути жидкости, м - 0,722 (b)
Периметр слива, м - 0,665 (П)
5.2 Расчет высоты переливного
устройства тарелки
Объемный расход жидкости в верхней и
нижней частях колонны
Высота подпора жидкости над сливным
порогом
Высота глубины барботажа
;
Высота прорези в колпачке

z =20 -
количество прорезей в одном колпачке (для стальных капсульных колпачков) [13]
- ширина прорезей в колпачке [4, с.
138]
примем
[13]
Высота переливного устройства
- высота установки колпачка от 0 до
10 мм. Принимаем
Рис. 9 - Переливное устройство и колпачок в
сборе
5.3 Эффективность тарелки в верхней
части колонны
Вязкость паров
С=486,9 - критерий Сюзельда для
метанола [6]
[6]
;
С=504,7 - критерий Сюзельда для воды
[6]
[6]
.3.2. Вязкость растворителя (вода)
- при температуре
[3, с. 514,
табл. VI]
Объемный расход жидкости, отнесенные
к средней ширине потока жидкости на тарелке
Коэффициент продольного
перемешивания в жидкой фазе
- скорость пара, рассчитанная на
рабочую площадь тарелки
Высота запаса жидкости
Коэффициент диффузии для паровой
фазы
р=0,1013 МПа - атмосферное давление
=32,
=18 - молекулярные массы компонентов
- диффузные мольные объемы
компонентов
(сумма четырех диффузионных объемов
водорода (1,98), и диффузионных объемов углерода (16,5) и кислорода (5,48))
Диффузионный критерий Прандтля
Фазовое число единиц переноса ny
Коэффициент диффузии для
разбавленного раствора метанола в воде
- фактор диссоциации растворителя
(вода)
- молекулярная масса растворителя
- мольный объем растворенного
вещества при температуре кипения
(сумма четырех атомных объемов
водорода (3,7), атомного объема углерода (14,8) и атомного объема кислорода
(7,4))
Среднее время пребывания жидкости на
тарелке
Фазовое число единиц переноса nx,в
Фактор массопередачи
Для его нахождения определим тангенс
угла наклона к линии равновесия. Для этого построим диаграмму зависимости x от y. В которой
проведем касательную к линии равновесия в точке, соответствующей
. Затем
построим прямоугольный треугольник из точки пересечения
с линией
равновесия, так чтобы гипотенузой треугольника являлась касательная к линии равновесия.
Из полученного треугольника определим координаты х и у (длина соответствующих
катетов):
,
Рис. 9 - Диаграмма равновесия между паром (х) и
жидкостью (у), для определения тангенса угла наклона к линии равновесия
из рисунка 9:
- тангенс
угла наклона к линии равновесия. Обозначим как
Общее число единиц переноса
Локальная эффективность
Принимаем для паровой фазы модель
идеального вытеснения.
Критерий Пекле для продольного
перемешивания
Коэффициент η
Эффективность по Мэрфри
5.4 Эффективность тарелки в нижней
части колонны
Вязкость паров
С=486,9 - критерий Сюзельда для
метанола [6]
[6]
;
С=504,7 - критерий Сюзельда для воды
[6]
[6]
Вязкость раствора (воды)
при температуре
[3, с. 514,
табл. VI]
Объемный расход жидкости, отнесенные
к средней ширине потока жидкости на тарелке
Коэффициент продольного
перемешивания в жидкой фазе
Высота запаса жидкости
Коэффициент диффузии для паровой
фазы
Диффузионный критерий Прандтля
Фазовое число единиц переноса ny
Коэффициент диффузии для
разбавленного раствора метанола в воде
Среднее время пребывания жидкости на
тарелке
Фазовое число единиц переноса nx
Фактор массопередачи
Для его нахождения определим тангенс
угла наклона к линии равновесия по рис. 9, аналогично как в пункте 5.3.12
. Обозначим как
Общее число единиц переноса
Локальная эффективность
Принимаем для паровой фазы модель
идеального вытеснения.
