Статистична сукупність комерційних банків
Вступ
Розділ 1
1.1 Статистична сукупність
1.2 Однорідність статистичної
сукупності
1.3 Мета досліджень однорідності
статистичної сукупності комерційних банків
Розділ 2
2.1 Оцінка однорідності статистичної сукупності
комерційних банків за допомогою показників їх діяльності
2.2 Значення оцінки однорідності
статистичної сукупності комерційних банків для статистичних досліджень
Висновки
Використана література
Додатки
Оцінка ефективності і ділової активності підприємств і організацій і стану
соціальної інфраструктури суспільства залежить від якості статистичного аналізу
емпіричного матеріалу, а також від того, наскільки точно будуть і науково
обгрунтовані закономірності і тенденції розвитку. Важливим етапом проведення
статистичного дослідження на інформаційній базі, яка характеризує реальні
соціально-економічні явища, є критична оцінка початкових даних з погляду їх
достовірності і наукової обгрунтованості.
Під критичною оцінкою статистичного матеріалу слід розуміти повноту,
якість і достовірність його відповідності цілям і завданням дослідження.
Надійність виводів і висновків по аналізу статистичних даних
забезпечується мінімізацією в початковій інформації пропусків, неточностей,
незіставності, невизначеності і так далі
Достовірність статистичних досліджень багато в чому визначається
однорідністю досліджуваної сукупності.
Сукупність називається однорідною, якщо один або декілька істотних ознак
її об'єктів, що вивчаються, є загальними для всіх одиниць.
Сукупність, в яку входять явища різного типу, вважається різнорідною.
Сукупність може бути однорідна в одному відношенні і різнорідна в іншому. У
кожному окремому випадку однорідність сукупності встановлюється шляхом
проведення якісного аналізу, з'ясування змісту суспільного явища, що вивчається.
Розділ 1
Статистика вивчає свій предмет за допомогою певних категорій, тобто
понять, що відображають найбільш загальні і істотні властивості, ознаки,
зв'язки і відносини предметів і явищ об'єктивного світу. У статистиці таких
основних понять - п'ять:
1. Статистична сукупність – це множина одиниць явища, що вивчається, які
об’єднані єдиною якісною основою, загальним зв'язком, але відрізняються один від
одного окремими ознаками.
Це може бути сукупність жителів якого-небудь міста, сукупність студентів інституту,
і так далі Статистична сукупність є об'єктом статистичного вивчення. Запропоноване
визначення статистичної сукупності дозволяє виділити основні її властивості:
·
Нерозкладність
- часткове виникнення або часткове зникнення елементів статистичної сукупності не
руйнує її якісної основи, всі її якісні характеристики зберігаються. Студенти інституту
як статистична сукупність не змінить своєї якісної характеристики незалежно тому,
що частину студентів (випускники) щорічно покидають інститут, і частина
(першокурсники) вливається в їх склад.
·
Статистична
сукупність завжди однорідна хоч би за однією ознакою. Всі елементи статистичної
сукупності володіють хоч би однією загальною властивістю. Проте, загальне не означають
однакового. Значення загальної ознаки у різних одиниць сукупності, як правило, відрізняються
один від одного. Однорідність статистичної сукупності встановлюється в кожному конкретному
статистичному дослідженні відповідно до його цілей і завдань.
·
Найважливішою
властивістю статистичної сукупності є варіація - кількісна зміна значення
статистичної ознаки при переході від однієї неї елементу до іншого.
Якщо значення ознаки у всіх елементів однаково, немає сенсу у вивченні всієї
статистичної сукупності, досить розглянути лише однієї її елемент, щоб отримати
знання про все явище.
Варіація виникає під впливом певного комплексу умов і причин. Статистика не
займається виявленням і з'ясуванням цих причин. Цим займаються спеціальні економічні
дисципліни, а статистика кількісно оцінює дію кожної причини на варіацію конкретної
ознаки, що дозволяє враховувати вказану дію при ухваленні управлінських рішень
різного рівня.
Всі статистичні сукупності можна розділити на наступні групи:
·
створені
самим життям і створюючі єдність незалежно від того піддаються вони статистичному
дослідженню чи ні (статистичні сукупності працівників підприємства, статистичні
сукупності промислових підприємств міста і так далі). Це реально існуючі статистичні
сукупності, вони мають певний конкретний розмір.
·
утворені спеціально
для цілей статистичного дослідження (сукупність покупців певного товару в маркетингових
дослідженнях)
·
стохастичні
сукупності ( гіпотетичні множини) - уявні, нереальні, передбачувані сукупності
( сукупність небесних тіл в галактиці; сукупність нескінченно великого числа кидань
монети, падаючої "орлом" або "решкою").
2. Статистична одиниця - нерозкладний первинний незалежний елемент статистичної
сукупності, що є носієм певної статистичної ознаки. Вона є межею дроблення
статистичної сукупності, при якому зберігаються всі властивості явища, що
вивчається, або процесу, її окремим випадком.
Вибір статистичної одиниці визначається метою і рівнем статистичного дослідження,
що проводиться . Наприклад, можна вивчати продуктивність праці на рівні галузі,
підприємства, цеху, ділянки, бригади. В кожному випадку статистичні одиниці будуть
різними: підприємство галузі, працівник даного підприємства, робочий даного
цеху, бригади.
3. Статистична ознака - характерна властивість, певна якість статистичної
сукупності. Наприклад, статистичними ознаками підприємств можуть бути: форма
власності, чисельність тих, що працюють, величина статутного капіталу, вартість
активів і т. д. Значення ознаки окремої одиниці статистичної сукупності називається
варіантой. Статистичні ознаки можна класифікувати по безлічі підстав
По характеру вирази розрізняють атрибутивні і кількісні ознаки:
·
атрибутивні
(описові) - виражаються словесно, наприклад, пів, національність, освіта і ін. По
ним можна отримати підсумкові відомості про кількість статистичних одиниць, що
володіють даним значенням ознаки;
·
кількісні
- виражаються числовою мірою (вік, стаж роботи, об'єм продажів, розмір доходу і
так далі) По ним можна отримати підсумкові дані про кількість одиниць, що
володіють конкретним значенням ознаки, і сумарне або середнє значення ознаки по
сукупності.
