Социометрическая структура группы

  • Вид работы:
    Курсовая работа (т)
  • Предмет:
    Этика, эстетика
  • Язык:
    Русский
    ,
    Формат файла:
    MS Word
    374,13 kb
  • Опубликовано:
    2009-12-21
Вы можете узнать стоимость помощи в написании студенческой работы.
Помощь в написании работы, которую точно примут!

Социометрическая структура группы

План

Введение. 2

Глава 1. Социометрия как метод изучения малых групп.. 4

1.1 Понятие социометрии и ее назначение.. 4

1.2 Описание социометрии как практического инструментария для изучения межличностных отношений в малых группах. 6

1.3 Процедура проведения социометрического исследования. 11

1.4 Связь социометрии с этикой деловых отношений. 17

Глава 2. Практическое использование метода социометрии для изучения отношений в малой группе (на примере студенческих групп). 19

2.1 МА-111. 19

2.2 СКС-311. 20

2.3УП-411. 21

2.4 Общий вывод по результатам. 22

Глава 3. Рекомендации по сплочению групп. 23

3.1 Рекомендации по сплочению группы МА-111. 23

3.2 Рекомендации по сплочению группы СКС-311. 24

3.3 Рекомендации по сплочению коллектива на предприятии. 24

Заключение. 26

Список используемой литературы:. 28

Приложение. 30

Введение

Личность, группа, коллектив, общество — явления, которые взаимосвязаны логикой развития человечества. В обществе существуют и малые, и большие социальные группы. Человек подвержен влиянию как одних, так и других.

В малой группе определяющими являются непосредственные отношения и взаимодействия между ее членами, эмоциональный контакт, податливость или сопротивление групповому давлению, социально-психологическая совместимость и т. д. В коллективе же как определяющие выступают те взаимодействия и взаимоотношения людей, которые опосредованы целями, задачами и ценностями совместной деятельности, то есть ее реальным общественным и личностно-значимым содержанием.

Концепция первичных малых групп и коллективов, в современных условиях нуждается в возможно более широком развитии, необходимом для решения проблем общества.

Общеизвестно, что одним из эффективных способов изучения отношений в малой группе является метод социометрии.

Объект исследования — метод социометрии как метод изучения отношений в малых группах.

Предмет исследования — особенности метода социометрии как способа изучения отношений в малых группах.

Цель: теоретическое обоснование и экспериментальная демонстрация социометрии как метода изучения отношений в малых группах.

Социометрия представляет собой отрасль социологии и социальной психологии, изучающую межличностные отношения в малых группах, с другой стороны — экспериментальный метод, позволяющий исследовать межличностные отношения в малых группах.

Изучив выборы, сделанные членами малой группы по определенному критерию можно выявить своеобразие неформальной структуры группы и содержательные характеристики этой структуры.

Основные методы исследования: теоретический анализ научной литературы; метод социометрии; методы математической статистики; анализ полученных статистических данных.

Теоретическая значимость работы обусловлена расширением представлений о социометрии как единстве теоретического и прикладного направления в социологии и социальной психологии

Практическая значимость заключается в том, что в работе рассмотрены и обобщены технологии применения социометрии как метода изучения отношений внутри малых групп.

Глава 1. Социометрия как метод изучения малых групп

1.1 Понятие социометрии и ее назначение

Малая группа как объект исследования занимает особое место в системе социальных наук. Процесс непосредственного социального взаимодействия, происходящий в малой группе и создающий социальную “микросреду” человека, является чрезвычайно сильным фактором формирования и воспитания личности, социально-психологического стимулирования и регулирования ее деятельности. Малая группа — важный элемент социальной системы в целом, она фокусирует в себе те общественные отношения, в которые она вплетена, воплощает их во внутригрупповые отношения. Знание механизмов этих отношений представляет собой необходимый элемент социального управления, построенного на научной основе. В то же время именно в малой группе действие этих механизмов столь наглядно и разнообразно, что позволяет успешно применять и анализировать самые различные подходы к объяснению социальной реальности — социологический, социально-психологический и психологический, динамический и статистический и т. Д [1, 14].

Одним из наиболее эффективных способов исследования эмоционально-непосредственных отношений внутри малой группы является социометрия. Она представляет собой своеобразный способ количественной оценки межличностных отношений в группе [3.67].

Термин “социометрия” происходит от латинского слова societas — общество и греческого metruin — измеряю и обозначает с одной стороны отрасль социальной психологии и социологии, изучающую межличностные отношения в малых группах количественными методами с акцентом на изучение симпатий и антипатий внутри группы, а с другой стороны — прикладное направление, включающее изучение, совершенствование и использование соответствующего инструментария для решения практических задач [1; 7].

Социометрический тест предназначен для диагностики эмоциональных связей, т.е. взаимных симпатий и антипатий между членами группы.

