Оценка стоимости предприятия на примере ОАО "Уральская горно-металлургическая компания"

  • Вид работы:
    Курсовая работа (т)
  • Предмет:
    Экономика отраслей
  • Язык:
    Русский
    ,
    Формат файла:
    MS Word
    49,11 kb
  • Опубликовано:
    2010-06-05
Вы можете узнать стоимость помощи в написании студенческой работы.
Помощь в написании работы, которую точно примут!

Оценка стоимости предприятия на примере ОАО "Уральская горно-металлургическая компания"

Министерство общего и профессионального образования РФ

Санкт-Петербургский государственный политехнический университет

Факультет экономики и менеджмента

Кафедра «Финансы и денежное обращение»









КУРСОВОЙ ПРОЕКТ

По дисциплине: «Оценка эффективности бизнеса»

Тема: Оценка стоимости предприятия на примере ОАО «Уральская горно-металлургическая компания»



Проект выполнил:

студент группы 4076/4

Каликин А.Р.

Проект приняла:

д.э.н.. Яковлева Е.А.

Санкт- Петербург

2010г.

1. Краткие сведения о компании

«Уральская горно-металлургическая компания» (УГМК, англ. UMMC) - российская металлургическая компания, второй по величине производитель меди в России. Полное наименование - Открытое акционерное общество «Уральская горно-металлургическая компания». Штаб-квартира - в городе Верхняя Пышма Свердловской области.

Холдинг создан в октябре 1998 года вокруг ОАО Уралэлектромедь, согласно законодательству Российской Федерации в связи с реорганизацией, направленной на создание холдинга, включающего в себя ряд металлургических и добывающих компаний, находящихся в собственности двух акционеров – физических лиц (далее по тексту - "Контролирующие акционеры"). ОАО "Уральская горно-металлургическая компания" и его дочерние предприятия далее совместно именуются "Группа". Ниже приводится краткое описание основных дочерних предприятий Группы:

Таблица 1.1 - Основные дочерние предприятия ОАО «Уральская горно-металлургическая компания»

Дочернее предприятие

Страна регистрации

Основная деятельность

Дата приобретения контроля/ дата регистрации (*)

Доля голосующих акций в собственности Группы на 31 декабря





2007

2008

2009

Добывающий комплекс







Кузбассразрезуголь

Россия

Добыча угля

30.10.1998 г.

100,0%

100,0%

100,0%

Сырьевой комплекс







Гайский ГОК

Россия

Добыча и поставка угля

21.01.1999 г.

95,4%

93,5%

93,5%

Богословское рудоуправление

Россия

Добыча и поставка угля

21.01.1999 г.

74,5%

74,4%

74,4%

Урупский ГОК

Россия

Добыча и поставка угля

28.12.1999 г.

82,9%

Учалинский ГОК

Россия

Добыча и поставка угля

27.12.2001 г.

94,2%

93,8%

93,7%

Башкирская медь

Россия

Добыча и поставка угля

27.12.2001 г.

84,1%

79,9%

79,9%

Бурибаевский ГОК

Россия

Добыча и поставка угля

24.05.2002 г.

93,3%

93,3%

93,3%

Сибирь-Полиметаллы

Россия

Добыча и поставка угля

14.06.2002 г.

91,4%

90,4%

90,4%

Башкирский медно-серный комбинат

Россия

Добыча и поставка угля

28.08.2002 г.

86,6%

86,6%

86,6%

Металлургический комплекс







Среднеуральский медеплавильный завод

Россия

Металлургия (переработка медных руд)

16.10.2003 г.

85,6%

85,6%

85,6%

Святогор

Россия

Металлургия (переработка медных руд)

20.06.2003 г.

86,6%

86,6%

86,6%

Медногорский медно-серный комбинат

Россия

Металлургия (переработка медных руд)

15.10.2003 г.

100,0%

100,0%

100,0%

Уралэлектромедь

Россия

Металлургия (переработка медных руд)

03.02.2004 г.

100,0%

100,0%

100,0%

Металлургический завод им. А.К.Серова

Россия

Металлургия (переработка медных руд)

11.02.2004 г.

97,1%

97,1%

96,9%

Электроцинк

Россия

Металлургия (переработка медных руд)

14.05.2004 г.

88,4%

88,2%

87,9%

Сухоложский завод "Вторцветмет"

Россия

Металлургия (переработка медных руд)

27.04.2005 г.

90,4%

90,4%

90,4%

Челябинский цинковый завод

Россия

Металлургия (переработка медных руд)

14.04.2004 г.

100,0%

100,0%

100,0%

Перерабатывающий комплекс







Кировский завод по обработке цветных металлов

Россия

Выпуск продукции высокой степени готовности

20.12.2005 г.

100,0%

100,0%

100,0%

Кольчугинский завод по обработке цветных металлов

Россия

Выпуск продукции высокой степени готовности

14.03.2006 г.