По характеру варіації ознаки діляться на:
·
альтернативні
які можуть приймати тільки одне з двох можливих значень ознаки. Це ознаки
володіння або не володіння чим-небудь. Наприклад, пів, сімейний стан, в маркетингових
або політологічних дослідженнях - відповідь на питання у формі "та чи ні";
·
дискретні
- кількісні ознаки окремі значення, що приймають тільки, без проміжних між ними
- як правило цілочисельні, наприклад, розряд робочого, число дітей в сім'ї і
т.д.);
·
безперервні
- кількісні ознаки, що набувають будь-яких значень. На практиці вони, як
правило, округляються відповідно до прийнятої точності.
По відношенню до часу розрізняють:
·
моментниє
ознаки, що характеризують одиниці сукупності на критичний момент часу, наприклад,
вартість основних виробничих фондів ( ОПФ) визначається на 01.01. і 31.12.
відповідного року як вартість ОПФ на початок і кінець звітного року;
·
інтервальні
ознаки, що характеризують явище за певний часовий період ((рік, квартал, місяць
і так далі), наприклад, змінне вироблення, денна виручка, річний об'єм продажів
і так далі
По характеру взаємозв'язку ознаки діляться на:
·
факторні,
такі, що викликають зміни інших ознак, або створюючі можливості для змін значень
інших ознак. Факторні ознаки підрозділяються відповідно на ознаки причини і ознаки
умови;
·
результативні
(ознаки слідства), залежні від варіації інших ознак. Наприклад, вартісною обсяг
випуску продукції є результативною ознакою, величина якої залежить від факторних
ознак - чисельності працівників і продуктивності праці.
Варіацію можна визначити як кількісна відмінність значень однієї і тієї ж
ознаки у окремих одиниць сукупності. Термін "варіація" має латинське
походження - variatio, що означає відмінність, зміну, коливається. Вивчення
варіації в статистичній практиці дозволяє встановити залежність між зміною, яка
відбувається в досліджуваній ознаці, і тими чинниками, які викликають дану
зміну.
Для вимірювання варіації ознаки використовують як абсолютні, так і
відносні показники.
До абсолютних показників варіації відносять: розмах варіації, середнє
лінійне відхилення, середнє квадратичне відхилення, дисперсію.
До відносних показників варіації відносять: коефіцієнт осциляції,
лінійний коефіцієнт варіації, відносне лінійне відхилення і ін.
Розмах варіації R. Це найдоступніший по простоті розрахунку абсолютний
показник, який визначається як різниця між найбільшим і найменшим значеннями
ознаки у одиниць даної сукупності:
Розмах варіації (розмах коливань) - важливий показник тієї, що
коливається ознаки, але він дає можливість побачити тільки крайні відхилення,
що обмежує сферу його застосування. Для точнішої характеристики варіації ознаки
на основі обліку тієї, що його коливається використовуються інші показники.
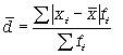
Середнє лінійне відхилення d, яке обчислюють для того, щоб врахувати
відмінності всіх одиниць досліджуваної сукупності. Ця величина визначається як
середня арифметична з абсолютних значень відхилень від середньої. Оскільки сума
відхилень значень ознаки від середньої величини дорівнює нулю, то всі відхилення
беруться по модулю.
Формула середнього лінійного відхилення (проста)
Формула середнього лінійного відхилення (зважена)
При використанні показника середнього лінійного відхилення виникають
певні незручності, пов'язані з тим, що доводиться мати справу не тільки з
позитивними, але і з негативними величинами, що спонукало шукати інші способи
оцінки варіації, щоб мати справу тільки з позитивними величинами. У такий
спосіб стало піднесення всіх відхилень до другого ступеня. Узагальнювальні
показники, знайдені з використанням других ступенів відхилень, набули дуже
широкого поширення. До таких показників відносяться середнє квадратичне
відхилення і середнє квадратичне відхилення в квадраті, яке називають
дисперсією.
Середня квадратична проста
Середня квадратична зважена
Дисперсія є не що інше, як середній квадрат відхилень індивідуальних
значень ознаки від його середньої величини.
Формули дисперсії зваженої і простої :
Розрахунок дисперсії можна спростити. Для цього використовується спосіб
відліку від умовного нуля (спосіб моментів), якщо мають місце рівні інтервали у
варіаційному ряду.
Окрім показників варіації, виражених в абсолютних величинах, в
статистичному дослідженні використовуються показники варіації (V), виражені у
відносних величинах, особливо для цілей порівняння тієї, що коливається різних
ознак однієї і тієї ж сукупності або для порівняння тієї, що коливається однієї
і тієї ж ознаки в декількох совокупностях.
Дані показники розраховуються як відношення розмаху варіації до середньої
величини ознаки (коефіцієнт осциляції), відношення середнього лінійного
відхилення до середньої величини ознаки (лінійний коефіцієнт варіації),
відношення середнього квадратичного відхилення до середньої величини ознаки
(коефіцієнт варіації) і, як правило, виражаються у відсотках.
Формули розрахунку відносних показників варіації:
Аналіз однорідності статистичної сукупності доцільно проводити в
наступній послідовності:
Визначення ступеня однорідності всієї сукупності поодинці або декільком
істотним ознакам;
Визначення і аналіз аномальних спостережень;
Вибір оптимального варіанту виділення однорідних совокупностей.
У статистичній теорії і практиці розроблені різні підходи до оцінки
ступеня однорідності. Цією проблемою займалися відомі учені - Ю. Аболенцев, Р.
Кильдішев, В. Овсиенко і ін.
Способів і критерії виділення однорідних груп об'єктів в межах початкової
сукупності багато.
Важливою передумовою отримання науково-обгрунтованих результатів
статистичного аналізу є перевірка і виконання гіпотези про близькість розподілу
емпіричних даних нормальному закону. Для нормального закону розподілу
характерно, що
Одним з
недоліків даного підходу до оцінки характеру розподілу вважається наявність
суб'єктивності в аналізі достатності величини відхилення Х від М0 і
Me. На практиці використовуються критерії Пірсону, Романовського, Ястремського,
Колмогорова.
Будь-яка досліджувана сукупність разом із значеннями ознак, що склалися
під впливом чинників, безпосередньо характерних для досліджуваної сукупності,
може містити і значення ознак, отриманих під впливом інших чинників, не
характерних для основної сукупності. Такі значення різко виділяються, тому
використання методології статистичного аналізу даної сукупності без
попереднього аналізу і вивчення аномальних спостережень приводить до серйозних
помилок.
Причини появи в сукупності аномальних спостережень умовно підрозділяють
таким чином:
1) зовнішні, такі, що виникають в результаті технічних помилок;
2) внутрішні, такі, що об'єктивно існують.
