Расчет коэффициента эластичности и показателей корреляции и детерминации

  • Вид работы:
    Контрольная работа
  • Предмет:
    Экономика отраслей
  • Язык:
    Русский
    ,
    Формат файла:
    MS Word
    813,29 kb
  • Опубликовано:
    2010-03-28
Вы можете узнать стоимость помощи в написании студенческой работы.
Помощь в написании работы, которую точно примут!

Расчет коэффициента эластичности и показателей корреляции и детерминации

МИНИСТЕРСТВО СЕЛЬСКОГО ХОЗЯЙСТВА РОССИЙСКОЙ ФЕДЕРАЦИИ

Ульяновская государственная сельскохозяйственная академия

Кафедра «Статистика и анализ хозяйственной деятельности»









Контрольная работа

по Эконометрики

Выполнил: студент 2 курса

заочного отделения «Экономического факультета»

по специальности «Финансы и кредит»

с сокращенным сроком обучения

Антонов Леонид Владимирович




Ульяновск, 2009

Задача 1

По территориям Волго-Вятского, Центрально–Черноземного и Поволжского районов известны данные о потребительских расходах в расчете на душу населения, о средней заработной плате и выплатах социального характера (табл. 1).


Таблица 1

Район

Потребительские расходы в расчете на душу населения, руб., y

Средняя заработная плата и выплаты социального характера, руб., x

1

408

524

2

249

371

3

253

453

4

580

1006

5

651

997

6

322

486

7

899

1989

8

330

595

9

446

1550

10

642

937

Задание:

1. Постройте поле корреляции и сформулируйте гипотезу о форме связи.

2. Рассчитайте параметры уравнений линейной парной регрессии.

3. Оцените тесноту связи с помощью показателей корреляции и детерминации.

4. Дайте с помощью среднего (общего) коэффициента эластичности сравнительную оценку силы связи факторов с результатом.

5. Оцените с помощью средней ошибки аппроксимации качество уравнений.

6. Оцените с помощью F- критерия Фишера статистическую надежность результатов регрессионного моделирования. По значениям характеристик, рассчитанных в пп.4,5 и данном пункте, выберите лучшее уравнение регрессии и дайте его обоснование.

7. Рассчитайте прогнозное значение результата, если прогнозное значение фактора увеличится на 7 % от его среднего уровня. Определите доверительный интервал прогноза для уровня значимости, а = 0,05.

8. Оцените полученные результаты, выводы оформите в аналитической записке.

Решение:

1. Постройте поле корреляции и сформулируйте гипотезу о форме связи.

2. Рассчитайте параметры уравнений линейной парной регрессии.

y

x

yx

x2

y2

ŷx

y-ŷx

Ai

1

408

524

213792

274576

166464

356,96

51,04

12,5

2

249

371

92379

137641

62001

306,47

-57,47

23,1

3

253

453

114609

205209

64009

333,53

-80,53

31,8

4

580

1006

583480

1012036

336400

516,02

63,98

11,0

5

651

997

649047

994009

423801

513,05

137,95

21,2

6

322

486

156492

236196

103684

344,42

-22,42

7,0

7

899

1989

1788111

3956121

808201

840,41

58,59

6,5

8

330

595

196350

354025

108900

380,39

-50,39

15,3

9

446

1550

691300

2402500

198916

695,54

-249,54

56,0

10

642

937

601554

877969

412164

493,25

148,75

23,2

итого

4780

8908

5087114

10450282

2684540

4780,04

-0,04

207,5

среднее значение

478

890,8

508711,4

1045028,20

268454

x

x

20,7

σ

199,92

501,50

x

x

x

x

x

x

σ2

39970,00

251503,56

x

x

x

x

x

x


;

.

Получено уравнение регрессии: .

С увеличением средняя заработная плата и выплаты социального характера на 1 руб., то потребительские расходы в расчете на душу населения возрастает в среднем на 0,33 руб.