100,0%

100,0%

100,0%

Ревдинский завод по обработке цветных металлов

Россия

Выпуск продукции высокой степени готовности

21 03.2006 г.

100,0%

100,0%

Электротехнический комплекс







Сибкабель

Россия

Производство кабельной продукции

19.04.2007 г.

98,3%

98,0%

Уралкабель

Россия

Производство кабельной продукции

06.06.2007 г.

100,0%

100,0%

Машиностроение







Шадринский автоагрегатный завод

Россия

Производство радиаторов и охладительных систем

06.08.2007 г.

100,0%

100,0%

Оренбургский радиатор

Россия

Производство радиаторов

19.10.2007 г.

100,0%

100,0%

Производство строительных материалов







Ревдинский кирпичный завод

Россия

Производство кирпичной продукции

17.04.2008 г.

100,0%

Завод керамических изделий

Россия

Производство кирпичной продукции и напольных покрытий

26.09.2008 г.

100,0%









«Уральская горно-металлургическая компания» - высокоэффективная вертикально интегрированная горнодобывающая и металлургическая компания, специализирующаяся на производстве концентрата коксующегося и энергетического угля, концентрата железной руды и продукции из стали. Компания занимает второе место среди российских производителей коксующегося угля с долей рынка в 2008 году свыше 26%.

«Уральская горно-металлургическая компания» занимает в России третье место. Компания также выпускает значительное количество уголя, как для собственного производства, так и для поставок третьим лицам.

«Уральская горно-металлургическая компания» занимает лидирующие позиции на рынке России по производству специальных сталей. Компания также занимаем третье место по объему производства сортового проката на российском рынке.

В составе компании также работают ферросплавный и энергетический дивизион, которые обеспечивают предприятия группы ферросплавной продукцией, а также электро- и тепловой энергией. Также предприятия данных сегментов реализуют значительную часть своей продукции на открытом рынке.

В 2008 году выручка «Уральская горно-металлургическая компания» составила 9,4 миллиарда долларов США (согласно U.S. GAAP), чистая прибыль – 1,1 миллиарда долларов США, EBITDA - 2 миллиарда долларов США.

Группа осуществляет деятельность в четырех сегментах: металлургическом (включающем производство стали и цинка), добывающем (включающая в первую очередь добычу угля и железной руды), ферросплавном (включающем производство никеля, хрома и ферросилиция) и энергетическом (включающем производство электрической и кабельной продукции). Деятельность осуществляется в России. Группа реализует продукцию в России и за рубежом. За счет операций приобретения Группе удалось расширить специализацию для изучения новых возможностей для бизнеса и построения интегрированной металлургической, добывающей, ферросплавной и энергетической группы. Группа занимается деятельностью в отрасли, отличающейся высокой степенью конкуренции и цикличности. Любой спад в отрасли на местном или международном уровне может неблагоприятным образом сказаться на результатах деятельности и финансовом положении Группы. Группе потребуются значительные объемы денежных средств для финансирования программ капитальных вложений и приобретения компаний. Несмотря на то, что Группа намерена использовать средства, полученные в результате обычной деятельности, она рассчитывает продолжить привлечение финансирования для покрытия потребностей в капитале на фондовых рынках и из других источников.

2. Оценка стоимости предприятия

На основании консолидированного баланса и отчета о прибылях и убытках (см. приложение), составим таблицу 2.1 и 2.2.