Такі спостереження для дослідника представляють особливий інтерес,
оскільки можуть містити за рахунок впливу неврахованих чинників особливу
інформацію. На практиці залежно від умов, місця і часу вплив одних чинників в
кожен конкретний момент або проміжок часу значніший, ніж інших.
Вибір методу виявлення, аналізу аномальних спостережень визначається
об'ємом сукупності, характером досліджуваних процесів і завдань (одновимірних
або багатовимірних).
При реалізації одновимірних завдань при аналізі динамічної і статистичної
інформації найбільш широкого поширення набув метод вияленія аномальних
спостережень, заснований на визначенні q-статистики:
де yt
- окремі рівні ряду;
у - середній рівень ряду;
sy – середнє квадратичне відхилення значень ряду від їх середнього рівня.
Якщо для розрахункового значення виконується умова
qt ³ qtk p (p)
із заздалегідь заданим рівнем вірогідності, то дані спостереження
вважаються аномальними і після логіко-економічному аналізу причин помилок
аномальності підлягають заміні скоректованим значенням (у разі помилки "I")
і не підлягають коректуванню (у разі "II").
Коректування здійснюється по схемі.
1. Розраховується нове значення рівня ряду:
yi (1) =
qkp (p)sy + y .
2.
замінюється на
.
3. Визначаються нові характеристики ряд з
:
та
.
4. yi = qkp (p)sy + y .
5. Перевіряється аномальність значення yi :
ú
yi - yiú £ e,
де e - заданий рівень точності определения yi .
Якщо дана умова виконується, то
значення yi
є скоректованим, не
аномальним значенням, займає місце yi (1) у ряду і аналізу піддається yi (2) .
Якщо умова не виконується, то рекомендується розрахувати yi (2) і
перевірити на аномальність. Процес коректування носить ітераційний характер.
Найбільшого поширення набув при дослідженні динаміки метод Ірвіна, заснований на
визначенні l i – статистики. Аномальні спостереження виявляються по схемі:
l
i = ú yi – yi-1ú / sy ,
Якщо розрахункове значення перевищить рівень критичного (із заданим
рівнем точності і числом спостережень), то воно визнається аномальним.
Табульовані значення l
|
Число спостережень
|
lкр
|
|
0,95
|
0,99
|
|
2
|
2,8
|
3,7
|
|
3
|
2,2
|
2,9
|
|
10
|
1,5
|
2,0
|
|
20
|
1,3
|
1,8
|
|
30
|
1,3
|
1,7
|
|
50
|
1,1
|
1,6
|
|
100
|
1,0
|
1,5
|
Схема реалізації даного методу
аналогічна попередньою, тільки у
замінюється на yi-1 (попереднє значення ряду).
Спосіб, заснований на розрахунку q-статистики, застосовний для щодо
стаціонарних рядів, оскільки при використанні для аналізу динамічних рядів, що
мали яскраво виражену тенденцію, він приводить до помилок. Коректнішим є
застосування статистики, в якій визначаються відхилення від теоретичних
значень, отриманих по рівнянню тренда:
q i =
ú
yt - ytú / sy .
Доцільність виключення аномальних спостережень з сукупності, що
вивчається, реалізується широким використанням методу угрупувань.
За допомогою методу угрупування явища, що вивчаються, підрозділяються на
найважливіші типи, характерні групи і підгрупи по істотних ознаках. За
допомогою угрупувань формують якісно однорідні частини статистичної сукупності.
У прикладних дослідженнях часто виникає необхідність з'ясувати, чи
розрізняються генеральні сукупності, з яких узято дві незалежні вибірки.
Наприклад, треба з'ясувати, чи впливає спосіб упаковки підшипників на їх
споживчі якості через рік після зберігання. Або: чи відрізняється споживча
поведінка чоловіків і жінок. Якщо відрізняється - рекламні ролики і плакати
треба робити окремо для чоловіків і окремо для жінок. Якщо немає - рекламна
кампанія може бути єдиною.
У математико-статистических термінах постановка завдання така: є дві
вибірки x1, x2...,xm і y1, y2...,yn (тобто набори з m і п дійсних чисел),
потрібно перевірити їх однорідність. Термін "однорідність"
уточнюється нижче.
Протилежним поняттям є "відмінність". Можна переформуліровать
завдання: потрібно перевірити, чи є відмінність між вибірками. Якщо відмінності
немає, то для подальшого вивчення дві дані вибірки часто об'єднують в одну.
Наприклад, в маркетингу важливо виділити сегменти споживчого ринку. Якщо
встановлена однорідність двох вибірок, то можливе об'єднання сегментів, з яких
вони узяті, в один. Надалі це дозволить здійснювати по відношенню до ним
однакову маркетингову політику (проводити одні і ті ж рекламні заходи і тому
подібне). Якщо ж встановлена відмінність, то поведінка споживачів в двох
сегментах різна, об'єднувати ці сегменти не можна, і можуть знадобитися різні
маркетингові стратегії, своя для кожного з цих сегментів.
Традиційний метод перевірки однорідності (критерій Стьюдента). Для подальшого
критичного розбору опишемо традиційний статистичний метод перевірки
однорідності. Обчислюють вибіркові середні арифметичні в кожній вибірці
потім вибіркові дисперсії
і статистикові Стьюдента t, на основі якої ухвалюють рішення
По заданому рівню значущості а і числу мір свободи (m+n _ 2) з таблиць
розподілу Стьюдента знаходять критичне значення tкр. Якщо |t|>tкр, то
гіпотезу однорідності (відсутність відмінності) відхиляють, якщо ж |t|<tкр,
то приймають. (При односторонніх альтернативних гіпотезах замість умови
|t|>tкр перевіряють, що t>tкр; цю постановку розглядати не будемо,
оскільки в ній немає принципових відмінностей від обговорюваної тут.)