Если конкретизировать, то назначение социометрической процедуры может быть трояким: (а) измерение степени сплоченности - разобщенности в группе; (б) выявление "социометрических позиций", т.е. соотносительного авторитета членов группы по признакам симпатии - антипатии, где на крайних полюсах оказывается "лидер" группы и "отвергнутый"; (а) обнаружение внутригрупповых подсистем — сплоченных образований, во главе которых могут быть свои неформальные лидеры” [13, 176].

С помощью этого способа можно установить популярность — непопулярность отдельных членов группы, изучить типологию социального поведения людей в условиях коллективной деятельности, вскрыть неформальную структуру группы, выявить степень социально-психологической совместимости ее членов и т.п.

Возникновение и развитие социометрии (как теоретической системы и как системы практических методов) самым теснейшим образом связаны с жизнью и творчеством получившего широкую известность в наше время социолога, психиатра и социального психолога Джекоба Л. Морено, который по праву считается ее основателем [5.170].

Социометрия представляет, по мнению Морено, “последнее слово” современной социальной мысли и является “подлинно американским движением”. При всех ограничениях, присущих подходу Морено к социометрии, ее роли и месте в системе социальных наук, его понимание социометрии оказало огромное влияние на возникновение и развитие и социометрической теории, и практических социометрических методик, в том числе на их применение в процессе изучения отношений в малых группах [1; 43].

Чтобы лучше понять истоки некоторых положений “социометрической науки” о малых группах, необходимо осветить взгляды и мировоззренческие позиции ее основателя Морено, а также описать процесс распространения социометрии среди исследователей всего мира.

“В бурях и натиске первой мировой войны,— пишет Морено,— мне пришла в голову идея социометрии как единственного пути к новому порядку в обществе” .

Система социометрии содержит три элемента: социус (товарищ, друг), измерение (мера) и драму (действие, акт). Отсюда три направления в исследовании: исследование групп, исследование измерения и исследование действия. Подлинная социометрия является “всегда наукой действия” [1, 57].

1.2 Описание социометрии как практического инструментария для изучения межличностных отношений в малых группах

В работе рассматривается социометрия как метод изучения малых групп при помощи описания системы межличностных отношений между их членами.

Социометрические методики исследования групп и первичных коллективов используются социальными психологами и социологами для исследований на предприятиях, в школах, вузах, спортивных коллективах, а также для формирования особых групп и коллективов, для которых проблема межличностных отношений и психологической совместимости имеет исключительно важное значение (например, космических экипажей) [6.175].

Социометрическая техника исследования малой группы построена на том, что исследуемые лица выбирают (или отвергают) партнеров для совместной работы, совместного проведения свободного времени, совместной учебы, соседа по парте и т. д. Для большей наглядности используем для иллюстрации наиболее простую анкету [1, 49].

Социометрическая анкета

для студентов учебного заведения

С кем из студентов группы я предпочитаю сидеть за одной партой?

1. __________., потому что _____________________________________

2. __________., потому что ______________________________________

3. __________., потому что ______________________________________

С кем из студентов группы я не хотел бы сидеть за одной партой?

1. __________., потому что _____________________________________

2. __________., потому что ______________________________________

3. __________., потому что ______________________________________

С кем из одногруппников я предпочитаю учиться вместе?

1. __________., потому что ______________________________________

2. __________., потому что ______________________________________

3. __________., потому что ______________________________________

С кем из одногруппников я не хотел бы учиться вместе?

1. __________., потому что ______________________________________

2. __________., потому что ______________________________________

3. __________., потому что ______________________________________

С кем из студентов группы я предпочитаю работать вместе?

1. __________., потому что _____________________________________

2. __________., потому что _____________________________________

С кем из студентов группы я не хотел бы работать вместе?

1. __________., потому что _____________________________________

2. __________., потому что _____________________________________

3. __________., потому что _____________________________________

С кем из студентов группы я хотел бы проводить свободное время?

1. __________., потому что ____________________________________

2. __________., потому что ____________________________________

3. __________., потому что ____________________________________

С кем из студентов группы я не хотел бы проводить свободное время?

1. __________., потому что ______________________________________

2. __________., потому что ______________________________________

3. __________., потому что ______________________________________

По числу полученных от других членов группы выборов (или отказов) и их интенсивности (в соответствии со степенью желания или нежелания) можно судить о популярности, авторитете, положении человека в коллективе. Если же учесть число всех членов коллектива, охваченных социометрическим изучением, число всех теоретически возможных выборов и число выборов, действительно сделанных в коллективе (односторонних и взаимных), то можно вычислить, количественно определить интеграцию и сплоченность коллектива [7].

В процессе социометрии используются так называемые “социометрические вопросы” [4].