Критерий Пекле для продольного
перемешивания
Коэффициент η
Эффективность по Мэрфри
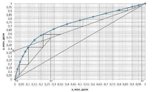
5.5 Высота колонны
Общее число теоретических тарелок
Построим диаграмму равновесия между
паром и жидкостью (y,x) при
рабочем флегмовом числе R=1,36. При этом нужно рассчитать B:
Рис. 10 - Определение числа теоретических
тарелок при рабочем флегмовом числе
из рисунка 8 находим число тарелок в
верхней части колонны
, и в нижней
Число действительных тарелок в
верхней части колонны
Число действительных тарелок в
нижней части колонны
Общее число действительных тарелок
Высота колонны
[7, с. 235] - расстояние между
верхней тарелкой и крышкой колонны
[7, с. 235] - расстояние между
нижней тарелкой и днищем колонны
5.6 Полное гидравлическое
сопротивление колонны
Гидравлическое сопротивление сухой
колпачковой тарелки
- коэффициент сопротивления
- скорость пара, рассчитанная на
площадь прохода паров
Величина перепада уровня жидкости на
тарелке
- эквивалентный коэффициент
сопротивления перетоку жидкости по тарелке
Гидравлическое сопротивление
газожидкостного слоя на верхней и нижней тарелках

Гидравлическое сопротивление одной
тарелки верхней и нижней части колонны
Полное гидравлическое сопротивление
колонны
6. Тепловой баланс колонны
6.1 Расчет энтальпий
Исходные данные для расчетов
Теплоемкости водных растворов
метанола
в
в
зависимости от концентрации х и температуры равны [8]:
Табл. 3 - Теплоемкости водных растворов метанола
|
х,
мол. доли
|
сж
при t,
°C
|
|
20
|
40
|
60
|
|
0
|
75,3
|
75,3
|
75,4
|
|
0,2
|
83,1
|
86
|
89,2
|
|
0,4
|
83,2
|
87,8
|
92,8
|
|
0,6
|
83,3
|
88,6
|
94,7
|
|
0,8
|
84,1
|
89,3
|
96,1
|
|
1,0
|
84,8
|
89,6
|
97
|
Теплоемкости метанола (с1) и воды
(с2) в парообразном состоянии в
равны [9]:
Табл. 4 - Теплоемкости метанола (с1) и воды (с2)
в парообразном состоянии
|
050100
|
|
|
|
|
с1
|
45,8
|
-
|
55,1
|
|
с2
|
-
|
34,8
|
36,7
|
Теплоты смешения (
) при
в
зависимости от концентрации раствора метанола х, мол. доли [8]:
Табл. 5 - Теплота смешения в зависимости от
концентрации раствора метанола
|
0,008090,0160,03180,06410,13580,31720,571
|
|
|
|
|
|
|
|
|
-56-110,2-213,4-403,7-698,3-886-748,4
|
|
|
|
|
|
|
|
Расчет энтальпий исходной смеси, дистиллята и
кубового остатка
Энтальпия исходной смеси поступающей в колонну:
Из табл. 3 путем линейной
интерполяции находим теплоемкость исходной смеси при средней температуре, за
которую принимаем среднеарифметическое значение
; при этой температуре
. Линейной
интерполяцией из табл. 5 находим также теплоту смешения для раствора,
содержащего 27,3% (мол) метанола, равную
. Получим:
Энтальпия дистиллята:
Из табл. 3 находим теплоемкость
дистиллята при средней температуре
; при этой температуре
. Из табл. 5
находим также теплоту смешения для раствора, содержащего 97,4% (мол) метанола,
равную
. Тогда
получим:
Энтальпия кубового остатка:
Из табл. 3 находим теплоемкость
кубового остатка при средней температуре
; при этой температуре
. Из табл. 5
находим также теплоту смешения для раствора, содержащего 0,85% (мол) метанола,
равную
. Тогда
получим:
Расчет мольной энтальпии
поступающего в дефлегматор пара
Теплоты испарения метанола
и воды
при 25 °С
равны соответственно 37970 [8] и 44000
[3, с. 537, табл. XXXIX]
Из табл. 4 определим теплоемкости
метанола
и воды
в
парообразном состоянии при температуре 44,8 °С (среднее значение температуры