3. Оцените тесноту связи с помощью показателей корреляции и детерминации.

Тесноту связи оценивают с помощью показателей корреляции и детерминации:

.

Коэффициент детерминации

Это означает, что 69% вариации потребительские расходы в расчете на душу населения объясняется вариацией факторов средняя заработная плата и выплаты социального характера.

4. Дайте с помощью среднего (общего) коэффициента эластичности сравнительную оценку силы связи факторов с результатом.

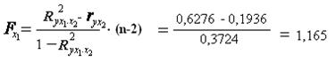
Коэффициент эластичности показывает, на сколько процентов измениться в среднем результат, если фактор изменится на 1%. Формула для расчета коэффициента эластичности имеет вид:

.

Таким образом, изменение средней заработной платы и выплат социального характера на 1 % приведет к увеличению потребительских расходов в расчете на душу населения на 0,615 %.

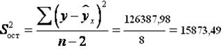
5. Оцените с помощью средней ошибки аппроксимации качество уравнений.

Качество уравнений оцените с помощью средней ошибки аппроксимации:


*   = 20,7%

Качество построенной модели оценивается как плохое, так как превышает 8 – 10 %.

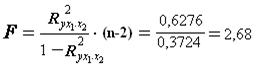
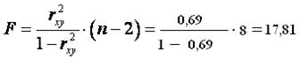
6. Оцените с помощью F- критерия Фишера статистическую надежность результатов регрессионного моделирования. По значениям характеристик, рассчитанных в пп.4,5 и данном пункте, выберите лучшее уравнение регрессии и дайте его обоснование.

Оценим качество уравнения регрессии в целом с помощью -критерия Фишера. Сосчитаем фактическое значение - критерия:

.

Табличное значение (k1=1, k2=8 ) Fтабл.=5,32. Так как , то признается статистическая значимость уравнения в целом.

Для оценки статистической значимости коэффициентов регрессии и корреляции рассчитаем - критерий Стьюдента и доверительные интервалы каждого из показателей. Рассчитаем случайные ошибки параметров линейной регрессии и коэффициента корреляции

 :

,

,

.

Фактические значения - статистик:

 

 

.

Табличное значение - критерия Стьюдента при  и tтабл.=2,306. Так как , ta < tтабл. и .

Рассчитаем доверительные интервалы для параметров регрессии  и :  и . Получим, что и .

7. Рассчитайте прогнозное значение результата, если прогнозное значение фактора увеличится на 7 % от его среднего уровня. Определите доверительный интервал прогноза для уровня значимости, а = 0,05.

Найдем прогнозное значение результативного фактора  при значении признака-фактора, составляющем 107% от среднего уровня , т.е. найдем потребительские расходы в расчете на душу населения, если средняя заработная плата и выплаты социального характера составят 953,15 тыс. руб.

 (тыс. руб.)

Значит, если средняя заработная плата и выплаты социального характера составят 953,15 тыс. руб., то потребительские расходы в расчете на душу населения будут 498,58 тыс. руб.

Найдем доверительный интервал прогноза. Ошибка прогноза

,

а доверительный интервал ():

.

Т.е. прогноз является статистически не точным.

8. Оцените полученные результаты, выводы оформите в аналитической записке.

Из полученных результатов я вижу, что с увеличением средняя заработная плата и выплаты социального характера на 1 руб., то потребительские расходы в расчете на душу населения возрастает в среднем на 0,33 руб. При оценки тесноты связи с помощью показателя детерминации я выявил, что 69% вариации потребительские расходы в расчете на душу населения объясняется вариацией факторов средняя заработная плата и выплаты социального характера. С помощью коэффициент эластичности я определил, что изменение средней заработной платы и выплат социального характера на 1 % приведет к увеличению потребительских расходов в расчете на душу населения на 0,615 %. С увеличится на 7 % заработной платы и выплаты социального характера, потребительские расходы в расчете на душу населения будут равны 498,58 тыс. руб., но этот прогноз является статистически не точным.

