Прогнозування зміни економічних показників у часі ВАТ "Вагоно-ремонтний завод"
«Прогнозування
зміни економічних показників у часі відкритого акціонерного товариства «Вагоноремонтний
завод»»
РЕФЕРАТ
Пояснювальна
записка: 101 с., 35 рисунків, 20 таблиць, 3 додатки і 17 найменувань
літератури.
Об’єкт
дослідження: відкрите акціонерне товариство «ВРЗ».
Ціль дипломної роботи: підвищення ефективності
керування підприємством.
У
вступі йдеться про становище та проблему підприємства, але є більш
конкретизовано під дипломну роботу.
У розділі 1 подано структурну схему
ВАТ “ВРЗ”, наведено баланси ВАТ „ВРЗ”, показано економічний стан за період з
01.01.2004р. по 31.12.2007р.
В фінансових розділах мова йде про
фінансові коефіцієнти, на підставі яких зроблено аналіз фінансового стану
підприємства в динаміці на дослідний період.
В теоретичному розділі наведені
методики побудови апроксимаційних нелінійних залежностей за допомогою методу
Ньютона нелінійного оптимального пошуку. Проведено розрахунок прогнозних
якостей отриманих залежностей для великої групи коефіцієнтів.
В інформаційному розділі була
розроблена автоматизована інформаційна система.
А от в охороні праці виявлені та
систематизовані небезпечні та шкідливі фактори, які можуть зашкодити здоров’ю.
Розроблена методика прогнозування
була використана у ВАТ “ВРЗ” при плануванні діяльності підприємства на 1-й
квартал 2008 року.
ЗМІСТ
Вступ
1 Характеристика підприємства
1.1 Історія підприємства
1.2 Структура управління
1.3 Баланси ВАТ "ВРЗ"
1.4 Опис фінансових коефіцієнтів
1.5
Аналіз фінансового стану підприємства
1.6
Постановка задачі
2 Теоретична частина
2.1 Опис методики отримання формул
апроксимації довільного вигляду
2.2 Опис методики отримання числових коефф. за
допомогою метода Ньютона
2.3 Результати отримання числових значень
коефіцієнтів у формулах
2.4 Ефективність отриманих результатів
2.5 Новий баланс після запровадження методики
прогнозування фінансових коефіцієнтів
3 Інформаційна система
4
Техніка безпеки
Висновки
Література
ВСТУП
В
період завершення приватизаційних процесів в українській економіці помітним стало
явище різкої зміни фінансових показників після приватизації державних
підприємств. В цих умовах новим власникам потрібен прогноз діяльності
приватизованого підприємства для покращання методів управління цим
підприємством.
ВАТ
«ВРЗ» було приватизовано у 2002 році. В його фінансових показниках були помітні
різкі коливання, викликані ще й станом економіки України в цілому. Тому виникла
потреба у визначенні найбільш ефективних фінансових показниках, які найбільш
точно характеризують стан підприємства та в прогнозуванні можливих змін цих
показників у часі.
Вирішенню
цих проблем і присвячена дана дипломна робота. Остання, зніміть проблему
різкого коливання фінансових показників та цим самим покаже українському і
європейському ринку спочатку стабільність, а потім підвищення і зростання
окремих показників угору. Завдяки цього підприємство заслуговуватиме до себе
пошану й довіру. Тим самим забезпечить постійні замовлення, що приведе к
збільшенню обсягу роботи, а це приведе к збільшенню робочих місць, чим допоможе
частково вирішити проблему в регіоні з працевлаштуванням. А збільшення обсягу
ще й збільшить прибуток підприємству, а це в свою чергу підніме ціну на акції
(завдяки чого акціонери зможуть отримувати більші дивіденди), та підніметься
рівень заробітної плати (що неодмінно має сказатися на підвищенні якості
продукту. Чим знову ж таки буде підвищувати свій рейтинг у Європі.
1. ХАРАКТЕРИСТИКА ПІДПРИЄМСТВА ВАТ “ВРЗ”
1.1
Історія
ВАТ
"ВРЗ" є одним з найстарших підприємств вагоноремонтної та
вагонобудівної галузі України. У 1898 році на лівому березі Дніпра були
побудовані головні вагонні майстерні Єкатерининської (нині Придніпровської)
залізниці, що складалися з чотирьох цехів. У 1926 році майстерні були
перетворені в Нижньодніпровський вагоноремонтний завод, що спеціалізувався на
ремонті пасажирських та вантажних вагонів.
З
початком війни 1941 року, завод був евакуйований у Барнаул. У 1943 році, після
звільнення Дніпропетровська, почалося відновлення підприємства, що
продовжувалося 10 років. Першу продукцію завод почав випускати вже в 1943 році,
вантажні вагони - у 1944 році, пасажирські - 1945 року .
Одночасно
з відновленням заводу проводилася та його реконструкція. У 1948 році він цілком
переорієнтувався на ремонт пасажирських вагонів. У 1952 році був освоєний
ремонт суцільнометалевих пасажирських вагонів, що вимагало значної зміни
технології та організації виробництва. Завод успішно справився з цими задачами,
постійно робив існуючі та впроваджував нові технології, збільшував обсяги
виробництва. Нижньодніпровський (з 1966 року - Дніпропетровський ) ВРЗ упевнено
займав ведучі позиції в галузі, виконуючи ремонт рухливого складу для залізниць
Радянського Союзу.
Однак
у 90-і роки, з розпадом СРСР, ситуація значно ускладнилася. Важке положення
залізниць негативно відбилося на стані самого підприємства: упали обсяги
виробництва , катастрофічно виросла заборгованість перед постачальниками,
бюджетом, працівниками. У цей же час завод налагоджував співробітництво з
ведучими іноземними виробниками, освоював нові види ремонту, однак недостатнє
фінансування не дозволяло повною мірою реалізувати задумане .
Наприкінці
2002 року Дніпропетровський ВРЗ був реорганізований у відкрите акціонерне
товариство "Дніпропетровський по ремонті та будівництву пасажирських
вагонів" (ВАТ ВРЗ), у 2003 році була почата його приватизація, що
завершилася у 2004 році. Завдяки інвесторам в особі великих акціонерів,
зацікавлених у розвитку виробництва, що переживає зараз нове народження,
грамотному керівництву та забезпеченню необхідного фінансування було налагоджене
постачання матеріалами, що комплектують, енергоносіями, цілком стабілізована
економічна ситуація та, як наслідок, досягнуть значний ріст обсягів виробництва
. Обсяг виробництва в 2006 році в порівнянні з 2002 р. зріс на 220,5%.
Продукція заводу користується попитом не тільки в Україні, але й у Росії,
Бєларусі, інших країнах СНД.
В
даний час ВАТ "ВРЗ" знову впевнено займає ведучі позиції в галузі,
виконує усі види ремонту пасажирського рухливого складу, освоює нові
технології. У серпні 2005 року був випущений перший в Україні новий
пасажирський вагон. Головна задача найближчого часу - розгортання потужностей
для будівництва нових вагонів європейського класу.
Зберігши
більш ніж 100-літній досвід та традиції, доповнивши їхніми сучасними
технологіями, завод упевнено дивиться в майбутнє.
Перетворення
державного підприємства на відкрите акціонерне товариство здійснювалось у 2002-2003
рр. на підставі наказу Фонду Держмайна України шляхом емісії звичайних акцій на
суму 100% статутного фонду підприємства. З загальної кількості акцій біля 5%
було продано робітникам підприємства за іменні приватизаційні сертифікати та
компенсаційні сертифікати в обсягах, передбачених чинним законодавством
України. Решта акцій була виставлена на аукціон та продана у власність юридичним
особам які виконали тендерні умови та зобов’язання.
1.2
Структурна схема

Рис.
1.2.1. Структурна схема ВАТ “ВРЗ”
Загальні збори акціонерів ВАТ “ВРЗ” – приділяє основні
направлення діяльності ВАТ. Назначають керівні органи ВАТ: спостережна спілка,
правління, ревізійну комісію. Приділяє порядок та розмір виплати дивідендів,
затверджує звіти діяльності ВАТ.
Спостережна рада – виповнює функції з керування
основними стратегічними процесами ВАТ.
Ревізійна комісія – виповнює контроль
фінансово-економічної діяльності ВАТ.
Голова правління – керує діяльністю правління
підприємства, відповідає перед загальним сбіром акціонерів, спостережною
спілкою, ревізійній комісії за результати діяльності ВАТ по всім направлінням.
Голова із
зв’язку з державними структурами та громадянської організації – відповідає на
питання взаємодій з місцевими органами правління, зв’язку з спільними
організаціями.
Головний
бухгалтер – член правління – завідує бухгалтерією, відповідає за стан обліку та
звітності, виконання податкового законодавства, фінансових взаємодій.
Фінансове
бюро – виповнює функції по платежам підприємства та взаємодій з банківською
діяльністю.
Заступник
головного бухгалтера – відповідає за п виробничий облік.
Головна
бухгалтерія – виповнює функції по п виробничому обліку.
Розрахункова
бухгалтерія – виповнює функції з начисленню заробітної плати.
Матеріальна
бухгалтерія – виповнює функції з обліку матеріальних ресурсів на підприємстві.
1-й
відділ – виповнює супровід режимних питань.
Заступник
голови правління – головний інженер – Відповідає за всі питання технічної
політики підприємства, технологічну підготовку виробництва, роботу обладнання.
Управління
з координації перспективного розвитку – відповідає за технічну та технологічну
розробку перспективних напрямків діяльності підприємства.
Заступник
головного інженера – відповідає за стан та працездатність обладнання.
Відділ
головного механіка – відповідає за роботу технологічного та
підйомно-транспотного обладнання.
Ремонтно-механічний
цех – виконує ремонт технологічного обладнання.
Відділ
головного енергетика – відповідає за роботу енергетичного обладнання.
Енерго-силовий
цех – відповідає за функціонування всіх енергосистем підприємства, ремонт
експлуатацію енергетичного обладнання.
Бюро
нестандартного обладнання – виконує розробку коштів малої механізації,
технологічного забезпечення та нестандартного обладнання.
Служба
пожежної охорони – відповідає за пожежну безпеку.
Відділ
головного конструктора виконує розробку конструкторсько-технологічної
документації.
Відділ
головного технолога – розробка технологічних процесів.
Інструментальний
цех – виготовлення не стандартного інструменту та об орудування.
Відділ
технічного контролю – виконує технічний контроль, дотримання технології та
якості продукції.
Центральна
заводська лабораторія – обслуговування мірних та контрольних приладів та
обладнання. Хімічний аналіз сировини та матеріалів.
Відділ
капітального будівництва – відповідає за ремонт та додержання зданій, розробка
документації з капітального будівництву.
Ремонто-будівна
дільниця – виконує ремонт обслуговування зданій.
Відділ
охорони праці – виконує організацію охорони праці та техніки безпеки.
Відділ
електрозв’язку – відповідає за держання електросіті.
Бюро
управління системою якості – відповідає за супровід заводської системи
управління якості та проведення аудитів в рамках системи ISO.
Перший
заступник голови правління – директор з виробництва – відповідає за питання
організації виробництва і управління технологічними процесами.
Заступник
директора з виробництва – виконує функції управління технологічними процесами.
Виробничо-діспетчерський
відділ – відповідає за оперативне управління виробництва.
Бюро
підготовки виробництва – виконує підготовку та видачу документів.
Візкові-колісний
цех – виконує ремонт теліжок, колісних пар, автосцепного, ударно-тягового та
гальмового обладнання пасажирських вагонів.
Розбиральний
цех – виконує роботу пасажирських вагонів для ремонту.
Ковальско-механічний
цех – виконує заготовку металевих деталей та напівфабрикатів.
Вагонозбиральний
цех №1 – виконує ремонт кузова та системи опалення та водопостачання
пасажирських вагонів.
Механічна
дільниця №2 – виготовлення оконих блоків пасажирських вагонів.
Вагонозбиральний
цех №2 – виконує сбір пасажирських вагонів.
Ливарно-механічний
цех – виготовлення та механічна обробка деталей та вузлів вагону.
Ливарна
дільниця – виконує заливку деталей вагонів з чорних та кольорових металів.
Цех
капітально-відновлювального ремонту – виконує ремонт кузова, виготовлення
конструкцій та деталей інтер’єру і зборку вагона котрі проходять
капітально-відновлювальний ремонт.
Електроремонтний
цех – виконує ремонт електрообладнання пасажирських вагонів.
Ремонто-комплектувальний
цех – виготовлення вузлів та деталей пасажирських вагонів.
Деревообробний
цех – виконує ремонт та заготовку дерев’яних вузлів та деталей пасажирських
вагонів.
Канцелярія
– реєстрація та супроводження вхідної та вихідної кореспонденції.
Заступник
голови правління з комерційних питань – матеріально-технічне забезпечення,
збут, транспортне забезпечення, утилізація відходів виробництва.
Відділ
матеріально-технічного постачання - матеріально-технічне забезпечення сировиною
та матеріалами.
Матеріально-господарський
відділ – складське зберігання матеріальних ресурсів.
Відділ
зовнішньої кооперації - матеріально-технічне забезпечення комплектацією.
Транспортний
цех – транспортне забезпечення виробництва, в тому числі маневрова робота з
переміщення об’єктів ремонту.
Автогараж –
забезпечення виробництва безрейковим транспортом.
Філія торгівлі
та громадського харчування – забезпечення роботи заводських їдалень та мережі
продовольчої торгівлі.
Відділ збуту –
організація збуту продукції підприємства, включаючи митне оформлення.
Заступник
голови правління з питань економіки, маркетингу та фінансів – координація
роботи економічних служб підприємства, бюджетування, регулювання фінансових
витрат підприємства.
Відділ
економіки та маркетингу – дослідження ринку, укладання договорів,
ціноутворення, економічний аналіз.
Відділ
організації праці та заробітної плати – нормування праці, організація систем
стимулювання та оплати праці.
Відділ
автоматизованих систем управління підприємством – організація програмного та
інформаційного забезпечення управління виробництвом.
Відділ
інтелектуальної власності та юридичного супроводження – організація патентної
роботи і з питань авторських прав та інтелектуальної власності, юридичне
супроводження діяльності підприємства.
Бюро
економічного аналізу – займається економічним аналізом.
Заступник
голови правління з загальних питань – координація роботи підприємства з
господарчих, кадрових та загальних питань.
Відділ кадрів –
організація підбору та забезпечення кадрів, навчання та підвищення
кваліфікації.
Служба безпеки
– організація економічної безпеки підприємства.
Охорона заводу
– забезпечення охорони підприємства та правопорядку.
Адміністративно-господарчий
відділ – забезпечення чистоти території, збір та вивезення сміття, забезпечення
карантинних та проти стихійних заходів.
Інші підрозділи
що забезпечують життєдіяльність трудового колективу підприємства (здравпункт,
спорткомплекс, дитячій табір, база відпочинку, клуб, гуртожиток, теплиця,
дошкільні заклади, редакція заводської газети, народний музей).
1.3
Баланси ВАТ „ВРЗ” за
період з 01.01.2004р. по 31.12.2007р.
Баланси
представлені за період 2004 – 2007рр. і оскільки вони досить громіздкі, то їх
було розбито на декілька таблиць та розміщено в таблицях 1.3.1, 1.3.2, 1.3.3,
1.3.4.