Таблица 2.1 - Сведения об активах и обязательствах предприятия, тыс. дол. США

Наименование


2007

2008

+,-

АКТИВЫ, тыс. $ США





 1. Внеоборотные активы

CAPEX

4 532 582,00

5 485 456,00

952 874,00

Нематериальные активы

INTEMBL

7 103,00

6 350,00

-753,00

Основные средства


3 702 104,00

4 277 841,00

575 737,00

Долгосрочные фин.вложения


203 119,00

522 686,00

319 567,00

Другие внеоборотные активы


620 256,00

678 579,00

58 323,00

 2. Оборотные активы

CA

4 980 877,00

6 429 490,00

1 448 613,00

Запасы и затраты


1 102 838,00

1 386 139,00

283 301,00

Расчеты с дебиторами


321 776,00

396 749,00

74 973,00

Денежные средства


215 668,00

232 769,00

17 101,00

Другие оборотные активы


3 340 595,00

4 413 833,00

1 073 238,00

Итого активов

9 513 459,00

11 914 946,00

2 401 487,00

ОБЯЗАТЕЛЬСТВА, тыс. $ США





3. Собственный капитал

E

3 487 964,00

4 026 783,00

538 819,00

4. Долгосрочные обязательства


3 921 250,00

1 809 793,00

-2 111 457,00

5. Займы и кредиты

D

1 230 134,00

4 841 415,00

3 611 281,00

6.Кредиторская задолженность

CL

874 111,00

1 236 955,00

362 844,00

Итого обязательств и СК

9 513 459,00

11 914 946,00

2 401 487,00


Таблица 2.2 - Сведения из отчета о прибылях и убытках, тыс. $ США

Показатель

Условное обозначение

Значение, тыс.$ США


+ -, тыс. $ США



в 2007 году

в 2008 году


Выручка от продаж

S

6 183 540,00

9 450 100,00

3 266 560,00

Себестоимость


4 146 261,00

5 240 300,00

1 094 039,00

Валовая прибыль


2 037 279,00

4 209 800,00

2 172 521,00

Коммерческие расходы


661 411,00

1 388 481,00

727 070,00

Управленческие расходы


429 048,00

574 016,00

144 968,00

Прибыль от продаж


946 820,00

2 247 303,00

1 300 483,00

Прочие доходы


20 814,00

17 811,00

-3 003,00

Прочие расходы


22 146,00

1 218 451,00

1 196 305,00

Прибыль до налогообложения


945 488,00

1 046 663,00

101 175,00

Налог на прибыль

T

346 310,00

108 807,00

-237 503,00

Чистая прибыль

NP

937 856,00

338 678,00


Как видно из таблицы 2.1., валюта баланса предприятия увеличилась на 2401487 тыс. $ США, что говорит об улучшении деятельности компании. Увеличение валюты баланса в активах произошло за счет увеличения основных средств (с 3 702 104 до 4 277 841 тыс. $ США) и долгосрочных финансовых вложения (с 203 119 до 522 686 тыс. $ США) во внеоборотых активах, а в оборотных активах преимущественно за счет увеличения запасов и затрат (на 283 301 тыс. $ США) и других оборотных активов (на 1 073 238,00тыс. $ США). Увеличение валюты баланса в пассивах произошло из-за резкого увеличения займов и кредитов (на 2008 год данная статья баланса составила 4 841 415 тыс. $ США). А вот долгосрочные обязательства сократились на 2 111 457 тыс. $ США и это нехорошо для предприятия, т.к. для его деятельности они играют огромную роль.

Также в активах увеличились денежные средства на 17 101 тыс. $ США и составили 232 769 тыс. $ США, но это говорит об неэффективном использовании денежных средств, т.к. деньги должны работать и приносить доход.

В целом, предприятие имеет стабильное положение.

Проанализировав таблицу 2.2. можно сделать вывод, что предприятие работает эффективно, т.к. выручка от продаж выросла на 3 266 560 тыс. $ США и составила 9 450 100 тыс. $ США,. Это возможно связано с покупкой нового оборудования, которое позволяет производить большее количество товаров, т.к. себестоимость продукции также выросла, но в меньшей степени (на 1 094 039 тыс. $ США). Увеличились коммерческие расходы на 727 070 тыс. $ США, что отрицательно влияет на чистую прибыль.

В 2008 году чистая прибыль составила 937 856 тыс. $ США, что на 338 678 тыс. $ США больше чем в 2007 году.

На основании таблиц 2.1. и 2.2. были сформированы аналитические показатели для оценки стоимости компании:

Таблица 2.3 - Формирование аналитических показателей для оценки стоимости компании, тыс. $ США

Показатели


2007 год

2008 год

Чистая прибыль до уплаты процентов, налогов и амортизац. отчислений (EBITDA) с учетом корректировок, тыс. $ США

EBITDA

554 459,00

1 929 026,00

Чистый операционный доход

NOI

643 190,00

5 987 785,00

Чистая прибыль (по балансу с учетом корр.) (NP), тыс. $ США

NP adj

600 510,00

2 138 496,00

Налог на прибыль (фактический) (T), тыс. $ США.

T

346 310,00

108 807,00

Собственный капитал (Е), тыс. $ США

E

3 487 964,00

4 026 783,00

Долги (D), тыс. $ США

D

1 230 134,00

4 841 415,00

Внеоборотные активы (CapEx), тыс. $ США

CapEx

4 532 582,00

5 485 456,00

Нематериальные активы, тыс. $ США

INT

7 103,00

6 350,00

Чистый оборотный капитал (по сводному балансу) (NWC), тыс. $ США

NWC

4 106 766,00

5 192 535,00

Итого активов

TA

8 639 348,00

10 677 991,00

Как видно из таблицы 2.3. Практически все показатели увеличились, за исключение нематериальных активов. Так показатель EBITDA вырос практически до 1 929 026, что почти в 4 раза больше предыдущего периода с показателем 554 459. Этот показатель используется для долгосрочной оценки эффективности операций компании. Он представляет прибыль компании, освобожденную от влияния налогового окружения и способов финансирования, а также от влияния организации учета (в части амортизации). Это позволяет успешно сравнивать отчетность различных компаний, а также эффективность работы компании в разные периоды. Несмотря на то, что непосредственно в расчетах финансовых коэффициентов EBITDA используется не часто, в качестве самостоятельного параметра он широко распространен.

