Статистическая база регионального анализа

  • Вид работы:
    Контрольная работа
  • Предмет:
    Экономика отраслей
  • Язык:
    Русский
    ,
    Формат файла:
    MS Word
    44,82 kb
  • Опубликовано:
    2010-09-25
Вы можете узнать стоимость помощи в написании студенческой работы.
Помощь в написании работы, которую точно примут!

Статистическая база регионального анализа

Оглавление

Введение

1. Статистическая база регионального анализа

2. Общие сведения о регионе

3. Социальное развитие региона

Заключение

Список использованной литературы

Приложение № 1


Введение


Есть области знаний и жизненный опыт, о которых может рассуждать любой из нас. Кроме политики к таким сферам относятся медицина и, конечно, экономика. И это не случайно, ведь экономика - наука эмпирическая, непосредственно связанная с практикой. Каждый человек повседневно сталкивается с экономическими явлениями и процессами. Все мы - активные участники повседневной экономической жизни, но далеко не все имеют полное представление о том, чем является экономика в действительности. Как наука экономика - это область знаний, изучающая экономического человека, его действия и интересы. Она призвана определять, как максимально эффективно использовать ограниченные ресурсы - природные запасы, капиталы, трудовые резервы. Подобно всем другим отраслям знаний экономика включает набор аксиом и доказательств, пригодных для анализа в любых конкретных условиях. Экономика как наука не может быть национальной, так же как не может существовать американской физики или немецкой математики. Цены товаров повсюду определяются соотношением спроса и предложения. С ростом дохода происходят уменьшение потребляемой его части и возрастание - накопляемой. Социально-экономические преобразования, происходящие в современной России, заставляют критически подойти к постулатам и стереотипам, лежащим в основе экономической теории, и заново осмыслить законы общественного воспроизводства, отражающие связи и зависимости между различными элементами экономической системы.

Переход к рыночным отношениям, изменение схем поступления ресурсов, необходимых для экономического развития, поставили перед регионами проблему самоопределения в общей системе воспроизводственных отношений. Однако выделить место региональной системы, ее финансовую основу развития, источники поступления средств и механизм их привлечения можно лишь при условии, если региональная экономика будет рассматриваться как целостная система, совокупность различных видов воспроизводственных циклов.

Необходимость управления экономическим развитием в регионе обусловлена в первую очередь общими недостатками функционирования рыночной экономики, ее нацеленностью на получение экономического эффекта и игнорированием проблем социальной справедливости. Общие недостатки функционирования рыночной экономики связаны с так называемыми "провалами" рынка, его неспособностью учитывать социальные запросы населения. Вместе с тем необходимость управления экономическим развитием в регионе связана также со спецификой экономической системы в той или иной стране, наличием особенностей в развитии и размещении производства, ее природно-климатических и этнографических особенностей.

Эффективность государственного управления экономическим развитием в регионе предполагает исследование проблем взаимосвязи региональной экономики и региональной политики. При этом речь идет как о теоретическом осмыслении вопросов регионального развития в историческом аспекте, так и о четком определении объекта управления - регионального хозяйственного комплекса, включая место региональной экономики в воспроизводственном процессе страны, характеристику межрегиональных связей страны, а также особенности экономики отдельных регионов страны.

Целью контрольной работы является - провести статистический анализ региона.

Задачи контрольной работы:

Дать характеристику анализа региона;

Дать характеристику региона;

Дать характеристику индексу человеческого развития;

Дать характеристику социального развития региона;

Выяснить причины неравенства доходов населения и безработицы.

1. Статистическая база регионального анализа


На первый взгляд организационная структура государственной статистики в Российской Федерации полностью отвечает интересам анализа региональной экономики. Первичные статистические данные, получаемые от предприятий, организаций, населения, обобщаются в статистических комитетах субъектов Федерации, а затем окончательно сводятся в Государственном комитете по статистике России.

Однако поскольку в прежней централизованной экономике регион не являлся в полной мере экономической подсистемой (экономическим субъектом) национальной экономики, это отражалось на содержании и структуре региональной статистики. Деятельность региональных подразделений государственной статистики в большей степени ориентировалась на передачу отдельных блоков данных в центр и на информационное обслуживание хозяйства местного подчинения. В гораздо меньшей степени региональная статистика была настроена на системное описание экономики региона и на представление национальной экономики как системы взаимодействующих региональных экономик. В частности, на региональном уровне официально не рассчитывались главные макроэкономические показатели и не строились синтетические экономические балансы.