Таблиця
1.3.1.
|
2004 (1)
|
2004 (2)
|
2004 (3)
|
2004 (4)
|
|
АКТИВИ
|
тис. грн.
|
тис. грн.
|
тис. грн.
|
тис. грн.
|
|
ПОТОЧНІ АКТИВИ
|
|
Кошти
|
23,40
|
1 030,00
|
136,70
|
135,30
|
|
Високоліквідні цінні
папери
|
4 244,50
|
|
|
|
|
Короткострокові
фінансові вкладення
|
842,60
|
|
|
|
|
Дебіторська
заборгованість
|
29 348,20
|
47 723,40
|
62 393,50
|
47 199,20
|
|
Товарні запаси
|
2 821,80
|
2 169,60
|
22,00
|
|
|
Виробничі запаси
|
16 482,90
|
13 983,40
|
20 025,20
|
24 259,40
|
|
Авансовані витрати
|
|
|
|
|
|
Інші поточні активи
|
9,90
|
|
|
|
|
Усього поточні активи
|
53 773,30
|
64 906,40
|
82 577,40
|
71 593,90
|
|
ПОЗАОБОРОТНІ АКТИВИ
|
|
Основні засоби,
первинна вартість
|
94 272,20
|
94 857,00
|
96 036,50
|
69 490,70
|
|
Знос
|
38 481,30
|
39 398,00
|
40 544,70
|
32 885,10
|
|
Основні засоби -
залишкова вартість
|
55 790,90
|
55 459,00
|
55 491,80
|
36 605,60
|
|
Незавершені
капітальні вкладення
|
327,00
|
454,60
|
1 071,50
|
690,60
|
|
Нематеріальні активи,
залишкова вартість
|
|
Інші позаоборотні
активи
|
|
|
|
125,5
|
|
Усього позаоборотні
активи
|
56 117,90
|
55 913,60
|
56 563,30
|
37 421,70
|
|
РАЗОМ АКТИВ (TOTAL
ASSETS)
|
109 891,20
|
120 820,00
|
139 140,70
|
109 015,60
|
|
ПОЗИКОВІ ЗАСОБИ І
ВЛАСНИЙ (АКЦІОНЕРНИЙ) КАПІТАЛ
|
|
ПОТОЧНІ ЗОБОВ'ЯЗАННЯ
|
|
|
|
|
|
Кредиторська
заборгованість
|
21 302,30
|
17 075,40
|
41 904,50
|
45 826,20
|
|
Векселя до оплати
|
4 386,50
|
7 835,70
|
5 779,60
|
4 207,00
|
|
Короткострокові
кредити банків
|
500,00
|
500,00
|
500,00
|
490,00
|
|
Заборгованість по
оплаті праці
|
3 377,40
|
3 210,50
|
3 157,80
|
2 171,20
|
|
Заборгованість по
виплаті податків
|
13 414,00
|
13 878,10
|
13 209,30
|
13 467,30
|
|
Заборгованість по
страхуванню
|
4 698,90
|
3 126,20
|
3 119,70
|
2 651,20
|
|
Інші заборгованості
|
|
|
|
|
|
Інші короткострокові
пасиви
|
8 802,30
|
15 495,80
|
8 003,90
|
6 868,60
|
|
Усього поточні
зобов'язання
|
56 481,40
|
61 121,70
|
75 674,80
|
75 681,50
|
|
Інші довгострокові
позикові засоби
|
741,80
|
717,90
|
1 619,00
|
1 105,30
|
|
Усього позикові
засоби
|
57 223,20
|
61 839,60
|
77 293,80
|
76 786,80
|
|
Звичайні акції,
номінал
|
16 575,00
|
16 575,00
|
16 575,00
|
16 575,00
|
|
Додатковий оплачений
капітал
|
48 353,70
|
48 254,60
|
42 998,30
|
24 297,30
|
|
Нерозподілений
прибуток
|
-12 260,70
|
-5 849,20
|
2 273,60
|
-8 643,50
|
|
Усього власний
(акціонерний) капітал
|
52 668,00
|
58 980,40
|
61 846,90
|
32 228,80
|
|
УСЬОГО ПОЗИКОВІ
ЗАСОБИ І ВЛАСНИЙ (АКЦІОНЕРНИЙ) КАПІТАЛ
|
109 891,20
|
120 820,00
|
139 140,70
|
109 015,60
|
|
|
|
|
|
|
|
|
|
|
|
ЗВІТ ПРО ПРИБУТОК
|
|
|
|
|
|
Виторг від реалізації
|
28 598,40
|
44 101,20
|
44 248,70
|
68 488,30
|
|
Матеріали
|
28 532,30
|
27 703,30
|
29 451,80
|
42 461,50
|
|
Запаси
|
17 099,80
|
23 020,70
|
29 296,10
|
58 681,30
|
|
Витрати по оплаті
праці
|
3 212,10
|
3 419,50
|
4 018,70
|
4 369,40
|
|
Витрати на соціальні
заходи
|
1 226,50
|
1 306,90
|
1 460,50
|
1 638,50
|
|
Амортизація
|
498,60
|
818,60
|
57,10
|
2 575,80
|
|
Інші витрати
|
|
188,60
|
53,40
|
9 799,00
|
|
Разом собівартість
реалізованої продукції
|
50 569
|
56 458
|
64 338
|
119 526
|
|
Валовий прибуток
|
-21 971
|
-12 356
|
-20 089
|
-51 037
|
|
2004 (1)
|
2004 (2)
|
2004 (3)
|
2004 (4)
|
|
Операційні витрати
|
2 002,60
|
5 042,40
|
1 252,60
|
2 246,80
|
|
Збутові витрати
|
2,50
|
2,50
|
3,40
|
13 414,30
|
|
Адміністративні
витрати
|
75,20
|
4 752,90
|
4 722,70
|
2 075,00
|
|
Разом операційні
витрати
|
2 080
|
9 798
|
5 979
|
17 736
|
|
Прибуток до виплати
відсотків і податків
|
-24 051
|
-22 154
|
-26 068
|
-68 773
|
|
Прибуток до сплати
податків
|
-24 051
|
-22 154
|
-26 068
|
-68 773
|
|
Прибуток після
виплати податків
|
-24 051
|
-22 154
|
-26 068
|
|
Прибуток для
розподілу власникам звичайних акцій (Чистий прибуток)
|
252,00
|
- 22 154,20
|
- 26 067,60
|
- 68 773,30
|
|
ЗВІТ ПРО
РОЗПОДІЛ ПРИБУТКУ
|
|
2004 (1)
|
2004 (2)
|
2004 (3)
|
2004 (4)
|
|
Нерозподілений
прибуток, баланс на 1 січня
|
0
|
0
|
0
|
-8643,5
|
|
Нерозподілений
прибуток, баланс на 31 грудня
|
-
|
-
|
-
|
- 8 643,50
|
|
|
|
|
|
|
|
|
|
Таблиця 1.3.2.
|
2005 (1)
|
2005 (2)
|
2005 (3)
|
2005 (4)
|
|
АКТИВИ
|
тис. грн.
|
тис. грн.
|
тис. грн.
|
тис. грн.
|
|
ПОТОЧНІ АКТИВИ
|
|
|
|
|
|
Кошти
|
57,20
|
65,70
|
371,40
|
380,30
|
|
Високоліквідні цінні
папери
|
|
|
|
|
|
Короткострокові
фінансові вкладення
|
|
Дебіторська
заборгованість
|
38 123,50
|
45 551,60
|
41 334,70
|
22 744,80
|
|
Товарні запаси
|
1,60
|
3 706,70
|
268,60
|
26,80
|
|
Виробничі запаси
|
29 906,70
|
32 497,30
|
56 710,80
|
69 909,30
|
|
Авансовані витрати
|
|
|
|
|
|
Інші поточні активи
|
|
|
9 769,60
|
5 809,00
|
|
Усього поточні активи
|
68 089,00
|
81 821,30
|
108 455,10
|
98 870,20
|
|
ПОЗАОБОРОТНІ АКТИВИ
|
|
|
|
|
|
Основні засоби,
первинна вартість
|
68 457,70
|
69 237,90
|
70 024,50
|
70 427,60
|
|
Знос
|
32 455,20
|
33 353,70
|
34 080,10
|
34 627,90
|
|
Основні засоби -
залишкова вартість
|
36 002,50
|
35 884,20
|
35 944,40
|
35 799,70
|
|
Незавершені
капітальні вкладення
|
585,20
|
371,40
|
705,40
|
790,00
|
|
Нематеріальні активи,
залишкова вартість
|
|
12,20
|
10,30
|
45,00
|
|
Інші позаоборотні
активи
|
116,3
|
124,6
|
|
|
|
Усього позаоборотні
активи
|
36 704,00
|
36 392,40
|
36 660,10
|
36 634,70
|
|
РАЗОМ АКТИВ (TOTAL
ASSETS)
|
104 793,00
|
118 213,70
|
145 115,20
|
135 504,90
|
|
ПОЗИКОВІ ЗАСОБИ І
ВЛАСНИЙ (АКЦІОНЕРНИЙ) КАПІТАЛ
|
|
ПОТОЧНІ ЗОБОВ'ЯЗАННЯ
|
|
|
|
|
|
Кредиторська
заборгованість
|
44 769,70
|
57 443,60
|
98 342,30
|
45 253,50
|
|
Векселя до оплати
|
4 191,90
|
2 497,30
|
1 737,20
|
22 515,00
|
|
Короткострокові
кредити банків
|
490,00
|
0,00
|
0,00
|
0,00
|
|
Заборгованість по
оплаті праці
|
2 262,00
|
2 299,00
|
3 083,60
|
3 271,90
|
|
Заборгованість по
виплаті податків
|
13 331,90
|
2 015,90
|
2 442,90
|
2 223,60
|
|
Заборгованість по
страхуванню
|
2 624,20
|
1 093,00
|
1 627,40
|
1 464,60
|
|
Інші заборгованості
|
|
|
|
|
|
Інші короткострокові
пасиви
|
6 340,30
|
6 313,00
|
5 459,30
|
27 951,80
|
|
Усього поточні
зобов'язання
|
74 010,00
|
71 661,80
|
112 692,70
|
102 680,40
|
|
Інші довгострокові
позикові засоби
|
1 073,30
|
419,10
|
1 105,30
|
|
|
Усього позикові
засоби
|
75 083,30
|
72 080,90
|
113 798,00
|
102 680,40
|
|
Звичайні акції,
номінал
|
16 575,00
|
16 575,00
|
16 575,00
|
16 575,00
|
|
Додатковий оплачений
капітал
|
24 284,80
|
24 311,90
|
24 710,40
|
24 651,00
|
|
Нерозподілений
прибуток
|
-11 150,10
|
5 245,90
|
-8 862,90
|
-8 474,00
|
|
Усього власний
(акціонерний) капітал
|
29 709,70
|
46 132,80
|
32 422,50
|
32 752,00
|
|
УСЬОГО ПОЗИКОВІ
ЗАСОБИ І ВЛАСНИЙ (АКЦІОНЕРНИЙ) КАПІТАЛ
|
104 793,00
|
118 213,70
|
146 220,50
|
135 432,40
|
|
|
|
|
|
|
|
|
|
|
|
ЗВІТ ПРО ПРИБУТОК
|
|
|
|
|
|
Виторг від реалізації
|
28 598,40
|
72 699,60
|
116 948,30
|
159 693,50
|
|
Матеріали
|
28 532,30
|
56 235,60
|
85 687,40
|
128 148,90
|
|
Запаси
|
17 099,80
|
40 120,50
|
69 416,60
|
128 097,90
|
|
Витрати по оплаті
праці
|
3 212,10
|
6 631,60
|
10 650,30
|
15 019,70
|
|
Витрати на соціальні
заходи
|
1 226,50
|
2 533,40
|
3 993,90
|
5 632,40
|
|
Амортизація
|
498,60
|
1 374,30
|
1 317,20
|
3 950,10
|
|
Інші витрати
|
|
188,60
|
242,00
|
10 041,00
|
|
Разом собівартість
реалізованої продукції
|
50 569
|
107 084
|
171 307
|
290 890
|
|
Валовий прибуток
|
-21 971
|
-34 384
|
-54 359
|
-131 197
|
|
2005 (1)
|
2005 (2)
|
2005 (3)
|
2005 (4)
|
|
Операційні витрати
|
2 002,60
|
7 045,00
|
8 297,60
|
10 544,40
|
|
Збутові витрати
|
2,50
|
5,00
|
8,40
|
13 422,70
|
|
Адміністративні
витрати
|
75,20
|
4 828,10
|
11 625,80
|
9 550,80
|
|
Разом операційні
витрати
|
2 080,30
|
11 878,10
|
19 932
|
33 518
|
|
Прибуток до виплати
відсотків і податків
|
-24 051
|
-46 263
|
-74 291
|
-164 714
|
|
Прибуток до сплати
податків
|
-24 051
|
-46 263
|
-74 291
|
-164 714
|
|
Прибуток після
виплати податків
|
-24 051
|
-46 263
|
-74 291
|
-164 714
|
|
Прибуток для
розподілу власникам звичайних акцій (Чистий прибуток)
|
- 24 051,20
|
- 46 262,50
|
- 74 290,90
|
- 4 714,40
|
|
ЗВІТ ПРО
РОЗПОДІЛ ПРИБУТКУ
|
|
2005 (1)
|
2005 (2)
|
2005 (3)
|
2005 (4)
|
|
Нерозподілений
прибуток, баланс на 1 січня
|
0
|
0
|
0
|
-11150,1
|
|
Нерозподілений
прибуток, баланс на 31 грудня
|
-
|
-
|
-
|
- 11 150,10
|
|
|
|
|
|
|
Таблиця 1.3.3.
|
2006 (1)
|
2006 (2)
|
2006 (3)
|
2006 (4)
|
|
АКТИВИ
|
тис. грн.
|
тис. грн.
|
тис. грн.
|
тис. грн.
