Пожежі, їх види, причини виникнення
ДЕРЖАВНА
ПОДАТКОВА АДМІНІСТРАЦІЯ УКРАЇНИ
НАЦІОНАЛЬНИЙ
УНІВЕРСИТЕТ
ДЕРЖАВНОЇ
ПОДАТКОВОЇ СЛУЖБИ УКРАЇНИ
Факультет
Заочний
Кафедра
Техногенно - екологічної безпеки
РЕФЕРАТ
З
КУРСУ
ОСНОВИ
БЕЗПЕКИ ЖИТТЕДІЯЛЬНОСТІ
НА
ТЕМУ
Пожежі, їх види, причини виникнення
ВИКОНАВ:
СТУДЕНТ ГРУПИ
ФБз - 11
ЛЕПЕХА АНДРІЙ
ІРПІНЬ
2010
Основні причини
пожеж
1.
Необережне
поводження з вогнем
2.
Порушення
правил установлення (монтажу) та експлуатації електроустаткування та побутових
електроприладів
3.
Порушення
правил установлення (монтажу) та експлуатації приладів опалення
4.
Підпали
5.
Пустощі
дітей з вогнем
6.
Несправність
виробничого устаткування
За
вищевказаними причинами виникає понад 90% усіх пожеж в нашій державі. Існує й
ряд інших причин пожеж, які будуть розглянуті в наступних розділах.
Основною
причиною пожеж, що має стійке зростання, є необережне поводження з вогнем.
Динаміка пожеж за цією причиною наведена на рис. 1.5.
пожежа
горіння самозаймання
Рис.
1.5. Динаміка пожеж за причиною необережного поводження з вогнем в % від загальної
кількості пожеж
Пожежі
можна поділити на ПРИРОДНІ та АНТРОПОГЕННІ. До ПРИРОДНИХ належать пожежі, що
виникають внаслідок прямих ударів блискавки (розрядів атмосферної електрики),
виверження вулканів, самозаймання торфу, вугілля тощо. Кількість таких пожеж
незначна – менше 1%.
АНТРОПОГЕННІ
пожежі прямо чи побічно пов'язані з людським чинником, тобто з
пожежонебезпечною діяльністю людини або невтручанням людини з метою запобігання
пожежонебезпечних ситуацій. Такі пожежі виникають у 99 випадках із 100.
Якщо
синтезувати на підставі аналізу наявні причини пожеж та виділити головну з них,
то ми легко впевнимося, що абсолютна більшість пожеж виникає безпосередньо з
вини людини, або через необізнаність з правилами і вимогами пожежної безпеки,
або внаслідок несвідомого, поверхового, недбалого ставлення до їх виконання.
Теоретичні основи процесів горіння та вибуху
Наука
про горіння – надзвичайно багатобічна галузь. Прояви горіння досить
різноманітні: швидке згоряння горючих парів у двигунах внутрішнього згоряння,
регулювання спалювання палива в теплоенергетичних установках, утилізація
горючих відходів тощо. Наше завдання – розглянути процес горіння відносно до
явищ, пов’язаних з пожежами.
ГОРІННЯ
можна визначити як екзотермічну реакцію окиснення речовини, яка супроводжується
виділенням диму та (або) виникненням полум’я та (або) світінням. ГОРІННЯ
є з’єднання кисню або іншого окисника з горючою речовиною.
Дамо
визначення вищевказаним явищам:
ПОЛУМ’Я
– це зона горіння в газовій фазі з видимим випромінюванням світла.
СВІТІННЯ
– безполуменеве горіння матеріалу (речовини) в твердій фазі з видимим випромінюванням
світла із зони горіння.
ДИМ
– видимі тверді та (або) рідкі частинки в газах, що утворюються в результаті
горіння або піролізу матеріалів.
З’єднання
окисника з горючою речовиною носить екзотермічний характер, тобто має місце
виділення теплової енергії. Для деяких горючих речовин така реакція може
початися за нормальними температурами навколишнього середовища під дією
безпосередньо кисню повітря або ряду інших стимулюючих чинників. Однак лише у
виключних випадках подібні реакції можуть призвести до пожежі, тому що
швидкість їх перебігу невисока і у речовин з малою теплопровідністю тепло що
розсіюється в навколишнє середовище, викликає незначне підвищення температури
речовини.
При
певній температурі (температурі займання), що залежить від природи речовини та
деяких інших факторів, виникає активізація, різко підвищується рівноважна
температура і речовина займається. Для того щоб мало місце спалахування, тобто
займання, що супроводжується появою полум’я, речовина повинна розпочати
виділяти горючі гази або пари в результаті випаровування, розкладу або хімічної
реакції. У протилежному випадку горіння буде безполуменевим.
ДЖЕРЕЛО
ЗАПАЛЮВАННЯ – це теплова енергія, що призводить до займання. Це джерело повинно
мати певний запас енергії та температуру, достатню для початку реакції. Горюча
речовина (пальне) та окисник повинні знаходитися в необхідному співвідношенні
один з одним. Як правило, окисник – це кисень повітря, вміст якого в атмосфері,
що нас оточує, становить близько 21%.. Умови виникнення горіння
Горючі
речовини разом з окисником утворюють горючу систему (горючу суміш).
Широко
використовується поняття ГОРЮЧЕ СЕРЕДОВИЩЕ. Це середовище, що здатне самостійно
горіти після видалення джерела запалювання.
Горючі
суміші, залежно від співвідношення пального та окисника, поділяються на:
бідні, що
вміщують у достатку, в порівнянні зі стехіометричним співвідношенням
компонентів, окисник;
багаті, що вміщують у достатку пальне.
У
разі, коли співвідношення між компонентами горючої суміші таке, що згоряння
проходить повністю та в продуктах горіння відсутні вихідні речовини, ми маємо
справу зі СТЕХІОМЕТРИЧНОЮ горючою системою.
Для
повного згоряння необхідна наявність достатньої кількості кисню, щоб
забезпечити повне перетворення пального в його насичені оксиди. При недостатній
подачі повітря окиснюється тільки частина речовини. Залишок розкладається з
виділенням великої кількості диму. При цьому утворюється найбільш
розповсюджений продукт неповного згоряння – оксид вуглецю (СО). Дим складається
з твердих та рідких частинок, які залишаються у завислому стані в газоподібних
продуктах горіння та пересуваються разом з ними. Речовини, в продуктах розкладу
яких вміщується більший процент важких фракцій, наприклад смоли, утворюють
густий дим.
На
пожежах, як правило, горіння відбувається за браком окисника, що призводить до
утворення неповних продуктів горіння та виділення диму. У свою чергу, такі
обставини серйозно ускладнюють пожежогасіння внаслідок погіршення видимості або
наявності токсичних речовин у повітряному середовищі.