Заметно увеличился NOI по сравнению с 2007 годом до 5 987 785 тыс. $ США, что говорит об увеличении чистого операционного дохода, а следовательно об эффективности работы предприятия.

Нельзя не отметить, что также выросли долги предприятия с 1 230 134 тыс. $ США до 4 841 415 тыс. $ США. Данное изменение объясняется задолженностью в размере 3 987 701 тыс. долл. США по нарушенным ограничительным условиям кредитных договоров в 2008г.

NWС на 2008 год составил 5 192 535 тыс. долл. США, что на 1 085 769 тыс. долл. США больше, чем в 2007 году. Увеличение NWC означает увеличение ликвидности компании и уменьшение ее кредитоспособности.

Строка итого активов на 2007 и 2008 года составила 8 639 348 тыс. долл. США и 10 677 991,00 тыс. долл. США.

В таблице 2.4. рассчитаны данные для оценки предприятия.

Таблица 2.4

Показатели

2007 год

2008 год

ROA =NP/TA

0,07

0,20

ROI =NP/CapEx

0,13

0,39

ROE =NP/E

0,17

0,53

WACС в %

0,12

0,15

SPREAD (ROI-WACC) в %

0,01

0,24

NWC

4 106 766,00

5 192 535,00

CA-CL

4 106 766,00

5 192 535,00

CA/CL

5,70

5,20

NWC/S

0,66

0,55


Как видно из таблицы 2.4., показатели на 2008 год возросли, за исключением отношений оборотных активов к кредиторской задолженности. Это связано со значительным увеличением кредиторской задолженности.

Рассмотрим каждый показатель:

1)   ROA - коэффициент рентабельности активов (Return On Assets, ROA) - отношение чистой прибыли компании к ее суммарным активам. Коэффициент рентабельности активов характеризует способность руководства компании эффективно использовать ее активы для получения прибыли. Кроме того, этот коэффициент отражает среднюю доходность, полученную на все источники капитала (собственного и заемного). В 2007 г. ROA составило 0,7, в 2008 г. 0,20. Близость значений ROA к показателям ROI и ROE свидетельствует о том, что финансирование компании осуществляется в основном за счёт собственного капитала.

2)   ROI - (англ. Return On Investment, русск. окупаемость инвестиций), так же известен как rate of return (ROR) - отношение увеличения инвестиций (чистой прибыли) к объёму инвестиций. С помощью значения ROI оценивается эффективность вложенных инвестиций. В нашем случае ROI в 2007 г. составил 0,13, а в 2008 г. 0,39. Увеличение ROI обусловлено ростом чистой прибыли в 2008 г. и ростом внеоборотных активов за счёт приобретения «Уральская горно-металлургическая компания» основных средств и значительным увеличением долгосрочных финансовых вложений.

3)   ROE - коэффициент рентабельности собственного капитала (Return On Equity, ROE) - отношение чистой прибыли компании к среднегодовой величине акционерного капитала. Рентабельность собственного капитала характеризует доходность бизнеса для его владельцев, рассчитанную после вычета процентов по кредиту. Для «Уральская горно-металлургическая компания» ROE в 2007 г. составил 0,17, а в 2008 г. 0,53. Увеличение показателя произошло в связи с увеличением чистой прибыли и увеличение собственного капитала.

4)   Спрэд (ROI-WACC) в 2007 г. положителен (0,01%) – в компании заработана доходность, превышающая требуемую инвесторами. Или доходность капитала, вложенного в данную компанию, выше альтернативной для данных групп инвесторов. Следовательно, конечный результат, или EVA, означает прирост стоимости компании за рассматриваемый период.

Спрэд (ROI-WACC) в 2008 г. также положителен (0,24%). Это вызвано за счет увеличения внеоборотных активов.

5)   WACC

Стоимость заёмного капитала (стоимость капитала определяется величиной выплачиваемого по облигации купона или номинальной процентной ставкой облигации, выражаемой в процентах к ее номинальной стоимости)

12% в 2007 г.

15% в 2008 г.

Стоимость собственного капитала методом прибыли на акцию (денежный доход, который хотят получить держатели обыкновенных акций)

15% в 2007 г.

15,65% в 2008 г.

Таблица 2.5 - Расчёт WACC



Удельный вес

R

WACC



2007

2008

2007

2008

2007

2008

Заемный капитал

D

26,07%

54,59%

6%

18,0%

1,25%

2,49%

Собственный капитал

E

73,93%

45,41%

15%

15,65%

11,09%

7,11%

Всего инвестир. кап.