Отличие социометрического вопроса от обычного заключается в том, что ответом на социометрический вопрос является не значение признака, измеренное в номинальной, порядковой или метрической шкале, как в обычном опросе, а фактически фамилия (или номер, заменяющий фамилию) того или иного члена группы. Если обычный вопрос задает некоторое распределение опрашиваемого множества респондентов по изучаемому признаку, то социометрический вопрос задает некоторую структуру отношений в изучаемом множестве. Эта особенность, как будет показано ниже, коренным образом сказывается, прежде всего, на методах обработки и анализа данных. Поэтому статистические методы обработки данных, использующиеся при анализе обычных опросов (анализ распределений, меры центральной тенденции, вариации и связи), при обработке социометрических данных либо не применимы вообще, либо требуют существенной модификации [8]. Эта особенность задает также специфические способы представления информации (социограммы и социоматрицы), поэтому изложение социометрических методов всегда сопровождается достаточно подробным изложением методов представления и анализа социометрических данных. Рассмотрим другие особенности социометрических вопросов и некоторые проблемы их использования при проведении опросов.

Типы социометрических вопросов. Для наглядности приведем условный пример анкеты, составленной из вопросов различных типов, встречающихся в социометрических опросах, и предназначенной, для исследования студенческой группы (по Паниотто В.И.) [4, 186].

1. Проранжируйте, пожалуйста, членов Вашей группы по степени близости (сперва назовите самого близкого для Вас товарища, потом менее близкого и т. д.) __________________

2. С кем из членов Вашей группы Вы ходили в кино в этом месяце? _________

3. С кем из членов Вашей группы Вы согласились бы жить в одной квартире в первую очередь ________________? Во вторую очередь _________________ ? В третью очередь ______________________?

4. А кто, как Вам кажется, согласился бы жить вместе с Вами (укажите не более трех человек)?

5. Оцените, пожалуйста, каждого из членов Вашей группы по перечисленному ниже набору качеств, обведя кружком соответствующий балл (если качество выражено в очень высокой степени — 5 баллов, в высокой — 4, в средней — 3, что означает, что данное качество выражено в такой же степени, как и противоположное, 2 ставьте в том случае, если в высокой и 1 — если в очень высокой степени выражено противоположное качество):

трудолюбив 5 4 3 2 1 ленив

одарен 5 4 3 2 1 бездарен

организован 5 4 3 2 1 неорганизован

Первое из оснований для деления вопросов на типы — способ определения предпочтений опрашиваемого: балльная оценка, ранжирование или метод парных сравнений. С этой точки зрения социометрические вопросы практически не отличаются от обычных. Вопрос 1 дает пример использования ранжирования в социометрическом вопросе, вопрос 4 — пример использования балльных оценок (выборам, сделанным в ответ на вопрос “в первую очередь” приписывают обычно балл 3, “во вторую очередь” — балл 2, “в третью очередь”— балл 1). В том случае, когда выборам приписывают некоторый балл или вес, вопрос называется взвешенным. Чаще всего респондент выбирает из множества членов группы несколько человек по заданному критерию, никак не упорядочивая их (так же, как респонденты при ответе на обычный вопрос с использованием номинальной шкалы). В этом случае вопрос называется невзвешенным. Этот случай можно рассматривать как один из специальных вариантов метода ранжирования (выделяются две группы — предпочитаемые и остальные) [9].

Второе основание — ограничено ли число выборов, разрешенных респонденту. Вопросы с ограниченным числом выборов иногда называют параметрическими (см. вопрос 4), а вопрос, в котором респондент может указать любое число членов группы, — непараметрическим (вопрос 2, например)). Вопрос о том, какой из типов дает более надежную информацию, является дискуссионным. Некоторые авторы полагают, что лимитирование выборов заставляет испытуемых более внимательно относиться к своим ответам, снижает вероятность случайных ответов, позволяет стандартизировать условия выборов в группах различной численности, активизирует выбор. Хотя, на мой взгляд, ограничение числа выборов не позволяет респондентам полностью отразить свои предпочтения. Так Холленд и Лейнгардт показали, что при решении ряда задач, связанных с проверкой гипотез о динамике структуры малой группы, использование критериев с ограничением числа выборов приводит к существенным ошибкам.

1.3 Процедура проведения социометрического исследования

Важнейшим условием надежности результатов при проведении социометрического исследования является четкое выполнение его процедуры. Как отмечает Паниотто В.И., существуют специфические особенности процедуры социометрического опроса, связанные, во-первых, с тем, что исследование проводится в малой социальной группе (исследователь должен четко обозначить границы группы, в которой проводится исследование), во-вторых, с тем, что изучаются, как правило, межличностные отношения, затрагивающие жизненные интересы каждого из членов группы [4, 189]. Это предъявляет особые требования к уровню профессионализма социолога и этическому аспекту проводимых исследований. Иногда перед проведением исследования социолог проводит так называемую социометрическую разминку — в течение некоторого периода (одна-две недели) знакомится с жизнью группы, пытается завоевать доверие членов группы и установить отношения сотрудничества, пробудить интерес к исследованию и желание искренне отвечать на вопросы анкеты. Такие контакты желательны лишь в том случае, если обеспечена анонимность ответов — в противном случае тесный контакт исследователя с группой приводит к включению его в систему межличностных отношений и может отрицательно сказаться на искренности ответов.