А. Индикаторы состояния и развития экономики региона. Анализ различных аспектов функционирования и развития экономики региона проводится с целью выявления объективных тенденций и постановки на этой основе объективного диагноза. На этой базе должна строиться стратегия и тактика регионального развития.

Построение системы региональных счетов (СРС) - главное направление совершенствования региональной статистики.

Для регионов необходимо строить тот же набор счетов, который входит в настоящее время в систему национального счетоводства (СПС), а именно:

счет товаров и услуг;

счет производства;

счет образования доходов;

счет распределения первичных доходов;

счет вторичного распределения доходов;

счет используемого располагаемого дохода;

счет операций с капиталом.

Разработка важнейших региональных социально-экономических показателей (индикаторов) и на их основе СРС связана с рядом проблем, к числу которых относятся:

распределение между регионами затрат и результатов видов деятельности, присущих только национальной экономике в целом (оборона, центральное управление, денежная эмиссия и т.п.) или же не имеющих четкой территориальной привязки (услуги внешней торговли, банков и т.п.);

разделение экономических субъектов, действующих на территории региона, на резидентов и нерезидентов и соответственно их деятельности на резидентскую и нерезидентскую[1];

учет вывоза и ввоза товаров и услуг, а также миграции денег. Статистика межрегионального обмена значительно уступает статистике внешней торговле, не смотря на то, что степень открытости экономики региона гораздо выше, чем открытость национальной экономики.

На методологической и информационной базе СНС строятся сводные балансы, характеризующие взаимосвязи между элементами экономики региона, такие, как: материальные балансы, балансы основного капитала, трудовых и природных ресурсов, финансовый баланс и наиболее общие балансы - межотраслевой баланс производства и распределения продукции, межотраслевой материально-финансовый баланс.

2. Общие сведения о регионе


Здесь указывается географическое положение региона (удаленность от сырьевых баз и районов - потребителей продукции), дается общая характеристика природных ресурсов, тип природно-климатической зоны. Характеризуется административное деление региона, указываются общая численность, национальный состав и плотность населения, ВРП региона, место ведущих отраслей в экономике региона, объем промышленной и сельскохозяйственной продукции, прибыль по всем видам хозяйственной деятельности, численность безработных, сбережения и капиталообразующие инвестиции, объем розничного товарооборота.

На основании вышеуказанных данных делается вывод о значимости рассматриваемого региона среди субъектов Федерации.

В комплекс макроэкономических индикаторов для региональных экономических систем входят показатели, характеризующие производство и использование ВРП, изменение уровня цен (инфляции), динамику изменения занятости и уровень инвестиционной активности (ставка банковского кредита) и другие стороны финансовой и хозяйственной деятельности регионов.

К таким показателям по отдельным сферам могли бы быть отнесены следующие:

В сфере производства:

объем ВРП;

ВРП надушу населения;

темпы роста ВРП:

соотношение темпов роста потребления и инвестиций в основной капитал;

рост экспортного потенциала региона;

индекс физического объема промышленной продукции (в сопоставимых ценах);

степень износа основных производственных фондов;

удельный вес убыточных предприятий.

В финансовой сфере:

ставка по кредитам банков;

темп роста инвестиций в основной капитал;

индекс соотношения ВРП и налоговых поступлений в региональный бюджет;

уровень цен (соотношение цен текущего и базового периодов);

бюджетная обеспеченность региона;

состояние кредиторской и дебиторской задолженностей региона, в том числе по налогам.

В социальной сфере:

уровень прожиточного минимума;

доля оплаты труда в ВРП;

соотношение среднемесячной заработной платы и прожиточного минимума.

задолженность по выплате заработной платы, пенсий и пособий;

доля населения с доходами ниже прожиточного минимума в общей численности населения;

уровень финансирования социальных программ из регионального бюджета;

естественная убыль и миграция населения;

удельный вес официально зарегистрированных безработных и число безработных на одно место;

динамика общей численности населения региона, активного и занятого населения;

индекс человеческого развития.

