Оценка и пути улучшения финансового состояния предприятия
СОДЕРЖАНИЕ
ВВЕДЕНИЕ_ 4
1 ОСНОВНЫЕ ПОЛОЖЕНИЯ И ПРИЕМЫ
ФИНАНСОВОГО АНАЛИЗА 5
1.1 Источники финансового анализа
предприятия 5
1.2 Приемы и методы финансового
анализа 10
2 АНАЛИЗ
ПРОИЗВОДСТВЕННО-ХОЗЯЙСТВЕННОЙ ДЕЯТЕЛЬНОСТИ ПРЕДПРИЯТИЯ ООО «Оскар-К»_ 14
2.1 Характеристика предприятия 14
2.2 Анализ выполнения
производственной программы_ 14
2.3 Анализ показателей по оплате
труда 18
2.4 Анализ производственных фондов 21
2.5 Анализ прибыли предприятия и ее
использования 25
2.6 Анализ себестоимости
строительно-монтажных работ 27
3 АНАЛИЗ ФИНАНСОВОГО СОСТОЯНИЯ И
ФИНАНСОВЫХ РЕЗУЛЬТАТОВ ДЕЯТЕЛЬНОСТИ ПРЕДПРИЯТИЯ_ 31
3.1 Анализ финансовой устойчивости_ 31
3.2 Анализ ликвидности баланса 34
3.3 Анализ финансовых коэффициентов 38
4 ПРЕДЛОЖЕНИЯ ПО УЛУЧШЕНИЮ
ФИНАНСОВОГО СОСТОЯНИЯ ООО «Оскар-К»_ 48
4.1 Бизнес-план финансового
оздоровления предприятия 48
4.2 Программа финансового оздоровления предприятия 51
4.3 Модель дисконтированных денежных потоков 53
4.4 Получение дополнительных
оборотных средств в результате более рационального использования основных
фондов 56
4.5 Уменьшение убытков из-за простоев машин_ 57
4.6 Продажа незадействованных в производстве машин и
механизмов 57
4.7 Организация закупки материалов 59
4.8 Снижение материалоемкости продукции_ 62
4.9 Применение на предприятии средств
малой механизации и перспективы их применения 64
4.10 Контроль за использованием
энергоресурсов 66
5 ЭКОНОМИЧЕСКАЯ ОЦЕНКА
ЭКОЛОГИЧЕСКИХ МЕРОПРИЯТИЙ 68
5.1 Актуальность вопросов
обеспечения безопасной деятельности человека в городской среде и чрезвычайных
ситуациях, а также по защите окружающей среды и рациональному использованию
природных ресурсов 68
5.2 Пояснительная часть 70
5.3 Расчетная часть 72
ЗАКЛЮЧЕНИЕ_ 75
СПИСОК
ИСПОЛЬЗОВАННЫХ ИСТОЧНИКОВ_ 77
ВВЕДЕНИЕ
В современных условиях в связи с полной самостоятельностью
деятельности строительных организаций возникает вопрос об их финансовой
стабильности, что выывает необходимость анализа хозяйственной деятельности.
Для оценки финансовой устойчивости предприятия необходим анализ
финансового состояния. Анализ финансового состояния – один из важнейших
разделов этого направления, основная цель которого – оценка будущего потенциала
организации, выявления недостатков работы для получения максимальной прибыли.
Поэтому разработанная тема дипломного проекта является актуальной на
данный момент. Имея в наличии компьютерную технику, строительные организации
намного чаще смогут производить анализ финансового состояния, используя данную
методику, что дает возможность выявления недостатков работы и их оперативного
устранения.
Дипломный проект охватывает область для внешнего и внутреннего
анализа финансового состояния, составными частями которого являются следующие
разделы:
- общая оценка финансового состояния и его изменения за отчетный
период на основе сравнительного аналитического баланса – нетто;
- анализ абсолютных показателей финансовой устойчивости;
- анализ ликвидности баланса;
- анализ финансовых коэффициентов.
Цель дипломного проекта состоит в разработке предложений по
улучшению финансового состояния ООО «Оскар-К».
1 ОСНОВНЫЕ
ПОЛОЖЕНИЯ И ПРИЕМЫ ФИНАНСОВОГО АНАЛИЗА
1.1 Источники финансового анализа
предприятия
Важнейшим средством представления информации, характеризующей
финансовое положение предприятия, являются финансовые отчеты. В комплексе они
содержат информацию, которая может представлять интерес для различных категорий
пользователей – акционеров, кредиторов, поставщиков, покупателей, банков, а
также представителей государственных, статистических и налоговых органов, как
внутри данной страны, так и за рубежом. Общепринятые принципы учета и
финансовой отчетности, необходимые для защиты интересов кредиторов, обеспечение
доверия к полученной информации, ограничивают выбор предприятия конечным числом
учетных приемов и методов. Финансовая отчетность представляет собой информацию
о прошедших хозяйственных процессах, носит объективный характер, поддается
проверке.
Согласно требованиям Международного комитета по стандартам
бухгалтерского учета, которыми в настоящее время пользуются большинство крупных
предприятий стран с развитой рыночной экономикой, в финансовые отчеты должны
включаться следующие документы:
- балансовый отчет;
- отчет о прибылях и убытках;
- отчет об изменении в финансовом состоянии.
В дополнение к указанным документам финансовые отчеты могут
содержать различные пояснения, справки, комментарии, а также заключение
независимых аудиторов.
Для более полного отражения финансовых результатов деятельности
отчеты должны содержать также показатели предшествующих периодов (как правило,
года). Финансовые отчеты, составляются, по крайней мере, один раз в год. Обычно
финансовые результаты подводим за период в 12 месяцев, который называется
календарным, либо финансовым годом. Многими предприятиями независимо от
продолжительности учетного периода, состав и содержание информации,
представляемой годовыми и промежуточными отчетами, не меняется.
Центральным элементом пакета финансовой отчетности являются
балансовые отчеты (балансы) – детализированное представление аспектов
обязательств и собственного капитала предприятия на конкретный момент времени,
то есть как бы моментальный снимок финансового положения предприятия на
указанную дату. Балансовый отчет является основным документом по своему
характеру, так как представляет финансовые результаты работы предприятия с
момента его образования. Он состоит из двух равновеликих частей. В первой части
– активах – показываются состав и размещение капиталов предприятия, то есть все
то, чем оно владеет на дату составления баланса. Другая часть – пассивы и
собственный капитал – показывсает источники образования и накопления капитала.
Пассивы часто называют обязательствами, так как они показывают
источники привлечения капитала извне. Итоговые показатели обеих частей баланса
всегда равны. Данное равенство может быть задано следующим выражением:
Активы = Пассивы (обязательства) + Собственный капитал.
Согласно требованиям IASC (Международного
комитета по стандартам бухгалтерского учета) активы аккумулируются в двух
группах: текущие (краткосрочные) и недвижимые (долгосрочные). В зарубежной
литературе иногда употребляют термины основной и оборотный капитал, известные
нам как основные и оборотные средства. Раздел «Текущие активы» обычно включает
статьи: денежные средства, ценные бумаги, дебиторская задолженность,
товарно-материальные запасы, то есть виды активов, которые могут быть
преобразованы в наличные деньги в течение операционного цикла предприятия
(период между закупкой материалов и продажей готовой продукции).
Долгосрочные активы приобретаются длядлительного использования
предприятием и могут включать в себя: землю и строения, машины и оборудование,
долгосрочные инвестиции, нематериальные активы, перенесенные затраты и
отсроченные налоги и др. Долгосрочные активы называют часто недвижимым
имуществом, или просто недвижимостью.
Обязательства предприятия перечисляются в балансовом отчете в
следующих основных группах: краткосрочные, долгосрочные и собственный капитал.
Обязательства показывают финансовую структуру предприятия, то есть, из каких
источников были получены финансы для его функционирования. Обязательства
считаются краткосрочными, если они выполняются в течение года или текущего
отчетного периода. Их также называют текущими, поскольку они обычно
накапливаются из текущих активов предприятия. К ним относятся: банковские ссуды
(превышение суммы открытого банком кредита, расчеты с поставщиками, прочие
счета к оплате, отчисления на социальное страхование, задолженность по
заработной плате и др.), резервы на налоги, резервы на непредвиденные расходы,
текущие выплаты по долгосрочным кредитам.
Так как большинство из краткосрочных (кредитов) обязательств (за
исключение банковских кредитов) не требует выплат процентов, они являются
низкозатратными источниками финансирования для предприятия.
К долгосрочным обязательствам относятся те виды задолженностепй,
срок которых превышает один год (отчетный период). Это долгосрочные займы
банков под развитие, ссуды под недвижимость (задолженность по облигациям,
аренда и др.). Поскольку такие обязательства предусматривают выплату процентов
или другие выплаты, они представляют собой дорогостоящее финансирование предприятия.
Долгосрочные обязательства обеспечиваются недвижимым имуществом либо всеми
имеющимися активами предприятия. Текущие и долгосрочные обязательства
составляют общие обязательства рыночного предприятия.
Внешние обязательства = Текущие + Долгосрочные (обязательства)
Последнюю группу обязательств составляют собственные средства
предприятия. В зависимости от юридической формы организации предпринимательства
содержание статей этой группы баланса может меняться. Согласно требованиям IASC в данную группу обязательств
должны включаться: собственный капитал владельцев предприятия, акционерный
капитал, нераспределенная прибыль, излишки капитала, резервы на техническую
реконструкцию.
Детальный анализ статей баланса позволяет сделать выводы о
действительных результатах деятельности предприятия за отчетный период и
сформировать информацию, необходимую для прогнозирования финансовых показателей
за будущие периоды.
Отчет о прибылях и убытках призван отражать доходы и затраты
предприятия за определенный период времени и наряду с балансом представляет
собой важный инструмент финансовой оценки результатов предпринимательства. В
большинстве стран с развитой рыночной экономикой принята так называемая
многоступенчатая система таких отчетов, при которой проводится раздельное отражение
различных видов доходов и расходов в зависимости от их источников.
Главным источником доходов, как правило, является основная
деятельность предприятия. Данный показатель является одним из наиболее
достоверных в отчетности, так как его формирует рынок независимо от желания
корпорации скрыть или приукрасить истинное положение дел. К другим видам
доходов могут относиться полученные дивиденды, проценты и т.д. Из полученных
доходов часть средств уходит на возмещение затрат, прямо или косвенно связанных
с деятельностью данного предприятия. В соответствии с различными расходами,
которые несет предприятие, в отчете о прибылях и убытках показываются следующие
виды прибылей: валовая, операционная прибыль, прибыль до вычета налогов и
чистая прибыль.
Прежде, чем исключать соответствующие расходы, прибыль от основной
деятельности предприятия коректируется на возврате от продажи продукции
(оказанных услуг и скидки).
Из скорректированного дохода (очищенного от некоторых статей)
исключаются расходы, связанные с основной деятельность. Сгруппированные по
функциям: производственные, коммерческие, административные. Так получается
важный промежуточный результат. Он выражает экономический результат управления
основной деятельностью предприятия, который особенно важен для оценки ее
эффектинвости.
Реклассификация финансово-хозяйственных операций дает возможность
выработать показатели для получения дальнейших знаний об управлении. Счет
прибылей и убытков предполагает различные способы реклассификации. Один из
наиболее распространенных – это так называемый «по доходам от продаж»,
заимствованный из практики англосаксонских стран. Данные о доходах от основной
или устанвой деятельности являются отправной точкой реклассификации.
Отчет об источниках и использовании фондов показывает изменения,
которые произошли за период между двумя балансовыми отчетами в фондах,
имеющихся в распоряжении предприятия, то есть откуда появились новые средства и
как они были использованы.
Отчет об источниках и использовании фондов является «чистый»
оборотный капитал – разница между текущими активами и краткосрочными (текущими)
обязательствами предприятия.
Чистый
оборотный капитал = Текущие активы – Текущие обязательства
Чистый оборотный капитал показывает, в какой степени текущие
потребности производства могут быть обеспечены собственными средствами, без
привлечения кредитов извне. Величина чистого оборотного капитала существенно
зависит от операционного предпринимательства. Чем меньше операционный цикл, тем
меньше необходимо чистого оборотного капитала.
Государственная программа перехода бухгалтерского учета в России на
международные стандарты во многом опирается на опыт стран Европейского
сообщества с развитой рыночной экономикой, таких, как Германия, Франция,
Италия, в которых используется рассмотренная выше финансовая отчетность. Однако
в настоящее время, для российских предпринимателей установлена только
бухгалтерская отчетность.
1.2 Приемы и методы финансового анализа
Финансовое состояние предприятия – это комплексное понятие, которое
характеризуется системой показателей, отражающих наличие, размещение и
использование финансовых резервов предприятия. Финансовое состояние является
результатом взаимодействия всех элементов системы финансовых отношений
предприятия и поэтому определения всей совокупностью производственно-хозяйственных
факторов.
Предварительная оценка финансового положения предприятия
осуществляется на основании бухгалтерского баланса. Наряду с балансом,
источником данных для анализа является отчет о финансовых результатах, отчет о
состоянии имущества предприятия, отчет о движении денежных средств предприятия,
на этой стадии формируется первоначальное представление о деятельности
предприятия и их источниках; устанавливают взаимосвязи между показателями.
Новая бухгалтерская отчетность ориентирована на рыночные отношения и
в значительной степени приближена к требованиям международных стандартов
бухгалтерского учета и финансовой отчетности. Баланс стал более наглядным,
обзорным, и что особенно важно, приспособленным для решения тех задач, которые
встают перед анализом финансового сотсояния в условиях рынка. Одной из
важнейших особенностей новой отчетности является отсутствие в ней плановых
показателей и нормативов. В условиях рынка финансовое планирование утрачивает
черты целенаправленного административного целеполагания, извне задающего
предприятию множество параметров его деятельности. Оно служит, прежде всего,
выработке гибкой стратегии и тактике хозяйственного поведения предприятия,
стремящегося упрочить положение при стремительно меняющейся в результате
конкуренции рыночной конъюнктуре. Использование нормативов в финансовой
деятельности становится делом выбора самого предприятия, поэтому информация о
нормативах переходит в область коммерческой тайны. Анализ отклонений от
планируемых предприятием нормативов соответственно становится составной частью
внутреннего анализа финансового состояния, осуществляемого финансистами
предприятия на основе всей достоверной информации о хозяйственной деятельности.
Анализ финансового состояния основывается на бухгалтерской отчетности,
приобретает характер внешнего анализа, то есть анализа, проводимого за
пределами предприятия его заинтересованными контр-агентами, собственниками или
государственными органами на основе отчетных данных, которые содержат лишь
весьма ограниченную часть информации о деятельности предприятия. Новая форма
бухгалтерского баланса позволяет внешним пользователям отчетности достаточно
объективно оценивать финансовое состояние предприятия, не используя информацию,
являющуюся коммерческой тайной.
Основные методики анализа финансового состояния, предназначенные для
обеспечения управления финансовым состоянием предприятия и оценки финансовой
устойчивости его деловых партнеров в условиях рыночной экономики, включают
элементы, общие для внешнего и внутреннего анализа.
