Теоретические основы портфельного инвестирования. Курсовой проект

  • Вид работы:
    Курсовая работа (т)
  • Предмет:
    РЦБ, ценные бумаги
  • Язык:
    Русский
    ,
    Формат файла:
    MS Word
    164,31 kb
  • Опубликовано:
    2011-10-28
Вы можете узнать стоимость помощи в написании студенческой работы.
Помощь в написании работы, которую точно примут!

Теоретические основы портфельного инвестирования. Курсовой проект

ФЕДЕРАЛЬНОЕ ГОСУДАРСТВЕННОЕ ОБРАЗОВАТЕЛЬНОЕ УЧРЕЖДЕНИЕ

ВЫСШЕГО ПРОФЕССИОНАЛЬНОГО ОБРАЗОВАНИЯ

«ГОСУДАРСТВЕННЫЙ УНИВЕРСИТЕТ

МИНИСТЕРСТВА ФИНАНСОВ РОССИЙСКОЙ ФЕДЕРАЦИИ»

ОМСКИЙ ФИЛИАЛ

                                                                      


КУРСОВАЯ РАБОТА

ПО ДИСЦИПЛИНЕ:

Рынок ценных бумаг

Студентки  Профир Елены Анатольевны

Группа № 3ФКЗ2                            Курс № 3

Тема:  «Теория портфельного инвестирования»

          Факультет:  финансово-учетный

          Специальность:  финансы и кредит

          Отделение:  заочное

         


___________________                                            ____________________      

Дата поступления работы в деканат                                                            Подпись преподавателя










Омск – 2011/2012уч.год.

Содержание:

Введение..............................................................................................................................................3

Глава 1. «Классификация портфелей ценных бумаг»...................................................................5

Глава 2. «Формирование портфеля ценных бумаг»......................................................................6

Глава 3. «Стратегическое управление инвестированием. Пассивные и активные стратегии инвестирования»...............................................................................................................................12

Глава 4. «Основные виды инвестиционных стратегий управления портфелем»...................16

Заключение........................................................................................................................................21

Список  литературы.........................................................................................................................24

Приложение 1....................................................................................................................................25

Приложение 2....................................................................................................................................26

Приложение 3....................................................................................................................................28

Введение

Важным условием экономического роста в России является обеспечение притока значительного объема инвестиционных ресурсов. Механизмы эффективно функционирующего рынка ценных бумаг, которые предполагают, в первую очередь, взаимосвязь процесса воспроизводства с системами его регулирования, дают возможность хозяйствующим субъектам оптимальным образом мобилизовать данные ресурсы. Однако потенциал фондового рынка зависит от присутствия на нем большого числа разнообразных групп инвесторов, готовых брать на себя многочисленные риски, осуществляя вложения в различные виды ценных бумаг предприятий.

Финансовый кризис, мировой экономический спад и угроза полномасштабной рецессии, крушение фондовых рынков, сопровождавшееся биржевой паникой, и регулярное закрытие торгов – это объективная реальность, с которой в настоящий момент приходится сталкиваться мировому сообществу в общем, и инвесторам, в частности.

Инвестирование – вложение капитала в целях получения дохода в будущем, компенсирующего инвестору отложенное потребление, ожидаемый рост общего уровня цен и неопределенность получения будущего дохода (риск). Цель инвестирования заключается в поиске и определении такого способа вложения инвестиций, при котором обеспечивался бы требуемый уровень доходности и минимальный риск.

Одним из самых эффективных способов минимизировать риск, при этом не снижая доходность - диверсифицировать вложения, то есть формировать портфель акций. Распределяя свои вложения по различным направлениям инвестор  может достичь более высокого уровня доходности вложений либо снизить степень их риска. Характерной особенностью портфеля  является то, что риск его  может быть значительно меньше, чем риск отдельных инвестиционных инструментов, входящих в состав портфеля, что является особенно актуальным в современной нестабильной финансово-экономической обстановке в мире.

Цель данной работы состоит в анализе портфельного инвестирования в ценные бумаги.

Для достижения поставленной цели потребовалось решение следующих задач:

·   выявление ключевых факторов формирования портфеля ценных бумаг;

·   изучение теоретических основ портфельного инвестирования, в том числе понятия и структуры портфеля ценных бумаг и классификации портфелей;

·   привести примеры портфельных инвестиций и их формирование на современном этапе.

Объектом исследования в данной работе являются портфельные инвестиции на развивающемся рынке акций.

Предметом исследования в работе выступают процессы осуществления портфельных инвестиций на рынке акций с учетом особенностей экономической и информационной среды.

ГЛАВА 1. «Классификация портфелей ценных бумаг»

Портфель ценных бумаг — это определенным образом подобранная совокупность отдельных видов ценных бумаг, т.е. это набор ценных бумаг для достижения определенной цели, например, гарантированной доходности инвестиций. В такой набор должны входить как надежные, но менее прибыльные, так и рискованные, но более доходные бумаги различных эмитентов, отраслей, видов. Портфель может быть ориентирован в большей мере на надежность (консервативный) или на доходность (агрессивный). Портфели ценных бумаг могут быть фиксированные и меняющиеся. Фиксированные портфели сохраняют свою структуру в течение установленного срока, продолжительность которого определяется сроком погашения входящих в него ценных бумаг. Меняющиеся (управляемые) портфели в полном соответствии со своим названием имеют динамическую структуру ценных бумаг, состав которых постоянно обновляется с целью получения максимального экономического эффекта.