Надлишок
повітря, з іншого боку, охолоджує газоподібні продукти горіння. У тих випадках,
коли пального небагато, охолодження буває достатньо, щоб загасити вогонь,
оскільки температура падає нижче рівня, необхідного для займання. Саме таке
явище має місце, коли задувають свічку. У той же час сильний вітер під час
лісової пожежі здійснює зворотну дію, тому що маса горючого матеріалу та об’єм
газоподібних продуктів горіння надто великі, щоб могло бути здійснено необхідне
охолодження.
Горіння
деяких речовин (наприклад, ацетилену, оксиду етилену тощо), які здатні при
розкладанні виділяти велику кількість тепла, можливо й за відсутності окисника.
Горіння
являє собою незворотний процес, тому що з продуктів горіння та термічного
розкладу неможливо знову створити речовину, що згоріла. Під час простого
згоряння речовини має місце руйнування хімічної структури та визволення дози
енергії.
Основні
СТАДІЇ ПОЛУМЕНЕВОГО ГОРІННЯ представлені на рис. 2.2.
Рис.
2.1 Основні стадії полуменевого горіння
У
всіх випадках для горіння характерні три типові стадії: виникнення, поширення
та згасання полум’я. Найбільш загальними властивостями горіння є здатність
осередку полум’я, яке виникло, пересуватися по всій горючій суміші шляхом
передачі тепла або дифузії активних частинок із зони горіння в свіжу суміш.
Звідси виникає й механізм поширення полум’я, відповідно ТЕПЛОВИЙ та ДИФУЗІЙНИЙ.
Горіння проходить, як правило, за комбінованим тепловим дифузійним механізмом.
Існує
два режими проходження горіння:
Рис.
2.2. Схема поширення полум’я в гомогенній газовій суміші:
1–
скляна трубка; 2 – джерело запалювання;
З
– фронт полум’я; 4 – напрямок поширення полум’я
САМОСПАЛАХУВАННЯ
– полягає в різкому збільшенні швидкості екзотермічних об’ємних реакцій, що
супроводжується полуменевим горінням, тобто – це самочинне виникнення
полуменевого горіння попередньо нагрітої до певної критичної температури
горючої суміші. Така температура має назву ТЕМПЕРАТУРИ САМОСПАЛАХУВАННЯ.
ПОШИРЕННЯ
ФРОНТУ ПОЛУМ’Я (МЕЖІ ЗОНИ ГОРІННЯ В ГАЗОВІЙ ФАЗІ) здійснюється по холодній
суміші під час її локального займання (спалахування) від зовнішнього джерела.
Для
того, щоб отримати уявлення про поширення фронту полум’я, помістимо гомогенну
горючу суміш в скляну трубку, відкриту з одного кінця (рис. 2.3), та запалимо
її за допомогою зовнішнього джерела запалювання.
Спочатку
полум’я поширюється сферично. При досягненні стінок трубки воно перетворюється
в плоский вузький – завтовшки менш 10–6 м фронт, що рухається у бік
свіжої суміші. Продукти горіння, що утворюються, об’єм яких внаслідок
підвищення температури в декілька разів перевищує об’єм вихідної суміші,
витікають з трубки через відкритий кінець. Швидкість переміщення фронту полум’я
відносно неспаленого газу по нормалі до його поверхні називається НОРМАЛЬНОЮ
ШВИДКІСТЮ ПОШИРЕННЯ ПОЛУМ’Я та позначається UH.
Нормальна
швидкість поширення полум’я характеризується мінімальною величиною, не залежить
від умов, а тільки лише від хімічного складу горючої суміші та співвідношення
пального з окисником. Максимальне значення UH відповідає стехіометричному
співвідношенню компонентів горючої суміші. Цей показник має характер
фізико-хімічної константи.
У
разі закриття вільного кінця трубки, нагріті продукти горіння будуть, як
поршень тиснути на полум’я та збільшувати швидкість його переміщення. Сумарна
швидкість такого переміщення фронту полум’я називається ВИДИМОЮ ШВИДКІСТЮ
ПОЛУМ’Я та позначається 1/В. її можна визначити через співвідношення
(2.1)
де
ε – ступінь розширення продуктів горіння, що розраховується за формулою
(2.2)
де
η – відношення числа молей продуктів горіння до числа молей вихідної суміші;
Величина
η для вуглеводневих горючих речовин близька до одиниці. Схема дифузійного
горіння наведена на рис. 2.4.
У
процесі дифузійного горіння полум’я наче стоїть на місці, а в нього втікають з одного
боку – горючі пари та гази (зона А), з іншого боку – повітря (зона В).
Рис.
2.3. Схема дифузійного горіння:
А
– зона горючих парів;
Б
– зона горіння;
В
– навколишнє середовище (повітря)
Важливішою особливістю всіх процесів горіння є самоприскорювальний
характер хімічної реакції.
(2.3)
Виходячи
з уявлення про кінетику хімічних реакцій, швидкість реакції описується
рівнянням Арреніуса:
де
[П] та [О] – відповідно концентрації пального та окисника;
А – передекспонента;
а та. b –
стехіометричні
коефіцієнти, з якими беруть участь в реакції компоненти горючої суміші;
Е –
енергія активації, яка потрібна для такого послаблення внутрішньомолекулярних
зв’язків, щоб розпочалася реакція;
Т –
температура;
R– газова стала.
Самоприскорені
перетворення при горінні можуть відбуватися за ТЕПЛОВИМ та ЛАНЦЮГОВИМ
механізмами.
Суть
теплового механізму полягає в зростанні W зі збільшенням Т, а збільшення
Т, в свою чергу, зумовлене екзотермічністю реакції
окиснення-відновлення. Згідно з теорією «теплового вибуху», розігрів у горючій
суміші при її послідовному нагріванні зовні зумовлюється співвідношенням швидкостей
процесів тепловиділення
та
тепловідведення з зони реакції
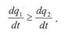
і виникає при досягненні умови:
(2.4)
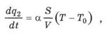
Оскільки
змінюється згідно з
рівнянням (2.3) за температурою експоненціально (де Q – тепловий ефект реакції; W – швидкість реакції), а
(2.5)
змінюється
з температурою лінійно, то зі зростанням температури інтенсивність
тепловиділення починає випереджати інтенсивність тепловідведення.
У
виразі (2.5):
α
– коефіцієнт тепловіддачі в стінки реакційної посудини;
S –
поверхня посудини;
V – об’єм
посудини;
Т, Т0 – температури поточна та початкова.
Таким
чином, при безперервному нагріванні горючої суміші обов’язково повинна
досягатися умова, що визначена нерівністю (2.4). Найнижча температура, за якої
досягається ця умова, є температурою самозаймання. Прискорення реакції може
досягатися не тільки через підвищення температури при саморозігріванні протягом
екзотермічної реакції, але й в результаті особливого характеру хімічних
перетворень при горінні – ЛАНЦЮГОВИХ РЕАКЦІЙ. Носіями таких реакцій є особливо
активні частинки: радикали та атоми, які мають вільні валентні зв’язки. Коли ці
частинки зштовхуються з вихідними молекулами або продуктами перетворювання,
взаємодія між ними має місце при значно менших значеннях енергії активації, ніж
при молекулярних процесах. В особливого роду ланцюгових реакціях, що
називаються РОЗГАЛУЖЕНИМИ, швидкість реакції бурхливо зростає за рахунок того,
що внаслідок взаємодії активного центра з молекулою утворюється декілька
активних центрів. Від додатково створених активних частинок виникають власні
ланцюги перетворень, які призводять до ще більшого накопичення активних центрів
та лавиноподібного зростання швидкості сумарного процесу. У той же час в деяких
реакціях активні частинки можуть взаємодіяти з іншими частинками таким чином,
що активні центри взагалі не будуть утворюватися, що призведе до розірвання
ланцюгової реакції. Кінцевий результат залежить від співвідношення швидкостей
реакцій розгалуження та розірвання ланцюгів.