У більшості технічних, економічних, медичних і інших завдань представляє
інтерес не перевірка рівності математичних очікувань або інших характеристик
розподілу, а виявлення відмінності генеральних совокупностей, з яких витягують
вибірки, тобто перевірка гіпотези H0. Методи перевірки гіпотези H0 дозволяють
виявити не тільки зміну математичного очікування, але і будь-які інші зміни
функції розподілу результатів спостережень при переході від однієї вибірки до
іншої (збільшення розкиду, поява асиметрії і т. д.). Як встановлено вище,
методи, засновані на використанні статистик t Стьюдента і Т Крамера-уелча, не
дозволяють перевіряти гіпотезу H0 . Апріорне припущення про приналежність
функцій розподілу F(x) і G(x) до якого-небудь певного параметричного сімейства
(наприклад, сімействам нормальних, логарифмічно нормальних, розподілів
Вейбулла-гнеденко, гамма-распределеній і ін.), як також показано вище, зазвичай
не можна достатньо надійно обгрунтувати. Тому для перевірки H0 слід
використовувати методи, придатні при будь-якому виді F(x) і G(x), тобто
непараметричні методи. (Нагадаємо, що термін "непараметричний метод"
означає, що при використанні цього методу немає необхідності припускати, що
функції розподілу результатів спостережень належать якому-небудь певному
параметричному сімейству.)
Для перевірки гіпотези H0 розроблено багато непараметричних методів -
критерії Смирнова, типу омега-квадрат (Лемана - Розенблатта), Вілкоксона
(Манна-Уїтні), Ван-дер-вардена, Севіджа, хі-квадрат і ін. Розподіли статистик
всіх цих критеріїв при справедливості H0 не залежать від конкретного виду
співпадаючих функцій розподілу F(x)±G(x). Отже, таблицями точних і граничних
(при великих об'ємах вибірок) розподілів статистик цих критеріїв і їх
процентних можна користуватися при будь-яких безперервних функціях розподілу
результатів спостережень.
Банківська статистика - галузь фінансової статистики, завданнями якої є
отримання інформації для характеристики виконуваних банківською системою
функцій, розробка аналітичних матеріалів для потреб управління
грошово-кредитною системою країни, перш за все кредитного і касового планування
і контролю за використанням планів.
Мета банківської статистики - забезпечити:
·
характеристику
діяльності банківської системи;
·
оцінку її
результатів;
·
прогнозування
результатів діяльності банку.
А також виявити чинники, що визначають результати і оцінку впливу
банківської діяльності на розвиток ринкових відносин і її внесок в кінцеві
економічні результати.
Суб'єктом статистичного аналізу є як самі банки, так і інші кредитні
установи, реальні і потенційні клієнти і кореспонденти, фізичні і юридичні
особи.
Завдання банківської статистики визначаються змістом і специфікою її
предмету. Вони обмежуються статистичним вивченням сукупності об'єктивно
обумовлених економічних відносин усередині банківської системи, а також
відносин елементів банківської системи з фінансовою системою в цілому і її
елементами.
Метод статистики фінансів є певною процедурою, що складається з ряду
етапів.
1 етап. є визначальний для подальшого статистичного дослідження. Тут
відбувається розробка наукової гіпотези. Вона припускає постановку завдань
дослідження для досягнення конкретної мети, формулювання цієї мети, виділення і
обмеження об'єкту спостереження, розробку системи показників, що дозволяють описати
об'єкт, що вивчається.
2 етап. Статистичне спостереження, тобто збір необхідних відомостей про
об'єкт, що вивчається.
3 етап - зведення і угрупування зібраних даних. Від якості роботи,
проведеної на 1 і 2 етапах, залежить якість статистичного аналізу і виводів.
Об'єктивність результатів статистичного аналізу залежить від ступеня
однорідності статистичної сукупності. Якісно і кількісно однорідною вважається
сукупність, одиниці якої мають загальні якісні ознаки і близькі по значеннях
кількісні (істотні) ознаки.
Таким чином, метою дослідження однорідності сукупності комерційних банків
за ознакою "величина активів" є виділення однорідних груп банків з
метою забезпечення достовірності подальших статистичних досліджень.
Перевіримо
однорідність досліджуваної сукупності за допомогою розрахунків показників
варіації:
Вибіркове середнє
визначаємо за формулою середньої арифметичної зваженої:
Дисперсія:
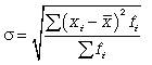
Середнє
квадратичне відхилення:
Коефіцієнт
варіації:
Оскільки отримане
значення коефіцієнта варіації перевищує значення 33,3%, то дану вибірку не
можна вважати однорідною. Тобто, досліджувана за ознакою "величина активів"
сукупність українських банків не є однорідною. Для оцінки однорідності вибірки
українських банків за ознакою "розмір активів, млн.. грн" виконаємо
ранжування варіаційного ряду в порядку зростання розміру активів. Визначимо
мінімальне та максимальне значення варіант:
Розмах варіації
Розрахуємо
кількість груп за формулою Стерджеса:
Скламо таблицю
границь груп і розрахуємо кількість статистичних одиниць в кожній групі:
|
Група
|
Нижня границя інтервалу
|
Верхня границя інтервалу
|
Кількість статистичних одиниць
|
|
1
|
61,36
|
7697,89
|
141
|
|
2
|
7697,89
|
15334,42
|
10
|
|
3
|
15334,42
|
22970,95
|
4
|
|
4
|
22970,95
|
30607,48
|
4
|
|
5
|
30607,48
|
38244,01
|
2
|
|
6
|
38244,01
|
45880,54
|
1
|
|
7
|
45880,54
|
53517,07
|
1
|
|
8
|
53517,07
|
61153,6
|
0
|
|
9
|
61153,6
|
68790,2
|
1
|
Побудуємо
гістограму розподілу даного варіаційного ряду:
Розглядаючи побудовану
гістограму розподілу варіаційного ряду, також можна зробити висновок про те, що
оскільки гістограма за своїм зовнішнім виглядом не наближена до графіка
нормального розподілу, то дана сукупність неоднорідна.
Оскільки дана
сукупність неоднорідна, то будь-які статистичні дослідження можна виконувати
тільки в рамках відокремлених однорідних груп. Перевіримо однорідність відокремлених
груп.
|
Нижня границя інтервалу
|
Верхня границя інтервалу
|
Кількість статистичних одиниць
|
|
|
|
|
|
61,36
|
7697,9
|
141
|
1317,343
|
354316778
|
18823,3
|
1428,884
|
|
7697,9
|
15334
|
10
|
11929,66
|
71086164
|
8431,261
|
70,67481
|
|
15334
|
22971
|
4
|
17432,33
|
10849290
|
3293,826
|
18,89493
|
|
22971
|
30607
|
4
|
24511,48
|
12778977
|
3574,77
|
14,58406
|
|
30607
|
38244
|
2
|
35942,37
|
1059968
|
1029,547
|
2,86444
|
|
38244
|
45881
|
1
|
42358,72
|
0
|
0
|
-
|
|
45881
|
53517
|
1
|
51344,14
|
0
|
0
|
-
|
|
53517
|
61154
|
0
|
0
|
0
|
0
|
-
|
|
61154
|
68790
|
1
|
68790,2
|
0
|
0
|
-
|
Бачимо, що при
побудові інтервального ряду з рівними інтервалами однорідність в межах окремих
інтервалів відсутня, отже згруповані таким чином дані неможна використовувати
для подальших статистичних досліджень.
