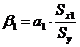
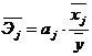
Эконометрическое моделирование: расчет коэффициентов корреляции и регрессии, анализ одномерного временного ряда

  • Вид работы:
    Контрольная работа
  • Предмет:
    Экономика отраслей
  • Язык:
    Русский
    ,
    Формат файла:
    MS Word
    299,19 kb
  • Опубликовано:
    2011-01-24
Вы можете узнать стоимость помощи в написании студенческой работы.
Помощь в написании работы, которую точно примут!

Эконометрическое моделирование: расчет коэффициентов корреляции и регрессии, анализ одномерного временного ряда

МИНИСТЕРСТВО ОБРАЗОВАНИЯ И НАУКИ РФ

ФЕДЕРАЛЬНОЕ АГЕНТСТВО ПО ОБРАЗОВАНИЮ ГОУ ВПО

ВСЕРОССИЙСКИЙ ЗАОЧНЫЙ ФИНАНСОВО-ЭКОНОМИЧЕСКИЙ ИНСТИТУТ

КАФЕДРА СТАТИСТИКИ

 





КОНТРОЛЬНАЯ РАБОТА

ПО ЭКОНОМЕТРИКЕ

 














Москва

2008


Задача №1. Эконометрическое моделирование стоимости квартир в московской области

Таблица 1 - Исходные данные для эконометрического моделирования стоимости квартир

Y

X1

X2

X3

Цена квартиры

Город области

Число комнат в квартире

Общая площадь квартиры

115

0

4

70,4

85

1

3

82,8

69

1

2

64,5

57

1

2

55,1

184,6

0

3

83,9

56

1

1

32,2

85

0

3

65

265

0

4

169,5

60,65

1

2

74

130

0

4

87

46

1

1

44

115

0

3

60

70,96

0

2

65,7

39,5

1

1

42

78,9

0

1

49,3

60

1

2

64,5

100

1

4

93,8

51

1

2

64

157

0

4

98

123,5

1

4

107,5

55,2

0

1

48

95,5

1

3

80

57,6

0

2

63,9

64,5

1

2

58,1

92

1

4

83

100

1

3

73,4

81

0

2

45,5

65

1

1

32

110

0

3

65,2

42,1

1

1

40,3

135

0

2

72

39,6

1

1

36

57

1

2

61,6

80

0

1

35,5

61

1

2

58,1

69,6

1

3

83

250

1

4

152

64,5

1

2

64,5

125

0

2

54

152,3

0

3

89


Принятые в таблице обозначения:

Y – цена квартиры – это зависимая переменная (тыс. долл.).

В качестве независимых, объясняющих переменных выбраны

Х1 – город области: 1 – Подольск, 0 – Люберцы;

Х2 – число комнат в квартире;

Х3 – общая площадь квартиры, кв. м.

1)   Расчет матрицы парных коэффициентов корреляции; оценка статистической значимости коэффициентов корреляции.

Для вычисления матрицы парных коэффициентов корреляции используем инструмент Корреляция (Анализ данных в Excel)

Таблица 2 – Матрица парных коэффициентов корреляции

 

Цена квартиры

Город области

Число комнат в квартире

Общая площадь квартиры

Цена квартиры

1




Город области

-0,403

1



Число комнат в квартире

0,688

-0,155

1


Общая площадь квартиры

0,846

-0,082

0,806

1


Анализ матрицы парных коэффициентов корреляции показывает, что зависимая переменная (цена квартиры) имеет тесную связь с общей площадью квартиры (ryx3=0,846) и с числом комнат в квартире.

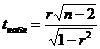
Оценку статистической значимости коэффициентов корреляции выполняем с использованием t-критерия Стьюдента. Фактическое значение этого критерия определяем по формуле (1):

 (1)

Критическое значение t-статистики Стьюдента при уровне значимости 0,05 и числе степеней свободы 38: tрасч≈ 2,0244

Таблица 3

tнабл

Y-X1

2,717131



Y-X2

5,847482

0,967211


Y-X3

9,762849

0,509262

8,393933


Из таблицы (3) видно что для всех коэффициентов матрицы tнабл > tрасч, следовательно все коэффициенты корреляции статистически значимы. Между параметрами Y и X3 наиболее тесная статистическая взаимосвязь.

2)   Построение поля корреляции результативного признака и наиболее тесно связанного с ним фактора.

Поле корреляции имеет вид, приведенный на рис.1. Вытянутость облака точек на диаграмме рассеяния вдоль наклонной прямой позволяет сделать предположение, что существует некоторая объективная тенденция прямой линейной связи между значениями переменных Х3 и Y.


3)   Расчет параметров линейной парной регрессии для каждого фактора Х.

Для расчета коэффициентов регрессии используем инструмент регрессия (Анализ данных в Excel)

 

Коэффициенты

Y-пересечение

117,504

X1

-41,484


 

Коэффициенты

Y-пересечение

13,212

X2

33,516


 

Коэффициенты

Y-пересечение

-13,109

X3

1,543


Модели линейной регрессии будут иметь вид:

для Х1 - Y = 117,504 – 41,484 X1

для Х2 - Y = 13,212 + 33,516 X2

для Х3 - Y = -13,109 + 1,543 X3

4)   Оценка качества каждой модели через коэффициент детерминации, средней ошибки аппроксимации и F-критерия Фишера. Выбор лучшей модели.