Кроме того, представляется важным соблюдение следующих правил социометрического обследования:

границы обследуемой группы должны быть четко обозначены; группа должна иметь определенный опыт совместной деятельности (обычно не менее двух месяцев);

опрос членов группы должен проводиться посторонним для данного коллектива лицом;

все выборы членами группы должны делаться самостоятельно;

вопросы должны формулироваться таким образом, чтобы они были понятны всем членам группы;

критерии должны быть существенны для всех членов группы.

Проблема анонимности ответов в социометрическом опросе заслуживает особого рассмотрения. Дело в том, что для описания структуры отношений в группе необходимо знать не только то, кого указывают в ответе на каждый социометрический вопрос, но и кто указывает, т. е. обязательным атрибутом социометрической анкеты является фамилия ответившего (или любой другой идентификатор, заменяющий фамилию, чаще всего — номер респондента) [2.115]. Как это совместить с требованием анонимности? Некоторые исследователи, объявляя респондентам, что опрос анонимный, метят анкеты шифром, незаметным для респондентов (например, ставят номер респондента перед вручением ему анкеты на втором листе под скрепкой, скрепляющей листы анкеты, подчеркивают некоторые “наиболее важные” вопросы по-разному в разных анкетах так, что комбинация подчеркнутых вопросов служит идентификатором анкеты, задают подробные вопросы о поле, возрасте, семейном положении, образовании и, возможно, некоторых других признаках респондентов так, чтобы сочетание градаций признаков было уникальным для каждого члена исследуемой группы и т. п.).

Обработка и представление полученных социометрических данных предусматривает построение социоматриц и социограмм, а также построение социометрических индексов.

Социоматрица представляет собой таблицу, куда включаются положительные и отрицательные выборы, сделанные всеми членами изучаемой группы.

Кого выбирают

Кто выбирает

1

2

3

4

5

6

S

1

0

0

0

0

1

0

1

2

0

0

0

1

0

1

2

3

0

1

0

0

0

0

4

0

1

0

0

0

1

2

5

1

1

0

0

0

0

2

6

0

1

0

1

0

0

2


1

4

0

2

1

2

10


Строится данная таблица по следующему принципу: в горизонтальных строках и вертикальных столбцах, которых в каждом случае столько же, сколько членов группы, соответственно указывается, кто выбирает и кого выбирают. В местах пересечения строк и столбцов ставят знаки + в случае положительного выбора и — в случае отрицательного, 0 — при отсутствии какого-либо выбора. Личная позиция каждого члена группы может быть представлена количественно и определяется как алгебраическая сумма отдельных значений столбца таблицы. Это дает возможность установить популярность членов группы (т.е. степень привлекательности для окружающих).

Наглядно характер межличностных отношений может быть отражен на социограмме. Социограмма — специальный график, рисунок, диаграмма, изображающие целостную картину взаимоотношений, взаимных и односторонних выборов и отрицаний, сделанных в ходе исследования, проведенного с помощью социометрической методики. Она позволяет высказать предположение о стиле лидерства, судить о сплоченности, организованности группы и частично о ее психологическом климате.

Социограмма имеет несколько вариантов. Она представляет собой совокупность концентрических окружностей, внутри которых размещаются номера фамилий членов исследованной группы и соединяются между собой стрелками, указывающими направленность и характер выборов. Причем индивиды с высоким социометрическим статусом располагаются во внутреннем круге; лица, получившие число выборов, близкое к среднестатистическому — в следующем кольце кнаружи и т. д. Второй вариант: социограмма представляет собой произвольное по форме плоскостное изображение, на котором выделены группировки индивидов, взаимно выбравших друг друга, и связи между ними; расстояния, на котором располагаются друг от друга эти группировки, соответствуют характеру выборов между их членами. Третий вариант—индивидуальная социограмма. В этом случае произвольно или целенаправленно выбранный член группы изображается в системе всех его связей, выявленных по ходу исследования.

Иногда на социограмме номера лиц мужского пола изображают внутри условных знаков — маленьких треугольников, а номера лиц женского пола — внутри окружностей. Такая форма изображения социограммы мне представляется наиболее приемлемой, т.к. это увеличивает наглядность изображения.

На рисунке представлены структуры, наиболее характерные для социограмм.


Рис. 1 Виды взаимосвязи в малой группе: а—диада, б—триада, в—тетрада, г—“цепочка”, д— “звезда”

Один из вариантов социограммы называется “мишень”. (рис. 2)

Объективизация результатов социометрического исследования осуществляется путем вычисления социометрических индексов.

Различают персональные и групповые индексы. К первым относятся индексы социометрического статуса и экспансивности индивида в группе, ко вторым — индексы групповой сплоченности, конфликтности и экспансивности группы.

