Организация складского хозяйства и направления его совершенствования (на примере БГСП "Доминик")
Содержание
Введение
1. Логистика складского хозяйства
1.1 Склад как звено логистического процесса, классификация
складов и тенденции в развитии складского хозяйства
1.2 Определение оптимальных параметров склада
2. Анализ складского хозяйства и
деятельности БГСП «ДОМИНИК» ООО
2.1 БГСП «Доминик» ООО процесс становления и
совершенствования управления деятельностью
2.2 Управление складскими операциями и финансово
экономическое состояние БГСП «Доминик» ООО
2.2.1
Финансово-экономическое состояние БГСП «Доминик»ООО
3. Совершенствование складского
хозяйства и управления его работой в БГСП «Доминик» ООО
3.1 Расширение площадей хранения и совершенствование
обработки складируемых товарно-материальных ценностей в БГСП «Доминик» ООО,
предпосылки и потенциальная эффективность
3.2 Автоматизация складских операций и перспективные направления
развития складских и логистических процессов
3.3 Разработка мероприятий по продвижению бренда БГСП «Доминик»
ООО на внешние рынки
3.4 Разработка сборочного чертежа кассеты
4. Разработка
организационно-технических мероприятий по обеспечению пожарной безопасности
объекта
4.1 Анализ возможных причин возгорания и пожара на
складах предприятия БГСП «Доминик» ООО
4.2 Сравнение требуемых и фактических пределов
огнестойкости и группы возгораемости основных строительных конструкций
4.3 Обоснование и выбор технико-эксплуатационных, организационных
и режимных мероприятий для обеспечения пожарной безопасности объекта при
эксплуатации
Заключение
Список литературы
Введение
Важнейшим стратегическим конкурентным
преимуществом национальной экономики Республики Беларусь является
географическое положение ее территории между Западом и Востоком, Российской
Федерацией, в первую очередь. В национальной программе развития экспорта
Республики Беларусь на 2006-2010 годы показатели роста экспорта Белорусской
железной дороги и рост экспорта услуг автомобильного транспорта являются самыми
высокими из всех показателей увеличения экспорта соответственно 161,8% и более
110% к уровню базового 2005 года.
Логистические услуги часто неразрывно связаны и
могут быть существенно увеличены предоставлением услуг складского хозяйства или
девелопмента. Следует отметить, что только сравнительно недавно девелопмент и
логистика в мировой практике получили тенденцию относительного размежевания.
Причина такого размежевания заключается в несогласованности мер
государственного регулирования в сфере логистики и в сфере инвестиций в
недвижимость. Это определяет коньюктуру окупаемости этих сопряженных видов
бизнеса. Разумный баланс в государственном регулировании рано или поздно будет
обеспечен, это, конечно, снизит остроту размежевания, но не ликвидирует полностью,
поскольку в организации управления логистикой и складским хозяйством по их
природе есть существенные различия.
Значение развития складского хозяйства в
национальной экономике Беларуси определяется не только ее транзитным положением
и возможностями обеспечения на этом экспортных поступлений. В развитии
складского хозяйства нуждаются и национальные производители. В экономике, где
80% промышленной продукции ориентировано на экспорт, а импортная составляющая в
виде сырья, материалов, полуфабрикатов не меньше в готовой продукции
рациональное складирование значимый элемент повышения эффективности
производства. Создание логистических систем полного цикла позволяет снизить
затраты национальных как экспортеров, так и импортеров, сократить сроки
поставок экспорта и импорта, повысить конкурентоспособность экспортируемой
продукции, уменьшить количество посредников в цепочках товаропродвижения. Не
случайно, в упомянутой выше национальной программе развития экспорта, прямо
поставлена задача создания «логистических систем как на уровне отраслей
народного хозяйства, так и на уровне отдельно взятых предприятий».
Острота и значение проблемы развития
логистических систем в целом и складского хозяйства в частности определили
выбор объекта исследования данной дипломной работы. Таким объектом стало
Белорусско-Германское совместное предприятие «Доминик» ООО, существующий с 1991
года логистический центр полного цикла. На сегодня предприятие ориентировано на
специализацию в области фармацевтической-логистики. Такая специализация требует
особой квалификации специалистов логистического предприятия, что делает объект
анализа еще более интересным и значимым с точки зрения анализа организации и
улучшения управления складским хозяйством логистического центра.
Предметом исследования дипломной работы
выступает организация работ и управление складским хозяйством БГСП «Доминик»
ООО в системе связей со всеми структурами сложившегося логистического центра,
его партнерами и клиентами. Также предмет исследования составляет анализ
влияния мер государственного регулирования на сферу работы складского хозяйства
логистического центра и его складского хозяйства.
Цель исследования заключалась в выявлении
резервов совершенствования управления сложившимся складским хозяйством СП
«Доминик» в проектировании модернизации и расширения этого хозяйства исходя из
выявленных тенденций динамики работы предприятия в целом.
В процессе реализации цели дипломного
исследования были решены следующие задачи:
- дана теоретико-методологическая
характеристика проблемы организации и управления складским хозяйством и
выявлена его роль в национальной экономике и для отдельных хозяйствующих
субъектов;
- исследован опыт и современные тенденции
мирового и национального совершенствования организации и управления складским
хозяйством;
- изучены характеристики и определена роль
совершенствования и обслуживания клиентов современным складским оборудованием
для работы складов;
- дан сравнительный анализ организации и
управления складским хозяйством на объекте исследования БГСП «Доминик» ООО с
передовыми достижениями в сфере логистики и складского обслуживания;
- дана оценка потенциала развития складского
хозяйства в БГСП «Доминик» ООО с позиций наличия внутренних резервов
предприятия и с позиций трансформации внешней среды логистического бизнеса в
Беларуси в условиях мирового финансового кризиса;
- осуществлен анализ сопряженных с складским
хранением операций, влияющих на эффективность работы складского хозяйства.
При написании работы центральным методом
анализа явился общенаучный метод диалектико-материалистического познания.
Использовались также методы логических обобщений статистического анализа,
индукции, дедукции, социально-экономического моделирования, сущностного и
функционального анализа.
Источниками информации выступили: программные
документы социально-экономического развития Республики Беларусь,
нормативно-правовые документы регулирования хозяйственной деятельности в
республике, теоретическое работы авторов по проблемам управления логистическими
процессами Аникина В.В., Матэ Э.Г., Гаджинского А.М., Удовенко В.М. и авторов
спенциалистов по организации и управлению складским хозяйством Волгина В.В.,
Вирабова С.А., Гудкова Ф.А., Демчева Г.М., Ковалева В.П., Кривчука В.И.,
отчетная документация, годовые балансы, бизнес-планы БГСП «Доминик» с 1991 года
по настоящее время.
1. Логистика складского хозяйства
1.1 Склад как звено логистического процесса,
классификация складов и тенденции в развитии складского хозяйства
Общемировой генеральной тенденцией развития
производства является тенденция усиления специализации и роста отраслевой
дифференциации, обусловленной научно-техническим прогрессом. Открытия и
изобретения обеспечивают появление все новых и новых производств,
удовлетворяющих самые разнообразные потребности общества. В свою очередь, эти
процессы обуславливают возрастание роли логистическо-складского обеспечения
общественного производства в широком смысле его понимания.
Конечно, рационализация размещения производств
и оборудования в конкретных предприятиях порождают тенденцию к сокращению
складских запасов, сокращению расстояния перемещения материалов, полуфабрикатов
и готовых товаров. Эталоном в этом плане выступает опыт японского промышленного
менеджмента, породившей явление работы «с колес». Однако эта тенденция
развивается не конфликтуя с тенденцией роста абсолютного роста складского
фонда, расширения функций сферы складского хозяйства. Ведь материальные ресурсы
и готовая продукция буквально с каждым годом все меньше и меньше находятся в
непосредственно производственной сфере и до более чем 90% времени задействованы
в логистико складских операциях.
Материальная база системы хранения
общественного продукта – складское хозяйство – совершенно специфическая сфера
народного хозяйства, звено экономики, которой свойственны присущие только ей
техническо-экономические и социальные особенности, знание которых позволит
лучше понять проблемы складского хозяйства, быстрее освоить пути и методы их
решения.
Важнейшей специфической особенностью складского
хозяйства является его практически абсолютная универсальность распространения.
Ни одно предприятие, организация или учреждение не могут обойтись без склада.
Любое производство начинается складом сырья, вспомогательных материалов и
кончается складом готовой продукции, полуфабрикатов. Некоторые отрасли
народного хозяйства представляют собой, по сути, громадные складские хозяйства:
торговля. Система заготовок. В этих отраслях практически не создается новой
продукции, они принимают ее от других отраслей, хранят (переупаковывая,
комплектуя) и поставляют потребителю. Вся колоссальная масса продукции,
выпускаемая в стране и поступающая извне, неоднократно проходит через склады,
многочисленные погрузки, выгрузки, сортировки и другие необходимые операции.
Особенностью складского хозяйства является
комплексная межотраслевая отдача при решении его проблем. Это означает, что
наряду с решением таких, чисто складских и производственно-отраслевых проблем,
как ликвидация ручных работ, исключение потерь материалов, сырья, продукции,
резкое повышение производительности труда и снижение себестоимости
общественного продукта, одновременно и параллельно, без специальных на то
затрат, решаются проблемы ряда отраслей народного хозяйства, что имеет и
общегосударственное значение. Во-первых, ликвидация ручного труда в складском
хозяйстве путем максимального внедрения механизации и автоматизации содействует
устранению дефицита трудовых ресурсов в народном хозяйстве. Во-вторых,
совершенствование складского хозяйства с его погрузочно-разгрузочными фронтами
повышает эффективность работы транспорта, что является практически единственным
сегодня мощным ускорителем оборачиваемости вагонов, судов, автомобилей, которые
более четверти полезного времени простаивают под грузовыми операциями или в их
ожидании. В-третьих, рациональное оснащение и разумное использование основных
фондов складского хозяйства, технически грамотное и безущербное для хранимой
продукции ведение складского дела экономят огромные капитальные вложения и
значительно сокращают эксплуатационные расходы, идущие на восполнение той части
общественного продукта, которую не удается сберечь сегодня.
Уникальной особенностью складского хозяйства
является его народнохозяйственно-связующая роль, которая выражается в том, что
оно является единственным участком вещной связи, основной сферой материального
общения поставщиков и получателей, производителей и потребителей. Эта
особенность характеризуется взаимовлиянием способов отгрузки-приемки продукции,
взаимообусловленностью прогрессивности или отсталости их форм, достаточно
чуткой взаимной экономической реакцией на социально-технический уровень
культуры ведения хозяйства у партнеров по поставк.
Для Республики Беларусь значение складского
хозяйства с 1991 года повышается не только в силу общемировых системных
факторов, но и в силу специфики структурных изменений в национальной экономике
как суверенного государства. Дело в том, что экономика Беларуси из состояния
закрытой экономики в составе СССР практически одномоментно превратилась в одну
из самых открытых экономик в мире по относительным показателям. Так, в 2008
году внешнеторговый оборот страны составил 62968 миллионов долларов США,
экспорт достиг величины в 29275 млн. долларов США, импорт составил 33693 млн.
долларов США. Подавляющая часть этого оборота, естественно, связана с логистическо
складскими операциями. Кроме того, Беларусь является транзитным коридором между
Западом и Россией, которая является потребителем и поставщиком еще больших
объектов товаров, которые также часто требуют промежуточного логистического
складского обслуживания.
Необходимость эффективной логистики обусловлена
не только постоянно растущим ценовым давлением, но и такими явлениями, как
глобализация и электронный бизнес. За счет новых технологий управления
хранением и движением товаров можно значительно сократить расходы на
распределение и содержание товарных запасов, повысить качество обслуживания
покупателей. Эффективность товаропроизводящих систем характеризуется качеством
обслуживания и ценой обслуживания. Важнейший из критериев для складов
дистрибьютеров – степень удовлетворения заказа в течение суток. Приемлемым, но
недостаточно современным уровнем обслуживания считается способность склада
отгрузить 90% заказанных номенклатуры и количеств, хорошим – 95%, отличным –
100%.
Затраты на складирование, грузообработку и
доставку товаров достигают порой 60% их стоимости. Поэтому важна оптимизация
работы складов для сокращения затрат.
Выручку за товары владельцы могут получить
только после их реализации потребителям в том же виде или вместе с другими
товарами (материалами, комплектующими, в виде новой продукции. От оплаты товара
до получения платы за него проходит время, а деньги обесцениваются со скоростью
до 1% в месяц. Следовательно, в интересах владельцев товаров максимально
сократить сроки хранения – период времени между оплатой заказанных им товаров и
получением выручки за их реализацию. События при хранении, влияющие на
количество и качество товаров, его они произошли, негативно сказываются на всей
деятельности владельца – он вынужден терять время на выявление недостачи и
испорченных товаров, приходится закупать новые количества товаров взаимен
недостающих или испорченных.
Логистика представляет все более критический
фактор для участников рынка, деятельность которых усложняют четыре основные
тенденции:
-увеличение номенклатуры товаров и сокращение
циклов их выпуска;
-все большая интернационализация производства и
поставок;
-увеличение давления себестоимости;
-усиление экологических проблем и регулирования
(для возвратной логистики).
Возвратная логистика, которая занимается
возвращением товаров и материалов на рециклинговые фирмы, играет все более
заметную роль и предъявляет растущие требования ко всем предприятиям в
промышленности в дистрибуции. Попытки упрощать операции ввиду быстро
развивающейся рыночной среды и противоречия между уменьшением затрат на
хранение и обеспечением наличия необходимых товаров в сроки и местах, где они
требуются, привели к множеству событий в стратегиях участников рынка.
Самые важные из них:
-централизация складских мощностей в нескольких
местоположениях в регионе, например в Европе;
-растущее использование специализированных
независимых логистических компаний.
Эти два события взаимосвязаны в том смысле, что
меньшее количество дислокаций складов требует увеличения количества поставок, в
которых специалисты по логистике имеют конкурентные преимущества. Обе стратегии
приняты, в частности, автокомпаниями и изготовителями запчастей. Например,
компания «Hyundai» в Великобритании передала на аутсорсинг ее логистическому
оператору компании «Lex» выполнение следующих работ: управление запасами
запасных частей, прогноз спроса, возвратную логистику, обучение дилеров.
Компания «DaimlerChrysler» в Великобритании поручила компании «TNT» всю
логистику запчастей в Великобритании. «BMW» использует компанию «Exel» для
управления глобальным распределением запчастей для марки «Rolls Royce».
При передаче функций логистики внешним
структурам компании могут сосредоточиться на основных задачах, избавляются от
проблем поиска специалистов по логистике, снижают затраты.
Склады являются регуляторами движения сырья,
материалов, готовых изделий. Услугами склада пользуются как в производственной
сфере, так и в сфере торговли. Сегодня ни одна организация независимо от
размеров не может обойтись без использования операций, которые позволяют решить
множество разнообразных вопросов, связанных с ее деятельностью:
-планирование работы предприятия
(производственного или торгового);
-эффективное использование транспортных средств
(при поступлении и отгрузке ТМЦ);
- при необходимости создание товарного запаса;
-ведение контроля за спросом и предложением
товаров;
-осуществление учета (поступление, отгрузка)
товаров по ассортименту и количеству;
-формирование цен на товары и т.д.
Кроме того, без учета деятельности склада
снижается общая эффективность работы организации. Поэтому каждый руководитель
должен стремиться к оптимизации всех операций, связанных с переработкой и
оформлением грузов; к координации деятельности служб закупок, продаж и склада к
расчету оптимального количества складов и места их расположения.
В этом и заключаются принципы складской
логистики. Основные ее направления:
-снижение затрат за счет рациональной
планировки склада при выделении рабочих зон;
-увеличение мощности склада за счет
эффективного использования пространства при расстановке оборудования;
-выполнение различных складских операций с
использованием универсального оборудования;
-увеличение пропускной способности склада при
минимизации маршрутов внутрискладской перевозки;
-максимальное использование возможностей
информационных систем.
Классификация и виды складов.
Значимость складской логистики в национальной
экономике обуславливает множественность параметров для классификации складов. К
таким параметрам относятся6
-современное складское здание, коммуникации и оборудование,
отвечающее международным стандартам;
-однообъемное здание, построенное по
современным технологиям с использованием высококачественных материалов;
-близость к транспортным развязкам и основным
железнодорожным или автомобильным магистралям, удобный подъезд;
-шаг колонн более 12 м;
-ровный пол с антипылевым покрытием;
-полезная высота не менее 10м;
-погрузочные эстакады и доки, автоматические
ворота докового типа с гидравлическим пандусом, регулируемым по высоте;
-режим влажности и температуры регулируется,
тепловые завесы на воротах, система центрального кондиционирования и/или
система приточно-вытяжной вентиляции;
-система спринклерного пожаротушения;
-система охранной сигнализации и система
видеонаблюдения;
Офисные помещения не ниже класса В;
-выделенные телефонные линии, оптико-волоконные
телекоммуникации;
Площадь свободного земельного участка не мене
площади здания;
-круглосуточная работа;
-круглосуточная охрана, система
видеонаблюдения;
-достаточная территория для отстоя и
маневрирования большегрузных автопоездов, парковки для грузового и легкового
транспорта;
-таможенный пост;
-договоры аренды с госрегистрацией.
Можно выделить основные операции стандартно
выполняемые на складах, это:
-приемка, хранение, обработка и отгрузка
товаров;
-учет движения товаров;
-качественное хранение товаров.
Склад используется в различных функциональных
областях логистики – снабженческой, производственной и распределительной.
Склады в области снабжения условно можно
разделить на две группы:
- склады сырья и материалов;
- склады продукции производственного
назначения.
Остановимся на этих группах подробнее.
На складах сырья и материалов груз, как
правило, находится в жидком или сыпучем состоянии. Такие склады работают с
однородным грузом, с большими партиями поставки и относительно постоянной
оборачиваемостью. Это дает возможность ставить вопрос об автоматизированной
складской переработке груза.
Склады продукции производственного назначения –
склады тарных и штучных грузов. В основном это грузы большой массы и относительно
однородной номенклатуры. На таких складах требуется высокий уровень механизации
и автоматизации работ.
Склады производственной логистики связаны с
обработкой груза относительно постоянной номенклатуры. Груз поступает и уходит
со склада с определенной периодичностью и с малым сроком хранения. Это
позволяет добиться автоматизированной обработки груза или высокого уровня
механизации работ. Производственные склады подразделяются на склады: сырьевые;
полуфабрикатов; деталей и заготовок; готовой продукции; отходов производства.
Склады распределительной логистики составляют
наиболее многочисленную и разнообразную группу. Они могут принадлежать как
производителям, так и оптовым торговым предприятиям. Здесь происходит
преобразование производственного ассортимента в торговый, а также бесперебойное
обеспечение различных потребителей, включая розничную сеть. Склады готовой
продукции и распределительные склады занимаются обработкой тарных и штучных
грузов однородной номенклатуры с быстрой оборачиваемостью, реализуемых крупными
партиями. Это дает возможность осуществлять автоматизированную и
высокомеханизированную обработку груза.
Существуют и другие классификации складов
(табл.1.1)
Таблица 1.1 - Классификация складов
|
Тип классификации
|
Типы складов
|
|
По форме собственности
|
Собственные
|
|
Арендуемые
|
|
Коммерческие
(логистического посредника)
|
|
По принадлежности
|
Склады одного
предприятия (сети)
|
|
Склады коллективной
собственности
|
|
По назначению
|
Производственного
назначения
|
|
Оптово-заготовительные
и снабженческие (торговых компаний)
|
|
Перевалочные
|
|
Коммерческие (склады
ответственного
|
|
По ассортиментной
|
Специализированные
|
|
Универсальные
|
|
Смешанные
|
|
По режиму хранения
|
Не отапливаемые
|
|
Отапливаемые
|
|
Склады-холодильники
|
|
Склады с фиксированным
климатическим режимом
|
|
По технической
|
Немеханизированные
|
|
Механизированные
|
|
Тип классификации
|
Типы складов
|
|
Автоматизированные
|
|
Автоматические
|
|
По виду складских
зданий и сооружений
|
Открытые
|
|
Площадки под навесом
|
|
Закрытые
|
|
По виду складирования
|
С напольным хранением
|
|
Со стеллажным хранением
|
|
Со смешанным хранением
|
|
По характеру ТМЦ
|
Непродовольственные
|
|
Продовольственные
|
|
Специальные
|
|
По масштабу
деятельности
|
Центральные
|
|
Региональные
|
|
Местные
|
Особого внимания заслуживают таможенные склады,
где хранится товар, предназначенный на экспорт, а также импортный товар. В
соответствии с Таможенным кодексом Республики Беларусь таможенный режим
таможенного склада – таможенный режим, при котором ввезенные товары хранятся
под таможенным контролем без внимания таможенных пошлин и налогов и без
применения к товарам мер экономической политики в период хранения. Обеспечение
хранения товаров осуществляется путем использования специально выделенного и
обустроенного помещения или иного места (таможенного склада). Таможенный склад
может быть как открытого типа (доступным для использования любыми лицами), так
и закрытого типа (предназначенным для хранения товаров определенных лиц).
Следует отметить, что товары в режиме таможенного склада могут находиться в
течение трех лет, а владелец такого склада обязательно должен иметь лицензию
Государственного таможенного комитета Республики Беларусь. Лицензия не
требуется, если учредителем таможенного склада является таможенный орган
Республики Беларусь.
Интересную систему классификации складских
помещений разработала зарубежная компания «РМС». Эта классификация позволяет
оценить склад по важнейшим потребительским критериям (табл.1.2).
Таблица 1.2 - Основные характеристики склада
|
класс склада
|
Основные характеристики
склада
|
|
«А»
|
-Современное
одноэтажное складское здание;
-построено по
современным технологиям с использованием высококачественных материалов;
-высота потолка не
менее 10м, позволяющая установку многоуровневого стеллажного оборудования;
|
|
класс склада
|
Основные характеристики
склада
|
|
-ровный пол с антипылевым
покрытием;
-система пожарной
сигнализации и автоматическая система пожаротушения
|
|
(спринклерная или
порошковая);
-полностью регулируемый
температурный режим;
-тепловые завесы на
воротах;
-автоматические ворота
докового типа с гидравлическим пандусом, регулируемым по высоте;
-система центрального
кондиционирования или система приточно-вытяжной вентиляции;
-система охранной
сигнализации и система видеонаблюдения;
-офисные площади при
складе;
-оптико-волоконные
телефонные линии;
-достаточная территория
для отстоя и маневрирования большегрузных автопоездов;
-удобное расположение
на основных магистралях, обеспечивающее хороший подъезд;
|
|
«В»
|
-Капитальное здание
одно- или многоэтажное (реконструированные бывшие производственные помещения,
с необходимыми коммуникациями и оборудованием);
-высота потолков от 4,5
до 8 м;
-пол – асфальт или
бетон без покрытия;
-температурный режим от
+10 до +18 С;
-пожарная сигнализация
и гидрантная система пожаротушения;
-пандус для разгрузки
автотранспорта;
-офисные помещения при
складе;
-телефонные линии;
-охрана по периметру территории;
|
|
«С»
|
-Капитальное
производственное помещение или утепленный ангар;
-высота потолков от 3,5
до 18 м;
-отапливаемое помещение
(температура зимой от +8 до + 14 С);
-пол – асфальт,
бетонная пли тк4а или бетон без покрытия;
-ворота на нулевой
отметке, автомашина заходит внутри помещения;
|
|
«Д»
|
Подвальные помещения
или объекты гражданской обороны, не отапливаемые производственные помещения
или ангары
|
Из данной таблицы видно, что наилучшими потребительскими
качествами обладают склады класса А.