|
|
ПОТОЧНІ АКТИВИ
|
|
|
|
|
|
Кошти
|
28,90
|
849,00
|
55,60
|
4 846,70
|
|
Високоліквідні цінні
папери
|
|
|
|
|
|
Короткострокові
фінансові вкладення
|
|
1 059,90
|
1 059,90
|
1 059,80
|
|
Дебіторська
заборгованість
|
41 969,70
|
38 769,60
|
64 687,80
|
73 379,20
|
|
Товарні запаси
|
13,90
|
17,60
|
27,60
|
26,20
|
|
Виробничі запаси
|
63 389,00
|
50 011,90
|
28 389,50
|
23 609,50
|
|
Авансовані витрати
|
|
|
|
|
|
Інші поточні активи
|
5 615,70
|
4 222,10
|
3 574,30
|
2 208,00
|
|
Усього поточні активи
|
111 017,20
|
94 930,10
|
97 794,70
|
105 129,40
|
|
ПОЗАОБОРОТНІ АКТИВИ
|
|
|
|
|
|
Основні засоби,
первинна вартість
|
71 249,20
|
71 667,30
|
72 396,80
|
74 088,50
|
|
Знос
|
35 451,10
|
36 266,90
|
37 090,50
|
37 719,20
|
|
Основні засоби -
залишкова вартість
|
35 798,10
|
35 400,40
|
35 306,30
|
36 369,30
|
|
Незавершені
капітальні вкладення
|
694,60
|
744,20
|
665,40
|
1 172,60
|
|
Нематеріальні активи,
залишкова вартість
|
31,90
|
25,30
|
18,80
|
|
Інші позаоборотні
активи
|
|
|
|
|
|
Усього позаоборотні
активи
|
36 531,10
|
36 176,50
|
35 997,00
|
37 560,70
|
|
РАЗОМ АКТИВ (TOTAL
ASSETS)
|
147 548,30
|
131 106,60
|
133 791,70
|
142 690,10
|
|
ПОЗИКОВІ ЗАСОБИ І
ВЛАСНИЙ (АКЦІОНЕРНИЙ) КАПІТАЛ
|
|
Кредиторська
заборгованість
|
65 027,40
|
59 081,70
|
68 578,10
|
59 876,00
|
|
Векселя до оплати
|
20 155,00
|
19 440,40
|
19 079,30
|
19 001,20
|
|
Короткострокові
кредити банків
|
5 324,80
|
738,40
|
2 993,40
|
18 092,90
|
|
Заборгованість по
оплаті праці
|
3 735,90
|
3 212,90
|
3 515,50
|
2 009,50
|
|
Заборгованість по
виплаті податків
|
2 433,40
|
2 337,70
|
2 500,80
|
2 228,20
|
|
Заборгованість по
страхуванню
|
1 527,70
|
1 402,90
|
1 474,70
|
815,80
|
|
Інші заборгованості
|
|
|
|
|
|
Інші короткострокові
пасиви
|
16 292,20
|
3 819,00
|
3 215,70
|
4 618,50
|
|
Усього поточні
зобов'язання
|
114 496,40
|
90 033,00
|
101 357,50
|
106 642,10
|
|
Інші довгострокові
позикові засоби
|
|
Усього позикові
засоби
|
114 496,40
|
90 033,00
|
101 357,50
|
106 642,10
|
|
Звичайні акції,
номінал
|
16 575,00
|
16 575,00
|
16 575,00
|
16 575,00
|
|
Додатковий оплачений
капітал
|
24 626,50
|
24 531,60
|
17 766,70
|
17 800,40
|
|
Нерозподілений
прибуток
|
-8 222,10
|
-105,50
|
-1 980,00
|
-567,20
|
|
Усього власний
(акціонерний) капітал
|
32 979,40
|
41 001,10
|
32 361,70
|
33 808,20
|
|
УСЬОГО ПОЗИКОВІ
ЗАСОБИ І ВЛАСНИЙ (АКЦІОНЕРНИЙ) КАПІТАЛ
|
147 475,80
|
131 034,10
|
133 719,20
|
140 450,30
|
|
|
|
|
|
|
|
|
|
|
|
ЗВІТ ПРО ПРИБУТОК
|
|
|
|
|
|
Виторг від реалізації
|
24 284,50
|
64 194,00
|
107 247,30
|
189 055,50
|
|
Матеріали
|
22 684,40
|
55 309,80
|
96 704,70
|
148 487,80
|
|
Запаси
|
25 300,20
|
55 342,30
|
104 475,80
|
157 688,70
|
|
Витрати по оплаті
праці
|
3 714,80
|
8 162,80
|
14 182,90
|
20 536,60
|
|
Витрати на соціальні
заходи
|
1 355,90
|
3 162,30
|
5 588,10
|
7 505,60
|
|
Амортизація
|
189,30
|
1 564,30
|
2 185,40
|
3 132,90
|
|
Інші витрати
|
1 534,70
|
931,90
|
959,10
|
1 176,80
|
|
Разом собівартість
реалізованої продукції
|
54 779
|
124 473
|
224 096
|
338 528
|
|
Валовий прибуток
|
-30 495
|
-60 279
|
-116 849
|
-149 473
|
|
2006 (1)
|
2006 (2)
|
2006 (3)
|
2006 (4)
|
|
Операційні витрати
|
1 213,40
|
3 709
|
15 983,10
|
42 827,30
|
|
Збутові витрати
|
2,30
|
148,50
|
1 230,30
|
1 398,00
|
|
Адміністративні
витрати
|
2 124,00
|
4 687,50
|
7 596,10
|
10 867,70
|
|
Разом операційні
витрати
|
3 339,70
|
8 545,00
|
24 809,50
|
55 093,00
|
|
Прибуток до виплати
відсотків і податків
|
-33 835
|
-68 824
|
-141 658
|
-204 566
|
|
Прибуток до сплати
податків
|
-33 835
|
-68 824
|
-141 658
|
-204 566
|
|
Прибуток після
виплати податків
|
-33 835
|
-68 824
|
-141 658
|
-204 566
|
|
Прибуток для
розподілу власникам звичайних акцій (Чистий прибуток)
|
-33 834,50
|
-68 824,40
|
-141 658,20
|
-204 565,90
|
|
ЗВІТ ПРО
РОЗПОДІЛ ПРИБУТКУ
|
|
2006 (1)
|
2006 (2)
|
2006 (3)
|
2006 (4)
|
|
Нерозподілений
прибуток, баланс на 1 січня
|
0
|
0
|
0
|
-567,2
|
|
Нерозподілений
прибуток, баланс на 31 грудня
|
-
|
-
|
-
|
- 567,20
|
Таблиця
1.3.4.
|
2007 (1)
|
2007 (2)
|
2007 (3)
|
2007 (4)
|
|
АКТИВИ
|
тис. грн.
|
тис. грн.
|
тис. грн.
|
тис. грн.
|
|
ПОТОЧНІ АКТИВИ
|
|
|
|
|
|
Кошти
|
28,30
|
83,60
|
17 469,10
|
1 577,10
|
|
Високоліквідні цінні
папери
|
|
Короткострокові
фінансові вкладення
|
1 253,80
|
1 253,80
|
996,00
|
996,00
|
|
Дебіторська
заборгованість
|
70 589,80
|
121 525,00
|
160 452,60
|
170 199,90
|
|
Товарні запаси
|
31,80
|
23,10
|
30,10
|
42,40
|
|
Виробничі запаси
|
26 359,20
|
20 550,90
|
37 331,40
|
41 894,90
|
|
Авансовані витрати
|
|
|
|
|
|
Інші поточні активи
|
2 010,40
|
1 631,20
|
353,30
|
419,70
|
|
Усього поточні активи
|
100 273,30
|
145 067,60
|
216 632,50
|
215 130,00
|
|
ПОЗАОБОРОТНІ АКТИВИ
|
|
Основні засоби,
первинна вартість
|
74 770,80
|
75 271,10
|
75 716,40
|
75 927,60
|
|
Знос
|
38 614,00
|
39 433,70
|
40 193,90
|
40 412,50
|
|
Основні засоби -
залишкова вартість
|
36 156,80
|
35 837,40
|
35 522,50
|
35 515,10
|
|
Незавершені
капітальні вкладення
|
1 325,70
|
1 109,20
|
1 298,90
|
1 163,30
|
|
Нематеріальні активи,
залишкова вартість
|
75,80
|
84,10
|
79,80
|
77,50
|
|
Усього поза оборотні
активи
|
37 558,30
|
37 030,70
|
36 901,20
|
36 755,90
|
|
РАЗОМ АКТИВ (TOTAL
ASSETS)
|
137 831,60
|
182 098,30
|
253 533,70
|
251 885,90
|
|
ПОЗИКОВІ ЗАСОБИ І
ВЛАСНИЙ (АКЦІОНЕРНИЙ) КАПІТАЛ
|
|
Кредиторська
заборгованість
|
60 127,50
|
41 475,40
|
45 968,80
|
23 921,60
|
|
Векселя до оплати
|
18 001,20
|
18 001,20
|
18 001,20
|
18 001,20
|
|
Короткострокові
кредити банків
|
3 099,30
|
25 953,70
|
23 411,00
|
9 095,70
|
|
Заборгованість по
оплаті праці
|
1 918,40
|
2 125,60
|
2 215,50
|
2 194,70
|
|
Заборгованість по
виплаті податків
|
2 087,70
|
1 527,60
|
1 196,90
|
1 089,40
|
|
Заборгованість по
страхуванню
|
839,90
|
1 104,30
|
1 036,90
|
1 015,90
|
|
Інші заборгованості
|
|
|
|
|
|
Інші короткострокові
пасиви
|
16 026,90
|
34 679,90
|
90 118,10
|
89 486,20
|
|
Усього поточні
зобов'язання
|
102 100,90
|
124 867,70
|
181 948,40
|
144 804,70
|
|
Інші довгострокові
позикові засоби
|
|
Усього позикові
засоби
|
102 100,90
|
124 867,70
|
181 948,40
|
144 804,70
|
|
Звичайні акції,
номінал
|
16 575,00
|
16 575,00
|
16 575,00
|
16 575,00
|
|
Додатковий оплачений
капітал
|
17 776,40
|
17 752,50
|
17 661,10
|
17 653,30
|
|
Нерозподілений
прибуток
|
-860,50
|
20 663,30
|
35 109,40
|
70 612,80
|
|
Усього власний
(акціонерний) капітал
|
33 490,90
|
54 990,80
|
69 345,50
|
104 841,10
|
|
УСЬОГО ПОЗИКОВІ
ЗАСОБИ І ВЛАСНИЙ (АКЦІОНЕРНИЙ) КАПІТАЛ
|
135 591,80
|
179 858,50
|
251 293,90
|
249 645,80
|
|
|
|
|
|
|
|
|
|
|
|
ЗВІТ ПРО ПРИБУТОК
|
49 285,30
|
108 855,10
|
174 383,10
|
|
|
Матеріали
|
50 040,10
|
98 511,40
|
155 845,50
|
|
|
Запаси
|
43 250,00
|
74 723,90
|
104 445,30
|
|
|
Витрати по оплаті
праці
|
6 354,70
|
12 446,60
|
19 125,10
|
|
|
Витрати на соціальні
заходи
|
2 401,80
|
4 715,50
|
7 251,80
|
|
|
Амортизація
|
796,60
|
1 614,90
|
2 424,40
|
|
|
Інші витрати
|
503,70
|
645,40
|
858,70
|
|
|
Разом собівартість
реалізованої продукції
|
103 347
|
192 658
|
289 951
|
0
|
|
Валовий прибуток
|
-54 062
|
-83 803
|
-115 568
|
0
|
|
2007 (1)
|
2007 (2)
|
2007 (3)
|
2007 (4)
|
|
Операційні витрати
|
12 038,30
|
22 788,20
|
37 322,00
|
|
|
Збутові витрати
|
123,40
|
179,80
|
380,80
|
|
|
Адміністративні
витрати
|
3 949,20
|
7 073,40
|
10 568,70
|
|
|
Разом операційні
витрати
|
16 110,90
|
30 041,40
|
48 271,50
|
0
|
|
Прибуток до виплати
відсотків і податків
|
-70 173
|
-113 844
|
-163 839
|
0
|
|
Прибуток до сплати
податків
|
-70 173
|
-113 844
|
-163 839
|
0
|
|
Прибуток після
виплати податків
|
-70 173
|
-113 844
|
-163 839
|
0
|
|
Прибуток для
розподілу власникам звичайних акцій (Чистий прибуток)
|
-70 172,50
|
-113 844,00
|
-163 839,20
|
-
|
|
ЗВІТ ПРО
РОЗПОДІЛ ПРИБУТКУ
|
|
2007 (1)
|
2007 (2)
|
2007 (3)
|
2007 (4)
|
|
Нерозподілений
прибуток, баланс на 1 січня
|
0
|
0
|
0
|
70612,8
|
|
Нерозподілений
прибуток, баланс на 31 грудня
|
-
|
-
|
-
|
70 612,80
|
1.4 Опис фінансових
коефіцієнтів
Фінансові
коефіцієнти призначені для аналізу фінансового стану чи підприємства для
порівняльного аналізу діяльності підприємства в різні періоди часу.
Розглянемо
систему основних коефіцієнтів. У неї входять три групи:
1.
Коефіцієнти, що відбивають інтереси
власників компанії.
2.
Коефіцієнти, що відбивають інтереси
короткострокових кредиторів.
3.
Коефіцієнти, що відбивають інтереси
довгострокових кредиторів.
Розглянемо
коефіцієнти, що відбивають інтереси власників
1.
Прибуток на одну акцію (EPS)
PS= Чистий прибуток - привілейовані дивіденди
Середнє число звичайних
акцій (1.4.1)
Показує,
яка частка чистого прибутку приходиться на одну звичайну акцію в звертанні.
Якщо в структурі капіталу маються привілейовані акції, з чистого прибутку
повинна бути віднята сума дивідендів по них. Розрахунок цього показника
виробляється тільки для періоду один рік.
2.
Прибуток на акцію з урахуванням
конвертації.
У
прикладі привілейовані акції є конвертованими у відношенні 1:3. Конвертуються
всі привілейовані акції.
Чистий прибуток
Середнє число звичайних акцій +конвертовані акції
(1.4.2)
3.
Коефіцієнт ринкової вартості акцій.
Ринкова ціна акції
=
P
Прибуток на одну акцію EPS (1.4.3)
Показує,
скільки грошових одиниць згодні платити акціонери за одну грошову одиницю
чистого прибутку компанії.
Зміна
коефіцієнта свідчить про те, що чекання інвесторів у відношенні успішної
діяльності компанії перевищують реальні темпи збільшення прибутковості.
4. Коефіцієнт дивідендних
виплат .
Дивіденд
на акцію
EPS
5.
Відношення дивіденду до ринкової вартості акцій.
Дивіденд
на акцію
Ринкова ціна
акції (1.4.4)
6.
Коефіцієнт віддачі активів (прибутковість активів)
ROA= Чистий
прибуток +%платежів(1-H)
Середнє
число активів (1.4.5)
H- податковий
індекс на прибуток.
У фінансовому
менеджменті є 2 відповідальності: перша зв'язана з одержанням грошей, друга - з найбільш ефективним їхнім
використанням. Коли виникає необхідність оцінити прибутковість активів, варто
виключити вплив особливості позикового капіталу (виплата % до податків), тобто
привести позиковий і власний капітал до єдиної бази.
7.
Прибутковість власного капіталу.
ROE= Чистий
прибуток-привілейовані дивіденди
Середнє
значення власного капіталу (1.4.6)
Коефіцієнти, що відбивають інтереси
короткотермінових кредиторів
Коефіцієнти
ліквідності – оцінюють здатність підприємства платити по короткострокових
зобов'язаннях.
1.
Коефіцієнт
поточної ліквідності.
CR= оборотні
кошти
Короткострокові
зобов'язання (1.4.7)
Цей коефіцієнт
показує, чи досить у підприємства засобів, що можуть бути використані для погашення
короткострокових зобов'язань. Значення його повинне знаходиться в межах від 1
до 2-х. При розрахунку показника використовуються середні значення перемінних
за розрахунковий період.
2.
Коефіцієнт
швидкої ліквідності.
Гроші+цінні
папери+дебіторська заборгованість
Короткострокові
зобов'язання (1.4.8)
Характеризує
здатність фірми розплачуватися зі своїми кредиторами в сучасний момент.
Коефіцієнти
ділової активності.
Дозволяють
проаналізувати, наскільки ефективне підприємство використовує кошти.
3.
А)Оборотність
дебіторської заборгованості.
Показує середня
кількість днів, необхідна для стягнення заборгованостей. Чим менше це число,
тим швидше дебіторська заборгованість звертається в кошти, а отже підвищується
ліквідність оборотних коштів підприємства. Високе значення коефіцієнта може
свідчити про труднощів зі стягненням засобів по рахунках дебіторів.
Середнє
значення дебіторської заборгованості *365
Сума
виторгу за рік
Розрахунок
проводиться для періоду 1 рік.
В)
Оборотність дебіторської заборгованості (раз)
Обсяг
продажів у кредит
Середнє
значення дебіторської заборгованості
4. Середній
термін погашення ДЗ.
365/оборотність
ДЗ
5.
Оборотність ТМЗ= (коеф. Оборотності оборотного капіталу)(разів)
Показує, на
скільки ефективно компаній використовує інвестиції й оборотний капітал і як це
впливає на зростання продажу.
Чим вище
значення цього коефіцієнта, тим більше ефективно використовується підприємством
чистий оборотний капітал.
Сумарний
виторг за рік
Середнє
значення чистого оборотного капіталу за рік Або
Вартість
проданих товарів
Середнє
значення статті ТМС (1.4.9)
6. Середній
термін продажу ТМЗ
365/оборотність
ТМЗ
7.
Коефіцієнт оборотності основних засобів.
Фондовіддача.
Характеризує ефективність використання підприємством наявних у його розпорядженні
основних засобів. Чим вище значення коефіцієнта, тим більше ефективне
підприємство використовує основні засоби.