Рис. 2 Социограмма типа “мишень”

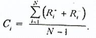
Персональные индексы. Индекс социометрического статуса индивида вычисляется по формуле:

#

где Сi — социометрический статус i-члена, R+ и R- — полученные i-членом выборы, S — знак алгебраического суммирования числа полученных выборов i-члена, N— число членов группы

Возможен также расчет отдельно положительного и отрицательного социометрического статуса по формулам:

Сi+ = ∑ Bi/(N-1)

Сi- = ∑ Bi/(N-1)

Индекс экспансивности индивида в группе вычисляется по формуле:

Эj = (∑Bj+ + ∑Bj-)/ (N-1)

где Э j — эмоциональная экспансивность индивида группы;

Bj+ — положительные выборы, отданные членом в группу;

Bj - — отрицательные выборы, отданные членом в группу; N — количество членов в группе.

Групповые индексы. Индекс групповой сплоченности (К) измеряется отношением количества сделанных взаимных выборов к количеству возможных взаимных выборов:

K= å Aij+/ N(N-1)

где å A+ij — количество взаимных положительных выборов; N — количество членов в группе.

Индекс конфликтности в группе (U) выражает относительное количество отмечавшихся в группе взаимных отрицательных выборов:

U= å Aij-/N (N - 1)

где å A-ij — количество взаимных отрицательных выборов,

N — количество членов в группе.

Индекс групповой экспансивности (Э) характеризует тип и интенсивность группового взаимодействия:

Э = (å Aij++å Aij-) / N

где å A+ij — общее число положительных выборов; å A-ij — общее число отрицательных выборов; N — количество членов в группе.

1.4 Связь социометрии с этикой деловых отношений

Чтобы фирма достаточно стабильно работала, нужно знать этику руководителя, построенную на законе иерархических отношений и соблюдать ее. Важнейшее условие этики - сохранение уважения к статусу, как руководителя, так и подчинённого.

Руководитель должен подбирать персонал, соответствующий деловыми и личностными качествами целям подразделения и способный стать единомышленником. Это процесс трудный, долгий, но необходимый. Ведь без взаимопонимания и доброжелательности друг к другу приходится тратить львиную долю своего времени на улаживание конфликтов. Однако при неумении и нежелании заниматься этим, руководитель, исповедующий авторитарный стиль управления, а точнее - стремление повелевать, стремится избавиться от неугодного ему, а не производству, сотрудника и заменить его тем, который не сопротивляется воле начальства. Он не должен унижать подчинённых, а наоборот, - беречь честь и достоинство каждого из них независимо от статуса. Каждый работник так же следуют этому положению. Создается доброжелательная обстановка, которая в дальнейшем становится основным условием взаимоотношений в организации. Ведь униженный и оскорблённый сотрудник работает гораздо хуже, чем это необходимо и, мало того, у него провоцируется желание отомстить. Руководитель должен заботиться о настроении персонала, здоровье, соблюдении правил взаимодействия, вовремя поощрять и наказывать, помнить полное имя каждого работника фирмы, чтобы при встрече поздороваться и назвать его по имени и отчеству.

Задача руководителя, его обязанность - создавать атмосферу радостного ожидания в коллективе. Эмоциональная привлекательность труда основа жизнеспособности системы. Уважение подчинённых обязательная норма руководителя любого уровня. Это важные обязательные условия сохранения производственной дисциплины.

Задача работников - не доводить противоречия до конфликта. Даже если выиграл в конфликте, то проиграл в глазах коллег. Постоянно конфликтующий работник становится изгоем. Возникший конфликт должен решать непосредственный начальник.

Работники должны помогать друг другу. «Поможешь ты, помогут тебе». Этот принцип является основой взаимодействия, которое является основой жизни вообще.

Соблюдая правила этики, руководитель сможет направить работников на верный путь, создать корпоративный этический кодекс.

Таким образом, залогом успешной работы трудового коллектива служит комфортный микроклимат: в одних условиях группа функционирует оптимально и ее члены получают возможность максимально полно реализовать свой потенциал, в других — люди чувствуют себя некомфортно, стремятся покинуть группу, проводят в ней меньше времени, их личностный рост замедляется.

Глава 2. Практическое использование метода социометрии для изучения отношений в малой группе (на примере студенческих групп)

2.1 МА-111

Социометрия как практический метод социологии и социальной психологии широко используется при изучении отношений в студенческих группах.

Поэтому в качестве демонстрации использования социометрии для изучения отношений в малой группе был выбран пример исследования, проведенного в группах МА-111, СКС -311 и УП- 411.