Задача 8

По группе 10 заводов, производящих однородную продукцию, получено уравнение регрессии себестоимости единицы продукции у (тыс. руб.) от уровня технической оснащенности х (тыс. руб.):

у = 20 + . Доля остаточной дисперсии в общей составила 0,19

Задание:

Определите:

а) коэффициент эластичности, предполагая, что стоимость активных производственных фондов составляет 200 тыс. руб.

б) индекс корреляции;

в) F- критерий Фишера. Сделайте выводы.

Решение:

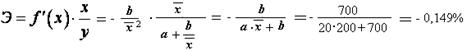
а) коэффициент эластичности, предполагая, что стоимость активных производственных фондов составляет 200 тыс. руб.

х = 200 тыс. руб.


.


Таким образом, изменение технической оснащенности на 1% приведет к снижению себестоимости единицы продукции на 0,149 %.

б) индекс корреляции:


Уравнение регрессии:

*   = 23,5/10 = 2,35


Это означает, что 99,6 % вариации себестоимости единицы продукции объясняется вариацией уровня технической оснащенности на долю прочих факторов приходится лишь 0,40%.

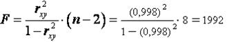
в) F- критерий Фишера. Сделайте выводы.


Fтабл. = 4,46

Fтабл. < Fфакт; Этот результат можно объяснить сравнительно невысокой теснотой выявленной зависимости и небольшим числом наблюдений.

Задача 13

По заводам, выпускающим продукцию А, изучается зависимость потребления электроэнергии У (тыс. кВт. Ч) от производства продукции - Х1 (тыс.ед.) и уровня механизации труда – Х2 (%). Данные приведены в табл.4.2.

Задание

1. Постройте уравнение множественной регрессии в стандартизованном и натуральном масштабах.

2. Определите показатели частной и множественной корреляции.

3.Найдите частные коэффициенты эластичности и сравните их с Бэтта коэффициентами.

4. Рассчитайте общие и частные F – критерии Фишера.

Признак

Среднее значение

Среднее квадратическое отклонение

Парный коэффициент корреляции

Y

1050

28

ryx1

0.78

X1

425

44

ryx2

0.44

X2

42.0

19

rx1x2

0.39

Решение:

1. Постройте уравнение множественной регрессии в стандартизованном и натуральном масштабах.

Линейное уравнение множественной регрессии у от х1 и х2 имеет вид:

.

Для расчета его параметров применим метод стандартизации переменных, построим искомое уравнение в стандартизованном масштабе:

Расчет - коэффициентов выполним по формулам:


Т.е. уравнение будет выглядеть следующим образом:

.

Для построения уравнения в естественной форме рассчитаем b1 и b2, используя формулы для перехода от к b.

 


Значение a определим из соотношения:

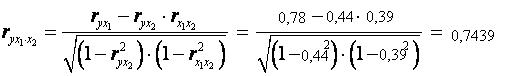
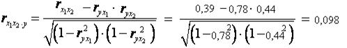
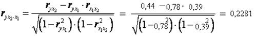
2. Определите показатели частной и множественной корреляции.

Линейные коэффициенты частной корреляции здесь рассчитываются по рекуррентной формуле:

Если сравнить значения коэффициентов парной и частной корреляции, то приходим к выводу, что из-за слабой межфакторной связи (rx1x2=0,39) коэффициенты парной и частной корреляции отличаются значительно.

Растет линейного коэффициента множественной корреляции выполним с использованием коэффициентов и :

Зависимость у от х1 и х2 характеризуется как тесная, в которой 63 % вариации потребления электроэнергии определяется вариацией учетных в модели факторов: производства продукции и уровня механизации труда. Прочие факторы, не включенные в модель, составляют соответственно 37 % от общей вариации y.

3.Найдите частные коэффициенты эластичности и сравните их с Бэтта коэффициентами.