Оборотні
засоби - вартість запасів
Короткострокові
зобов'язання (1.4.10)
Коефіцієнти, що відбивають інтереси
довгострокових кредиторів
1.
Коефіцієнт
покриття процентних платежів.(раз)
Операційний
прибуток
Річні
процентні платежі (1.4.11)
Характеризує
ступінь захищеності кредиторів від виплати відсотків за наданий кредит і
демонструє: скільки разів протягом звітного періоду компанія заробив засобів
для виплати відсотків по позиках.
2.
Співвідношення позикового і власного капіталів.
Сумарні
зобов'язання
Власний
капітал (1.4.12)
Характеризує
залежність фірми від зовнішніх позик. Чим вище це значення, тим більше позик і
тем вище ризик неплатоспроможності.
3.
Відношення позикового капіталу від загальної суми активів.
Зобов'язання
ЗЕЗ - короткострокові зобов'язання
Активи
Демонструє, яка
частка активів підприємства фінансується за рахунок довгострокових позик.
1.5
Аналіз фінансового
стану підприємства
1).
Коефіцієнт валового прибутку (прибутковість продажів) – в середньому
посилаючись на лінію тренда, графік в період з першого кварталу 2004 року по
третій квартал 2007 року рухався у низ. Але реально з 1-го кварталу 2004 року
який становив –76,8%, до 3-го кварталу 2007 року виріс до - 66,3%.
2).
Коефіцієнт чистого прибутку (фінансова рентабельність продажів) - в
середньому посилаючись на лінію тренда, графік в період з першого кварталу 2004
року по третій квартал 2007 року рухався у низ. Становив з 1-го кварталу 2004
року 0,9%, до 3-го кварталу 2007 року впав до - 94%.
3).
Коефіцієнт прибутку до виплати відсотків і податків (економічна
рентабельність продажів) - в середньому посилаючись на лінію тренда графік в
період з першого кварталу 2004 року по третій квартал 2007 року рухався у низ.
Становив з 1-го кварталу 2004 року -84,1%, до 3-го кварталу 2007 року впав до -
94%.
4).
Аналіз операційних витрат – в середньому посилаючись на лінію тренда
графік в період з першого кварталу 2004 року по третій квартал 2007 року
рухався нагору. Але реально з 1-го кварталу 2004 року який становив 176,8%, до
3-го кварталу 2007 року впав до 166,3%.
5).
Коефіцієнт собівартості реалізованої продукції – в середньому
посилаючись на лінію тренда графік в період з першого кварталу 2004 року по
третій квартал 2007 року рухався у низ. Становив з 1-го кварталу 2004 року
19,6%, до 3-го кварталу 2007 року впав до 0,2%.
6).
Коефіцієнт витрат по реалізації - в середньому посилаючись на лінію
тренда графік в період з першого кварталу 2004 року по третій квартал 2007 року
рухався нагору. Становив з 1-го кварталу 2004 року 0,3%, до 3-го кварталу 2007
року виріс до 6,1%.
7).
Керування активами - в середньому посилаючись на лінію тренда графік в
період з першого кварталу 2004 року по третій квартал 2007 року рухався нагору.
Становив з 1-го кварталу 2004 року 0,3 раз, до 3-го кварталу 2007 року виріс до
0,7 разів.
8).
Оборотність активів - в середньому посилаючись на лінію тренда графік в
період з першого кварталу 2004 року по третій квартал 2007 року рухався нагору.
Становив з 1-го кварталу 2004 року 0,5 раз, до 3-го кварталу 2007 року виріс до
4,7 разів.
9).
Оборотність постійних активів - в середньому посилаючись на лінію тренда
графік в період з першого кварталу 2004 року по третій квартал 2007 року
рухався нагору. Становив з 1-го кварталу 2004 року 0,5 раз, до 3-го кварталу 2007
року виріс до 2,4 разів.
10).
Керування оборотним капіталом - в середньому посилаючись на лінію тренда
графік в період з першого кварталу 2004 року по третій квартал 2007 року
рухався нагору. Становив з 1-го кварталу 2004 року 1,5 раз, до 3-го кварталу 2007
року виріс до 9,8 разів.
11).
Оборотність запасів - в середньому посилаючись на лінію тренда графік в
період з першого кварталу 2004 року по третій квартал 2007 року рухався нагору.
Становив з 1-го кварталу 2004 року 1,5 раз, до 3-го кварталу 2007 року виріс до
8,8 разів.
12).
Оборотність запасів по собівартості реалізованої продукції - в
середньому посилаючись на лінію тренда графік в період з першого кварталу 2004
року по третій квартал 2007 року рухався нагору. Становив з 1-го кварталу 2004
року 1,0 раз, до 3-го кварталу 2007 року виріс до 1,2 разів.
13).
Оборотність дебіторської заборгованості - в середньому посилаючись на
лінію тренда, графік в період з першого кварталу 2004 року по третій квартал 2007
року рухався у низ. Становив з 1-го кварталу 2004 року 374,6 днів, до 3-го
кварталу 2007 року впав до 295,1 днів.
14).
Середній період погашення дебіторської заборгованості - в середньому
посилаючись на лінію тренда, графік в період з першого кварталу 2004 року по
третій квартал 2007 року рухався у низ. Становив з 1-го кварталу 2004 року
369,4 днів, до 3-го кварталу 2007 року впав до 331,2 дня.
15).
Ліквідність - в середньому посилаючись на лінію тренда графік в період з
першого кварталу 2004 року по третій квартал 2007 року рухався нагору. Становив
з 1-го кварталу 2004 року 0,52 одиниці, до 3-го кварталу 2007 року виріс до
1,49 одиниць.
16).
Коефіцієнт поточної ліквідності - в середньому посилаючись на лінію
тренда графік в період з першого кварталу 2004 року по третій квартал 2007 року
рухався нагору. Становив з 1-го кварталу 2004 року 0,60 одиниць, до 3-го
кварталу 2007 року виріс до 1,19 одиниць.
17).
Фінансовий леверидж - в середньому посилаючись на лінію тренда графік в
період з першого кварталу 2004 року по третій квартал 2007 року рухався нагору.
Становив з 1-го кварталу 2004 року 52,1%, до 3-го кварталу 2007 року виріс до
58,4%.
18).
Коефіцієнт заборгованості - в середньому посилаючись на лінію тренда
графік в період з першого кварталу 2004 року по третій квартал 2005 року
рухався нагору. Становив з 1-го кварталу 2004 року 1,4%, до 3-го кварталу 2007
року виріс до 3,4%.
19).
Коефіцієнт довгострокової заборгованості - в середньому посилаючись на
лінію тренда графік в період з першого кварталу 2004 року по третій квартал 2007
року рухався нагору. Становив з 1-го кварталу 2004 року 108,6%, до 3-го
кварталу 2007 року виріс до 140,3%.
1.6 Постановка задачі
Після
того, як завод отримав статус відкритого акціонерного товариства, з`явились
певні проблеми та складнощі. Завод з ремонту та будівництву пасажирських
вагонів, після того як отримав статус відкритого акціонерного товариства, та в
результаті чого з`явилися акціонери які мають надію отримати для себе певну
вигоду. Відомо, що державні настанови далеко не зовсім співпадають з інтересами
підприємців та акціонерів, бо у останніх мета отримати якомога більший
прибуток. А для отримання максимального прибутку треба налагодити економічну діяльність
підприємства, що є мабуть однією з найважливіших сторін підприємства. Якщо є
питання з приводу того, що саме треба зробити для чіткої та організованої
економічної моделі? То за відповіддю далеко йти не потрібно. Одним з методів
поліпшення економіки є прогнозування зміни економічних показників у часі. Для
цього беруться певні фінансові коефіцієнти по яким будується схема прогнозу. А
саме нам потрібні наступні коефіцієнти:
-
коефіцієнт зміни валового прибутку.
-
коефіцієнт зміни прибутку до виплати
відсотків і податків.
-
коефіцієнт зміни аналізу операційних
витрат.
-
коефіцієнт зміни керуванням активами.
-
коефіцієнт зміни оборотності постійних
активів.
-
коефіцієнт зміни оборотності запасів.
-
коефіцієнт зміни ліквідності.
-
коефіцієнт зміни поточної ліквідності.
-
коефіцієнт зміни фінансового левериджу.
-
коефіцієнт зміни довгострокової
заборгованості.
-
коефіцієнт зміни середнього періоду
погашення дебіторської заборгованості.
Оскільки
характер зміни цих вибраних коефіцієнтів нелінійних, потрібно застосовувати
новітні методи отримання числових значень коефіцієнтів у формулах апроксимації.
2
ТЕОРЕТИЧНА ЧАСТИНА
2.1
Опис методики отримання формул апроксимації
довільного вигляду
Економічні
цикли, сезонність продаж, цикл життя товару або послуги та інші чинники можуть
суттєво впливати на економічні показники окремого підприємства. Періодичність
економічних процесів викликана зміною життєвої активності людей протягом доби,
тижня, місяця та року (існують і більші періоди циклічності).
Тому
перед дослідниками постає задача підбору такого виду функції, яка б своєю
формою відповідала основним формам періодичних і неперіодичних залежностей
економічних процесів. Другою задачею є визначення коефіцієнтів обраної функції
за вибіркою статистичних даних.
Існуючі
в економіці залежності повинні мати не тільки періодичні функції, але й
експоненціальні та степеневі. Тому була обрана наступна формула
, (2.1.1)
де
х – аргумент, у – функція, A - Н – константи, e –
основа натурального логарифму. В залежності від чисельних значень констант, ця
формула дає множину кривих, представлену на рис.2.1.1.
Рис.
2.1.1 Типи кривих, які можна створити за допомогою формули (2.1.1)
Вирішення
другої задачі ускладнюється тим, що не існує таких математичних перетворень,
які б дозволили лінеаризувати (2.1.1), щоб потім отримати значення констант A
- Н методом регресії або найменших квадратів. Тому був застосований
наступний оптимізаційний підхід:
1.
Встановити довільні значення констант A
- Н .
2.
Для всіх значень аргументу і довільних
значень констант розрахувати величину у, яку позначимо як ур
за формулою.
3.
Для кожного значення функції знайти (ур
– уф)2, де уф – фактичне
значення функції, отримане за статистичними даними.
4.
Вирішити оптимальну задачу з
функціоналом виду
, (2.1.2)
а
параметрами, що змінюються, будуть константи A - Н . Де N
– розмір статистичної вибірки.
Вже
перші розрахунки за допомогою функції “Пошук рішень” електрон-них таблиць Excel
показали, що константи E та G визначаються як нулі у випадку,
коли амплітуда синусоїди менше середнього значення функції у 3-10 разів. Тому,
для збільшення точності розрахунку, рекомендується встановлювати обмеження на
значення констант за наступним правилом:
1.
На графіку, який було
побудовано за статистичними даними, виділяється елемент кривої, що нагадує
синусоїду і знаходиться проміжок значень аргументу, на якому ця синусоїда
здійснює повне коливання – Δх. Тоді, для константи E треба
встановити наступне обмеження
E ≤ (0,5 – 1,5)
2π/Δх1. (2.1.3)
2.
Початкові значення
констант B та F рекомендується становити рівними одиниці,
константи Н – середньому арифметичному статистичного значення функції,
константу – D - 0.05, А=0.
3.
Константа C
визначається з максимальної амплітуди Δу тієї частини графіку, яка
визначена як синусоїдальна, і має наступні обмеження
С
≤ (0,4 – 0,6) Δу. (2.1.4)
Наведемо
приклади застосування запропонованої методики. Нижче під заголовками наведені
графіки різних періодичних процесів економіка, а в таблиці 2.1.1. подані значення
констант для цих графіків, знайдені з урахуванням. В малюнках прийняті наступні
умовні позначення ур – ■ уф –
♦.
Таблиця
2.1.1.
|
Номер
рисунка
|
Значення констант для (1)
|
|
A
|
B
|
C
|
D
|
E
|
F
|
G
|
H
|
|
2
|
0,00145
|
7,34660
|
150000
|
-29,39
|
0,9
|
-0,436
|
-0,39
|
98923
|
|
3
|
11042,3
|
-3,901
|
25396,8
|
-0,899
|
0,855
|
0,8772
|
0,409
|
226049
|
|
4
|
-22,22
|
0,7731
|
4204,4
|
-0,009
|
0,0006
|
4,5492
|
7,829
|
285,39
|
|
5
|
595,51
|
-4,862
|
60
|
0,0235
|
1
|
0,8697
|
9,5
|
45
|
|
6
|
17,0537
|
0,57627
|
19,9770
|
-0,05
|
201,32
|
-94,12
|
1,684
|
30,100
|
Споживання палива енергогенеруючою компанією

Рис. 2.1.2. За місяцями Рис.
2.1.3. За днями тижня
Потік замовлень на підприємство зв’язку

Рис.
2.1.4. За днями тижня Рис. 2.1.5. За годинами робочого дня
Залежність
прибутку приватного підприємства від свого попереднього значення.
В
цьому випадку була використана так звана авторегресійна модель, тобто
залежність прибутків та збитків (прибутків зі знаком мінус) від своїх
попередніх значень. Оскільки формула не дає бажаного результату, якщо якесь
число зі статистичної вибірки має від’ємне значення (константи B та F
можуть бути дробовими, а, отже, жодне значення аргументу не може бути
від’ємним, бо воно знаходиться через логарифмування), то до значень статистичної
вибірки було додано число більше за найбільше за модулем від’ємне значення
аргументу.
Рис.2.1.6
Прибуток за кварталами
З отриманих результатів проведених досліджень можна
зробити наступні висновки:
1.
Запропонований оптимізаційний
алгоритм дозволяє будувати модель циклічних економічних процесів за будь-якою
наперед обраною формулою.
2.
Запропонована формула
дозволяє будувати моделі різних за своєю природою економічних процесів.
2.2
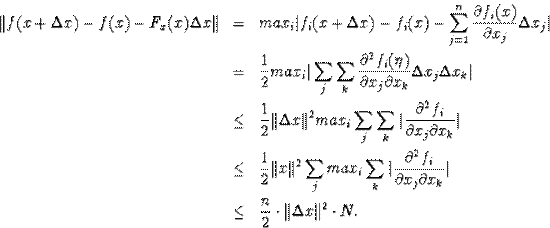
Опис методики отримання числових коефіцієнтів за допомогою метода Ньютона
Метод Ньютона може бути віднесено
до оптимізаційних задач в наступній постановці
(2.2.1)
тобто
потрібно вирішити систему Fx(xk+1-xk)=-f(xk)
. Будемо використовувати
- розуміючи під цим вектора.
Теорема
3. Якщо fi(x)
безперервні, разом з першими похідними в опуклій області G , що містить
рішення системи
і при
матриця Fx не вироджена, то існує така
околиця
що при кожнім
метод Ньютона
сходиться к.
Доказ. Розглянемо
(2.2.2)
Введемо
і
матрицю
.
Очевидно,
що F(x,x)= F(x) , тобто маємо тотожності
(2.2.3)
тоді
Використовуючи
одержимо
Поблизу
околиці
для
кожного
найдеться таке x0 , що якщо
,
то
Тоді
тобто
На
початкове наближення x0 накладена умова, яку перевірити
складно.
Теорема
Канторовича 4. Якщо функції fi(x) безперервні разом зі своїми
1 -ми і 2 -ми похідними в деякій опуклій області G , що містить крапку x0
разом з її околицею
і виконані наступні умови:
1) у
крапці x0 існує матриця F-1 така
2)
(2.2.4)
3)
(2.2.5)
4)
(2.2.6)
те
послідовність xk+1=xk-f-1x(xk)F(xk)
сходиться к. 