Социометрия, проведенная в МА-111, выявила, что в исследуемой группе большинство человек имеет более или менее благоприятный статус. На основании произведенного исследования можно сказать о характере отношений, существующих в группе, то есть свидетельствует о разобщенности группы на 2 отдельные группировки. В данной группе положение, как девушек, а в этой группе их всего 2, так и юношей благоприятно в равной степени. Выявлен такой характер связи, как взаимная симпатия. Мотивация выборов в большинстве случаев определяется желанием студентов общаться, иметь общее дело, другие причины выступают как второстепенные. Среди популярных членов группы можно выделить: Красникова Василия, старосту группы, т. е формального и неформального лидера (можно объяснить тем, что сейчас идет ориентировка на формального лидера, старосту, который влияет на социально-психологический климат, взаимоотношения в коллективе). Каждый человек в группе занимает особое положение, статус, то есть место в группе, которое отводят человеку другие члены группы.

1. Красников

2. Зайцев

3.Гвоздев

4.Брума

Нельзя оставлять без внимания непопулярных студентов. В данной группе с большим отрывом таким студентом стал Бер Максим. Следует выявить и развить у них положительные качества, поднять заниженную самооценку, уровень притязаний, чтобы улучшить их положение в системе межличностных отношений.

Подводя итог, видим, что межличностное отношение позитивно складывается, но напомним, что это только первый курс, они подсознательно держатся вместе в новой обстановке. Еще не было организационных проблем, которые позволили бы проявить себя каждому из студентов.

2.2 СКС-311

В группе СКС-311 23 девушки.

В результате проведенного социометрического исследования, проведенного в группе, было выявлено 7 микрогрупп. Можно объяснить тем, что группа находится на третьем курсе и в ней произошло разделение «по интересам»: студенты прошли начальные стадии узнавания, произошла притирка, была возможность проявить себя в конфликтной ситуации, и каждый для себя сам определил, с кем ему удобнее и приятнее общаться. Следующим характерным фактором деления на множество групп является то, что группа состоит из девушек, а девушки, как правило, больше мужчин склонны делиться на микрогруппы. Еще следует отметить, что (как пояснили позже опрошенные студенты) некоторые члены группы намеренно держаться особняком и не идут на контакт с остальной группой. Таким образом, многие студенты называли именно этих людей в вопросах с частичкой «– не», отмечая их как тех, с кем они не хотели бы проводить свободное время.

Делая вывод, отметим, что практически все студенты набрали примерно равное количество голосов за исключением студентки Кашицыной, занявшей первое место, которая стала абсолютным лидером.

Социометрические лидеры группы:

1-Кашицына

2-Василенко

3-Райчу

4-Козлова

Кашицына является неформальным лидером группы, она не занимает пост старосты, поэтому авторитет в группе был заработан исключительно на основе личностных качеств, проявленных в ходе общения внутри группы и становления ее как коллектива.

 

2.3УП-411

В результате социометрического исследования группы УП-411 было выявлено 10 микрогрупп - рекордный результат среди трех опрошенных групп. Причиной большого количества микрогрупп является резкая разрозненность коллектива (студенты общаются по два-три человека), что, в свою очередь, вызвано тем, что, находясь практически на конечном этапе обучения в университете, студенты успели узнать друг друга, а также проявить себя.

На данном этапе каждая микрогруппа характеризуется не просто устойчивой общностью интересов, целей, действий и групповых переживаний, а также и психологическим (включая интеллектуальное, эмоциональное и волевое) единством. Еще одним характерным признаком является то, что подавляющее большинство в группе составляют девушки, которые и создают столь ярко выраженную разрозненность.

Подходя к обозначению лидеров группы, следует отметить, что в данном случае формальный лидер совпал с неформальным. Староста группы, Дудина Юлия, набрала подавляющее большинство положительных «голосов».

Социометрические лидеры группы:

1-Дудина Юлия

2-Максимова Татьяна

3-Кузнецова Мария

4-Антипова Татьяна

Несмотря на то, что Дудина Юлия набрала большее число «голосов», студенты, занявшие второе, третье и четвертое места имеют разницу в один-два балла, что говорит о том, что ситуация возможно может еще поменяться и абсолютным лидером могут стать другие неформальные лидеры.

2.4 Общий вывод по результатам

Результатом социометрического опроса является создание микрогруппы, сформированной на принципах взаимного доверия и взаимоподдержки. По результатам нашего исследования можно сделать следующие выводы. Малая группа является частью непосредственной социальной среды человека.

Социометрия дает приватную информацию о жизни группы, ее глубинных эмоциональных отношениях и процессах. Они могут напрямую не проявляться в деятельности, конкретных поступках и открытых реакциях людей. Однако при этом они во многом определяют состояние членов группы: их самочувствие, творческую активность, удовлетворенность групповым членством, самооценку и уровень личностной тревожности. Большинство из нас интуитивно чувствует отношение к нему в группе: переживает, когда группа недостаточно доброжелательна; раскрывается, наполняется силами в условиях группового поощрения и принятия.

Многие особенности групповой структуры и групповых отношений важны и диагностичны с точки зрения поведения и стиля общения со студентами. Важны, потому что, поняв групповые особенности, можно более мудро строить отношения с ребятами. Диагностичны, потому что многие особенности есть отражение стиля общения и руководства преподавателя.