Отже, для
виділення однорідних груп необхідно провести побудову інтервального ряду з
нерівними інтервалами (додаток 2).
|
№ інтервалу
|
Нижня границя інтервалу
|
Верхня границя інтервалу
|
Коефіцієнт варіації
|
Кількість статистичних одиниць
|
|
1
|
61,36
|
75,85
|
18,42%
|
5
|
|
2
|
80,33
|
119,53
|
32,81%
|
9
|
|
3
|
123,88
|
168,77
|
30,42%
|
8
|
|
4
|
177,93
|
263,17
|
34,65%
|
6
|
|
5
|
265,16
|
346,68
|
29,28%
|
11
|
|
6
|
349,72
|
481,36
|
38,96%
|
15
|
|
7
|
509,31
|
676,29
|
33,46%
|
17
|
|
8
|
683,69
|
924,58
|
33,43%
|
11
|
|
9
|
936,91
|
1168,4
|
29,79%
|
18
|
1270,88
|
1741,05
|
35,78%
|
11
|
|
11
|
1844,29
|
2387,76
|
27,01%
|
8
|
|
12
|
2559,51
|
3601,64
|
33,51%
|
8
|
|
13
|
4387,97
|
5838,19
|
31,16%
|
11
|
|
14
|
6521,38
|
9138,22
|
28,94%
|
6
|
|
15
|
11092,18
|
15504,29
|
29,90%
|
8
|
|
16
|
16362,74
|
23518,47
|
30,64%
|
5
|
|
17
|
24020,36
|
36670,37
|
33,07%
|
4
|
|
18
|
42358,72
|
68790,2
|
33,09%
|
3
|
Бачимо, що при
побудові інтервального ряду з нерівними інтервалами було отримано однорідність
даних в рамках окремих інтервалів. Отже, будь-які статистичні дослідження можна
виконувати тільки в рамках цих відокремлених однорідних груп.
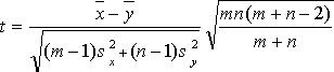
Перевіримо
однорідність двох виборок, які взяті із генеральної сукупності. Порівняємо
вибірки 7 та 10.
Вибірка 7:
|
Банк
|
Розмір активів, млн.. грн
|
|
АвтоКРАЗБанк
|
509,31
|
|
Партнер-Банк
|
510,82
|
|
Одесса-Банк
|
533,5
|
|
Терра Банк
|
540,69
|
|
Интеграл
|
552,65
|
|
Укргазпромбанк
|
560,15
|
|
Черноморский банк развития и реконструкции
|
566,78
|
|
Агрокомбанк
|
569,86
|
|
Артем-Банк
|
591,11
|
|
Камбио
|
609,16
|
|
Металлург
|
622,92
|
|
Глобус
|
625,7
|
|
Украинский финансовый мир
|
625,76
|
|
А-Банк
|
645,63
|
|
Национальный кредит
|
655,31
|
|
АРМА
|
668,82
|
|
Даниель
|
676,29
|
Вибірка 10:
|
Банк
|
Розмір активів, млн.. грн
|
|
СКБ "Днистер"
|
1270,88
|
|
Захидинкомбанк
|
1328,9
|
|
Диамант Банк
|
1356,88
|
|
АвтоЗАЗбанк
|
1378,11
|
|
Факториал-Банк
|
1416,75
|
|
БИГ Энергия
|
1479,87
|
|
Укринбанк
|
1509,83
|
|
Таврика
|
1587,96
|
|
Актив-Банк
|
1716,75
|
|
СЕБ банк
|
1726,17
|
|
Экспобанк
|
1741,05
|
Перевіримо
однорідність цих вибірок за допомогою
статистики
Стьюдента. Вибіркові середні:
млн.. грн.
млн.. грн.
Вибіркові
дисперсії:
Значення
статистики Стьюдента:
Критичне значення
критерію Стьюдента при рівні значущості 0,05 та мірі свободи
дорівнює 2,02.
Оскільки
розраховане значення статистики Стьюдента більше за критиче, то гіпотеза
однорідності (відсутності розходжень) має бути відхилена. Отже, вибірки не є
однорідними.
Український
банківський сектор не є однорідним. Так, на долю трьох найбільших банків
України (1,8% від загальної кількості досліджуваних банківських установ)
належить біля 22,97% сукупних активів банківської системи, сукупні доходи 20
системообразуючих банків України (12% від їх загальної кількості) становлять 70,21%
активів банківської системи України.
Існує також значна структурна неоднорідність, обумовлена відмінністю в
характері і об'ємах що проводяться різними по величині банками операцій, їх
клієнтурою, відношенням з властями і бізнесом, відношенням до них з боку
приватних вкладників, доступністю інструментів управління фінансовими ризиками,
здібностями привертати ресурси на зовнішньому ринку і так далі До теперішнього
часу в банківській системі утворилися різні типи кредитних установ, що якісно
відрізняються один від одного за джерелами ресурсів, характером розміщення,
стратегіям розвитку і тому подібне Найважливіші "типові" відмінності
між банківськими інститутами зумовлювалися наступними обставинами: типом
інтеграції банку з виробничим капіталом; розміром банку; господарським профілем
корпоративної клієнтури банку; наявністю або відсутністю участі держави в
управлінні. Можна виділити наступні основні групи банків:
- банки-центри фінансово-виробничих холдингів;
- крупні спецбанки;
- крупні банки для зовнішньоекономічних розрахунків;
- крупні корпоративні банки;
- банки регионов-фінансових центрів;
- дрібні столичні банки.
Окрім відмічених груп, як два що різко відрізняються і глибоко
відособлених від решти сегментів банківської системи виділяються
системообразующие банки (Приватбанк, Укрсиббанк) і дочірні банки іноземних
банків. Перші - знаходяться під частковим або повним контролем держави і є
найбільшими гравцями на ринку приватних внесків і найбільшими операторами на
ринку державних цінних паперів, другі є каналом для розміщення ресурсів, що
поступають з-за кордону від материнських компаній, в українські фінансові
інструменти, кредити українських підприємствам і підрозділам іноземних
компаній.