Имеются специализированные портфели иностранных ценных бумаг и отечественных ценных бумаг. Специализированные портфели иностранных ценных бумаг ограничиваются какой-то конкретной страной или охватывают целые регионы (чаще всего развивающихся стран), что позволяет сократить вероятность риска в каждой отдельно взятой стране. Такие портфели дают возможность зарубежным инвесторам при сравнительно небольшом риске осваивать новые рынки и при необходимости быстро избавляться от местных акций.

Портфели ценных бумаг могут иметь отраслевую и территориальную специализацию. Например, портфель ценных бумаг предприятий топливно-энергетического комплекса или предприятий Краснодарского края. Портфели ценных бумаг могут быть ориентированы на включение в свой состав только краткосрочных или среднесрочных и долгосрочных ценных бумаг. Большинство портфелей ценных бумаг являются специализированными, включая преимущественно один вид ценных бумаг (акции, государственные облигации, неэмиссионные ценные бумаги и т.д.). В России такая специализация пока не прослеживается ввиду неразвитости фондового рынка. В странах с рыночной экономикой она является правилом. Например, имеются портфели ипотечных ценных бумаг, облигаций корпораций, муниципальных бумаг, опционов, акций предприятий и т.п.

Структура портфеля — это соотношение конкретных видов ценных бумаг в портфеле.

На рис. 1.1( в Приложении 1) представлена классификация портфелей ценных бумаг.

ГЛАВА 2. «Формирование портфеля ценных бумаг»

Успешная эмиссионная деятельность является основой для инвестиционной деятельности того или иного хозяйственного субъекта, и она во многом определяет масштабы инвестиций.

Инвестиции — долгосрочные вложения свободных денежных средств предприятий в различные активы (материальные, финансовые, фондовые и т.д.) с целью получения доходов в будущем.

Инвестиционная деятельность предприятия осуществляется в определенной инвестиционной среде, под которой понимается совокупность законодательных актов, экономические и политические условия, в которых функционируют предприятия, система налогообложения и другие факторы.

Главной целью формирования инвестиционного портфеля является максимально возможное уменьшение рисков, связанных с той или иной формой вложения капитала, обеспечивая, тем самым, надежность вклада и получение наибольшего гарантированного дохода.

Под риском понимается степень вероятности неполучения ожидаемых доходов от инвестиций.

Все риски, связанные с инвестициями в ценные бумаги, можно разделить на две большие группы.

Недиверсификационный (систематический) риск. Он возникает из внешних событий, которые влияют на рынок в целом. Этот риск складывается как сумма рисков:

·   риска, связанного с изменением процентной ставки;

·   риска, связанного с изменением валютного курса;

·   инфляционного риска;

·   политического риска (вызван такими событиями, как война, смена власти).

Такой риск нельзя устранить диверсификацией, поскольку он возникает, благодаря общим факторам, влияющим на рынок в целом. Систематический риск можно погасить посредством вывода капитала за пределы страны путем покупки акций иностранных компаний.

Диверсификационный риск включает такие виды риска, как отраслевой, деловой и финансовый. Отраслевой риск связан с воздействием на компанию не зависящих от нее общеотраслевых факторов. Деловой, или бизнес-риск, отражает влияние факторов, связанных с деятельностью конкретной компании, — эффективностью производства и управления ею. Финансовый риск возникает в том случае, когда часть капитала компании формируется посредством долговых обязательств, и она должна получать прибыль, достаточную для выплаты процентов. Таким образом, несистематический риск возникает под воздействием уникальных, специфических для отдельной компании или отрасли факторов и влияет на доходы отдельных ценных бумаг. Этот вид риска можно сократить путем диверсификации вложений, т.е. созданием портфеля ценных бумаг, включающих акции компании с различной надежностью и доходностью; государственные ценные бумаги; корпоративные облигации крупных компаний; векселя, опционы, сертификаты и другие виды.

Диверсификация портфеля ценных бумаг снижает риск в инвестиционном деле, но не отменяет его полностью.

Для любого инвестора наиболее сложным является оценка именно недиверсификационного риска. Это и понятно, так как многие компоненты систематического риска не могут быть предсказаны заранее, а тем более учтены в денежных единицах дополнительного дохода или убытка. Надо учитывать и то обстоятельство, что «качество» учета недиверсификационного риска зависит от информации о макроэкономических процессах. Чем глубже предприятие разбирается в этих вопросах, тем меньше вероятность такого риска.

В процессе функционирования любого предприятия, фирмы приходится решать задачу определения размера и сферы приложения инвестиций. Принятие инвестиционных решений является достаточно трудным делом. Для создания ценных бумаг достаточно инвестировать денежные средства в какой-либо один из финансовых активов. Но современная практика показывает, что такой портфель встречается редко, гораздо более распространенным является диверсифицированный портфель, т.е. портфель с разнообразными ценными бумагами, поскольку позволяет максимально снизить вероятность неполучения дохода.

В процессе формирования портфеля ценных бумаг предприятия выделяют пять этапов.

1-й этап. Определение инвестиционных целей. На этом этапе определяются цели инвестиций. Основные цели могут быть следующими: безопасность вложений, доходность, рост вложений.

2-й этап. Определение инвестиционной стратегии и типа портфеля. В результате того, что экономическая ситуация в странах постоянно меняется и периоды экономического роста сменяются периодами спада, затем опять следует рост, инвестиционная стратегия и объекты вложения требуют постоянного пересмотра. В практике используется следующая классификация стратегий управления.

Портфель консервативного роста.