Таким образом, анализ показал, что складская
логистика является важнейшим звеном любого современного национального хозяйства
и ее значение постоянно возрастает. Для Республики Беларусь складская логистика
имеет особое значение в силу транзитного положения страны и в силу высокой
степени открытости экономики. Поэтому развитие складской логистики, создание
благоприятных условий для этого выступают важнейшими народнохозяйственными
задачами настоящего времени.
1.1 Определение оптимальных параметров
склада
Определяя оптимальное месторасположение склада,
важно учитывать, для каких целей он предназначен. Из табл. 1.1. видно, что по
своему назначению склады делятся:
-на склады производственного назначения;
-оптовые склады торговых компаний;
-коммерческие склады;
-перевалочные склады.
Тенденцией последних лет как в мире, так и уже
в республике является рост числа оптово-заготовительных и снабженческих
(торговых компаний) складов. Открытие нового производства требует значительных
материальных и финансовых затрат. Кроме того, по сравнению с оптовой торговлей
производственная деятельность является гораздо более трудоемкой и менее
рентабельной. Поэтому многие организации предпочитают вкладывать деньги в
оптовую торговлю, которой необходимы оптовые склады или распределительные
центры (РЦ). С помощью таких складов торговые компании снабжают торговые точки
необходимым товаром, а также распределяют товар по складам, расположенным в
другой местности. Таким оптовые склады размещаются обычно вблизи города. Товар
на них доставляется крупными партиями, а вывозится мелкими.
Оптовые склады и распределительные центры
размещаются обычно недалеко от городов (имеющих автомобильное либо
железнодорожное сообщение), а также на пересечении крупных автомагистралей.
Торговое предприятие, стремясь к постоянному
увеличению объема продаж, должно принимать во внимание эффективность
использования автомобильного и железнодорожного транспорта. Это требует
обязательной разработки логистической стратегии.
Крупные зарубежные компании, поставляющие
множество товаров различных наименований, осуществляют деятельность только на
основе логистической стратегии, которая предполагает надлежащую организацию
работы на складах и наличие автоматизированной системы управления (АСУ).
Таким образом, торговый склад должен
находиться:
-на пути основного товаропотока или в месте
пересечения транспортных потоков (автодорог, железнодорожных и других
магистралей);
-вблизи мест потребления товаров (города,
мегаполиса).
Основной целью коммерческого склада (склада
ответственного хранения) является получение прибыли путем предоставления услуг
по хранению товаров третьим лицам. Коммерческий склад – самостоятельное
предприятие, где взаимоотношения с клиентами строятся на договорной основе.
Основными заказчиками могут быть производственные и торговые компании, не
имеющие собственных складов. Перечислим отличительные особенности коммерческого
склада.
Таблица 1.3 – Отличительные особенности
коммерческого склада
|
Коммерческий склад
|
Склад – подразделение
производственной (торговой) компании
|
|
Получение прибыли за
предоставленные услуги
|
Затратная часть
компании
|
|
Работа с различными
клиентами и товарами
|
Работа только с
определенными материалами и изделиями компании
|
|
Ведется постоянная
работа по поиску новых клиентов
|
Работа по поиску новых
клиентов не ведется. Выполняется производственный план компании
|
|
Полная материальная
ответственность перед клиентами
|
Материальная
ответственность работников склада в рамках компании
|
|
Учет движения товаров
ведется на забалансовом счете
|
Учет движения товаров
ведется на основных счетах
|
|
Проводятся постоянные
маркетинговые исследования ситуации на рынке складских услуг
|
Отсутствуют
маркетинговые исследования
|
|
Имеется собственная
система безопасности
|
Общая система безопасности
компании
|
|
В наличии полная
структура управления организацией
|
Является структурным
подразделением компании
|
Коммерческий склад как самостоятельное
предприятие решает более сложные задачи и ведет работу с разнообразными
товарами разных клиентов.
Коммерческие склады располагаются вблизи
городов, на пути основных товаропотоков и на пересечении транспортных артерий,
что позволяет организовать доставку товаров покупателям прямо со склада
(например, через интернет).
Лучше всего если коммерческий склад будет
расположен неподалеку от железной дороги, так как железнодорожный транспорт -
самый дешевый из наземных видов транспорта.
Стоит отметить, что коммерческие склады могут
быть как распределительными, так и перевалочными пунктами.
Перевалочные склады располагаются в местах
доставки и отправки грузов: в портах, аэропортах и на железнодорожных станциях.
Они предназначены для временного хранения товаров, которые постепенно
накапливаются для отправки конкретным рейсом. Самые крупные перевалочные склады
обычно находятся в портах – это открытые площадки, где размещаются различные
насыпные грузы, а также жидкие грузы в больших емкостях. На этих складах весь
процесс (погрузка, разгрузка) механизирован.
Отметим дополнительные условия, влияющие на
выбор места расположения склада:
-стоимость земли;
-наличие коммуникаций, связи и подъездных
дорог;
-природные условия.
Создание складского комплекса – процесс сложный
и долгий, требующий системного подхода, привлечения квалифицированных
специалистов и больших финансовых затрат.
Выделим основные требования, предъявляемые к
современному складу:
-вновь построенное здание с ровным бетонным
полом, оснащенным антипылевым покрытием и выдерживающим нагрузку не менее 5 т
на кВ.м.;
-высота потолков – не менее 8м;
-обязательное наличие системы пожарной
сигнализации;
-наличие охранной сигнализации и системы
видеонаблюдения;
-наличие погрузочно-разгрузочных площадок;
-обязательное наличие комплексной системы
вентиляции;
-для персонала склада должны быть предусмотрены
офисные и вспомогательные помещения (туалеты, душевые и т.д.).
От идеи до начала полноценного функционирования
склада может пройти до трех – четырех лет. Этот срок зависит от многих условий,
в первую очередь от величины строящегося склада. Каждый заказчик стремится
сократить сроки строительства. Для этого необходимо учитывать, сколько времени
в среднем требуется на реализацию каждого этапа.
Примерные сроки и этапы создания склада можно
представить следующим образом:
- подготовка, обработка данных для формирования
основных требований (1-2 недели);
- разработка и создание технологического
проекта (1,5-2 месяца);
- разработка и создание строительного проекта
(1-3 месяца);
- согласование строительного проекта (2-4
месяца);
- строительство склада (8-24 месяца);
- поставка складского оборудования (2-4
месяца);
- внедрение АСУ (6-8 месяцев).
В ходе строительства возникают следующие
затраты:
-на приобретение в собственность (или в
долгосрочную аренду) земельного участка;
-проектные затраты (технологического и
строительного проектов);
-затраты на само строительство (здания,
стоянок, дорог и т.д.);
-на проведение электричества, связи, воды,
канализации и отопления;
-на приобретение и установку складского,
стеллажного, подъемно-транспортного и охранного оборудования;
-на приобретение и внедрение АСУ;
-второстепенные затраты, связанные с покупкой
офисной мебели и оборудования, без которых склад не может функционировать в
нормальном режиме.
В ходе эксплуатации склада возникает множество
других затрат: оплата коммунальных услуг, выплата заработной платы персоналу,
расходы на ремонт оборудования и приобретение топлива и т.д.
Потребность в складах постоянно растет.
Наибольшим спросом пользуются склады площадью от 500 до 1000 кв.м. Ситуация на
рынках складов в республике довольно сложная. С одной стороны, предложений
много, с другой – половина этих складов не соответствует стандартным условиям
аренды и непригодны для специализированного использования. Так, довольно часто
на складах отсутствуют холодильные помещения. В основном предложения поступают
от предприятий, заводов, владеющих пустующими складами и простаивающими цехами.
Такие помещения не отвечают даже минимальным современным требованиям: не
оборудованы специальными погрузочно-разгрузочными рампами, не имеют удобных
подъездных путей, в них не соблюдаются меры безопасности, требования пожарной
безопасности и производственной санитарии.
Вследствие дефицита хороших предложений растут
арендные ставки: еще недавно арендная стоимость 1 кв.м в месяц составляла 3-5
долларов, а сейчас – 3-5 евро.
В последнее время на рынке складских помещений
появилась новая тенденция: растет предложение услуг по ответственному хранению.
Спрос на такие услуги имеет положительную динамику, правда, пока площади этих
складов невелики – до 300 кв.м. Не исключено, что будущее именно за складами
ответственного хранения.
Выделим основные преимущества услуг
ответственного хранения:
-отсутствуют затраты по найму (в том числе
расходы на оплату труда) обслуживающего персонала;
-отсутствуют затраты на приобретение складского
и другого оборудования, а также технических средств для складирования товаров.
Следовательно, организация может направить
высвободившиеся средства на другие цели, например на освоение новых рынков
сбыта и т.д.
При аренде склада обязательно заключается
договор аренды арендатором (компанией) и арендодателем (собственником склада),
где оговариваются все условия аренды, в том числе сумма арендной платы (в
месяц, в год). Оказание услуг по ответственному хранению товара также
осуществляется на договорной основе.
Оптимальная система складирования
предопределяет рациональность технологического процесса на складе. Основным
условием здесь является минимальное количество операций по переработке груза.
Именно поэтому огромное значение придается определению оптимального вида и размеров
товароносителя, на котором формируется складская грузовая единица. Такими
товароносителями могут стать: стоечные, сетчатые, ящичные, плоские поддоны и
полуподдоны, а также кассеты, ящики для мелких грузов.
Складской товароноситель увязывает между собой
номенклатуру перерабатываемого груза, внешние и внутренние материальные потоки
и все элементы системы.
На выбор товароносителя влияют:
-вид и размеры упаковки и транспортной тары;
-система комплектации заказа;
-оборачиваемость товара;
-применяемое технологическое оборудование для
складирования груза;
-особенности подъемно-транспортных машин и
механизмов, обслуживающих склад.
Основной критерий правильности выбора
товароносителя – отсутствие возврата складской грузовой единицы из зоны
комплектации в зону хранения при формировании заказа покупателя.
Вид складирования предлагает выбор
технологического оборудования, на котором складируется груз, и форму размещения
его в пространстве складского помещения. На выбор оказывают влияние: складская
площадь, высота склада, используемый товароноситель, объемы партий поставки,
особенности комиссионирования груза, свободный доступ к товару, условия
хранения товара, широта ассортимента товара, простота обслуживания и
капитальные затраты.
Размещение технологического оборудования должно
обеспечивать максимальное использование площади и высоты склада.
Выделяются следующие основные виды
складирования:
-складирование в штабеле блоками:
-складирование в полочных стеллажах до 6 м;
-складирование в потолочных высотных стеллажах;
-складирование в проходных (выездных)
стеллажах;
-складирование в передвижных стеллажах;
-складирование в элеваторных стеллажах.
В качестве преимуществ различных видов
складирования рассматриваются:
-высокая степень используемой площади и объема;
-свободный доступ к товару;
-чувствительность к структурным изменениям
запасов;
-возможность высотного складирования;
-легкость обслуживания;
-возможность автоматизированного управления;
-выполнение принципа «ФИФО» (груз «первый
пришел – первый ушел»);
-низкие капиталовложения и строительные
затраты;
-низкие эксплуатационные затраты и затраты на
техническое обслуживание.
На современных складах чаще всего используют
комбинации различных видов складирования, в особенности на складах оптовой
торговли распределительной логистики. Объясняется это разнообразием хранимой
продукции, со своими специфическими особенностями.
Для обслуживания складов используют различные
виды подъемно-транспортных машин и механизмов. Выбор их зависит от
характеристик самих технических средств и общей направленности технической
оснащенности склада. При этом высокий уровень механизации и автоматизации
складских работ, а значит, использование высокопроизводительных технических
средств целесообразно на крупных складах с большой складской площадью и устойчивым
однородным материальным потоком. На складах, задействованных на снабжении
различных розничных предприятий, могут использоваться и средства малой
механизации, в особенности при комплектации заказа. Наиболее распространены на
механизированных складах такие виды подъемно-транспортных средств, как
электропогрузчики, электроштабелеры, а на автоматизированных складах –
межстеллажные краны-штабелеры.
При сооружении склада необходимо оборудовать
его подъездными путями, учесть погрузочно-разгрузочные фронты, обеспечить
пожарную безопасность, определить массу различных материалов и места их
хранения внутри склада, число стеллажей и исходить из допустимой нормы нагрузки
на 1 кв.м. площади пола.
Вся площадь склада делится на:
-грузовую или полезную, непосредственно
занимаемую под материальными ценностями;
-оперативную, которая предназначается для
приемно-отпускных операций, сортировки, комплектования материальных ценностей,
а также для проходов и проездов между штабелями и стеллажами, для размещения
весовой и измерительной техники, служебных помещений, конструктивную,
занимаемую под перегородки, колоны, лестницы, подъемники, тамбуры.
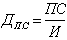
Соотношение между полезной площадью склада (Sпол)
и общей площадью (Sобщ) называется коэффициентом использования
площади склада который определяется по формуле:
. (1.1)
Величина этого коэффициента зависит от способа
хранения материальных ценностей. Например, при хранении в штабелях он равен
о,7-0,75, а при хранении на стеллажах – 0,3-0,4.
Расчет полезной площади склада может
производиться:
- по способу нагрузок;
- по способу объемных измерителей.
По способу нагрузок полезная площадь (Sпол,
м2) определяется по формуле:
, (1.2)
где Zmax - максимальный складской
запас материала, хранимого в штабелях и емкостях, т, кг;
qД - допустимая нагрузка на 1 кв.м.
плошщади пола склада (согласно справочным данным), т/м2, кг/м2.
По способу объемных измерителей полезная
площадь рассчитывается по формуле
, (1.3)
где Sст - площадь, занимаемая одним
стеллажом, м2;
Nст - число стеллажей, необходимых
для хранения данного максимального запаса материала, определяемое по формуле
(расчетное):
, (1.4)
где qy - плотность (объемный вес)
хранимого материала, т/м3; кг/см3; г/см3;
Kзп – коэффициент заполнения объема
стеллажа;
Vо - объем стеллажа в м3 (см3),
определяемый по формуле:
, (1.5)
где a – длина стеллажа, м;
В – ширина стеллажа, м;
H – высота стеллажа, м.
Принятое число стеллажей устанавливается после проверки
соответствия допустимой нагрузки. Расчет осуществляется по формуле:
. (1.6)
Общая площадь склада (с учетом коэффициента
использования площади) рассчитывается по формуле:
. (1.7)
Размер площади под приемочно-отправочные
площадки определяется по формуле:
, (1.8)
где З – коэффициент, показывающий, что высота
укладки материалов на площадках должна быть в 3 раза меньше высоты укладки на
транспортных средствах;
Sтр – площадь, занимаемая единицей
транспортного средства, м2;
Спр.т.с. – количество транспортных
средств, находящихся одновременно под погрузкой-разгрузкой.
Служебные помещения складов рассчитываются
исходя из нормы 2.5-6 м2 на одного работника.
Ширина проходов между стеллажами и штабелями
устанавливается 0,8-0,9 м, а для проезда тележек – 1.1-1.2 м. Через каждые
20-30 м должны быть сквозные проезды.
В заключение отметим, оптимизация параметров
складских помещений зависит, прежде всего, от назначения склада. В свою очередь
это назначение может меняться с течением времени. Поэтому изначально следует
предусматривать возможность реконструкции строящихся.
2. Анализ складского хозяйства и деятельности
совместного белорусско-германского предприятия «Доминик» ООО
2.1 БГСП «Доминик» ООО процесс становления и
совершенствования управления деятельностью
На белорусском рынке Белорусско-германское
совместное предприятие ООО «Доминик» появилось в 1991 году. Два года с 1991 по
1992 понадобились предприятию чтобы выполнить процедуры государственной
регистрации и для выхода на рынок международных транспортных услуг. С момента
основания СП ООО «Доминик» юридически представляет собой коммерческую
организацию. Уставный фонд предприятия в соответствии с учредительными
документами, зарегистрированными в соответствии с Белорусским законодательством
в Министерстве иностранных дел, составляет 2000000 ДМ. Поскольку процедура
регистрации не предусматривает оснований переоценок уставного фонда и
обязательной перерегистрации предприятия в связи с изменениями в финансовых
системах зарубежных стран формально уставный фонд представлен в фактически
исчезнувшей денежной единице, а фактически он может быть оценен на сегодня в
пределах 1700000 Евро или более 2000000 долларов США. К счастью, формальные оценки
состояния уставного фонда практически не влияют на реальные конкурентные
позиции предприятия.
Целью бизнеса компании с самого начала и по
настоящее время является увеличение рыночной стоимости компании посредством
расширения объемов и повышения качества предоставляемых услуг.
Логика развития спроса на транспортные услуги в
Беларуси привела к необходимости диверсификации бизнеса компании «Доминик».
Дело в том, что с 1991 года, несмотря на то, что экономика Беларуси становится
все более открытой, объемы транспортных услуг, предоставляемых белорусскими
перевозчиками сокращались вплоть до 2001 года. Динамика этих перевозок
представлена в таблице 2.1.
|
Годы
|
Перевозки автомобильным
транспортом
|
|
Млн.т.
|
Млн.тонно-километров
|
|
1
|
2
|
3
|
|
1990
|
987,6
|
22361
|
|
1991
|
973,6
|
22128
|
|
1992
|
802,1
|
17569
|
|
1993
|
636,9
|
14839
|
|
1994
|
472,5
|
12488
|
|
1995
|
350,0
|
9539
|
|
Продолжение таблицы 2.1
|
|
1
|
2
|
3
|
|
1996
|
262,6
|
8658
|
|
1997
|
263,6
|
9065
|
|
1998
|
276,1
|
9686
|
|
1999
|
248,4
|
9232
|
|
2000
|
226,7
|
9745
|
|
2001
|
210,6
|
10241
|
|
2002
|
211,9
|
11400
|
|
2003
|
223,2
|
12710
|
|
2004
|
254,9
|
13969
|
|
2005
|
290,2
|
15045
|
|
2006
|
310,6
|
15779
|
|
2007
|
341,3
|
19200
|
|
2008
|
367,2
|
21180
|
Источник: составлено: Республика Беларусь.
Статистический ежегодник Министерства статистики и анализа Республики Беларусь.
Минск, 2008. стр.455; 456.
Как видно из таблицы, особенно с 1992 года,
т.е. по сути с начала работы компании «Доминик» происходит существенное
снижение абсолютного объёма перевозок грузов с 1991 по 1992 на 171,5 млн. т, с
1992 по 1993 на 165,2 млн. т. Однако при этом объёмы представленные в
тонно-километрах снижаются не так существенно. Особенно это видно в сравнении
процентной динамики. Если объёмы в миллионах тонн сократились за указанный
период на 2,5% и 8,9 %, то в тонно-километрах на 2,1% и 8,2% соответственно.
Более того, уже с 1996 года динамика перевозок в тонно-километрах становиться
положительной. Это отражает рост объёмов международных перевозок, в первую
очередь в связях с дальним зарубежьем.
Такие перевозки требуют, естественно,
соблюдения таможенных процедур. В компании обратили на это внимание. Чему,
кстати, способствовали виды деятельности записанные и разрешенные для
выполнения в регистрационные документы. В таблице 2.2 представлены лицензии полученные
компанией при регистрации.
Таблица 2.2 – Регистрационные документы и
лицензии
|
Лицензии
|
Номер
|
|
1
|
2
|
|
Строительно-монтажные и
специальные работы
|
№ 11521
|
|
Создание таможенного
склада типа А
|
№ А-060023Б
|
|
Создание СВХ типа А
|
№ ВА-060070А
|
|
Транспортно-экспедиционная
деятельность
|
0035896 МА №1-0489
|
|
Осуществление охраны
объектов СП «Доминик»
|
№71 МА №0000071
|
|
Деятельность
таможенного агента
|
№ 636-А
|
|
Междугородные перевозки
автомобильным транспортом
|
0035897 АА №1-3154
|
|
Международные перевозки
автомобильным транспортом
|
0035898 АЕ №1-0921
|
|
Таможенные перевозки
|
0000214 № 060017А
|
|
Хранение табачных
изделий
|
№ 26285
|
|
Хранение алкогольной
продукции
|
№ 26284
|
|
Внутригородские
транспортные перевозки
|
№ Г-000810
|
|
Оптовая торговля
|
№ 0070643
|
Уже в 1993 году компания проводит работу по
приобретению участка земли для строительства терминала таможенного склада в
районе Минской кольцевой дороги.
В 1997 году компания вводит в эксплуатацию
первый склад общей площадью 1000 м2. Тем самым компания по сути
экспортирует в Республику Беларусь новую форму организации складского
хозяйства, появившуюся на Западе с 80-х годов – девелопмент.
Особенностью девелопментской деятельности
компании становиться то, что она появляется не в результате размежевания с
транспортной логистикой, а как её продолжение. Дело в том, что в Европе с 80-х
годов спрос на логистические услуги растёт на 5 – 6 %, опережая, как минимум
рост ВВП в 1,5 – 2 раза. Компания «Доминик» занялась строительством складов и
предоставлением складских услуг наоборот в условиях сокращения спроса на
транспортно-логистические услуги, как это видно из таблицы 2.1.
Вместе с строительством первого склада
«Доминик» замораживает, а затем и сокращает предоставление собственно
логистическо-транспортных услуг. С расширением международных транспортных
перевозок логистические и девелоперские услуги начинают представлять два разных
бизнеса – рынок услуг и рынок недвижимости.
Различия Бизнеса девелоперов и субъектов
транспортной логистики определяются прежде всего различием их клиентуры. У
девелоперов это логистические операторы 70%, торговые компании 25%,
производственные компании 5%, у логистических провайдеров 100% крупные и
средние торговые компании.
В международной практике сложились четыре
основных типа операторов девелопмента:
а) собственники складских объектов
(девелоперы), предоставляющие помещения в аренду и не оказывающие никаких услуг
по обработке и транспортировке грузов;
б) собственники складских объектов, сдающих в
аренду и предоставляющих ограниченный комплекс услуг (погрузка-выгрузка,
перемещения внутри склада), это 1PL-операторы;
в) собственники или арендаторы складов, которым
в аутсорсинг переданы не только погрузочно-разгрузочные операции, но и учёт
товаров на складе, подборка заказов крупными единицами (паллетами, блоками,
упаковками), оформление товарно-транспортной документации, это 2PL-операторы;
г) собственники или арендаторы складов, которым
в аутсорсинг передан полный комплекс складской обработки грузов, включая
подборку (пикинг) мелкими единицами (коробками, штуками), а также
дополнительные операции по переупаковке, маркировке, стикеровке и т.д. Кроме
этого, склад оснащён автоматизированной системой управления (WMS), позволяющая
не только вести учёт и размещение товаров на складе, но и формировать
ежедневные отчёты по движению товаров, а также вести учёт оказанных услуг для
автоматизации процедуры выставления счетов, это 3PL-операторы.
Поскольку «Доминик» свою девелоперскую
деятельность начал с строительства нового склада, а не с аренды существующих
складов, то с самого начала компания стала собственником склада типа В. Важным
преимуществом компании явилось то, что став собственником участка земли в 3,5
га склад был построен с грузовым терминалом. В комплексе склад «Доминик» по
своему потенциалу открыт при минимальных издержкахдля модернизации в склад А.
Единственной причиной по которой он не строился изначально по типу А явилось
отсутствие потребности спроса на услуги склада типа А, которые бы обеспечили
окупаемость строительства такого склада в нормативные коммерчески приемлемые
сроки.
В компании сложилась структура доходов
представленная в таблице 2.3.