Глава 3. Рекомендации по сплочение групп

3.1Рекомендации по сплочению группы МА-111

В результате опроса был выявлен один студент с ярко выраженным отдалением от остальных членов группы. Для решения этой ситуации можно применить прием «отсвет от звезды», то есть посоветовать Беру Максиму, набравшему большинство отрицательных голосов, общаться с Красниковым Василием, - лидером группы. После предложения этого приема можно наблюдать, что положение в группе Бера Максима улучшилось, повысился его статус среди одногруппников, так как, общаясь с лидером группы, к которому хорошее отношение, это отношение стало проецироваться и на Максима.

Предлагаем следующие мероприятия по сплочению группы:

1) Выезды на природу.

Хорошо подготовленная и проведённая встреча группы позволяет, во-первых, студентам лучше узнать своих однокурсников, во-вторых, получить максимальную информацию о студентах.

2) Выбор актива группы.

Нельзя допускать, чтобы кандидатуру выбирали против его желания, а также, чтобы студенты равнодушно относились к выбору актива группы.

3) Внутригрупповые мероприятия с группой, между группами и курсами:

посещение театров, выставок, музеев;

спортивные мероприятия (футбол, лыжные прогулки);

поездки в другие города, по историческим местам;

интеллектуальные игры;

Дни именинников;

издание настенной газеты;

мероприятия, посвященные празднованию памятных дат, государственных и профессиональных праздников.

 

3.2 Рекомендации по сплочению группы СКС-311

Одним из направлений эффективного решения проблемы является создание комфортного микроклимата в учебной группе, формирование настроя на общий результат, обретение уверенности. С этой целью необходимо проводить тренинговые занятия, направленные на раскрепощение и командообразование.

Участие в тренинге сплочения развивает у студентов единодушие, единомыслие, стремление к совместной работе, чувство принадлежности к одной команде, ощущение комфортности в группе. Мероприятия, направленные на сплочение, учат прислушиваться к людям, работать сообща, оставаясь доброжелательными. Такие занятия дают возможность проявить активность, инициативу и самостоятельность, что развивает интеллектуально-волевую сферу и способствует освоению специфики ВУЗовского обучения.

3.3 Рекомендации по сплочению коллектива на предприятии

Метод социометрии важен в организации работы на предприятии. Важна психологическая совместимость работников. Под психологической совместимостью понимают способность к совместной деятельности, в основе которой лежит оптимальное сочетание в коллективе личностных качеств участников. Она может быть обусловлена сходством характеристик участников совместной деятельности. Людям, похожим друг на друга легче наладить взаимодействие. Сходство способствует появлению чувства безопасности и уверенности в себе, повышает самооценку. В основе психологической совместимости может лежать и различие характеристик по принципу взаимодополняемости. В таком случае говорят, что люди подходят друг другу «как ключ к замку». Условием и результатом совместимости является межличностная симпатия, привязанность участников взаимодействия друг к другу. Вынужденное общение с неприятным субъектом может стать источником отрицательных эмоций.

Поэтому руководителю и необходимо проводить социометрию межличностных отношений коллектива, чтобы выявить проблемы и предотвратить их.

Заключение

По результатам исследования можно сделать следующие выводы. Малая группа является частью непосредственной социальной среды человека. Обычно она насчитывает от 2 — 3 до 40 человек. Процесс непосредственного социального взаимодействия, происходящий в малой группе и создающий социальную “микросреду” человека, является чрезвычайно сильным фактором формирования и воспитания личности, социально-психологического стимулирования и регулирования ее деятельности. Малая группа — важный элемент социальной системы в целом, она фокусирует в себе те общественные отношения, в которые она вплетена, воплощает их во внутригрупповые отношения.

Одним из наиболее эффективных способов исследования эмоционально-непосредственных отношений внутри малой группы является социометрия - своеобразный способ количественной оценки межличностных отношений в группе.

Социометрический тест предназначен для диагностики эмоциональных связей, т.е. взаимных симпатий и антипатий между членами группы.

Назначение социометрической процедуры может быть трояким: (а) измерение степени сплоченности - разобщенности в группе; (б) выявление "социометрических позиций", т.е. соотносительного авторитета членов группы по признакам симпатии - антипатии, где на крайних полюсах оказывается "лидер" группы и "отвергнутый"; (в) обнаружение внутригрупповых подсистем — сплоченных образований, во главе которых могут быть свои неформальные лидеры.

С помощью этого способа можно установить популярность — непопулярность отдельных членов группы, изучить типологию социального поведения людей в условиях коллективной деятельности, вскрыть неформальную структуру группы, выявить степень социально-психологической совместимости ее членов и т.п.

Социометрия, как и другие методы социологии постоянно развиваются и совершенствуются. Перспективы дальнейшего их развития, прежде всего, связаны с совершенствованием процедуры сбора информации и ее анализа, использования языка теории графов и современной вычислительной техники, сочетания социометрических и других методов изучения малых групп.