Основы методики включают следующие блоки анализа:
- общая оценка финансового состояния и его изменения за отчетный
период;
- анализ ликвидности баланса;
- анализ финансовых коэффициентов.
Оценка финансового состояния и его изменения за отчетный период по
сравнительному аналитическому балансу-нетто, а также анализ абсолютных
показателей финансовой устойчивости – основной исходный пункт, из которого
должны логически развиваться остальные блоки анализа финансового состояния.
Анализ ликвидности баланса, исходя из анализа устойчивости, должен оценивать
текущую платежеспособность и давать заключение о возможности сохранения
финансового состояния и платежеспособности в будущем. Анализ финансовых
коэффициентов (то есть относительных показателей финансового состояния)
позволяет сопоставлять финансовое состояние данного предприятия с финансовым
состоянием конкурентов, и со среднеотраслевыми пропорциями между финансовыми
показателями предприятий, а также проводить исследование динамики финансового
состояния за ряд отчетных периодов. Сравнительный аналитический баланс-нетто и
абсолютные показатели финансовой устойчивости отражают сущеность финансового
состояния. Ликвидность баланса и относительные показатели (финансовые
коэффициенты) характеризуют внешние проявления финансового состояния, которые
обусловлены его сущеностью. Углубление анализа на основе данных учета приводим
к задачам, относящимся преимущественно к внутреннему анализу. Предварительная
оценка финансового состояния разбивается на три этапа.
На первом этапе проводится визуальная и простейшая проверка
показателй бухгалтерского отчета по формальным и качественным признакам:
- правильность и ясность заполнения отчетных форм (наличие таких
реквизитов, как название предприятия, отчетная дата, необходимые подписи);
- взаимная увязка показателей различных форм отчетности.
На втором этапе строится уплотненный аналитический баланс-нетто
путем сравнивания однородных по своему составу элементов балансовых статей в
необходимых аналитических разрезах (недвижимое имущество; текущие активы). С
помощью баланса-нетто оценивают тенденции изменения в имущественном и
финансовом положении предприятия.
К таким тенденциям относят: общее увеличение (уменьшение)
стоимостной величины имущества предприятия и его отдельных составляющих;
изменения в структуре активов предприятия и источниках их образования и др.
На третьем этапе проводится расчет и оценка динамики ряда
аналитических коэффициентов, характеризующих финансовую устойчивость
предприятия.
Реультатом расчета должна быть экономичческая интерпретация, общие
заключения относительно платежеспособности и ликвидности предприятия,
характеристика тенденций изменения ликвидности предприятия, а также факторов,
их определивших.
2 АНАЛИЗ
ПРОИЗВОДСТВЕННО-ХОЗЯЙСТВЕННОЙ ДЕЯТЕЛЬНОСТИ ПРЕДПРИЯТИЯ ООО «Оскар-К»
2.1 Характеристика предприятия
ООО «Оскар-К» создано в соответствии с законодательством РФ на
основании Гражданского Кодекса РФ (ч.1), Закона РФ «О предпринимательской
деятельности» и Решения Учредителя, с целью удовлетворения общественных
потребностей, извлечения прибыли, выполнения работ и оказания услуг,
предусмотренных предметом, основными задачами и целями деятельности Общества.
В соответствии с Уставом и Лицензией основными видами деятельности
общества являются:
- Проведение строительно-монтажных работ по содержанию и
реконструкции объектов жилищного, производственного и социального назначения;
- Изыскательские и горно-геологические работы, отделочные и
пуско-наладочные работы;
- Возведение несущих и ограждающих конструкций зданий и сооружений,
подготовка строительной площадки, земляные работы;
- Работы по устройству наружных инженерный сетей и оборудования,
контроль качества строительно-монтажных работ.
- Осуществление иных видов хозяйственной деятельности, не запрещенной
действующим законодательством и не противоречащих предмету и задачам Общества.
2.2 Анализ выполнения производственной
программы
Объем подрядных СМР набирается из объектов, комплексов и видов
работ, предусмотренных титульными списками, проектно-сметной документацией,
финансированием, материальными ресурсами и нужным оборудованием.
Основным измерителем для оценки выполнения объема СМР является
стоимостной измертель, который дает возможность обобщить выполненные объемы
работ в сметных ценах.
Для анализа выполнения подрядных работ используют данные по форме
№1-КС. Выполнение объема строительно-монтажных работ проанализируем в табл.
2.1.
Таблица 2.1
Выполнение объема строительно-монтажных
работ
|
Показатели
|
По плану
|
По отчету
|
% выполнения плана
|
|
2003
|
2004
|
2005
|
2003
|
2004
|
2005
|
2003
|
2004
|
2005
|
|
Объем подрядных работ, тыс. руб.
|
1324,0
|
1650,0
|
1350,0
|
1699,6
|
1807,08
|
1381,4
|
128,3
|
109,6
|
102,3
|
|
Из общего итога подрядные работы, выполняемые:
|
|
|
|
|
|
|
|
|
|
|
Собственными силами
|
1312,96
|
1650,0
|
1350,0
|
1672,7
|
1807,08
|
1381,4
|
123,1
|
109,6
|
102,3
|
|
Привлеченными организациями
|
11,1
|
-
|
-
|
26,9
|
-
|
-
|
241,3
|
-
|
-
|
В 2004 г. по сравнениюс 2001 г. общий объем выполненных работ составил 85,5%, в том чисале собственными силами 89%. Это свидетельствует об
уменьшении объема работ предприятия за период с 2003 г. по 2004 г. на 14,5%, которое сложилось главным образом за счет работ, выполняемых собственными
силами, за счет отсутствия работ, выполняемых привлеченными организациями.
Удельный вес субподрядных работ в общем объеме подрядных работ
предусматривается планом 0,84% (11,1 / 1324,01) в 2005 г. Фактически в 2003 г. он составил 1,6% (26,9 / 1699,6). В 2004 г. и в 2005 г. субподрядные работы отсутствовали. Это могло произойти за счет изменений
структуры выполняемых работ.
Удельный вес работ, выполняемых собственными силами,
предусматривался планом 99,2% (1312,9 / 1324,0 * 100) в 2003 г. и 100% в 2004 г. Фактическое выполнение в 2003 г. составило 98,4% (1372,7 / 1699,6 * 100) и
100% в 2002 г. Более высокая степень выполнения плана производства работ
собственными силами сложилась за счет хорошей организационной и
производственной работы предприятия.
В 2005 г. по сравнению с 2004 г. общий объем выполненных работ составил 93,5:, в том числе собственными силами 93,5, так как субподрядные работы
в 2004 г. и в 2005 г. отсутствовали.
Снижение процента выполнения плана подрядных работ вызвано
неустойчивым финансовым положением заказчика.
Ритмичность производства СМР является важнейшим показателем уровня
организации производства и труда. Работы структурных подразделений организации.
Ритмичность работы определяют путем сравнения фактического объема
выполненных работ за счет данных годового объема за любой промежуток времени с
плановыми показателями за соответствующий период.
Обобщающим показателем равномерности выполнения плана СМР является
коэффициент ритмичности, определяемый как отношение фактически выполненного
объема работ в пределах плана к плановому объему работ.
Таблица 2.2
Коэффициент ритмичности
|
Период (квартал)
|
Объем СМР, тыс. руб.
|
Удельный вес, %
|
Отклонение удельного веса от среднего
|
|
2003
|
2004
|
2005
|
2003
|
2004
|
2005
|
2003
|
2004
|
2005
|
|
I
|
170,62
|
204,2
|
304,77
|
10,2
|
11,3
|
22
|
-14,8
|
-13,7
|
-3
|
|
II
|
282,69
|
345,15
|
400,41
|
16,9
|
19,1
|
29
|
-8,1
|
-5,9
|
+4
|
|
III
|
456,66
|
446,34
|
175,01
|
27,3
|
24,7
|
12,7
|
+2,3
|
-0,3
|
12,3
|
|
IV
|
762,78
|
811,39
|
801,24
|
45,6
|
44,9
|
36,3
|
+20,6
|
+19,9
|
+11,3
|
|
Итого за год
|
1672,75
|
1807,08
|
1381,4
|
100
|
100
|
100
|
0
|
0
|
0
|
Средний удельный вес одного квартала составляет 25%. Коэффициент
ритмичности производства работ составил 100% в 2003, 2004, 2005 гг. Это
означает, что 100% объема СМР выполнено без нарушения квартального графика.
Таким образом, предприятие использовало полностью резервы увеличения
объема СМР.
Данные табл. 2.3 показывают, что предприятие в 2004 г. увеличило объем выполненных СМР на 134,32 тыс. руб. по сравнению с 2003 г., а в 2005 г. по сравнению с 2004 г. снизило на 425,6 тыс. руб.
На увеличение объема оказало влияние изменения трудовых факторов, а
именно в 2004 г.:
- численности работников – 14 * 210 * 84,74 = 249,1 тыс. руб.
- среднедневной выработки 22,86 * 210 * 80 = 384,0 тыс. руб.
Итого: 134,3 тыс. руб.
На снижение объема оказало влияние изменения следующих трудовых
факторов в 2005 г.:
- численности работников: -17 * 210 * 107,6 = -384,1 тыс. руб.
- среднедневной выработки: 4,3 * 196 * 63 = 53,1 тыс. руб.
- количество рабочих дней: -4 * 63 * 107,6 = -94,6 тыс. руб.
Итого: -425,6 тыс. руб.
Таблица 2.3
Основные показатели
деятельности ООО «Оскар-К»
Показатели
|
Годы
|
Отклонение
|
|
2003
|
2004
|
2005
|
2004 от 2003
|
2005 от 2004
|
|
1. Объем СМР, тыс. руб.
|
1672,75
|
1807,08
|
1381,44
|
+134,32
|
-425,63
|
|
2. Среднесписочная численность работников, чел.
|
94
|
80
|
63
|
-14
|
-17
|
|
3. Общее число отработанных всеми работниками чел.-дн.
|
19740
|
16800
|
12348
|
-2940
|
-4452
|
|
4. Стоимость стрительных материалов, деталей, конструкций, тыс. руб.
|
224,03
|
245,26
|
219
|
+21,23
|
-26,26
|
|
5. Среднегодовая выработка одного работника, руб. ½
|
17795,2
|
22588,5
|
21927,6
|
+4793,3
|
-66,09
|
|
6. Количество рабочих дней в среднем на одного работника
|
210
|
210
|
196
|
0
|
-4
|
|
7. Среднедневная выработка одного работника, руб. 5/6
|
84,74
|
107,6
|
111,9
|
+22,86
|
+4,3
|
|
8. Расходы строительных материалов на 1 тыс. руб. СМР, руб. 4/1
|
134
|
136
|
159
|
+2
|
+23
|
Рассмотрим влияние на изменение объема СМР других групп факторов:
1. Изменения количества строительных материалов для производства:
2004 г.: +21,23 тыс. руб. / 0,134 тыс. руб. = 158,43 тыс. руб.
2005 г.: -26,26 тыс. руб. / 0,136 тыс. руб. = -193,09 тыс. руб.
2. Изменения расхода строительных материалов на 1 тыс. руб. СМР:
2004 г.: +0,002 * 1807,07 = 3,615 тыс. руб.
-3,615 / 0,134 = -26,98 тыс. руб.
2005 г.: +0,023 / 1381,44 = 31,77 тыс. руб.
-31,77 / 0,136 = -233,63 тыс. руб.
Итого: 2004 г.: +158,43 – 26,98 = 131,46 тыс. руб.
2005 г.: -193,09 – 233,63 = -426,72 тыс. руб.
Первый фактор показывает, что увеличение количества потребляемых
строительных материалов должно дать увеличение объема работ на 158,43 тыс. руб.
в 2004 г., а снижение количества потребленных стрительных материалов – сниение
объема работ на 193,09 тыс. руб. в 2005 г. Однако за счет второго фактора. Показывающего норму расхода материалов на 1 тыс. руб. изменилось в 2004 г. на 2 руб., объем строительно-монтажных работ увеличился на 26,98 тыс. руб. в 2004 г., и на 233,63 тыс. руб. уменьшился в 2005 г. Совокупное влияние этих фактторов и дало общую
сумму увеличения объема СМР в 2004 г. на 134,32 тыс. руб., а в 2005 г. – уменьшение на 425,63 тыс. руб.
2.3 Анализ показателей по оплате труда
Изменение численности рабочей силы в предпириятии характеризуется
следующими показателями.
Для более полного анализа изменения рабочей силы нужно определить
абсолютную и относительную обеспеченность.
Абсолютная обеспеченность определяется в целом по организации, а
относительная – по рабочим, занятым на строительно-монтажных работах.
В 2005 г. объем работ составил 76,5% по сравнению с 2004 годом. На
этот объем работ при прочих равных условиях требуется 47 человек (76,5 / 100 *
61), а фактическая численность рабочих в 2005 г. составила 48 рабочих, следовательно, избыток рабочих в количестве 1 человека.
В 2004 г. объем работ выполнен на 92,6% по сравнению с 2001 г. На этот объем работ требуется 56 чел. рабочих (92,6 * 61 / 100). А фактическая численность
рабочихв 2004 г. составила 75 чел., следовательно, избыток 19 человек.
Таблица 2.4
Обеспеченность ООО «Оскар-К»
рабочей силой
|
Показатели
|
Среднесписочная численность работников, чел.
|
В %
|
|
2003 г.
|
2004 г.
|
2005 г.
|
2004 к 2003 г.
|
2005 к 2004 г.
|
|
1
|
2
|
3
|
4
|
5
|
6
|
|
На строительно-монтажных работах – всего:
|
94
|
80
|
62
|
85,1
|
77,5
|
|
В том числе:
|
|
|
|
|
|
|
Рабочие
|
75
|
61
|
48
|
81,3
|
78,7
|
|
Служащие
|
19
|
19
|
14
|
100
|
73,7
|
|
В обслуживающих и прочих хозяйствах
|
-
|
-
|
1
|
-
|
|
Всего работников во всех производствах и хозяйствах
|
94
|
80
|
63
|
85,1
|
78,8
|
|
В том числе:
|
|
|
|
|
|
|
Рабочие
|
75
|
61
|
48
|
81,3
|
78,7
|
|
Служащие
|
19
|
19
|
15
|
100
|
78,9
|
Текучесть кадров – это выраженное в процентах отношение числа
уволенных по собственному желанию или за прогулы и др. нарушения трудовой
дисциплины, и их среднесписочной численности. Движение рабочих кадров
харктеризуется следующими показателями.
Таблица 2.5
Движение рабочих кадров
|
Показатели
|
2003 г.
|
2004 г.
|
2005 г.
|
|
1
|
2
|
3
|
4
|
|
Выбыло рабочих
|
15
|
3
|
10
|
|
Продолжение таблицы 2.5
|
|
1
|
2
|
3
|
4
|
|
В том числе:
|
|
|
|
|
В связи с окончанием работ и договора
|
3
|
1
|
2
|
|
Среднесписочное число рабочих
|
75
|
61
|
48
|
Коэффициент текучести в 2003 году равен 16,0%, в 2004 г. – 3,3%, в 2005 г. – 16,6%. Эти данные говорят о том, что ООО «Оскар-К» в 2005 г. не приняло меры для уменьшения текучести и закрепления кадров.