Таким чином, моделювання банківського сектора не може обмежуватися
сукупними агрегатами банківської системи на макрорівні, а вимагає розробки
мікромоделей, що враховують особливості різних банків.
Висновки
Статистичні методи - методи аналізу статистичних даних. Виділяють методи
прикладної статистики, які можуть застосовуватися у всіх областях наукових
досліджень і будь-яких галузях народного господарства, і інші статистичні
методи, застосовність яких обмежена тією або іншою сферою.
Статистичні методи аналізу даних застосовуються практично у всіх областях
діяльності людини. Їх використовують завжди, коли необхідно отримати і
обгрунтувати які-небудь думки про групу (об'єктів або суб'єктів) з деякою внутрішньою
неоднорідністю. Одна і та ж сукупність може бути якісне однорідною в одному статистичному
дослідженні і різнорідною в іншому. Об'єктивність результатів статистичного
аналізу залежить від ступеня однорідності статистичної сукупності. Якісно і кількісно
однорідною вважається сукупність, одиниці якої мають загальні якісні ознаки і
близькі по значеннях кількісні (істотні) ознаки. Таким чином, метою дослідження
однорідності сукупності комерційних банків за ознакою "величина активів"
є виділення однорідних груп банків з метою забезпечення достовірності подальших
статистичних досліджень. Проведені дослідження сукупності українських банків за ознакою "розмір
активів" дають підстави стверджувати, що існує структурна неоднорідність банків за
цією ознакою, обумовлена відмінністю в характері і об'ємах що проводяться
різними по величині банками операцій, їх клієнтурою, відношенням з властями і
бізнесом, відношенням до них з боку приватних вкладників, доступністю
інструментів управління фінансовими ризиками, здібностями привертати ресурси на
зовнішньому ринку і так далі.
Проведене виділення однорідних груп банків за розміром активів дозволяє
виконувати подальші статистичні дослідження в рамках однорідних груп.
Використана література
1.
Орлов А.
И. Прикладная статистика. Учебник. — М.: Экзамен, 2006.
2.
Л. В.
Щербина. Общая теория статистики. - Эксмо, 2008 г.
3.
В. Н.
Салин, Э. Ю. Чурилова. Курс теории статистики для подготовки специалистов
финансово-экономического профиля. - Финансы и статистика, 2006 г.
4.
С. Р.
Моисеев, М. В. Ключников, О. М. Акимов, Е. А. Пищу лин. Финансовая статистика:
денежная и банковская. - КноРус, 2008 г.
Дані про розмір
активів банків України станом на 01/01/2008 р.
|
№
|
Банк
|
Розмір активів, млн. грн..
|
№
|
Банк
|
Розмір активів, млн.. грн..
|
|
1
|
ПриватБанк
|
68790,2
|
83
|
Банк регионального развития
|
924,58
|
|
2
|
Райфайзен Банк Аваль
|
51344,14
|
84
|
Золотые ворота
|
922,05
|
|
3
|
Укрсиббанк
|
42358,72
|
85
|
Международный ипотечный банк
|
918,23
|
|
4
|
Укрсоцбанк
|
36670,37
|
86
|
Национальные инвестиции
|
859,46
|
|
5
|
Укрэксимбанк
|
35214,37
|
87
|
Первый инвестиционный банк
|
825,85
|
|
6
|
Проминвестбанк
|
27539,41
|
88
|
Синтез
|
819,24
|
|
7
|
Надра Банк
|
24020,36
|
89
|
Петрокомерцбанк Украина
|
768,17
|
|
8
|
Ощадбанк
|
23518,47
|
90
|
Земельный
|
765,37
|
|
9
|
ОТП банк
|
22967,67
|
91
|
Финбанк
|
753,72
|
|
10
|
Альфа-банк
|
19795,74
|
92
|
Пивденкомбанк
|
687,19
|
|
11
|
ВТБ банк
|
18066,54
|
93
|
Львов
|
683,69
|
|
12
|
Форум
|
16362,74
|
94
|
Даниель
|
676,29
|
|
13
|
ПУМб
|
15504,29
|
95
|
АРМА
|
668,82
|
|
14
|
Брокбизнесбанк
|
15228,02
|
96
|
Национальный кредит
|
655,31
|
|
15
|
Финансы и Кредит
|
15123,37
|
97
|
А-Банк
|
645,63
|
|
16
|
Укрпромбанк
|
14182,9
|
98
|
Украинский финансовый мир
|
625,76
|
|
17
|
Кредитпромбанк
|
13368,88
|
99
|
Глобус
|
625,7
|
|
18
|
Укргазбанк
|
13010,33
|
100
|
Металлург
|
622,92
|
|
19
|
Родовид Банк
|
12411,26
|
101
|
Камбио
|
609,16
|
|
20
|
Сведбанк
|
11092,18
|
102
|
Артем-Банк
|
591,11
|
|
21
|
Пивденний
|
9138,22
|
103
|
Агрокомбанк
|
569,86
|
|
22
|
ИНГ Банк Украина
|
7957,73
|
104
|
Черноморский банк развития и реконструкции
|
566,78
|
|
23
|
УниКредит Банк
|