Характерним
прикладом розгалуженої ланцюгової реакції є окиснення водню, що проходить за
такою схемою:
З
наведеної схеми видно, що протягом одного циклу перетворень кожний атом водню,
що вступає в реакцію, призводить до утворення трьох нових активних частинок,
позначених точками над відповідними хімічними символами. Якщо розгалуження
проходить частіше, ніж обривання ланцюга, то швидкість реакції буде безперервно
зростати, що призведе кінець кінцем до самозаймання. При цьому в даному випадку
для прискорення реакції не потрібно нагрівати суміш. Екзотермічний хімічний
процес, що розпочався ланцюговим шляхом, супроводжується виділенням тепла, яке
призводить до теплового самоприскорення.
Слід
відзначити, що в умовах реальної пожежі горіння проходить за комбінованим
ланцюгово-тепловим механізмом.
Надзвичайно швидке хімічне перетворення речовини, що супроводжується
виділенням енергії та утворюванням стиснених газів, здатних виконувати
механічну роботу, називається ВИБУХОМ. Під час вибуху відбувається процес
вивільнення великої кількості енергії в обмеженому об’ємі за короткий проміжок
часу.
Вибухонебезпечна
(або вибухова) суміш, яка заповнює об’єм, в якому була виділена енергія,
перетворюється в сильно нагрітий газ з високим тиском. Цей газ з великою силою
діє на навколишнє середовище, здійснює утворювання вибухової хвилі. З
віддаленням від місця вибуху механічна дія вибухової хвилі послаблюється.
Реальні
вибухи газопилоповітряних сумішей мають здебільшого дефлаграційний характер. Як
приклад розглянемо процес розвитку вибуху стехіометричної вуглеводнеповітряної
суміші в обмеженому просторі. Стехіометричний склад суміші зумовлює розвиток
рівномірно поширюваного на всі боки сферичного полум’я. Припустимо, що після
займання в центрі хмари цієї суміші полум’я поширюється з постійною швидкістю
відповідно до формули (2.1). При цьому буде розвиватися надлишковий тиск,
швидкість збільшення якого буде визначатися швидкістю накопичення продуктів
горіння, тобто швидкістю розширення сфери, обмежованої фронтом полум’я:
(2.6)
де
q – об’єм продуктів горіння, м3;
V –
об’єм об’єкта, м3.
(2.7)
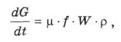
Разом
з накопиченням продуктів горіння проходить витікання газів з об’єкта через
нещільності та отвори. Витрата газу при цьому визначається за формулою
де
µ – коефіцієнт витрати;
f
– сумарна площа нещільностей, м2;
W – швидкість витікання газів,
м·с-1;
ρ
– густина газів, що витікають, кг·м-3.
Підсумований
тиск вибуху в кожний момент часу можна визначити спільним розв’язанням обох
рівнянь.
Види горіння. Зони й класи пожеж
Залежно
від агрегатного стану пального та окисника розрізняють три види горіння:
ГОМОГЕННЕ
ГОРІННЯ газів і пароподібних горючих речовин в середовищі газоподібного
окисника;
ГЕТЕРОГЕННЕ
ГОРІННЯ твердих горючих речовин в середовищі газоподібного окисника;
ГОРІННЯ
ВИБУХОВИХ РЕЧОВИН ТА ПОРОХІВ.
Горіння
рідких горючих речовин в рідких окисниках є різновидом гетерогенного горіння.
За
швидкістю поширення полум’я горіння поділяється на:
ДЕФЛАГРАЦІЙНЕ
– швидкість
полум’я в межах декількох м·с-1;
ВИБУХОВЕ
– швидкість полум’я до сотень м·с-1;
ДЕТОНАЦІЙНЕ
– поширюється із надзвуковими швидкостями порядку тисяч м·с-1.
Дозвукове
горіння поділяється на ламінарне та турбулентне.
ЛАМІНАРНЕ
горіння характеризується пошаровим поширенням фронту полум’я по свіжій горючій
суміші, ТУРБУЛЕНТНЕ – змішуванням шарів потоку.
Як
нам уже відомо, в процесі горіння утворюються продукти горіння. Крім диму, до
них належать:
САЖА
– тонкодисперсний аморфний вуглецевий залишок, що утворюється під час неповного
згоряння;
ЗОЛА
– неорганічні залишки після повного згоряння;
ШЛАК
(ЖУЖІЛЬ) – твердий агломерат залишків часткового або повного плавлення
матеріалу як результат його повного або неповного згоряння.
Залежно
від видів горіння визначаються й типи пожеж (табл. 2.1).
Таблиця
2.1 Типи та умови пожежі
|
Найменування
|
Температура,
що спостерігається, °С
|
|
Тління
Безполуменевий
піроліз
Полуменеве
горіння, що розвивається
Полуменеве
горіння, що повністю розвинулось при низькій швидкості газообміну
Розвинене
полуменеве горіння при високій швидкості газообміну
|
100 і більше
до 500
1000
400–600
600–1000
600–1000
|
Етапи
розвитку пожежі розглянемо на прикладах пожежі у звичайному приміщенні:
I
етап пожежі – перетворення загоряння в пожежу, тривалість – 1–3 хв.
II
етап пожежі – зростання зони горіння – 5–6 хв.
III
етап
пожежі – бурхливий процес горіння, температура всередині приміщення досягає
250–300 °С, починається об’ємний розвиток пожежі, коли полум’я заповнює весь
об’єм приміщення і поширення полум’я проходить вже не по поверхні, а
дистанційно – через розриви. Руйнування засклення. Тривалість – 6–9 хв.
IV
етап – як
результат руйнування засклення, приплив свіжого повітря різко сприяє розвитку
пожежі. Температура всередині приміщення підвищується з 500–600 °С до 800–900
°С. Швидкість вигоряння максимальна. Тривалість – 9–12 хв.
Рис.
2.4. Зони пожежі
V
етап – стабілізація пожежі на 20–25 хв від початку горіння.
VI
етап – зниження інтенсивності горіння.
Протягом
перших двох етапів проходить лінійне поширення вогню. Тому дуже важливо в цей
час викликати пожежні підрозділи та вжити заходів щодо гасіння пожежі до
початку етапу її бурхливого зростання.
Активна
ділянка пожежі включає в себе чотири зони (рис. 2.5).