Таблица 2.3 – Структура доходов БГСП «Доминик»
ООО
|
№
|
Статья доходов
|
%
|
|
1
|
Хранение (стеллажное
и/или напольное), европал/сутки
|
40,00
|
|
2
|
Погрузо-разгрузочные
операции, механизированные, палеты
|
8,50
|
|
3
|
Погрузо-разгрузочные
операции, ручные, короб
|
12,00
|
|
4
|
Расконсолидация и
переупаковка, короб
|
4,80
|
|
5
|
Комплектация заказов
(пикинг), короб
|
18,00
|
|
6
|
Штучная подборка,
штука/строка
|
12,00
|
|
7
|
Обмотка паллет
стретч-пленкой, паллета
|
1,50
|
|
8
|
Маркировка, стикеровка,
термоупаковка, единица
|
1,50
|
|
9
|
Документационное
сопровождение (отчёты, справки и т.д.)
|
1,50
|
|
10
|
Прочее
|
0,20
|
|
ИТОГО:
|
100,00
|
К настоящему времени в результате развития
избранного направления бизнеса БГСП «Доминик» ООО имеет в собственности
складской комплекс общей площадью 4000 кв.м, офисные помещения площадью 840
кв.м. Компания трансформировала автомабильный парк и распологает сегодня 12
транспортными средствами, грузоподъёмностью от 0,5 до 8 тонн. В зоне
таможенного контроля (ЗТК) оборудованы 110 стояночных мест автомобилей, что
обеспечивает среднее количество пятидесяти въезжающих за день обслуживаемых
машин. Процедура таможенного оформления предполагает среднее нахождение
транспортного средства в зоне таможенного контроля в течении 2-3 дней.
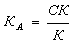
Рисунок 2.1 приведённый ниже иллюстрирует
динамику количества машин обслуживаемых БГСП «Доминик» ООО в зоне своих складов
за период с 2006 по 2008 года.
Рисунок 2.1 – Рост количества въехавших в ЗТК
«Доминик» транспортных средств за период с 2006 по 2008 года
Как видно из рисунка стратегия «Доминик» на
развитие девелопмента реализовалась успешно. Загруженность обрабатываемых
клиентов имеет устойчивую тенденцию роста. Рисунок 2.2 в свою очередь
демонстрирует постоянный рост второго показателя, дохода на одну въехавшую
машину, который по сравнению с 2006 года увеличился на порядок, и за 2008 год
составил 145 долларов США ± 5,0 долларов США на один автомобиль.
Рисунок 2.2 – Рост дохода на одну машину с 2006
по 2008 год
Рост дохода дал «Доминик» возможность
формирования квалифицированного штата сотрудников обеспечивающих все возможные
операции девелопмента. В приложении А представлена организационная структура
БГСП «Доминик» ООО в целом и представляет собой линейно-функциональную
структуру.
Директорат. В компетенцию директората входит
решение вопросов общего руководства деятельностью компании. Генеральный
директор и советник по общим вопросам осуществляют стратегический и оперативный
менеджмент на предприятии.
Юрист. Обязанности юриста связаны с правовым
регулированием и контролем хозяйственной деятельности предприятия, защите
интересов компании в спорных вопросах, ее представлении в государственных
органах, а также решении кадровых вопросов организации.
Бухгалтерия. Возглавляемый главным бухгалтером
отдел занимается ведением учета движения ресурсов на предприятии, составлением
соответствующей отчетности с последующим предоставлением в налоговые и
статистические органы государства, уплатой налогов и отчислений в бюджет
государства, а также расчетами с контрагентами компании.
Таможенный отдел. Функции таможенного отдела
сводятся к обеспечению высококачественного таможенного сервиса, организации
мероприятий направленных на повышение качества оказываемых услуг. Координируют
деятельность подразделения начальник таможенного отдела и его заместитель
Транспортно-экспедиционный отдел. Во главе с
начальником транспортно-экспедиционного отдела, подразделение занимается
организацией и осуществлением международных и внутренних автомобильных
грузоперевозок посредством собственного и привлеченного подвижного состава.
Торговый отдел. Организация сбыта товаров
дистрибьютируемых марок и мероприятий, связанных с их продвижением на рынке.
Системный администратор. Настройка и
эксплуатация программного обеспечения, поддержание работоспособности
оргтехники, ее ремонт, устранение программных сбоев - основные обязанности
системного администратора.
Служба главного инженера. Основной задачей
этого отдела является хозяйственное обслуживание инфраструктуры компании:
материальное снабжение производственного сектора предприятия, обеспечение работоспособности
электрического, сантехнического оборудования, уборка производственныхи офисных
помещений, а также открытой территории фирмы
Отдел охраны. Данный отдел занимается
организацией пропускного режима на территории компании, а также проводит профилактические
мероприятия, направленные на предотвращение несанкционированного доступа к
охраняемым объектам предприятия.
Обычно операторы, работающие на складах класса
«В» оказывают услуги ограниченные ответственным хранением, проведением
погрузочно-разгрузочных работ, комплектацией заказов в небольших объёмах и
оформлением товарно-транспортной документации. Даже организационная структура
«Доминик» показывает, что спектр услуг компании по номенклатуре уже сегодня
соответствует уровню 3PL-оператора, то есть оператора склада класса «А».
Анализ формирования доходов компании
показывает, что их структура выглядит следующим образом:
55% - таможенный терминал;
24% - таможенный склад;
7% - таможенный перевозчик;
14% - торговая деятельность.
Чтобы отразить полное перевоплощение компании в
компанию девелопмента охарактеризуем более подробно каждый из этих видов
деятельности.
Таможенный
сервис представляет собой перечень услуг, предоставляемых участникам
внешнеэкономических сделок, связанных с оптимизацией процедур оформления
товаров перемещаемых через границы государств.
Деятельность
предприятий, предлагающих комплексный таможенный сервис, т.е. таможенных
терминалов, регламентируется на территории Республики Беларусь Государственным
таможенным комитетом (ГТК РБ). Таможенному терминалу, в соответствие с
требованиями ГТК РБ необходимо располагать соответствующей инфраструктурой
сервиса, включающей в себя:
- офисные
помещенья, оборудованные для работы таможенных инспекторов;
- зону
таможенного контроля – территория, на которой размещаются грузы, подлежащие
таможенному оформлению. Зона таможенного контроля должна быть оборудована
складскими помещениями, парковочными местами для размещения транспортных
средств с оформляемыми товарами, а также оборудованием, необходимым для обработки
грузов: разгрузочно-погрузочных работ, взвешивания и т.д.;
- таможенные склады - специально оборудованные
помещения, предназначенные для хранения под таможенным надзором товаров,
ввезенных на территорию Республики Беларусь без права потребления и вовлечения
в экономический оборот.
Выполнив вышеуказанные требования, СП “Доминик”
в настоящее время предлагает своим клиентам следующий перечень таможенных
услуг:
- размещение транспортных средств в зоне
таможенного контроля –
СП “Доминик” предоставляет охраняемые
парковочные места в зоне таможенного контроля (ЗТК) для прибывших автомобилей с
грузами, подлежащими таможенному оформлению. Плата взимается в зависимости от
количества и сроков размещения транспортных средств.
Таблица 2.4 – Тариф за услуги размещения в ЗТК
|
услуги размещения в ЗТК
|
единица измерения
|
тариф, у.е.
|
Въезд транспортного средства в ЗТК |
один автомобиль
|
11
|
Стоянка транспортного средства в ЗТК |
один автомобиль в сутки
|
15
|
- разгрузочно-погрузочные работы и взвешивание
– клиенту предоставляется возможность произвести разгрузку товаров на
терминале:
- с помощью погрузчиков;
- в ручную;
- а также в ручную с сортировкой товара.
В случае необходимости существует возможность
взвешивания подлежащих таможенному оформлению грузов. Плата взимается в
зависимости от массы разгружаемого/погружаемого товара и вида работ.
Таблица 2.5 – Тарифы за разгрузочно-погрузочные
работы и взвешивание
|
услуги
|
единица измерения
|
тариф,
у.е.
|
Разгрузочно-погрузочные работы: - механические |
тонна
|
2
|
- ручные |
тонна
|
3
|
|
- ручные с сортировкой
|
тонна
|
4
|
Взвешивание |
одно взвешивание |
3 |
- хранение
товаров на складе временного хранения – владелец ввезенных в республику
товаров, подлежащих таможенному оформлению, имеет возможность получить
двухмесячную отсрочку по уплате таможенных платежей путем размещения груза на
складе временного хранения (СВХ). Стоимость хранения варьируется относительно
массы груза, периода размещения на отапливаемых или не отапливаемых площадях.
Таблица 2.6 – Тарифы за хранение товаров на СВХ
|
услуги хранения товаров
на СВХ
|
единица измерения
|
тариф,
у.е.
|
на отапливаемом |
тонна
|
1
|
на не отапливаемом |
тонна
|
1,2
|
- хранение
товаров на таможенном складе – размещая товары на таможенном складе, у
владельцев грузов появляется возможность отсрочки таможенных платежей, которые
необходимо производить по факту поступления товаров на таможенную территорию
республики или их отгрузки с СВХ, кроме того, при оформлении грузов с
таможенного склада в режим свободного обращения возможно производить дробление
товарных партий. Таможенный склад удобен для размещения товаров иностранными
поставщиками с последующим выпуском в свободное обращение белорусскими
потребителями. При размещении грузов на таможенном складе, клиент оплачивает
стоимость хранения в зависимости от площади занимаемой товарами, сроков
хранения и сезона.
Таблица 2.7 – Тарифы за услуги хранения товаров
на таможенном складе
|
услуги хранения товаров
на таможенном складе
|
единица измерения
|
тариф, у.е.
|
на отапливаемом |
кв.м. / сутки
|
0,34 |
на не отапливаемом |
кв.м. / сутки
|
0,4
|
Оборудование складов позволяет поддерживать
определенные терморежимы, необходимые для хранения преимущественно
медикаментов.
- услуги
таможенного агента (брокера) – таможенный агент (брокер) СП “Доминик”
производит заполнение таможенных документов заявителя в электронном виде и на
бумажном носителе в соответствие с требованиями таможенных органов Республики
Беларусь.
Плата взимается за каждую страницу оформленного
документа. При заполнении книжек МДП (TIR-Cornet) и CMR оплата производится за
каждый оформленный документ.
Таблица 2.8 – Тарифы за услуги заполнения
|
услуги заполнения
|
единица измерения
|
тариф,
у.е.
|
грузовой таможенной декларации |
один лист
|
5
|
декларации таможенной стоимости |
один лист
|
5
|
документа контроля за доставкой товара |
один лист
|
5
|
формы корректировки таможенной стоимости |
один лист
|
5
|
статистической декларации |
один лист
|
5
|
паспорта сделки |
один лист
|
5
|
TIR-Cornet |
один документ
|
5
|
CMR. |
один документ
|
5
|
Кроме того агент (брокер) СП “Доминик” от
своего имени представляет интересы клиентов в таможенных органах республики,
т.е. выполняет процедуры таможенного оформления товаров, прибывших на терминал.
Таблица 2.9 – Тарифы за услуги оформления
|
услуги оформления
|
единица измерения
|
тариф, у.е.
|
груза |
один пакет документов
|
35
|
|
размещения груза с
транспортного средства на таможенном складе
|
один пакет документов
|
35
|
|
Продолжение таблицы 2.9
|
|
услуги оформления
|
единица измерения
|
тариф, у.е.
|
|
размещения груза с
транспортного средства на СВХ
|
один пакет документов
|
35
|
|
размещения груза с СВХ
на таможенном складе
|
один документ
|
35
|
|
паспорта сделки
|
один документ
|
35
|
|
статистической
декларации
|
один документ
|
35
|
|
продление декларации
обязательства
|
один документ
|
35
|
|
декларации
периодических платежей
|
один документ
|
35
|
|
освидетельствование
транспортных средств
|
одно трансп. средство
|
35
|
- услуги
таможенного перевозчика – таможенный перевозчик СП “Доминик” осуществляет
доставку грузов, находящихся под таможенным контролем по территории республики.
Оплата за перевозку формируется исходя из ее длительности, а также удаленности
пунктов назначения.
Таблица 2.10 – Тарифы за услуги таможенного
перевозчика
|
услуги таможенного
перевозчика
|
единица измерения
|
тариф,
у.е.
|
использование транспортного средства |
1 день (8:30 - 20:00)
|
50
|
- доставка груза в пределах минского р-на (аэропорт "Минск-2"); |
+ 10 |
- доставка груза в пределах республики |
1 км. расстояния
|
+ 0,2
|
- транспортно-экспедиционные
услуги – располагая собственным подвижным составом, СП “Доминик” осуществляет
доставку товаров по территории Европы и России, в том числе и сборочных грузов,
собственным автотранспортом, а также осуществляет посреднические услуги в
области международных грузоперевозок.
Интенсивное развитие компании привело к
формированию стабильного штата сотрудников имеющих высокую квалификацию,
постоянно её повышающих в силу расширения сфер деятельности и увеличения
количества складских операций, а также благодаря кадровой политике руководства
компании. Кадровая служба «Доминик» организует обучение персонала, постоянный
инструктаж работников. Разработаны инструкции по организации труда всех
основных категорий работников.
Достигнутый профессионализм кадрового состава в
совокупности с качественными характеристиками наличных складов позволил СП
«Доминик» ООО занять с 2006 года новую нишу девелопменских услуг, которая как
представляется может стать важной частью специализации работы компании.
Таможенные склады компании отвечают требованиям министерства здравоохранения
Республики Беларусь. Это способствовало появлению спроса и специализации БГСП
«Доминик» ООО на логистике фармацевтических препаратов.
Устройство, состав, размеры площадей и
оборудование помещений хранения аптечных складов должны отвечать всем
требованиям действующей нормативнотехнической документации (СНиП, методические
рекомендации, нормативная внутриведомственная документация и др.). Устройство,
эксплуатация и оборудование помещений хранения должны обеспечивать сохранность
лекарственных средств и изделий медицинского назначения. Помещения хранения в
соответствии с установленными нормами обеспечиваются охранными и
противопожарными средствами. В помещениях хранения должны поддерживаться
определённые температура и влажность воздуха, периодичность проверки которых
должна осуществляться не реже 1 раза в сутки. Для наблюдения за этими параметрами
складские помещения необходимо обеспечить термометрами и гигрометрами, которые
закрепляются на внутренних стенках хранилища вдали от нагревательных приборов
на высоте 1,5-1,7 м от пола и на расстоянии не менее 3 м от дверей, В каждом
отделе должна быть заведена карта учёта температуры и относительной влажности.
Для поддержания чистоты воздуха помещения
хранения в соответствии с действующей нормативнотехнической документацией
(СНиП, методические рекомендации и т. д.) следует оборудовать приточновытяжной
вентиляцией с механическим побуждением. В случае невозможности оборудования
помещений хранения приточновытяжной вентиляцией рекомендуется оборудовать
форточки, фрамуги, вторые решетчатые двери и т. д. Аптечные склады оборудуются
приборами центрального отопления. Не допускается обогревание помещений газовыми
приборами с открытым пламенем или электронагревательными приборами с открытой
электроспиралью. На складах, расположенных в климатической зоне с большими
отклонениями от допустимых норм температуры и относительной влажности воздуха,
помещения хранения должны быть оборудованы кондиционерами.
Помещения хранения должны быть обеспечены
необходимым количеством стеллажей, шкафов, поддонов, подтоварников и т. п.
Установка стеллажей осуществляется таким образом, чтобы они находились на
расстоянии 0,6-0,7 м от наружных стен, не менее 0,5 м от потолка, и не менее
0,25 м от пола. Стеллажи по отношению к окнам должны быть расположены так,
чтобы проходы были освещены, а расстояние между стеллажами составляло не менее
0,75 м, обеспечивающее свободный доступ к товару. Помещения аптечных складов
должны содержаться в чистоте; полы помещений периодически (но не реже одного
раза в день) убираться влажным способом с применением разрешенных моющих
средств.
Лекарственные средства, изделия медицинского
назначения следует размещать на стеллажах, в шкафах, а при необходимости на
полу, предварительно подложив поддон, подтоварник, специальную плиту и т. п.
В помещениях хранения лекарственные средства
размещают отдельно:
- в строгом соответствии с токсикологическими группами;
- ядовитые, наркотические и сильнодействующие лекарственные
- средства должны храниться в соответствии с действующими
требова
- ниями;
- в соответствии с фармакологическими группами;
- в зависимости от способа применения (внутреннее, наружное);
- лекарственные вещества "ангро" в соответствии с
агрегатным со
- стоянием (жидкие отдельно от сыпучих, газообразных и т.
п.);
- в соответствии с физикохимическими свойствами лекарственных
- средств и влиянием различных факторов внешней среды;
- с учетом установленных сроков хранения для лекарственных
пре
- паратов с ограниченными сроками годности;
- с учетом характера различных лекарственных форм.
Не рекомендуется располагать рядом
лекарственные средства, созвучные по названию, лекарственные средства для
внутреннего применения, с сильно различающимися высшими дозами, а также
располагать их в алфавитном порядке.
Изделия медицинского назначения следует хранить
по группам:
- резиновые изделия;
- изделия из пластмасс;
- перевязочные средства и вспомогательные материалы;
- изделия медицинской техники.
В процессе хранения следует осуществлять
сплошной визуальный осмотр за состоянием тары, внешними изменениями
лекарственных средств и изделий медицинского назначения не реже одного раза в
месяц. При повреждении тары необходимо немедленно устранить дефекты или
содержимое переложить в другую тару. В случае внешних изменений лекарственных
средств проводится контроль их качества в соответствии с требованиями
Государственной фармакопеи (ГФ) и другими нормативнотехническими документами
(НТД) и определяется их пригодность к использованию в установленном порядке.
В помещениях хранения, а также на территории
склада необходимо систематически проводить мероприятия по борьбе с
грызунами, насекомыми и другими вредителями.
Все лекарственные средства, в зависимости от
физических и физико-химических свойств, воздействия на них различных
факторов внешней среды, делят на:
- требующие защиты от воздействия влаги;
- требующие защиты от улетучивания и высыхания;
- требующие защиты от воздействия повышенной
температуры;
- требующие защиты от пониженной температуры;
- требующие защиты от воздействия газов,
содержащихся в окружающей среде;
- пахучие, красящие и отдельная группа
лекарственных средств –дезинфицирующие средства.
Лекарственные средства, требующие защиты от
действия света, следует хранить в таре из светозащитных материалов (стеклянной
таре оранжевого стекла, металлической таре, упаковке из алюминиевой фольги или
полимерных материалов, окрашенных в черный, коричневый или оранжевый цвета), в
темном помещении или шкафах, окрашенных внутри черной краской, с плотно
пригнанными дверцами или в плотно сбитых ящиках с плотно пригнанной крышкой.
Лекарственные средства, требующие защиты от воздействия атмосферных паров воды,
следует хранить в прохладном месте, в плотно укупоренной таре из материалов,
непроницаемых для паров воды (стекла, металла, алюминиевой фольги,
толстостенной пластмассовой таре). Лекарственные средства с выраженными
гигроскопическими свойствами следует хранить в сухом помещении в стеклянной
таре с герметичной укупоркой, залитой сверху парафином.
При закрывании тары с такими лекарственными
веществами необходимо тщательно вытирать горло и пробку. Лекарственные
средства, требующие защиты от улетучивания и высыхания, следует хранить в
прохладном месте, в герметически закупоренной таре из непроницаемой для
улетучивающихся веществ материалов (стекла, металла, алюминиевой фольги).
Применение полимерной тары, упаковки и укупорки допускается в соответствии с ГФ
и другими НТД. Лекарственные средства, требующие защиты от воздействия
повышенной температуры, следует хранить при комнатной (18-20 °С) прохладной
(или холодной) — (12-15 °С) температуре. В некоторых случаях требуется более
низкая температура хранения (например, для АТФ 3—5 *С), что должно быть указано
на этикетке или в инструкции по применению препарата. Иммунобиологические
препараты следует хранить в промышленной упаковке раздельно по наименованиям,
при температуре, указанной для каждого наименования на этикетке или в
инструкции по применению. Иммунобиологические препараты одного и того же
наименования хранят по сериям, с учетом срока их годности. Лекарственные
средства, требующие защиты от воздействия газов, следует хранить в герметически
укупоренной таре из материалов, непроницаемых для газов, по возможности
заполненной доверху. Лекарственные средства, легко окисляющиеся кислородом
воздуха, следует хранить в сухом помещении в стеклянной таре с герметической
укупоркой. Пахучие лекарственные средства следует хранить изолированно в
герметически закрытой таре, непроницаемой для запаха, раздельно по
наименованиям. Лекарственные средства и парафармацевтическую продукцию следует
хранить изолированно. Красящие лекарственные средства необходимо хранить в
специальном шкафу в плотно укупоренной таре, раздельно по наименованиям. Для
работы с красящими веществами для каждого наименования необходимо выделить
специальные весы, ступку, шпатель и другой инвентарь.
Все готовые лекарственные средства должны
укладываться и устанавливаться в оригинальной упаковке этикеткой (маркировкой)
наружу. На стеллажах, полках, шкафах прикрепляется стеллажная карта, в которой
указывается наименование лекарства, серия, срок годности, количество. Карта
отпечатывается на плотной бумаге и заводится на каждую вновь поступившую серию
для контроля за своевременной ее реализацией. Кроме того, в отделе должна быть
картотека по срокам годности. Препараты, подлежащие переконтролю и с истекшим
сроком годности, хранятся отдельно от прочих до получения результатов анализа.
Учитывая, что фармакологические предприятия
Республики Беларусь удовлетворяют ограниченную номенклатуру внутреннего спроса
на эту продукцию, но являются в тоже время экспортёрами своей продукции, а
количество фармакологических складов в республике очень мало складская
логистика фармакологии выступает перспективным направлением специализации. Как
в позиции обеспечения импорта в республику, так и в позиции экспорта.
Чтобы оценить перспективы развития складского
бизнеса компании БГСП «Доминик» ООО охарактеризуем организацию организацию
выполнения операций складского хозяйства БГСП «Доминик» ООО, проведём анализ
финансово экономического состояния предприятия сложившегося к настоящему
времени.
2.2 Управление складскими операциями и
финансово-экономическое состояние БГСП «Доминик» ООО
Обеспечение потребностей партнёров и клиентов
компании посредством компетентного и ответственного отношения к делу – главное
направление развития. Клиентами БГСП «Доминик» ООО являются многие фирмы,
которые известны как на зарубежном так и на нашем рынке, большинство из них
являются постоянными клиентами и партнёрами предприятия. Перечислим некоторые
из них: Балканфарма, Краузер Финанс, Белорусские Обои, Ромфарм, Полиинкс,
Натурпродукт, Вогтмедикал, Брабел, Олайнфарм, Маруся, АвтопромсервисПлюс,
ФармасевтПлюс и т.д. Данные фирмы являются крупными поставщиками своей
продукции и ведут активную и успешную экономическую деятельность в Республике
Беларусь. Анализ структуры клиентов приведём в таблице 2.11.
Таблица 2.11 – Анализ структуры клиентов
|
Клиенты
|
2005
|
2006
|
2007
|
|
Всего клиентов
|
1869
|
2010
|
2212
|
|
Постоянных клиентов
|
299
|
521
|
858
|
Динамику изменения количества клиентов (всего и
постоянных) наглядно представлено на рисунке 2.3.
Рисунок 2.3 – Состав клиентов
Рост клиентов в 2006 по отношению к 2005
составил – 141 от общей массы и 222 постоянных, в 2007 по отношению к 2006 –
202 и 337. Состав клиентов предприятия растёт и с каждым годом растёт
количество постоянных клиентов, что может говорить о предоставлении
предприятием качественных услуг и компетентного отношения к делу. Сохраняя
тенденцию роста постоянных партнёров и привлекая к сотрудничеству новых
клиентов, закрепляя с ними коммерческие отношения, предприятие приобретает
стабильность и может планировать рост прибыли.
Рассмотрим
основные моменты и особенности организации работы складского хозяйства на
БГСП«Доминик» ООО.