7783,67
|
105
|
Укргазпромбанк
|
560,15
|
|
24
|
Эрста Банк
|
7620,16
|
106
|
Интеграл
|
552,65
|
|
25
|
VAB Банк
|
6534,52
|
107
|
Терра Банк
|
540,69
|
|
26
|
Донгорбанк
|
6521,38
|
108
|
Одесса-Банк
|
533,5
|
|
27
|
Правэкс-Банк
|
5838,19
|
109
|
Партнер-Банк
|
510,82
|
|
28
|
Универсал Банк
|
5639,58
|
110
|
АвтоКРАЗБанк
|
509,31
|
|
29
|
Хрещатик
|
5521,98
|
111
|
ПлюсБанк
|
481,36
|
|
30
|
Имэксбанк
|
5183,59
|
112
|
Укркоммунбанк
|
473,14
|
|
31
|
Финансовая инициатива
|
5068,61
|
113
|
Юнекс
|
465,65
|
|
32
|
Кредобанк
|
5043,21
|
114
|
Столица
|
454,83
|
|
33
|
Дельта Банк
|
4864,35
|
115
|
Премиум
|
454,61
|
|
34
|
Индустриалбанк
|
4743,44
|
116
|
Промэкономбанк
|
430,24
|
|
35
|
сведбанк Инвест
|
117
|
Контракт
|
429,87
|
|
36
|
Ситибанк Украина
|
4390,71
|
118
|
Розничный неограниченный сервис
|
423,47
|
|
37
|
Киев
|
4387,97
|
119
|
Грант
|
420,09
|
|
38
|
Киевская Русь
|
3601,64
|
120
|
Порто-Франко
|
411,2
|
|
39
|
Индекс-банк
|
3458,08
|
121
|
Новый Украинский капитал
|
402,13
|
|
40
|
Дочерний банк сбербанка России
|
3345,31
|
122
|
Владимирский
|
381,68
|
|
41
|
Кредит-Днепр
|
3151,56
|
123
|
Причерноморский
|
358,21
|
|
42
|
Капион Банк Украина
|
3087,79
|
124
|
Легбанк
|
351,02
|
|
43
|
ПроКредит Банк
|
2658,24
|
125
|
Банк Строкиевский
|
349,72
|
|
44
|
Морской транспортный банк
|
2654,36
|
126
|
Финростбанк
|
346,68
|
|
45
|
Мегабанк
|
2559,51
|
127
|
Банк Руссикий стандарт
|
345,44
|
|
46
|
Экспресс-Банк
|
2387,76
|
128
|
Европейский банк рационального финансирования
|
342,81
|
|
47
|
Клиринговый Дом
|
2327,13
|
129
|
Банк Богуслав
|
340,32
|
|
48
|
Банк Реннесанс Капитал
|
2304,71
|
130
|
ТК Кредит
|
333,13
|
|
49
|
Кредит Европа Банк
|
2131,23
|
131
|
Реал Банк
|
325,24
|
|
50
|
БМ банк
|
2076,5
|
132
|
Еврогазбанк
|
319,05
|
|
51
|
Электрон Банк
|
1912,94
|
133
|
УФГ
|
312,97
|
|
52
|
Пирвус Банк МКБ
|
1884,03
|
134
|
Морской
|
305,87
|
|
53
|
Украинский Профессиональный Банк
|
1844,29
|
135
|
Поликомбанк
|
265,52
|
|
54
|
Экспобанк
|
1741,05
|
136
|
Финексбанк
|
265,16
|
|
55
|
СЕБ банк
|
1726,17
|
137
|
Регион-Банк
|
263,17
|
|
56
|
Актив-Банк
|
1716,75
|
138
|
Траст-капитал
|
261,63
|
|
57
|
Таврика
|
1587,96
|
139
|
Сигмабанк
|
236,14
|
|
58
|
Укринбанк
|
1509,83
|
140
|
Промышленно-финансовый банк
|
204,11
|
|
59
|
БИГ Энергия
|
1479,87
|
141
|
Укоопспилка
|
203,24
|
|
60
|
Факториал-Банк
|
1416,75
|
142
|
Икар-Банк
|
177,93
|
|
61
|
АвтоЗАЗбанк
|
1378,11
|
143
|
Столичный
|
168,77
|
|
62
|
Диамант Банк
|
1356,88
|
144
|
Восточно-промышленный банк
|
162,09
|
|
63
|
Захидинкомбанк
|
1328,9
|
145
|
Диалогбанк
|
149,96
|
|
64
|
СКБ "Днистер"
|
1270,88
|
146
|
Прайм
|
141,12
|
|
65
|
Энергобанк
|
1168,4
|
147
|
Кредитвестбанк
|
133,28
|
|
66
|
УБРП
|
1166,73
|
148
|
Коммерческий индустриальный
|
133,06
|
|
67
|
Демарк
|
1166,12
|
149
|
Олимпийский Украина
|
127,46
|
|
68
|
Трансбанк
|
1151,22
|
150
|
Уникомбанк
|
123,88
|
|
69
|
БТА банк
|
1135,42
|
151
|
Радабанк
|
119,53
|
|
70
|
Базис
|
1133,94
|
152
|
ТММ-банк
|
116,81
|
|
71
|
Аркада
|
1125,91
|
153
|
Евробанк
|
115,31
|
|
72
|
Восточно-Европейский банк
|
1109,67
|
154
|
Моторбанк
|
114,09
|
|
73
|
Финансовый союз Банк
|
1108,86
|
155
|
Банк Фамильный
|
107,96
|
|
74
|
Полтава-Банк
|
1098,7
|
156
|
Земельный капитал
|
103,9
|
|
75
|
Астра-Банк
|
1072,71
|
157
|
Украинский банк реконструкции и развития
|
102,56
|
|
76
|
Национальный стандарт
|
1063,96
|
158
|
Укрбудинвестбанк
|
88,75
|
|
77
|
Банк инвестиций и сбережений
|
1011,3
|
159
|
Кредит-Оптима
|
80,33
|
|
78
|
УкрБизнесБанк
|
997,21
|
160
|
Банк Велес
|
75,85
|
|
79
|
Капитал
|
991,7
|
161
|
Банк Народный капитал
|
71,2
|
|
80
|
МистоБанк
|
980,66
|
162
|
Приватинвест
|
70,99
|
|
81
|
Меркурий
|
957,16
|
163
|
Альянс
|
62,17
|
|
82
|
Фортуна-Банк
|
936,91
|
164
|
Классикбанк
|
61,36
|
Групування банків
України за розміром активів
|
Группа
|
Банк
|
Розмір активів, млн.. грн..
|
Группа
|
Банк
|
Розмір активів, млн.. грн..