Цель портфеля

Уровень риска

Минимальный

Сроки инвестиций:

•  минимальный

•  рекомендуемый


1 месяц

свыше 6 месяцев

Объект вложения

Государственные ценные бумаги

Базовый индекс стратегии

Индекс изменения потребительских цен (инфляция)


При такой стратегии основная задача консервативного портфеля — сохранение портфеля от инфляции. Одним из видов риска здесь является риск снижения процентной ставки. Для защиты от этого можно приобрести фьючерсы на курс государственных ценных бумаг.

·   Портфель умеренного роста

Основная цель: получение среднего стабильного дохода при невысоком риске.

Цель портфеля

Умеренный (средний) рост капитала

Уровень риска

Средний

Сроки инвестиций:

• минимальный

рекомендуемый


3 месяца

свыше 9 месяцев

Объект вложения

Государственные ценные бумаги и акции предприятий

Базовый индекс стратегии

Среднесрочные ставки банковских депозитов


•   Портфель умеренно-консервативного роста.

Основная цель: получение достаточно высокого прироста капитала при заданном сроке инвестирования и ограниченном риске.

Цель портфеля

Достаточно высокий рост капитала

Уровень риска

Выше среднего

Сроки инвестиций:

•минимальный рекомендуемый


3 месяца

свыше 12 месяцев

Объект вложения

Государственные ценные бумаги и акции предприятий

Базовый индекс стратегии

Ставка рефинансирования ЦБ


В этом портфеле акции предприятий составляют большую долю. Инвестиции осуществляются в акции предприятий с хорошей перспективой в стратегически важных отраслях промышленности. При такой стратегии портфель в большей степени подвержен риску изменения курсовой стоимости акций и в меньшей степени процентному риску. Государственные ценные бумаги, имеющие более высокую, чем корпоративные бумаги, ликвидность, составят консервативную часть портфеля, в то время как акции составляют доходную часть. Среди акций можно отдать предпочтение акциям предприятий-монополистов стабильно развивающихся отраслей — энергетики, газовой и нефтяной промышленности, связи. Торговлю такими ценными бумагами осуществляет Российская торговая система (РТС).

•   Портфель долгосрочного роста.

Основная цель: получение высокого прироста капитала в долгосрочной перспективе при сроке инвестирования свыше 2 лет и достаточно высоком риске.

Цель портфеля

Высокий рост капитала в долгосрочной перспективе

Уровень риска

Высокий

Сроки инвестиций:

•минимальный

•рекомендуемый


12 месяцев

свыше 18 месяцев

Объект вложения

Акции предприятий и государственные ценные бумаги

Базовый индекс стратегии

Индекс РТС — совокупное размещение рыночных цен на акции 50 ведущих российских предприятий

Основную часть такого портфеля составляют акции предприятий, и небольшую часть — государственные ценные бумаги. При таком портфеле инвестор имеет риск потерять основную долю инвестиций, но его можно уменьшить за счет длительного срока инвестиций.

При распределении средств по конкретным акциям предполагается, что основной доход принесут акции наиболее рискованные, а государственные ценные бумаги необходимы для придания портфелю большей ликвидности и безинфляционного хранения средств. Имеет место достаточно большой риск при таком типе портфеля, поэтому лучше подстраховаться путем включения в портфель фьючерсных контрактов на валюту и ГКО.

•   Портфель агрессивного роста.

Основная цель: достижение максимального прироста капитала при очень высоком риске, что обеспечивается проведением высокорисковых спекулятивных операций, которые не рекомендуются при других стратегиях. Базовый индекс стратегии — РТС.

Уровень риска

Очень высокий

Сроки инвестиций:

·   Минимальный

·   Рекомендуемый


6 месяцев

 свыше 24 месяцев

Объект вложения

Акции предприятий, фьючерсные сделки

Индекс РТС


3-й этап. Анализ ценных бумаг и формирование портфеля. Теория и практика фондового рынка выработала два основных подхода к выбору ценных бумаг: фундаментальный и технический. Подробно указанные подходы были рассмотрены в предыдущих темах данного курса.

4-й этап. Оценка эффективности портфеля. Этот этап включает периодическую оценку эффективности портфеля с точки зрения фактически полученного дохода и риска, которому подвергался инвестор.

5-й этап. Ревизия портфеля. Портфель подлежит периодической ревизии (пересмотру) с тем, чтобы его содержимое не пришло в противоречие с изменившейся экономической обстановкой, инвестиционными качествами отдельных ценных бумаг, а также целями инвестора. Институциональные инвесторы проводят ревизию своих портфелей довольно часто на основе оценки эффективности управления портфелем в зависимости от ожидаемого дохода и риска. Под риском понимается вероятность недополучения дохода по инвестициям. При этом под доходом понимается общий доход, т.е. полученный инвестором за весь период владения ценной бумагой: текущий доход (дивиденды или проценты) плюс прирост капитала. В приложении 2 приведен ряд формул для расчета ожидаемого дохода от инвестиций, а также для измерения общего риска.

ГЛАВА 3. «Стратегическое управление инвестированием. Пассивные и активные стратегии»

Успешная деятельность предприятия в условиях современной экономической ситуации в России во многом зависит от способов и методов управления, от менеджеров-специалистов в области делового (бизнес) администрирования.

Становясь объектом товарно-денежных отношений, обладающим экономической самостоятельностью и полностью отвечающим за результаты своей хозяйственной деятельности, предприятие обязано сформировать у себя такую систему управления, которая обеспечила бы ему высокую эффективность работы, конкурентоспособность и устойчивость положения на рынке.