ЗОНА
ГОРІННЯ – частина простору, в якій безпосередньо відбувається горіння. Вона
може обмежуватися огороджувальними конструкціями будівель, споруд, приміщень,
стінками технологічного устаткування.
ЗОНА
ТЕПЛОВОГО ВПЛИВУ – прилеглий до зони горіння простір, в якому проходить
тепловий обмін між зоною горіння та навколишнім середовищем, конструкціями та
матеріалами. Межі даної зони визначаються гранично допустимими значеннями
теплових потоків і температур для людини, конструкцій та горючих матеріалів.
Теплопередача в навколишнє середовище здійснюється способами конвекції,
теплового випромінювання та теплопровідністю.
ЗОНА
ЗАДИМЛЕННЯ – простір, суміжний з зоною горіння, в якому можливе розповсюдження
продуктів горіння.
ЗОНА
ТОКСИЧНОСТІ – об’єм простору, заповнений димовими газами, що вміщують токсичні
продукти горіння в концентраціях, небезпечних для життя та здоров’я людей.
Під
час пожежі зони знаходяться в стані постійного динамічного переміщення та
перекривають одна одну.
Залежно
від агрегатного стану й особливостей горіння різних горючих речовин і
матеріалів, пожежі поділяються за ГОСТ 27331-87 на відповідні класи та
підкласи, що наведені на рис. 2.6 (див. с. 30).
Горіння твердих речовин та матеріалів
Спочатку
розглянемо явища, що спричиняють пожежі з горінням твердих речовин. До них
належать: полум’я, теплове випромінювання, розжарені матеріали.
Коли
тверда речовина піддається впливу полум’я, його температура підвищується, що
може викликати пожежу. Ймовірність виникнення пожежі залежить від таких
факторів:
характеру твердої речовини, яка може бути горючою або негорючою;
маси твердої речовини – зрозуміло, що невелика кількість матеріалуне здатна виділити
достатню кількість теплоти згоряння для розповсюдження пожежі;
стану твердої речовини – легко запалити за допомогою сірника деревну стружку або
окремі листки паперу, оскільки у цих матеріалів більша площа поверхні,
відкритої для доступу повітря, і, отже, висока швидкість окиснення, тоді як для
займання колоди або щільної пачки паперу треба потужніше джерело запалювання;
спосіб, за допомогою якого запалюється тверда горюча речовина; якщо предмет з цієї речовини
знаходиться над вогнем вертикально, він загориться швидше, ніж при
горизонтальному розташуванні.
Рис. 2.6. Класи
пожеж за ГОСТ 27331-87
Не
завжди для виникнення горіння необхідно, щоб горючі речовини вступали в
безпосередній контакт з полум’ям або сильно нагрітими матеріалами. Усі джерела
тепла випромінюють видимі та інфрачервоні промені, тобто електромагнітні хвилі.
Коли ці хвилі зустрічають перешкоду (в нашому випадку – горючу речовину), вони
передають йому свою енергію, яка перетворюється в тепло. Таким чином, тіло, що
опромінюється, нагрівається і, при недостатньому охолодженні, може досягти
температури займання та загорітися. Так, дрова, складені на невеликій відстані
від печі, яка топиться протягом тривалого часу, можуть зайнятися та викликати
пожежу.
Нагрітий
до високої температури розжарений матеріал, чи то паливо (наприклад, кокс), чи
негорючий матеріал (наприклад, розжарений до червоного кольору метал),
спроможний викликати загоряння при доторканні до горючого твердого тіла за
умов, що його маса досить велика, щоб перешкодити надто швидкому охолодженню, і
що саме горюче тіло знаходиться в стані, який забезпечує швидке окиснення
(деревна стружка, тирса, нещільно складений папір тощо). В останньому прикладі
достатньо бризок розплавленого металу від газового різака. Тверда речовина,
нагріта вище температури, при якій вона розжарюється (наприклад, провідник
електричного струму при перевантаженні), здатна запалити матеріал, з яким вона
знаходиться в контакті, якщо тепло не буде розсіюватися достатньо швидко.
Ознайомимося
з особливостями горіння твердих речовин на прикладі найбільш поширеної речовини
цього класу – деревини та її похідних.
Деревина
використовується у виробництві фанери, деревностружкових та деревноволокнистих
плит, целюлози, паперу, плівок, смоли, багатьох інших продуктів та виробів.
Широке використання деревини має свою негативну сторону з точки зору підвищення
рівня пожежної небезпеки місць її накопичення та використання. Деревина
належить до групи горючих матеріалів, займання яких за певних умов можливе
навіть від малокалорійного джерела запалювання.
Речовина,
з якої складається деревина, являє собою складний комплекс, де 99% маси – це
органічні з’єднання. Близько 75% органічних речовин деревини складають
вуглеводи, головним чином целюлоза, яка виконує функцію основного структурного
компонента кліткових стінок рослин.
Розглядаючи
деревні породи як горючий матеріал, необхідно враховувати їх елементний склад,
за яким вони відрізняються незначною мірою.
Деревина вміщує 49 – 50% вуглецю, 43 – 44% кисню, 6,0 – 6,5% водню. Інші
складові (азот та неорганічні елементи) – 0,1– 0,3%.
Таким
чином, деревина має великий вміст кисню, який бере участь в процесі горіння
разом з киснем повітря. Цим зумовлена здатність деревини до тління, а також
деякі інші характеристики її пожежної небезпеки. Необхідно враховувати, що
деревина – пористий матеріал, в якому об’єм порожнин, заповнених повітрям,
перевищує об’єм твердої речовини. Наявність таких повітряних включень зумовлює
відносну низьку теплопровідність деревини та пов’язані з цим займистість та
повільне прогрівання внутрішніх шарів.
При
нагріванні деревини змінюється її структура, фізичні та хімічні властивості.
Характер змін залежить від режиму нагрівання, складу газового середовища та
тиску. Термічні перетворення відбуваються за полімераналогічними та
макромолекулярними реакціями. Компоненти деревини у цьому стані реагують на
термічні впливи інакше, ніж всередині мікроструктури. Взаємовплив компонентів
під час нагрівання достатньо складний.
При
швидкому підвищенні температури до 150 °С з деревини випаровується в основному
волога (згадайте «шипіння» сирих дров, кинутих до багаття), потім починається
її розкладання з виділенням летких горючих речовин. За температурою 160–170 °С
відбувається як ендотермічна реакція часткового гідролізу, так і екзотермічні
процеси ущільнення макромолекул.
При
нагріванні целюлози (основного компонента деревини) до 250–280 °С її деструкція
(руйнування) розвивається дуже повільно. Подальше підвищення температури
призводить до різкого зростання швидкості розкладання, яка досягає максимуму в
діапазоні 325–380 °С.
Можна
виділити чотири стадії процесу піролізу целюлози:
молекулярна
реакція, що призводить до дегідратації (зневоднення);
розрив
зв’язків С–О–С з розвитком деполімеризації та утворюванням інших сполук, що
визначаються як фракції смоли;
розклад
продуктів дегідратації до утворення вугілля та органічних летких продуктів;
утворення
оксидів вуглецю, води та водню.