Систематизацию показателей регионального хозяйственного комплекса по отдельным блокам можно представить следующим образом:

 1. Социальные показатели развития региона

2. Показатели производственного потенциала региона


4. Показатели связи с другими регионами страны



 5. Финансовые показатели развития экономики региона


Рассмотрим важнейшие макроэкономические показатели регионального воспроизводственного процесса и их использование в анализе развития региональной экономики.

Показатели уровня социального развития региона.

Для анализа экономики крупных регионов страны (субъектов Федерации) используются те же макроэкономические показатели, что и для анализа национальной экономики. К ним относятся: ВВП и его основные компоненты (в том числе конечное потребление), доходы населения (с учетом их покупательной способности), национальное богатство, сосредоточенное на территории региона (в том числе потребительское имущество), и т.д.

Для обобщающей оценки уровня развития и качества жизни людей программой развития ООН (ПРООН) рекомендуется показатель "индекс человеческого развития".

Индекс человеческого развития (ИЧР) дает самую общую интегральную характеристику уровня благосостояния населения страны и регионов.

Он включает в себя:

доход, измеряемый ВВП на душу населения с учетом различной покупательной способности в различных регионах;

продолжительность жизни, измеряемая ожидаемой продолжительностью жизни при рождении;

знания или уровень образования, измеряемые числом грамотных и длительностью школьного образования, числом лиц с высшим специальным образованием.

Этот показатель целесообразно связать с уровнями устойчивого благосостояния, дохода, потребления, ресурсопользования, сохранения капитала. Причем важны динамика этих показателей и знание того, когда они близки к пределу социально-экономической устойчивости.

Дополнительными и конкретизирующими являются различные макроэкономические показатели их устойчивости (нестабильности). Международный банк реконструкции и развития предлагает 26 показателей, характеризующих макроэкономическое состояние экономики страны. Международный валютный фонд использует для этих целей 10 ключевых макроэкономических показателей.

В Структуре собственности региона следует указать долю валовой добавленной стоимости, произведенной на приватизированных предприятиях, по отраслям хозяйства: а) промышленность, б) строительство, в) торговля, г) общественное питание, д) бытовое обслуживание, е) другие отрасли.

При рассмотрении структуры собственности следует учитывать, что проведенная приватизация государственных предприятий отвечает целям экономической реформы в той степени, в какой она создает более действенные механизмы контроля и ответственности за результаты работы предприятий со стороны новых собственников, так как трудовые коллективы заинтересованы в "проедании" капитала, поскольку их доля дохода, получаемая через заработную плату, во много раз превышает долю, получаемую через дивиденды.

Производственный потенциал регионального хозяйственного комплекса можно характеризовать набором показателей, отражающих состояние и динамику трудового, природного и собственно производственного потенциала.

Трудовой потенциал региона отражает его численность, половозрастной состав и профессиональный уровень подготовки.

Динамика населения и демографические процессы самым тесным образом взаимосвязаны со всеми сторонами общественной жизни: экономическими, социальными, культурно-бытовыми, экологическими, межнациональными отношениями.

При рассмотрении этих процессов большое внимание следует обратить на особенности национального менталитета населения, проживающего в регионе, так как без учета данного фактора невозможно прогнозировать и регулировать финансовую и производственную деятельность.

При анализе динамики численности и национального состава населения региона необходимо указать общую численность и национальный состав, темпы изменения численности и национального состава населения региона за последнее пятилетие и прогноз на будущее, раскрыть динамику естественного прироста населения региона и сделать прогноз на будущее.

Следует дать характеристику динамику уровня образования занятого населения региона, процент населения, занятого умственным (физическим) трудом, отразить уровень безработицы. Кроме того, целесообразно отразить нравственное и духовное развитие: уровень преступности, самоубийств, психических расстройств и других социальных аномалий.

Для характеристики оплаты труда необходимо отразить долю оплаты труда в совокупных денежных доходах по категориям населения, доходов от собственности, долю в денежных доходах, величину реальных располагаемых денежных доходов.

В целях характеристики степени различий в уровнях доходов населения региона необходимо исчислить уровень дифференциации доходов населения (кривая Лоренца), коэффициент концентрации доходов (индекс Джини).