D+E=IC

100%

100,0%



12,34%

14,97%

Требуемая доходность по капиталу компании должна быть выше, чем величина WACC , поэтому можно использовать WACC в качестве ставки дисконта. Соответственно, дисконт в 2007 г. Составит 12,34%, в 2008 г. 14,97%. Резкий рост величины WACC в 2008 г. объясняется падением цен на акции «Уральская горно-металлургическая компания». В свою очередь снижение курса акций связано с продолжительным ростом цен в первом полугодии и резким обвалом во втором. Структура капитала компании осталась прежней.

В данной работе проводится расчёт стоимости компании за два периода (2007 и 2008 г.) следующими методами:

· Метод дисконтирования денежных потоков DCF

· Метод капитализации прибыли

· Метод экономической прибыли EVA

· Метод чистых активов

· Метод ликвидационной стоимости

· Метод Эдвардса-Белла-Ольсона EBO

· Метод мультипликаторов фондового рынка

Результаты расчётов, а также среднее значение стоимости компании приведены в таблице 2.6:

Таблица 2.6 - Сводная таблица, тыс. дол. США

По доходному методу (капитализация)

60 072 559,90

60 072 559,90

По доходному методу (DCF)

21 516 556,96

21 516 556,96

По методу экономической добавленной стоимости (EVA)

19 044 022,25

10 998 095,11

По методу чистых активов

5 585 579,00

5 585 579,00

По методу EBO

14 287 512,89

14 287 512,89

В соответствии с фондовыми мультипликаторами

13 402 254,38

13 402 254,38

По методу ликвидационной стоимости

4 247 376,50

4 247 376,50

Скорректированная величина

19 736 551,70

18 587 133,53

Как видно из сводной таблицы, наибольшая стоимость компании – по доходному методу. Она составляет 60 072 559,90 тыс. $ США. Это объясняется высоким значением NOI (чистый операционный доход).

Наименьшая стоимость компании – при ее оценке по ликвидационной стоимости 4 247 376,50 тыс. $ США. Сумма ликвидационной стоимости и стоимости компании по методу чистых активов имеют близкие значения, т.к. и в том и в другом методе оцениваются активы предприятия.

EVA является индикатором качества управленческих решений: постоянная положительная величина этого показателя свидетельствует об увеличении стоимости компании, тогда как отрицательная – о ее снижении. EVA в 2008 году увеличилась практически в 2 раза. Но данная стоимость не корректно отражает стоимость компании, т.к. данный показатель рассчитывается на основе инвестированного капитала, а компания имеет проблемную задолженность в размере 4841415 тыс. $ США., которую нельзя учитывать, т.к. банки могут потребовать в любое время возврата данной суммы.

Среднее значение стоимости компании на 2008 год составило 19 736 551,70 тыс. $ США.

Вывод

 

По состоянию на 2008 год задолженность ОАО «Уральская горно-металлургическая компания» была существенной, и компания не располагала возможностями ее погашения без проведения рефинансирования или реструктуризации. Кроме того компания нарушила ряд ограничительных условий по крупным кредитным договорам с банками. В результате чего кредиторы могут предъявить требование о досрочном погашении существенной части долгосрочной задолженности ОАО «Уральская горно-металлургическая компания». На 2008 год задолженность компании, подлежащая погашению в течение следующих двенадцати месяцев, составила 4841415 тыс. долл. США. Положение ОАО «Уральская горно-металлургическая компания» зависит от достижения договоренности с банками по вопросам рефинансирования или реструктуризации ее долговых обязательств. В связи с указанными условиями возникают существенные сомнения в том, что компания сможет продолжить свою деятельность в качестве непрерывно функционирующего предприятия.

Выходом из сложившейся ситуации могут послужить: переговоры с банками по вопросам предоставления дополнительных кредитов на долгосрочной основе. Компания также может найти возможности для рефинансирования и/или реструктуризации условий имеющейся задолженности для переноса срока ее погашения на дату после 2009 года и использования более гибкого подхода к оборотному капиталу. Еще одним вариантом является поиск альтернативных источников финансирования на случай, если вышеуказанные переговоры по вопросам привлечения достаточного финансирования не увенчаются успехом.

Приложение 1

Исходные данные по компании ОАО «Уральская горно-металлургическая компания»

АКТИВЫ

2007

2008

Денежные средства и их эквиваленты

215 668

232 769

Дебиторская задолженность, за вычетом резерва по сомнительной задолженности в сумме 110 613 тыс. долл. США в 2008 г. и 26 781 тыс. долл. США в 2007 г.