Модель Х1: R2 = 0,163; = 18,259%; F = 7,383.

Коэффициент детерминации равен 0,163, он показывает, что около 16,3% вариаций зависимой переменной учтено в модели и обусловлено влиянием включенных факторов, т.е. цена квартиры только на 16,3% зависит от города.

Критерий Фишера равен 7,383. Табличное значение (при k1=5, k2=40-5-1=34 и а=0,05) равно 2,48. Отсюда F>Fтабл. Это означает, что уравнение регрессии с вероятностью 0,95 , следует признать адекватным.

Средняя ошибка аппроксимации = 18,259%, т.е расчетные значения  отличаются от фактических значений на 18,26 %.

Модель Х2: R2 = 0,474; = 9,053%; F = 9,217.

Коэффициент детерминации равен 0,474. Т.е. цена квартиры на 47,4% зависит от числа комнат в квартире.

Критерий Фишера равен 9,217. Табличное значение (при k1=5, k2=40-5-1=34 и а=0,05) равно 2,48. Отсюда F>Fтабл. Это означает, что уравнение регрессии с вероятностью 0.95 95 следует признать адекватным.

Средняя ошибка аппроксимации = 9,053, т.е расчетные значения  отличаются от фактических значений на 9,05%.

Модель Х3: R2 = 0,715; = 7,452%; F = 95,313.

Коэффициент детерминации равен 0,715. Т.е. цена квартиры на 71,5% зависит от общей площади квартиры.

Критерий Фишера равен 95,313. Табличное значение (при k1=5, 2=40-5-1=34 и а=0,05) равно 2,48. Отсюда F>Fтабл. Это означает, что уравнение регрессии с вероятностью 0,95 следует признать адекватным.

Средняя ошибка аппроксимации = 7,452%, т.е расчетные значения  отличаются от фактических значений на 7,45 %. 7,45% - хороший уровень точности модели.

Исходя из полученных данных, делаем вывод, что наилучшая модель модель Х3: Y = -13,109 + 1,543 X3

5)   Прогнозирование среднего значения показателя  при уровне значимости , если прогнозное значения фактора  составит 80% от его максимального значения.

Прогнозирование осуществим для модели Х3

Х3max= 169,5

Xпрогноз =  = 135,6

из уравнение регрессии находим Yпрогноз:

Yпрогноз = -13,109 + Xпрогноз= =196,122

Изобразим графически полученные величины (Рис.3.):

6)   Построение модели формирования цены квартиры за счёт значимых факторов. Экономическая интерпретация коэффициентов модели регрессии.

В таблице (4) в первом столбце указан номер модели, во втором независимые переменные, в третьем столбце содержатся коэффициенты уравнения, а в четвертом t-статистика.

 
Таблица 4

Модель

Независимые переменные

Коэффициенты

t-статистика

1 (tтабл=2,012894)

Y

11,69225872

1,077832949

 

X1

-35,17686233

-4,884306518

 

X2

-3,283285149

-0,571843303

 

X3

1,590356124

7,45908944

2 (tтабл=1,96495)

Y

10,25481

0,980733972

 

X1

-34,558

-4,898238752

 

X3

1,492126

11,9234164


Уравнение регрессии зависимости цены квартиры от города области и общей площади квартиры, полученное на последнем шаге, можно записать в следующем виде

y = 10,255 - 34,558Х1 + 1,492Х3

Коэффициенты уравнения регрессии показывают, что в Подольске цена квартиры меньше, чем в Люберцах на 34,558 тыс. долл., а при увеличении общей площади на один квадратный метр цена квартиры увеличится на 1,492 тыс. долл.

7)Оценка качества построенной модели. Оценка влияния значимых факторов на результат с помощью коэффициентов эластичности,  - и  - коэффициентов

Сравним индекс корреляции R и коэффициент детерминации R2 полученной модели с однофакторной моделью.

Таблица 5


Коэффициент корреляции R

Коэффициент детерминации R2

однофакторная модель

0,846

0,715

двухфакторная модель

0,909

0,827


Из таблицы (5) видно, что качество новой модели лучше предыдущей однофакторной, т.к. коэффициенты ближе к единице.

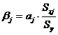
Теперь оценим влияние значимых факторов на результат с помощью коэффициентов эластичности, - коэффициентов с помощью формул:

,  и ,

где

1)  = = -0,212

 =

Отсюда видно, что при изменении Х1 на 1% значение Y уменьшится на 21,2%. А при изменении Х3 на 1% значение Y увеличится на 110,3%.

2) Найдем коэффициенты β для параметра Х1 и Х3. Сначала вычислим среднеквадратические отклонения:

=

=

=

Тогда:

=

=

Анализ полученных данных показывает, что при увеличении Х1 на 0,5006 цена квартиры уменьшится на 0,336*51,492 = 17,301 тыс. долл. А при увеличении общей площади на 28,225 м2 Цена квартиры увеличится на 0,817*51,492 = 42,07 тыс. долл.