Необходимо отразить намеченную на будущее государственную региональную политику в области труда и занятости.

Проведение анализа ситуации в области труда важно довести до выявления возникающих проблем и практических мер администрации региона по снижению безработицы.

Природный потенциал региона характеризуется наличием природных богатств.

Задача состоит в том, чтобы выявить уровень самообеспеченности основными видами природных ресурсов:

наличие запасов полезных ископаемых (в т. ч. энергоносителей);

объем добычи и структура добываемого минерального сырья.

На этой основе следует выработать концептуальные подходы к развитию сырьевой базы полезных ископаемых.

Решение задач экологического регулирования социально -

экономического развития региона требует количественной оценки воздействия производственно-хозяйственной деятельности на природную среду. Основой такой оценки могут служить удельные показатели, характеризующие соотношение экономических результатов производственно-хозяйственной деятельности и размеров связанного с ней вмешательства в природную среду, т.е. экологичность производства.

Важнейшими факторами экологичности производства являются:

технический уровень производства;

отраслевая структура промышленности и сельского хозяйства, количество и структура потребляемого топлива;

ассортимент производимой продукции.

При характеристике регионального воспроизводства большое значение имеет производственный потенциал региона. По своему экономическому назначению производственный потенциал призван решать такие задачи регионального развития, как:

обеспечение нужд производственного потребления;

возмещение изношенных в процессе производства основных производственных фондов;

расширенное воспроизводство основных и оборотных фондов и создание необходимых запасов орудий и предметов труда, а также потребительских товаров;

формирование фондов потребления.

Показатели состояния и развития экономики региона.

Анализ различных аспектов экономики региона проводится с целью выявления объективных тенденций развития, постановки диагноза, на основе которого может строиться стратегия и тактика регионального развития.

В центре внимания макроэкономических показателей развития региона

оказываются такие показатели функционирования экономики, как ВВП, уровень безработицы, уровень цен и темп инфляции, состояние государственного бюджета и платежного баланса страны, доля ВВП, производимого на государственных предприятиях, норма сбережений, учетная ставка банковского кредита.

К показателям, отражающим социальный статус экономики, относят в первую очередь показатель численности населения и объем трудовых ресурсов с учетом численности занятых в хозяйстве страны (занятые в сфере общественного и личного труда и образования) и численности безработных.

На региональном уровне численность безработных является важнейшим показателем уровня социально-экономической защищенности населения. Дополнительным индикатором выступает напряженность на региональном рынке труда, характеризуемая показателем числа безработных на одно вакантное место, превышающим средний уровень.

Существуют достаточно жесткие взаимосвязи между отдельными показателями. Так, наблюдения показывают, что снижение на 1% инфляции вызывает рост безработицы выше естественного уровня на 1%. В свою очередь, каждый процент снижения занятости приводит к потере 2,5% ВВП. Не случайно именно безработица и инфляция считаются основными объектами государственного регулирования при нарастании нестабильности.

Отраслевая структура производства в регионе дается в разрезе важнейших взаимосвязанных комплексов, производств:

Топливно-энергетический комплекс

Машиностроительный и оборонный комплексы. Комплекс конструкционных материалов

Агропромышленный комплекс.

Комплекс по производству предметов потребления (помимо продовольствия)

Легкая промышленность

Транспорт и дорожное хозяйство региона; связь.

Строительный комплекс.

Торговля.

3. Социальное развитие региона


Суть социальной политики государства заключается в поддержании отношений между социальными группами, обеспечении условий для повышения благосостояния, уровня жизни членов общества. При этом следует отметить, что социальная политика государства, выступающая как составная часть мероприятий, проводимых государством в целях регулирования условий общественного производства в целом, тесно увязана с общеэкономической ситуацией в стране.

Политика, проводимая государством в целях сглаживания социального неравенства, может осуществляться как из бюджетных, так и из внебюджетных средств. Государство устанавливает размер минимальной заработной платы, взимает налоги и осуществляет трансфертные выплаты нуждающемуся населению. Таким образом, одной из важных задач, стоящих перед правительством для проведения эффективной социальной политики, является определение прожиточного минимума населения и соответственно черты бедности. Существуют трудности получения достоверной информации о реальных доходах населения.