Когда
материалы поступают на предприятие вместе с ними приходит товарно-транспортная
накладная. В ней указываются вид транспорта, заказчик, грузоотправитель,
грузополучатель, пункт погрузки, разгрузки. Кроме того, в документе имеется
таблица, где содержаться следующие данные: наименование товара, страна ввоза,
цена за единицу, стоимость, вид тары, масса брутто. Страна, отправившая товар
ставит штамп и подписывает документ. Выгрузка материалов на склад
осуществляется с помощью погрузчиков. Поступив на склад, материалы подлежат
обработке и размещению на складе. Прием материалов на склад осуществляет
кладовщиком склада. Параллельно с приемом он занимается заполнением
документации. Поступление материалов на склад оформляется приходным ордером,
который подписывается кладовщиком склада и экспедитором, доставившим груз. При
отсутствии, каких либо расхождений между документами и доставленными ценностями
приходный ордер можно не выписывать, а оформлять приход проставлением штампа на
сопроводительных документах поставщика (грузоотправителя), в оттиске которого
содержаться основные данные приходного ордера. Здесь же материально
ответственное лицо учиняет подпись об оприходовании груза. В приходном ордере
указывается склад, на который поступают материалы, поставщик, корреспонденция
счета, наименование, сорт, размер и марка материальных ценностей. Указывается
код, количество, цена, сумма и порядковый номер записи по складской карточке.
Составляется два экземпляра. Один экземпляр идет в бухгалтерию, а копия
остается на складе. Если выявлено отклонение по количеству, ценам, качеству от
договора, составляется приемный акт. Учет материалов на складе ведется с
помощью карточки складского учета. В ней указываются: склад, стеллаж, ячейка,
марка, сорт, размер, цена, норма запаса, наименование материала. Указывается
номер документа от кого получено или кому отпущено, приход, расход, остаток.
Этот документ остается на складе.
Ведению
внутренней отчетности уделяется так же немаловажное внимание. Отпуск продукции
осуществляется путем выписки товарно-транспортных накладных.
Товарно-транспортные накладные выписываются в четырех экземплярах, они являются
бланками строгой отчетности. В них указывается наименование продукции,
количество и цена. Готовая продукция отпускается потребителям так же со склада
путем выписки товарно-транспортной накладной, но в данном случае добавляются в
ранг обязательных, указание таких данных, как грузоотправитель, грузополучатель
и номера счетов. Помимо товарно-транспортных накладных так же оформляется
договор, четко регламентирующий сроки и условия поставки, ассортимент,
стоимость, условия скидок и количество отгружаемой продукции.
На
БГСП«Доминик»ООО складом заведует кладовщик склада. Основной задачей кладовщика
склада является осуществление работ по приему, хранению, отборке,
комплектованию, отпуску товарно-материальных ценностей и ведению учета их
движения. Он назначается и освобождается от должности приказом директора
предприятия. Заведующий складом является материально-ответственным лицом. Его
основные обязанности:
-
организация
работы по размещению, хранению, отборке, комплектованию и отпуску продукции с
наиболее рациональным использованием складских помещений и оборудования;
-
обеспечивает
своевременное и правильное оформление документов первичного учета и передачу их
в соответствующие структурные подразделения предприятия по снабжению и сбыту
продукции;
-
распределяет
обязанности между сотрудниками склада и контролирует их выполнение;
-
организует
учет материальных ценностей, следит за их движением;
-
обеспечивает
сохранность товарных ценностей по количеству и качеству;
-
контролирует
исправность помещений, складской тары, дает заявки на своевременный ремонт;
-
проверяет
правильность оформления документов на отпуск товаров со складов, обеспечивает
отборку, комплектование и отпуск;
-
обеспечивает
соблюдение трудовой дисциплины сотрудниками склада.
На таких складах, а
вернее даже сказать рассматриваемых нами складских помещениях, используется
простой способ управления складским хозяйством при помощи карточек. Сущность
этого способа состоит в том, что продукция укладывается по ассортиментным
группам, расположенным на постоянном выделенном месте склада. Рядом с
определенным видом продукции навешивается карточка с указанием номенклатурного
номера продукции и ее разновидности. При отпуске всей продукции с места
хранения карточка снимается с модели. Так же важно отметить еще одну
особенность данного складского помещения. В данном рассматриваемом случае
наблюдается совмещение участков поступления и отпуска продукции, что позволяет:
- сократить размер
площади, необходимой для выполнения операции;
- облегчить контроль операции разгрузки и
погрузки;
- повысить степень использования оборудования;
- более гибко использовать персонал склада.
Однако основным недостатком совмещения участков
приемки и отпуска грузов является появление встречных грузовых потоков с
возможной путаницей между отправляемыми и получаемыми товарами. Организация в
одном месте приемки и отправки будет также затруднена, если тип и размеры
прибывающего и отправляемого со склада транспорта различны.
Но, осваивая данную методику использования
совмещенного участка, предприятие выработало свою специфику борьбы с
возникающими сложностями. Облегчить организацию совмещенного участка помогло
разнесение по времени операций поступления и отправки.
В отношении организации хранения можно выделить
следующие характеристики данного складского помещения:
- товары не размещают в проходах, не
загораживают огнетушители и розетки;
- не складывают поддоны или товары в слишком
высокие штабели;
- обеспечивают постоянное место для хранения
подъемно-транспортного оборудования;
- поддерживают оптимальные режимы хранения
товаров - температуру и влажность воздуха;
- предохраняют товары от моли и грызунов;
- отсыревшие товары просушивают и проветривают;
- для поддержания необходимого
санитарно-гигиенического режима регулярно производят тщательную уборку
помещения, а также его дератизацию, дезинсекцию, дезинфекцию и дезодорацию.
Таким образом, все требования по поводу условий
хранения произведенной продукции и исходного сырья выполняются.
Если анализировать вид хранения, то можно
сказать, что в данном случае используется напольный и стелажный вид хранения,
который является простейшей системой размещения грузов. Основным способом
укладки при этом является штабель - укладка грузовых пакетов или товарных
упаковок друг на друга, или на паллетах.
Отборка товаров с мест хранения
механизированным осуществляется механизированным способом. Таким образом,
организация экономит на дорогостоящем ручном труде, снижая затраты на
содержание складского хозяйства. Кроме того, механизированный способ позволяет
сохранить в целостности продукцию, исключая возможность ее повреждения, и
сделать процесс отгрузки более быстрым и менее трудоемким.
2.2.1
Финансово-экономическое состояние БГСП «Доминик» ООО
Доходы СП
“Доминик” формируются на 64,5% за счет поступлений за услуги реализованные
таможенным отделом предприятия, на 13,4% - за услуги оказанные
транспортно-экспедиционным отделом, на 4,9% - торговым отделом, а также 17,2 –
за счет прочих поступлений. Наглядно представлено на рисунке 2.4.
Рисунок 2.4 – Состав доходов БГСП «Доминик» ООО
Расходы СП “Доминик” представлены в основном за
счет налогов и отчислений в бюджет республики – 22,4%, заработной платы –
14,6%, топлива – 7,9%, а также внутренних инвестиций в строительство, ремонт -8,4%
и приобретение основных фондов – 1,31%.
Структура имущества и капитала СП “Доминик” за
период 2006-2008 год представлена в таблице 2.12 – агрегированный баланс. C
целью визуализации качественных изменений в структуре фондов предприятия данные
обобщены в, приведенную ниже таблицу.
Таблица 2.12 – Агрегированный баланс
Разделы и статьи
баланса
|
2006
|
2007
|
2008
|
Изменение за период
|
|
абсолютное значение
(тыс.руб)
|
удельный вес
|
абсолютное значение
(тыс.руб)
|
удельный вес
|
абсолютное значение
(тыс.руб)
|
удельный вес
|
абсолютное
|
в процентах
|
по удельному весу
|
|
1
|
Внеоборотные активы
|
1035180
|
0,84
|
1086936
|
0,84
|
1460792
|
0,77
|
425612
|
141
|
-0,0659
|
|
2
|
Оборотные активы
|
199 606
|
0,16
|
209586
|
0,16
|
430 506
|
0,23
|
230900
|
216
|
0,0659
|
|
2.1
|
запасы
|
155 699
|
0,13
|
163483
|
0,13
|
276 589
|
0,15
|
120890
|
178
|
0,0201
|
|
2.2
|
налоги по приобрет.
ценн-м
|
8 404
|
0,01
|
8 824
|
0,01
|
30 036
|
0,02
|
21 632
|
357
|
0,0091
|
|
2.3
|
дебиторская
задолженность
|
26 459
|
0,02
|
27 782
|
0,02
|
118 761
|
0,06
|
92 302
|
449
|
0,0414
|
|
2.4
|
платежные средства
|
9 044
|
0,01
|
9 496
|
0,01
|
5 120
|
0,00
|
-3 924
|
57
|
-0,0046
|
|
в т.ч.
-краткосрочн.фин. вложен.
|
|
|
|
|
|
|
|
|
|
|
- денежные средства
|
9 044
|
0,01
|
9 496
|
0,01
|
5 120
|
0,00
|
-3 924
|
57
|
-0,0046
|
|
2.5
|
прочие оборотные активы
|
|
|
|
|
|
|
|
|
|
|
3
|
имущество в целом
|
1 234786
|
1,00
|
1 296525
|
1,00
|
1 891298
|
1,00
|
656512
|
153
|
0,0000
|
|
4
|
Собственный капитал
|
1 058903
|
0,86
|
1 111 848
|
0,86
|
1 359281
|
0,72
|
300378
|
128
|
-0,1389
|
|
5
|
Заемный капитал
|
175 883
|
0,14
|
184 677
|
0,14
|
532 017
|
0,28
|
356134
|
302
|
0,1389
|
|
5.1
|
долгосрочный
|
|
|
|
|
|
|
|
|
|
|
5.2
|
краткосрочный
|
175 883
|
0,14
|
184 677
|
0,14
|
532 017
|
0,28
|
356134
|
302
|
0,1389
|
|
в т.ч. -заемные
средства
|
0
|
0,00
|
0
|
0,00
|
163 055
|
0,09
|
163055
|
|
0,0862
|
|
-кредиторская
задолж-ть
|
169 963
|
0,14
|
178 461
|
0,14
|
368 962
|
0,20
|
198999
|
217
|
0,0574
|
|
-иные краткосрочные
об-ва
|
5 920
|
0,00
|
6 216
|
0,00
|
|
0,00
|
-5 920
|
0
|
-0,0048
|
|
6
|
капитал в целом
|
1 234786
|
1,00
|
1 296 525
|
1,00
|
1 891298
|
1,00
|
656512
|
153
|
0,0000
|
Из таблицы видно, что собственный капитал с
2006 до 2008 года вырос незначительно. Это свидетельствует о том, что
предприятие не реализовало инвестиционных проектов, и не закупало
дополнительного оборудования. Увеличение капитала на 656 512 тыс. рублей
произошло за счёт привлечения краткосрочных займов на обеспечение операционных
расходов, или на обеспечение интенсификации работы компании.
Капитал СП
“Доминик” в основном представлен собственными средствами – 86% в2006, 2007
годах и 72% - в 2008. Данное уменьшение удельного веса собственного капитала
вызвано двукратным увеличением заемного капитала, который преимущественно
состоит из краткосрочной кредиторской задолженности фирмы и обязательств по
привлеченным кредитам – с 14% на начало до 28% на конец отчетного периода.
Данные Таблицы 2.12 дают возможность
проанализировать структуру, надёжность и мобильность капитала компании.
Таблица 2.13 – Показатели динамик финансовой
устойчивости БГСП «Доминик» ООО с 2006 по 2008 года
|
Показатель
|
Метод
|
2006
|
2007
|
2008
|
Изменение
|
Степень финансовой независимости или автономии |
|
0,85
|
0,86
|
0,72
|
-0,14
|
|
Коэффициент структуры
капитала
|
|
0,15
|
0,17
|
0,39
|
0,22
|
|
Доля краткосрочного
заемного капитала
|
|
0,12
|
0,14
|
0,28
|
0,14
|
Коэффициент структуры капитала при
полученных значениях за 2006, 2007 и 2008 годы 0,15, 0,17 и 0,39 демонстрирует
преобладание собственного капитала в системе финансирования предприятия. В
настоящем случае долги не преобладают над собственным капиталом обеспечивая
стабильную финансовую ситуацию без больших рисков. Однако увеличение заемного
капитала, возможно, увеличит оборачиваемость текущих активов фирмы.
Доля краткосрочного заемного капитала. Значения
0,14 и 0,28 в 2007 и 2008 году не превышают допустимый предел 30-35%, что
свидетельствует об отсутствии серьезных рисков наступления напряженности и
финансового неравновесия.
Особый интерес представляет анализ динамики
структуры имущества предприятия. Оценка динамики структуры имущества проведена
на основе нижеприведенных относительных коэффициентов в Таблице 2.14.
Таблица 2.14 – Структура имущества предприятия
|
Показатель
|
Метод
|
2006
|
2007
|
2008
|
Изменение
|
|
Оснащенность
внеоборотными активами
|
|
0,82
|
0,84
|
0,77
|
-0,07
|
|
Доля оборотных средств
|
|
0,13
|
0,16
|
0,23
|
0,7
|
|
Доля запасов и затрат
|
|
0,12
|
0,13
|
0,15
|
0,2
|
|
Доля дебиторской
задолжности
|
|
0,02
|
0,02
|
0,06
|
0,04
|
|
Доля платежных средств
|
|
0,005
|
0,007
|
0,003
|
-0,004
|
Динамика структуры имущества предприятия
оснащенность внеоборотными активами СП “Доминик” составляет 0,84 в 2007 и 0,77
в 2008 году в имуществе предприятия. Данное уменьшение показателя вероятнее
всего вызвано использованием некорректной методики переоценки фондов.
Наблюдаемое увеличение стоимости незавершенных капитальных вложений в 20 раз,
как фондов не участвующих в производственном обороте, влечет за собой уменьшение
фондоотдачи внеоборотных активов. Но это влияние методики расчётов, а не
снижение реальной фондоотдачи.
Доля оборотных средств анализируемого
предприятия в 2006 13%, 2007 году составляла 16%, а в 2008 до 23%, что
свидетельствует в первую очередь об увеличении объемов реализуемых услуг. Кроме
того на увеличение оборотных средств повлияли инфляционные обстоятельства, а
также замедление оборота фондов, что объективно вызвало потребность в
увеличении их массы.
Доля запасов и затрат в имуществе компании в
отчетном периоде увеличилась на 2% и составила на конец года 15%. В отношении
СП “Доминик” – это достаточно высокие показатели, которые сложились в
результате нерациональности хозяйственной деятельности, вследствие которой
часть текущих активов из производственного оборота иммобилизована в запасах,
ликвидность которых, как правило, невысока.
Доля дебиторской задолженности за анализируемый
период приняла трехкратное значение соответствующего показателя на начало
периода и составила 6%. Данный рост свидетельствует о том, что предприятие
активно использует стратегию товарных ссуд для потребителей своих услуг.
Кредитуя их, компания фактически делится с ними частью своего дохода. В тоже
время в случае несвоевременного погашения дебиторской задолженности возникает
рост кредиторской задолженности, т.к. предприятию необходимо восполнять дефицит
оборотных фондов.
Основной удельный вес в составе оборотных
активов предприятия в 2008 году занимают:
- денежные средства (9,7%);
- запасы и затраты (14,7%);
- дебиторская задолженность (15,3%).
Важно отметить, что удельный вес дебиторской
задолженности снизился на 4,5% по сравнению с аналогичным показателем 2007
года.
Доля источников собственных средств
увеличилась на 2,8%, что главным образом обусловлено ростом прибыли предприятия.
В качестве критериев для оценки
удовлетворительности структуры бухгалтерского баланса компании используются
следующие коэффициенты.
Таблица 2.15 – Динамика показателей
обеспеченности БГСП «Доминик» ООО финансовыми ресурсами
|
№ пп
|
Наименование показателя
|
2006
|
2007
|
2008
|
Норматив коэффициента
|
|
1
|
Коэффициент текущей
ликвидности
|
2,050
|
2,055
|
2,877
|
К1 >= 1,5
|
|
К1 = стр.290 /
(стр.590-стр.510)
|
|
2
|
Коэффициент
обеспеченности собственными оборотными средствами
|
0,500
|
0,514
|
0,652
|
К2 >= 0,2
|
|
К2 = (490-стр.190) /
стр.290
|
|
3
|
0,17
|
0,168
|
0,14
|
К3 <= 0,85
|
|
К3 = стр.590 / стр.300
|
Значения всех рассчитанных выше коэффициентов
находятся в пределах нормативов, что свидетельствует об удовлетворительности
бухгалтерского баланса.
Предприятие в достаточной степени обеспечено
оборотными средствами для ведения хозяйственной деятельности и своевременного
погашения краткосрочной задолженности, способно рассчитываться по своим
финансовым обязательствам после реализации активов.
В качестве показателей финансовой устойчивости,
характеризующих независимость предприятия от внешних источников финансирования
используется коэффициент финансовой независимости = (собственный
капитал / итог баланса).
Коэффициент финансовой независимости с 2007
года до 2008 года увеличился на 3,6 процентных пункта, что свидетельствует о
снижении степени финансовых рисков предприятия.
На конец анализируемого периода активы
предприятия на 86% сформированы с использованием устойчивых источников:
- добавочный фонд (58,8%);
- нераспределенная прибыль (15,3%);
- прибыль отчетного периода (11,7%).
На основании вышеизложенного, можно с
уверенностью утверждать, что БГСП «Доминик» ООО демонстрирует стабильное
увеличение темпов роста, является устойчивым и платежеспособным предприятием.
В целом по итогам анализа развития и работы
БГСП «Доминик» ООО можно сделать следующие выводы.
Предприятие регистрация которого в 1991 году
состоялась как оператора транспортной логистики в процессе своей организационной
эволюции к настоящему времени превратилась в девелопментскую компанию
представляющую своим клиентам широкий спектр услуг складской логистики. Это
оформление перевозочных, складских таможенных сопроводительных документов, при
необходимости перевозок как международных так и внутренних, услуги
складирования на складских площадях около 4000 метров квадратных в том числе и
хранение в таможенном режиме временного ввоза. Доходы компании формируются от
услуг таможенного терминала на 110 машиномест на 55%, таможенного склада на
24%, таможенного перевозчика на 7%, от торговой деятельности на 14%.
Расчёты показали, что доход определяется
количеством обслуживаемых на таможенном терминале количеством машин, а в 2008
году средний доход на одну машину составил 145 дол. США ± 5 дол.
К настоящему времени БГСП «Доминик» ООО
достигло предела использования своих основных фондов. При этом финансовые
результаты предприятия очень высоки, предприятие пользуется только
краткосрочными кредитами и в состоянии обеспечить собственными средствами все
требования в пределах ниже допустимых нормативных значений.
Всё это ставит вопрос определения стратегии
развития «Доминик» на перспективу, вопрос направлений совершенствования организации
работы складской логистики.
Кроме приведённых выше показателей финансовой
устойчивости БГСП «Доминик» ООО о тенденции исчерпания возможностей увеличения
услуг предоставляемых предприятием, востребованных и продолжаемых быть
востребованными свидетельствует динамика основных сводных технико-экономических
показателей деятельности предприятия. Они представлены в таблице 2.17.
Таблица 2.17 – Основные сводные
технико-экономические показатели деятельности БГСП «Доминик» ООО за 2006-2008
года
|
Показатель
|
2006
|
2007
|
2008
|
|
Выручка от реализации
продукции, услуг, млн. руб.
|
5094
|
8108
|
11806
|
|
Налоги из выручки, млн.
руб.
|
896
|
1394
|
1943
|
|
Полная себестоимость
реализованной продукции, услуг, млн. руб.
|
2534
|
4186
|
5151
|
|
Стоимость основных
средств, млн.руб.
|
3688
|
5797
|
8501
|
|
Среднегодовая стоимость
оборотных средств, млн. руб.
|
1706
|
2349
|
4116
|
|
Среднесписочная
численность ППП, чел.
|
95
|
101
|
105
|
|
Среднемесячная
заработная плата, тыс. руб.
|
800
|
1100
|
1600
|
|
Прибыль от реализации
продукции, услуг, млн. руб.
|
1664
|
2528
|
4712
|
|
Рентабельность
продукции, услуг, %
|
32,6
|
31,2
|
39,9
|
Как видим из таблицы «Доминик» не только не
потерял темпов роста экономической эффективности, но и нарастил их.
Рентабельность работы в 2008 году выросла до 39,97 % тогда как в 2007 году она
составляла 31,2 %. Заработная плата с 2006 года до 2008 года выросла в 2 раза с
500 тыс. рублей до 1 млн. рублей. Это подтверждает нам оптимистический тезис о
росте спроса на логистическо-складские услуги в нашей транзитной республике в
условиях наступившего финансового кризиса. Как видно из таблицы предприятие
значительно снизило затраты на приобретение основного капитала. Если в 2007
году они выросли по отношению к 2006 году на 57,2%, то в 2008 году по отношению
к 2007 году только чуть более чем на 40%. То есть предприятие практически
достигло уровня технической оснащённости, который позволяет реализовывать цели
и задачи которые оно выполняет сегодня. То же касается и персонала. Его
численность практически не менялась в течении указанного периода, она
стабилизировалась на уровне 100-110 человек.
Несколько иная картина представлена финансовыми
результатами. Из таблицы видно, что выручка от реализации продукции, то есть
услуг компании растёт завидными темпами в 2007 году на 59,2%, в 2008 году
45,6%. При этом себестоимость реализации услуг весьма отстаёт в темпах своего
роста так на пример в 2008 году она выросла только на 23%. В результате
интегральный показатель экономической эффективности, который рассчитывается по
формуле:
(2.1)
где R – рентабельность реализации продукции,
услуг;
Р – прибыль от реализации продукции, услуг;
N – налоги из выручки;
С – полные издержки производства продукции,
услуг,
выросла в 2008 году до 39,9%.
Как общеизвестно компании которые
останавливаются в своём развитии, пользуясь сложившейся благоприятной
коньюктурой рано или поздно теряют свои конкурентные позиции и могут нетолко
войти в ситуацию несения потерь, но и дойти до банкротства. Поэтому перед БГСП
«Доминик» ООО, на мой взгляд, сегодня стоит вопрос определения стратегии своего
развития и организации складского хозяйства на перспективу.
3. Совершенствование складского хозяйства и управления
его работой в БГСП «Доминик» ООО
3.1 Расширение площадей хранения и
совершенствование обработки складируемых товарно-материальных ценностей в БГСП
«Доминик» ООО, предпосылки и потенциальная эффективность
Как следует из анализа представленного в
предыдущем разделе к настоящему времени БГСП «Доминик» ООО достигло предела в
коммерческом использовании своих складских помещений. В ЗТК постоянно
обслуживаются 110 автомобилей и обслуживание в этой зоне обеспечивает 55%
общего дохода предприятия. Таможенный склад обеспечивает бесперебойную
обработку, то есть приём, хранение, отгрузку, оформление сопроводительной
документации и обеспечивает 24% доходов «Доминик». В этом плане автомобильный
парк БГСП «Доминик» ООО выполняет вспомогательные функции, дополняя работу
складского хозяйства, обеспечивает страховку ритмичности загрузки и разгрузки
складских помещений. Не случайно доля таможенных перевозок в доходе «Доминик»
едва достигает 7%.
О полной загруженности работой, достижении
оптимума в обслуживании клиентов свидетельствует также характеристика
использования складской техники. В настоящее время в БГСП «Доминик» ООО для
обслуживания складов применяются 3 погрузчика, грузоподъёмностью 1,5 тонны,
стоимостью 8000 долларов США, 2 погрузчика грузоподъёмностью 3 тонны,
стоимостью 15000 долларов США, 10 ручных тележек грузоподъёмностью до 1,5
тонны, стоимостью 3000 долларов США, 2 электроштабелёра стоимостью 8000
долларов США.