|
|
1
|
Классикбанк
|
61,36
|
9
|
Фортуна-Банк
|
936,91
|
|
Альянс
|
62,17
|
Меркурий
|
957,16
|
|
Приватинвест
|
70,99
|
МистоБанк
|
980,66
|
|
Банк Народный капитал
|
71,2
|
Капитал
|
991,7
|
|
Банк Велес
|
75,85
|
УкрБизнесБанк
|
997,21
|
|
2
|
Кредит-Оптима
|
80,33
|
Банк инвестиций и сбережений
|
1011,3
|
|
Укрбудинвестбанк
|
88,75
|
Национальный стандарт
|
1063,96
|
|
Украинский банк реконструкции и развития
|
102,56
|
Астра-Банк
|
1072,71
|
|
Земельный капитал
|
103,9
|
Полтава-Банк
|
1098,7
|
|
Банк Фамильный
|
107,96
|
Финансовый союз Банк
|
1108,86
|
|
Моторбанк
|
114,09
|
Восточно-Европейский банк
|
1109,67
|
|
Евробанк
|
115,31
|
Аркада
|
1125,91
|
|
ТММ-банк
|
116,81
|
Базис
|
1133,94
|
|
Радабанк
|
119,53
|
БТА банк
|
|
3
|
Уникомбанк
|
123,88
|
Трансбанк
|
1151,22
|
|
Олимпийский Украина
|
127,46
|
Демарк
|
1166,12
|
|
Коммерческий индустриальный
|
133,06
|
УБРП
|
1166,73
|
|
Кредитвестбанк
|
133,28
|
Энергобанк
|
1168,4
|
|
Прайм
|
141,12
|
10
|
СКБ "Днистер"
|
1270,88
|
|
Диалогбанк
|
149,96
|
Захидинкомбанк
|
1328,9
|
|
Восточно-промышленный банк
|
162,09
|
Диамант Банк
|
1356,88
|
|
Столичный
|
168,77
|
АвтоЗАЗбанк
|
1378,11
|
|
4
|
Икар-Банк
|
177,93
|
Факториал-Банк
|
1416,75
|
|
Укоопспилка
|
203,24
|
БИГ Энергия
|
1479,87
|
|
Промышленно-финансовый банк
|
204,11
|
Укринбанк
|
1509,83
|
|
Сигмабанк
|
236,14
|
Таврика
|
1587,96
|
|
Траст-капитал
|
261,63
|
Актив-Банк
|
1716,75
|
|
Регион-Банк
|
263,17
|
СЕБ банк
|
1726,17
|
|
5
|
Финексбанк
|
265,16
|
Экспобанк
|
1741,05
|
|
Поликомбанк
|
265,52
|
11
|
Украинский Профессиональный Банк
|
1844,29
|
|
Морской
|
305,87
|
Пирвус Банк МКБ
|
1884,03
|
|
УФГ
|
312,97
|
Электрон Банк
|
1912,94
|
|
Еврогазбанк
|
319,05
|
БМ банк
|
2076,5
|
|
Реал Банк
|
325,24
|
Кредит Европа Банк
|
2131,23
|
|
ТК Кредит
|
333,13
|
Банк Реннесанс Капитал
|
2304,71
|
|
Банк Богуслав
|
340,32
|
Клиринговый Дом
|
2327,13
|
|
Европейский банк рационального финансирования
|
342,81
|
Экспресс-Банк
|
2387,76
|
|
Банк Руссикий стандарт
|
345,44
|
12
|
Мегабанк
|
2559,51
|
|
Финростбанк
|
346,68
|
Морской транспортный банк
|
2654,36
|
|
6
|
Банк Строкиевский
|
349,72
|
ПроКредит Банк
|
2658,24
|
|
Легбанк
|
351,02
|
Капион Банк Украина
|
3087,79
|
|
Причерноморский
|
358,21
|
Кредит-Днепр
|
3151,56
|
|
Владимирский
|
381,68
|
Дочерний банк сбербанка России
|
3345,31
|
|
Новый Украинский капитал
|
402,13
|
Индекс-банк
|
3458,08
|
|
Порто-Франко
|
411,2
|
Киевская Русь
|
3601,64
|
|
Грант
|
420,09
|
13
|
Киев
|
4387,97
|
|
Розничный неограниченный сервис
|
423,47
|
Ситибанк Украина
|
4390,71
|
|
Контракт
|
429,87
|
сведбанк Инвест
|
4554,83
|
|
Промэкономбанк
|
430,24
|
Индустриалбанк
|
4743,44
|
|
Премиум
|
454,61
|
Дельта Банк
|
4864,35
|
|
Столица
|
454,83
|
Кредобанк
|
5043,21
|
|
Юнекс
|
465,65
|
Финансовая инициатива
|
5068,61
|
|
Укркоммунбанк
|
473,14
|
Имэксбанк
|
5183,59
|
|
ПлюсБанк
|
481,36
|
Хрещатик
|
5521,98
|
|
7
|
АвтоКРАЗБанк
|
509,31
|
Универсал Банк
|
5639,58
|
|
Партнер-Банк
|
510,82
|
Правэкс-Банк
|
5838,19
|
|
Одесса-Банк
|
533,5
|
14
|
Донгорбанк
|
6521,38
|
|
Терра Банк
|
540,69
|
VAB Банк
|
6534,52
|
|
Интеграл
|
552,65
|
Эрста Банк
|
7620,16
|
|
Укргазпромбанк
|
560,15
|
УниКредит Банк
|
7783,67
|
|
Черноморский банк развития и реконструкции
|
566,78
|
ИНГ Банк Украина
|
7957,73
|
|
Агрокомбанк
|
569,86
|
Пивденний
|
9138,22
|
|
Артем-Банк
|
591,11
|
Сведбанк
|
11092,18
|
|
Камбио
|
609,16
|
Родовид Банк
|
12411,26
|
|
Металлург
|
622,92
|
Укргазбанк
|
13010,33
|
|
Глобус
|
625,7
|
Кредитпромбанк
|
13368,88
|
|
Украинский финансовый мир
|
625,76
|
Укрпромбанк
|
14182,9
|
|
А-Банк
|
645,63
|
Финансы и Кредит
|
15123,37
|
|
Национальный кредит
|
655,31
|
Брокбизнесбанк
|
15228,02
|
|
АРМА
|
668,82
|
ПУМб
|
15504,29
|
|
Даниель
|
676,29
|
15
|
Форум
|
16362,74
|
|
8
|
Львов
|
683,69
|
ВТБ банк
|
18066,54
|
|
Пивденкомбанк
|
687,19
|
Альфа-банк
|
19795,74
|
|
Финбанк
|
753,72
|
ОТП банк
|
22967,67
|
|
Земельный
|
765,37
|
Ощадбанк
|
23518,47
|
|
Петрокомерцбанк Украина
|
768,17
|
16
|
Надра Банк
|
24020,36
|
|
Синтез
|
819,24
|
Проминвестбанк
|
27539,41
|
|
Первый инвестиционный банк
|
825,85
|
Укрэксимбанк
|
35214,37
|
|
Национальные инвестиции
|
859,46
|
Укрсоцбанк
|
36670,37
|
|
Международный ипотечный банк
|
918,23
|
17
|
Укрсиббанк
|
42358,72
|
|
Золотые ворота
|
922,05
|
Райфайзен Банк Аваль
|
51344,14
|
|
Банк регионального развития
|
924,58
|
ПриватБанк
|
68790,2
|