К причинам неравенства доходов ранее были отнесены безработица и инфляция. Поэтому межрегиональные различия в регулировании занятости и в регулировании цен предопределяют неодинаковый уровень экономического неравенства и бедности по территориям Российской Федерации.

Существуют причины неравенства доходов, не связанные с экономической политикой государства, - пол и возраст, образование и квалификация. Следовательно, различия в половозрастной структуре, в образовательном и квалификационном составе населения тоже предопределяют региональные различия в дифференциации доходов.

Различия регионов по степени дифференциации доходов обусловлены как проводимой региональной экономической и социальной политикой, так и причинами, не зависящими от вмешательства органов власти, а именно имеющимися в распоряжении региона ресурсами и существующими в регионе климатическими и географическими условиями.

Важными становятся рассмотрение основных направлений смягчения неравенства доходов населения, исследование бедности в современной России, ее особенностей и социально-экономических последствий, а также механизмов государственного регулирования доходов населения и их дифференциации.

Основными механизмами государственного перераспределения доходов являются налоговая политика, система трансфертных платежей (социальных трансфертов). Трансфертные платежи являются материальной поддержкой малообеспеченных слоев населения государством на безвозмездной основе. Для смягчения влияния рыночной экономики на дифференциацию доходов населения, рост бедности формируется эффективная система социальной защиты населения.

Повышение уровня жизни трудоспособного населения предполагает обеспечение эффективной занятости, совершенствование механизма регулирования заработной платы.

В настоящее время при практически полном отсутствии ограничений со стороны государства предприятия имеют полную свободу на установление заработной платы. Организация оплаты труда, существовавшая до реформы, и регулирование заработной платы, установленное на сегодняшний день, с экономической точки зрения неприемлемы, так как в обоих случаях не принимается во внимание цена рабочей силы, складывающаяся в зависимости от спроса и предложения на рынке труда.

К проблеме дифференциации доходов населения очень тесно примыкает такая социально-экономическая проблема, как проблема бедности. Бедность может порождаться причинами, не имеющими никакого отношения к дифференциации доходов населения, и являться следствием чрезвычайной ситуации, например, войны, природных катаклизмов. Углубление и обострение бедности в России - это и результат (хотя не только) неприемлемой дифференциации доходов.

В России в соответствии с действующим законодательством в качестве границы бедности используется прожиточный минимум[2] дифференцированный по регионам и представляющий собой уровень дохода, обеспечивающий приобретение научно обоснованного минимального набора материальных благ и услуг для поддержания жизнедеятельности человека. Для того чтобы отнести семью или отдельного человека к категории бедных, прожиточный минимум сопоставляют с доходами данной семьи или лица.

Исследование регионального аспекта бедности в России показывает, что наиболее значительные группы беднейшего населения сконцентрированы в регионах с низким уровнем экономического развития и слабыми возможностями обеспечения за счет собственных ресурсов приемлемого уровня развития социальной сферы. В таких регионах, как правило, пониженный по сравнению с другими территориями удельный вес занятого населения.

Для оценки региональной асимметрии наиболее часто используется сравнение максимального и минимального значений показателя, зафиксированного для регионов, - размах региональной асимметрии (W) будет рассчитан по следующей формуле:

W= max Pr / m i n Pr,

где Pr - значение показателя в r-м регионе, при r = 1, 2, 3,... R

R - число регионов.

В 1996 г. максимальное значение (0,867) было в Москве, а минимальное (0,520) в Республике Тыва. В 2001 г. самый высокий показатель ИРЧП по Москве 0,866 был прежним, а минимальный показатель страны в Республике Тыва вырос до 0,579.

Среднее квадратическое отклонение, как и среднее линейное отклонение, показывает, насколько в среднем отклоняются конкретные варианты признака от его среднего значения. Показатели рассеивания и вариации дают наиболее общую оценку региональной асимметрии. Эта оценка может быть использована как при сопоставлении региональной дифференциации по одному показателю в динамике, так и при сравнении степени этой дифференциации по различным показателям в одном временном периоде. Рассеивание и вариация регионов формируют качественно близкие оценки региональной дифференциации. Значения показателей дифференциации, рассчитанные на один период, малоинформативны, более интересна динамика показателей асимметрии.