Финансовые возможности «Доминик» вполне
позволяют приобрести дополнительно практически любое количество подъёмно
транспортной техники для обслуживания складов. Однако нет такой потребности,
имеющаяся техника полно обеспечивает все потребности предприятия, включая
резервно страховочную потребность. Коофициент использования, рассчитанный по
времени занятости составляет около 0,8.
Высокая положительная динамика
финансово-экономических показателей БГСП «Доминик» ООО обусловлена в первую
очередь высокой динамикой показателей внешней торговли Республики Беларусь.
Показатели этой торговли, с времени становления «Доминик» оператором
таможенного складского обслуживания, представлены на рисунке 3.1.
Рисунок 3.1 – Показатели объёмов внешней
торговли РБ
Как видно из рисунка только с 2000 года
внешнеторговый оборот вырос с 15972 млн. дол. США до 61970 млн. дол. США, то
есть более, чем в четыре раза.
К сожалению начало мирового финансового кризиса
в 2009 году сказалось и на внешнеэкономической деятельности Беларуси.
Экспортная выручка ведущих Белорусских экспортёров, за первый квартал 2009
года, сократилась практически вдвое по сравнению с аналогичным периодом
прошлого года.
В связи с этим следует оценить возможное
влияние такого сокращения внешнеэкономической активности на перспективы
развития СП «Доминик» ООО в части складского обслуживания. Прежде всего, в этом
плане следует вспомнить, что в республике не решена проблема дефицита складов.
Прежде всего складов типа А и типа Б. В новой ситуации многие потребители
вынужденные в прежних условиях довольствоваться услугами складов более низкой
категории смогут обслуживаться на складе «Доминик» относящемся к категории Б.
Второе обстоятельство основной склад «Доминик»
отвечает требованиям специализированного фармакологического склада. Потребности
республики и особенно столицы – г. Минска в фармакологических препаратах
неэластичны, они слабо реагируют на изменение ценового и доходного факторов.
В третьих – склады СП «Доминик» поскольку они
строились, а не приспосабливались из каких-либо имеющихся сооружений, по
месторасположению удобны для потребителей. Находятся в районе кольцевой дороги
столицы. Удобны и доступны с автомагистралей, с железнодорожных веток, с
аэропорта, при этом легко и экономически эффективно доступны столичным
потребителям складируемой продукции.
В четвёртых, достигнутый уровень рентабельности
«Доминик» в 21% делает возможным применение достаточно широкого диапазона
ценовых скидок потребителям складских услуг при необходимости.
Конечно, объективно оценить колебания
коньюктуры спроса в любом секторе экономики в условиях мирового финансового
кризиса затруднительно. Но во всяком случае в отношении «Доминик» первый
квартал 2009 года не принес тревожных тенденций. Загруженность обработкой
складируемых товарно-материальных ценностей сохранилась полностью.
Более того, можно высказать предположение, что
возникшие проблемы с реализацией могут спровоцировать увеличение потребности в
складских услугах, в качественном хранении товарно-материальных ценностей на
более длительные периоды. То есть мировой финансовый кризис может сказаться на
секторе складских услуг в экономически выгодном плане в отличии от всех других
секторов экономики. Единственным негативным фактором для этого сектора может
быть только некоторое вынужденное снижение цен на услуги.
В связи с этим следует заметить основные
сектора экономики в республике и хозяйствующие субъекты ощутили последствия
мирового финансового кризиса уже к концу 2008 года. Прежде всего это выразилось
в падении темпов роста показателей финансово хозяйственной деятельности
относительно 2007 года. Анализ финансовых и технико-экономических показателей
деятельности «Доминик» показал, что это не относится к предприятию. Спрос на
услуги СП «Доминик» не только не упал, но даже вырос. Возможным потенциальным
следствием влияния мирового кризиса может стать ценовой фактор. Но многое
свидетельствует, что и этого может не произойти. С другой стороны, если это
произойдёт, то во многом компенсируется встречным снижением цен на услуги и
товары потребляемые БГСП «Доминик» ООО.
Кризис, как известно явление циклическое.
Представляется, что даже в его условиях БГСП «Доминик» ООО может извлечь
определённые выгоды реализуя назревшую потребность расширения объёма
предложения своих услуг. Снижение цен на строительные работы, строительные
материалы, на оборудование и технику в условиях необходимости затрат времени на
новое строительство могут послужить СП «Доминик» снижению издержек
строительства нового склада и подготовке к очередной фазе экономического
подъёма. Предприятие на выходе из кризиса, реализовав с минимальными издержками
инвестиционный проект, сможет предложить продукт-комплекс услуг складского
хозяйства нового уровня. Ведь любой кризис, при всей его социальной
болезненности, как известно служит оздоровлению производства, повышению его
уровня, а следовательно, и повышению уровня требований и к сопряжённым
производствам. То есть и к складскому хранению и последующей обработке
складируемой продукции. Совершенно очевидно, что в условиях кризиса любой
производитель будет стремиться совершенствовать технологию производства и
врядли будет искать средства для модернизации производственных складов. Поэтому
следует ожидать повышения роли, значения и экономического результата имение
коммерческих складов в послекризисный период.
Исходя из территории владеемой на сегодняшний
день БГСП «Доминик» ООО оптимальным представляется расширение площадей хранения
и обработки товарно-материальных ценностей по следующим параметрам:
- расширить ЗТК с 110 до 146 машиномест;
- построить дополнительный склад таможенного
хранения вместимостью более 7000 пеллетомест с усовершенствованной системой
управления складом;
- построить офисное помещение площадью 1400
метров квадратных для увеличения количества рабочих мест инспекторов таможни и
таможенных оформителей-работников предприятия.
Полный срок реализации всего пакета предложений
из сложившихся в республике сроков строительства подобных объектов составит
порядка 3 – 5 лет в зависимости от обеспечения финансирования инвестиционного
проекта, то есть горизонт планирования реализации проекта – это 2009—2013 год
ориентированно.
Следующий вопрос, который встаёт за принятием
расширения зоны складирования и обслуживания складского хозяйства – это выбор
типа складского помещения. Конечно, заманчиво спроектировать и реализовать
строительство склада типа А, то есть высшего качественного уровня. Однако, это
представляется, в той перспективе на которую осуществляется планирование и в
той экономической ситуации в которой сегодня находиться республика,
нецелесообразным и неэффективным экономически. Строительство склада такого типа
выше по стоимости, как минимум в 1,5 раза чем строительства склада типа Б. Выше
только за счёт оборудования обеспечивающего автоматизацию всего цикла работ
приёмки, складирования и отпуска товарно-материальных ценностей. В условиях
дефицита складов типа Б излишние затраты, к тому же повышающие и стоимость обслуживания
работы склада, экономически нецелесообразны. При проектировании нового склада
необходимо и достаточно предусмотреть характеристики представляющие возможности
реконструкции, при необходимости склада Б в склад типа А.
То есть проектируемый склад должен быть
представлен следующими характеристиками:
- капитальное одноэтажное здание;
- высота потолка от 8 до 10 метров;
- пол бетон;
- температурный режим – полностью регулируемый;
- системы пожарной, охранной сигнализации;
- многоканальное телефонно-инфармационное
обеспечение;
- раздельные пандусы для разгрузки и загрузки
транспорта.
При этом, как уже отмечалось во втором разделе
работы, учитывая потребность в специализированных складах, а в перспективе и
увеличение этой потребности проектируемый склад должен отвечать дополнительно
требованиям хранения и обработки фармакологической продукции. То есть
изначально проект необходимо согласовать с министерством здравоохранения на
предмет его использования под фармакологическую продукцию. Однако, не следует его
строить как чисто специализированный, всё таки, в ближней и средней перспективе
универсальные склады экономически более выгодны.
Для оценки стоимости проекта расширения зоны
таможенного контроля воспользуемся расчётами стоимости подобного строительства
проектно-изыскательской компании ЧУП «Компания Х» имеющей лицензию комитета
архитектуры и градостроительства Мингорисполкома и выполнявшей для «Доминик»
работы по проектированию введённых в строй складов компании.
Согласно проектно-сметной документации, предоставленной
строительной организацией ЧУП «Компания Х», сумма строительно-монтажных работ
по расширению производственной базы с учетом НДС составляет 500 000 долларов
США.
Таблица 3.1 – Смета строительно-монтажных работ
по инвестиционному проекту
|
№ п/п
|
Статьи расходов
|
Сумма,
дол. США
|
|
1
|
2
|
3
|
|
1.
|
Основная заработная
плата
|
2 204
|
|
2.
|
Всего эксплуатация
машин и механизмов:
|
29 935
|
|
2.1
|
Эксплуатация машин и
механизмов
|
12 965
|
|
2.2
|
Транспорт грунта
|
16 970
|
|
3.
|
Всего материалы
|
95 427
|
|
3.1
|
Заготовительно-складские
расходы
|
3 459
|
|
3.2
|
Материалы заказчика,
принятые на хранение
|
6 564
|
|
3.3
|
Материалы подрядчика
|
85 404
|
|
4.
|
Транспорт
|
69 009
|
|
5.
|
Накладные расходы
|
14 026
|
|
6.
|
Плановые накопления
|
11 447
|
|
7.
|
Итого
строительно-монтажных работ
|
222 049
|
|
8.
|
Непредвиденные затраты
|
3 331
|
|
9.
|
Всего
строительно-монтажных работ
|
225 380
|
|
10.
|
Прочие затраты
|
3 643
|
|
11.
|
Вся стоимость
строительно-монтажных работ в текущих ценах
|
229 023
|
|
12.
|
Налоги:
|
34 171
|
|
13.
|
Итого объем работ
|
263 194
|
|
14.
|
Материалы заказчика
|
-6 564
|
|
15.
|
Объем работ для налогообложения
|
256 630
|
|
16.
|
Налоги и отчисления от
выручки
|
7 937
|
|
17.
|
Всего налогов без НДС
|
42 108
|
|
18.
|
Итого объем работ без
НДС
|
264 567
|
|
19.
|
НДС
|
47 622
|
|
20.
|
Итого объем работ с НДС
|
312 190
|
|
Расходы на канализацию
|
|
21.
|
Материалы и
трудозатраты
|
130 518
|
|
22.
|
НДС
|
23 493
|
|
23.
|
Итого с НДС
|
154 011
|
|
24.
|
Итого полная смета с
НДС
|
500 000
|
Финансирование инвестиционного проекта
планируется провести посредством использования собственных средств в размере
100 тыс. долларов США и привлечения банковского кредита в размере 400 тыс.
долларов США. Процентная ставка по кредиту составляет 12 % годовых.
В финансовом плане прогнозируются доходы и
расходы предприятия, рассчитывается чистый денежный поток от деятельности БГСП
«Доминик» ООО без учета инвестиционного проекта и с учетом его реализации.
При расчётах и оценке эффективности проекта
горизонт планирования принят равным пяти годам: с 2009 по 2013 год.
Для прогнозирования доходов и расходов на
период кредитования в основу положен пессимистический сценарий. Мы не учитываем
стабильный рост доходов компании, прослеживающийся в течение 10 лет. Будем
исходить из сохранения доходности работы «Доминик» на уровне 2008 года.
В первом полугодии 2008 года доход «Доминик»
составил 1 703 750 долларов США.
Для прогноза выручки на последующие 5 лет
используется среднемесячное значение, рассчитанное по итогам деятельности
предприятия в первом полугодии 2008 года. При прочих равных условиях
среднегодовая выручка будет равна 3 407 500 долларов США.
Основными показателями, определяющими доходы по
инвестиционному проекту, являются:
- количество въехавших в ЗТК транспортных
средств;
- доход на одно въехавшее в ЗТК транспортное
средство.
В первом полугодии 2008 года при наличии 110
машиномест в ЗТК въехало 6 527 транспортных средств. В результате среднемесячный
доход на одну въехавшую машину составил 145 долларов США (Таблица 3.2).
Таблица 3.2 – Доход на одну въехавшую машину за
1е полугодие 2008 года
|
Месяц
|
Кол-во въехавших машин
|
Доход таможенного
терминала, США
|
Доход на одну машину,
США
|
|
январь
|
919
|
139 606
|
152
|
|
февраль
|
1 110
|
152 872
|
138
|
|
март
|
1 176
|
181 275
|
154
|
|
апрель
|
1 029
|
155 192
|
151
|
|
май
|
1 139
|
173 729
|
153
|
|
июнь
|
1 154
|
144 151
|
125
|
|
Итого
|
6 527
|
946 824
|
145
|
В первом полугодии 2008 года в среднем в месяц
въехало 1 088 машин. С учётом расширения ЗТК на 36 машиномест и актуальности
таможенных услуг на рынке Республики Беларусь, планируется, что с апреля 2009
года ежемесячное количество въезжающих транспортных средств увеличится на 356.
Таким образом, выручка от реализации
инвестиционного проекта и выручка предприятия с учетом проекта составит:
Таблица 3.3 – Выручка предприятия с учетом
реализации инвестиционного проекта
|
Период
|
Кол-во въезжающих машин
|
Выручка от реализации
проекта,
дол. США
|
Выручка предприятия с
учетом проекта,
дол. США
|
|
2009
|
3 204
|
464 804
|
3 872 305
|
|
2010
|
4 272
|
619 739
|
4 027 239
|
|
2011
|
4 272
|
619 739
|
4 027 239
|
|
2012
|
4 272
|
619 739
|
4 027 239
|
|
2013
|
4 272
|
619 739
|
4 027 239
|
За первое полугодие 2008 года затраты
предприятия составили 911 828 долларов США.
Для дальнейших расчётов предполагается, что в
течение последующих 5 лет издержки предприятия от текущей деятельности останутся
на уровне среднегодового значения 2008 года (за основу взято среднемесячное
значение первого полугодия):
Таблица 3.4 – Полные расходы предприятия без
учета проекта
|
Наименование статей
расхода
|
Сумма за 1полугодие
2008, дол. США
|
Среднемесячное
значение, дол. США
|
Годовое значение, дол.
США
|
|
1
|
2
|
3
|
4
|
|
Заработная плата
|
295 190
|
49 198
|
590 380
|
|
Фонд социальной защиты
|
103 354
|
17 226
|
206 708
|
|
Амортизация
|
62 889
|
10 481
|
125 777
|
|
Общепроизводственные
расходы
|
132 048
|
22 008
|
264 095
|
|
Общехозяйственные
расходы
|
160 174
|
26 696
|
320 348
|
|
Расходы торгового
отдела на реализацию
|
29 231
|
4 872
|
58 462
|
|
Расходы торгового
отдела на закупку товара
|
128 943
|
21 491
|
257 886
|
|
Итого полные затраты
|
911 828
|
151 971
|
1 823 657
|
Текущие затраты инвестиционного проекта состоят
из следующих статей: амортизация; арендная плата; техническое обслуживание
территории (общепроизводственные расходы).
В соответствии с временным республиканским
классификатором основных средств и нормативных сроков их службы, срок полезного
использования новой зоны таможенного контроля составит 31,3 года.
На предприятии используется линейный метод
начисления амортизации. Текущие затраты инвестиционного проекта составят:
Таблица 3.5 – Текущие затраты инвестиционного
проекта
|
Наименование статей
расхода
|
2009
|
2010
|
2011
|
2012
|
2013
|
|
Амортизация, тыс. руб
|
12 268
|
17 116
|
17 927
|
18 329
|
18 334
|
|
Арендная плата, тыс.
руб
|
6 885
|
9 180
|
9 180
|
9 180
|
9 180
|
|
Общепроизводственные
расходы, тыс. руб
|
39 614
|
52 819
|
52 819
|
52 819
|
52 819
|
|
Итого полные затраты
|
58 768
|
79 115
|
79 926
|
80 328
|
80 333
Таблица 3.6 – Издержки предприятия с учетом
инвестиционного проекта
|
Наименование статей
расхода
|
2009
|
2010
|
2011
|
2012
|
2013
|
|
1
|
2
|
3
|
4
|
5
|
6
|
|
Заработная плата
|
590 380
|
590 380
|
590 380
|
590 380
|
590 380
|
|
Фонд социальной защиты
|
206 708
|
206 708
|
206 708
|
206 708
|
206 708
|
|
Амортизация
|
138 046
|
142 893
|
143 704
|
144 106
|
144 111
|
|
Общепроизводственные
расходы
|
303 710
|
316 915
|
316 915
|
316 915
|
316 915
|
|
Общехозяйственные
расходы
|
327 233
|
329 528
|
329 528
|
329 528
|
329 528
|
|
Расходы торгового
отдела на реализацию
|
58 462
|
58 462
|
58 462
|
58 462
|
58 462
|
|
Расходы торгового
отдела на закупку товара
|
257 886
|
257 886
|
257 886
|
257 886
|
257 886
|
|
Итого полные затраты
|
1882425
|
1902772
|
1903583
|
1903985
|
1903990
|
Расчет потока чистых средств, образованных в
результате инвестиционной, операционной и финансовой деятельности,
осуществляемой БГСП «Доминик» ООО произведен по годам расчетного периода,
начиная с 2009 года.
Учитывая спрогнозированные на срок
предоставления кредита выручку и издержки предприятия без учёта проекта,
рассчитывается прибыль от реализации предоставляемых услуг:
Таблица 3.7 – Прибыль от реализации услуг (без
учета инвестиционного проекта)
|
Статьи
|
2009
|
2010
|
2011
|
2012
|
2013
|
|
Выручка
|
3407500
|
3407500
|
3407500
|
3407500
|
3407500
|
|
Налоги из выручки
|
606 420
|
606 420
|
606 420
|
606 420
|
606 420
|
|
Полные издержки
|
1823657
|
1823657
|
1823657
|
1823657
|
1823657
|
|
Прибыль от реализации
|
977 424
|
977 424
|
977 424
|
977 424
|
977 424
|
Для расчета сальдо по операционным и
внереализационным доходам и расходам используется среднее значение их
процентного отношения к общей выручке предприятия (за период с 2006 года по
июнь 2008 года включительно).
Чистая прибыль и чистый доход предприятия от
осуществления текущей деятельности составит:
Таблица 3.8 – Чистая прибыль и чистый доход
предприятия от текущей деятельности
|
Наименование статей
|
2009
|
2010
|
2011
|
2012
|
2013
|
|
1
|
2
|
3
|
4
|
5
|
6
|
|
Прибыль от реализации
|
977 424
|
977 424
|
977424
|
977 424
|
977 424
|
|
Сальдо операционных
доходов и расходов
|
-16 850
|
-16 850
|
-16 850
|
-16 850
|
-16 850
|
|
Сальдо
внереализационных доходов и расходов
|
-32 622
|
-32 622
|
-32 622
|
-32 622
|
-32 622
|
|
Прибыль за период
|
927 951
|
927 951
|
927 951
|
927 951
|
927 951
|
|
Налоги, уплачиваемые из
прибыли
|
263 511
|
263 826
|
264 119
|
264 392
|
264 647
|
|
налог на недвижимость
|
26 649
|
27 076
|
27 474
|
27 844
|
28 189
|
|
налог на прибыль
|
216 313
|
216 210
|
216 115
|
216 026
|
215 943
|
|
Налог на поддержание
инфраструктуры
|
6 850
|
6 847
|
6 844
|
6 841
|
6 838
|
|
Транспортный сбор
|
13 700
|
13 693
|
13 687
|
13 682
|
13 676
|
|
Чистая прибыль
|
664 440
|
664 125
|
663 832
|
663 559
|
663 305
|
|
Амортизация
|
122 584
|
124 550
|
126 380
|
128 084
|
129 670
|
|
Чистый доход
|
787 025
|
788 675
|
790 212
|
791 643
|
792 975
|
Планируется, что компания ежегодно будет
инвестировать в текущую деятельность 300 000 долларов США.
Таким образом, чистый денежный поток БГСП
«Доминик» ООО на горизонт планирования выглядит следующим образом:
Таблица 3.9 – Чистый денежный поток от текущей
деятельности организации
|
Наименование статей
|
2009
|
2010
|
2011
|
2012
|
2013
|
|
Чистый доход от текущей
деятельности
|
787 025
|
788 675
|
790 212
|
791 643
|
792 975
|
|
Текущие инвестиции
|
-300 000
|
-300 000
|
-300 000
|
-300 000
|
-300 000
|
|
Итого чистый денежный
поток
|
487 025
|
488 675
|
490 212
|
491 643
|
492 975
|
Для расчёта чистой прибыли и чистого дохода
предприятия с учетом инвестиционного проекта воспользуемся значениями следующих
показателей:
а) выручка предприятия с учётом инвестиционного
проекта;
б) среднегодовые издержки предприятия с учетом
инвестиционного проекта;
в) среднее значение процентного отношения
операционных и внереализационных доходов и расходов к общей выручке
предприятия.
Таблица 3.10 – Чистая прибыль и чистый доход
предприятия с учетом инвестиционного проекта
|
Наименование статей
|
2009
|
2010
|
2011
|
2012
|
2013
|
|
1
|
2
|
3
|
4
|
5
|
6
|
|
Выручка
|
3872305
|
4027239
|
4027239
|
4027239
|
4027239
|
|
Налоги из выручки
|
689 139
|
716 712
|
716 712
|
716 712
|
716 712
|
|
Полные издержки
|
1882425
|
1902772
|
1903583
|
1903985
|
1903990
|
|
Прибыль от реализации
|
1300741
|
1407755
|
1406944
|
1406543
|
1406537
|
|
Сальдо операционных
доходов и расходов
|
-19 149
|
-19 915
|
-19 915
|
-19 915
|
-19 915
|
|
Сальдо
внереализационных доходов и расходов
|
-37 072
|
-38 555
|
-38 555
|
-38 555
|
-38 555
|
|
Прибыль за период
|
1244520
|
1349285
|
1348474
|
1348072
|
1348067
|
|
Налоги, уплачиваемые из
прибыли
|
352 367
|
380 477
|
380 838
|
381 144
|
381 399
|
|
налог на недвижимость
|
34 329
|
35 112
|
35 891
|
36 450
|
36 797
|
|
налог на прибыль
|
290 446
|
315 401
|
315 020
|
314 789
|
314 705
|
|
Налог на поддержание
инфраструктуры
|
9 197
|
9 988
|
9 976
|
9 968
|
9 966
|
|
Транспортный сбор
|
18 395
|
19 975
|
19 951
|
19 937
|
19 931
|
|
Чистая прибыль
|
892 153
|
968 808
|
967 636
|
966 928
|
966 668
|
|
Амортизация
|
134 853
|
141 666
|
144 307
|
146 412
|
148 004
|
|
Чистый доход
|
1027006
|
1110474
|
1111944
|
1113341
|
1114672
|
Планируется, что новый объект начнет приносить
доход сразу после ввода в эксплуатацию. С момента получения кредита компания
начнёт погашение процентов по нему, а с начала 2010 года выплаты основного
долга, используя как денежные средства от текущей деятельности предприятия, так
и денежные поступления от проекта.
Все показатели, связанные с выплатой кредита и
процентов по нему, пересчитываются в валюте кредитования.
Сумма кредиторской задолженности предприятия на
1 января 2010 года составит 400 000 долларов США:
Выплаты основного долга по кредиту планируется производить
равными частями в течение 4 лет. График погашения основного долга и процентов
по кредиту планируется следующим образом:
Таблица 3.11 – График освоения и погашения
банковского кредита и процентов по нему
|
|
2009
|
2010
|
2011
|
2012
|
2013
|
Итого
|
|
Выплата процентов по
кредиту
|
|
BYB
|
102960 000
|
91161827
|
65420 360
|
39678 892
|
13937 424
|
313158504
|
|
США
|
48 000
|
42 500
|
30 499
|
18 498
|
6 498
|
145 995
|
|
Выплата основного долга
|
|
BYB
|
|
214 512 230
|
214512230
|
214512230
|
214463310
|
858000000
|
|
100 006
|
100 006
|
100 006
|
99 983
|
400 000
|
График погашения банковского кредита и
процентов по нему демонстрирует способность предприятия полностью погасить свою
кредиторскую задолженность перед банком в декабре 2013 года.