Для характеристики относительной силы влияния х1 и х2 на y рассчитаем средние коэффициенты эластичности:


С увеличением производства продукции на 1 % от его среднего потребления электроэнергии возрастает на 0,29 % от своего среднего уровня; при повышении среднего уровня механизации труда на 1 % среднее потребления электроэнергии увеличивается на 0,006% от своего среднего уровня. Очевидно, что сила влияния производства продукции на среднее потребление электроэнергии оказалась больше, чем сила влияния среднего уровня механизации труда.

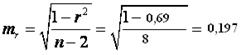
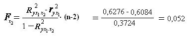
4. Рассчитайте общие и частные F – критерии Фишера.

Общий F-критерий проверяет гипотезу H0 о статистической значимости уравнения регрессии и показателя тесноты связи (R2 = 0):


Fтабл. = 9,55

Сравнивая Fтабл. и Fфакт., приходим к выводу о необходимости не отклонять гипотезу H0 и признается статистическая незначимость, ненадежность уравнения регрессии.

Частные F-критерий – Fх1. и Fх2 оценивают статистическую значимость присутствия факторов х1 и х2 в уравнении множественной регрессии, оценивают целесообразность включения в уравнение одного фактора после другого фактора, т.е. Fх1 оценивает целесообразность включения в уравнение фактора х1 после того, как в него был включен фактор х2. Соответственно Fх2 указывает на целесообразность включения в модель фактора х2 после фактора х1.


Низкое значение Fх2 (меньше 1) свидетельствует о статистической незначимости прироста r2yx1 за счет включения в модель фактора х2 после фактора х1. следовательно, подтверждается нулевая гипотеза H0 о нецелесообразности включения в модель фактора х2.

 

Задача 21


Модель денежного и товарного рынков:

Rt = a1 + b12Yt + b14Mt + e1, (функция денежного рынка);

Yt = a2 + b21Rt + b23It + b25Gt + e2 ( функция товарного рынка);

It = a3 + b31Rt + e3 (функция инвестиций),

где R - процентные ставки;

Y - реальный ВВП;

M - денежная масса;

I - внутренние инвестиции;

G - реальные государственные расходы.

Решение:

 

 

 Rt = a1 + b12Yt + b14Mt + e1,

 Yt = a2 + b21Rt + b23It + b25Gt + e2

 It = a3 + b31Rt + e3

 Сt = Yt + It + Gt

Модель представляет собой систему одновременных уравнений. Проверим каждое ее уравнение на идентификацию.

Модель включает четыре эндогенные переменные (Rt, Yt, It, Сt) и две предопределенные переменные ( и ).

Проверим необходимое условие идентификации для каждого из уравнений модели.

Первое уравнение:

Rt = a1 + b12Yt + b14Mt + e1.

Это уравнение содержит две эндогенные переменные  и  и одну предопределенную переменную . Таким образом,

,

т.е. выполняется условие . Уравнение сверхидентифицируемо.


Yt = a2 + b21Rt + b23It + b25Gt + e2.

Оно включает три эндогенные переменные Yt, It и Rt и одну предопределенную переменную Gt. Выполняется условие

.

Уравнение идентифицируемо.

Третье уравнение:

It = a3 + b31Rt + e3.

Оно включает две эндогенные переменные It и Rt. Выполняется условие

.

Уравнение идентифицируемо.

Четвертое уравнение:

Сt = Yt + It + Gt.

Оно представляет собой тождество, параметры которого известны. Необходимости в идентификации нет.

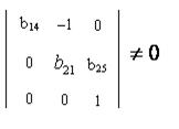
Проверим для каждого уравнения достаточное условие идентификации. Для этого составим матрицу коэффициентов при переменных модели.


Rt

I уравнение

0

0

–1

b12

b14

0

II уравнение

0

b23

–1

0

b25

III уравнение

0

–1

b31

0

0

0

Тождество

–1

1

0

1

0

1


В соответствии с достаточным условием идентификации ранг матрицы коэффициентов при переменных, не входящих в исследуемое уравнение, должен быть равен числу эндогенных переменных модели без одного.