Процес
термічних перетворень целюлози, де нагрівання зумовлено зовнішнім джерелом або
зворотним тепловим потоком продуктів горіння матеріалів, наведені на рис. 2.7.
За
температури 200–280 °С переважає дегідратація, але з різким зниженням ступеня
полімеризації целюлози розвиваються деструктивні процеси. При температурі
280–340 °С домінує деполімеризація. Ці реакції є конкуруючими. Тому, у разі
зміни умов, їх можна зсунути в тому чи іншому напрямку.
Горючі
леткі продукти змішуються з киснем повітря та займаються. Реакція горіння в
газовій фазі (полум’я) визначає 75% загальної теплоти згоряння целюлози.
Вугілля (коксовий залишок) при з’єднанні з киснем повітря горить у
конденсованій фазі, яку також називають тлінням. На частку тління випадає
залишок – 25% теплоти згоряння целюлози.
В
інтервалі температур 300–500 °С при піролізі деревини формується мікроструктура
вугілля.
Рис 2.7. Термічне
перетворення целюлози
Горіння
деревини включає в себе процес термічного розкладу з утворюванням летких та
твердих продуктів та їх наступного окиснення. Парогазова суміш продуктів термічного
розкладу деревини, що утворюється при температурах 200 °С, є горючою. Вона
вміщує вуглеводи, водень, оксид вуглецю та пару органічних речовин. При
досягненні певної концентрації та при наявності джерела запалювання вони
займаються, що зумовлює подальше зростання температури та перехід процесу до
екзотермічної стадії.
Деревина
займається як від відкритого джерела вогню, так і від нагрітих предметів і
горючих газів. За певних умов спостерігається самозаймання деревини, яке
реєструється при температурі вище 330 °С. Проте в умовах тривалого нагрівання
воно може спостерігатися при нижчих температурах.
Продовження
самостійного горіння деревини проходить за умови, що кількість теплоти, що
віддається поверхнею, яка горить, в одиницю часу в навколишнє середовище, не
перевищує кількості теплоти, генерованої цією поверхнею.
Після
займання температура поверхневого шару деревини підвищується до 290–400 °С. При
цьому вихід газоподібних продуктів стає максимальним, що забезпечує подальший
розвиток горіння. Як результат верхній шар перетворюється у деревне вугілля,
яке в даних умовах ще не може горіти, оскільки кисень повітря витрачається в
реакціях, що відбуваються в газофазній зоні, й не досягає поверхні.
Горіння
деревини завжди проходить стадію розкладання, що характеризується явищами
поглинання та виділення тепла. Між поверхнею, що горить, та близько
розташованими ділянками знаходиться шар, в якому відбувається підготовчий
ендотермічний процес, що перешкоджає розповсюдженню тепла.
При
розкладанні деревини, особливо в процесі горіння, її склад змінюється:
зменшується вміст водню та кисню, збільшується відносна частка вуглецю. При
досягненні температури понад 400 °С у складі вугілля переважає вуглець, тому
виділення газоподібних речовин різко скорочується.
Коли
температура вугілля на поверхні складає 500–700 °С, розташовані за ним шари
також розкладаються з виділенням горючих газів. Одночасно зростає шар вугілля,
який перешкоджає виходу цих газів. Полум’я залишається тільки біля тріщин
вугілля (знову згадаємо багаття), й кисень може досягти його поверхні.
Внаслідок цього продовжується горіння летких продуктів розкладу й одночасно
починається горіння твердого залишку.
При
товщині шару вугілля 2–2,5 см має місце рівновага між лінійною швидкістю
вигоряння вугілля, швидкістю прогрівання та розкладу деревини.
Після
цього рівновага зсувається в бік перетворення у вугілля всього об’єму деревини.
Отже, процес горіння деревини складається з двох основних періодів:
горіння парів й газів, що утворюються при її розкладанні; горіння вугілля, що
утворилося.
Між
зазначеними періодами є перехідний етап, що характеризується перебігом обох
процесів.
В
умовах пожежі більше значення має перший період, оскільки він супроводжується
виходом основної маси нагрітих до високої температури летких горючих продуктів,
на які припадає до 80% теплоти згоряння деревини. Частина цього тепла
акумулюється «свіжою» поверхнею матеріалу, ініціює процес самостійного горіння.
Деревина
належить до матеріалів, горіння яких за певних умов може відбуватися у вигляді
тління.
ТЛІННЯ
(ЖЕВРІННЯ) визначається як процес безполуменевого горіння твердого матеріалу
(речовини), який установлюється за умови недостатнього припливу до матеріалу,
що горить, кисню та тепла, та часто супроводжується виділенням диму.
Дослідженням
кінетики температурних полів в осередку тління деревної тирси та об’ємі, що
прилягає до нього, встановлено, що форма осередку тління близька до сферичної.
Швидкість поширення фронту тління однакова у всіх напрямках і залежить від
породи деревини, насипної щільності, вологості та розмірів частинок. Зі
збільшенням розмірів частинок швидкість поширення фронту тління й температура в
осередку знижуються. Підвищення насипної щільності в 2 рази порівняно з початковою
припиняє процес тління.
У
зонах, прилеглих до осередку, відзначаються аномальні теплофізичні властивості
полімерного матеріалу, що утворюється: зменшення ефективного коефіцієнта
теплопровідності, збільшення ефективної теплоємності та вологості.
Сферичний
шар полімерного матеріалу, який оточує осередок тління, перешкоджає розсіюванню
теплоти осередку в об’ємі та створює ефект «адіабатичної сорочки», що й пояснює
високу «живучість» осередку тління та труднощі, пов’язані з гасінням.
Знання
особливостей термічного розкладу й горіння деревини має основоположне значення
для оцінки її пожежної небезпеки, а також для розробки засобів та способів її
вогнезахисту.
Горіння рідин
РІДИНИ
– речовини, тиск насичених парів яких при температурі 25 °С та тиску 101,3 кПа
(1 атм) менше 101,3 кПа. До рідин належать також тверді плавкі речовини,
температура плавлення або краплепадіння яких менше 50 °С.
Рідини,
які горять, поділяють на ГОРЮЧІ та ЛЕГКОЗАЙМИСТІ. Відповідно до міжнародних
рекомендацій, до легкозаймистих належать всі горючі рідини, що мають
температуру спалаху нижче 61 °С (при визначенні в лабораторних умовах у
закритому тиглі) або 66 °С (у відкритому тиглі). Особливо небезпечними є
легкозаймисті рідини з температурою спалаху не більше 28 °С.
Горіння
рідин відбувається у газовій фазі та являє собою складний фізико-хімічний
процес, що проходить при взаємному впливі кінетичних, теплових і
гідродинамічних явищ. Як результат випаровування, над поверхнею рідини
утворюється паровий потік, змішування та хімічна взаємодія якого з киснем
повітря забезпечує формування зони горіння, тобто тонкого шару газів, що світиться,
і в який з поверхні рідини надходять горючі пари, а з повітря дифундує кисень.