между 25 °С и 64,6 °С; они равны соответственно 50 и 34,7
6.2 Тепловые нагрузки дефлегматора и
кипятильника
Тепловая нагрузка дефлегматора
Переведем расход дистиллята из
в
;
.2.2. Тепловая нагрузка кипятильника
с учетом общих потерь (10%) тепловая
нагрузка кипятильника изменится:
7. Выбор и расчет подогревателя
исходной смеси
.1 Предварительный расчет площади
теплообмена и выбор подогревателя исходной смеси
Исходные данные
Теплоносителя с большей средней
температурой (водяной пар) при
:
при
[3, с. 537, табл. XXXIX]
[3, с. 537, табл. XXXIX]
[3, с. 516, табл. IX]
- удельная теплота парообразования
воды [3, с. 550, табл. LVII]
- теплоемкость воды [3, с. 537,
табл. XXXIX]
- теплопроводность воды [3, с. 537,
табл. XXXIX]
Теплоносителя с меньшей средней
температурой (метанол-вода) при
:
- теплоемкость смеси метанол-вода
из табл. 3
- теплопроводность смеси
метанол-вода [10, с. 459]
- динамический коэффициент вязкости
метанола [3, с. 516, табл. IX]
[3, с. 516, табл. IX]
- динамический коэффициент вязкости
смеси метанол-вода
- поверхностное натяжение смеси
метанол-вода рассчитанное по методу Тамуры [10, с. 528]
- расход исходной смеси
- удельная теплота парообразования
смеси метанол-вода [8]
[3, с. 512, табл. IV]
[3, с. 512, табл. IV]
Тепловая нагрузка подогревателя
Расход греющего пара
Среднелогарифмическая разность
температур
Ориентировочная площадь и предварительный
выбор подогревателя исходной смеси
Коэффициент теплопередачи в
пластинчатых теплообменниках выше, чем у кожухотрубчатых, поэтому примем
Рассмотрим разборный пластинчатый
подогреватель исходной смеси с симметричной двухпакетной схемой компоновки
пластин (по ГОСТ 15518-83) с: поверхностью теплообмена
,
поверхностью пластины
, числом
пластин
[7, с. 63,
табл. 2.13], поперечным сечением канала
, эквивалентным диаметром канала
, толщиной
пластин
и
приведенной длиной канала
[7, с. 63,
табл. 2.14]
7.2 Уточненный расчет поверхности
теплообмена и окончательный выбор подогревателя исходной смеси
Скорость жидкости и число Re в каналах
- значит режим
турбулентный
Коэффициент теплоотдачи к жидкости
Коэффициент теплоотдачи от пара
Примем что
, то расчет
будем выполнять по формуле:
[1, c. 54]
Сумма термических сопротивлений
стенки пластин и загрязнений жидкости
Термическое сопротивление
загрязнений со стороны жидкости
, сопротивлением загрязнений со
стороны пара можно пренебречь. Материал пластин - нержавеющая сталь Х17Н13М2Т
ГОСТ 3632-72. Коэффициент теплопроводности стали
[11, с. 115].
Коэффициент теплопередачи
Проверка правильности принятого
допущения относительно
Уточненный расчет коэффициента
теплопередачи
т.к.
, то коэффициент теплоотдачи к
жидкости определяем по формуле, принимая
:
[1, c. 53]
рассчитаем коэффициент
теплопередачи:
проверим
:
т.к.
, то методом последовательных
приближений выполняем расчеты по сходимости принятой разности температур
.
Принимаем
2. Принимаем
Так различия между принятой
разностью
температур и рассчитанной
незначительны.
Расчет прекращен.
Требуемая площадь поверхности теплопередачи
т.к.
, то пластинчатый теплообменник с
номинальной поверхностью
по ГОСТ
15518-83 подходит, с запасом:
8. Выбор и расчет штуцеров
.1 Основная расчетная формула
где G - объемный
расход;
- рекомендуемая скорость
перекачиваемой среды (жидкости
или пара
);
, принимаем
;
, принимаем
.2. Штуцер для выхода паров с верха
колонны
принимаем
[12, с.