є єдиним рішенням системи f(x)=0 в області
і має місце оцінка

Доведемо
3 нерівності
а)
б)
а)
б)
в)
З
ітераційного процесу при k=0
Тепер
тобто
матриця F-1x(x0)Fx(x1)
не вироджена, і
![\begin{displaymath}\Vert\big[F^{-1}_x(x^0)F_x(x^1)\big]^{-1}\Vert\leq\frac{1}{1-h_0/2}\leq 2.\end{displaymath}](/wimg/9/490438.files/image045.gif)

і
З Fx(x0)(x1-x0)+f(x0)=0


Покажемо,
що при всіх k мають місце нерівності:
(2.2.6)
Нехай
має місце m=k-1
Повторимо
нерівності
Нерівність
показує, що в колі R послідовність xk є
фундаментальною, тобто мається межа.
Оцінимо
збіжність
тобто,
спрямовуючи
права частина не міняється,
, тобто при
дуже гарна
збіжність.
Модифікація
методу Ньютона в тім, що F-1x(xkp)
обчислюють не на кожнім кроці; при
матриця не
міняється, що різко зменшує число арифметичних дій, але накладає більш тверді
обмеження на область і швидкість збіжності.
2.3
Методика розрахунку точності прогнозування за критерієм Персона
Для визначення точності прогнозування необхідно знайти
різницю між прогнозованим і реальним значенням параметра.
Нуль-гіпотеза
приймається, якщо критерій узгодження Пірсона (або «хі-квадрат»)
, (2.3.1)
буде
менший або дорівнювати табличному значенню цього критерію при достатньо великому
значенні довірчої ймовірності. Фрагмент таблиці критерію Пірсона χ2(r,
р) поданий нижче. Тут п – розмір вибірки, kі –
прогнозоване значення параметру; рі – реальне значення
параметру: d – загальна кількість діапазонів, на які розбита область
існування випадкової величини. r= d - 1 – число ступенів свободи.
Таблиця
2.3.1. Значення χ2(r, р)
|
r
р
|
1
|
3
|
5
|
7
|
10
|
15
|
20
|
25
|
30
|
|
0,99
|
0
|
0,115
|
0,554
|
1,239
|
2,56
|
5,23
|
8,26
|
11,52
|
14,95
|
|
0,95
|
0,004
|
0,352
|
1,145
|
2,17
|
3,94
|
7,26
|
10,85
|
14,61
|
18,49
|
|
0,9
|
0,016
|
0,584
|
1,61
|
2,83
|
4,86
|
8,55
|
12,44
|
16,47
|
20,6
|
|
0,8
|
0,064
|
1,005
|
2,34
|
3,82
|
6,18
|
10,31
|
14,58
|
18,94
|
23,4
|
2.4
Результати отримання числових значень коефіцієнтів у апроксимаційних формулах
Для
цього було взято перші 12 точок значень кожного числового коефіцієнта і
виконано розрахунок коефіцієнтів в апроксимаційних формулах у наступному
порядку:
1.
Проведена лінія тренду по реальним
значенням параметру К з визначенням формули лінії тренду Y(x). Тут і далі х –
номер часового періоду, з кроком в один квартал, починаючи з 1-го кварталу 2004
року.
2.
Різниця між лінією тренду і реальними
значеннями була апроксимована за наведеною вище методикою Y(x)-K.
3.
Для різниці було застосовано методику
нелінійної апроксимації і отримано числові значення коефіцієнтів складної
формули y(x).
4.
Три останніх точки були використані для
перевірки за критерієм Пірсона якості прогнозування із застосуванням функції
ХИ2РАСП електронних таблиць Excel. Було визначено рівень довірчої ймовірності
при заданому рівні хі-квадрат та числа степенів свободи.
Результати
розрахунків представлено на рис. 4.4.1-2.4.22 і в табл.. 2.4.1.-2.4.11.
Значення
довірчої імовірності якості прогнозування зведені в табл.. 2.4.12.
Рис. 2.4.1. Графік зміни коефіцієнта
валового прибутку(
) та
лінії тренда (
) з
формулою.
Таблиця 2.4.1. Результат розрахунку числових
значень коефіцієнта валового прибутку
|
X
|
K
|
Y
|
K-Y
|
y(x)
|
[(K-Y)-y(x)]^2
|
Y+y(x)
|
(K-(Y+y(x))^2/K
|
|
1
|
-76,83%
|
-51,40%
|
-0,25
|
-0,01
|
0,06
|
-52,58%
|
-7,65%
|
|
2
|
-28,02%
|
-54,06%
|
0,26
|
0,06
|
0,04
|
-48,39%
|
-14,81%
|
|
3
|
-45,40%
|
-57,14%
|
0,12
|
0,02
|
0,01
|
-55,21%
|
-2,21%
|
|
4
|
-74,52%
|
-60,64%
|
-0,14
|
-0,14
|
0
|
-74,36%
|
0,00%
|
|
5
|
-76,83%
|
-64,56%
|
-0,12
|
0
|
0,02
|
-64,30%
|
-2,04%
|
|
6
|
-47,30%
|
-68,90%
|
0,22
|
0,22
|
0
|
-47,17%
|
0,00%
|
|
7
|
-46,48%
|
-73,66%
|
0,27
|
0,20
|
0
|
-53,38%
|
-1,03%
|
|
8
|
-82,16%
|
-78,84%
|
-0,03
|
-0,03
|
0
|
-81,51%
|
-0,01%
|
|
9
|
-125,57%
|
-84,44%
|
-0,41
|
-0,25
|
0,03
|
-109,37%
|
-2,09%
|
|
10
|
-93,90%
|
-90,46%
|
-0,03
|
-0,28
|
0,06
|
-118,02%
|
-6,19%
|
|
11
|
-108,95%
|
-96,90%
|
-0,12
|
-0,07
|
0
|
-103,78%
|
-0,25%
|
|
12
|
-79,06%
|
-103,76%
|
0,25
|
0,27
|
0
|
-76,47%
|
-0,09%
|
|
13
|
-109,69%
|
-111,04%
|
0,01
|
0,60
|
0,35
|
-50,91%
|
53,59%
|
|
14
|
-76,99%
|
-118,70%
|
0,42
|
0,80
|
0,15
|
-38,84%
|
49,55%
|
|
15
|
-66,27%
|
-126,90%
|
0,61
|
0,82
|
0,05
|
-44,51%
|
32,84%
|
(2.4.1)
Рис.
2.4.2. Графік зміни коефіцієнта валового прибутку (
) апроксимуючого графіка (
) та результатів перевірки якості
прогнозування (після горизонтальної лінії (
)).
Рис. 2.4.3.
Графік зміни коефіцієнта прибутку до виплати відсотків і податків (
) та лінії тренда (
) з формулою.
Таблиця 2.4.2. Результат розрахунку числових значень коефіцієнта
прибутку до виплати відсотків і податків.
|
X
|
K
|
Y
|
K-Y
|
y(x)
|
[(K-Y)-y(x)]^2
|
Y+y(x)
|
(K-(Y+y(x))^2/K
|
|
1
|
-84,10%
|
-66,80%
|
-0,17
|
-0,06
|
0,01
|
-73,08%
|
-0,01
|
|
2
|
-50,23%
|
-69,02%
|
0,19
|
0,03
|
0,02
|
-65,71%
|
-0,05
|
|
3
|
-58,91%
|
-71,92%
|
0,13
|
0,01
|
0,01
|
-70,73%
|
-0,02
|
|
4
|
-100,42%
|
-75,50%
|
-0,25
|
-0,11
|
0,02
|
-86,91%
|
-0,02
|
|
5
|
-84,10%
|
-79,76%
|
-0,04
|
0,02
|
0
|
-78,20%
|
0,00
|
|
6
|
-63,64%
|
-84,70%
|
0,21
|
0,21
|
0
|
-63,44%
|
0,00
|
|
7
|
-63,52%
|
-90,32%
|
0,27
|
0,20
|
0
|
-70,57%
|
-0,01
|
|
8
|
-103,14%
|
-96,62%
|
-0,07
|
-0,02
|
0
|
-98,41%
|
0,00
|
|
9
|
-139,33%
|
-103,60%
|
-0,36
|
-0,22
|
0,02
|
-125,70%
|
-0,01
|
|
10
|
-107,21%
|
-111,26%
|
0,04
|
-0,23
|
0,08
|
-134,68%
|
-0,07
|
|
11
|
-132,09%
|
-119,60%
|
-0,12
|
-0,04
|
0,01
|
-123,52%
|
-0,01
|
|
12
|
-108,20%
|
-128,62%
|
0,20
|
-0,25
|
0
|
-103,96%
|
0,00
|
|
13
|
-142,38%
|
-85,28%
|
-0,57
|
0,46
|
1,07
|
-38,79%
|
0,73
|
|
14
|
-104,58%
|
-86,82%
|
-0,18
|
0,51
|
0,47
|
-36,20%
|
0,65
|
|
15
|
-93,95%
|
-88,36%
|
-0,06
|
0,35
|
0,17
|
-53,27%
|
0,43
|
(2.4.2)
Рис.
2.4.4. Графік зміни коефіцієнта прибутку до виплати відсотків і податків (
) апроксимуючого графіка (
) та результатів перевірки
якості прогнозування (після горизонтальної лінії (
)).
Рис.
2.4.5. Графік зміни коефіцієнта аналізу операційних витрат (
) та лінії тренда (
) з формулою.
Таблиця
2.4.3. Результат розрахунку числових значень коефіцієнта аналізу операційних
витрат.
|
X
|
K
|
Y
|
K-Y
|
y(x)
|
[(K-Y)-y(x)]^2
|
Y+y(x)
|
(K-(Y+y(x))^2/K
|
|
1
|
176,83%
|
151,40%
|
0,25
|
0,01
|
0,06
|
152,05%
|
0,03
|
|
2
|
128,02%
|
154,06%
|
-0,26
|
-0,08
|
0,03
|
146,37%
|
0,03
|
|
3
|
145,40%
|
157,14%
|
-0,12
|
-0,06
|
0,00
|
151,15%
|
0,00
|
|
4
|
174,52%
|
160,64%
|
0,14
|
0,10
|
0,00
|
170,90%
|
0,00
|
|
5
|
176,83%
|
164,56%
|
0,12
|
0,04
|
0,01
|
168,51%
|
0,00
|
|
6
|
147,30%
|
168,90%
|
-0,22
|
-0,18
|
0,00
|
150,43%
|
0,00
|
|
7
|
146,48%
|
173,66%
|
-0,27
|
-0,21
|
0,00
|
153,20%
|
0,00
|
|
8
|
182,16%
|
178,84%
|
0,03
|
-0,06
|
0,01
|
184,42%
|
0,00
|
|
9
|
225,57%
|
184,44%
|
0,41
|
0,31
|
0,01
|
215,81%
|
0,00
|
|
10
|
193,90%
|
190,46%
|
0,03
|
0,28
|
0,06
|
218,81%
|
0,03
|
|
11
|
208,95%
|
196,90%
|
0,12
|
0,00
|
0,01
|
196,47%
|
0,01
|
|
12
|
179,06%
|
203,76%
|
-0,25
|
-0,25
|
0,00
|
178,54%
|
0,00
|
|
13
|
209,69%
|
211,04%
|
-0,01
|
-0,18
|
0,03
|
193,15%
|
0,08
|
|
14
|
176,99%
|
218,74%
|
-0,42
|
0,25
|
0,45
|
243,51%
|
-0,38
|
|
15
|
166,27%
|
226,86%
|
-0,61
|
0,80
|
1,98
|
307,12%
|
-0,85
|
(2.4.3)
Рис.
2.4.6. Графік зміни коефіцієнта аналізу операційних витрат (
) апроксимуючого графіка (
) та результатів перевірки
якості прогнозування (після горизонтальної лінії (
)).
Рис.
2.4.7. Графік зміни коефіцієнта керуванням активами (
) та лінії тренда (
) з формулою.
Таблиця
2.4.4. Результат розрахунку числових значень коефіцієнта керуванням активами.
|
X
|
K
|
Y
|
K-Y
|
y(x)
|
[(K-Y)-y(x)]^2
|
Y+y(x)
|
(K-(Y+y(x))^2/K
|
|
1
|
0,3
|
0,2
|
0,01
|
0,01
|
0,00
|
0,26
|
0,00
|
|
2
|
0,4
|
0,3
|
0,03
|
0,06
|
0,00
|
0,39
|
0,00
|
|
3
|
0,3
|
0,4
|
-0,08
|
0,02
|
0,01
|
0,42
|
0,03
|
|
4
|
0,6
|
0,4
|
0,18
|
0,23
|
0,00
|
0,68
|
0,00
|
|
5
|
0,3
|
0,5
|
-0,22
|
-0,12
|
0,01
|
0,37
|
0,03
|
|
6
|
0,6
|
0,5
|
0,09
|
-0,07
|
0,02
|
0,46
|
0,04
|
|
7
|
0,8
|
0,6
|
0,24
|
0,36
|
0,01
|
0,93
|
0,02
|
|
8
|
1,2
|
0,6
|
0,58
|
0,26
|
0,10
|
0,86
|
0,09
|
|
9
|
0,2
|
0,6
|
-0,46
|
-0,26
|
0,04
|
0,37
|
0,26
|
|
10
|
0,5
|
0,7
|
-0,17
|
-0,35
|
0,03
|
0,31
|
0,06
|
|
11
|
0,8
|
0,7
|
0,12
|
0,16
|
0,00
|
0,85
|
0,00
|
|
12
|
1,3
|
0,7
|
0,61
|
0,62
|
0,00
|
1,34
|
0,00
|
|
13
|
0,4
|
0,7
|
-0,38
|
0,46
|
0,71
|
1,20
|
-2,36
|
|
14
|
0,6
|
0,8
|
-0,16
|
-0,17
|
0,00
|
0,59
|
0,02
|
|
15
|
0,7
|
0,8
|
-0,10
|
-0,65
|
0,31
|
0,13
|
0,81
|
(2.4.4)
Рис.
2.4.8. Графік зміни коефіцієнта керуванням активами (
) апроксимуючого графіка (
) та результатів перевірки якості
прогнозування (після горизонтальної лінії (
)).
Рис.
2.4.9. Графік зміни коефіцієнта оборотністю постійних активів (
) та лінії тренда (
) з формулою.
Таблиця
2.4.5. Результат розрахунку числових значень коефіцієнта оборотності постійних
активів.
|
X
|
K
|
Y
|
K-Y
|
y(x)
|
[(K-Y)-y(x)]^2
|
Y+y(x)
|
(K-(Y+y(x))^2/K
|
|
1
|
0,54
|
0,45
|
0,08
|
0,09
|
0,00
|
0,54
|
0,00
|
|
2
|
0,74
|
0,77
|
-0,03
|
0,20
|
0,05
|
0,97
|
0,07
|
|
3
|
0,70
|
1,04
|
-0,35
|
0,09
|
0,19
|
1,13
|
0,27
|
|
4
|
2,05
|
1,30
|
0,76
|
1,06
|
0,09
|
2,36
|
0,05
|
|
5
|
0,93
|
1,54
|
-0,61
|
-0,43
|
0,03
|
1,10
|
0,03
|
|
6
|
1,56
|
1,76
|
-0,20
|
-0,49
|
0,08
|
1,27
|
0,05
|
|
7
|
3,61
|
1,98
|
1,62
|
1,48
|
0,02
|
3,46
|
0,01
|
|
8
|
4,87
|
2,19
|
2,67
|
1,36
|
1,73
|
3,55
|
0,36
|
|
9
|
0,73
|
2,40
|
-1,66
|
-0,94
|
1,46
|
0,72
|
|
10
|
1,56
|
2,60
|
-1,04
|
-1,63
|
0,35
|
0,97
|
0,23
|
|
11
|
3,31
|
2,79
|
0,51
|
0,54
|
0,00
|
3,33
|
0,00
|
|
12
|
5,24
|
2,98
|
2,26
|
2,71
|
0,20
|
5,69
|
0,04
|
|
13
|
1,38
|
3,17
|
-1,79
|
2,04
|
14,66
|
5,21
|
-2,78
|
|
14
|
1,90
|
3,35
|
-1,45
|
-0,85
|
0,36
|
2,51
|
-0,32
|
|
15
|
2,44
|
3,53
|
-1,10
|
-2,85
|
3,09
|
0,68
|
0,72
|
(2.4.5)
Рис.