В ходе работы были рассмотрены виды социометрического исследования и экспериментальная демонстрация социометрии как метода изучения отношений в малых группах.

Список используемой литературы

2.   Жариков Е.С., Золотов А.Б. Как приблизить час открытий. — Кишинев, 1990.

3.   Ломов Б.Ф. Методологические и теоретические проблемы психологии. — М., Наука, 1984.

4.   Методы сбора информации в социологических исследованиях. Кн. 1 / Отв. ред. В. Г. Андреенков, О. М. Маслова. — М.: Наука, 1990. — 232 с.

5.   Немов Р.С. Психология: Учеб. пособие для учащихся пед. уч-щ, студентов пед. ин-тов и работников системы подготовки, повышения квалификации и переподготовки пед. кадров. — М.:Просвещение, 1990. — 301 с.

6.   Психология. Словарь / Под общ. ред. А.В.Петровского, М.Г.Ярошевского. — 2-е изд., испр. и доп. — М.: Политиздат, 1990. — 494 с.

7.   Робер М. - А., Тильман Ф. Психология индивида и группы: Пер. с фр./ Предисл. А.В. Толстых. — М.: Прогресс, 1988. — 256 с.

8.   Смелзер Н. Социология, — М., 1994.

9.   Социальная психология: Учеб. пособие для студентов пед. ин-тов/ А.В.Петровский, В.В.Абраменкова, М.Е.Зеленова и др.; Под ред. А.В.Петровского. — М.: Просвещение, 1987.

10. Социология., Учебное пособие / А.Н.Елсуков, Е.М.Бабосов, А.Н.Данилов и др. Под ред. А.Н.Елсукова — Мн.: НТООО “ТетраСистемс”, 1998. — 560 с.

11. Фридман Л.М. и др. Изучение личности учащегося и ученических коллективов: Кн. для учителя. — М.: Просвещение, 1988.

12. Фридман Л.М., Кулагина И.Ю. Психологический справочник учителя. — М.: Просвещение, 1991. — 288 с.

13. Ядов В.А. Социологическое исследование: методология, программа, методы. — М.: Изд-во Наука, 1972.

Приложение

Тест (называть по 3 фамилии)

1. а) кого из своих товарищей из группы Вы попросили бы в случае необходимости предоставить помощь в подготовке к занятиям (в первую, вторую, третью очередь)?

б) кого из своих товарищей из группы Вы не хотели бы просить в случае необходимости предоставлять Вам помощь в подготовке к занятиям?

2. а) с кем Вы поехали бы на отдых?

б) Кого из членов своей группы Вы не взяли бы на отдых?

3. а) кто из членов группы лучше исполнит функции лидера (старосты, профорга и т.д.)?

б) кому из членов группы тяжело будет исполнять обязанности лидера?

Примеры вопросов для изученным личных отношений

1. а) К кому в своей группе Вы обратились бы за советом в трудной жизненной ситуации?

б) с кем из группы Вам не хотелось бы ни о чем советоваться?

2. а) если бы все члены Вашей группы жили в общежитии, с кем из них Вам хотелось бы поселиться в одной комнате?

б) если бы всю Вашу группу переформировали, кого из ее членов Вы не хотели бы оставить в своей группе?

3. а) кого из группы Вы пригласили бы на день рождения?

б) кого из группы Вы не хотели бы видеть на своем дне рождения?

4. а)С кем из одногруппников я предпочитаю сидеть за одной партой?

Б)С кем из одногруппников я не хотел бы сидеть за одной партой?

5. а)С кем из одногруппников я предпочитаю учиться вместе?

Б)С кем из одногруппников я не хотел бы учиться вместе?

6. а)С кем из одногруппников я предпочитаю работать вместе?

Б)С кем из одногруппников я не хотел бы работать вместе?

7. а)С кем из одногруппников я хотел бы проводить свободное время?

Б)С кем из одногруппников я не хотел бы проводить свободное время?

8. а)Если бы тебе пришлось перейти учиться в другой университет, кого из нынешних одногруппников ты бы взял в новую группу?

Б) А кого из нынешних одногруппников ты бы не взял в свою новую группу?

9. а) Как ты думаешь, кто из одногруппников взял бы тебя в свою новую группу, если бы перешел в другой университет?.

Б) Укажи, пожалуйста, фамилии тех одногруппников, которые не захотят, по твоему мнению, взять тебя в свою новую группу.

10. Если бы тебе предложили посмотреть ответы на эти вопросы трех твоих одногруппников, то чьи ответы ты хотел бы увидеть? Напиши их фамилии в порядке значимости для тебя. Под первым номером — фамилию того, чьи ответы хочется знать больше всего, и так далее.

Похожие работы на - Социометрическая структура группы

 

Не нашли материал для своей работы?
Поможем написать уникальную работу
Без плагиата!
Без нейросетей!