Современный менеджмент — это управление, полностью отвечающее потребностям рыночной экономики. Необходимо отметить, что менеджмент как администрирование бизнеса имеет не только организационный, но и экономический, финансовый аспект. Ведь цель хозяйственной деятельности любого предприятия — это получение финансового результата — прибыли как гарантии успешного и стабильного развития. В этой связи финансово-экономический аспект менеджмента выдвигается на первое место. Рациональное управление финансовыми потоками, максимизация прибыли при минимуме затрат — вот основа жизнедеятельности предприятия.

Одним из источников максимизации прибыли является получение дополнительного дохода от вложения финансовых средств предприятия в рынок ценных бумаг и эффективного управления его инструментами. Эту задачу выполняет финансовый менеджмент предприятия. Современные методы управления предполагают также и привлечение персонала предприятия в качестве инвесторов на рынке ценных бумаг. Они, являясь обладателями акций предприятия, заинтересованы в успешной хозяйственной деятельности. Благополучие фирмы становится их благополучием. Преимущества системы стратегического управления, определившие ее широкое распространение за рубежом, заключаются в том, что она позволяет сформулировать глобальные цели развития фирм, сформировать позицию менеджеров высшего и среднего звена, оперативно адаптироваться к изменениям рыночной среды и тем самым повысить конкурентоспособность организации. Под стратегией обычно понимается набор наиболее общих правил, определяющих долгосрочные действия, которые обеспечивают выполнение миссии организации. При этом в качестве миссии выступает глобальная цель, определяющая причину существования организации.

Миссия как наиболее общая цель инвестирования в корпоративные акции может заключаться в следующем:

1)   сохранение или перераспределение собственности путем приобретения контрольных пакетов акций;

2)   обеспечение доступа к дефицитным видам продукции (услугам), имущественным и неимущественным правам;

3)   участие в управлении предприятием за счет приобретения крупных или блокирующих пакетов;

4)   защита инвестиций от инфляции;

5)   сохранение и прирост капитала;

6)   получение регулярного текущего дохода.

Таким образом, уже на этапе формулировки миссии необходимо определиться с типом инвестора. Инвестиционная стратегия     зависит от миссии организации и определяет не только достижение долгосрочных целей, но и тактику вложения средств: в какие ценные бумаги, когда и через какие промежутки времени следует инвестировать. Цели инвестирования должны быть, с одной стороны, конкретными и измеримыми, с другой — ориентированными во времени. Например, для стратегии управления портфелем ценных бумаг одна из множества возможных целей может быть сформулирована следующим образом: «обеспечить в течение квартала доходность за счет роста курсовой стоимости акций в размере не менее 90% годовых». Реализация принципов стратегического управления предполагает разработку и утверждение на уровне высшего руководства инвестиционных институтов документов, в которых формулируются миссия организации и «пороговые» значения показателей доходности, надежности и ликвидности инвестиций в ценные бумаги (это относится, прежде всего, к портфельным инвесторам).

В управлении портфелем можно выделить две основные стратегии: пассивную и активную.

Пассивной стратегии придерживаются менеджеры, которые полагают, что рынок является эффективным. В таком случае нет необходимости часто пересматривать портфель, поскольку эффективный рынок всегда «правильно» оценивает активы. Пассивный портфель пересматривается только в том случае, если изменились установки инвестора, или на рынке сформировалось новое общее мнение относительно риска и доходности рыночного портфеля. Пассивный менеджер не ставит перед собой цель получить более высокую доходность, чем в среднем предлагает рынок для данного уровня риска. Для него характерно построение портфеля на рассмотренных выше принципах, т.е. он включает в него рыночный портфель и бумаги без риска.

Пассивное управление портфелем состоит в приобретении активов с целью держать их длительный период времени. Если в портфель включены активы, выпущенные на определенный период времени, например, облигации, то после их погашения они заменяются аналогичными бумагами и т. д. до окончания инвестиционного горизонта клиента. При такой стратегии текущие изменения в курсовой стоимости активов не принимаются в расчет, так как в длительной перспективе плюсы и минусы от изменения их цены будут гасить друг друга. Пассивная стратегия не предполагает активного пересмотра портфеля. В условиях эффективного рынка и одинаковых ожиданий инвесторов какой-либо индивидуальный отбор бумаг не имеет существенного значения, и менеджер при выборе активов руководствуется показателями их риска и доходности. Если портфель состоит из небольшого числа активов, он сохраняет значительную долю диверсифицируемого риска. Чтобы снизить его, менеджер может придерживаться стратегии, которую называют копированием индекса. В этом случае его рыночный портфель по своим параметрам должен соответствовать какому-либо индексу с широкой базой. Он принимается за рыночный портфель. Копирование индекса может быть полным, т.е. рискованный портфель будет точно повторять индекс. Недостаток такого подхода — высокие транзакционные издержки, так как менеджеру приходится приобретать относительно малое количество большого числа активов. Кроме того, при изменении состава индекса должны последовать изменения и в структуре портфеля. Обычно при исключении какой-либо бумаги из состава индекса цена ее падает, в то же время цена включаемого в индекс актива возрастает. Поэтому менеджер понесет дополнительные затраты в сумме разности цен продаваемого и покупаемого активов. Чтобы исключить указанные недостатки, менеджер может копировать индекс на основе определенной выборки бумаг, входящих в индекс, которые наиболее близко повторяют его динамику. В этом случае сокращаются транзакционные расходы, но возникает вероятность отклонения результатов сформированного портфеля от результатов рыночного портфеля. При копировании индекса возникает еще одна проблема. Выплата дивидендов и процентов по бумагам, входящим в индекс, автоматически отражается в его стоимости. В то же время менеджер несет дополнительные издержки при реинвестировании полученных средств. Кроме того, для приобретения какого-либо актива может потребоваться определенное время для аккумулирования необходимой суммы денег.