Стехіометрична суміш, що виникає, згоряє за частку секунди. Оскільки швидкість
хімічного перетворення в зоні горіння в даному випадку залежить від швидкості
надходження реагуючих компонентів до поверхні полум’я шляхом молекулярної та
конвективної дифузії, процес горіння рідин називається дифузійним горінням.
Спрощено горіння рідини показано на рис. 2.8.
|
|
 |
Рис. 2.7. Схема
дифузійного горіння рідини
Розміри
та форма полум’я рідин суттєво залежать від діаметра резервуара, в якому
відбувається горіння. Зі збільшенням діаметра резервуара висота полум’я
збільшується. Полум’я рідин у пальниках малого діаметра буде ламінарним, у
резервуарах – турбулентним.
Стійкість
полум’я над поверхнею рідини, що горить, забезпечується надходженням до нього з
певною швидкістю горючих парів та кисню. Швидкість надходження пального, в свою
чергу, залежить від тиску його парів над поверхнею рідини і отже, від її
температури.
Кінетика
процесу вигоряння рідин характеризується швидкістю вигоряння, яка не є
фізико-хімічною константою, оскільки залежить від властивостей горючої рідини,
діаметра резервуара та умов тепло- та масообміну в зоні горіння.
Горіння газів
ГАЗИ
– речовини, тиск насичених парів яких при температурі 25 °С та тиску 101,3 кПа
перевищує 101,3 кПа.
Будь-яка
суміш горючого газу з повітрям спалахує при контакті з розжареним тілом, та
полум’я, що виникає, поширюється, якщо концентрація газу знаходиться в
інтервалі між нижньою та верхньою концентраційними межами поширення полум’я.
Швидкість поширення вогню залежить від природи горючого газу, температури
навколишнього середовища і тиску та змінюється від 1 до 2000 м·с-1.
Саме цей фактор визначає швидкість розширення нагрітих газів, а отже, й збитки,
які здатні спричинити пожежа або вибух. Запалювання горючих газових сумішей
може виникати при їх контакті з розжареними поверхнями з появою в середині
суміші іскор різного походження або полум’я. Ініціювання горіння газової суміші
в одній точці призводить до нагрівання ближче розташованих шарів, де
починаються хімічні перетворення. Згоряння таких шарів викликає за собою горіння
наступних – і так до повного вигоряння горючої суміші, яка таким чином згоряє
пошарово. Зона горіння переміщується по суміші, забезпечуючи поширення полум’я.
Межа зони горіння в газовій фазі, де здійснюється хімічне перетворення та
проходить інтенсивний розігрів газу, є фронтом полум’я. Попереду фронту полум’я,
що поширюється, знаходиться свіжа суміш, а позаду –продукти горіння. Якщо свіжа
суміш рухається назустріч фронту полум’я зі швидкістю, яка дорівнює швидкості
поширення полум’я, полум’я буде нерухомим (наприклад, у газовому пальнику). У
процесі поширення полум’я тепло, що виділяється під час реакції, витрачається
на нагрівання свіжої суміші та частково витрачається в навколишнє середовище.
Якщо втрати тепла перевищать певне критичне значення, то виникне прогресивне
зниження температури полум’я, а потім його загасання. Коли гази згоряють у
вільному об’ємі, продукти реакції безперешкодно розширяються й тиск залишається
практично постійним. Згоряння в замкненому об’ємі супроводжується підвищенням
тиску.
Горіння пилу
ПИЛ
– дисперговані тверді речовини та матеріали з розміром частинок менше 850 мкм
(0,85 мм). Пил з горючих речовин, зважених у повітрі (газозавись), поводить
себе значною мірою як газоповітряна суміш і теж здатний вибухати. Процес горіння
газозависі хімічних органічних речовин значною мірою визначається механізмом
теплопередачі по фронту полум’я. В органічних системах теплопередача
здійснюється, головним чином, шляхом кондуктивно-конвективного теплообміну.
Домінуючим механізмом теплопередачі є теплопровідність по газу. На горіння
газозависей впливає й гравітація, що проявляється в осіданні частинок під дією
сил тяжіння. У загальному вигляді модель фронту полум’я має такий вигляд: із
високотемпературної зони пилової хмари, що горить, під впливом теплового потоку
частинки встигають випаровуватися до спалахування; поширення фронту полум’я
проходить по однорідній газоподібній суміші парів пального з повітрям; реакція
взаємодії пального з окисником, що описується відомими з теплової теорії закономірностями,
відбувається в кінетичній області.
Як
результат руху фронту полум’я має місце часткове розсіювання свіжої суміші
поблизу провідних точок полум’я. При цьому окисник (газова фаза) розсіюється в
більшій мірі, ніж пальне (конденсована фаза), внаслідок чого фази отримують
відносну швидкість й відповідно змінюється співвідношення пального з окисником
у фронті полум’я. Підвищення концентрації пального супроводжується зростанням
швидкості полум’я в даних зонах. Горіння газозависей природних палив має свої
особливості, оскільки тверді природні палива відрізняються від більшості інших
хімічних речовин наявністю трьох компонентів: леткої частини, коксу та золи.
Процеси займання й поширення полум’я для кожної з цих складових мають певні
відмінності. Летка частина складається з газоподібних компонентів, що
виділяються під час нагрівання з палива без участі окисника. Кокс близький за
складом до вуглецю, до того ж швидкість його горіння значно менша швидкості
горіння леткої частки. Тому участь коксу в пилових вибухах природних палив
незначна. Зола, що є мінеральною частиною палива, вміщує в собі ряд
компонентів, здатних брати участь у горінні (пірити, колчедани, лужні метали),
однак зола, в цілому, поводить себе як інертний матеріал.
Вибухи
газозависей твердих палив належать до типових теплових вибухів. Фронт полум’я
поширюється по зависі як результат передачі тепла від продуктів горіння в свіжу
суміш. Процеси в газозависях природних палив, на відміну від горіння газових
сумішей, ускладнюються через тривалість прогрівання частинок й можливість
перебігу реакції окиснення як в кінетичній, так і в дифузійній області.
Характерною
особливістю горіння пилоповітряних сумішей в реальних умовах є те, що первісно
об’єм газозависі, що утворився, може викликати переведення до стану зависі
(взмучування) відкладеного пилу та їх наступне вигоряння. Цим пояснюється, що
такі вибухи, як правило, розвивають великий тиск й супроводжуються сильними
руйнуваннями.
Самозаймання
Цілий
ряд матеріалів, особливо волокнистих, мають здатність довільно загорятися за
відсутності зовнішнього джерела запалювання, тобто можуть самозайматися.
САМОЗАЙМАННЯ – це початок горіння у результаті само-ініційованих
екзотермічних процесів.
Горіння
здатне виникнути в купі твердого мінерального палива або органічного матеріалу,
якщо має місце циркуляція повітря, достатня для сприяння окиснюванню, але
недостатня для відводу тепла, що виділяється.