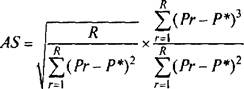
Коэффициент региональной асимметрии (AS) - не зависящая от масштаба, выбранного при измерении варианта, безразмерная характеристика (нормированный момент третьего порядка), рассчитывается по формуле:


Благодаря безразмерности этого показателя коэффициент региональной асимметрии наиболее точно оценивает изменение дифференциации в динамике.

Расчеты дифференциации регионов России приведены в приложении № 1. Для оценки этого показателя используется ВРП: он представляет собой вновь созданную стоимость товаров и услуг, произведенных на территории региона, и определяется как разница между выпуском продукции и промежуточным потреблением. Показатель ВРП является по своему экономическому содержанию весьма близким показателю ВВП. Однако между показателями ВВП (на федеральном уровне) и ВРП (на региональном уровне) есть существенная разница. Сумма ВРП по России неравнозначна ВВП, поскольку не включает добавленную стоимость по нерыночным коллективным услугам (оборона, государственное управление и т.д.), оказываемым государственными учреждениями обществу в целом.

Ввиду особой важности в настоящее время проблемы экологии мониторинг устойчивого развития должен включать в объект своего наблюдения состояние окружающей среды и прогноз их изменения под воздействием природных и антропогенных факторов.

Цель создания такой системы - оперативное отслеживание уровней достижения целевых показателей - индикаторов устойчивого развития (социальная, экономическая и экологическая сферы) и своевременная разработка предложений по принятию необходимых управленческих решений в случае недовыполнения отдельных заданий.

Система индикаторов включает общесистемные индикаторы и индикаторы, отражающие закономерности и процессы устойчивого развития социальной, экономической и экологической сфер, которые являются основными звеньями системы "человек - окружающая среда - экономика". Общесистемные индикаторы характеризуют процессы устойчивого развития всех сфер в целом, в их взаимосвязи и взаимообусловленности. Они количественно измеримы и сопоставимы в динамике, обеспечивают возможность сравнения аналогичных процессов с другими странами и, кроме того, дополняются и конкретизируются индикаторами, характеризующими развитие основных компонентов системы устойчивого развития.

Расчет индекса экологического состояния производится аналогично другим составляющим ИРЧП по формуле:

фактическое значение Х - минимальное значение Х

Х -

максимальное значение Х - минимальное значение Х

Уровень антропогенной нагрузки характеризует воздействие хозяйственной деятельности человека на экосистему и рассчитывается как частное от деления объемов потребления всех видов топливно-энергетических ресурсов (в т. у. т) на 1 кв.км территории.

Для целей мониторинга и обеспечения согласованности система индикаторов строится по иерархическому принципу с выделением следующих характеристик:

пороговое значение, ниже которого нельзя опускаться, так как в противном случае произойдут необратимые изменения и ноосфера может быть подвергнута разрушению;

фактическое значение индикатора;

ранг (вес) индикатора, характеризующий степень его влияния на интегральный показатель (обычно коэффициент, устанавливаемый экспертным путем, или коэффициент взаимосвязи (эластичности) исследуемого и интегрального индикатора).

К участию в реализации мероприятий по устойчивому развитию и контролю за их выполнением должны привлекаться широкие слои общественности, неправительственные организации, население.

Для характеристики внешнеэкономических связей региона составляются балансы ввоза-вывоза основных видов сырья, товаров и услуг. На этой основе определяется внешнеторговый оборот с другими регионами РФ, со странами СНГ и с другими странами мира. Для отражения роли отраслей региона в национальной экономике применяются коэффициенты локализации производства. Помимо этого используются специфические показатели, отражающие местоположение региона в экономическом пространстве страны. Для этих целей используются показатели открытости экономики региона.

Открытость экономики региона характеризуется как отношение объема товарообмена (межрегионального и внешнеэкономического) к произведенному ВРП. Степень общей открытости экономики обычно характеризуется отношением объема товарообмена (межрегионального и внешнеэкономического) к произведенному ВРП.