Активную стратегию проводят менеджеры, полагающие, что рынок не всегда, по крайней мере, в отношении отдельных бумаг, является эффективным, а инвесторы имеют различные ожидания относительно их доходности и риска. В итоге цена данных активов завышена или занижена. Поэтому активная стратегия сводится к частому пересмотру портфеля в поисках финансовых инструментов, которые неверно оценены рынком, и торговле им с целью получить более высокую доходность.

Формируя портфель, менеджер должен определить, в каких пропорциях включать в него активы различных категорий, например, акции, облигации и т.п. Такое решение называется решением по распределению средств. Оно зависит от оценок менеджером доходности и риска по данным группам активов и коэффициента допустимости (толерантности) риска клиента. Доходности активов в рамках каждой из групп обычно имеют высокую степень корреляции, поэтому более важно определить категорию актива, который принесет наибольшую доходность в будущих условиях, чем самые лучшие активы внутри каждой категории. Далее, менеджер должен выбрать конкретные активы в рамках каждой категории. Такое решение называется решением по выбору активов. Выбор актива имеет значение в том случае, когда менеджер в целом согласен с ситуацией на рынке относительно большей части активов, но полагает, что некоторые из них неверно оценены. В этом случае он делает акцент на активах с положительной альфой. Между решением по распределению средств и выбором активов может присутствовать промежуточная ступень, когда менеджер распределяет средства по группам внутри каждой категории, например, между кратко, средне и долгосрочными облигациями, акциями по отраслям экономики.

Вследствие изменения конъюнктуры рынка менеджер периодически будет пересматривать портфель. Покупка и продажа активов повлечет дополнительные комиссионные расходы. Поэтому, определяя целесообразность пересмотра портфеля, ему следует учесть в издержках данные расходы, поскольку они будут снижать доходность портфеля.

Сложно быть специалистом по всем активам. В связи с этим в случае формирования большого портфеля целесообразно разбить его на несколько небольших, например, по группам активов, каждый из которых будет управляться отдельным менеджером. В такой ситуации целесообразно также иметь еще одного менеджера, который следил бы за общим риском портфеля.

В приложении 3 приведено несколько примеров активного управления портфелем.

ГЛАВА 4. «Основные виды инвестиционных стратегий управления портфелем»

Более перспективными являются активные стратегии портфельного инвестирования. Выделение этих стратегий можно осуществлять по различным классификационным признакам. Классификация позволяет выявить наиболее полный спектр стратегий и тем самым расширяет диапазон действий организации в условиях динамичного фондового рынка. Появляется возможность составить перечень типовых стратегий для использования конкретной компанией в тех или иных ситуациях в будущем.

Специфика деятельности инвестора заключается в том, что участники фондового рынка имеют доступ и выбирают различные его сегменты: РТС, фондовые биржи, розничный рынок (скупка акций у населения), крупнооптовый рынок (например, приобретение акций в процессе приватизации), другие сектора внебиржевого рынка. В зависимости от нацеленности на определенный сегмент рынка можно выделить следующие виды стратегий:

*  аукционную стратегию;

*  стратегию спекулятивного конкурсанта;

*  арбитражную стратегию;

*  стратегию «пылесоса».

   Аукционные стратегии применяются при приобретении акций в момент их первичной продажи на чековых, денежных, залоговых аукционах, проводимых в процессе приватизации. Разновидности этих стратегий определяются условиями проведения аукционов. Основное преимущество данной стратегии заключается в том, что можно достаточно дешево купить акции «не раскрученных» предприятий, которые еще не пользуются спросом на рынке. Риск, характерный для этой стратегии, заключается в том, что в результате ажиотажного спроса на наиболее «лакомые» куски госсобственности аукционная цена может оказаться слишком высокой. Другая опасность может состоять в том, что инвестор, желая подстраховаться от роста цен, не угадает цену, соответственно ему не удастся приобрести акции, а вложенные им средства окажутся замороженными на полтора-два месяца. Ожидания инвестора, связанные с ростом курсовой стоимости в результате борьбы за установление контроля над предприятием, могут не оправдаться, если один из участников в ходе аукциона скупит контрольный пакет.

   Стратегия спекулятивного конкурсанта наиболее часто используется на инвестиционных конкурсах и закрытых денежных аукционах, проводимых в процессе приватизации. Она заключается в том, что интересы инвестора представляют несколько фирм, которые стремятся указать в заявках такие цены, чтобы войти в двойку победителей. С одной стороны, это позволяет подстраховаться на случай неправильного оформления заявок или неучастия других инвесторов. С другой стороны, если интересы одного инвестора защищают несколько аффилированных компаний (компания, которая владеет пакетом акций основной компании в размере, меньшем контрольного), то больше шансов «угадать» цену. При удачном стечении обстоятельств одна из компаний, представляющая интересы спекулятивного конкурсанта, занимает первое место и отказывается от своей заявки, а победителем признается другой его представитель, занявший второе место. Это позволяет получить прибыль за счет перепродажи акций конечному инвестору, который «не угадал» цену. Одной из предпосылок успешной реализации этой стратегии на инвестиционных конкурсах являются тесные связи с крупными банками и возможность установления контактов с организаторами продаж и администрацией предприятия. Основные риски этой стратегии связаны с тем, что в случае отказа от заявки (подписания протокола, заключения договора) залог не возвращается, поэтому, если сторонам не удается договориться, спекулянт терпит убытки. Кроме того, если цена или дисконтированные объемы инвестиций, указанные в заявке, были определены неправильно и победителем становился другой участник, средства спекулятивного конкурсанта оказывались «замороженными» на значительный период времени.