Залежно
від первісної причини самозаймання розрізняють три його види: теплове, хімічне
та мікробіологічне. ТЕПЛОВЕ САМОЗАЙМАННЯ виникає в масі матеріалів при їх
помірному нагріванні ззовні. При цьому початок самонагрівання матеріалу
пов’язаний зі збільшенням швидкості екзотермічного окиснення повітрям, що
вміщується в його порах. Найбільш інтенсивне самонагрівання виникає в місці, де
досягаються найкращі умови акумуляції тепла. Таким умовам відповідають глибинні
шари матеріалів, найбільш віддалені від зовнішньої поверхні. Для кращого
розуміння процесу теплового самозаймання уявимо, що зразок твердого матеріалу
поміщається в повітряний термостат, який встановлюється на різні задані
температури. Температури, що досягаються під час цих випробувань за часом,
наведені на рис. 2.9.
У
разі помірного нагрівання матеріал без змін стану буде досягати температури
середовища в термостаті, а після відключення термостата матеріал повернеться в
початковий стан (крива 1). При досягненні певної температури Тсн
(температура самонагрівання) в матеріалі починаються екзотермічні
фізико-хімічні перетворення (розклад, окиснення тощо), і він починає
самонагріватися. Залежно від умов акумуляції тепла самонагрівання може
призвести або до досягнення рівноваги між тепловиділенням та теплом, що
відводиться (і тоді після вичерпання здатних окиснюватися складових частин
матеріалу, його температура зрівняється з температурою навколишнього середовища
(крива 2)), або до досягнення певної температури Тсз (температура
самозаймання, починаючи з якої здійсниться спонтанне зростання швидкості
реакції та обов’язково виникне горіння (крива 3)). Зона температур між Тсн
та Тсз є потенційно небезпечною.
|
|
 |
Рис. 2.9. Залежність
температури горючого матеріалу від часу при різних початкових температурах.
Схема теплового самозаймання
До
типових прикладів теплового самозаймання належать випадки самозаймання теплової
ізоляції опалювальних комунікацій та теплообмінних апаратів, яка виконана з
мінераловатних плит, тирси тощо.
До
ХІМІЧНОГО САМОЗАЙМАННЯ належать випадки, зумовлені екзотермічною взаємодією
речовин. Наприклад, самозаймання може виникнути у разі розливання
концентрованої азотної кислоти на деревні стружки або тирсу. Широко відомі
випадки самозаймання промащених матеріалів. Більшість мастил, в особливості
рослинних, легко окиснюються. Кількість вивільнюваного тепла визначається
площею поверхні, відкритої для доступу повітря. Вона відносно невелика у просто
розлитого мастила. Якщо це мастило убирається обтиральним ганчір’ям або тирсою,
площа поверхні значно збільшується, а тепловиділення при цьому зростає,
оскільки матеріали, убрані мастилом, є поганими провідниками тепла. Тепло
акумулюється, й нерідко за відносно короткий строк призводить до самозаймання. До
того ж класу самозаймистих хімічним способом речовин належать й так звані
ШРОФОРНІ РЕЧОВИНИ, що загоряються в контакті з повітрям, наприклад:
тонкоподрібнений алюміній, тетрагідрид кремнію, сульфід заліза, деякі
металоорганічні з’єднання тощо.
До
МІКРОБІОЛОГІЧНОГО САМОЗАЙМАННЯ належать випадки самозаймання матеріалів, які є
живильним середовищем для так званих термофільних мікроорганізмів, що виділяють
теплову енергію в процесі своєї життєдіяльності. За таким механізмом проходить
самозаймання сіна, торфу та інших органічних матеріалів. Природні органічні
матеріали, в основному, є багатокомпонентними системами. Наприклад, сухе молоко
містить більше ста компонентів. Не менше число компонентів міститься в сухих
рослинах та багатьох інших природних матеріалах. У процесі самозаймання
відбувається велика кількість паралельних та послідовних хімічних реакцій.
Дослідженнями встановлено, що в самозайманні деревних матеріалів, залежно від
температурних режимів, основну роль відіграють екстраговані компоненти й
клітковина. При самозайманні сухих зелених рослин, міхів, листя та хвої процес
самозаймання визначається окисненням білків, що розчинюються, жирних кислот та
цукрів. У вологому стані такі білки реагують з цукрами, що сприяє окисненню
системи білок–цукор й знижує схильність до наступного самозаймання. Тому саме
влежування скошеної трави протягом не менше «трьох рос» визначається необхідною
умовою запобігання сіна від самозаймання. Рослинні та деревні матеріали піддані
процесу метаморфізму, що супроводжується змінами їх схильності до самозаймання,
результатом якого є вуглефікація. Перша стадія метаморфізму утворює торф. Усі
види торфу, незалежно від походження й умов утворення, здатні самозайматися.
Найбільш схильним до самозаймання є низинний торф. У контакті з киснем торф
окиснюється і його схильність до наступного самозаймання знижується. Підвищену,
порівняно з торфом, схильність до самозаймання має буре вугілля, в якому цей
процес виникає частіше, ніж в інших видах копалин твердого палива.
Свіжоутворена поверхня будь-якого вугілля має високу реакційну здатність,
внаслідок чого подрібнене вугілля, а тим більше вугільний пил, дуже схильні до
самозаймання. Під час зберігання на повітрі відбувається окиснювання вуглецевої
поверхні та знижується ймовірність подальшого самозаймання вугілля. Проте в
результаті зволоження схильність окисненого вугілля до самозаймання
повертається практично до вихідного стану.
У
порівнянні з копалинами вугілля всі види технічного вуглецю (вуглецеві сажі)
менш схильні до самозаймання. У той же час, маючи виключно високу дисперсність
(питома геометрична поверхня ≈ 100 м2∙г-1) та
за наявності на поверхні частинок певної кількості активних центрів, сажі в
умовах виробництва, транспортування та зберігання можуть самозайматися.
Відповідальні за самозаймання активні центри мають різну природу. На поверхні
пічних частинок сажі найбільш ймовірними активними центрами є вуглецеві атоми з
ненасиченими й перенапруженими валентними зв’язками. Крім того, на поверхні
частинок сажі, отриманої пічним способом, особливо антраценових канальних саж,
можуть знаходитися вуглеводні, що не зреагували та мають такі ненасичені валентні
зв’язки.
Суттєвий
вплив на процес самозаймання органічних матеріалів має їх зволоження. Волога
стимулює дію термофільних мікроорганізмів. Під дією ферментів активно
окиснюються білки та цукри, розщепляються стійкі до окиснення крохмаль та
клітковина. Мікроорганізми також продукують білки. Таким чином, під час
життєдіяльності мікроорганізмів здійснюється не тільки ферментативний процес
окиснення, але й виділяються продукти з нахилом до хімічного окиснення.
Як
результат дії вологи різко активізується процес попереднього окиснення вугілля.