321 776

396 749

Задолженность аффилированных сторон

5 112

24 331

Товарно-материальные запасы

1 102 838

1 386 139

Отложенные налоги на прибыль

11 351

20 037

Авансы поставщикам и прочие оборотные активы

603 793

634 211

Итого оборотные активы

2 260 538

2 694 236

Долгосрочные инвестиции в аффилированные стороны

140 531

79 428

Прочие долгосрочные инвестиции

62 588

443 258

Нематериальные активы, нетто

7 103

6 350

Основные средства, нетто

3 702 104

4 277 841

Лицензии на добычу полезных ископаемых, нетто

2 351 481

3 420 602

Прочие внеоборотные активы

67 918

58 286

Отложенные налоги на прибыль

14 750

23 521

Гудвил

906 446

911 424

Итого активы

9 513 459

11 914 946

ОБЯЗАТЕЛЬСТВА И СОБСТВЕННЫЙ КАПИТАЛ



Краткосрочные кредиты и займы и текущая часть долгосрочной задолженности (включая задолженность в размере 3 987 701 тыс. долл. США по нарушенным ограничительным условиям кредитных договоров в 2008г.)

1 230 134

4 841 415

Кредиторская задолженность и начисленные расходы:



Задолженность по расчетам с поставщиками товаров и услуг

242 453

718 002

Авансы полученные

137 709

115 042

Начисленные расходы и прочие краткосрочные обязательства

154 083

155 587

Налоги и социальные отчисления к уплате

126 794

134 201

Неотраженная экономия по налогу на прибыль

59 221

21 166

Задолженность перед аффилированными сторонами

4 516

2 598

Обязательства по выбытию активов, текущая часть

7 376

8 347

Отложенные налоги на прибыль

43 156

27 735

Доходы будущих периодов

23 349

4 756

Пенсионные обязательства, текущая часть

60 706

25 940

Задолженность по дивидендам

0

4 730

Обязательства по договорам финансовой аренды, текущая часть

14 748

18 851

Итого краткосрочные обязательства

2 104 245

6 078 370

Долгосрочная задолженность, за вычетом текущей части

2 481 022

349 716

Обязательства по выбытию активов, за вычетом текущей части

66 908

66 207

Пенсионные обязательства, за вычетом текущей части

276 760

168 170

Отложенные налоги на прибыль

711 348

861 234

Обязательства по договорам финансовой аренды, за вычетом текущей части

75 377

56 181

Договорные и потенциальные обязательства



Прочие долгосрочные обязательства

2 310

8 446

Доля меньшинства

307 525

299 839

СОБСТВЕННЫЙ КАПИТАЛ



Обыкновенные акции (номинал 10 руб.; разрешено к выпуску 497 969 086 акций, выпущено и находится в обращении 416 270 745 акций на 31 декабря 2008 г. и 31 декабря 2007 г.)

153 607

153 607

Дополнительный оплаченный капитал

425 171

425 171

Накопленный прочий совокупный доход

308 347

164 907

Нераспределенная прибыль

2 600 839

3 283 098

Итого собственный капитал

3 487 964

4 026 783

Итого обязательства и собственный капитал

9 513 459

11 914 946

Консолидированные отчеты о прибылях и убытках и о совокупном доходе (в тыс. долл. США, за исключением данных по акциям и стоимости акций).

Выручка, нетто (в т.ч. по расчетам с аффилированными сторонами в сумме 68 328 тыс. долл. США, 110 056 тыс. долл. США и 66 998 тыс. долл. США за 2008, 2007 и 2006 годы, соответственно)

6 183 540

9 450 100

Себестоимость реализованной продукции (в т.ч. по расчетам с аффилированными сторонами в сумме 12 213 тыс. долл. США, 157 427 тыс. долл. США, 142 959 тыс. долл. США за 2008, 2007 и 2006 годы, соответственно)

-4 146 261

-5 240 300

Валовая прибыль

2 037 279

4 209 800

Коммерческие, сбытовые и операционные расходы:



Коммерческие и сбытовые расходы

-661 411

-1 388 481

Налоги, кроме налога на прибыль

-90 914

-120 510

Изменение обязательств по выбытию активов

-3 303

-6 270

Убыток от списания основных средств

0

-4 323

Резерв по сомнительной задолженности

-1 411

-103 632

Общехозяйственные, административные и прочие операционные расходы

-429 048

-574 016

Итого коммерческие, сбытовые и операционные расходы:

-1 109 340

-2 124 318

Операционная прибыль

1 494 594

2 656 266

Прочие доходы и (расходы):



Прибыль (убыток) от инвестиций в акции

9

Доходы по процентам

13 240

12 601

Расходы по процентам

-101 971

-327 184

Прибыль от переоценки торговых ценных бумаг

0

0

Прочие (расходы)/доходы, нетто

20 814

-17 811

(Отрицательная) положительная курсовая разница

51 722

-880 421

Итого прочие доходы и (расходы), нетто

-22 146

-1 218 451

Прибыль до налога на прибыль, доли меньшинства, прекращаемой деятельности и экстраординарной прибыли