Основным методом исследования финансовых связей региона является разработка баланса кругооборота финансовых ресурсов в виде сводного финансового баланса региона. Наличие такого баланса позволяет осуществить контроль за движением всех финансов в регионе и одновременно разрабатывать действенные мероприятия по стимулированию их рационального использования.

Сводный финансовый баланс региона должен охватывать все секторы финансового рынка, включая внебюджетные фонды, валютные ресурсы, сбережения населения, ресурсы кредитной системы - коммерческих банков, страховых компаний, инвестиционных фондов. Сводный финансовый баланс региона должен стать инструментом глубокого анализа финансового потенциала, который позволит выявить имеющиеся резервы, более активно мобилизовать инвестиции и использовать их с максимальной эффективностью на приоритетных направлениях.

Заключение


Делая вывод, опираясь на данный материал, можно сформулировать ряд основных задач региональной экономики:

Межрегиональный обмен и производственно техническое взаимодействие;

Построение экономики региона на политэкономическом осмыслении макроэкономических процессов при развитии рыночных отношений;

Изучение региональных факторов и условий формирования рынка;

Демографическое исследование для прогнозирования развития и функционирования потребительского рынка;

Распределение населения и территории региона, обоснование схемы рыночного “тяготения” населения, разработка единой комплексной схемы размещения как оптовых, так и розничных предприятий;

Развитие воспроизводственных процессов осуществляющихся в регионе: воспроизводство регионального продукта, капитала, природных ресурсов, движение материальных и финансовых потоков между основными агентами экономики региона: предприятиями домашними хозяйствами государствами учреждениями;

Соблюдение внутренней хозяйственной целостности региона, для потенциальной способности рынка развития за свой счет;

Обеспечение развития производительных сил территории, на основе не возникновения значительных внутрихозяйственных диспропорций и сохранения способности самостоятельно осуществлять динамическое развитие собственной экономики, всесторонне используя имеющиеся ресурсы (природные, трудовые, финансовые)

Развитие и структурирование хозяйственного комплекса региона (производственная, непроизводственная сферы);

Сохранение экономического потенциала регионов и его основных составляющих: природно-ресурсный потенциал; население и трудовые ресурсы, производственный потенциал;

Развитие комплекса обслуживающих отраслей, создание производственной, социальной, и рыночной инфраструктур;

Использовать новые тенденции в развитии межрегиональных и международных экономических связей, создание совместных предприятий, развитие свободных экономических зон.

Список использованной литературы


1. Борисов Е.Ф. "Основы экономики", М., 2005 г.

2. Под ред. Видяпина В.И., Степанова М.В. "Региональная экономика",

М., 2007 г.

3. Герасимов Б.И., Иода Ю.В. "Введение в экономику: основы экономического анализа", Тамбов, 2004 г.

4. Липсиц И.В. "Экономика", М., 2006 г.

5. Остапенко Ю.М. "Экономика труда" М., 2007г.

6. Фетисов Г.Г., Орешин В.П. "Региональная экономика и управление", М. 2006 г.

7. Шевчук Д.А." История экономики" М. 2009 г.

8. Федеральный закон от 24 октября 1997 г. № 134 - ФЗ.

Приложение № 1


Расчеты дифференциации регионов России

 

Индекс дохода

Индекс здоровья

Индекс образования

ИРЧП

1996 г.

 

 

 

 

Максимум

0,775

0,973

0,939

0,867

Минимум

0,507

0,174

0,827

0,520

1,529

5,592

1,135

1,667

Среднее квадратическое отклонение

0,678

0,639

0,885

0,734

Коэффициент ассиметрии

1,001

0,167

0,591

0, 193

2001 г.

 

 

 

 

Максимум

0,955

0,827

0,998

0,855

Минимум

0,455

0,342

0,792

0,579

Размах ассиметрии

2,099

2,418

1,260

1,477

Среднее квадратическое отклонение

0,664

0,665

0,882

0,737

Коэффициент ассиметрии

1,048

2,740

0,624

1,498




[1] В принципе в СРС определенного региона должна отражаться деятельность только резидентов.

[2] О прожиточном минимуме в РФ. Федеральный закон от 24 октября 1997 г. № 134 – ФЗ.


Не нашли материал для своей работы?
Поможем написать уникальную работу
Без плагиата!
Без нейросетей!