Це викликано тим, що внаслідок окиснення енергія активації зростає, а під дією
води – знижується. У присутності вологи стійкі до термічного розкладу лактонні
групування трансформуються в карбоксили, які, в свою чергу, легко
декарбоксилизуються з виділенням СО2 та утворенням на вуглецевій
поверхні ненасичених валентних зв’язків.
На
випаровування вологи у процесі самозаймання витрачається теплова енергія.
Вологий матеріал довільно нагрівається до температури близько 80 °С, після чого
спостерігається затримка, яка називається «пульсацією», а потім відбувається
процес довільного охолодження, або процес стрибкоподібного самонагрівання, що
викликає горіння.
Список
використаних літературних джерел
1.
Закон
України “Про пожежну безпеку” від 17.12.93 р. N 3745-XII.
2.
Постанова
Кабінету Міністрів України (далі ПКМУ) від 26.07.94 р. “Про заходи щодо
виконання Закону України “Про пожежну безпеку”.
3.
Правила
пожежної безпеки в Україні, затверджені наказом МНС від 19.10.2004 року № 126.
4. Технічний регламент знаків безпеки і
захисту здоров'я працівників, затверджений ПКМУ від 25.11.2009 року № 1262.
5. Типове положення про відомчу пожежну
(пожежно-сторожову) охорону, зетверджене ПКМУ від 14.08.1995 року № 653.
6. Положення про порядок і умови
обов'язкового особистого страхування працівників відомчої та сільської пожежної
охорони і членів добровільних пожежних дружин (команд), затверджене ПКМУ від
03.03.1995 року № 232.
7. Положення
про добровільну пожежну дружину (команду), затверджене ПКМУ від 25.02.2009 року № 136.
8. Порядок обліку пожеж та їх
наслідків,
затверджений ПКМУ від 26.12.2003 року № 2030.
10.Лехман С.Д. Охорона праці, пожежна
безпека. – Київ: Вища школа, 1983. – 167 с.
11.Огнетушащие средства и автоматические
установки пожаротушения: Сб. науч. тр. – М.: ВНИИПО МВД СССР, 1989. – 100 с.
12.ОНТП 24–86. Определение категорий
помещений и зданий по взрывопожарной и пожарной опасности. – М.: ВНИИПО, 1987.
– 25 с.
13.Основы противопожарной защиты:
Учебное пособие для вузов / Я.Я. Щербина, И.Я. Щербина. – Киев: Вища школа,
1985. – 255 с.
14.Пожарная безопасность промышленных
обьектов: Сб. науч. тр. – М.: ВНИИПО МВД СССР, 1991. – 160 с.
15.Пожарная безопасность: Учебное
пособие / А.Н. Баратов, В.А. Пчелинцев. – М.: изд–во АСВ, 1997. – 176 с: ил.
16.Типове положення про пожежно-технічну
комісію, затверджене наказом МНС України від 11.02.2004 N 70.
17.Типове положення про інструктажі, спеціальне
навчання та перевірку знань з питань пожежної безпеки на підприємствах, в
установах та організаціях України, затверджене наказом МНС України від
29.09.2003 N 368.
18.Перелік посад, при призначенні на які
особи зобов'язані проходити навчання і перевірку знань з питань пожежної
безпеки, та порядок їх організації, затверджений наказом МНС України від
29.09.2003 N 368.
19.Положення про добровільні пожежні
дружини (команди), затверджене наказом МНС України від 11.02.2004 N 70.
20.Інструкція по влаштуванню
блискавкозахисту будівель та споруд (РД 34.21.122-87), затверджена Главтехуправлением
Минэнерго СРСР.
21.Перелік однотипних за призначенням
об'єктів, які підлягають обладнанню автоматичними установками пожежогасіння та
пожежної сигналізації, затверджений наказом МНС від 22.08.2005 N 161.
22.Типові
норми належності вогнегасників, затверджені наказом МНС України від 02.02.2004 N
151.
23.Правила експлуатації вогнегасників, затверджені наказом МНС від 02.04.2004 N 152.
40. Правила улаштування, експлуатації та
технічного обслуговування систем раннього виявлення надзвичайних ситуацій та
оповіщення людей у випадку їх виникнення, затверджені наказом МНС від
15.05.2006 N 288.
41. Положення щодо розробки планів
локалізації та ліквідації аварійних ситуацій і аварій, затверджене наказом МПіСП
від 17.06.1999 року № 112.
42. НПАОП
40.1-1.21-98 Правила безпечної експлуатації електроустановок споживачів.
43. НПАОП
40.1-1.32-01 Правила будови електроустановок. Електрообладнання спеціальних
установок.
44. Типове положення про службу пожежної безпеки, затверджене наказом МНС України від 29.09.2003 №
369.
45.
Правила
обов’язкової сертифікації продукції протипожежного призначення,
затверджені наказом Держкомстандарту
України від 27.06.97. №374.
46.
Пожежна
безпека на виробництві: Навчальний посібник / А.П. Рожков. – Київ: Редакція
журналу «Охорона праці, 1997. – 448 с.
47.
Пожежна
безпека: наук.–техн. і публ. іл. журнал ГУПО МВС України. – Київ, 1996, № 1–3,
1997, № 4–9, 1998, № 1–15.
48.
Пожежна
безпека: Матеріали III наук. практ. конф. – Київ: УкрНДШБ МВС України, 1997. –
381 с.
49.
Проблемы
пожарной безопасности / Под ред. В.Г. Палюха. – Харьков: Мин. обр. Украины, МВД
Украины, 1993 – 328 с.
50.
Скобелев
О.В., Нехаев В.В. Довідник підприємця з питань пожежної безпеки (у запитаннях
та відповідях). – Київ: Пожінформтехтка, 1998. –160 с:.
51. ГОСТ
12.4.026-76 “ССБТ. Цвета сигнальные и знаки безопасности”.
52. ДСТУ ISO
6309:2007 Знаки безпеки. Форма та колір.
54. СНиП
2.04.02-84 Водозабезпечення. Зовнішні мережі и споруди;
55. ДБН
В.1.1-7-2002. Захист від
пожежі. Пожежна безпека об’єктів будівництва;
56.
ДБН.А.3.1-3-94. Прийняття в експлуатацію
закінчених будівництвом об'єктів;
57.
ГОСТ 12.1.004–91. ССБТ. Пожарная
безопасность. Общие положения.
58.
ГОСТ 12.1.018–93. ССБТ. Пожаровзрывобезопасность
статического электричества. Общие требования.
59.
ГОСТ 27331–87. Пожарная техника.
Классификация пожаров.
60.
ГОСТ 30219–95. Древесина огнезащищенная.
61.
ДСТУ 2272–93. ССБП. Пожежна безпека.
Терміни та визначення.
62.
ДСТУ Б.В.1.1–2–97 (ГОСТ 30402–96) Матеріали
будівель. Метод випробування на займистість.
63.
ДСТУ Б.В.2.7–19–95 (ГОСТ 30244–94) Матеріали
будівельні. Методи випробування на горючості.
/