Арбитражная стратегия активно использовалась как на начальном этапе приватизации (торговля ваучерами), так и в настоящее время. Она заключается в использовании того факта, что один и тот же актив может иметь разную цену на двух различных, в том числе географически удаленных, рынках. Инвестор, применяющий эту стратегию (арбитражер), извлекает прибыль за счет практически одновременной купли-продажи одних и тех же ценных бумаг на разных фондовых площадках. Стратегия позволяет получить прибыль с минимальным риском и при высокой скорости осуществления взаиморасчетов и не требует значительных инвестиций. Эта стратегия наиболее часто используется отечественными участниками фондового рынка при скупке акций в регионах и продаже более крупных пакетов в Москве. За счет того, что покупка и продажа иногда значительно разнесены во времени, основные преимущества чисто арбитражной стратегии (низкий риск и вложение средств на короткое время) в этом случае нивелируются. Тем не менее, в силу наличия объективного буфера, обусловленного разницей между ценами покупки мелких и продажи крупных пакетов, риск, связанный с реализацией этой стратегии, достаточно низок.

Стратегия «пылесоса» применяется наиболее крупными инвестиционными компаниями, которые по заказу (в основном иностранных) инвесторов осуществляют массовую скупку акций в регионах. Сила «наддува» и скорость перетекания денежных средств и ценных бумаг определяются целями конечного инвестора, объемами финансовых средств, уровнем организации процесса скупки и другими особенностями. Одна из основных проблем заключается в том, чтобы увеличение спроса и консолидация крупных пакетов не привели к значительному росту цен.

В зависимости от сроков возврата вложенного капитала можно выделить стратегии краткосрочных, среднесрочных и долгосрочных инвестиций, а также их сочетания. Для отечественного рынка корпоративных акций в качестве краткосрочного периода инвестирования обычно принимается срок от нескольких часов до 3—6 месяцев. Среднесрочное инвестирование предполагает возможность возврата вложенных средств через 6—12 месяцев, а долгосрочное — через год и более.

Стратегия краткосрочного инвестирования может быть охарактеризована как стратегия «ловли краткосрочных колебаний». Она исходит из того, что курсы акций подвержены частым колебаниям, которые далеко не всегда адекватны реальным изменениям в делах компаний-эмитентов. Следовательно, на рынке всегда имеются ценные бумаги с устойчиво завышенными или заниженными ценами. Некоторые участники фондового рынка пытаются воспользоваться такими недолгими ситуациями и «зафиксировать» краткосрочную прибыль. Компании, использующие эту стратегию, пытаются получить прибыль за счет колебания курса акций, происходящего как на протяжении недели, месяца, так и во время одной торговой сессии. В основе их деятельности лежит разработка краткосрочных макро-и микроэкономических прогнозов, использование методов технического анализа. Основу портфеля составляют акции «голубых фишек» (обыкновенные акции или ценные бумаги наиболее крупных, ликвидных и надёжных компаний со стабильными показателями получаемых доходов и выплачиваемых дивидендов. В России голубыми фишками (или акциями первого эшелона) являются акции нефтяных, газовых, энергетических и телекоммуникационных компаний, таких как РАО ЕЭС, ЛУКОЙЛ, Газпром, Сбербанк, ГМК Норильский Никель, Сургутнефтегаз. Торги акциями данных компаний проводятся на биржах РТС и ММВБ, а также на некоторых зарубежных биржах в виде депозитарных расписок. В США к голубым фишкам относятся General Electric, Ford, International Paper и др. Голубые фишки служат для инвесторов индикатором того, что происходит с рынком в целом), так как по ним имеется достаточно репрезентативная выборка исходных данных для прогнозирования динамики курса. С другой стороны, эти акции достаточно ликвидны, что позволяет гибко осуществлять перевложения из одних бумаг в другие. Включение в портфель неликвидных бумаг может сделать быстрый вывод средств невозможным, что сводит на нет преимущества данной стратегии. При использовании краткосрочной стратегии инвестирования необходимо учитывать даже незначительные конъюнктурные колебания курсов акций и вызывающих их событий, например:

*  ожидание повышения курса в связи с окончанием работ по выпуску ADR;

*  возможное снижение котировок при увеличении уставного капитала в результате объявления открытой подписки на акции;

*  колебание международных фондовых индексов и т.д.

     Разновидностью этой стратегии является стратегия «скальпирования», которая чаще всего применяется в биржевой торговле и состоит в проведении сделок по одному и тому же эмитенту в течение одной торговой сессии. При этом одна из задач заключается в обеспечении гарантии по сделкам. В качестве другой предпосылки успешного использования этой стратегии выступает высокая скорость осуществления расчетов.

   Управление портфелем на основе краткосрочной стратегии основано на использовании даже небольших колебаний курса, поэтому максимизация прибыли возможна при очень высоких оборотах. Соответственно при выборе ценных бумаг необходимо учитывать, что значительные объемы сделок не должны оказывать существенного влияния на изменение их котировок. Основные опасности использования этой стратегии связаны с риском неисполнения сделок, ошибками в предсказании курса, а также с невозможностью быстрого вывода средств при особо крупных спекуляциях. Риск использования стратегии, основанной на краткосрочных колебаниях курсов, особенно велик, когда продажа ценных бумаг осуществляется без покрытия.