659, табл. 27.1]
Штуцер для входа флегмы
при
[3, с. 512, табл. IV]
принимаем
[12, с. 659,
табл. 27.1]
Штуцер для входа пара из
кипятильника
принимаем
[12, с.
659, табл. 27.1]
Штуцер для входа исходной смеси
при
плотности метанола и воды равны:
,
[3, с. 512,
табл. IV]. Плотность
смеси при температуре
:
принимаем
[12, с.
659, табл. 27.1]
Штуцер для выхода кубового остатка
при
[3, с. 512, табл. IV]
принимаем
[12, с.
659, табл. 27.1]
Штуцер для выхода жидкости из куба
на циркуляцию
принимаем
[12, с.
659, табл. 27.1]
Заключение
В результате курсовой работы рассчитана и
спроектирована колонна непрерывного действия для разделения смеси метилового
спирта и воды. Тип ректификационная колонны - тарельчатая. Тарелки колпачковые
типа ТСК-Р.
Производительность колонны по
исходной смеси
, по
дистилляту
, по
кубовому остатку
. Диаметр
колонны
, высота
колонны
.
Также подобран разборный
пластинчатый подогреватель исходной смеси, с симметричной двухпакетной схемой
компоновки пластин, в котором для подогрева используется насыщенный водяной
пар. В нем поверхность теплообмена
, общее число пластин
и
приведенная длина канала
. Запас
поверхности 25,6 %.
Библиографический список
1. Воробьёва
Г. Я. Коррозионная стойкость материалов в агрессивных средах химических
производств. Изд. 2-е пер. и доп. М., «Химия», 1975. 816 с.
. Коган
В. Б., Фридман В. М., Кафаров В. В. Равновесие между жидкостью и паром. Т. 2.
М.: «Наука», 1966.
. Павлов
К. Ф., Романков П. Г., Носков А. А. Примеры и задачи по курсу процессов и
аппаратов химической технологии: Учебное пособие для вузов под ред. чл. - корр.
АН России П. Г. Романкова. − 13-е изд., М.: ООО ТИД "Альянс",
2006.− 576 с.
. Александров
И. А. Ректификационные и абсорбционные аппараты. Изд. 3-е. М.: «Химия», 1978. -
280 с.
. Тимонин
А. С. Основы конструирования и расчёта химико-технологического и
природоохранного оборудования: Справочник. Изд. 2-е пер. и доп. Том 1.: Калуга,
2002. - 846 с.
. Справочник
химика. Т. 1. М. Л.: «Госхимиздат», 1963. - 1071 с.
. Основные
процессы и аппараты химической технологии: пособие по проектированию / Г. С.
Борисов, В. П. Брыков, Ю. И. Дытнерский и др. под ред. Ю. И. Дытнерского, 4-е
издание. М.: ООО ИД «Альянс», 2008. - 496 с.
. Белоусов
В. П., Марачевский А. Г. Тепловые свойства растворов неэлектролитов. Л.:
«Химия», 1981, 264 с.
. Варгафтик
В. Д. Справочник по теплофизическим свойствам газов и жидкостей. М.: Наука,
1972. 720 с.
. Рид
Р, Праусниц Дж. Свойства газов и жидкостей: Справочное пособие/Пер. с англ. под
ред. Б. И. Соколова. - 3-е изд., перераб. и доп. Л.: Химия, 1982. - 592 с.
. Иоффе
И. Л. Проектирование процессов и аппаратов химической технологии: Учебник для
техникумов. Л.: Химия, 1991.-352 с.
. Лащинский
А. А., Толчинский А. Р. Конструирование сварных химических аппаратов.
Справочник. Л.: «Машиностроение», 1970. − 752 с.
.
Конструирование и расчет элементов колонных аппаратов: Учебное пособие -
Виноградов О.С., Виноградов С.Н., Таранцев К.В. Конструирование и расчет
элементов колонных аппаратов: Учебное пособие. - Пенза: ПГУ, 2003. - 114 с