1 485 449

1 448 211

Расходы по налогу на прибыль

-346 310

-108 807

Доля меньшинства в прибыли дочерних предприятий

-117 234

-89 831

Прибыль от обычной деятельности

918 803

1 146 504

Прибыль от прекращаемой деятельности, за вычетом налога

208

0

Чистая прибыль

916 011

1 143 504

Корректировки по пересчету валют

146 613

-217 608

Изменение пенсионных обязательств

-16 365

85 650

Корректировка стоимости ценных бумаг, имеющихся в наличии для продажи

-6 050

-7 511

Дополнительные минимальные пенсионные обязательства

0

0

Совокупный доход

1 050 100

1 010 300

Базовая и разводненная прибыль на акцию:



Прибыль от обычной деятельности на одну акцию

2,15

2,69

Влияние прекращаемой деятельности на прибыль на одну акцию

0

0

Чистая прибыль на одну акцию

2,15

2,69

Средневзвешенное количество выпущенных акций

406 260 701

406 260 701

Истощение добывающих активов и амортизация нематериальных активов

42 680

105 113

Приложение 2

Теоретические основы стоимостного анализа

1. Доходный подход

1.1. Метод дисконтирования денежных потоков (DCF)

Метод дисконтированных денежных потоков, являющийся основой стоимостного подхода, использует формулу сложных процентов для приведения прогнозируемых (будущих) денежных потоков, генерируемых объектом оценки к моменту определения стоимости актива (объекта оценки):

,

где CFt – чистый денежный поток предприятия в момент времени t;

i=WACC - ставка дисконтирования.

1.2. Метод капитализации прибыли

Метод капитализации прибыли является одним из вариантов доходного подхода к оценке бизнеса действующего предприятия. Как и другие варианты доходного подхода, он основан на базовой посылке, в соответствии с которой стоимость доли собственности в предприятии равна текущей стоимости будущих доходов, которые принесет эта собственность. Сущность данного метода выражается формулой:

NOI / ставка капитализации = Оцененная стоимость

Ставка капитализации для предприятия обычно выводится из ставки дисконта путем вычета ожидаемых среднегодовых темпов роста прибыли или денежного потока (в зависимости от того, какая величина капитализируется). Соответственно, для одного и того же предприятия ставка капитализации обычно ниже, чем ставка дисконта.

В нашем случае:

Ставка капитализации = ставка дисконтирования – 5%

1.3. Метод экономической прибыли EVA

Показатель применяется для оценки эффективности деятельности предприятия с позиции его собственников, которые считают, что деятельность предприятия имеет для них положительный результат в случае, если предприятию удалось заработать больше, чем составляет доходность альтернативных вложений.

1 способ:

EVA= (P-T)- IC*WACC=NP- IC*WACC= (NP/IC- WACC)*IC, где:

P- прибыль от обычной деятельности; T- налоги и другие обязательные платежи; IC- инвестированный в предприятие капитал; WACC- средневзвешенная цена капитала; NP - чистая прибыль.

Стоимость по методу EVA = (СС+EVA)/WACC, где:

СС – затраты на капитал.

2 способ

EVA= (NP/IC- WACC)*IC= (ROI- WACC)*IC , где:

ROI - рентабельность капитала, инвестированного в предприятие.

Стоимость по методу EVA = IC+EVA, где: IC – инвестированный капитал

2. Затратный подход

2.1. Метод чистых активов

Процедура оценки рыночной стоимости предприятия методом чистых активов:

1. Оценивается рыночная стоимость недвижимого имущества предприятия.

2. Определяется стоимость движимого имущества предприятий.

3. Выявляются и оцениваются нематериальные активы.

4. Определяется рыночная стоимость краткосрочных и долгосрочных финансовых вложений.

5. Определяется рыночная стоимость материально-производственных запасов.

6. Оценивается дебиторская задолженность.

EV = TA-D, где

EV - рыночная стоимость предприятия; млн. $

TA – итог активов предприятия (при сводном баланса), млн.$;

D- задолженность предприятия, млн.$

2.2. Метод ликвидационной стоимости

Процедура оценки ликвидационной стоимости предприятия:

1. Разработка календарного графика ликвидации активов предприятия;

2. Расчет текущей стоимости активов предприятия;

3. Определение величины долговых обязательств предприятия;

4. Расчет ликвидационной стоимости предприятия.

Слик. = Срын. х (1 - Квын.) - Злик., где

* Слик. - ликвидационная стоимость объекта оценки;

* Срын. - рыночная стоимость объекта оценки;

* Квын. - корректировочная поправка на вынужденность продажи (коэффициент вынужденной продажи), при условии;

* 0 < Квын. < 1;

* Злик. - затраты на ликвидацию объекта оценки.

2.3. Метод Эдвардса-Белла-Ольсона (EBO)

Модель относится к так называемым моделям «остаточного» дохода или RIM и ее основная формула представляет собой модель оценки стоимости (V) предприятия по следующей формуле:

 или ,

где Bt – собственный капитал (чистые активы) предприятия на момент t; Е[…] – математическое ожидание, в том числе: r – ставка дисконтирования соответствующая ожидаемой стоимости обслуживания капитала;  - отклонение чистой прибыли на момент t от так называемой «нормы» (сверхприбыли или остаточного дохода); ee отрицательная величина означает недостаточную эффективность. Величина нормы определяется как ожидаемая стоимость обслуживания собственного капитала:

, где xt – показатель прибыли за период t.