Рассчитаем потенциальную эффективность
спроектированного инвестиционного проекта.
Для оценки эффективности инвестиционного
проекта используются следующие методы:
а) расчет чистого приведенного эффекта (ЧДД);
б) расчет внутренней нормы доходности;
в) расчет срока окупаемости проекта;
г) расчет индекса рентабельности инвестиций.
Чистый доход по проекту рассчитывается как
разность между чистым доходом предприятия с учетом реализации проекта и чистым
доходом предприятия без учета реализации проекта.
Таблица 3.12 – Чистый денежный поток
инвестиционного проекта
|
Наименование статей
|
2009
|
2010
|
2011
|
2012
|
2013
|
|
Чистый доход с учетом
проекта, США
|
1 027 006
|
1 110 474
|
1 111 944
|
1 113 341
|
1 114 672
|
|
Чистый доход без учета
проекта, США
|
787 025
|
788 675
|
790 212
|
791 643
|
792 975
|
|
Чистый доход проекта,
США
|
239 981
|
321 799
|
321 731
|
321 698
|
321 698
|
|
Чистый доход проекта,
BYR
|
514759755
|
690258954
|
690114022
|
690042241
|
690041272
|
|
Инвестиционные затраты
по проекту
|
|
|
|
|
|
|
Выплата % по кредиту
|
48 000
|
42 500
|
30 499
|
18 498
|
6 498
|
|
Общие инвестиционные
затраты, США
|
48 000
|
42 500
|
30 499
|
18 498
|
6 498
|
|
Общие инвестиционные
затраты, BYR
|
102 960 000
|
91 161 827
|
65 420 360
|
39 678 892
|
13 937 424
|
|
Чистый денежный поток,
США
|
191 981
|
279 299
|
291 232
|
303 200
|
315 200
|
|
Чистый денежный поток,
BYR
|
411 799755
|
599 097127
|
624 693663
|
650 363349
|
676103848
|
Для расчета коэффициента дисконтирования
используется следующая формула:
, (3.1)
где Д - ставка дисконтирования (норма
дисконта);
t - период (год) реализации проекта.
Ставка дисконтирования принимается равной
процентной ставке по кредиту в размере 12%.
Таблица 3.13 – Коэффициент дисконтирования
|
2008
|
2009
|
2010
|
2011
|
2012
|
2013
|
|
Коэффициент
дисконтирования
|
1
|
0,89
|
0,80
|
0,71
|
0,64
|
0,57
|
Следовательно, чистые дисконтированные денежные
потоки данного инвестиционного проекта выглядят следующим образом:
Таблица 3.14 – Чистый дисконтированный денежный
поток проекта, дол. США
|
Наименование статей
|
2009
|
2010
|
2011
|
2012
|
2013
|
|
Чистый доход
|
288 134
|
386 369
|
386 287
|
386 247
|
386 247
|
|
Чистый дисконтированный
доход
|
257 262
|
308 011
|
274 952
|
245 467
|
219 167
|
|
Инвестиционные затраты
|
57 631
|
51 027
|
36 619
|
22 210
|
7 801
|
|
Дисконтированные
инвестиционные затраты
|
51 456
|
40 679
|
26 064
|
14 115
|
4 427
|
|
Чистый дисконтированный
денежный поток
|
205 806
|
267 332
|
248 887
|
231 352
|
214 740
|
|
Чистый дисконтированный
денежный поток нарастающим итогом (ЧДД)
|
-394 520
|
-127 188
|
121 699
|
353 051
|
567 791
|
Согласно таблице 3.14, полные инвестиционные
затраты проекта с учетом выплаты процентов по кредиту составят 775 615 дол.США.
Следовательно:
775
615 – 674 502
Простой срок
окупаемости = 2 года + = 2 года 4 месяца
386
287 /12
Динамический срок окупаемости проекта. Согласно
таблице 3.14, дисконтированные инвестиционные затраты составляют 737 067
дол.США.
Как видно из таблицы 3.14, приведенная
стоимость чистых дисконтированных денежных потоков по истечении 5 лет с момента
ввода объекта в эксплуатацию принимает положительное значение, равное 567 791
дол.США, что свидетельствует об экономической целесообразности инвестиционного
проекта.
Внутренняя норма доходности равна 42,51 %, что
существенно превышает плату за банковский кредит.
Индекс рентабельности рассчитывается по
формуле:
, (3.2)
где ЧДД - чистый дисконтированный доход;
ДИ - дисконтированная стоимость инвестиционных
затрат и платы за кредит.
.
Индекс рентабельности инвестиционного проекта
составляет 1,77, что подтверждает его эффективность.
Реализация назревшего инвестиционного проекта
может оказаться ещё выше если в процессе его осуществления предусмотреть
некоторые направления совершенствования управления работой складского
хозяйства. Это не свидетельство упущений в настоящее время в компании
«Доминник». Просто новые возможности предприятия требуют упреждающей работы с
потенциальной клиентурой, то есть совершенствования управления внешней средой
компании.
3.2 Автоматизация складских операций и
перспективные направления развития складских и логистических процессов
Разработка системы складирования основывается
на выборе рациональной системы из всех технически возможных систем для решения
поставленной задачи методом количественной и качественной оценки. Этот процесс
выбора и оптимизации предполагает выявление связанных между собой факторов,
систематизированных в несколько основных подсистем.
При создании складской системы нужно
руководствоваться следующим основным принципом: лишь индивидуальное решение с
учетом всех влияющих факторов может сделать ее рентабельной. Предпосылкой этого
является четкое определение функциональных задач и основательный анализ
переработки груза как внутри, так и вне склада. Любые затраты должны быть
экономически оправданными, т.е. внедрение любого технологического и
технического решения, связанное с капиталовложениями, должно исходить из
рациональной целесообразности.
Сооружение и содержание транспортных средств и
складов, оснащенных холодильными установками, требует значительных затрат.
Сооружение такого склада, как правило, обходится в три раза дороже по сравнению
со строительством обычного склада, на котором продукция хранится при
температуре окружающей среды. Кроме того, затраты на хранение скоропортящегося
товара влияют на текущие расходы по содержанию системы распределения. Эти
расходы должны быть сбалансированы относительно необходимости сохранения
качества продукции.
Выбор рациональной системы складирования должен
осуществляться в следующем порядке:
- определяются место склада в логистической
цепи и его функции;
- устанавливается общая направленность
технической оснащенности складской системы (механизированная,
автоматизированная, автоматическая);
- определяется задача, которой подчинена
разработка системы складирования;
- выбираются элементы каждой складской
подсистемы;
- создаются комбинации выбранных элементов всех
подсистем;
- осуществляется предварительный выбор
конкурентных вариантов из всех технически возможных;
- проводится технико-экономическая оценка
каждого конкурентного варианта;
- осуществляется альтернативный выбор
рационального варианта.
При альтернативном выборе системы складирования
на основе применяемого при этом оборудовании оптимальным является вариант с
максимальным значением показателя эффективности использования складского объема
при минимальных затратах. Осуществляя выбор систем складирования на практике,
необходимо помнить, что в одном складском помещении возможно сочетание
различных вариантов в зависимости от перерабатываемого груза.
Экономический эффект от использования более
усовершенствованных видов оборудования на складе отображен в таблице 3.15.
Здесь приведены несколько простейших примеров, демонстрирующих разницу в
затратах времени на выполнение операций. Эти данные можно использовать для
планирования наряду с опытными данными, полученными при помощи методов анализа
временных затрат.
Таблица 3.15 – Простейшие примеры разницы в
затратах времени
|
Операция
|
Вид деятельности
|
Затраченное время, с
|
Затраченное время, мин
|
|
Отборка и перемещение
вручную (отборка вручную) /перемещение вручную
|
Выборка и перемещение
небольшого предмета
|
10
|
0,16666
|
|
Выборка и перемещение
предмета весом до 18 кг
|
20
|
0,33333
|
|
Пешее перемещение,
отборка вручную
|
Перемещение пешком, с
пустыми руками
|
-
|
61 м/мин
|
|
Пешее перемещение,
используется ручная тележка для перевозки поддонов
|
-
|
30,5 м/мин
|
|
Вилочный погрузчик
|
Выборка и перемещение
паллеты
|
65
|
1,0883
|
|
Механический подъем
/механическое перемещение
|
20с на 1 метр высоты
|
-
|
|
Перемещение
|
-
|
120 м/мин
|
Наиболее очевидна разница между использованием
вилочного погрузчика или механизированной тележки для перевозки поддонов и
ручной тележки при проведении пешей отборки. Скорость механизированной отборки
выше в 4 раза.
Очевидно, что затраты и показатели
продуктивности являются взаимозависимыми показателями, поэтому и учитывать их
нужно оба. Подсчет затрат на единицу, основанный на догадках, – вещь опасная и
субъективная. Кроме того, совершенно несложно рассчитать себестоимость точно и
объективно.
Рациональное осуществление логистического
процесса на складе – залог его рентабельности. Поэтому при организации
логистического процесса необходимо добиваться:
- рациональной планировки склада при выделении
рабочих зон, способствующей снижению затрат и усовершенствованию процесса
переработки груза;
- эффективного использования пространства при
расстановке оборудования, что позволяет увеличить мощность склада;
- использования универсального оборудования,
выполняющего различные складские операции, что дает существенное сокращение
парка подъемно-транспортных машин;
- максимального использования возможностей
информационной системы, что значительно сокращает время и затраты, связанные с
документооборотом и обменом информацией, и т.д.
Иногда резервы рациональной организации
логистического процесса, пусть и не столь значительные, заключаются в весьма
простых вещах: расчистке загроможденных проходов, улучшении освещения,
организации рабочего места. В поиске резервов эффективности функционирования
склада нет мелочей, все должно анализироваться, а результаты анализа –
использоваться для улучшения организации логистического процесса.
Электронные средства связи делают возможным
автоматическое принятие решений, моделирование предложенных изменений,
автоматическое управление отслеживания и автоматическое формирование
мониторинга производительности и управления. Это означает возможность более
быстрого и усовершенствованного принятия решений, как это показано в следующих
примерах.
Повторный заказ запасов в зависимости от
заранее установленных уровней и количества. В данном случае проводится
мониторинг уровня запасов в зависимости от доставок покупателям, и, как только
уровень запасов снижается до заданного уровня, поставщик получает очередной
заказ, пополняя его до желаемого уровня.
Предложенные изменения в операциях и сетях
можно смоделировать таким образом, чтобы можно было оценить результаты и
принять решения. Здесь компания может выразить желание изменить способ
планирования своих складских операций. Может также смоделировать множество
различных вариантов, которые затем будут оцениваться, и на основании этого
будут приняты решения по каждому из необходимых изменений в текущих операциях и
планировке.
Автоматизированное управление и контроль
оборудования, продукции и имущества (например, упаковочных лотков, контейнерных
тележек, бочонков для пива). Это обеспечивает прозрачность операций, что, в
свою очередь, повышает безопасность и позволяет реагировать на операции в
режиме реального времени.
Автоматическое формирование мониторинга
производительности и управления. Здесь, например, можно провести мониторинг
всех физических операций и затем выделить любые отклонения от ожидаемого и
планового показателя. Например, товар планируется поставить покупателям в
течение трех дней с момента получения заказа. При фиксировании в системе ИКТ
времени и даты поступления заказа все последующие шаги маркетинга (заказы
покупателя/обслуживание), учета (наличие запасов), складирования (отборка) и
транспортировки (доставка), фактическое и расчетное время и даты всех этих
операций становятся доступными и очевидными. Это позволяет сравнить действительный
показатель с плановым ожидаемым показателем.
Как видим, информация необходима на каждом
уровне и этапе цепочки поставок. И прогресс в развитии как операционных систем
ИКТ, так и вычислительной мощности облегчает и удешевляет получение информации.
Как правило, использование ИКТ снижает издержки, а это означает, что при
надлежащем их использовании можно значительно увеличить прибыли.
ИКТ продолжают вносить усовершенствования
везде, где они необходимы:
- для немедленного доступа к информации;
- снижения себестоимости;
- чтобы иметь преимущество перед конкурентами;
- точности проведения работ;
- для интеграции и координации;
- для снижения времени цикла;
- для усовершенствования контроля;
- улучшения обслуживания.
ИКТ становятся инструментом интеграции и координации
логистики, цепочек поставок и всех предприятий и компаний, участвующих в этих
процессах.
Работа склада становится все более гибкой, на
смену статическим операциям хранения приходят сложные операции сортировки.
Поскольку запасы должны оцениваться без задержки, на смену методам ручного
труда с использованием бумажных документов приходит система слежения,
основанная на штрих-кодировании. Мобильные компьютеры и лазерные сканеры
считывают данные и передают их по беспроводной связи в режиме реального времени,
предоставляя информацию для оперативного принятия решений.
Тогда как для одних компаний некоторые области
применения ИКТ могут оставаться чем-то непостижимым, для других они являются
повседневной реальностью. Благодаря автоматизации, движение сырья на складе
больше не является в основном ручной операцией, а включает автоматизированное
хранение и поиск товара, а контроль над всеми операциями производится при
помощи системы управления складом (СУС).
ИКТ значительно увеличили эффективность и
результативность управления цепочками поставок. Многие не согласны с тем, что
усовершенствование работы складов и управления цепочкой поставок в основном
связаны с развитием ИКТ. Давайте рассмотрим некоторые рабочие моменты с
использованием ИКТ. Практически все они сегодня считаются естественным и
нормальным явлением, однако так было не всегда.
Закупка: заказ, отслеживание процесса его
выполнения и проведение платежа при помощи электронного обмена данными.
Производство: использование систем планирования
потребностей в материальных ресурсах (MRP) позволяет с высокой скоростью
осуществлять повторные заказы, пополнять запасы, управлять ими и планировать
производство известных товарных групп.
Запасы: управление запасами и система обработки
повторных заказов.
Складирование: системы управления складом
(СУС), автоматические системы хранения и поиска, внутренние контакты при помощи
радиочастотного оборудования, считывание штрих-кодов (подробнее рассматривается
ниже).
Транспортировка: управление парком, разработка
маршрута и система календарного планирования.
Маркетинг: системы обработки заказов.
Система управления складом (СУС) может охватить
все текущие складские операции, например: пополнение запасов по соответствующим
документам, формирование этикеток и отборочных листов, определение размеров
запасов открытого хранения, пополнения запасов открытого хранения и др. Таким
образом, внедрение СУС дает массу преимуществ: усовершенствование контроля
уровня запасов, их прозрачность, повышение уровня производительности и
улучшение управленческой отчетности. Кроме того, СУС может быть объединенаы с
системами заказов, например, web-системами, имеющими отношение к покупкам через
каталог, для организации прямой связи между получением заказа и операциями по
отборке и распределению наряду с финансовым и кредитным контролем.
В таблице 3.16 представлены некоторые виды
деятельности, которые могут быть выполнены системой управления складом.
Каждый вид деятельности подвергается
«встроенному» контролю посредством автоматизированного сбора данных, что,
возможно, и является наиболее важной чертой СУС.
Таблица 3.16 – Виды деятельности, которые может
выполнять СУС
|
Вид деятельности
|
Некоторые возможные
характеристики СУС
|
|
Приемка
|
Автоматическая проверка
при считывании штрих-кода
|
|
Отсутствие бумаг
|
|
Зона промежуточного
хранения
|
|
Автоматическое
определение местоположения, дающее экономию пространства
|
|
Отборка
|
Определение приоритетов
при выпуске продукции
|
|
Определение приоритетов
при выпуске продукции
|
|
Подтверждение отборки в
режиме реального времени
|
|
Автоматическая
активация пополнения запасов
|
|
Отправка
|
Планировка и
упорядочение загрузки
|
|
Автоматическая проверка
при считывании штрих-кода
|
|
Отсутствие бумаг
|
При помощи автоматизированного сбора данных
осуществляются «встроенные» перекрестные и контрольные проверки, которые
автоматически предотвращают ошибки, пропущенные при самопроверке вручную. Так,
например, установлено, что точность отборки мало зависит от того, была ли
отборка дополнительно пересчитана перед отправкой или нет, а также от выбранного
метода отборки, однако основным дифференцирующим элементом точности выполнения
заказа является полнота и правильность использования СУС.
Внедрение СУС предполагает конкретные затраты,
а ожидаемую экономию в каждой из оговоренных проблемных зон необходимо
подсчитать. Как только сделан обзор возможных источников экономии, можно
рассмотреть следующие моменты: стоимость СУС; ее свойства и способность
адаптироваться к будущим потребностям; как поставщик будет производить
управление и ремонт; наличие у поставщика знаний и опыта в данном секторе;
имеющиеся варианты поддержки и возможности модернизации.
СУС может расширить свои функции в управлении
поставками и способствовать увеличению прозрачности и скорости передвижения
товаров по расширенной цепочке поставок путем обмена данными с другими
подобными системами, включая системы планирования ресурсов предприятия (ERP).
Система ERP взаимодействует со складом через данные о заказах, которые
необходимо сформировать, а также через данные о продажах, уровне спроса и состоянии
отобранных заказов, отгрузке на транспортное средство и вплоть до выставления
соответствующих счетов бухгалтерией.
СУС может также использоваться с
автоматизированным сбором данных, чтобы предоставить складским операторам более
точные сведения, сократив расходы на рабочую силу и уменьшив время цикла.
Как правило, для считывания штрих-кодов
пользуются либо стационарными протяжными устройствами (подобными тем, что
устанавливают на ленте, по которой перемещаются продукты), либо ручными
считывателями-пистолетами. В последнее время на смену ручным устройствам
направленного действия приходят небольшие и компактные устройства (так
назывеаемые finger scanners), которые крепятся на палец. Они выполняют те же
действия, но более эффективны, т. к. освобождают руки. Сканер работает в
направлении пальца, на котором закреплен, а экран считывателя крепится на
предплечье. Съемные, не требующие участия рук, устройства получают информацию
по радиоканалу и передают данные в систему управления складом, которая, в свою
очередь, в случае необходимости может передавать информацию обратно на
следующем рабочем цикле. Съемные сканеры часто распределяются между отдельными
служащими, которые принимают их в собственность и отвечают за подзарядку
батарей и техническое обслуживание своих единиц оборудования. Как правило,
пользователи свободно владеют подобным оборудованием, поскольку это дает им
возможность свободно распоряжаться своей работой, и они могут визуально
наблюдать и сравнивать, что они сделали за смену. Кроме того, это позволяет в
режиме реального времени контролировать точность действий. Возможность
распределения задач в зависимости от их приоритета позволяет избежать
возникновения у персонала чувства предубеждения в распределении работы.
Подобным образом также можно обмениваться
информацией с транспортно-загрузочным оборудованием. Например, вилочные
погрузчики с ручным управлением могут быть немедленно направлены к месту
выполнения очередной задачи; после ее выполнения нет необходимости возвращаться
порожняком для того, чтобы узнать следующее задание. Таким образом, можно
избежать неэффективного использования оборудования.
Вариантом описанного выше считывания штрих-кода
является обмен информацией при помощи голосового сигнала. В данном случае
используются головной телефон и микрофон, для этого на пояс крепится небольшой
блок управления, который передает информацию при помощи радиочастоты. Текстовые
инструкции, поступающие от ПК, или запрограммированные команды центра
управления, которые хранятся в СУС, преобразуются в голосовые команды,
поступающие пользователю. После выполнения команды пользователь сообщает об
этом при помощи микрофона, вмонтированного в его головной телефон. Например, в
случае проведения отборки, после преобразования данных компьютера в голосовой
сигнал отборщик получает устную инструкцию о том, куда ему следует направиться,
чтобы выполнить первую выборку. Затем отборщик подтверждает местоположение,
называя контрольные цифры, обозначенные в зоне отборки, и, если данные
совпадают, система сообщает количество единиц, которое необходимо отобрать;
далее отборщик подтверждает выполнение задачи, называя количество отобранных
единиц.
Радиочастотная идентификация (РЧИ) является не
составным элементом, как, например, крепление маркировочных транспондеров,
передающих данные, а целой системой. Система распознает физические объекты при
помощи радиоволнового сканирования. Размер РЧИ-устройств сильно варьируется,
равно как и размер меток. Например, использование РЧИ для пластиковых
контейнеров/коробов позволяет отслеживать и находить их в режиме реального
времени. В отличие от штрих-кодов, радиометки не нуждаются в зрительном
контакте для проведения считывания. По сравнению со штрих-кодами СРЧИ может
хранить больше данных, и они могут выступать в качестве пассивных отслеживающих
устройств, излучая сигналы по мере приближения к специальному сканеру.
Системы радиочастотной идентификации состоят из
трех основных компонентов:
Транспондер, состоящий из микросхемы памяти и
антенны, питается от батарей или радиоволн и передает данные с чипа.
Сканер, или считыватель, принимает и возвращает
данные.
Программное обеспечение, преобразующее данные в
информацию. Такое программное обеспечение стоит значительно дороже
транспондеров, кроме того, его системная интеграция требует большой тщательности
и внимания к деталям.
Еще один вариант передачи информации – система
отборки при помощи экрана подбора. Эта система передачи информации разработана
для отборки из открытых ящиков, размещенных на проходных стеллажах для ящиков
или транспортерах.
Отборщик отбирает заказ, ориентируясь на
световой индикатор, указывающий местоположение и количество товара. Как только
есть нужное количество товара, он нажимает кнопку, подтверждающую завершение
отборки, и следует к следующему месту отборки, над которым загорается
индикатор. Отборка при помощи экрана подборки является менее гибкой системой по
сравнению с системой локального роуминга в рамках склада, использующей
сканирующее оборудование или распознавание голосовых сообщений, поскольку оно
нуждается в таком стационарном оборудовании, как проходные стеллажи или
транспортеры, вдоль которых расположена аппаратура для освещения каждого
участка. По существу, отборка при помощи экранов подбора наилучшим образом
подходит для операций, для которых характерен высокий уровень отборки на
товарную группу/ЕСХ.
Применение радиочастотных систем передачи
информации имеет наибольшее значение в следующих ситуациях.
При определении местонахождения запасов в
режиме реального времени.
Для немедленного доступа к данным для принятия
решений на основании полученной информации.
Для предупреждения о необходимости физического
поиска запасов.
При предоставлении контрольной информации об
эксплуатации оборудования при соединении с СУС.
Для повышения точности.
Склады БГСП «Доминик» ООО в настоящее время
объединены в единую информационную систему с передачей информации вручную с
периферийных устройств ЭВМ. Для связи работников используются радиотелефоны.
Естественно, в проектировании нового склада учитывается включение его в единую
информационную систему и затраты на необходимое оборудование являются одной из
статей сметы строительства этого склада.
Проблема совершенствования организации
складского хозяйства «Доминик» при введении в действие нового склада
заключается в другом. Экономически целесообразно автоматизированный склад иметь
как производственный склад с фиксированной или хотя бы с медленно меняющейся
номенклатурой складируемых ценностей. Так как изменение номенклатуры
принимаемых в складскую логистику ценностей требует упреждающего изменения в
программном обеспечении. Такое обеспечение в Беларуси является дорогостоящей
операцией. Кроме того ориентация нового склада на хотя бы частичную
специализацию обработки фармакологической продукции требует при любых условиях
визуального контроля и ручной обработки в силу специфики продукции и высоких
рисков потери качества в процессе обработки и хранения.
Строительство, или модернизация готового склада
под автоматизированный склад возможна и целесообразно в случае получения
компанией «Доминик» крупного долгосрочного контракта обеспечивающего полную
загрузку хотя бы одного из складов постоянной номенклатурой складируемой
продукции. То есть в случае наличия по сути дилерского контракта. Например,
запчастей холдинга автомобилестроителей. Естественно, реализация предложений по
созданию рекламного сайта компании направлено, в том числе, и на поиск таких
клиентов.