Первое уравнение. Матрица коэффициентов при переменных, не входящих в уравнение, имеет вид


Rt

II уравнение

b23

–1

b25

III уравнение

–1

b31

0

0

Тождество

1

0

1

1


Ранг данной матрицы равен трем, так как определитель квадратной подматрицы не равен нулю:

.

Достаточное условие идентификации для данного уравнения выполняется.

Второе уравнение. Матрица коэффициентов при переменных, не входящих в уравнение, имеет вид


Rt

I уравнение

0

0

–1

b12

b14

0

III уравнение

0

-1

b31

0

0

0

Тождество

–1

1

0

1

0

1


Ранг данной матрицы равен трем, так как определитель квадратной подматрицы не равен нулю:

.

Достаточное условие идентификации для данного уравнения выполняется.

Третье уравнение. Матрица коэффициентов при переменных, не входящих в уравнение, имеет вид


Rt

I уравнение

0

0

–1

b12

b14

0

II уравнение

0

b23

–1

0

b25

Тождество

-1

1

0

1

0

1


Ранг данной матрицы равен трем, так как определитель квадратной подматрицы  не равен нулю:


Достаточное условие идентификации для данного уравнения выполняется.

Таким образом, все уравнения модели сверхидентифицируемы. Приведенная форма модели в общем виде будет выглядеть следующим образом:

Rt = a1 + b11Yt + b13Mt + b15Gt + b16Gt + u1

Yt = a2 + b21Rt + b23It + b25Gt + b26Gt + u 2

It = a3 + b31Rt + b33It + b35Gt + b36Gt + u 3

Сt = a4 + b41Rt + b43It + b45Gt + b46Gt + u 4

Задача 26

Имеются данные об урожайности культур в хозяйствах области:

Варианты

Показатели

Год

 

1

2

3

4

5

6

7

8

4

Урожайность картофеля, ц/га

63

64

69

81

84

96

106

109

 

Задание:

1. Обоснуйте выбор типа уравнения тренда.

2. Рассчитайте параметры уравнения тренда.

3.Дайте прогноз урожайности культур на следующий год.

Решение:

1. Обоснуйте выбор типа уравнения тренда.


Построение аналитической функции для моделирования тенденции (тренда) временного ряда называют аналитическим выравнивание временного ряда. Для этого применяют следующие функции:

Ø   линейная

Ø   гипербола

Ø   экспонента

Ø   степенная функция

Ø   парабола второго и более высоких порядков

Параметры трендов определяются обычными МНК, в качестве независимой переменной выступает время t=1,2,…,n, а в качестве зависимой переменной – фактические уровни временного ряда yt. Критерием отбора наилучшей формы тренда является наибольшее значение скорректированного коэффициента детерминации .







Сравним значения R2 по разным уровням трендов:

Полиномиальный 6-й степени - R2 = 0,994

Экспоненциальный - R2 = 0,975

Линейный - R2 = 0,970

Степенной - R2 = 0,864

Логарифмический - R2 = 0,829

Исходный данные лучше всего описывает полином 6-й степени. Следовательно, для расчета прогнозных значений следует использовать полиномиальное уравнение.

2. Рассчитайте параметры уравнения тренда.

y = - 0,012*531441 + 0,292*59049 – 2,573*6561 +10,34*729 – 17,17*81 + 9,936*9 + 62,25 =

= - 6377,292 + 17242,308 – 16881,453 + 7537,86 - 1390,77 + 89,424 + 62,25 = 282,327

3.Дайте прогноз урожайности культур на следующий год.

Урожайность картофеля, ц/га в 9-ом году приблизительно будет 282 ц/га.

Похожие работы на - Расчет коэффициента эластичности и показателей корреляции и детерминации

 

Не нашли материал для своей работы?
Поможем написать уникальную работу
Без плагиата!
Без нейросетей!