Коэффициент оборота рабочей силы – это отношение числа всех выбывших
или вновь принятых к среднесписочной численности работающих. Коэффициент
оборота по приему в 2003 году составли 21,3%, в 2004 г. – 11,3%, в 2005 г. – 28,5%. Коэффициент оборота по увольнению в 2003 г. составил 20%, в 2004 г. – 4,9%, в 2005 г. – 20,8%
Производительность труда является основным показателем деятельности
строительной организации. Определяется количеством продукции, произведенной в
единиуц рабочего времени, или затратами труда на единицу произведенной
продукции. Данные для расчета производительности труда предприятия рассмотрим в
табл. 2.6.
Таблица 2.6
Исходные данные для расчета
производительности труда
|
Показатели
|
Годы
|
Отклонение, %
|
|
2003
|
2004
|
2005
|
2004 г. от 2003 г.
|
2005 г. от 2004 г.
|
|
Объем СМР по сметной стоимости, тыс. руб.
|
1672,7
|
1807,1
|
1381,4
|
+8,1
|
-23,6
|
|
Среднесписочная численность работников, чел.
|
94
|
80
|
63
|
-14,9
|
-21,2
|
|
В том числе рабочих
|
75
|
61
|
48
|
-18,7
|
-21,3
|
|
Выработка на одного работника, тыс. руб.
|
17,8
|
22,6
|
21,9
|
+26,9
|
-3,7
|
|
Выработка на одного рабочего, тыс. руб.
|
22,3
|
29,6
|
28,8
|
+32,5
|
-2,7
|
В 2004 г. по сравнению с 2003 г., уровень выработки увеличился в среднем на 27%, а в 2005 г. по сравнению с 2004 г. снизился на 3,7%.
Общий фонд заработной платы работников определяется, исходя из
объема СМР и утвержденного норматива заработной платы на 1 руб. объема СМР на
каждый год.
На предприятии использование фонда оплаты труда характеризуется данными
в табл. 2.7.
Таблица 2.7
Анализ использования фонда
заработной платы
|
Показатели
|
Годы
|
|
2003
|
2004
|
2005
|
|
Фонд оплаты труда всего, тыс. руб.
|
685,53
|
632,48
|
509
|
|
Заработная плата на 1 руб. объема СМР, коп.
|
41,0
|
35,0
|
36,85
|
Заработная плата на 1 руб. объема работ работников, занятых в
строительстве, постоянно уменьшалиась, в 2005 г. по сравнению с 2003 г. составляет 4,15 коп. (36,85 – 41,0) или 10,1% (4,15 / 41 * 100), что является отрицателем
показателем предпприятия.
2.4 Анализ производственных фондов
Анализ состава и движения основных фондов производится путем
сравнения отчетных данных, показывающих их стоимость на начало и конец
отчетного периода.
Как видно из табл. 2.8, стоимость основных фондов за 2003 г. увеличилась на 12,7 тыс. руб., или на 2% (12,7 / 626,07 * 100), за 2004 г. стоимость основных фондов увеличилась на 70,4 тыс. руб., или на 10,1% (70,4 / 696,51 * 100).
Это увеличение сложилось за счет производственных основных фондов строительного
назначения.
Таблица 2.8
Состав и движение основных фондов
(в текущих ценах) (тыс. руб.)
|
Виды основных фондов
|
Наличие на начало года
|
Поступило в отчетном году
|
Выбыло в отчетном году
|
Наличие на конец года
|
|
Всего
|
В т.ч. введено в действие
|
Всего
|
В т.ч. передано
|
|
1
|
2
|
3
|
4
|
5
|
6
|
7
|
|
2003 г.
|
|
|
|
|
|
|
|
Продолжение таблицы 2.8
|
|
1
|
2
|
3
|
4
|
5
|
6
|
7
|
|
Производственные основные фонды строительного назначения
|
586,91
|
14,72
|
-
|
2,06
|
-
|
599,57
|
|
Производственные основные фонды др. отраслей
|
26,5
|
-
|
-
|
-
|
-
|
26,5
|
|
Всего
|
613,41
|
14,72
|
-
|
2,06
|
-
|
626,07
|
|
2004 г.
|
|
|
|
|
|
|
|
Производственные основные фонды строительного назначения
|
599,57
|
119,26
|
-
|
48,82
|
25,87
|
670,01
|
|
Производственные основные фонды др. отраслей
|
26,5
|
-
|
-
|
-
|
-
|
26,5
|
|
Всего
|
626,07
|
119,26
|
-
|
48,82
|
25,87
|
696,51
|
|
2005 г.
|
|
|
|
|
|
|
|
Производственные основные фонды строительного назначения
|
670,01
|
1,0
|
1,0
|
47,5
|
30,5
|
623,51
|
|
Производственные основные фонды др. отраслей
|
26,5
|
-
|
-
|
7,0
|
-
|
19,5
|
|
Всего
|
696,51
|
1,0
|
1,0
|
54,5
|
30,5
|
643,01
|
В 2005 г. стоимость основных фондов уменьшилась на 53,5 тыс. руб.,
или на 7,7% (53,5 / 696,51 * 100). Это уменьшение сложилось за счет
производственных основных фондов строительного назначения на 46,5 тыс. руб.,
или на 6,6% )46,5 / 670,0 * 100), при уменьшении основных фондов других
отраслей на 7 тыс. руб., или на 26,4 (7 / 26,5 * 100), к началу года. Эти
данные свидетельствуют об уменьшении стоимости основных производственных фондов
в 2005 г. за счет увеличения суммы выбывших основных фондов. Что является
отрицательным результатом деятельности предприятия. Все эти уменьшения ведут к
преобразованию структуры основных фондов.
Таблица 2.9
Структура основных фондов
|
Виды основных средств
|
На начало года
|
На конец года
|
Отклонение, %
|
|
Тыс. руб.
|
В % к итогу
|
Тыс. руб.
|
В % к итогу
|
|
1
|
2
|
3
|
4
|
5
|
6
|
|
2003 год
|
|
|
|
|
|
|
Производственные основные фонды строительного назначения
|
586,91
|
95,6
|
599,57
|
95,8
|
+0,2
|
|
Продолжение таблицы 2.9
|
|
1
|
2
|
3
|
4
|
5
|
6
|
|
Производственные основные фонды других отраслей
|
26,5
|
4,4
|
26,5
|
4,2
|
-0,2
|
|
Всего
|
613,41
|
100
|
626,07
|
100
|
|
|
2004 год
|
|
|
|
|
|
|
Производственные основные фонды строительного назначения
|
599,57
|
95,8
|
670,01
|
96,2
|
+0,4
|
|
Производственные основные фонды других отраслей
|
26,5
|
4,2
|
26,5
|
3,8
|
-0,4
|
|
Всего
|
626,07
|
100
|
696,51
|
100
|
|
|
2005 год
|
|
|
|
|
|
|
Производственные основные фонды строительного назначения
|
670,01
|
96,2
|
623,51
|
96,9
|
+0,7
|
|
Производственные основные фонды других отраслей
|
26,5
|
3,8
|
19,5
|
3,1
|
-0,7
|
|
Всего
|
696,51
|
100
|
643,01
|
100
|
|
Структура основных фондов строительного назначения изменилась в
сторону увеличения удельного веса в 2003 г. на 0,2% и в 2004 г. на 0,4%. В 2005 г. структура основных фондов умепньшилась в сторону уменьшения удельного веса
производственных фондов других отраслей на 0,7%.
Коэффициент обновления в 2003 г. составил 2,3%, в 2004 г. – 17,1%, в 2005 г. – 0,15%. Коэффициент выбытия в 2001 г. составил 0,3%, в 2004 г. – 7,1%, в 2005 г. – 8,5%.
В 2003 г. показатель изношенности основных фондов составил 60,8%, в 2004 г. – 48,9%, в 2005 г. – 3,3%. Уменьшение коэффициента износа показывает улучшение качественного
состояния основных фондов, что является положительным показателем деятельности
предприятия.
Эффективность использования основных фондов характеризуется
показателем фондоотдачи основных фондов, которая представляет отношение
стоимости продукции к среднегодовой стоимости основных фондов. Фондоотдача
показывает общую отдачу от использования каждого рубля, затраченного на основные
производственные фонды, т.е. эффективность этого вложения средств. Расчет
производят по формуле:
Фо = Ор
/ Сф,
где Фо – показатель фондоотдачи (объем работ,
приходящийся на рубль основных фондов);
Ор – объем работ по сметной стоимости, выполненный
собственными силами;
Сф – средняя стоимость основных производственных фондов.
Таблица 2.10
Фондоотдача производственных
фондов
|
Показатели
|
Годы
|
|
2001
|
2002
|
2003
|
|
Объем СМР, тыс. руб.
|
1672,7
|
1807,1
|
1381,4
|
|
Средняя стоимость ОПФ, тыс. руб.
|
81,1
|
230,2
|
578,5
|
|
Фондоотдача, руб. / руб.
|
20,6
|
7,85
|
2,39
|
Эффективность использования основных фондов в 2005 г. по сравнению с 2003 г. составляет 11,5% (2,39 / 20,6 * 100). Такое использование основных
фондов говорит о том, что в предприятии не проведены мероприятия по повышению эффективности
использования основных фондов.
На объем строительно-монтажных работ оказывает влияние как величина
основных фондов, так и уровень фондоотдачи. На предприятии эти показатели в
2003 и 2005 г. составят:
- изменение величины основных фондов:
(578,5 – 45) * 20,6 = 10990,1 тыс. руб.
- изменение уровня фондоотдачи:
(2,39 – 20,6) * 578,5 = -10534,5 тыс. руб.
Уменьшение объема работ в в2005 г. по сравнению с 2003 г. в предприятии вызвано изменением уровня фондоотдачи.
Для эффективности использования основных производственных фондов
используют показатель фондоемкости, обратный показателю фондоотдачи.
Фондоемкость показывает стоимость основных производственных фондов (активной
части), приходящихся на 1 руб. объема выполненных СМР собственными силами.
Фе = Сф
/ Ор.
На предприятии фондоемкость составляет: в 2003 г. – 0,5 руб. / руб. (8,11 / 1672,7); в 2004 г. – 0,13 руб. / руб. (230,2 / 1807,1); в 205 г. – 0,42 руб. / руб. (578,5 / 1381,4). Фондоемкость 2005 г. к 2003 г. составила 4200% (0,42 / 0,05 * 100). Чем больше фондоемкость, тем меньше эффективность использования
основных фондов.
2.5 Анализ прибыли предприятия и ее
использования
Конечный финансовый результат деятельности предприятия – это валовая
прибыль (убыток), который представляет собой алгебраическую сумму результата от
продажи товаров, работ, услуг и от внереализационной деятельности. Это можно
представить в виде формулы:
РБ = РР
± РПР ± РВН,
где РБ – валовая прибыль или убыток;
РР – результат от продажи;
РПР – результат от прочей продажи;
РВН – результат от внереализационных операций.
Для анализа валовой прибыли, ее структуры используем данные табл.
2.11.
Таблица 2.11
Финансовый результат
деятельности предприятия
|
Показатели
|
2003 г.
|
2004 г.
|
2005 г.
|
|
Тыс. руб.
|
%
|
Тыс. руб.
|
%
|
Тыс. руб.
|
%
|
|
Валовая прибыль в текущих ценах
|
42,1
|
100
|
271,1
|
100
|
211,2
|
100
|
|
Прибыль от сданных объектов и комплексов работ
|
34,7
|
82,5
|
93,8
|
162,2
|
76,8
|
|
Прибыль от прочей продажи
|
9,4
|
22,4
|
28,4
|
10,5
|
3,8
|
1,8
|
|
Результат от внереализационной деятельности
|
-2,06
|
-4,9
|
-11,64
|
-4,3
|
45,17
|
21,4
|
Из приведенных данных табл. 2.11 видно, что на предприятии валовая
прибыль складывается из прибыли от прочей продажи и доходо (убытков) от
внереализационных операций. Появление прибыли от внереализационных операций в 2005 г. объясняется выявлением скрытой прибыли в 2004 г. с последующим отнесением ее на прибыль 2005 г.
Таблица 2.12
Использование прибыли, %
|
Показатели
|
2003 г.
|
2004 г.
|
2005 г.
|
|
Платежи в бюджет
|
87,3
|
64,1
|
54,4
|
|
Фонд накопления
|
-
|
25,1
|
33,2
|
|
Фонд потребления
|
2,2
|
10,8
|
12,4
|
|
Другие цели
|
14,1
|
-
|
-
|
Наибольший удельный вес занимают платежи в бюджет. Это произошло в
связи с большой долей экономических санкций в общей сумме платежей в бюджет. В 2004 г. эта доля составила 25,1%, то к 2005 г. она увеличилась на 8,1%. Увеличение доли средств, направленных
на фонды потребления на 10,2% в 2005 г. по сравнению с 2003 г. Отчисления в резервный фонд на благотворительные цели не производились.
Относительным показателем доходности является показатель
рентабельности.
Расчет рентабельности производится по формуле:
Р1 = Пб
/ Вр,
где Р1 – рентабельность продаж, :;
Пб – валовая прибыль от продажи товаров, работ, услуг;
Вр – выручка от продажи товаров. Работ, услуг;
Р2 = Пб
/ З * 100,
где Р2 – рентабельность на 1 руб. затрат, %;
Пб – валовая прибыль;
З – затраты на производство продукции;
Р3 = Псмр
/ Qсмр * 100,
где Р3 – рентабельность на 1 руб. сметной стоимость, :;
Псмр – валовая прибыль от продажи товаров, работ, услуг;
Qсмр – объем строительно
монтажных работ.
Рассмотрим уровень рентабельности на предприятии в табл. 2.13.
Рентабельность продаж резко возросла в 2004 г. по сравнению с 2003 г. на 13,3% или на 492,6% (13,3 / 2,7), а в 2005 г. уменьшилась по сравнению с 2004 г. на 0,2% или на 1,3% (0,2 / 15,8). Это произошло за счет
резког увеличения валовой прибыли в 2004 г.
Рентабельность на 1 руб. сметной стоимости имеет такой же характер
динамики, т.е. резкий скачок на 12% в 2004 г. по сравнению с 2003 г. и последующий спад в 2005 г. по сравнению с 2004 г. на 2,3%.
Рентабельность на 1 руб. затрат имела такой же характер динамики,
скачок в 2004 г. по сравнению с 2003 г. на 16% и спад в 2005 г. по сравнению с 2004 г. на 0,7%.
Таблица 2.13
Уровень рентабельности
|
Показатели
|
2003 г.
|
2004 г.
|
2005 г.
|
|
Прибыль от сданных заказчиками объектов и комплексов работ, тыс. руб.
|
34,78
|
254,43
|
162,24
|
|
Валовая прибыль, тыс. руб.
|
42,13
|
271,17
|
211,19
|
|
Объем строительно-монтажных работ, тыс. руб.
|
1672,75
|
10807,08
|
1381,44
|
|
Выручка от продажи товаров. работ, услуг без НДС, тыс. руб.
|
1556,98
|
1700,09
|
1330,24
|
|
Рентабельность продаж, %
|
2,7
|
16,0
|
15,8
|
|
Рентабельность на 1 руб. сметной стоимости, %
|
2,08
|
14,08
|
11,74
|
|
Рентабельность на 1 руб. затрат, %
|
2,8
|
18,8
|
18,1
|
Увеличение коэффициентов рентабельности в 2004 г. говорит об улучшении всех факторов производства, а их снижение в 2005 г. оценивается отрицательно.