   При формулировании и выборе стратегий можно использовать и другие классификационные признаки. Например, если за основу классификации взято получение дохода, за рубежом традиционно выделяются стратегии, основанные на:

*  росте капитала;

*  получении регулярного текущего дохода;

*  сочетании роста капитала и текущего дохода.

      К этой же группе можно отнести стратегии, связанные с манипулированием кривой доходности. Чтобы удовлетворять запросам самых разных инвесторов, спектр инвестиционных стратегий должен быть достаточно широким. Рассмотренная классификация, несмотря на свою условность, помогает выделить некоторые типовые стратегии, на основе сочетания которых может быть разработана стратегическая программа действий профессиональных участников в зависимости от ситуации на фондовом рынке и сценариев ее изменения. На практике один и тот же инвестор по отношению к различным видам ценных бумаг может использовать различные субстратегии, а также их комбинации. Помимо типовых стратегий, для каждого инвестора может быть разработана индивидуальная стратегия, наиболее точно отражающая специфику его целей.

      

Заключение

  Можно сделать следующие выводы по проделанной работе:
портфель представляет собой набор инвестиционных инструментов, собранных для достижения общей инвестиционной цели. Для создания эффективного портфеля инвестору необходимо определить набор целей. Портфель может быть ориентирован на долгосрочный прирост капитала или на получение текущего дохода и содержать один или более типов инвестиционных инструментов. Диверсификация портфеля означает различные независимые инвестиционные инструменты, это делается с целью минимизации риска, который может быть диверсифицируемым и недиверсифицируемым. Инвестор будет получать компенсацию только за недиверсифицируемый риск. Риск ценной бумаги как элемента портфеля ниже, чем взятой отдельно, в то время как ее доходность не зависит от формы хранения. Инвестиционный портфель может включать не только акции и облигации, но и опционы, товарные и финансовые фьючерсы, имущественные ценности, недвижимость.

    В рамках традиционного подхода для портфеля выбираются ценные бумаги компаний из различных отраслей экономики. Управляющие портфелями такого типа часто вкладывают средства в большое количество фирм. Современная портфельная теория использует статистические показатели, такие, как корреляция доходности одной ценной бумаги с доходностью другой или с рынком в целом. Согласно этому подходу для выбора составляющих портфеля ключевым фактором является статистическая диверсификация, т.е. поиск ценных бумаг с отрицательной корреляцией доходности. Недиверсифицируемый риск ценной бумаги или портфеля измеряется помощью коэффициента "бета". Он показывает относительную устойчивость величины доходности ценной бумаги или портфеля по сравнению с доходностью рыночного портфеля. Важным достижением современной портфельной теории является установление особого соотношения между недиверсифицируемым риском и доходностью инвестиций. С ростом риска инвестиционного портфеля доходность, которую он обеспечивает, также должна возрастать. Портфели должны содержать инвестиционные инструменты, подобранные на основе критериев ожидаемой доходности, соответствующих рисков и определенных налоговых соображений. Для анализа инвестиционных доходов инвестор должен собирать информацию, отражающую финансовую эффективность каждого вложения.
Эффективность инвестиций может быть оценена с помощью индексов. Имеются также индикаторы рынков облигаций для оценки их общей динамики. Если чьи-либо инвестиции приносят больший доход, чем низкорискованные вложения, это означает, что дополнительная доходность возникает за счет принятия дополнительного риска. Если имеет место обратное, то инвестору следует внимательно проанализировать портфель и продать "проблемные" инвестиции. Обновление портфеля предусматривает систематическое исследование инвесторами частей своих портфелей, которые необходимо продать, и новых бумаг, которые требуется приобрести. Периодические изменения состава и структурных пропорций портфеля помогают избавиться от тех составляющих портфель инструментов, которые не удовлетворяют его целям.

В целом можно заключить, что фондовый рынок очень чувствителен к малейшим изменениям в экономике и финансовой сфере, поэтому необходимо оперативно реагировать и принимать инвестиционные решения согласно выбора портфельной стратегии.

    Выводы:

В основе портфельного инвестирования     лежит достижение двух основных противоречивых целей:

1) повышение дохода;

2) минимизация рисков.

В этой связи в практике портфельного инвестирования выработаны различные стратегии портфельного инвестирования. Данные стратегии подразделяются на активные и пассивные.

Список литературы.

1. Бердникова Т.Б. Оценка ценных бумаг: Учеб. пособие. — М.: Инфра-М, 2009.

2. Берзон Н.И. и др. Фондовый рынок: Учебное пособие. – М. Вита-пресс, 2008.

3. Буренин А.Н. Рынок ценных бумаг и производных финансовых инструментов. — М.: Экзамен, 2010.

4. Биржевое дело: Учебник / под ред. В.А.Галанова, А.И.Басова.- М.: Финансы и статистика, 2009.

5. Гончаренко Л.П. и др.Инвестиционный менеджмент. (Учебное пособие) (2007г.)

6. Жуков Е.Ф. Ценные бумаги и фондовые биржи.– М.: Проспект, 2006.

7. Инвестиции. (Учебник) Под ред. Ковалева В.В., Иванова В.В., Лялина В.А. (2008).