2.4.10. Графік зміни коефіцієнта оборотністю постійних активів (
) апроксимуючого графіка (
) та результатів перевірки
якості прогнозування (після горизонтальної лінії (
)).
Рис. 2.4.11.
Графік зміни коефіцієнта оборотністю запасів (
) та лінії тренда (
) з формулою.
Таблиця
2.4.6. Результат розрахунку числових значень коефіцієнта оборотності запасів.
|
X
|
K
|
Y
|
K-Y
|
y(x)
|
[(K-Y)-y(x)]^2
|
Y+y(x)
|
(K-(Y+y(x))^2/K
|
|
1
|
1,5
|
0,97
|
0,51
|
1,43
|
0,85
|
2,40
|
0,00
|
|
2
|
1,6
|
0,12
|
1,44
|
0,98
|
0,22
|
1,10
|
0,22
|
|
3
|
1,7
|
0,20
|
1,46
|
2,29
|
0,69
|
2,49
|
0,24
|
|
4
|
2,4
|
0,25
|
2,15
|
3,04
|
0,79
|
3,29
|
0,17
|
|
5
|
1,6
|
0,27
|
1,34
|
1,08
|
0,07
|
1,35
|
0,18
|
|
6
|
1,6
|
0,28
|
1,27
|
1,25
|
0,00
|
1,53
|
0,06
|
|
7
|
4,8
|
0,29
|
4,54
|
4,94
|
0,15
|
5,23
|
0,00
|
|
8
|
7,2
|
0,30
|
6,93
|
5,16
|
3,10
|
5,47
|
0,59
|
|
9
|
1,3
|
0,33
|
0,95
|
1,56
|
0,38
|
1,90
|
0,06
|
|
10
|
3,1
|
0,39
|
2,73
|
3,02
|
0,09
|
3,41
|
0,00
|
|
11
|
3,4
|
0,49
|
2,92
|
8,84
|
35,10
|
9,33
|
8,69
|
|
12
|
8,4
|
0,63
|
7,75
|
8,38
|
0,40
|
9,00
|
0,00
|
|
13
|
1,9
|
0,83
|
1,07
|
3,31
|
5,01
|
4,13
|
-1,18
|
|
14
|
5,6
|
1,10
|
4,46
|
5,96
|
2,26
|
7,06
|
-0,27
|
|
15
|
8,8
|
1,44
|
7,35
|
13,89
|
42,84
|
15,34
|
-0,74
|
(2.4.6)

Рис.
2.4.12. Графік зміни коефіцієнта оборотністю запасів (
) апроксимуючого графіка (
) та результатів перевірки якості
прогнозування (після горизонтальної лінії (
)).
Рис.
2.4.13. Графік зміни коефіцієнта ліквідності (
) та лінії тренда (
) з формулою.
Таблиця
2.4.7. Результат розрахунку числових значень коефіцієнта ліквідності.
|
X
|
K
|
Y
|
K-Y
|
y(x)
|
[(K-Y)-y(x)]^2
|
Y+y(x)
|
(K-(Y+y(x))^2/K
|
|
1
|
0,95
|
1,01
|
-0,06
|
-0,01
|
0,00
|
1,00
|
0,00
|
|
2
|
1,06
|
1,01
|
0,05
|
0,02
|
0,00
|
1,03
|
0,00
|
|
3
|
1,09
|
1,01
|
0,08
|
-0,01
|
0,01
|
1,00
|
0,00
|
|
4
|
0,95
|
1,01
|
-0,06
|
0,09
|
0,02
|
1,10
|
0,00
|
|
5
|
0,92
|
1,01
|
-0,09
|
0,10
|
0,03
|
1,11
|
0,00
|
|
6
|
1,14
|
1,00
|
0,14
|
-0,05
|
0,04
|
0,95
|
0,00
|
|
7
|
0,96
|
1,00
|
-0,04
|
-0,01
|
0,00
|
0,99
|
0,00
|
|
8
|
0,96
|
1,00
|
-0,04
|
-0,06
|
0,00
|
0,94
|
0,00
|
|
9
|
0,97
|
0,99
|
-0,02
|
0,01
|
0,00
|
1,00
|
0,00
|
|
10
|
1,05
|
0,99
|
0,07
|
0,06
|
0,00
|
1,05
|
0,00
|
|
11
|
0,96
|
0,98
|
-0,02
|
-0,06
|
0,00
|
0,92
|
0,00
|
|
12
|
0,99
|
0,97
|
0,01
|
-0,04
|
0,00
|
0,93
|
0,00
|
|
13
|
0,98
|
0,97
|
0,02
|
0,09
|
0,01
|
1,06
|
-0,08
|
|
14
|
1,16
|
0,96
|
0,20
|
-0,03
|
0,05
|
0,93
|
0,20
|
|
15
|
1,19
|
0,95
|
0,24
|
-0,09
|
0,11
|
0,86
|
0,28
|
(2.4.7)
Рис.
2.4.14. Графік зміни коефіцієнта ліквідності (
) апроксимуючого графіка (
) та результатів перевірки якості
прогнозування (після горизонтальної лінії (
)).
Рис. 2.4.15.
Графік зміни коефіцієнта поточної ліквідності (
) та лінії тренда (
) з формулою.
Таблиця 2.4.8. Результат розрахунку числових значень коефіцієнта
поточної ліквідності.
|
X
|
K
|
Y
|
K-Y
|
y(x)
|
[(K-Y)-y(x)]^2
|
Y+y(x)
|
(K-(Y+y(x))^2/K
|
|
1
|
0,60
|
0,66
|
-0,06
|
-0,01
|
0,00
|
0,65
|
0,00
|
|
2
|
0,80
|
0,74
|
0,06
|
0,01
|
0,00
|
0,74
|
0,00
|
|
3
|
0,83
|
0,74
|
0,09
|
0,00
|
0,76
|
0,01
|
|
4
|
0,63
|
0,69
|
-0,06
|
-0,05
|
0,00
|
0,64
|
0,00
|
|
5
|
0,52
|
0,60
|
-0,09
|
-0,01
|
0,01
|
0,59
|
0,01
|
|
6
|
0,64
|
0,51
|
0,13
|
0,07
|
0,00
|
0,57
|
0,01
|
|
7
|
0,37
|
0,41
|
-0,04
|
-0,01
|
0,00
|
0,41
|
0,00
|
|
8
|
0,23
|
0,35
|
-0,13
|
-0,11
|
0,00
|
0,24
|
0,00
|
|
9
|
0,37
|
0,34
|
0,02
|
-0,04
|
0,00
|
0,31
|
0,01
|
|
10
|
0,44
|
0,40
|
0,04
|
0,11
|
0,00
|
0,51
|
0,01
|
|
11
|
0,64
|
0,55
|
0,08
|
0,08
|
0,00
|
0,63
|
0,00
|
|
12
|
0,73
|
0,82
|
-0,09
|
-0,10
|
0,00
|
0,72
|
0,00
|
|
13
|
0,69
|
1,22
|
-0,53
|
-0,17
|
0,13
|
1,05
|
-0,51
|
|
14
|
0,97
|
1,77
|
-0,80
|
-0,03
|
0,60
|
1,75
|
-0,79
|
|
15
|
0,98
|
2,50
|
-1,52
|
0,16
|
2,83
|
2,66
|
-1,72
|
(2.4.8)
Рис. 2.4.16.
Графік зміни коефіцієнта поточної ліквідності (
) апроксимуючого графіка (
) та результатів перевірки якості
прогнозування (після горизонтальної лінії (
)).
Рис.
2.4.17. Графік зміни коефіцієнта фінансового левериджу (
) та лінії тренда (
) з формулою.
Таблиця
2.4.9. Результат розрахунку числових значень коефіцієнта фінансового леверіджу.
|
X
|
K
|
Y
|
K-Y
|
y(x)
|
[(K-Y)-y(x)]^2
|
Y+y(x)
|
(K-(Y+y(x))^2/K
|
|
1
|
52,1%
|
49,4%
|
0,03
|
0,04
|
0,00
|
53,30%
|
0,00
|
|
2
|
51,2%
|
55,0%
|
-0,04
|
-0,01
|
0,00
|
53,99%
|
0,00
|
|
3
|
55,6%
|
59,8%
|
-0,04
|
-0,05
|
0,00
|
55,15%
|
0,00
|
|
4
|
70,4%
|
64,0%
|
0,06
|
0,06
|
0,00
|
70,37%
|
0,00
|
|
5
|
71,6%
|
67,6%
|
0,04
|
0,00
|
0,00
|
67,14%
|
0,00
|
|
6
|
61,0%
|
70,5%
|
-0,10
|
-0,06
|
0,00
|
64,72%
|
0,00
|
|
7
|
78,4%
|
72,7%
|
0,06
|
0,01
|
0,00
|
74,07%
|
0,00
|
|
8
|
75,8%
|
74,3%
|
0,02
|
0,05
|
0,00
|
79,44%
|
0,00
|
|
9
|
77,6%
|
75,2%
|
0,02
|
-0,01
|
0,00
|
74,57%
|
0,00
|
|
10
|
68,7%
|
75,4%
|
-0,07
|
-0,05
|
0,00
|
70,37%
|
0,00
|
|
11
|
75,8%
|
75,0%
|
0,01
|
-0,01
|
0,00
|
73,57%
|
0,00
|
|
12
|
76,3%
|
74,0%
|
0,02
|
0,04
|
0,00
|
77,93%
|
0,00
|
|
13
|
75,7%
|
72,2%
|
0,03
|
0,03
|
0,00
|
75,72%
|
0,00
|
|
14
|
69,8%
|
69,8%
|
0,00
|
-0,02
|
0,00
|
68,19%
|
0,02
|
|
15
|
72,6%
|
66,8%
|
0,06
|
-0,05
|
0,01
|
62,26%
|
0,14
|
(2.4.9)
Рис.
2.4.18. Графік зміни коефіцієнта валового прибутку (
) апроксимуючого графіка (
) та результатів перевірки якості
прогнозування (після горизонтальної лінії (
)).
Рис.
2.4.19. Графік зміни коефіцієнта довгострокової заборгованості (
) та лінії тренда (
) з формулою.
Таблиця
2.4.10. Результат розрахунку числових значень коефіцієнта довгострокової
заборгованості.
|
X
|
K
|
Y
|
K-Y
|
y(x)
|
[(K-Y)-y(x)]^2
|
Y+y(x)
|
(K-(Y+y(x))^2/K
|
|
1
|
108,6%
|
81,8%
|
0,27
|
0,02
|
0,06
|
83,68%
|
0,06
|
|
2
|
104,8%
|
126,2%
|
-0,21
|
-0,01
|
0,04
|
125,50%
|
0,04
|
|
3
|
125,0%
|
165,8%
|
-0,41
|
-0,09
|
0,10
|
156,57%
|
0,08
|
|
4
|
238,3%
|
200,6%
|
0,38
|
0,30
|
0,01
|
230,11%
|
0,00
|
|
5
|
252,7%
|
230,6%
|
0,22
|
-0,05
|
0,07
|
225,95%
|
0,03
|
|
6
|
156,2%
|
255,7%
|
-0,99
|
-0,37
|
0,39
|
218,71%
|
0,25
|
|
7
|
351,0%
|
276,0%
|
0,75
|
0,16
|
0,34
|
292,40%
|
0,10
|
|
8
|
313,7%
|
291,5%
|
0,22
|
0,58
|
0,12
|
349,06%
|
0,04
|
|
9
|
347,4%
|
302,2%
|
0,45
|
0,05
|
0,16
|
307,30%
|
0,05
|
|
10
|
219,8%
|
308,0%
|
-0,88
|
-0,63
|
0,06
|
244,57%
|
0,03
|
|
11
|
313,4%
|
309,0%
|
0,04
|
-0,43
|
0,22
|
266,51%
|
0,07
|
|
12
|
322,1%
|
305,2%
|
0,17
|
0,47
|
0,09
|
352,68%
|
0,03
|
|
13
|
311,5%
|
296,6%
|
0,15
|
0,94
|
0,62
|
-0,25
|
|
14
|
231,1%
|
283,2%
|
-0,52
|
0,36
|
0,78
|
319,50%
|
-0,38
|
|
15
|
265,6%
|
265,0%
|
0,01
|
-0,67
|
0,46
|
197,99%
|
0,25
|
(2.4.10)
Рис.
2.4.20. Графік зміни коефіцієнта довгострокової заборгованості (
) апроксимуючого графіка (
) та результатів перевірки
якості прогнозування (після горизонтальної лінії (
)).
Рис.
2.4.21. Графік зміни коефіцієнта середнього періоду погашення дебіторської
заборгованості (
) та
лінії тренда (
) з
формулою.
Таблиця 2.4.11. Результат розрахунку числових значень коефіцієнта
середнього періоду погашення дебіторської заборгованості.
|
X
|
K
|
Y
|
K-Y
|
y(x)
|
[(K-Y)-y(x)]^2
|
Y+y(x)
|
(K-(Y+y(x))^2/K
|
|
1
|
0,37
|
0,41
|
-0,04
|
-0,03
|
0,00
|
38,50%
|
0,00
|
|
2
|
0,39
|
0,39
|
0,00
|
0,03
|
0,00
|
42,05%
|
0,00
|
|
3
|
0,51
|
0,37
|
0,14
|
-0,03
|
0,03
|
33,84%
|
0,06
|
|
4
|
0,25
|
0,35
|
-0,10
|
-0,08
|
0,00
|
27,11%
|
0,00
|
|
5
|
0,48
|
0,33
|
0,15
|
0,07
|
0,01
|
39,99%
|
0,01
|
|
6
|
0,23
|
0,30
|
-0,08
|
0,05
|
0,02
|
35,55%
|
0,07
|
|
7
|
0,13
|
0,28
|
-0,16
|
-0,14
|
0,00
|
14,48%
|
0,00
|
|
8
|
0,05
|
0,26
|
-0,21
|
-0,05
|
0,03
|
21,07%
|
0,50
|
|
9
|
0,62
|
0,25
|
0,38
|
0,20
|
0,03
|
44,19%
|
0,05
|
|
10
|
0,22
|
0,23
|
-0,01
|
0,13
|
0,02
|
35,57%
|
0,09
|
|
11
|
0,22
|
0,21
|
0,01
|
-0,13
|
0,02
|
7,66%
|
0,09
|
|
12
|
0,14
|
0,19
|
-0,05
|
-0,04
|
0,00
|
14,94%
|
0,00
|
|
13
|
0,52
|
0,18
|
0,34
|
0,37
|
0,00
|
54,45%
|
-0,06
|
|
14
|
0,40
|
0,16
|
0,24
|
0,52
|
0,08
|
67,93%
|
-0,69
|
|
15
|
0,33
|
0,15
|
0,19
|
0,27
|
0,01
|
41,20%
|
-0,24
|
(2.4.11)
Рис.
2.4.22. Графік зміни коефіцієнта середнього періоду погашення дебіторської
заборгованості (
)
апроксимуючого графіка (
)
та результатів перевірки якості прогнозування (після горизонтальної лінії (
)).