2.6 Анализ себестоимости
строительно-монтажных работ
Снижение себестоимости СМР устанавливается сравнением предельного
уровня затрат на рубль СМР за каждый отчетный год строительства. Расчет
производится по формуле:
Iз
= Фс / Сс,
где Iз – предельный уровень
затрат на рубль СМР;
Фс – фактическая себестоимость;
Сс – сметная стоимость СМР.
Таблица 2.14
Снижение себестоимости СМР
|
Показатели
|
Годы
|
|
2003
|
2004
|
2005
|
|
Сметная стоимость СМР, тыс. руб.
|
1672,75
|
1807,08
|
1381,43
|
|
Плановое накопление
|
22,13
|
89,27
|
102,36
|
|
Фактическая себестоимость, тыс. руб.
|
1522,2
|
1445,66
|
1168,0
|
|
Предельный уровень затрат на рубль СМР, руб. / руб. * 100%
|
91,0
|
80,0
|
84,5
|
Как видно из табл. 2.14, предельный уровень затрат в 2005 г. на рубль СМР составил 84,5%, т.е меньше, чем в 2003 г. на 6,5% (84,5 – 61,0), или на 7,1%
(6,5 / 91 * 100). Это положительный результат в деятельности предприятия.
Под элементами себестоимости понимают качественно однородные
первичные затраты, которые не могут быть расчленены на составные части. Затраты
на производство классифицируются независимо от их назначения и места расхода.
Анализ себестоимости по элементам затрат дает возможность установить
общую их сумму на выполненный объем СМР в целом и по каждому в отдельности и их
удельный вес в общих затратах. Для анализа используются данные отчета по форме
№5-З с учетом затрат возмещения в порядке компенсации.
Из табл. 2.15 видно, что в 2005 г. удельный вес затрат на материалы уменьшился по сравнению с 2003 г. на 5,3% при уменьшении удельного веса затрат
на заработную плату на 1,4%. Также в 2005 г. по сравнению с 2003 г. увеличился удельный вес затрат по прочим расходам на 0,9%. Следовательно, в 2005 г. предприятие выполнило трудоемкие работы.
Удельный вес затрат на амортизацию основных фондов постепенно
увеличивается, что свидетельствует о повышении фондовооруженности и высокой
степени механизации работ.
Таблица 2.15
Состав себестоимости по
элементам затрат
|
Элементы затрат
|
Годы
|
Удельный вес, %
|
Отклонение (±)
|
|
2003
|
2004
|
2005
|
2003
|
2004
|
2005
|
|
Материалы
|
434,91
|
271,06
|
256,0
|
28,0
|
18,7
|
22,7
|
-5,3
|
|
Заработная плата
|
685,83
|
632,48
|
509,0
|
45,0
|
43,7
|
43,6
|
-1,4
|
|
Отчисления на соцстрахование
|
284,37
|
252,99
|
199,0
|
18,7
|
17,5
|
17,0
|
-1,7
|
|
Амортизация
|
33,45
|
90,35
|
114,0
|
2,2
|
6,5
|
9,7
|
+7,5
|
|
Прочие расходы
|
83,64
|
198,78
|
90,0
|
6,1
|
13,6
|
7,0
|
+0,9
|
|
Итого
|
1522,20
|
1445,66
|
1168,0
|
100
|
100
|
100
|
-
|
Под структурой себестоимости СМР понимается удельный вес отдельных
статей в общей себестоимости выполненных работ. Структура себестоимости
рассчитывается по формуле:
где Ув – удельный вес статьи затрат, %;
Фс – фактическая величина каждого вида затрат;
Вз – общая сумма затрат.
Показатель предельного уровня затрат на рубль СМР рассчитывается по
формуле:
Уз = Фс
/ Ссф,
где Уз – предельный уровень затрат, %;
Фс – фактическая себестоимость по каждой статье;
Ссф – сметная стоимость фактически выполненных работ.
Таблица 2.16
Структура себестоимости по
статьям затрат
|
Показатели
|
Удельный вес затрат по себестоимости, %
|
Затраты на руб. сметной стоимости, коп.
|
|
2003
|
2004
|
2005
|
2003
|
2004
|
20058
|
|
Материальные затраты
|
17,8
|
16,3
|
18,7
|
26
|
15
|
15,9
|
|
Основная заработная плата
|
43,9
|
44,7
|
43,5
|
41
|
35
|
36,9
|
|
Расходы по эксплуатации машин и механизмов
|
28,1
|
26,9
|
30,7
|
5
|
22
|
26
|
|
Прочие затраты
|
-
|
-
|
-
|
-
|
-
|
-
|
|
Итого прямые затраты
|
89,8
|
87,9
|
92,9
|
72
|
72
|
78,8
|
|
Накладные расходы
|
10,2
|
12,1
|
7,1
|
3
|
10
|
5,9
|
|
Всего
|
100
|
100
|
100
|
75
|
82
|
84,7
|
Приведенные данные табл. 2.16 свидетельствуют, что организация
обеспечила экономию затрат живого труда расширением индустриализации
строительства. Затраты на материалы увеличились в 2005 г. по сравнению с 2003 г. на 0,9 пункта, при уменьшении расходов по основной заработной плате
рабочих на 0,4 пункта. Положительным моментом является незначительное
сокращение удельного веса накладных расходов в фактической себестоимости
выполняемых работ в 2005 г. на 31 пункт по сравнению с 2003 г.
Затраты на рубль сметной стоимости выполненных СМР в целом возросли
на 9,7 пункта (84,5 – 75). Этот рост достигается по всем статьям, что
оценивается отрицательно.
3 АНАЛИЗ
ФИНАНСОВОГО СОСТОЯНИЯ И ФИНАНСОВЫХ РЕЗУЛЬТАТОВ ДЕЯТЕЛЬНОСТИ ПРЕДПРИЯТИЯ
3.1 Анализ финансовой устойчивости
Исследование показателей финансовой устойчивости является важной
задачей анализа финансового состояния. Балансовая модель, из которой исходит
анализ:
F + Z + Ra = Uc
+ Kt + Ko
+ Rp,
где F – основные средства и вложения;
Z – запасы и затраты;
Ra – денежные средства,
краткосрочные финансовые вложения, расчеты (дебиторская задолженность) и прочие
активы;
Uс – источники собственных
средств;
Kt – краткосрочные кредиты и
заемные средства;
Kt – долгосрочные кредиты и
заемные средства;
Ko – ссуды, не погашенные в срок;
Rp – расчеты (кредиторская
задолженность) и прочие пассивы.
При условии ограничения запасов и затрат Z величиной [(Ue + Kt) – F]
Z
≤ (UC + KT)
– F,
будет выполняться условие платежеспособности, т.е денежные средства,
краткосрочные финансовые вложения и активные расчеты покроют краткосрочную
задолженность (Kt + Rp
+ Ko)
Ra
≥ Kt + Rp
+ Ko.
Таким образом, соотношение стоимости материальных оборотных средств
и величин собственных и заемных источников их формирования определяет
устойчивость финансового состояния. Обеспеченность запасов и затрат источниками
формирования является сущностью финансовой устойчивости, тогда как
платежеспособность выступает ее внешним проявлением. В то же время степень
обеспеченности запасов и затрат источниками есть причина той или иной степени
платежеспособности, выступающей как следствие обеспеченности.
Таблица 3.1
Баланс предприятия
|
Актив
|
2003 г.
|
2004 г.
|
2005 г.
|
|
На начало года
|
На конец года
|
На начало года
|
На конец года
|
На начало года
|
На конец года
|
|
1. Основные средства и вложения, (F)
|
31684
|
71502
|
959267
|
945780
|
3341293
|
3202724
|
|
2. Запасы и
затраты, Z
|
6351
|
35533
|
355333
|
159349
|
159349
|
120803
|
|
3. Денежные средства и прочие активы, (Ra)
|
11932
|
30183
|
30183
|
234943
|
234943
|
116523
|
|
В том числе денежные средства (D)
|
11745
|
22986
|
22986
|
57780
|
57780
|
57
|
|
Убытки
|
187
|
7197
|
7197
|
177163
|
177163
|
116466
|
|
Итого (В)
|
49918
|
154135
|
1041900
|
1558387
|
3885900
|
4000171
|
|
Пассив
|
|
|
|
|
|
|
|
1. Источники собственых средств, (Uc)
|
29792
|
21888
|
909653
|
990461
|
3317974
|
3367136
|
|
2. Расчеты и прочие активы, (Rp)
|
20126
|
132247
|
132247
|
567926
|
567926
|
633035
|
|
3. Кредиты и другие заемные средства (К)
|
46
|
32
|
32
|
90000
|
-
|
|
В том числе:
- краткосрочные кредиты и займы
|
24
|
-
|
-
|
90000
|
90000
|
-
|
|
- долгосрочные кредиты (КТ)
|
92
|
32
|
32
|
-
|
-
|
-
|
|
- ссуды, не погашенные в срок (Ко)
|
-
|
-
|
-
|
-
|
-
|
-
|
|
Итого (В)
|
49918
|
154135
|
1041900
|
1558387
|
3885900
|
4000171
|
Eс
= (Uс – F) – Z,
2003 г.: ± EC =
21888 – 71502 = -49614 – 35533 = -85177 руб.;
2004 г.: ± EC = 990461 – 645780 = 44681
– 159349 = -114688 руб.;
2005 г.: ± ЕС = 3367136 – 3202724 = 164412 – 120803 =
43609 руб.
Излишек (+) или недостаток (-) собственных долгосрочных и
среднесрочных заемных источников формирования запасов и затрат:
±ЕТ = ЕТ
– Z = [(ИС +КТ) – F] – Z,
2003 г.: ± ЕТ = [(21888+32) – 71502] – 35533 = -85115
руб.;
2004 г.: ± ЕТ = ЕС = - 114688 руб., т.к. КТ
= 0;
2005 г.: ± ЕТ = ЕС = 43609 руб., т.к. КТ
= 0.
Излишек (+) или недостаток (-) общей величины основных источников
формирования запасов и затрат:
± ЕΣ = ЕΣ
– Z = [(Uc +Kt) – Kt] – Z,
2003 г.: ± ЕΣ = [(21888 + 32) – 71502 + 0] = -85115 руб.;
2004 г.: ± ЕΣ = [(990461 + 0) – 945780 + 90000] –
159349 = -24688 руб.;
2005 г.: ± ЕΣ = [(3367136 + 0) – 3202724 + 0] –
120803 = 43609 руб.
Вычисление 3-х показателей обеспеченности запасов и затрат источниками
их формирования позволяет классифицировать их финансовые ситуации по степени их
устойчивости. При идентификации типа финансовой устойчивости используется
следующий трехмерный показатель:
ST
= {S(± EC), S(± ET), S(±
EΣ)},
где функция определяется следующим образом:
Возможно выделение четырех типов финансовых ситуаций:
1. Абсолютная
устойчивость финансового состояния, встречающаяся редко и являющая собой
крайний тип финансовой устойчивости. Она задается условиями:
Показатель типа ситуации
S = (1, 1, 1).
2. Нормальная
устойчивость финансового состояния, гарантирующая ее платежеспособность:
3. Неустойчивое
финансовое состояние, сопряженное с нарушением платежеспособности, при котором
тем не менее сохраняется возможность восстановления равновесия за счет пополнения
источников собственных средств и увеличения собственных оборотных средств, а
также за счет дополнительного привлечения долгосрочных и среднесрочных кредитов
и заемных средств:
4. Хрупкое
финансовое состояние, при котором организация находится на грани банкротства,
поскольку в данной ситуации денежные средства, краткосрочные ценные бумаги и
дебиторская задолженность организации не покрывает даже ее кредиторскую
задолженность:
Показатель типа ситуации S = (0, 0, 0).
На основании расчетов получаем следующие варианты финансовой
устойчивости по годам:
2003 г.:
– кризисное состояние;
2004 г.:
– кризисное состояние;
2005 г.:
– абсолютная устойчивость.
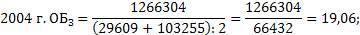
Итак, видно, что в 2003, 2004 годах в предприятии сложилось кризисное
финансовое состояние, при котором предпириятию удалось произвести хозяйственные
операции, которые привели к улучшению финансового состояния, к повышению его
устойчивости. Видно, что устойчивость в 2005 г. принадлежит к 1 типу устойчивости – абсолютная.
3.2 Анализ ликвидности баланса
Ликвидность баланса определяется как степень покрытия обязательств
предприятия его активами, срок превращения которых в денежную форму
соответствует сроку погашения обязательств. Ликвидность активов – величина,
обратная ликвидность баланса по времени превращения активов в денежные
средства.
В зависимости от степени ликвидности, т.е. скорости превращения в
денежные средства, активы предприятия разделяются на следующие группы:
А1) наиболее ликвидные активы – денежные средства и краткосрочные
финансовые вложения;
А2) быстрореализуемые активы – дебиторская задолженность и прочие
активы. Итог группы получается вычитанием величины наиболее ликвидных активов
из итога раздела II актива;
А3) медленно реализуемые активы – статьи раздела II актива «Запасы и затраты» (за исключением «Расходов будущих
периодов»), а также статьи из раздела I актива баланса «Долгосрочные финансовые вложения»
(уменьшенные на величину вложений в уставные фонды других предприятий) и
«Расчеты с учредителями».
А4) труднореализуемые активы – статьи раздела I актива баланса за исключением статей этого раздела,
включенных в предыдущую группу.
Пассивы баланса группируются по степени срочности их оплаты:
П1) наиболее срочные обязательства – к ним относятся «Кредиторская
задолженность» (статьи пассива баланса «Расчеты и прочие пассивы»), а также
«ссуды», не погашенные в срок из справки 2 Ф№5;
П2) краткосрочные пассивы – краткосрочные кредиты и заемные
средства;
П3) долгосрочные пассивы – долгосрочные кредиты и заемные средства;
П4) постоянные пассивы – статьи раздела пассива баланса «Источники
собственных средств». Для сохранения баланса актива и пассива итог данной
группы уменьшается на сумму иммобилизации оборотных средств и величины по
статье «Расходы будущих периодов».