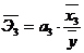
3) Вычислим коэффициенты Δ для параметров Х1 и Х3:

= -0,403 * (-0,336) / 0,827 = 0,164

= 0,846 * 0,817 / 0,827 = 0,836

Из полученных данных мы видим, что доля влияния фактора город (Х1) в суммарном влиянии всех факторов составляет 0,164 или 16,4%, тогда как доля влияния фактора общая площадь – 0,836 или 83,6%.

Задача №2. Исследование динамики экономического показателя на основе анализа одномерного временного ряда

Таблица 6– Исходные данные

t

1

2

3

4

5

6

7

8

9

yt

20

27

30

45

51

51

55

61


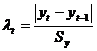
1.   Выявление аномальных наблюдений

Построим график временного ряда

Для выявления аномальных наблюдений воспользуемся методом Ирвина. Для всех наблюдений вычисляем величину  по формуле:

,

Где ,

Результаты расчетов по методу Ирвина приведены в таблице (6)

Таблица 6

t

1

2

3

4

5

6

7

8

9

yt

20

27

30

41

45

51

51

55

61

-

0,502

0,215

0,789

0,287

0,431

0

0,287

0,431


По результатам расчетов аномальных наблюдений нет, т.к. расчетные величины  не превышают табличных значений.

2.   Построение линейной модели

Таблица 7 - Промежуточные расчеты параметров линейной модели

t

( )()

1

20

-4

16

-22,333

89,332

22,333

-2,333

2

27

-3

9

-15,333

45,999

27,333

-0,333

3

30

-2

4

-12,333

24,666

32,333

-2,333

4

41

-1

1

-1,333

1,333

37,333

3,666

5

45

0

0

2,667

0

42,333

2,666

6

51

1

1

8,667

8,667

47,333

3,666

7

51

2

4

8,667

17,334

52,333

-1,333

8

55

3

9

12,667

38,001

57,333

-2,333

9

61

4

16

18,667

74,668

62,333

-1,333

42,333


60


300


0


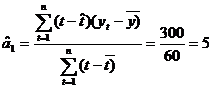
Рассчитываем параметры модели:

,


В результате расчетов получаем, что кривая роста зависимости спроса на кредитные ресурсы финансовой компании от времени имеет вид:

Y(t)=17,333+5t

3.   Оценка адекватности построенной модели

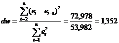
Проверку независимости осуществляем с помощью dw-критерия Дарбина-Уотсона по формуле:

Для вычисления коэффициента Дарбина-Уотсона построим вспомогательную таблицу (8):

Таблица 8

t

Точки поворота

1

-2,333


5,443


2

-0,333

*

0,111

4

3

-2,333

*

5,443

4

4

3,666

*

13,440

35,988

5

2,666

*

7,108

1

6

3,666

*

13,440

1

7

-1,333


1,777

24,99

8

-2,333

*

5,443

1

9

-1,333


1,777

1

0

6

53,982

72,978


Так как dw попало в интервал от d2 до 2, то по данному критерию можно сделать вывод о выполнении свойства независимости. Это означает, что в ряде динамики не имеется автокорреляции, следовательно, модель по этому критерию адекватна.

Поверку случайности проводим на основе критерия поворотных точек по формуле, количество поворотных точек р при n=9 равно 6:

р>


Неравенство выполняется (6>2). Следовательно, свойство случайности выполняется. Модель по этому критерию адекватна.

Соответствие ряда остатков нормальному закону распределения определяем с помощью RS-критерия:

RS=(emax-emin)/S



Расчетное значение RS=2,86 в интервал (2,7 – 3,7) попадает. Следовательно, по данному критерию модель адекватна.

Вывод: модель статистически адекватна.

4) Оценка точности модели

Оценку точности модели проводим на основе использования средней относительной ошибки аппроксимации. Получаем

=5,75%

Вывод: Еотн=5,75% - хороший уровень точности модели.

5) Прогноз спроса на следующие две недели.

Для вычисления точечного прогноза в построенную модель подставляем соответствующие значения фактора t=n+k:


Для построения интервального прогноза рассчитываем доверительный интервал. При уровне значимости 0,3, доверительная вероятность равна 70%, а критерий Стьюдента равен 1,119:


U(1)=3.841,

U(2)=4.065,

Далее вычисляем верхнюю и нижнюю границы прогноза.

Таблица 9

n+k

U(k)

Прогноз

Верхняя граница

Нижняя граница

10

U(1)=3,841

67,333

71,174

63,492

11

U(2)=4,065

72,333

76,398

68,268


6) Графическое представление фактических значений показателя, результатов моделирования и прогнозирования.

Похожие работы на - Эконометрическое моделирование: расчет коэффициентов корреляции и регрессии, анализ одномерного временного ряда

 

Не нашли материал для своей работы?
Поможем написать уникальную работу
Без плагиата!
Без нейросетей!