Таблиця
2.4.12. Якість прогнозування фінансових коефіцієнтів
|
Назва фінансового
коефіцієнту
|
Якість
прогнозування,%
|
|
коефіцієнт валового
прибутку
|
0,88672
|
|
коефіцієнт прибутку
до виплати відсотків і податків
|
0,96132
|
|
коефіцієнт аналізу
операційних витрат
|
0,99443
|
|
коефіцієнт керуванням
активами
|
0,59102
|
|
коефіцієнт
оборотності постійних активів
|
0,59051
|
|
коефіцієнт
оборотності запасів
|
0,98711
|
|
коефіцієнт
ліквідності
|
0,99999
|
|
коефіцієнт поточної
ліквідності
|
0,99991
|
|
коефіцієнт
фінансового леверіджу
|
0,99999
|
|
коефіцієнт
довгострокової заборгованості
|
0,76730
|
|
коефіцієнта
середнього періоду погашення дебіторської заборгованості
|
0,95165
|
2.5
Ефективність отриманих результатів
За
допомогою формул прогнозування ефективності були розраховані значення цих
коефіцієнтів на період 1 і 2 квартал 2008 року. Результати прогнозування
наведені в таблиці 2.5.1.
Таблиця
2.5.1 Ефективність отриманих результатів
|
Назва коефіцієнта
|
Прогнозні значення на
квартали 2008 року
|
|
I
|
II
|
|
Коефіцієнт валового
прибутку
|
1,23
|
0,82
|
|
Коефіцієнт прибутку
до виплати відсотків і податків
|
-0,88
|
-4,74
|
|
Коефіцієнт аналізу
операційних витрат
|
3,52
|
3,61
|
|
Коефіцієнт керуванням
активами
|
0,09
|
0,38
|
|
Коефіцієнт
оборотності постійних активів
|
1,69
|
4,06
|
|
Коефіцієнт
оборотності запасів
|
31,09
|
28,61
|
|
Коефіцієнт ліквідності
|
0,79
|
0,75
|
|
Коефіцієнт поточної
ліквідності
|
3,59
|
4,58
|
|
Коефіцієнт
фінансового леверіджу
|
0,90
|
0,74
|
|
Коефіцієнт
довгострокової заборгованості
|
1,56
|
1,36
|
|
Коефіцієнта
середнього періоду погашення дебіторської заборгованості
|
4,01
|
4,02
|
3.
ІНФОРМАЦІЙНА СИСТЕМА
Блок-схема інформаційної системи
прогнозування фінансових коефіцієнтів наведена на рис. 3.1.
Рис. 3.1. Структурна схема
інформаційної системи
Після
запуску АІС з`являється “Головне меню” зображене на рис. 3.2.
Рис. 3.2. Головне
меню
В
головному меню є можливість подивитися:
-
історію ВАТ “ВРЗ” (рис.3.3). Для цього
потрібно натиснути лівою кнопкою на вікно з надписом Історія.
-
Структурну
схему ВАТ “ВРЗ” (рис.3.4). Для цього.потрібно натиснути
лівою кнопкою на вікно з надписом Структурна схема.
-
Баланси
ВАТ “ВРЗ” (рис.3.5). Для цього потрібно натиснути лівою кнопкою на вікно з
надписом Баланси.
-
Опис
фінансових коефіцієнтів ВАТ “ВРЗ” (рис.3.6). Для цього потрібно натиснути лівою
кнопкою на вікно з надписом Опис фінансових коефіцієнтів.
-
Розрахунок
прогнозу фінансових коефіцієнтів ВАТ “ВРЗ” (рис.3.7). Для цього потрібно
натиснути лівою кнопкою на вікно з надписом Розрахунок прогнозу фінансових
коефіцієнтів.
Рис.3.4. Структурна схема ВАТ “ВРЗ”
Рис.3.4. Структурна схема ВАТ “ВРЗ”
Рис. 3.5. Баланси ВАТ “ВРЗ”
Рис.
3.6. Опис фінансових коефіцієнтів ВАТ “ВРЗ”
Рис.
3.7. Розрахунок прогнозу фінансових коефіцієнтів ВАТ “ВРЗ”
Для
того щоб повернутися до головного меню треба натиснути на активне вікно
“Головне меню” (у всіх випадках). Переміщення по вікнам робиться завдяки
макросам. Для того щоб вийти треба натиснути ліву кнопку мишки на
4. ТЕХНІКА БЕЗПЕКИ
4.1
Загальні положення та область застосування
4.1.1 Правила охорони праці під час
експлуатації електронно-обчислювальних машин (далі - Правила) поширюються на
всі підприємства, установи, організації, юридичних осіб, крім відзначених у
пункті
4.1.2 Незалежно від форми власності,
відомчої приналежності, видів діяльності (далі - підприємства) і на фізичних
осіб (що займаються підприємницькою діяльністю з правом наймання робочої сили),
що здійснюють розробку, виробництво і застосування електронно-обчислювальних
машин і персональних комп'ютерів (далі - ЕОМ), у тому числі і на тих, котрі
мають робочі місця, обладнана ЕОМ, чи виконують обслуговування, ремонт і
налагодження ЕОМ.
Правила установлюють вимоги безпеки і
санітарно-гігієнічні вимоги до устаткування робочих місць користувачів ЕОМ і
працівників, що виконують обслуговування, ремонт і налагодження ЕОМ, і роботи з
застосуванням ЕОМ, відповідно до сучасного стану техніки і наукових досліджень
у сфері безпечної організації робіт з експлуатації ЕОМ і з урахуванням положень
міжнародних нормативно-правових актів з цих питань (директиви Ради
Європейського союзу 90/270/ЄЕС, 89/391/ЄЕС, 89/654/ЄЕС, 89/655/ЄЕС, стандарти
!5ПРО, МРГСИ).
4.1.3 Вимоги Правил не поширюються на:
- комп'ютерні
класи вищих і середніх навчальних закладів, майстерні професійно-технічних
навчальних закладів;
- робочі місця операторів ЕОМ, що
використовуються в сфері керування й експлуатації атомних електростанцій;
- робочі
місця пілотів, чи водіїв операторів транспортних засобів, обладнаних ЕОМ, ЕОМ у
системах обробки даних на борті засобів повідомлення й ЕОМ у складі машин і
устаткування, що переміщаються в
процесі роботи;
- так
називані портативні системи обробки даних, якщо вони мінливо використовуються
на робочому місці;
- обчислювальні
машинки (калькулятори), що реєструють каси і прилади з невеликими пристроями
- індикації
чи даних результатів виміру;
- друкарські
машинки класичної конструкції, обладнані відеотерміналом (так називані
дисплейні друкарські машинки);
-комп'ютерні гральні автомати і системи
обробки даних, призначені для суспільного користування.
Вимоги Правил є обов'язковими для всіх
працівників при організації і виконанні робіт, зв'язаних з експлуатацією,
обслуговуванням, налагодженням і ремонтом ЕОМ, а також при проектуванні і
реконструкції підприємств, їхніх виробничих об'єктів, споруджень і робочих
місць, обладнаних ЕОМ.
4.1.4 Робочі місця, що уперше вводяться
в експлуатацію після запровадження в дію цих Правил, повинні в повному обсязі
задовольняти їхньої вимоги.
Робочі місця, що вже знаходилися в
експлуатації на час введення в дію цих Правил, повинні бути в повному обсязі
приведені у відповідність з вимогами цих Правил не пізніше чим через рік після
дати їхнього запровадження в дію.
4.1.5 В випадку відсутності в
нормативно-правових актах про охорону праці й у цих Правилах вимог, які
необхідно виконувати для створення безпечних і нешкідливих умов праці на
визначеному робочому місці і під час виконання визначеного виду робіт,
зв'язаних з чи експлуатацією обслуговуванням ЕОМ, власник підприємства,
установи, чи організації уповноважений їм орган (далі - власник) зобов'язаний
прийняти погоджені з органами державного нагляду за охороною праці заходу для
забезпечення безпеки працівників.
4.1.6 Власники, керівники служб і
структурних підрозділів, безпосередні керівники робіт і інші посадові особи
підприємств, фізичні особи, що займаються підприємницькою діяльністю з правом
наймання робочої сили, забезпечують виконання вимог даних Правил у межах
покладених на них завдань і функціональних обов'язків відповідно до чинного
законодавства.
4.1.7 Державний нагляд за дотриманням
вимог даних Правил здійснюють органи державного нагляду за охороною праці.
4.2
Скорочення, терміни, визначення, прийняті в тексті
Скорочення, терміни Визначення
ЕОМ, ПЕОМ Електронно-обчислювальна
чи машина персональний комп'ютер з необов'язковими додатковими приладами,
системними елементами (дисководи, пристрої для печатки, сканери, модеми, блоки
безупинного харчування й інші спеціальні периферійні пристрої)
Відеодисплейний термінал відеотермінал,
дисплей, монітор, візуальний-дисплейний термінал, ВДТ) Частина
ЕОМ, що містить пристрій для надання візуальної інформації 1
Користувач ЕОМ, користувач ПЭВМ,
користувач відео термінала. Працівник, що у процесі виконання дорученої роботи
чи постійно періодично використовує ЕОМ, чи відеотермінал
Вимоги до виробничих приміщень. Загальні
вимоги
4.2.1 Облаштованість робочих місць,
обладнаних відеотерміналами, повинне забезпечувати:
- належні умови висвітлення приміщення і
робітника місця, відсутність відблисків;
- оптимальні параметри мікроклімату
(температура, відносна вологість, швидкість руху, рівень іонізації повітря);
- належні эргономичные характеристики
основних елементів робочого місця;
а також враховувати такі небезпечні і шкідливі фактори:
- наявність
шуму і вібрації;
- м'яке
рентгенівське випромінювання;
- електромагнітне
випромінювання;
- ультрафіолетове
й інфрачервоне випромінювання;
- електростатичне
поле між екраном і оператором;
- наявність
пилу, озону, окислів азоту й аэроионизации.
4.2.2 Будинки і приміщення, у яких
експлуатується ЕОМ і виконуються їхнє обслуговування, налагодження і ремонт,
повинне відповідати вимогам:
"Снип 2.09.02-85 Виробничі
будинки",
"Снип 2.09.04-87 Адміністративні і
побутові будинки",
"Правил пристрою
електроустановок", затверджених Главгосэнергонадзором СРСР 1984 р. (ПВЕ),
"Правил технічної експлуатації електроустановок споживачів",
затверджених Главгосэнергонадзором СРСР 21.12.84 (ПТЕ), Правил безпечної
експлуатації електроустановок споживачів, затверджених наказом
Госнадзорохран-труда 09.01.98 N 4 ( 20093-98 ), зареєстрованих у Мін'юсту
України 10.02.98 N 93/2533 (ПБЕ), "Снип 2.01.02-85 Протипожежні
норми", ДСТ 12.1.004 "ССБТ. Пожежна безпека. Загальні вимоги
безпеки", Правил пожежної безпеки в Україні, затверджених наказом
Керуванням Державної пожежної охорони МВС України від 22.06.95 N 400
(20219-95), зареєстрованих у Міністерстві юстиції України 14.07.95 під
N219/755, "Снип 2.08.02-89 Суспільні будинки і спорудження" з
доповненнями, затвердженими наказом Госком-градостроения України від 29.12.94 N
106, "СН 512-78 Інструкція з проектуванню будинків і приміщень для
електронно-обчислювальних машин", затверджених Госстроем СРСР,Дсанпин
3.3.2.-007-98 "Державні санітарні правила і норми роботи з візуальними
дисплейними терміналами електронно-обчислювальних машин", затверджених МЗ
України 10.12.98, а також вимогам нормативно-технічної й експлуатаційної документації
заводу-виробника ЕОМ, що діють санітарних норм, санітарних норм і правил,
правил у сфері охорони праці і цих Правил.
4.2.3 Для всіх споруджень і приміщень, у
яких експлуатуються відеотермінали й ЕОМ, повинна бути визначена категорія по
взрывопожарной і пожежної безпеки відповідно до ОНТП 24-86 "Визначення
категорій приміщень і будинків по взрывопожарной і пожежної небезпеки",
затверджених МВС СРСР 27.02.86, і клас зони відповідно до ПВЕ. Відповідні
позначення повинні бути нанесені на вхідних двер приміщення.
4.2.4 Будинки і ті їхні частини, у яких
розташовується ЕОМ, повинні мати не нижче II ступеня вогнестійкості. Приміщення
для обслуговування, ремонту і налагодження ЕОМ повинні відноситися по
пожаро-взрывобезопасностью до категорії. Відповідно до ОНТП 24- 86, а по класі
приміщення - до П-Иа по ПВЕ. Якщо відповідно до Снип 2.09.02- 85 ці приміщення
повинні бути відділені від приміщень іншого призначення протипожежними стінами,
то границя їхньої вогнестійкості визначається у відповідності зі Снип
2.01.02-85.
4.2.5 Неприпустимим є розташування
приміщень категорій А и Б (ОНТП 24-86), а також виробництв із мокрими
технологічними процесами біля приміщень, де розташовується ЕОМ, виконується
їхнє обслуговування, налагодження і ремонт, а також над такими чи приміщеннями
під ними. Виробничі приміщення, у яких розташовані ЕОМ, не повинні граничити з
приміщеннями, де рівні шуму і вібрації перевищують норму (механічні цехи,
майстерні тощо).
4.2.6 Робочі місця з чи відеотерміналами
персональними ЕОМ у приміщеннях із джерелами шкідливих виробничих факторів
повинні розміщатися в ізольованих кабінах з обладнаним повітрообміном.
Санітарно-гігієнічні параметри на робочому місці повинні відповідати вимогам,
відзначеним у підрозділі 2.2.
Стіни кабін виготовляються з непальних
матеріалів. Дозволяється виготовляти їх зі скла і металевих конструкцій. У
кабіні повинне бути оглядове вікно (вікна). Висота оглядового вікна повинна
бути не менше 1,5 м, а відстань від підлоги не більше 0,8 м.
4.2.7 Відповідно до Дсанпин 3.3.2-007-98
"Державні санітарні правила і норми роботи з візуальними дисплейними
терміналами електронно-обчислювальних машин", затверджених МЗ України
10.12.98, є неприпустимим розташування приміщень для роботи з відеотерміналами
й ЕОМ у підвалах і цокольних поверхах.
4.2.8 Площа приміщень, у яких
розташовують відеотермінали, визначають відповідно до діючого нормативним
документам з розрахунку на одне робоче місце, обладнане відеотерміналом: площа
– не менше 6,0 кв. м, обсяг - не менше 20,0 куб.м, з урахуванням максимальної
кількості обличчя, що одночасно працюють у зміні.
4.2.9 Стіни, стеля, підлога приміщень,
де розміщена ЕОМ, повинні виготовлятися з матеріалів, дозволених для обробки
приміщень органами державного санітарно-епідеміологічного нагляду.
4.2.10 Обслуговування, ремонт і
налагодження ЕОМ, вузлів і блоків ЕОМ варто виконувати в окремому приміщенні
(майстерні).
При цьому робочі місця електромеханіків
повинні бути оснащені спеціальним устаткуванням і захисними засобами відповідно
до підрозділу 4.2 даних Правил.
4.2.11 У приміщеннях для обслуговування,
ремонту і налагодження ЕОМ варто передбачити можливість вологого очищення
поверхонь комунікацій і опалювальних приладів.
4.2.12 Підлога всієї зони
обслуговування, ремонту і налагодження ЕОМ, вузлів і блоків ЕОМ повинний бути
покритий діелектричними ковриками, термін використання яких після їхнього
іспиту на електричну міцність не закінчився, чи выложен ізолювальними
підстилками (шириною не менше ніж 0,75 - 0,8 м) для ніг.