Баланс считается абсолютно ликвидным, если имеет место:
Таблица 3.2
Анализ ликвидности баланса
|
Актив
|
На начало периода
|
На конец периода
|
Пассив
|
На начало периода
|
На конец периода
|
Платежный излишек
|
|
На начало
|
На конец
|
|
1
|
2
|
3
|
4
|
5
|
6
|
7
|
8
|
|
2003 год
|
|
1) Наиболее ликвидные
|
11745
|
22986
|
1) Наиболее срочные обязательства
|
20104
|
132215
|
-8359
|
-109229
|
|
2) Быстрореализуемые активы
|
187
|
7197
|
2) Краткосрочные пассивы
|
-
|
-
|
+187
|
+7197
|
|
3) Медленнореализуемые активы
|
6302
|
35533
|
3) Долгосрочные пассивы
|
22
|
32
|
+6280
|
+35501
|
|
4) Труднореализуемые активы
|
31684
|
71502
|
4)Постоянные пассивы
|
29792
|
2188
|
+1892
|
+49614
|
|
Баланс
|
49918
|
154135
|
Баланс
|
49918
|
154135
|
Х
|
х
|
|
2004 год
|
|
1) Наиболее ликвидные
|
22986
|
57780
|
1) Наиболее срочные обязательства
|
132215
|
47926
|
-109229
|
-420146
|
|
2) Быстрореализуемые активы
|
7197
|
177163
|
2) Краткосрочные пассивы
|
-
|
90000
|
+7197
|
+87163
|
|
3) Медленнореализуемые активы
|
35533
|
159349
|
3) Долгосрочные пассивы
|
32
|
-
|
+35501
|
+159349
|
|
4) Труднореализуемые активы
|
959267
|
945780
|
4)Постоянные пассивы
|
909653
|
990461
|
+49614
|
-44681
|
|
Баланс
|
1041900
|
1558387
|
Баланс
|
1041900
|
1558387
|
Х
|
х
|
|
2005 год
|
|
1) Наиболее ликвидные
|
57780
|
57
|
1) Наиболее срочные обязательства
|
477926
|
633035
|
-420146
|
-632978
|
|
2) Быстрореализуемые
|
177163
|
116466
|
2)
|
90000
|
-
|
+87163
|
+116466
|
|
активы
|
|
|
Краткосрочные пассивы
|
|
|
|
|
|
3) Медленнореализуемые активы
|
159349
|
120803
|
3) Долгосрочные пассивы
|
-
|
-
|
+159349
|
+120803
|
|
4) Труднореализуемые активы
|
3341293
|
3202724
|
4)Постоянные пассивы
|
3317974
|
3367136
|
+23319
|
-164412
|
|
Продолжение таблицы 3.2
|
|
1
|
2
|
3
|
4
|
5
|
6
|
7
|
8
|
|
Баланс
|
3885900
|
400171
|
Баланс
|
3885900
|
400171
|
Х
|
Х
|
Существенным является сопоставление итогов первых трех групп по
активу и пассиву. Четвертое неравенство носит «балансирующий» характер, но его
выполнение свидетельствует о соблюдении минимального условия финансовой
устойчивости – наличие у предприятия собственных оборотных средств.
Исходя из показателй табл. 3.2 система неравенств на конец отчетных
периодов предприятия будет выглядет так:
Из приведенных в табл. 3.2 данных можно сделать вывод о
невозможности выплат по наиболее срочным обязательствам предприятия в течение
последних трех лет. Одной из основных причин является спад производства на
предприятии, но в то же время краткосрочные пассивы покрывались за счет средств
быстрореализуемых активов, что несколько улучшает текущую ликвидность. Это
связано с большими суммами дебиторской задолженности предприятию за
рассматриваемый период. Четко просматривается в связи с этим проблема
неплатежей.
Сравнение медленно реализуемых активов с долгосрочными пассивами
отражает перспективную ликвидность.
Медленно реализуемые активы за три года имели тенденцию покрывать
долгосрочные пассивы с нарастающими темпами, что вызвано незначительными
долгосрочными кредитами и более или менее стабильной работой предприятия. Но
постоянные пассивы в значительной степени не прикрываются активами и в наличии
тенденция нарастающей невозможности покрытия постоянных пассивов активами.
Это говорит о том. Что уровень прибыли на предприятии незначителен и
что «больное» место в источниках собственных средств – фонды: уставный, резервный,
специального назначения. Следует обратить особое внимание вопросу их
«оздоровления».
3.3 Анализ финансовых коэффициентов
Финансовые коэффициенты представляют собой относительные показатели
финансового состояния предприятия. Анализ финансовых коэффициентов заключается
в сравнении их значений с базисными величинами, а также в изучении динамики за
определенный период времени.
Система относительных финансовых коэффициентов по экономическому
смыслу может быть подразделена на ряд групп:
- показатели оценки рентабельности предприятия;
- показатели оценки эффективности управления или прибыльности
продукции;
- показатели оценки деловой активности;
- показатели оценки рыночной устойчивости;;
- показатели оценки ликвидности актива баланса как основы
платежеспособности.
Рассмотрим основные из каждой группы финансовые коэффициенты. Расчет
произведен по данным табл. 3.1 и 2.11.
Оценка эффективности управления:
Оценка деловой активности:
Оценка рыночной устойчивости
Коэффициент автономии является одной из важнейших характеристик
устойчивости финансового состояния предприятия, его независимости от заемных
источников средств.
Нормальное ограничение для коэффициента автономии оценивается на
уровне 0,5, т.е
Это означает, что все обязательства предприятия могут быть покрыты
его собственными средствами. Выполнение ограничения важно не только для самого
предприятия, но и для его кредиторов. Рост коэффициента автономии
свидетельствует об увеличении финансовой независимости предприятия, снижение
риска финансовых затруднений в будущие периоды. Такая тенденция с точки зрения
кредиторов повышает гарантии погашения обязательств.
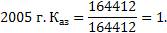
В нашей ситуации за последние два года КА выше
нормативного (в 2003 г. КА < 0,5) и имел тенденцию к повышению.
Это говорит об определенном прогрессе в финансово-хозяйственной деятельности
предприятия.
Легко просматривается взаимосвязь между коэффициентом соотношения
заемных и собственных средств (Кз/с) и коэффициентом автономии (КА):
Нормативное ограничение для Кз/с ≤ 1. В 2003 г. на предприятии виден явный перекос между собственными и заемными средствами, т.е. заемные
средства превышают допустимые нормы. Во многом это связано с большой
дебиторской задолженностью предприятию. В 2004 и 2005 годах наблюдается
нормальное соотношение собственных и заемных средств, что свидетельствует об
улучшении финансово-хозяйственной деятельности предприятия.
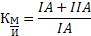
Коэффициент соотношения мобильных и иммобилизованных средств равен:
Этот коэффициент используют как ограничивающий предыдущий. Тогда
окончательный вид нормального ограничения для Коэффициента соотношения заемных
и собственных средств:
Коэффициент маневренности показывает, какая часть собственных
средств предприятия находится в мобильной форме, позволяющей относительно
свободно маневрировать этими средствами. В качестве относительной величины
рекомендуются 0,5.
Коэффициент обеспеченности собственными средствами
Нормальное ограничение, получаемое на основе статистических
усреднений данных хозяйственной практики для данного коэффициента имеет
следующий вид:
КО ≥ 0,6:0,8
В нашем случае в первые два года просматривается нехватка
собственных оборотных средств для формирования запасов и затрат. В 2005 г. КО удовлетворяет нормальному ограничению.
Коэффициент имущества производственного назначения (реальные активы)
рассчитывается следующим образом:
Нормальным считается ограничение:
В нашем случае просматривается тенденция увеличения этого
коэффициента из года в год, что говорит о повышении стоимости основных средств,
увеличением капитальных вложений, величины производственных запасов по
отношению к итогу баланса.
Коэффициент долгосрочного привлечения заемных средств (КДПЗ).

Этот коэффициент позволяет приближенно оценить долю заемных средств
при финансировании капитальных вложений.
Коэффициент краткосрочной задолженности
Коэффициент автономии источников формирования запасов и затрат
определяется следующим образом:
где источники запасов и затрат (С) = собственные оборотные средства
+ 500 + 510 + 600 + 620.
Коэффициент кредиторской задолженности и прочих пассивов
Анализ ликвидности активов предприятия.
Коэффициент абсолютной ликвидности.
Этот коэффициент показывает, какую часть краткосрочной задолженности
предприятие может погасить в ближайшее время. Нормальное ограничение имеет вид:
Кал ≥
0,2:0,7
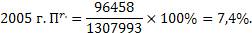
За анализируемый период данный показатель не соответствовал нормам,
что говорит о недостаточном покрытии наиболе срочных обязательств и
краткосрочных пассивов.
Коэффициент критической ликвидности отражает прогнозируемые
платежные возможности предприятия при условии своевременного проведения
расчетов с дебиторами.
Нормальное ограничение данного показателя имеет вид:
ККЛ ≥
0,8:1,0;
Значение ККЛ за анализируемый период не удовлетворяет
нормальному.
Коэффициент текущей ликвидности (покрытия) показывает платежные
возможности предприятия, оцениваемые при условии не только своевременных
расчетов с дебиторами и благоприятной продажи готовой продукции, но и продажи в
случае нужды прочих элементов материальных оборотных средств. Нормативное
значение КТЛ ≥ 2.
Таблица 3.3
|
Показатели
|
Нормальное ограничение
|
Годы
|
|
2003
|
2004
|
2005
|
|
1
|
2
|
3
|
4
|
5
|
|
1. Коэффициент автономии, Ка
|
≥ 0,5
|
0,14
|
0,64
|
0,84
|
|
2. Коэффициент мобильных и иммобилизованных средств, КМ/И
|
Х
|
0,92
|
0,417
|
0,074
|
|
3. Коэффициент соотношения заемных и собственных средств, КЗ/С
|
0,5
|
0
|
0,045
|
0,049
|
|
4. Коэффициент маневренности, КМ
|
≤ min (1; стр. 2)
|
6,14
|
0,56
|
0,19
|
|
5. Коэффициент имущества производственного назначения, КП.ИМ.
|
≥ 0,5
|
0,65
|
0,67
|
0,82
|
|
6. Коэффициент обеспеченности запасов и затрат собственными
источниками, КО
|
≥ 0,6:0,8
|
0
|
0,28
|
1,36
|
|
7. Коэффициент автономии источников формирования запасов и затрат, Каз
|
≤ стр. 6
|
1
|
0,33
|
1
|
|
8.Коэффициент абсолютной ликвидности, Кал
|
≥ 0,2:0,8
|
0,17
|
0,10
|
0
|
|
9. Коэффициент ликвидности, ККЛ
|
≥ 0,8:1,0
|
0,23
|
0,41
|
0,18
|
|
10. Коэффициент покрытия, КТЛ
|
≥ 2
|
0,49
|
0,69
|
0,37
|
Анализ коэффициентов рыночной устойчивости.
Совместный анализ, характеризующий финансовое состояние предприятия
приведен в табл. 3.3.
Следует заметить, что основная масса финансовых коэффициентов
предприятия не соответствует нормативному уровню, что требует разработки ряда
предложений по улучшению его финансового состояния.
4
ПРЕДЛОЖЕНИЯ ПО УЛУЧШЕНИЮ ФИНАНСОВОГО СОСТОЯНИЯ ООО «Оскар-К»
4.1 Бизнес-план финансового оздоровления
предприятия
Бизнес-план финансового оздоровления оформляется в виде единого
документа и приложений к нему. Бизнес-план для внутреннего пользования должен
включать четкое описание ожидаемых проблем и трудностей, и способов их
размещения.
В качестве разделов такого документа можно использовать следующие:
1. Общая характеристика предприятия:
- название предприятия и прочие формальные признаки;
- основные подразделения предприятия;
- основные экономические показатели за последние 2 – 3 года:
натуральные объемы производства, загрузка мощности предприятия, основные
потребители продукции, рынки сбыта и основные каналы продвижения товара на
рынок, основные поставщики предприятия, каналы снабжения, валовая прибыль,
выручка, себестоиость, количество работающих, в том числе управленческий
персонал, инженерно-технические работники и рабочие.
2. План чрезвычайных мероприятий по преодолению неплатежспособности
предприятия:
- организационные мероприятия – продажа активов, финансов и т.д.;
изменение внутренней организационной структуры; смена руководства; изменение
системы учета и контроля; изменение номенклатуры продукции; переподготовка кадров;
предварительное решение проблем задолженности;
- ожидаемые доходы и расходы, связанные с реализацией чрезвычайных
мер, источники покрытия расходов.
3. Стратегия финансового оздоровления:
- основное направление деятельности предпириятия;
- характеристика планируемых продуктов и услуг предприятия;
- наличие всех необходимых формальных прав и привилегий для
производства данных товаров и услуг;
- описание рынка, на котором будет действовать предприятие;
- основные внешние и внутренние факторы успеха и методы их
использования;
- основные препятствия внешнего порядка и методы их устранения.
4. План мероприятий.
5. План финансирования.
6. Расчет ожидаемой эффективности.
Таблица 4.1
Скорректированный расчет по
условиям изменения на рынке с учетом бизнес-плана по видам деятельности
предприятия
|
Показатели
|
Ед. изм.
|
2005 г.
|
2006 г.
|
|
Всего
|
А
|
Б
|
В
|
Всего
|
А
|
Б
|
В
|
|
1
|
2
|
3
|
4
|
5
|
6
|
7
|
8
|
9
|
10
|
|
1. Выпуск продукции
|
Шт.
|
3000
|
1000
|
1200
|
800
|
3240
|
1000
|
1272
|
800
|
|
2. Госзаказ 20%
|
Шт.
|
600
|
200
|
240
|
160
|
600
|
200
|
240
|
160
|
|
3. Инициативный заказ
|
Шт.
|
2400
|
800
|
960
|
640
|
2640
|
800
|
1032
|
640
|
|
4. Цена госзаказа
|
Руб./шт.
|
|
120
|
100
|
130
|
|
120
|
100
|
130
|
|
5. Свободная цена (с уч. маркетинга, увелич. на 10%)
|
Руб./шт.
|
|
180
|
140
|
150
|
|
162
|
140
|
165
|
|
6. Выручка от продажи по госзакази (п.2 х п. 4)
|
Руб.
|
68800
|
24000
|
24000
|
20800
|
68800
|
24000
|
24000
|
20800
|
|
Выручка от реализации инициативного заказа (п.2 х п.5)
|
Руб.
|
374400
|
144000
|
134400
|
96000
|
379680
|
129600
|
144800
|
105660
|
|
7. Себестоимость единицы продукции госзаказа
|
Руб.
|
|
90
|
75
|
100
|
|
90
|
72
|
100
|
|
8. Себестоимость всего госзаказа
|
Руб.
|
52000
|
18000
|
18000
|
16000
|
51280
|
18000
|
17280
|
16000
|
|
9. Себестоимость единицы продукции инициативного заказа
|
Руб.
|
|
150
|
100
|
120
|
|
150
|
96
|
120
|
|
10. Себестоимость всего инициативного заказа
|
Руб.
|
2928000
|
120000
|
96000
|
76800
|
295872
|
120000
|
99072
|
76800
|
|
11. Себестоимость всей продукции
|
Руб.
|
344800
|
138000
|
144000
|
92800
|
342152
|
138000
|
116352
|
92800
|
|
12. Общая сумма от продажи
|
Руб.
|
443200
|
168000
|
158400
|
116800
|
448480
|
153600
|
168480
|
126400
|
|
13. Прибыль от
|
Руб.
|
16800
|
6000
|
6000
|
4800
|
17520
|
6000
|
6720
|
4800
|
|
Продолжение таблицы 4.1
|
|
1
|
2
|
3
|
4
|
5
|
6
|
7
|
8
|
9
|
10
|
|
продажи госзаказа
|
|
|
|
|
|
|
|
|
|
|
14. Прибыль от продажи инициативного заказа
|
Руб.