8. Килячков А.А., Чалдаева Л.А. Рынок ценных бумаг и биржевое дело.- М.: Экономист, 2010.

9. Краев А.О., Коньков И.Н., Малеев П.Ю. Рынок долговых ценных бумаг: Учеб. пособие. — М.: Экзамен, 2006.

10. Колтынюк Б.А. Рынок ценных бумаг: Учебник.– СПб.: Издательство Михайлова В.А., 2010.

11. Нешитой А.С.Инвестиции. (Учебник) (2007, 5-е изд.)

13. Рынок ценных бумаг. /Под ред. В.С. Золотаревой.– Ростов-на-Дону: Феникс, 2010.

14. Рынок ценных бумаг и биржевое дело: Учеб. для вузов / Под ред. О.И. Дегтяревой, Н.М. Коршунова, Е.Ф. Жукова ЮНИТИ-Дана, 2011.

15. Селюков В.К., Соколов Н.К. Финансовая деятельность организации: Учебное пособие. – М.: Издательство МГТУ им. Н.Э.Баумана, 2010.

16. Стародубцева Е.Б. Рынок ценных бумаг. (Учебник для ССУЗов) (2008)

17. Тертышный С.А. Рынок ценных бумаг и методы его анализа.– СПб.: Питер, 2010.

18. Ценные бумаги: Учебник / под ред. В.И.Колесникова, В.С Торкановского.– М.: Финансы и статистика, 2010.

19. www.iguru.ru

Приложение 1

«Классификация портфелей ценных бумаг»


Рис 1.1 «Классификация портфелей ценных бумаг»

Приложение 2

«Основные показатели ожидаемой нормы дохода от инвестиций»

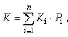
   Показатель «ожидаемая норма дохода»  определяется по формуле средней арифметической взвешенной:

                                                  

где K — ожидаемая норма дохода;

ki — норма дохода при i-м состоянии экономики;

Pi — вероятность i-го состояния экономики;

n — номер вероятного результата.

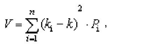
   Для измерения общего риска используется ряд показателей из области математической статистики. Прежде всего, это показатель вариации, который измеряет дисперсию (разбросанность) вокруг ожидаемой нормы дохода. Для расчета вариации дискретного распределения используют следующую формулу:

Подпись:

где V — вариация;

k — ожидаемая норма дохода;

ki — норма дохода при i-м состоянии экономики;

n — номер вероятного результата;

Pi — вероятность i-го состояния экономики.

       

        Показатель стандартная девиация, или среднее квадратичное отклонение, является квадратным корнем вариации:

                                             

   Ожидаемая норма дохода по портфелю ценных бумаг представляет собой средневзвешенную величину ожидаемых доходов по каждой отдельной группе ценных бумаг, входящих в этот портфель:

                                      

где kp — ожидаемая норма дохода по портфелю ценных бумаг;

      ki — ожидаемая норма дохода по i-й инвестиции;

     xi — доля i-й инвестиции в портфеле;

      n — номер инвестиции в портфеле.

Приложение 3

« Примеры активного управления портфелем»

Пример 1.

       Менеджер полагает, что краткосрочные ставки будут падать. Тогда целесообразно брать краткосрочные кредиты и размещать средства в более долгосрочные активы. Допустим, одномесячный кредит можно взять под 33% годовых. ГКО с истечением через три месяца приносит доходность 34% и стоит 921700 руб. Менеджер полагает, что через месяц одномесячный кредит можно будет взять под 30% годовых, а еще через месяц — также под 30%. Он берет одномесячный кредит на муссу 921700 тыс. руб. под 33% годовых и размещает его в трехмесячное ГКО. Предположим, он оказался прав в ожиданиях относительно будущей конъюнктуры. Для погашения первого кредита он берет второй месячный кредит под 30%. Для погашения второго кредита — третий месячный кредит под 30%. Общая сумма, выплаченная менеджером по кредитам за трехмесячный период составила: 921700 тыс. (1 + 0,33/12) (1 + 0,3/12) 2 = 994990,99 тыс. руб.

При погашении ГКО через три месяца менеджер получает сумму 1 млрд руб. Его доход составил:

1000000 тыс. - 994990,99 тыс. = 5009,01 тыс. руб.

Пример 2.

    Менеджер ожидает, что краткосрочные ставки вырастут. Тогда он берет более долгосрочный кредит и размещает его последовательно в ряд более краткосрочных активов. Допустим, что ставка по трехмесячному кредиту равна 30%. ГКО с погашением через месяц приносит 25% годовых и стоит 979600 руб. Менеджер полагает, что в последующие месяцы доходность трехмесячных ГКО повысится, поэтому берет кредит в сумме 979600 тыс. руб. и покупает ГКО с погашением через один месяц. При погашении он покупает следующие одномесячные ГКО с доходностью 31% (менеджер оказался прав в ожиданиях) и еще через месяц еще одномесячные ГКО с доходностью 33%.

По кредиту менеджер должен вернуть сумму:

979600 тыс. (1 + 0,3/4) = 1053070 тыс. руб.

По ГКО он получит сумму:

979600000 (1 + 0,25/12) (1 + 0,31/12) (1 + 0,33/12) = 1054052,53 тыс. руб.

Его доход составил:

1054052,53 тыс. - 1053070 тыс. = 982,53 тыс. руб.

Похожие работы на - Теоретические основы портфельного инвестирования. Курсовой проект

 

Не нашли материал для своей работы?
Поможем написать уникальную работу
Без плагиата!
Без нейросетей!