3. Сравнительный подход

3.1. Метод чистых активов

Оценка стоимости компании осуществляется на основе трёх мультипликаторов фондового рынка:

EV/S, где S – выручка

EV/E, где E – собственный капитал

EV/EBITDA, где EBITDA - чистая прибыль до уплаты процентов, налогов и амортизац. отчислений с учетом корректировок, млн. $

Стоимость заёмного капитала

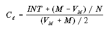
где INT - ежегодная процентная выплата по облигации,  М - номинальная стоимость облигации,  VМ - текущая рыночная цена облигации,

N - количество периодов (лет) до погашения облигации,  

Стоимость собственного капитала (модель прибыли на акцию)

image4754

где П - величина прибыли на одну акцию,

Р - рыночная цена одной акции.

Средневзвешенная стоимость капитала (WACC)

WACC = Ks * Ws + Kd * Wd * ( 1 - T ), где

Ks - Стоимость собственного капитала (%)

Ws - Доля собственного капитала (в %) (по балансу)

Kd - Стоимость заемного капитала (%)

Wd - Доля заемного капитала (в %) (по балансу)

T - Ставка налога на прибыль (в %)

ROA

Рентабельность активов - индикатор доходности и эффективности деятельности компании, очищенный от влияния объема заемных средств.

Ra = P / A

где: Ra - рентабельность активов, P - прибыль за период, A - средняя величина активов за период.

ROI

ROI (англ. Return On Investment, русск. окупаемость инвестиций), так же известен как rate of return (ROR) - отношение увеличения инвестиций (чистой прибыли) к объёму инвестиций. Этот показатель может также иметь следующие названия: прибыль на инвестированный капитал, прибыль на инвестиции, возврат инвестиций, доходность инвестированного капитала.

ROI=NP/CapEx, где

NP – чистая прибыль CapEx – внеоборотные активы

ROE

Рента́бельность со́бственного капита́ла (англ. return on equity, ROE) - относительный показатель эффективности деятельности, частное от деления чистой прибыли, полученной за период, на собственный капитал организации. Один из финансовых коэффициентов, входит в группу коэффициентов рентабельности. Показывает отдачу на инвестиции акционеров с точки зрения учетной прибыли.

Рентабельность собственного капитала = Чистая прибыль/Средняя величина акционерного капитала за период

Коэффициент оборачиваемости активов

Выручка/Активы

Этот коэффициент характеризует эффективность использования активов с точки зрения объёма продаж. Показывает количество оборотов одного рубля активов за анализируемый период.

Коэффициент текущей ликвидности

Оборотные активы/Краткосрочные обязательства

Коэффициент текущей ликвидности (или общий коэффициент покрытия долгов, или коэффициент покрытия, current ratio) характеризует степень покрытия оборотных активов оборотными пассивами, и применяется для оценки способности предприятия выполнить свои краткосрочные обязательства.

Коэффициент абсолютной ликвидности

Кал = (Денежные средства + краткосрочные финансовые вложения) / Текущие обязательства

Финансовый коэффициент, характеризующий способность компании, фирмы досрочно погасить кредиторскую задолженность.

Коэффициент быстрой ликвидности

Кбл = (Текущие активы - Запасы) / Текущие обязательства

Этот коэффициент отражает платежные возможности предприятия для своевременного и быстрого погашения соей задолженности.

Коэффициент автономии

Собственный капитал / заемный капитал

Для финансово устойчивого предприятия коэффициент автономии должен быть больше единицы. С экономической точки зрения это означает, что в случае если кредиторы потребуют свои средства одновременно, предприятие, реализовав активы, сможет расплатиться по обязательствам и сохранить за собой права владения предприятием.

Коэффициент платёжеспособности

Собственный капитал/Пассивы

Характеризует долю собственности владельцев предприятия в общей сумме авансированных средств. Чем выше значение коэффициента, тем финансово более устойчиво и независимо от внешних кредиторов предприятие.

Нормативное значение для данного показателя равно 0,6 (в зависимости от отрасли, структуры капитала и т.д. может изменяться).

Рентабельность оборотных активов

Определяется как отношение чистой прибыли (прибыли после налогообложения) к оборотным активам предприятия. Этот показатель отражает возможности предприятия в обеспечении достаточного объема прибыли по отношению к используемым оборотным средствам компании. Чем выше значение этого коэффициента, тем более эффективно используются оборотные средства.

Похожие работы на - Оценка стоимости предприятия на примере ОАО "Уральская горно-металлургическая компания"

 

Не нашли материал для своей работы?
Поможем написать уникальную работу
Без плагиата!
Без нейросетей!