|
81600
|
24000
|
38400
|
19200
|
83808
|
9600
|
45408
|
28800
|
|
15. Балансовая прибыль
|
Руб.
|
98400
|
30000
|
44400
|
24000
|
101328
|
15600
|
58848
|
33800
|
|
16. Финансовый резерв
|
|
|
|
|
|
|
|
|
|
|
17. Местные налоги
|
Руб.
|
2952
|
|
|
|
3040
|
|
|
|
|
18. Ставка налога на прибыль
|
%
|
24
|
|
|
|
24
|
|
|
|
|
19. Численность работников
|
Чел.
|
100
|
|
|
|
100
|
|
|
|
|
20.Сумма налога на прибыль
|
Руб.
|
29520
|
|
|
|
35465
|
|
|
|
|
21. Чистая прибыль
|
Руб.
|
65928
|
|
|
|
62823
|
|
|
|
|
22. Фонд риска
|
10%
|
6593
|
|
|
|
6282
|
|
|
|
|
23. Фонд потребления
|
40%
|
26371
|
|
|
|
25128
|
|
|
|
|
24. Фонд на выплату дивидендов
|
10%
|
6593
|
|
|
|
6282
|
|
|
|
|
25. Фонд накопления
|
20%
|
13186
|
|
|
|
12564
|
Тыс. руб.
|
50
|
|
|
|
|
|
|
|
|
27. Инвестиции в снижение материальных затрат: А на 3%, Б на 4%, В на
5%
|
Тыс. руб.
|
40
|
|
|
|
|
|
|
|
|
28. Инвестиции в маркетинг: А на 5%, Б на 10%, В на %.
|
|
|
|
|
|
|
|
|
|
|
29. Основные фонды
|
Тыс. руб.
|
250
|
|
|
|
262
|
|
|
|
|
30. Оборотные средства
|
Тыс. руб.
|
150
|
|
|
|
162
|
|
|
|
|
31. Удельная прибыль на единицу продукции
|
|
|
30
|
37
|
30
|
|
15,6
|
46,3
|
42
|
|
32. Нераспределенная прибыль
|
20%
|
13186
|
|
|
|
12564
|
|
|
|
|
33. Ставка дивиденда
|
%
|
1,5
|
|
|
|
1,48
|
|
|
|
Расчет производственной программы, включенной в бизнес-план,
позволяет распределить объем работ по конкретным строительным объектам и
просчитать прибыль, ее распределение, удельную прибыль по видам работ.
Программа, составленная с учетом бизнес-плана, позволяет увеличить
объем прибыли на 15%, то есть сумма экономического эффекта (ЭФ) составит:
ЭФ = 101328 – 98400 = 2928
руб.
Удельная прибыль по видам работ на единицу продукции составит:
Жилой дом, уменьшилась на 14,4 руб.
30 – 15,6 = 14,4 руб.
Товары народного потребления, увеличилась на 9,3 руб.
46,3 – 37 = 9,3
4.2 Программа финансового оздоровления
предприятия
Задачи, решаемые программой:
1. Анализ
технико-экономического развития предприятия за 2003 – 2005 г.г. и выявление причин неплатежеспособности (изложены в предыдущих разделах)
2. Определение
концепции развития предприятия.
3. Расчет
основных показателей плана производства на 2005 – 2006 г.г.
4. Выявление
источников финансирования программы.
5. Разработка
мероприятий по восстановлению платежеспособности и поддержке эффективной
хозяйственной деятельности.
Основные причины неплатежеспособности:
1) Низкий уровень
использования производственных мощностей;
2) Значительная
дебиторская задолженность за отгруженные товары, выполненные СМР и неоплаченные
в срок;
3) Падение
платежеспособного спроса на СМР;
4) Привлечение
коммерческих кредитов для пополнения оборотных средств по высоким банковским
ставкам, ввиду отсутствия льготного кредитования.
В целях разработки мероприятий по выходу из кризиса исследована
возможность реструктуризации производственных мощностей для производства блоков,
решеток и бетонной смеси на базе предприятия с целью их реализации на сторону.
Учитывая невозможность привлечения инвестиций с целью полного
перепрофилирования производства, единственным вариантом в настоящее время
является сохранение специализации предприятия по выполнению
строительно-монтажных работ.
Дальнейшее развитие планируется осуществлять по следующим
направлениям: строительно-монтажные работы, подсобное производство, оказание
услуг строительными машинами и механизмами, имеющимися в наличии, сторонним
организациям, продажа изделий, получаемых по бартеру в счет выболненных работ.
Дополнительные источники финансирования программмы выявлены на
основании внутренних резервов предприятия:
1. Внедрение
системы выполнения СМР и продажи продукции подсубного производства с
представлением различных форм льгот и скидок, обеспечивающих ускорение оборота
денежных средств; создание эффективной системы стимулирования работников
управления в прямой зависимости от сумм продаж по контрактам, заключенным при
их содействии, при продаже подсобного производства; проведение реструктуризации
сбытовой службы для повышения эффективности их работ при продаже продукции,
получаемой по бартеру: сумма 10 тыс. руб.
2. Сокращение
дебиторской задолженности: сумма 53 тыс. руб.
3. Сдача в
аренду объектов, свободных площадей и помещений: сумма 24 тыс. руб.
4. Продажа
неиспользованного оборудования: сумма 5 тыс. руб.
5. Продажа
неиспользованных материалов и покупных изделий: сумма 3 тыс. руб.
6. Продажа
объектов незавершенного строительства: сумма 32 тыс. руб.
Таким образом, реализация усилиями работников предприятия мер
кризисного управления позволит получить к концу 2004 г. финансовое обеспечение на сумму: 127 тыс. руб.
Рассчитаем структуру и потребности в собственных оборотных
средствах.
Всего собственных оборотных средств:
В том числе: 1) сырье и материалы – 88554 руб.
2) МБП – 12986 руб.
3) незавершенное производство – 1331 руб.
Дополнительная потребность в собственных оборотных средствах – 24179
руб.
В том числе:
1) для доукомплектования имеющихся строительных машин и механизмов с
целью продажи ими услуг на сторону – 13782,03 руб.
2) для подготовки к зиме – 10396,97 руб.
Расчет суммы затрат на осуществление мер, обеспечивающих
рентабельную работу предприятия:
- дополнительная потребность в собственных оборотных средствах 0
24179 руб.,
- кредиторская задолженность на 01.01.06 – 0 руб.,
- итого потребность в денежных средствах – 24179 руб.,
- дополнительные источники финансирования (стоимость внутренних
резервов),
- сумма затрат на осуществление мер, обеспечивающих рентабельную
работу предприятия, включая погашения текущей задолженности и необходимость
пополнения оборотных средств.
4.3 Модель дисконтированных денежных
потоков
Техника дисконтированных денежных потоков – метод оценки
инвестиционных предложений, используя концепцию изменения стоимости денег во
времени, метод чистой текущей приведенной стоимости и метод внутреннего
предельного уровня доходности.
Динамический (дисконтный) срок окупаемости проекта – количество лет,
необходимых для возмещения первоначальных затрат с учетом дисконтирования, то
есть определяется момент времени, когда дисконтированные денежные потоки
доходов будут равны дисконтированным денежным потокам затрат.
Коэффициент текущей (дисконтированной) стоимости для 2004 г. равен:
КДИСК = 1/(1 + r)n,
где r – выбранная ставка дисконта,
n – число лет,
(r = 0,4 в год или 0,1 в квартал)
КДИСК = 1/(1+0,1)2
= 0,8264 – в 2005 г.
Остаточная стоимость денежных потоков за пределами планируемого
периода – стоимость всех денежных потоков, которые могут быть получены по
истечении планируемого периода. Определяется с помощью так называемой модели
Гордона:
1. Предполагается,
что темпы прироста денежного потока стабилизируются за пределами планируемого
года (g) g = 1,3 (на 130%);
2. Денежный
поток первого года после прогнозируемого периода (n +
1) года – (CFn+1) рассматривается
как произведение денежного потока последнего года прогнозируемого периода CFn на темп роста (1 + g)
CF = 240,1(1 + 1,3) = 552,23 3-го года
Таблица 4.2
Модель дисконтирования
денежных потоков. Тыс. руб.
|
Показатели
|
2005
|
2006
|
Итого
|
|
I кв.
|
II кв.
|
III кв.
|
IV кв.
|
|
1
|
2
|
3
|
4
|
5
|
6
|
7
|
|
1. Чистая прибыль
|
90,1
|
22,5
|
25,3
|
24,3
|
28,9
|
101
|
|
2. Чистый денежный поток
|
173
|
44,9
|
47,8
|
46,2
|
53,1
|
193,5
|
|
2.1 Чистая прибыль
|
90,1
|
22,5
|
25,3
|
24,3
|
28,9
|
101
|
|
Продолжение таблицы 4.2
|
|
1
|
2
|
3
|
4
|
5
|
6
|
7
|
|
2.2 Износ
|
60,3
|
14,9
|
16,9
|
16,8
|
18,9
|
67,5
|
|
2.3 Рост (погашение) задолженности
|
127
|
31,3
|
35,6
|
34,1
|
39,8
|
142,2
|
|
2.4 Рост (погашение) дебиторской задолженности
|
59,8
|
14,5
|
16,1
|
15
|
19,3
|
67
|
|
2.5 Выплата процентов
|
9,7
|
2,3
|
2,7
|
2,5
|
3,4
|
10,8
|
|
2.6 Средства от продажи (покупки) основных средств
|
138
|
36,1
|
38,5
|
37
|
41,2
|
154
|
|
2.7 Капиталовложения
|
-
|
-
|
-
|
-
|
-
|
-
|
|
2.8 Прирост оборотного капитала
|
38,5
|
9,5
|
10,7
|
10,3
|
12,0
|
43
|
|
3. Остаток денежных средств на начало периода
|
57,7
|
|
|
|
|
|
|
4. Накопленные денежные средства на конец периода
|
0
|
|
|
|
|
|
|
5. Коэффициент текущей (дисконтной) стоимости при выбранной ставке
дисконта
|
0,5
|
0,8
|
0,8
|
0,8
|
0,8
|
|
|
6. Текущая (дисконтная) стоимость денежных потоков
|
115,3
|
56,1
|
59,8
|
57,8
|
66,4
|
240,1
|
|
7. Сумма текущих стоимостей денежных потоков
|
115,3
|
56,1
|
59,8
|
57,8
|
66,4
|
240,1
|
|
8. Остаточная (ликвидационная) стоимость денежных потоков
|
CFn (1 + g) / C – g = 240,1
(1 + 1,3) / 0,4 – 1,3 = -613,6
|
|
9. Текущая стоимость остаточной стоимости за пределами планируемого
периода
|
КДИСК = 0,3644
|
|
|
|
-223,6
|
|
10. Чистая (текущая) дисконтированная стоимость
|
15,3
|
|
|
|
|
+16,5
|
3. Остаточная
стоимость за пределами n-го периода
CFn(1 + g) / σ – g = 552,23 / 0,4 –
1,3 = 552,23 / -0,9 = -223,6
4. Коэффициент
дисконтирования для 3-го года
КДИСК = 1 / 1 + 0,43 = 0,3644
Первый год планируемого периода (2005) характеризуется тем, что
сумма текущих стоимостей денежных потоков отрицательна, так как
дисконтированные потоки затрат выше дисконтированных потоков доходов. В 2006 г. этот отрицательный результат исчезает и наступает улучшение показателей.
Чистая текущая (дисконтированная) стоимость (NPV)
проекта получилась положительной NPV = +16,5. Следовательно,
предложенный вариант считается приемлемым.
4.4 Получение дополнительных оборотных
средств в результате более рационального использования основных фондов
На балансе предприятия имеется пустующее помещение, общая площадь
которого составляет 110 м3. Оно находится в нормальном техническом
состоянии и не требует дополнительных затрат на ремонт. На содержание данного
помещения предприятие ежемесячно тратит 1,2 тыс. руб., следовательно, годовая
сумма расходов будет равна 14,4 тыс. руб.
Предполагается сдать в аренду пустующее помещение с ежемесячной
арендной платой, составляющей 3,5 тыс. руб., а в год предполагается получить 42
тыс. руб. дополнительного дохода.
В сумму арендной платы включены:
- затраты на помещение – 14,4 тыс. руб.
- НДС 18% с суммы дополнительного дохода – 8,4 тыс. руб.
- налоговые платежи – 1,68 тыс. руб.
Таким образом, сумма затрат на помещение при сдаче его в аренду
составит:
ΔС = 14,4 + 8,4 + 1,68 = 24,48 тыс. руб.
Следовательно, сумма балансовой прибыли будет равна:
БП = 42 – 24,48 = 17,52 тыс. руб.
Учитывая также налог на прибыль, получаемую в результате сдачи в
аренду пустующего помещения, сумма балансовой прибыли сократится на 24%:
НП = БП х 24% = 4,20 тыс.
руб.
Следовательно, остаток будет равен 11,388 тыс. руб.
Экономический эффект данного мероприятия будет равен:
Э = 42 – (24,5 – 4,20) =
13,30 тыс. руб.
4.5 Уменьшение убытков из-за простоев машин
Эти убытки рассчитываются по формуле:
У = Цм х Тn + (B x Tn x Cy) / 100,
где У – убытки организации, вызванные простоем механизмов, руб.
Тn – время простоя, час
В – выработка, руб. / маш. час
Су – уровень плановых накоплений с учетом задания по
снижению себестоимости, %
Цм – планово-расчетная цена за 1 маш. час, руб.
Сделаем расчеты для экскаваторов.
Среднесменная производительность экскаватора определяется из
выражений, полученных в результате обработки методами математической статистики
данных ЕН и Р.
βi = -39,30 + 791,47 Ei I группа грунта
βi = -35,23 + 639,35 Ei II группа грунта
βi = -55,48 + 543,62 Ei III группа грунта
где βi – среднесменная
выработка, руб.
Ei – емкость ковша 1 экскаватора,
м3
Например, для экскаватора ЭО – 2621 выработка для I-ой
группы грунта β1 = -39,30 + 791,47 х 0,25 м3
У = 2,65 х 860 + (3,34 х 860 х 11,11) / 100 = 2598,1 руб. = 2,60
тыс. руб.
4.6 Продажа незадействованных в
производстве машин и механизмов
С целью разгрузки основных фондов и повышения коэффициента сменности
предлагается, как вариант, продать пять единиц техники, а именно:
Таблица 4.3
|
Наименование машин
|
Количество
|
Остаточная балансовая стоимость, тыс. руб.
|
|
Автобетоновоз
|
1
|
13,2
|
|
Автокран
|
1
|
7,94
|
|
Автосамосвал ЗИЛ
|
1
|
15,78
|
|
Автомобиль УАЗ – 464
|
2
|
141,28
|
|
ИТОГО:
|
5
|
51,2
|
Средства от продажи механизмов пойдут в фонд развития производства.
Затратная часть до и после продажи машин приведена в табл. 4.4.