3.3 Разработка мероприятий по продвижению
бренда БГСП «Доминик» ООО на внешние рынки
Как уже отмечалось в разделе 2 в БГСП «Доминик»
ООО сформировался квалифицированный, мотивированный к качественной работе
коллектив. Более того, на предприятии исходя из наработанного опыта изданы
детальные инструкции для всех категорий работников. Представляется, что в силу
этого расширение поля складского хозяйства на 30 % не породит проблем по
внутренней организации работ. Поставленная в «Доминик» система обучения
квалификации обеспечит необходимую подготовку при расширении штата.
Расширение поля деятельности «Доминик» ставит
задачу совершенствования организации работы с внешними потенциальными
клиентами. На сегодня компания «Доминик» имеет договора с 200 партнерами на
условиях аутсёрсинга и обслуживает более 2000 клиентов регулярно обращающихся к
услугам компании. Как уже отмечалось выше «Доминик» обеспечено полное
использование площадей обслуживания машин. Естественно расширение площадей обслуживания
требует упреждающего рекламного предложения разработки стратегии продвижения
продукта компании. Можно отметить, что сегодня БГСП «Доминик» ООО является
одним из лидеров комплексного предложения услуг таможенного оформления,
складской логистики и фармацевтической логистики. Можно спрогнозировать
увеличение конкуренции в этой сфере в условиях финансового кризиса и падения
доходности в других секторах экономики.
Полагаю, что «Доминик» наряду с расширением
площадей обработки грузов, настало время работы по брендингу своих услуг,
используя сложившиеся лидирующие позиции и комплексность предлагаемых услуг.
Работа по брендингу компании «Доминик» может
быть начата с разработки собственного Web-сайта. Процесс создания и управления
брендом очень хорошо ложится на каналы интернет-маркетинга, в первую очередь
через имиджевую рекламу и общественные связи. Информация об услугах компании
БГСП «Доминик» ООО может быть представлена лозунгом «Доминик» – ваш надёжный
логистический партнёр в Беларуси.
С существующими рекламными каналами Интернет
роднит следующее:
- значительный охват аудитории. Сегодня
аудитория белорусского Интернета составляет около полумиллиона постоянных
посетителей в месяц;
- в Интернете действует классический комплекс
маркетинговых коммуникаций, который включает в себя все пять основных приемов
продвижения товара или услуги: реклама, стимулирование сбыта, общественные
связи, личная продажа и прямой маркетинг.
В то же время у Интернет-рекламы имеются и
существенные особенности:
- оперативность размещения и отклика;
- возможность проводить специализированные акции с учетом
диалоговых возможностей компьютера (анкетирование, регистрация заявок);
- полнота предоставляемой информации. Объем рекламной
информации по существу неограничен, причем пользователь может самостоятельно
регулировать объем потребляемой информации;
- дешевизна по сравнению с традиционной рекламой, низкий
порог входа в виду отсутствия расходов на тиражирование рекламных носителей
из-за их цифрового формата;
- таргетинг, т.е. возможность индивидуализации рекламы в
зависимости от предпочтений пользователя.
Интернет неизбежно накладывает отпечаток на
форму выражения коммуникации, не влияя при этом на ее сущность. Основными
инструментами брендинга в интернете являются:
-
собственный веб-сайт компании. Корпоративный
сайт работает как маркетинговое средство для продвижения бизнеса;
-
оптимизация поисковых систем (SEO —
Search engine optimization) регистрация сайта в веб-каталогах и индексация
ресурса поисковыми системами;
- имиджевая реклама. Для имиджевой рекламы
наилучшим образом подходят рекламные площади, на которых реклама постоянно
отображается и видна большой аудитории, тем самым, позволяя посетителям
запоминать название рекламируемой торговой марки. Для этих целей подходит
баннерная и текстовая реклама на порталах и крупных тематических ресурсах;
- контекстная и поисковая реклама;
- связи с общественностью - публикация пресс-релизов,
отчетов, обзоров, информации о событиях и пр. Сюда также входит размещение
специализированной информации на различных ресурсах, вирусный маркетинг с
использованием служб телеконференций (блоги, форумы, доски объявлений, гостевые
книги, чаты), партнерские программы и спонсорство, когда предприятие становится
спонсором какого-либо известного сайта или получает возможность размещения на
посещаемом
- ресурсе постоянного собственного информационного или
рекламного раздела;
-прямой маркетинг с использованием средств
персональных коммуникаций,таких как электронная почта, чаты, личные средства мгновенного
обмена сообщениями.
Пользователем Интернета может стать и любая
компания. Сразу же после подключения к Сети она может начать применять новые
методы в ведении своей коммерческой деятельности, например, при помощи
электронной почты взаимодействовать со своими партнерами или клиентами, или
исследовать данные о представленных в Сети конкурентах.
Web-сайт предоставляет компании широкий ряд
дополнительных возможностей, в добавление к доступным ранее коммуникационным
службам. При наличии собственного сайта возрастает эффективность проводимых в
Сети рекламных мероприятий, поскольку любая реклама может содержать ссылку на
сайт компании, где пользователю станет доступно значительно большее количество
информации, и он составит более полное мнение о фирме и ее предложении. Кроме
того, информация о поведении посетителей на сайте может сразу же попадать в
информационную систему компании и служить для более качественного их
обслуживания.
Опишем ряд дополнительных возможностей для
бизнеса, которые может предоставить Web-сайт.
Сайт станет действенным инструментом
распространения информации о бизнесе и компании.
Полноценный интернет-сайт компании может
предоставить всем желающим документы, фото-, аудио- и даже видеоматериалы,
необходимые для формирования правильного представления о деятельности и
возможностях компании. Сайт - это собственное средство массовой информации,
рекламный носитель, доступный для просмотра 24 часа в сутки и 7 дней в неделю.
Размещение на сайте информации о своих товарах,
услугах в совокупности с предоставлением фотоизображений и другого графического
материала позволит потенциальным клиентам подробно изучить предлагаемые услуги
и продукцию, не выходя из дома или офиса.
Клиент, пришедший из Интернета — это
подготовленный клиент, во многом уже определившийся с выбором. Развитый
интернет-ресурс создает фундамент для новых клиентских потоков.
Есть и другие возможности, которые Web-сайт
может предоставить для бизнеса.
Работа с клиентами осуществляется следующим
образом: заказ от клиентов поступает менеджеру по продаже, менеджер по продаже
обрабатывает заказ, разрабатывает, согласовывает и заключает с клиентом договор
поставки, оформляет в соответствии с прейскурантом цен предприятия счет на
оплату и передает его клиенту. После оплаты счета (зачисления денежных средств
на расчетный счет предприятия), а также в случае предоставления клиенту
отсрочки платежа (в соответствии с установленными правилами предоставления
отсрочки платежа) информация о необходимости отгрузки товара передается логисту
в установленной форме. Логист на основании полученной информации и при
предоставлении ему оформленных менеджером по продаже товарно-транспортных
накладных (подписанных в графе «отпуск разрешил»), производит планирование
отгрузки и отгрузку товара. После производства отгрузки весь документооборот по
поставке передается главному бухгалтеру для проведения сделки по бухгалтерскому
учету.
Полная и оперативная информационная поддержка деятельности
организации, доступная в любое время суток из любой точки мира. В этом случае
упор делается на полноту информационного наполнения. По этому классическому
принципу «электронного буклета» сегодня строится подавляющее большинство
корпоративных сайтов.
Продвижение товаров, услуг
или привлечение новых клиентов через Интернет с помощью различных сервисов на сайте.
Если сайт ориентирован на непосредственные продажи потребителям в большей
степени, чем на имидж или информацию, то имеет смысл оформить сайт в виде
электронного магазина с широкими возможностями поиска и выбора товаров, формирования
корзины покупателя, оформления заказа и передачи его на выполнение. Если
предприятию важно получить постоянного потребителя, то необходимо хранить
информацию о клиентах и истории их покупок, чтобы система «узнавала» их, предлагала
дополнительные скидки и т.д.
Оптимизация
бизнес-процессов - перенесение бумажной и согласовательной работы в интернет,
более полное использование возможностей предприятия. Если речь идет о крупной фирме,
то без серьезного и многофункционального корпоративного сайта невозможно себе
представить быстрый и эффективный обмен данными и документами между различными
отделениями, офисами и филиалами. Таким образом, сайт может решать и
внутрикорпоративные задачи.
Выход на новые (зарубежные)
рынки, которые невозможно в должной мере охватить стандартными методами
рекламы.
Поддержка рекламной кампании, организация стандартной
рекламной кампании со ссылкой на веб-сайт как на источник наиболее полной и
оперативной информации о предмете рекламы. Для проведения успешной рекламной
кампании предприятию обязательно необходимо иметь собственный сайт в Интернете,
так как только там предприятие сможет в полной мере предоставить необходимую
информацию. Бывает так, что веб-сайту отводится основная роль в продвижении
торговой марки, особенно если товары или услуги предназначены для конечных
потребителей.
Интерес клиентов к услугам «Доминик» и
потенциал бренда компании заключается в следующих аспектах:
- предоставление полного комплекса услуг от
таможенной перевозки до таможенной легализации и доставки потребителям, включая
комплексное оформление необходимой документации. Через Интернет-рекламу
необходимо уведомить клиентов в этих возможностях, дополнив предложениями
оперативного предоставления всех услуг вплоть до предложения «сегодня на
сегодня»;
- сочетание услуг хранения универсальных
ценностей с возможностью складирования хранения и обработки ценностей требующих
особых режимов – товаров фармакологической группы.
Не исключено, что фармакологическое направление
деятельности потребует приобретения и следовательно работы с оборудованием
обеспечивающим выходной контроль отпускаемой с склада фармакологической
продукции. Это требует уже на этапе реализации инвестиционного проекта
привлечения специалиста или даже группы специалистов сферы фармакологии.
Таким образом, этап мирового финансового
кризиса, конечно, определил некоторую специфику работы, в этом числе, и в сфере
складского хозяйства в Республике Беларусь. Однако анализ положения конкретного
хозяйствующего объекта в этой сфере БГСП «Доминик» ООО показал, что новая
ситуация не сказалась негативно на деятельности коммерческого складского
хозяйства и на перспективах его развития. Это обусловлено той нишей которую
заняло предприятие с момента, по сути, своего становления. Это сектор
девелоперских услуг не связанных с производственной деятельностью самого
предприятия. Причём, сектор самых дефицитных в Беларуси услуг – полный комплекс
услуг складирования, начиная от таможенного оформления, транспортировки в
случае необходимости и до оперативной доставки в нужное место и нужное время.
Качество непосредственно услуг складирования определяется типом основного
складского помещения – склады типа «Б» то есть самыми дефицитными в республике,
и самыми востребованными, особенно зарубежными клиентами услугами.
В совокупности с юридическим статусом
иностранного предприятия положение «Доминик» способствует реализации в
современных условиях инвестиционного проекта стоимостью 500000 у.е.,
позволяющего увеличить возможности складского обслуживания во всех секторах
деятельности БГСП «Доминик» ООО на треть. При этом предприятию одновременно с
реализацией непосредственно инвестиционного проекта следует обеспечить и
изменения в организации управления своей деятельностью, связанные с внешней
средой. Осуществить программу формирования брендинга компании: Сформировать
бренд на международном уровне «Доминик» ваш надёжный логистический партнёр.
Второе направление совершенствования управления деятельностью компании – это выделение
направления частичной специализации – складские услуги для фармакологической
продукции.
Тем самым, представляется БГСП «Доминик» ООО в
Республике Беларусь сможет в сложный период мирового финансового кризиса
сформировать себя в качестве одного из крупных логистических центров, который
сможет выполнять значительный объём работ в послекризисном периоде.
3.4 Разработка сборочного чертежа кассеты
В данном разделе дипломного проекта разработан
сборочный чертеж кассеты. Кассета предназначена для размещения в них блоков
электроники и питания.
Габаритные размеры кассеты:
– ширина - 873,18 мм;
– высота - 300 мм;
– глубина - 320 мм.
Кассеты представляет собой сборную конструкцию, состоящую из
2-х стенок и 4-х держателей (2-х передних и 2-х задних) одного типоразмера.
Держатели крепятся к стенкам самонарезающими винтами М4.
Внутри кассеты устанавливаются легкосъемные направляющие на 4 блока, которые
крепятся с одной стороны при помощи замковой конструкции, с другой стороны (со
стороны панели) - входят в паз изолятора соединителей.
Панель крепится к держателям с внешней стороны при помощи
планки, которая вставляется в держатель, и винтов МЗ. На панели
запрессовываются вилки соединителей, на хвосты которых устанавливаются
изоляторы для подключения, установки и крепления кабельной перемычки.
Для разводки питания на монтажной стороне панели установлены
силовые контакты, на которые одеваются наконечники с проводами питания. По
панели питание может быть разведено печатью и отдельными проводами.
Шаг установки блоков, размещенных в кассете кратен 20,32 мм.
Панель выполнена толщиной не менее 3 мм.
В конструкцию кассеты входит направляющая изготовленная из
полиамида (ПА), который относится к термопластичным материалам. Материалы этой
группы обладают легкостью, стойкостью в агрессивных средах, отличными
антифрикционными и демпфирующими свойствами, высоким электросопротивлением и
малой теплопроводностью, но характеризуются пониженной прочностью, значительной
текучестью под нагрузкой и низкой теплостойкостью. Термопласты имеют хорошие
литейные свойства, хорошо деформируются в нагретом состоянии, свариваются и
хорошо обрабатываются резанием.
Полиамид стеклонаполненный ПА 610-ДС, сорт 1 ГОСТ 17648-83
представляет собой композицию полиамида с отрезками стекловолокна. Данный
материал характеризуется повышенными механическими свойствами и
теплостойкостью.
Предел прочности на растяжение ав = 120...152
МПА, 5= 2,0...2,8 %, КС = 29...60 кДж/м2, 137 НВ, температура
размягчения 180...200°С, плотность 1270...1410 кг/м3.
Кассета является типовым элементом замены и относится ко
второму уровню конструктивных модулей.
Оборудование в виде блоков размещено в кассетах. Каждая
кассета образует функционально и конструктивно законченное устройство.
Сочетание блоков и их количество в устройствах может изменятся в зависимости от
емкости конкретной станции и ее конфигурации. При этом монтажных и
конструктивных изменений не требуется. При необходимости в кассете при наличии
места могут быть размещены дополнительно устройства без каких-либо
конструктивных доработок. Все токопроводящие части с напряжением выше 42В
защищены от случайного прикосновения к ним обслуживающего персонала.
При конструировании кассеты должны выполняться требования
действующих в отрасли стандартов, нормативно-технических документов по стандартизации
(НТДПС). В настоящее время получили широкое распространение такие принципы
конструирования, как моносхемный, схемно-узловой, каскадно-узловой,
функционально-узловой и функционально-модульный. При проектировании электронных
модулей используются функционально-узловой и функционально-модульный методы
построения РЭА.
Сборочный чертеж должен содержать:
- изображение сборочной единицы, позволяющее
осуществить ее сборку и контроль;
- размеры, предельные отклонения и другие
параметры и требования, которые должны быть выполнены или проконтролированы по
сборочному чертежу;
- указания о выполнении разъемных соединений,
если точность сопряжения достигается пригонкой или подбором и указания о
методах и характере сопряжения;
- номера позиций составных частей, входящих в
изделие;
- габаритные, установочные, присоединительные и
другие необходимые справочные размеры;
- техническую характеристику изделия (при
надобности);
- координаты центра тяжести (при
необходимости).
Сборочный
чертеж должен обладать полной информацией по сборке отдельных деталей, способы
стопорения резьбовых соединений, применяемым припоям, паяльным пастам, клеям и
т.п. Также в технических требованиях на поле чертежа конструктор вправе
отметить любые дополнительные требования, которые он считает нужными.
Конструкция
кассеты должна обеспечивать удобный доступ к элементам и составным частям,
требующим регулировки и смены в процессе эксплуатации, а также возможность
замены сменных элементов и составных частей. Требования к конструкции вытекают
из его функционального назначения и условий его эксплуатации. Конструкция
кассеты должна обеспечивать ремонтопригодность, удобство в эксплуатации, иметь
по возможности малые габариты и вес, и высокую надежность в работе. Конструкция
также должна обеспечивать возможность автоматизации регулировочных и
контрольных операций, возможность нанесения проверочного клейма или пломбы в
местах, исключающих доступ к элементам. Эстетические требования должны
соответствовать ГОСТ 23852-79.
Полуфабрикаты и материалы, комплектующие
изделия, должны применяться по действующим стандартам и техническим условиям на
них. Материалы конструкции должны обладать следующими свойствами:
-
иметь низкую стоимость;
-
легко обрабатываться;
-
быть легкими;
-
обладать достаточной прочностью и
жесткостью;
-
внешний вид материалов должен отвечать
требованиям технической эстетики;
Применение унифицированных материалов в
конструкции, ограничение номенклатуры применяемых деталей позволяет уменьшить
себестоимость разрабатываемого изделия, улучшить производственную и
эксплуатационную технологичность. Сохранение физико-химических материалов в
процессе их эксплуатации достигается выбором для них необходимых покрытий.
В кассете закреаляется модуль процессора. Модуля процессора
состоит из платы печатной размером 220х145х21мм, на которую устанавливается
пластмассовая лицевая панель и два или один электрический соединитель. На
лицевой панели установлены две защелки, которые служат для закрепления блока в
кассете. Для изготовления печатных плат в РЭС наиболее широкое распространение
получили такие материалы, как гетинакс и стеклотекстолит. При выборе материалов
печатной платы необходимо иметь в виду следующее: материал печатной платы
должен иметь высокие электроизоляционные показатели в заданных условиях
эксплуатации РЭС, т.е. иметь большую электрическую прочность, малые
диэлектрические потери; обладать химической стойкостью к действию химических
растворов, используемых при изготовлении печатных плат; допускать штамповку;
выдерживать кратковременные воздействия температуры до +240°С в процессе пайки
на плате ЭРЭ; иметь высокую влагостойкость; быть дешевыми. При выборе материала
печатной платы необходимо руководствоваться документами: ГОСТ 10316-78, ГОСТ
23751-86.
Для изготовления печатных плат необходимо иметь
листовой материал в виде изолированного основания с приклеенной к нему фольгой.
В качестве изоляционного основания выбран фольгированный стеклотекстолит (СФ)
марки СФ-1Н-50, обладающий рядом преимуществ по сравнению с фольгированным
гетинаксом (ГФ):
- прочность сцепления фольги с
основанием у стеклотекстолита не менее 10 , а у гетинакса 9 ;
- после выдержки в течение 24 часов при
температуре 40 и
относительной влажности до 98%;
- удельное объемное сопротивление ГФ
1ГОм*см, а СФ 5000ГОм*см;
- тангенс угла диэлектрических потерь
ГФ 0,07, а СФ 0,03.
В качестве материала фольги использована медь,
так как она обладает хорошими проводящими свойствами. Толщина слоя меди
составляет 25…30мкм.
Таким образом, в качестве материала для изготовления печатной
платы лучше использовать стеклотекстолит СФ-2-35-1,5 ГОСТ 10316-78.
При разработке кассеты использовалась централизованная схема
компоновки. Компоновка - размещение в пространстве или на плоскости
различных элементов (радиодеталей, микросхем, блоков и приборов) РЭС - одна из важнейших задач
при конструировании. Очень важно выполнить рациональную компоновку элементов на
самых ранних стадиях разработки РЭС. Это позволит применить смешанный
последовательно-параллельный цикл проектирования, что значительно сократит
длительность разработки. Немаловажным обстоятельством является и то, что
выполнение компоновочных работ на ранних стадиях проектирования позволяет
рационально и своевременно использовать или разрабатывать унифицированные и
стандартизированные конструкции РЭС. Основная задача, которая решается при
компоновке РЭС, - это выбор форм, основных геометрических размеров,
ориентировочное определение веса и расположения в пространстве любых элементов
или изделий радиоэлектронной аппаратуры.
При разработке и конструировании оформляется
комплект конструкторской документации. Что же касается разработки
конструкторской документации, то она представляет собой разработку документов,
которые полностью и однозначно определяют все необходимые и достаточные данные
для изготовления, наладки, приемки, эксплуатации и ремонта изделия (чертеж
детали, сборочный чертеж, чертеж общего вида, схемы, спецификация и т.д.).
Так как в данном дипломном проекте разработан
сборочный чертеж, то к нему прилагается спецификация. Сборочный чертёж кассеты
представлен в графической части дипломного проекта.
4. Разработка организационно-технических мероприятий
по обеспечению пожарной безопасности объекта
4.1 Анализ возможных причин возгорания и
пожара на складах предприятия БГСП «Доминик» ООО
Пожары и взрывы причиняют значительный
материальный ущерб, разрушения построек и в ряде случаев тяжелые травмы и гибель
людей.
На БГСП «Доминик» ООО большое количество
складских помещений, где под ответственное хранение размещается множество
ценных товаров. Предприятие характеризуется повышенной пожарной опасностью. Так
как имеет разветвленную сеть трубопроводов и большую оснащенность
электроустановками, а также в перечне товаров, которые разрешено размещать на
складах, имеются следующие продукты: топливо минеральное, нефть и продукты их
перегонки; эфирные масла и резиноиды; парфюмерные, косметические или туалетные
средства; спички; прочие химические продукты; химические нити и волокна; оружие
и боеприпасы, их части и принадлежности.
Основными причинами пожаров являются:
– неисправность отопительных и вентиляционных
систем (котельных, отопительных приборов, печей);
– халатное и неосторожное обращение с огнем
(курение, оставление без присмотра нагревательных приборов);
– неисправность оборудования и нарушение
технологических процессов;
– различные причины электрического характера:
искрение в электрических аппаратах, машинах; токи коротких замыканий и
значительные перегрузки проводов и обмоток электрических устройств, вызывающих
их нагрев до высокой температуры; плохие контакты в местах соединения проводов,
приводящие к увеличению переходного сопротивления, на котором выделяется
большое количества тепла; электрическая дуга, возникающая во время дуговой
сварки или в результате ошибочных операций в электроустановках;
электростатические разряды, удары молнии;
– самовоспламенение или самовозгорание
некоторых веществ и материалов при нарушении правил их хранения и
использования.
Взрыво- и пожароопасность веществ зависит от их
агрегатного состояния (газообразные, жидкие, твердые), физико-химических
свойств, условий хранения и применения. Горение легковоспламеняющихся (ЛВЖ) и
горючих жидкостей (ГЖ) происходит только в паровой фазе. Скорость испарения
количество паров над жидкостью зависит от природы жидкости и ее температуры.
При данной температуре и давлении над жидкостью может образоваться определенное
количество газа. Этот пар называется насыщенным. В состоянии насыщенности число
испаряющихся молекул равно числу конденсирующихся и концентрация пара остается
постоянной. Горение паров в воздухе, также как и газов, возможно и в
определенном диапазоне концентраций.
Материалы по внешним признакам можно разделить
на следующие группы: штучные (тарные), сыпучие, жидкие, газообразные.
Особое внимание следует складам материалов, из
которых при загрузке, выгрузке, транспортировании могут выделяться в воздух
токсичные и горючие компоненты, пыль.
В связи с высокой потенциальной пожарной
опасностью складского хозяйства БГСП «Доминик» ООО установлены следующие
требования.
При погрузочно-разгрузочных работах,
складировании веществ и материалов необходимо учитывать их агрегатное
состояние, совместимость и однородность необходимых средств пожаротушения,
исходя из которых, должны определяться место и способ складирования материала,
конструкция тары, а также режим хранения.
Для складов разрабатывается план размещения
веществ и материалов с указанием их наиболее характерных свойств
(взрывопожароопасные, ядовитые, химически активные). Хранение продукции в
складских помещениях осуществляется с учетом необходимости обеспечения
свободного доступа для контроля за ее состоянием.