4.2.13 Приміщення, у яких проводиться
пайка, крім того, повинні відповідати вимогам СП 952 - 72 "Санітарні
правила організації процесів пайки дрібних виробів сплавами, що містять
свинець", затверджених головним санітарним лікарем СРСР 20.03.72.
4.2.14 Приміщення комп'ютерних класів
(залів), у яких проводиться навчання на ЕОМ, крім відзначених у пункті 1.1.2,
повинні мати суміжне приміщення (лаборантську) площею не менше 18 кв. м із двома входами: у навчальне приміщення й у коридор (на сходову клітку).
4.2.15 Заземлені конструкції, що
знаходяться в приміщеннях (батареї опалення, водопровідні труби, кабелі з
заземленим відкритим екраном тощо), повинні бути надійно захищені
діелектричними чи щитками сітками від випадкового дотику.
4.2.16 В приміщеннях з ЕОМ варто щодня
проводити вологе збирання.
4.2.17 В приміщеннях з ЕОМ повинні бути
медичні аптечки першої допомоги.
4.2.18 Приміщення з ЕОМ, крім приміщень,
у яких розміщаються ЕОМ типу ЄС, СМ і інші великі ЕОМ загального призначення,
повинні бути оснащені системою автоматичної пожежної сигналізації відповідно до
вимог Переліку однотипних по призначенню об'єктів, що підлягають устаткуванню
автоматичними установками пожежегасіння і пожежної сигналізації, затвердженого
наказом Міністерства внутрішніх справ України від 20.11.97 N 779 ( 20567-97 ) і
зареєстрованого в Міністерстві юстиції України 28.11.97 під N 567/2371, і
"Снип 2.04.09-84 Пожежна автоматика будинків і споруджень" з димовими
пожежними сигналізаторами і переносними углекислотными вогнегасниками з
розрахунку 2 шт. на кожні 20 кв. м площі приміщення з обліком
предельнодопустимых концентрацій огнетушительной рідини відповідно до вимог
Правил пожежної безпеки в Україні ( 20219-95 ). В інших приміщеннях
допускається встановлювати теплові пожежні сигналізатори.
Приміщення, у яких розміщається ЕОМ типу
ЄС, СМ і інші великі ЕОМ загального призначення, обладнаються системою
автоматичної пожежної сигналізації і засобами пожежегасіння відповідно до вимог
Переліку однотипних по призначенню об'єктів, що підлягають устаткуванню
автоматичними установками пожежегасіння і пожежної сигналізації, Снип
2.04.09-84, СН 512-78, Правил пожежної безпеки в Україні і вимог
нормативно-технічної й експлуатаційної документації заводу-виробника.
4.2.19 Підходи до засобів пожежегасіння
повинні бути вільними.
4.2.20 Приміщення для відпочинку облич,
що працюють з ЕОМ, призначені для прийому їжі, психологічного розвантаження, і
інші побутові приміщення повинні обладнатися відповідно до вимог СНиП
2.09.04-87
Адміністративні і побутові будинки", з урахуванням максимальної кількості
працівників, що одночасно працюють у зміні.
4.2.21 Власник організує проведення
досліджень шкідливих і небезпечних факторів виробничого середовища і трудового
процесу на робочих місцях облич, що працюють з ЕОМ, відповідно до діючого законодавчими
й іншими нормативно-правовими актами і Порядку проведення атестації робочих
місць за умовами праці, затвердженого постановою Кабінету Міністрів України від
1.08.92 N 442 (442-92-п ).
4.3
Санітарно-гігієнічні вимоги
4.3.1 Умови праці обличчя, що працюють з
ЕОМ, повинні відповідати I чи II класу відповідно до Гігієнічної класифікації
праці по показниках шкідливості і небезпеки факторів виробничого середовища,
вазі і напруженості трудового процесу N 4137-86, затвердженої МЗ СРСР 12.08.86.
Вимоги до висвітлення
4.3.2 Приміщення з ЕОМ повинні мати
природне і штучне висвітлення відповідно до "Снип И-4-79 Природне і штучне
висвітлення".
4.3.3 Природне світло повинне проникати
через бічні светопрорези, зорієнтовані, як правило, на чи північ північний
схід, і забезпечувати коефіцієнт природної освітленості (КПО) не нижче 1,5 %.
Розрахунки КПО проводяться відповідно до Снип М-4-79.
4.3.4 При виробничій потребі
дозволяється експлуатувати ЕОМ у приміщеннях без природного висвітлення за
узгодженням з органами державного нагляду за охороною праці й органами й
установами
санітарно-епідеміологічної служби.
4.3.5 Вікна приміщень з відеотерміналами
повинні мати регулювальні пристрої для відкривання, а також жалюзі, штори,
зовнішні козирки тощо.
4.3.6 Штучне висвітлення приміщення з
робітниками місцями, обладнаними відеотерміналами ЕОМ загальні і персональні
користування, повинне бути обладнано системою загального рівномірного
висвітлення. У виробничих і адміністративно-суспільних приміщеннях, де
переважають роботи з документами, допускається вживати систему комбінованого
висвітлення (додатково до загального висвітлення установлюються світильники
місцевого висвітлення).
4.3.7 Загальне висвітлення повинне бути
виконане у виді суцільних чи переривчастих ліній світильників, що розміщаються
збоку від робочих місць (переважно ліворуч) паралельно лінії зору працівників.
Допускається застосовувати світильники таких класів світлорозподілу:
- світильники
прямого світла - П;
- переважно
прямого світла - Н;
- переважно
відбитого світла - В.
При розташуванні відеотерміналів ЕОМ по
периметрі приміщення лінії світильників штучного висвітлення повинні
розміщатися локально над робітниками місцями.
4.3.8 Для загального висвітлення
необхідно застосовувати світильники з розсіювачами і дзеркальними екранними чи
сітками відбивачами, укомплектовані високочастотними пускорегулировочными
апаратами (ВЧ ПРА). Допускається застосовувати світильники без ВЧ ПРА тільки
при використанні моделі з технічною назвою "Кососвет".
Застосування світильників без
розсіювачів і екранних сіток забороняється.
4.3.9 Як джерело світла при штучному
висвітленні повинні застосовуватися, як правило, люмінесцентні лампи типу
ЛБ. При устаткуванні відбивного висвітлення у виробничих і
адміністративно-
суспільних приміщеннях можуть застосовуватися металлогалогеновые лампи
потужністю до 250 Ут. Допускається у світильниках місцевого висвітлення
застосовувати лампи накалювання.
4.3.10 Яскравість світильників
загального висвітлення в зоні кутів випромінювання від 50 град, до 90 град,
щодо вертикалі в подовжній і поперечній площинах повинна складати не більше 200
кд/кв. м, а захисний кут світильників повинний бути не більше 40 град.
4.3.11 Коефіцієнт запасу (Кз) відповідно
до Снип И-4-79 для освітлювальної установки загального висвітлення варто
приймати рівним 1,4.
4.3.12 Коефіцієнт пульсації повинний не
перевищувати 5 % і забезпечуватися застосуванням газорозрядних ламп у
світильниках загального і місцевого висвітлення.
При відсутності світильників із ВЧ ПРА
лампи багатолампових чи світильників розташовані поруч світильники загального
висвітлення необхідно підключати до різних фаз трифазної мережі.
4.3.13 Рівень освітленості на робочому
столі в зоні розташування документів повинний бути в границях 300 - 500 лк. У
випадку неможливості забезпечити даний рівень освітленості системою загального
висвітлення допускається застосування світильників місцевого висвітлення, але
при цьому не повинно бути відблисків на поверхні екрана і збільшення
освітленості екрану більше чим до 300 лк.
4.3.14 Світильники місцевого висвітлення
повинні мати напівпрозорий відбивач світла з захисним кутом не менше 40 град.
4.3.15 Необхідно передбачити обмеження
прямого блиску від джерела природного і штучного висвітлення, при цьому яскравість
поверхонь, що світяться (вікна, джерела штучного світла) і знаходяться в поле
зору, повинна бути не більше 200 кд/кв. м.
4.3.16 Необхідно обмежувати відбитий
блиск шляхом правильного вибору типів світильників і розміщенням робочих місць
щодо джерел природного і штучного висвітлення. При цьому яскравість від
блисків на екрані відеотермінала не повинна перевищувати 40 кд/кв. м,
яскравість стелі при застосуванні системи відбивного висвітлення не повинна
перевищувати 200 кд/кв. м.
4.3.17 Необхідно обмежувати
нерівномірність розподілу яскравості в поле зору обличчя, що працюють з
відеотерміналом, при цьому відношення значень яскравості робочих поверхонь не
повинне перевищувати 3:1, а робі
4.3.18 Необхідно використовувати систему
вимикачів, що дозволяє регулювати інтенсивність штучного висвітлення залежно
від інтенсивності природного, а також дозволяє висвітлювати тільки потрібні для
роботи зони приміщення.
4.3.19 Для забезпечення нормованих
значень висвітлення в приміщеннях з відеотерміналами ЕОМ загального і
персонального користування необхідно очищати шибка і світильники не рідше чим 2
рази в рік, і вчасно проводити заміну ламп, що перегоріли.
Вимоги до рівнів шуму і вібрації
4.3.20 В приміщеннях з ЕОМ рівні
звукового тиску, рівні звуку й еквівалентні рівні звуку на робочих місцях
повинні відповідати вимогам ДСТ 12.1.003 ССБТ "Шум. Загальні вимоги
безпеки", СН 3223-85 "Санітарні норми припустимих рівнів шуму на
робочих місцях", затверджених Міністерством охорони здоров'я СРСР, ГР N
2411-81 "Гігієнічні рекомендації з установлення рівнів шуму на робочих
місцях з урахуванням напруженості і ваги праці", затверджених
Міністерством охорони здоров'я України.
Рівні шуму на робочих місцях облич, що
працюють з відеотерміналами й ЕОМ, визначені Дсанпин 3.3.2-007-98.
4.3.21 Для забезпечення нормованих
рівнів шуму у виробничих приміщеннях і на робочих місцях застосовуються
шумопогощающие засобу, вибір яких улаштовується спеціальними
інженерно-акустичними
розрахунками.
4.3.22 Як засобу шумопоглощения повинні
застосовуватися непальні чи тяжелогорючие спеціальні перфоровані плити, панелі,
мінеральна вата з максимальним коефіцієнтом звукопоглинання в межах частот 31,5
- 8000 Гц, чи інші матеріали аналогічного призначення, дозволені для обробки
приміщень органами державного санітарно-епідеміологічного нагляду. Крім того,
необхідно застосовувати підвісні стелі з аналогічними властивостями.
4.3.23. Рівні вібрації під час виконання
робіт з ЕОМ у виробничих приміщеннях не повинні перевищувати припустимих
значень, визначених у "СН 3044-84 Санітарні норми вібрації робочих
місць", затверджених Міністерством охорони здоров'я СРСР, і Дсанпин
3.3.2-007-98.
Вимоги до вентиляції, опаленню і
кондиціонуванню, мікроклімату
4.3.24 Приміщення з ЕОМ повинні бути
обладнані системами опалення, кондиціонування чи повітря приточно-вытяжной
вентиляцією відповідно до "Снип 2.04.05-91 Опалення, вентиляція і
кондиціонування".
4.3.25 Параметри мікроклімату, іонного
складу повітря, уміст шкідливих речовин на робочих місцях, оснащених
відеотерміналами, повинні відповідати вимогам пункту 2.4 СН 4088-86
"Санітарні норми мікроклімату виробничих приміщень", затверджених
Міністерством охорони здоров'я СРСР, ДСТ 12.1.005-88 "ССБТ Загальні
санітарно-гігієнічні вимоги до повітря робочої зони" (пункт 1.4, таблиця
2.1), СН 2152-80 "Санітарно-гігієнічні норми припустимих рівнів іонізації
повітря виробничих і суспільних приміщень", затверджених Міністерством
охорони здоров'я СРСР (таблиця 2.2).
ВИСНОВКИ
В
результаті виконання дипломної роботи були отримані нелінійні формули для
прогнозування значень таких фінансових коефіцієнтів як:
-
коефіцієнт зміни валового прибутку.
-
коефіцієнт зміни прибутку до виплати
відсотків і податків.
-
коефіцієнт зміни аналізу операційних
витрат.
-
коефіцієнт зміни керуванням активами.
-
коефіцієнт зміни оборотності постійних
активів.
-
коефіцієнт зміни оборотності запасів.
-
коефіцієнт зміни ліквідності.
-
коефіцієнт зміни фінансового левериджу.
-
коефіцієнт зміни довгострокової
заборгованості.
-
коефіцієнт зміни середнього періоду
погашення дебіторської заборгованості.
Вони
мають високі прогнозні властивості, що і підтверджено актом використання.
ЛІТЕРАТУРА
1.
Беренс В., Хавранек П.М. Руководство по
подготовке промышленных технико-экономических исследований (новое
переработанное и дополненное издание). Пер. с англ. и научная редакция
Института промышленного развития - М.: АО „Интерэксперт", 1995. –450 c.
2.
Бланк И.А. Инвестиционный менеджмент:
Учебный курс. – К.: Эльга-Н, Ника-Центр. – 2001.– 448 с.
3.
Гитман Л.Дж., Джонк М.Д. Основы
инвестирования: Пер. с англ. – М.: Дело. 1999. – 1008 с4.
4.
Дегтяренко В.Н. Оценка эффективности
инвестиционных проектов. – М.:Экспертное бюро. – 1997. – 144 с.
5.
Едронов В.Н., Мизиковский Е.А.. Учет и
анализ финансовых активов. - М.: Финансы и статистика, 1995. - 272 с
6.
Игошкин Н.В. Инвестиции. Организация
управления и финансирование: Учебник для вузов. – М.:Финансы, ЮНИТИ. – 1999. –
413 с.
7.
Идрисов А.Б., Карташев С.В., Постников
А.В. Стратегическое планирование и анализ эффективности инвестиций. – М.:
Информационно-издательский дом «Филинъ». – 1997 – 272 с.
8.
Как расчитать эффективность
инвестиционного проекта. Расчет с комментариями. – М.: Институт промышленного
развития (Информэлектро). – 1996. – 148 с.
9.
Пістунов І.М., Пістунов М.І. Побудова
оптимального балансу на підставі фінансових коефіцієнтів // Економіка:
проблеми теорії та практики. – Вип.. 185, том.ІІІ.– ДНУ: 2003. – С.123-130.
10.
Пістунов І.М., Пістунов М.І.моделювання
періодичних процесів в економіц і// Економіка: проблеми теорії та практики. –
Вип.. 181, .– ДНУ: 2002. – С.13-18.
11.
Проектний аналіз: Навчальний посібник/
С.О.Москвін, С.М.Бевз, В.А.Верба та ін. – К.: “Видавництво ЛІБРА”. – 1998. –
368 с.
12.
Теорія ймовірностей та математична
статистика для економістів: Посібник для самостійної роботи / Укладач
І.М.Пістунов. – Днапропетроськ: НГАУ. – 2001. – 65 с.
13.
Управление инвестициями. В 2-х т. Т.1-2/
В.В.Шеремет, В.М.Павлюченко, В.Д.Шапиро и др. – М.: Высшая школа. – 1998. –
1084 с.
14.
Управління ризиками Посібник для
самостійної роботи / Укладач І.М.Пістунов. – Днапропетроськ: НГАУ. – 2001. – 76
с.
15.
Фабоцци Ф. Управление инвестициями: Пер.
с англ. – М.: ИНФРА-М. – 2000. – 932 с.
16.
Шапиро В.Д. и др. Управление проектами —
СПб.; “Два, ТрИ”, 1996. - 610 с.
17.
Ющенко В.А., Міщенко В.І. Управління
валютними ризиками: Навчальний посібник. – К.: Товариство “Знання”, КОО. –
1998. – 444 с.