Таблица 4.4
|
Элементы затрат, тыс. руб.
|
До продажи
|
После продажи
|
|
Материальные затраты
|
463,9
|
461,7
|
|
Заработная плата
|
98,8
|
93,0
|
|
Отчисления в бюджет
|
16,9
|
15,8
|
|
Амортизация основных фондов
|
76,6
|
73,4
|
|
Прочие расходы
|
109,5
|
108,1
|
|
ИТОГО:
|
765,7
|
752,0
|
Таблица 4.5
Исходные данные для расчета
снижения себестоимости по предлагаемому варианту
|
Показатели
|
Существующее положение
|
Предлагаемое решение
|
|
1. Годовой объем, тыс. т.
|
96,7
|
96,7
|
|
2. Количество единиц машин и оборудования
|
24
|
19
|
|
3. Количество маш. час. работы в год на 1 машину
|
1298,7
|
1640,5
|
|
на общее количество машин
|
31169,6
|
31169,6
|
|
4. Балансовая стоимость машин и механизмов, тыс. руб.
|
437,3
|
386,1
|
|
5. Годовая сумма амортизации, тыс. руб.
|
54,7
|
48,3
|
|
6. Сумма амортизационных отчислений на 1 маш. час., руб.
|
1,75
|
1,55
|
|
7. Затраты ТО и ТР одного механизма
|
0,153
|
0,193
|
|
8. Накладные расходы – 3,0% ФОТ механизаторов на 1 маш. час.
|
0,58
|
0,46
|
Общее снижение себестоимости определяется по изменяющимся статьям
себестоимости маш. час., в одном случае такими являются сумма амортизации и
часть накладных расходов. В связи с улучшением внутрисменного использования
техники возможен рост затрат на техобслуживание и текущий ремонт, эту величину
можно принимать как величину обратно пропорциональную изменению
продолжительности работы техники, в конкретном случае оно равно 12,6%. Принимаем
в такой же пропорции увеличение затрат на ТО и ТР (0,153 х 1,126 = 0,193).
Тогда снижение себестоимости составит: ΔС = (С1 – С2)А2
ΔС = 96,7 (1,75 + 0,15 + 0,58) – (1,55 + 0,19 + 0,46) = 27,1
тыс. руб.
4.7 Организация закупки материалов
Для снабжения материалами производства на предприятии используется
метод закупки больших партий материалов на все объекты, находящиеся в работе.
Данный метод дает снижение расходов по складированию материалов за счет
покрытия части расходов полученным при оптовой покупке дисконтом.
Рассчитаем стоимость закупки материалов по методу оптовых скидок в
соответствии с формулой:
С = К х Ц,
где С – стоимость приобретения партии материала, руб.,
К – количество приобретаемого материала, т.,
Ц – цена за 1 т. материала, руб.
С = 1500 х 1500 = 2250000 руб.
Размер дисконта (Д) составляет 5% или 112500 руб.
Рассчитаем стоимость хранения всей партии на весь срок хранения по
формуле:
СХОПТ =
м х С1 х tx,
где С – стоимость хранения всей партии, руб.;
м – вес партии, т.;
С1 – стоимость хранения 1 т. в месяц, руб.;
tx – время хранения на складе,
месяц.
СХОПТ = 1500 х 62,5 х 1,62 = 151875 руб.
Р = СХОПТ
– Д,
где Р – разница дисконта и стоимости хранения, руб.
Р = 151875 – 112500 = 39375 руб.
Расходы по обработке грузов рассчитываются по формуле:
ССКЛОПТ
= м х От х к,
где ССКЛОПТ – расходы по обработке грузов,
руб.;
От – стоимость складских операций (разгрузка – погрузка)
на 1 т. материалов, руб.;
к – количество грузовых операций (погрузка – выгрузка).
ССКЛОПТ = 1500 х 4,92 х 1 = 7380 руб.Трансакционные
издержки на закупку оптовой партии материала (ИТРОПТ)
составляют 450 руб.
Общая стоимость хранения оптовой партии материала рассчитывается по
формуле:
СХ ОБЩОПТ
= Р + ССКЛОПТ + ИТРОПТ,
где СХ ОБЩОПТ – общая стоимость хранения
оптовой партии материала, руб.
СХ ОБЩопт = 39375 + 7380 + 450 = 47205 руб.
Таким образом, по методу оптовой закупки размер дисконта полностью
не покрывает расходы по хранению всей партии закупки и общая стоимость хранения
оптовой партии материала составляет 47205 руб.
В качестве мероприятия по снижению издержек на хранение материалов в
дипломном проекте предлагается осуществление закупок методом расчета «точки
заказа», т.е. для организации закупок произвести расчет, при каком минимальном
остатке материалов на складе необходимо делать заказ для восполнения запаса.
Суть метода состоит в расчете нормы потребности материалов на один день и срока
пополнения запаса с момента поступления заявки от строительного участка. Время
на выполнение процесса закупки материалов на один день и срока пополнения
запаса с момента поступления заявки от строительного участка. Время на
выполнение процесса закупки материалов включает в себя следующие операции:
получение заявки на приобретение; проведение переговоров с поставщиком по цене
и условиям договора; получение счета; оплата; получение материала.
Произведем расчет «точки заказа». «Точка заказа» рассчитывается по
следующей формуле:
ТЗ = НР
х tВ + ЗС,
где ТЗ – точка заказа, т.;
НР – норма расхода на 1 день, т.;
tВ – время восполения запаса,
дни;
ЗС – страховой запас, т.
ЗС = НР
х tВ х 0,5,
ЗС = 30,75 х 8 х 0,5 = 124 т;
ТЗ = 30,75 х 8 + 124 = 370 т.
При этом в среднем вес партии хранения на складе не меняется в
зависимости от прихода и расхода материалов. Т.к. он постоянно пополняется.
Стоимость хранения на складе (СХТЗ) составляет:
СХТЗ = 370 х 62,5 х 1,62 = 37463 руб.
Складские расходы (ССКЛТЗ) составляют:
ССКЛТЗ = 370 х 4,92 х 4 = 7281,6 руб.
Трансакционные издержки на закупку материала в соответствии с
методом «точка заказа» (ИТРТЗ) составляют 1800 руб.
Общая стоимость хранения материала в соответствии с методом расчета
«точки заказа» рассчитывается по формуле:
СХ ОБЩТЗ
= СХТЗ + ССКЛТЗ + ИТРТЗ,
где СХ ОБЩТЗ – общая стоимость хранения
материала по методу расчета «точки заказа», руб.
СХ ОБЩТЗ = 37463 + 7281,6 + 1800 =
46544,6 руб.
За счет внедрения мероприятия по организации закупки материалов
методом расчета «точки заказа» резерв снижения стоимости материалов можно
рассчитать по формуле:
где УР – процент снижения стоимости материалов, %.
Таким образом, резерв снижения стоимости материалов от внедрения
мероприятия по организации закупки материалов методом расчета «точки заказа»
составляет 1,4% или 3,58 тыс. руб.
4.8 Снижение материалоемкости продукции
Материалоемкость продукции – отношение суммы материальных затрат к
стоимости произведенной продукции, показывает, сколько материальных затрат
необходимо произвести или фактически приходится на производство единицы
продукции.
Снижение материалоемкости продукции – это резерв снижения издержек.
Учитывая, что в стоимости некоторых видов ремонтно-строительных работ доля
материалов составляет до 80%, незначительное снижение этого показателя будет
заметно в общем объеме.
Мероприятия по снижению материалоемкости включают в себя:
- улучшение качества поставляемых материалов;
- замена одного материала другим при неизменном качестве конечного
продукта;
- совершенствование технологий производства;
- применение современной техники;
- повышение квалификации рабочих;
- изменение норм расходов, отходов, потерь.
Как один из вариантов снижения материалоемкости рассмотрим
мероприятия по экономии расхода металла. Самое эффективное направление снижения
расхода металла в железобетоне – применение для арматуры высокопрочной стали.
Арматурная сталь разных классов и видов является в известных пределах
взаимозаменяемой. Количество стали любого класса может быть выражено в условно
эквивалентном по прочности приведенном количестве стали класса А-1.
где Т – количество стали любого класса, т.;
Т1 – количество стали класса А-1, т.;
КПР – коэффициент приведения стали данного класса к стали
класса А-1.
В табл. 4.6 приведены значения коэфициента приведения и экономии
металла при использовании арматурной стали различных классов.
Таблица 4.6
Экономия металла при
использовании стержневой арматуры различных классов
|
Класс арматуры
|
Коэффициент приведения
|
Экономия металла, %
|
Класс арматуры
|
Коэффициент приведения
|
Экономия металла, %
|
|
А-I
|
1,00
|
0
|
A-V
|
2,20
|
54,7
|
|
А-II
|
1,21
|
17,0
|
Ат-IV
|
1,95
|
48,7
|
|
A-III
|
1,43
|
30,1
|
Ат-V
|
2,20
|
54,7
|
|
A-IV
|
1,95
|
48,7
|
Ат-VI
|
2,40
|
58,4
|
Экономия металла достигается также при более точных расчетах
конструкций в соответствии с действительными условиями их работы под нагрузкой,
приближением армирования к требованиям расчета, оптимизация конструктивных
решений. При изготовлении металличепских конструкций эффективно применение
легированных сталей, экономичных профилей металлопроката. Применение трубчатых
профилей в строительных конструкциях по сравнению с уголковыми дает экономию до
30%.
4.9 Применение на предприятии средств малой
механизации и перспективы их применения
Одним из наиболее широко применяемых видов инструмента при
проведении различных работ в строительстве, связанных с разрушением дорожных
покрытий, кирпичных кладок, железобетонных и других строительных конструкций,
являются отбойные молотки. Их массовое использование показало, что это
незаменимый помощник на строительных площадках. Основным приводом отбойных
молотков традиционно является пневмопривод. Достаточно высокая надежность и
простота конструкции пневматических отбойных молотков является их основным
достоинством.
Вместе с тем низкий коэффициент полезного действия (КПД) около 5%,
незначительная мощность удара, а также смещенный в сторону положительный
диапазон рабочих температур ограничивают возможности его применения, требуют
значительных энергозатрат. А также ведут к увеличению капитальных затрат. Кроме
того, использование впрыска масла в ресивер компрессора для охлаждения
сжижаемого воздуха приводит к повышенному загрязнению окружающей среды, что
вместе со значительными шумовыми и вибрационными показателями компрессоров и
пневматических отбойных молотков противоречит существующим требованиям
экологии.
Исследования по устранению указанных недостатков, проведенные рядом
стран, показали, что данное направление развития инструмента практически себя
исчерпало. Дальнейшее повышение давления воздуха для увеличения энергии
единичного удара экономически нецелесообразно, а снижение массогабаритных
показателей энергоносителя (компрессора) весьма проблематично. На смену
пневмоинструменту все чаще приходит инструмент с электрическим или
гидравлическим приводом. Наиболее перспективным является гидравлический.
В качестве мероприятия по снижению издержек в дипломном проекте
предлагается применение инструмента с гидравлическим приводом.
Преимущества гидропривода следующие. Прежде всего, это более высокий
КПД около 20%, что в 4 – 5 раз превышает КПД пневматических отбойных молотков.
Кроме того, по своим техническим характеристикам гидравлические отбойные
молотки значительно мощнее, имеют более низкий уровень шума и вибрации, что
играет немаловажную роль при работе в городских условиях. Замкнутая система
«энергоноситель – отбойный молоток» позволяет применять их в условиях низких
температур до – 40оС, а также сократить до минимума негативное
воздействие на окружающую среду.
Преимущества гидропривода заключаются также в возможности создания
энергоносителя с незначительными массогабаритными показателями, что
обеспечивает возможность работы гидрофицированного инструмента в местах с
ограниченными доступом и площадью, в помещениях и подземных выработках, а также
использования в качестве привода гидросистемы строительных и дорожных машин.
Высокая энергия и частота ударов позволяют выполнять с помощью этих
молотков работы, недоступные пневматическому и электрическому инструменту.
Подсоединение гидравлических отбойных молотков к энергоносителю
осуществляется с помощью бысстроразъемных соединений, что позволяет обеспечить
быстрое соединение и смену инструмента практически без утечек рабочей жидкости.
Незначительные массогабаритные показатели маслостанций позволяют
осуществлять их перевозку различными транспортными средствами, а также работу в
местах с ограниченным доступом и площадью, в помещениях и подземных выработках,
где не могут быть использованы компрессоры. Блок согласования позволяет
обеспечить согласование рабочих параметров гидрофицированного инструмента с
гидросистемой дорожных и строительных машин, позволяя расширить диапазон
применения тхеники, сделать ее универсальной.
4.10 Контроль за использованием
энергоресурсов
Для снижения доли издержек, приходящихся на статью расходов
«топливо, энергия для технических целей», возможно применение двух подходов:
- контроль за расходом потребляемой электроэнергии, воды, природного
газа;
- внедрение энергосберегающих технологий.
При проведении строительных работ основное потребление
энергоресурсов приходится на применение электроинструмента, электросварки.
Газосварки и другое. В текущий момент на строительной площадке предприятия
используется технология фактического использования энергоресурсов. Что
подразумевает списание на издержки производства фактически израсходованной
электроэнергии и газа в процессе выполнения работ по текущему объекту
ежемесячно. Данная технология имеет резервс снижения издержек за счет
возможного неэффективного использования энергии по причине отсутствия
нормирующих показателей.
К примеру, при текущей политике начисления издержке по факту, на
одну тонну металлоконструкций при монтаже каркасов одноэтажных производственных
зданий одно- и многопролетных без фонарей (высотой до 15 м без крана) используется 1 кг газа пропан-бутан и 3 куб.м. кислорода чистотой 99% (ГОСТ 5583-78).
В то время как по СНИПам предусмотрен расход газа пропан-бутан и кислорода
соответственно 0,8 кг и 2,5 куб.м.
В результате при внедрении на производстве системы нормирования
расхода энергоносителей на производство единичных объемов можно добиться
экономии 20% на одной тонне металлоконструкций.
Определенной экономической эффективности можно достичь и за счет
внедрения энергосберегающих технологий. К примеру, применение при работе
электроинструмента, потребляющего наименьшее количество электроэнергии или
инструмента, работающего от более дешевого энергоносителя. В качестве
мероприятия можно предложить замену существующего пневмокомпрессора,
работающего на дизельном топливе, на электроперфоратор.
5 ЭКОНОМИЧЕСКАЯ ОЦЕНКА
ЭКОЛОГИЧЕСКИХ МЕРОПРИЯТИЙ
5.1 Актуальность вопросов обеспечения
безопасной деятельности человека в городской среде и чрезвычайных ситуациях, а
также по защите окружающей среды и рациональному использованию природных
ресурсов
Охрана окружающей среды и рациональное использование ее ресурсов в
условиях бурного роста промышленного производства стала одной из актуальнейших
проблем современности. Результаты воздействия человека на природу необходимо
рассматривать не только в свете развития технического прогресса и роста
населения, но и в зависимости от социальных условий, в которых они проявляются.
Отношение к природной среде является мерой социальных и технических достижений
человеческого общества, характеристикой уровня цивилизации. Термин «охрана
окружающей среды» не совсем удачен. Под ним понимаются экономические, правовые,
социально-политические и организационно-хозяйственные механизмы, которые бы
привели нагрузку на окружающую среду в соответствие с ее «пределом прочности».