Складские операции (погрузка, разгрузка,
укладка, расфасовка) производятся подъемно-транспортными средствами, которые
исключают повреждение тары, пролив жидкости, просыпа порошкообразных веществ и
не являются источниками зажигания.
В складских помещениях предусматриваются
проходы соответствующих размеров: напротив ворот – не менее ширины ворот;
напротив дверных проемов – шириной, равной ширине дверей, но не менее 1 м;
между стеной и штабелем (стеллажом), а также между стеллажами – 0,8 м. Проходы
и места штабельного хранения обозначают на полу хорошо видными ограничительными
линиями. Горючие вещества независимо от агрегатного состояния хранят отдельно
от окислителей.
В помещениях, где хранятся химические вещества,
способные плавиться при пожаре, необходимо предусматривать устройства, ограничивающие
свободное растекание расплава (бортики, пороги, пандусы). Вещества, которые при
нагревании или взаимодействии выделяют токсичные или горючие продукты
разложения, хранят отдельно от других веществ в специально оборудованном
складском помещении. ЛВЖ и ГЖ, твердые и газообразные горючие материалы,
вещества, самовоспламеняющиеся на воздухе, взаимодействующие с водой и друг с
другом, а также органические и неорганические перекиси должны храниться в
отдельных складах (секциях, отсеках). ЛВЖ в таре хранят только в закрытых
складах, где исключается резкое колебание температуры окружающей среды.
Хранение ГЖ в таре допускается в зданиях высотой не более трех этажей, а ЛВЖ –
в одноэтажных, без подвалов и чердаков. ГЖ допускается хранить на открытой
площадке в таре, материал которой стоек к атмосферным воздействиям. Бутыли,
бочки, барабаны с реактивами устанавливают на открытых площадках (не боле 100
штук в каждой) с разрывом между группами не менее 1 м. В каждой группе хранят
продукцию только определенного вида, о чем делаются соответствующие
указательные надписи.
В хранилищах при ручной укладке бочки с ЛВЖ и
ГЖ устанавливают на полу не боле чем в два ряда, при механизированной укладке
бочек с ГЖ – не более пяти, а с ЛВЖ не более трех рядов. Ширина штабеля должна
быть не более двух бочек. Ширину главных проходов для транспортирования бочек
следует предусматривать не менее 1,8 м, а между штабелями – не менее 1 м.
ЛВЖ в стеклянной таре (бутылях) емкостью 30 л
хранят на полу в один ярус. Устанавливать их на стеллажах в штабель
запрещается. ЛВЖ в крупной таре (бутылях объемом 10 и 20 л) допускается хранить
и перемещать только во вторичной упаковке (корзине, обрешетки и т. п.). ЛВЖ с
низкой температурой кипения (ниже 50 °С) следует хранить в прохладных
помещениях. Жидкости, которые при нагревании или непродолжительном горении
разлагаются или вскипают, следует хранить отдельно от других веществ.
В зданиях складов все операции, связанные с
вскрытием тары, проверкой исправности и мелким ремонтом, расфасовкой продукции,
производят в специально оборудованных помещениях, изолированных от мест
хранения.
Хранение грузов и погрузочных механизмов на
рампах складов не допускается. Материалы, разгруженные на рампу, к концу работы
склада убирают. При перевозке ЛВЖ и ГЖ тару наполняют до нормы, установленной
стандартами или техническими условиями на данную продукцию.
Места погрузки и разгрузки пожаровзрывоопасных
и пожароопасных веществ и материалов оборудуют:
- специальными приспособлениями, обеспечивающими
безопасные условия проведения работ (стойки, щиты, трапы, носилки). При этом
для стеклянной тары предусматривают тележки или специальные носилки, имеющие
гнезда. Допускается переносить стеклянную тару в исправных корзинах с ручками,
обеспечивающими возможность перемещения их двумя работающими;
- средствами пожаротушения и ликвидации
аварийных ситуаций;
- исправным стационарным или временным
освещением, соответствующим классу зоны по ПУЭ.
Перед заполнением резервуаров, цистерн, тары и
т.п. необходимо проверить исправность имеющегося мерного устройства.
4.2 Сравнение требуемых и фактических
пределов огнестойкости и группы возгораемости основных строительных конструкций
Под огнестойкостью понимают способность
строительных конструкций сопротивляться воздействию высокой температуры в
условиях пожара и выполнять при этом защитную функцию. Огнестойкость относится
к числу основных характеристик конструкций и регламентируется Строительными
нормами и правилами.
Время по истечении, которого конструкция теряет
несущую или ограждающую способность, называют пределом огнестойкости и измеряют
в часах от начала испытания конструкции на огнестойкость до наступления
предельного состояния, при котором она утрачивает свою способность сохранять
несущие или ограждающие функции. Потеря несущей способности (R) определяется
обрушением конструкции или возникновением предельных деформаций определяется
потерей целостности или теплоизолирующей способности. Потеря целостности (E)
наступает вследствие образования в конструкциях сквозных трещин или отверстий,
через которые на не обогреваемую поверхность продукты горения или пламя. Потеря
теплоизолирующей способности определяется повышением температуры на не
обогреваемой поверхности конструкции в среднем более чем на 140°С или в любой
точке этой поверхности более чем на 180°С в сравнении с температурой
конструкции до испытания и обозначается индексом I. Обозначение предела
огнестойкости строительной конструкции состоит из условных обозначений,
нормируемых для данной конструкции предельных состояний, цифры, соответствующей
времени достижения одного из этих состояний (первого времени) в минутах.
Например:
R 120 – предел огнестойкости 120 мин. – по
потере несущей способности;
RE 60 – предел огнестойкости 60 мин. – по
потере несущей способности и потере целостности независимо от того, какое из
двух предельных состояний наступит ранее;
REI 30 – передел огнестойкости 30 мин. – по
потере несущей способности, потере целостности и теплоизолирующей способности,
независимо от того, какое из трех предельных состояний наступит ранее.
Если для конструкций нормируются (или
устанавливаются) различные пределы огнестойкости по различным предельным
состояниям, обозначение предела огнестойкости состоит из двух или трех частей,
разделенных между собой наклонной чертой. Например: R 120 / EI 60 – предел
огнестойкости 120 мин. – по потере несущей способности / предел огнестойкости
60 мин. – по потере целостности или теплоизолирующей способности, независимо от
того, какое из двух последних предельных состояний наступит ранее.
Определение фактических пределов огнестойкости
строительных конструкций в большинстве случаев осуществляется экспериментальным
путем. Сущность метода испытания конструкции на огнестойкость сводится к тому,
что образец конструкции, выполненный в натуральную величину, нагревают в
специальной печи и одновременно подвергают воздействию нормативных нагрузок.
При этом определяют время от начала испытания до появления одного из признаков,
характеризующих наступление периода огнестойкости конструкции. Нагревание
испытываемых образцов соответствует реальным условиям работы конструкции и
возможному направлению воздействия огня в случае пожара. Испытаниям
подвергаются не менее двух одинаковых образцов серийного изготовления или
специально изготовленных. Перед испытанием образцы оборудуют приборами для
измерения температур и деформаций. Производства в зависимости от применяемых
или хранимых на пять категорий: А, Б, В, Г и Д.
К категории А относятся взрывоопасные
производства, в которых применяются горючие газы и легковоспламеняющиеся
жидкости с температурой не более 28°С в таком количестве, что могут образовать
взрывоопасные парогазовоздушные смеси, при воспламенении которых в помещении
развивается избыточное давление взрыва, превышающее 5 кПа, а также вещества и материалы,
способные взрываться и гореть при взаимодействии с водой, кислородом воздуха
или друг с другом в таком количестве, при котором избыточное давление взрыва в
помещении превышает 5 кПа.
К категории Б относятся взрывоопасные
производства, в которых применяются горючие пыли или волокна,
легковоспламеняющиеся жидкости с температурой не более 28°С в
таком количестве, что могут образовать взрывоопасные пыле- и паровоздушные
смеси, при воспламенении которых в помещении развивается избыточное давление
взрыва, превышающее 5 кПа.
К категории В относятся пожароопасные
производства, в которых используются горючие и трудногорючие жидкости, твердые
горючие и трудногорючие вещества и материалы (в том числе пыли и волокна),
вещества и материалы, способные при взаимодействии с водой, кислородом воздуха
или друг с другом только гореть при условии, что помещения, в которых они
имеются, не относятся к категории А или Б.
К категории Г относятся производства, в
которых используются негорючие вещества и материалы в горячем, раскаленном или
расплавленном состоянии, обработка которых сопровождается выделение лучистого
тепла, искр и пламени; горючие газы, жидкости и твердые вещества, которые
сжигаются или утилизируются в качестве топлива.
К категории Д относятся производства, в
которых используются негорючие вещества и материалы, в холодном состоянии.
Категорирование производств по
пожаровзрывоопасности имеет исключительно важное значение, так как в
значительной степени позволяет определить требования к зданию, его конструкции
и планировке; организацию пожарной охраны и ее техническую оснащенность,
требования к режиму и эксплуатации.
4.3 Обоснование и выбор
технико-эксплуатационных, организационных и режимных мероприятий для
обеспечения пожарной безопасности объекта при эксплуатации
Ответственность за обеспечение пожарной
безопасности и соблюдение Правил пожарной безопасности в соответствии с законом
Республики Беларусь от 15 июня 1993 г. «О пожарной безопасности» персонально
несет инженер по охране труда, а на складах непосредственно кладовщики».
Подъезды и проезды на территории объекта
обеспечивают свободный подъезд пожарных аварийно-спасательных автомобилей ко
всем зданиям, сооружениям, наружным технологическим установкам и местам
размещения пожарных гидрантов. Все склады оборудованы пожарными щитами,
огнетушителями, ящиками с песком, бочками с водой, ведрами. Также на каждом
складе имеются планы эвакуации, инструкции и другие эксплуатационные
технические документы, содержащие требования пожарной безопасности.
Пожарная безопасность определяется как
состояние объекта, при котором максимально исключается возможность пожара, а в
случае его возникновения предотвращается воздействие на людей опасных факторов
пожара и обеспечивается защита материальных ценностей.
Таким образом, пожарная безопасность
обеспечивается комплексом мероприятий, предотвращающих возникновение пожара, и
системой пожарной защиты, обеспечивающей успешную борьбу с возникшим пожаром
или последствиями взрыва.
Предотвращение пожара достигается комплексом
профилактических мер, исключающих образование горючей среды, источников
зажигания, поддержание температуры горючей среды ниже максимально допустимой до
горючести и давления в горючей среде ниже максимально допустимого до горючести.
Предотвращение образования горючей среды
обеспечивается регламентацией допустимых концентраций горючих газов, паров и
взвесей в воздухе, а также кислорода или других окислителей.
Предотвращение образования в горючей среде
источников зажигания достигается соответствующим исполнением, применением и
режимом эксплуатации материалов и изделий, машин и механизмов, могущих явиться
источником зажигания горючей среды, применением соответствующего
электрооборудования и технологического процесса, устройством молниезащитных
зданий и сооружений, регламентацией допустимой температуры нагрева поверхностей
оборудования, допустимой энергии искрового разряда, ликвидации условий для
теплового, химического и микробиологического самовозгорания обращающихся
веществ, материалов и изделий.
К профилактическим мерам относятся: ограничение
количества горючих веществ; применение негорючих и трудногорючих веществ и
материалов; предотвращение распространения пожара за пределы очага; применение
конструкций объектов с регламентированными пределами огнестойкости и горючести;
создание условий для эвакуации людей; применение средств защиты людей и системы
противодымной защиты; организация пожарной охраны; применение средств пожарной
сигнализации и средств извещения о пожаре.
Профилактические меры по обеспечению пожарной
безопасности условно можно разделить на организационные, эксплуатационные,
режимные и технические.
Организационные мероприятия по обеспечению
пожарной безопасности включают в себя:
- организацию обеспечения персонала и граждан
правилами пожарной безопасности;
- разработку норм и правил по пожарной
безопасности, инструкций о порядке работы с пожароопасными веществами и
материалами, поведении людей при возникновении пожара.
Эксплуатационные мероприятия предусматривают
соответствующую эксплуатацию оборудования, содержание зданий и территорий.
Режимные мероприятия направлены на ограничения
или запрещение огня, производства электро- и газосварочных работ, а также
курение в неустановленных местах.
Технические меры заключаются в соблюдении противопожарных
норм при сооружении зданий, устройстве отопления и вентиляции, выборе и монтаже
оборудования, устройстве газозащиты и защиты от статического электричества.
Заключение
Высокий потенциал возможностей коммерческой
складской логистики, определяемый транзитным положением страны между Западом и
Востоком в настоящее время слабо используется в стране как государственными так
и частнопредпринимательскими структурами. Острота и актуальность проблемы
развития логистических систем в целом и складского хозяйства в частности
определили выбор объекта исследования данной дипломной работы.
При написании дипломной работы ставилась цель
оценить организацию работы складского хозяйства БГСП «Доминик» ООО объекта
исследования и разработать предложения по совершенствованию деятельности этого
хозяйствующего субъекта на рынке складской логистики Беларуси. В процессе
исследования было решено несколько задач.
Для достижения поставленной цели в
научно-исследовательском разделе дана характеристика общемировых прогрессивных
тенденций в эволюции складской логистики, исследован опыт и современные
тенденции совершенствования организации и управления складским хозяйством,
изучены характеристики и определена роль совершенствования и обслуживания
клиентов современным складским оборудованием для работы складов. Выявлено, что
с 70-х годов в развитых странах наблюдаются тенденция значительного сокращения
количества и объёмов складских помещений производственного назначения.
Производители налаживают работу «с колес» чтобы минимизировать у себя издержки
обращения.
Эта прогрессивная тенденция способствовала
значительному повышению роли коммерческих складов выступающих посредниками
между производителями и потребителями. Назначение таких складов заключается в
оперативном обслуживании потребителей, которое можно выразить формулой: в
нужном месте, в нужное время, в нужном объёме. Дальнейшая эволюция такого типа
складской логистики привела к выделению двух самостоятельных её направлений:
- развитию складского хозяйства как
составляющей транспортной логистики;
- развитию складской логистики как
девелоперского предпринимательства.
Следующей задачей решенной в дипломной работе
стала оценка потенциала Беларуси с позиций представления услуг складской
логистики и определение позиций конкретного хозяйствующего субъекта БГСП
«Доминик» ООО на белорусском рынке складских услуг. Решение перечисленных задач
позволило, при характеристике объекта анализа БГСП «Доминик» ООО объективно
оценить место и перспективы предприятия на белорусском рынке складских услуг.
Дефицит этих услуг и инвестиционная политика руководства компании позволили ей
уже к 2005 году вырасти в крупную девелоперскую компанию обладающую
собственными складскими помещениями площадью около 4000 м2 в
основном класса «Б», офисными помещениями площадью 840 м2 и
владеющую территорией в 3,5 га выгодно расположенной в районе столичной
кольцевой дороги.
В аналитическом разделе проанализирована
характеристика содержания работ складского хозяйства БГСП «Доминик» ООО и
соответствия оснащённости предприятия выполняемым работам. Современные услуги
коммерческого склада это не только хранение материальных ценностей, но и
качественное документальное оформление обрабатываемых в складской логистики
грузов. Особенно это относится к компании Доминик. Об этом свидетельствует
структура доход компании. Они формируются от:
- 55% услуг таможенного оформления;
- 24% услуг таможенного склада;
- 7% услуг таможенного перевозчика;
- 14% от торговой деятельности.
В ходе анализа выявилось, что компания
«Доминик» достигла уже в 2005 году пределов использования имеющегося потенциала
своей складской логистики. Он определён зоной таможенного контроля на 110
машиномест и складскими помещениями площадью 4000 м2. Финансовые
показатели «Доминик» за последние три года показывают, что они изменяются
только в результате изменения ценового фактора и он для компании пока был
только положительным. О финансовой состоятельности можно судить по тому, что в
2008 году уровень рентабельности достиг практически 40%, предприятие не имеет
финансовых обязательств перед партнёрами по бизнесу, используют только
краткосрочные банковские займы.
На предприятии обслуживающим 4000 м2 складских
помещений занято всего 110 работников. О достигнутом уровне профессионализма в
обслуживании свидетельствует полное отсутствие претензий таможенных органов к
оформленным грузам и рекламации клиентов по услугам.
В проектном разделе на основании
результатов анализа позволили автору дипломного проекта сформулировать свои
предложения по совершенствованию организации складского хозяйства объекта
исследования БГСП «Доминик» ООО. Основу этих предложений составляет расширения
зоны складского обслуживания на 30%. Такое расширения требует строительство
терминала зоны таможенного контроля дополнительно на 36 машиномест, то есть увеличения
его с 110 машиномест до 146 и строительство нового дополнительного склада
площадью 1000 м2 вместимостью 7000 паллетомест с усовершенствованной
СУС. Анализ финансового состояния предприятия показывает, что в такой
инвестиционный проект «Доминик» может вложить сегодня 100 000 дол. США
собственных средств, а 400 000 дол. США необходимо привлечь кредитных ресурсов.
Расчёты, приведённые в работе показывают, что простой срок окупаемости составит
2,4 года, а с учётом дисконтирования при ставке банковского процента равной 12%
этот срок возрастает до 2,8 лет.
Расширение возможностей складской логистики как
в части увеличения объёмов обработки грузов так и в части специализации на
фармакологическом ассортименте требует от компании, воизбежания потерь
связанных с отсутствием у потребителей информации упреждающего брендинга
компании.
В работе представлен бизнес план строительства
нового склада класса «Б», то есть такого же класса как и один из имеющихся уже
складов так же площадью 1000 м2. Автор сознательно не определяет в
качестве цели строительства склада класса «А», полностью автоматизированного
исходя из характера обрабатываемых компанией в настоящее время грузов.
Предлагается склад, который достаточно легко трансформировать в склад класса
«А» дополнительными инвестициями и в работе определены условия при которых это
будет целесообразно. Таким условием является поиск партнёров, которые на
долгосрочной основе предложили бы постоянный ассортимент своей продукции для
реализации на белорусском рынке или для транзита. Только в этом случае
увеличение инвестиций эксплуатационных расходов теоретически на 50% а в
реальной действительности и более может быть оправдано и обеспечит окупаемость
склада.
В конструкторско-технологической части был
разработан сборочный чертёж кассеты. Кассета является типовым элементом замены
и относится ко второму уровню конструктивных модулей. Кассета предназначена для
размещения в них блоков электроники и питания. Оборудование в виде блоков
размещено в кассетах. Каждая кассета образует функционально и конструктивно
законченное устройство. В кассете закреаляется модуль процессора. Модуля
процессора состоит из платы печатной размером 220х145х21мм, на которую
устанавливается пластмассовая лицевая панель и два или один электрический
соединитель.
В разделе
«Охрана труда и экологическая безопасность» была рассмотрена разработка организационно-технических мероприятий по
обеспечению пожарной безопасности объекта. На БГСП «Доминик» ООО большое
количество складских помещений, где под ответственное хранение размещается
множество ценных товаров. Так как предприятие характеризуется повышенной
пожарной опасностью, проведён анализ возможных причин возгорания и
пожара на складах предприятия, и дано обоснование и выбор
технико-эксплуатационных, организационных и режимных мероприятий для
обеспечения пожарной безопасности объекта при эксплуатации.
Окупаемость инвестиционного проекта может быть
ускорена за счёт реализации мероприятий не требующих дополнительных затрат.
«Доминик» в условиях расширения складских помещений может позволить себе
некоторое усиление специализации складских операций. Как компания имеющая
лицензию министерства здравоохранения компания может увеличить объём складской
обработки фармакологической продукции.
Список литературы
[1] Аутсорсинг: создание высокоэффективных и
конкурентоспособных организаций. Коллектив авторов. – М.: ИНФРА-М, 2003.
[2] Бауэрсокс Д.Д., Клосс Д.Д. Логистика: интегрированная
цепь поставок / Пер. с англ. – М.: ЗАО «ОлимпБизнес», 2001.
[3] Бутвина Е.В. Международная политика DHL в области
логистики // Сборник тезисов выступлений II международного логистического
форума. – М.: Координационный совет по логистике. 2000.
[4] Власов К.Ю. Некоторые практические аспекты реализации
системы «точно в срок». Сборник иезисов выступлений II международного
логистического форума. – М:. Координационный совет по логистике, 2000.
[5] Вирабов С.А. Складское и тарное хозяйство. – Киев «Вища
школа», 1998.
[6] Волгин В.В. Логистика приёмки и отгрузки товаров. – М.:
ИТК «Дашков и К», 2006.
[7] Волгин В.В. Склад. Логистика, управление, анализ. – М.:
ИТК «Дашков и К», 2007.
[8] Волгин В.В. Логистика хранения товаров // Практическое
пособие – М.: ИТК «Дашков и К», 2008.
[9] Гаджинский А.М. Логистика. – М.: ИТК «Дашков и К»,2007.
[10] Гаджинский А.М. Современный склад. Организация,
технологии, управление и логистика. – М.: Проспект, 2005.
[11] Гаджинский А.М. Логистика: учебник для вузов по
направлению «Экономика» // М.: «Дашков и К», 2005.
[12] Геттинг Б. Международная производственная кооперация в
промышленности. Роль логистики в управлении конкурентоспособности хозяйственных
структур. – М.: Дело, 2000.
[13] ГОСТ 12.1.004-85. ССБТ. Пожарная безопасность. Общие
требования.
[14] Джонсон Д. и др. Современная логистика. — М.: ИД
“Вильяис“‚ 2002.
[15] Дыбская В.В. Логистика для практиков. — М.: ИПТИЛ
ВИНИТИ РАН, 2002.
[16] Дыбска В.В. Логистический подход в решении проблем
складской обработки груза // Логистика и бизнес: Сборник. М.: Бранденс, 1997.
[17] Локтев О.П. Автоматизация складского учета на основе
штрихового кодирования// Современный склад. — М.: КИАцентр, 1999.
[18] Манжосов Г.П. Современный склад. — М.: КИАЦентр, 2002.
[19] Манжосов Г.П. Технология складских операций //
Современный склад. М.: КИАцентр, 1999.
[20] Мешалкин В.П., Дови В., Марсанич А. Принципы
промышленной логистики — М.: РХТУ, 2002.
[21] Михнюк Т.Ф. Охрана труда: учебное пособие / Т.Ф.
Михнюк. – Мн.: ИВЦ Минфина, 2007. – 320с.
[22] Национальная программа развития экспорта РБ на
2005-2010.
[23] Пан А. Терминал. 2004. № 2(44).
[24] Протасов С. Склад и Техника. 2006.№ З.
[25] Погрузка и разгрузка. Справочник грузменеджера. М.:
ИТК «Дашков и К°», 2007.
[26] Радионов Р. А.,.Радионов А.Р. Управление сбытовыми
запасами и оборотными средствами предприятия. — М.: Дело и сервис, 1999.
[27] Разработка и оформление конструкторской документации
РЭА: Справочное пособие / Э.Т.Романычева [и др.] – М.: Радио и связь, 1989.
[28] Савин В.И. Склады. — М.: Дело и Сервис, 2001.
[29] Саркисов С.В. Управление логистикой. — М.: Бизнесшкола
“ИнтелСинтез”, 2001.
[30] Сергеев В. И. Логистика в бизнесе. — М.: ИНФРА-М,
2001.
[31] Цагарейшвкли А.С. Подъемнотранспортное оборудование.
2006. №З.
[32] Чеботаев А.А. Логистика. Логистические
технологии. — М.: ИТК «Дашков и К°», 2002.
[33] Шишко В.А. Как организовать евросклад. Сборник тезисов
выступлений II международного логистического форума. — М.: Координационный
совет по логистике, 2000.
Похожие работы на - Организация складского хозяйства и направления его совершенствования (на примере БГСП "Доминик")
|