В этой связи, весьма актуальным становится экономический аспект проблемы.
Концепции взаимодействия общества с природным комплексом Земли как
средой его жизни формируется на стыке естественно-исторических и
социально-экономических процессов. Взаимосвязь природы и человечества находит
выражение в современной экологии. Необходимостью стало выявление четких
количественных характеристик общественного производства и масштабов его участия
в формировании состояния и изменений единого глобального процесса развития
Земли.
Проблема глобальной экологии – это, прежде всего, проблема отношений
человечества с биосферой. Глобальная экология выступает как общая теоретическая
основа для изучения конкретных взаимодействий человечества с отдельными
элементами природного комплекса биосферы.
В качестве основных задач в хозяйственно-экологической деятельности
экология выдвигает следующие требования:
а) обеспечение гармоничного взаимодействия объекта городской среды и
его естественного окружения;
б) уменьшение негативного техногенного воздействия на состояние
почвы, воздушного и водного бассейнов;
в) защита ландшафтов и рациональное использование территориальных
ресурсов.
Важным элементом в системе экономического механизма
природопользования являются платежи за загрязнение природной среды. Они
призваны компенсировать эколого-экономический ущерб, экстреналии, наносимые
предприятиями и организациями в ходе деятельности. Хотя очевидно, что сейчас
они компенсируют лишь незначительную часть ущерба. Платежи за загрязнение
являются средством наказания предприятий – загрязнителей и средством реализации
принципа «загрязнитель платит».
В зависимости от степени воздействия на окружающую среду
устанавливаются два вида нормативов платы: за предельно допустимые выбросы
(сбросы, размещение отходов) загрязняющих веществ в природную среду (в рамках
установленных нормативов) и за превышение этих показателей. В последнем случае
платежи возрастают в несколько раз. Существенным моментом является и механизм
образования источников платежей. Платежи в пределах нормативов загрязнения
могут включаться в себестоиость и тем самым оплачиваются потребителем.
Сверхнормативные платежи образуются за счет прибыли предприятий, что снижает их
рентабельность.
Такая система платежей в случае установления достаточно высоких
нормативов стимулирует производителя загрязнений к их минимизации. Современные
нормативы довольно низкие, однако само их существование играет важную роль для
рождения новой ситуации, в условиях которой необходимы адаптация экономики к
экологическим ограничениям, изменение поведения производителей. Другой
стимулирующий момент – возможность учета в сумме платежей и тем самым их
уменьшения за счет затрат, сделанных предприятием на природоохранные работы.
Создание рынка природных ресурсов целесообразно в условиях их
дефицитности и возможности получения значительных средств от их продажи. Это
особенно актуально в условиях огромного природного богатства России и дефицита
средств для его рационального использования и охраны.
5.2 Пояснительная часть
Одной из задач экологической оценки объекта является выявление
опасных и вредных факторов.
Автопарк ООО «Оскар-К» располагает грузовыми и легковыми
автомобилями, строительными машинами и механизмами. Весь этот транспорт
загрязняет атмосферу выхлопными газами, а именно оксидами азота, сернистым и
угарным газом.
Приведем краткую характеристику данных загрязняющих веществ.
Большую опасность представляет окись углерода и углеродосодержащие
соединения. Он воздействует на нервную и сердечно-сосудистую систему, вызывает
удушье. Первичные симптомы отравления оксидом углерода (появление головной
боли) возникает у человека через 2 – 3 часа его пребывания в атмосфере,
содержащей 200 – 220 мг/м3 СО; при более высоких концентрациях СО
появляется ощущение пульса в висках, головокружения.
Токсичность СО возрастает при наличии в воздухе оксидов азота. В
этом случае концентрацию СО в воздухе необходимо снижать в ~ 1,5 раза.
Опасно хроническое отравление этим газом, что приводит к быстрой
утомляемости, вызывает головную боль, головокружение, нарушение сна, апатию,
сердцебиение, одышку и может вызвать бесплодие. При усиленной физической работе
в дыхание даже незначительных количеств окиси углерода может привести к
инфаркту миокарда.
Отмечено, что сочетание ничтожно малых количеств этилена с окисью
углерода вызывает в растениях увеличение клеточных вакуолей, что затрудняет их
дыхание, приводя к потери листьев, бутонов и гибели.
Оксиды азота NO2. В атмосферу
выбрасывается в основном диоксид азота NO2 –
бесцветный, не имеющий запаха ядовитый газ, раздражающе действующий на органы дыхания.
Особенно опасны оксиды азота в городах, где они, взаимодействуя с
углеводородами выхлопных газов. Образуют фотохимический туман – смог.
Отравляющее действие оксидами азота начинается с легкого кашля. При повышении
концентрации возникает сильный кашель, рвота, иногда головная боль. При
контакте с влажной поверхностью слизистой оболочки оксида азота образует
кислоты HNO3 и HNO2,
которые приводят к отеку легких.
Углеводороды и эфиры обладают наркотическим воздействием, в малых
концентрациях вызывают головную боль, головокружение и т.п. Так, при вдыхании в
течение 8 ч. паров бензина в концентрации ~ 600 мг/м3 возникают
головные боли, кашель, неприятные ощущения в горле.
В атмосферу также выбрасываются пыли различного происхождения и
химического состава (органическая – древесная и неорганическая – пыль извести,
гипса). Дисперсный состав пыли определяет их проникающую способность в организм
человека. Особую опасность представляют токсические тонкодисперсные пыли с
размером частиц 0,5 – 10 мкм, которые легко проникают в органы дыхания.
Пыль также вредно влияет на живые организмы, поражая в первую очередь
органы дыхания; является переносчиком болезнетворных агентов. Пыль – это
мельчайшие частицы твердого вещества, которые образуются как в естественных
условиях, так и на производстве при дроблении и размоле твердых веществ, при изготовлении
изделий, их обработке и транспортировке. На территории строительной площадки
преобладает неорганическая пыль – пыль цемента, щебня, песка. Степень вредного
воздействия пыли на организм человека зависит от физико-химических свойств,
вида и концентрации пыли в воздухе.
Пыль представляет собой не только вредный, но и опасный фактор, так
как она может стать причиной пожаров.
Одним из вредных факторов, отрицательно влияющих на здоровье
работников ООО «Оскар-К», является транспортная вибрация. Вибрация представляет
собой механические колебания, простейшим видом которых являются гармонические
колебания.
5.3 Расчетная часть
ООО «Оскар-К» имеет большой парк автотранспортных средств, который
включает грузовые легкие, грузовые тяжелые и легковые автомобили, строительные
машины и механизмы. Основными компонентами выхлопных газов являются: оксиды
углерода и азота, двуокись серы, сажа, свинец. Все эти вещества являются
токсичными и их наличие в выхлопных газах зависит от вида топлива, возраста
парка автомобилей, типа двигателя.
Плату за загрязнение атмосферного воздуха для передвижных источников
подразделяют на:
- плату за допустимые выбросы;
- плату за выбросы, превышающие допустимые.
Плата за допустимые выбросы загрязняющих веществ в атмосферу
технически исправного транспортного средства, отвечающего действующим
стандартам определяется по формуле:
П = Уе х Те х Кэ,
где Уе – удельная плата за допустимые выбросы загрязняющих веществ,
образующихся при использовании 1 тонны топлива, руб./т.;
Те – количество топлива, израсходованного передвижным источником за
отчетный период, т.;
Кэ – коэффициент экологической ситуации в данном регионе.
В качестве основных нормируемых загрязняющих веществ для передвижных
источников рассматриваются: оксиды углерода и азота, углеводороды, сажа,
соединения свинца, диоксид серы.
При отсутствии данных о количестве израсходованного топлива плату за
выбросы загрязняющих веществ от передвижных источников определяют типом
транспортного средства и рассчитывают по формуле
П = (В / 12) х Nj x Гj,
где В – период, за который взимается плата за выброс, мес.;
Nj –
количество единиц транспортного средства j-го вида,
шт.;
Гj – годовая плата за j-е транспортное средство, руб. / год.
Плату за превышение допустимых выбросов загрязняющих веществ от
передвижных источников определяют по формуле
Псн. = 5 х П х d,
где d – доля транспортных средств j-го типа, не соответствующих стандартам. Определяется как
соотношение количества транспортных средств, не соответствующих требованиям
стандартов, к общему количеству проверенных транспортных средств.
Общая плата за выбросы загрязняющих веществ от передвижных
источников определяют по формуле
Побщ. = (П + Псн.) х Кэ.
Рассчитаем плату за выбросы загрязняющих веществ от автотранспорта
ООО «Оскар-К» за 2005 год.
Исходные данные для расчета
платы за выбросы загрязняющих веществ в атмосферу от автотранспорта ООО
«Оскар-К»
|
Транспортное средство
|
Количество единиц транспорта
|
Годовая плата за транспортное средство, руб./год
|
Общая плата, руб.
|
|
Общее
|
Сверх нормы
|
|
Легковой автомобиль
|
12
|
-
|
2700
|
32400
|
|
Грузовой автомобиль с бензиновым ДВС
|
10
|
1
|
4000
|
36000 + 2000 = 38000
|
|
Грузовой автомобиль с дизельным ДВС
|
8
|
-
|
2500
|
20000
|
|
Строительные машины
|
10
|
-
|
1400
|
14000
|
|
Итого
|
104400
|
Таким образом, общая плата за выбросы загрязняющих веществ от
автотранспорта составит 104400 рубля.
Дипломник
Консультант
Руководитель дипломного проекта
ЗАКЛЮЧЕНИЕ
В основу дипломного проекта заложен комплексный анализ финансового
состояния ООО «Оскар-К».
Основным компонентом анализа является оценка финансового состояния и
финансовой устойчивости. В предлагаемой работе дается общая трактовка самого
понятия финансовой устойчивости и его составляющие: факторы, влияющие на
динамику показателей; реальные возможности анализа и прогнозирование
количественных параметров финансовой устойчивости.
Дипломный проект содержит пять разделов.
В первом разделе дан анализ методик, применяемых для оценки
финансового состояния организации. Кратко описаны наиболее популярные на
сегодняшний день методики финансового анализа.
Во втором разделе произведен комплексный анализ
производственно-хозяйственной деятельности строительной организации за
анализируемый период. В результате анализа технико-экономических показателей
выявлены тенденции к снижению объемов работ, выполненных собственными силами,
падения выработки при незначительном увеличении численности.
В третьем разделе произведен анализ финансового состояния
предприятия с помощью общего анализа финансовой устойчивости, ликвидности
баланса, финансовых коэффициентов, а также был составлен прогноз вероятности
банкротства предприятия в анализируемом периоде.
Анализ финансового состояния (расчет финансовых коэффициентов,
определение типа финансовой устойчивости) подтвердил нормальное, устойчивое
состояние организации.
Логическим продолжением этого является четвертый раздел, где на
основании результатов произведенного анализа хозяйственной деятельности и
выводе о состоянии предприятия разработана программа финансового оздоровления
предприятия, включающая мероприятия по структурной перестройке, восстановлению
платежеспособности и поддержанию эффективности хозяйственной деятельности.
Пятый раздел «Экономическая оценка экологических мероприятий»
содержит сведения об отдельном строительном объекте, на котором производятся
вредные выбросы в атмосферу и загрязнение почвы, рассчитывается размер платы за
загрязнение, а также определяется общая экономическая эффективность затрат на
мероприятия по улучшению состояния окружающей среды.
СПИСОК
ИСПОЛЬЗОВАННЫХ ИСТОЧНИКОВ
1. Балабанов
И.Т. Основы финансового менеджмента. Как управлять капиталом. М.: Финансы и
статистика, 1995.
2. Бочаров
В.В. Финансовый анализ. – СПб: Питер, 2002.
3. Буров
В.П., Морошкин О.К., Новиков О.К. Бизнес-план. Методика составления. Реальный
пример. – М.: Изд-во ЦИПккАП, 1999.
4. Гражданский
кодекс РФ. Часть II.
5. Деркач
Д.И. Анализ производственно-хозяйственной деятельности предприятия. Минск:
БГЭУ, 2001.
6. Ериолович
Л.Л. Анализ финансово-хозяйственной деятельности предприятия. Минск: БГЭУ,
2001.
7. Ефимова
О.В. Финансовый анализ. М.: Бухгалтерский учет, 1998.
8. Закон об
охране окружающей среды от 10.01.2002 г. №7-ФЗ.
9. Ковалев
В.В. Финансовый анализ. – М.: Финансы и статистика, 1995.
10.
Ковалев В.В. Финансовый анализ: Управление капиталом. Выбор инвестиций.
Анализ отчетности. – М.: Финансы и статистика, 1998.
11.
Липатова И.В. Прогнозирование прибыли. – М.: Финансы, 1995, №2 – С. М.:
Высшая школа, 1994.
12.
Лапуста М.Г., Скамай Л.Г. Финансы фирмы. – М.: ИНФРА-М., 2003.
13.
Романов А.Н., Лукасевич И.Л. Оценка коммерческой деятельности
предприятия. Опыт зарубежных корпораций. – М.: Финансы и статистика, 1994.
14.
Савицкая Г.В. Анализ хозяйственной деятельности предприятия. – Минск: ИП
Новое знание, 2001.
15.
Савицкая Г.В. Методика комплексного анализа хозяйственной деятельности.
– М.: Инфра-М, 2002.
16.
Селезнева Н.Н., Ионова А.Ф. Финансовый анализ. – М.: ЮНИТИ-ДАНА, 2003.
17.
Хайман Д.Н. Современная экономика – анализ и применение. – М.: Финансы и
статистика, 1993.
18.
Хелферт Э. Техника финансового анализа. М.: ЮНИТИ, 1996.
19.
Хонгрен Ч., Фосшер Дж. Бухгалтерский учет: управленческий аспект. М.:
Финансы и статистика, 1995.
20.
Чернов В.А. Анализ коммерческого риска. М.: Финансы и статистика, 1997.
21.
Чернов В.А. Анилиз финансового состояния организации // Аудит и
финансовый анализ. – 2001. - №2. – С. 53 – 71.
22.
Чернов В.А. Экономический анализ. – М.: ЮНИТИ, 2003.
23.
Чернякова А.Б., Бирюкова М.В. Чистые активы предприятий // Аудит и
финансовый анализ. – 1997. - №1.
24.
Чистов Д. Программы для финансового анализа // Бухгалтер и компьютер. –
2001. - №4. – С. 37 – 44.
25.
Чистов Л.М. Экономика строительства. – СПб.: Питер, 2002.
26.
Шеремет А.Д., Сайфулин Р.С. Методика финансового анализа. – М.: ИНФРА-М,
2000.
27.
Экология, окружающая среда и человек: Учебное пособие для вузов / Под
редакцией М.И.Алексеева – М.: Агентство «Фаир», 1998. – 320 с.
28.
Экология: Учебник для технических ВУЗов / Под ред. Л.И.Цветкова. – М.:
Издательство АСВ, СПб. – Химиздат, 1999. – 488 с.
Дипломник
Руководитель дипломного проекта
Нормоконтролер