Определение массовой доли вещества
Задача 1. Раствор нитрата калия объемом 60 мл и
концентрацией 2 моль/л прокипятили в сильнощелочной среде с 6,48 г алюминия.
Выделившийся газ пропустили при нагревании через трубку с оксидом меди(П)
массой 11,2 г. Рассчитайте массовую долю меди в полученном твердом остатке.
Решение
1. Напишем уравнения реакций:
2. Рассчитаем количество вещества KNO3, Al и по веществу, которое
прореагировало полностью, определим количество вещества
NH3:
ra(KNO3)ζ 0,06 л 2моль/лζ 0,12 моль;
ж
0,24 моль — прореагирует полностью;
0,09 моль.
3. Так как по условию задачи необходимо
рассчитать массовую долю меди в твердом остатке, следовательно, оксид меди(П) в
избытке:
ra(CuO) ж 0,005 моль; (CuO) 0,005 моль 80 г/моль ж 0,4 г.
4. Рассчитаем количество вещества и
массу образовавшейся меди:
Ti(Cu) ж Ti^^CuO) ж 0,135 моль; to(Cu) ж 0,135 моль 64 г/моль ж 8,64 г.
5. Hайдем массу смеси и
массовую долю меди в ней: т(см.)
= m(CuO) K m(Cu); т(см.) = 0,4г K 8,64г = 9,04 г;
Ответ:
= 95,58%.
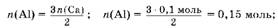
Задача 2. Cмесь кальция и алюминия (молярное
отношение металлов в смеси 2: 3) прокалили с избытком углерода без доступа
воздуха. Полученную смесь продуктов обработали водой. Выделившиеся газы
пропустили через склянку с бромной водой. Масса склянки увеличилась на 2,6 г.
Определите массу исходной смеси.
Решение
1. При прокаливании с углеродом без
доступа воздуха (отсутствие кислорода) образуются только карбиды металлов, при
обработке которых водой получаются метан и ацетилен. При пропускании этих газов
через бромную воду с бромом реагирует только ацетилен, поэтому масса склянки
увеличилась на массу ацетилена. Запишем уравнения реакций:
2. Hайдем массу кальция:
3. Hайдем массу алюминия.
По условию A (Ca): A (Al) =
2: 3, следовательно,
m(Al) =
0,15 моль ■ 27 г/моль = 4,05 г.
4. Вычислим массу смеси:
то(см.) ж 4 г K 4,05 г ж 8,05 г. Ответ: то(см.) ж
8,05г.
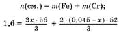
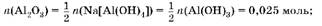
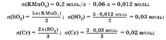
Задача 3. Смесь хрома и железа массой 1,6 г
полностью прореагировала с газом, выделившемся при электролизе 30,4 г 20%-го
раствора хлорида меди (II). Определите массовые доли металлов в смеси.
Решение
1. С хлором взаимодействуют и хром, и
железо с образованием хлоридов трехвалентных металлов:
2. Определим количество вещества хлора,
полученного при электролизе:
3. Выразим массы металлов через,.
Пусть ra2(Cl2)ζ, моль,
тогда ra3(Cl2)ζ (0,045 —,)моль;
4. Составим уравнение:
Решая уравнение, получаем, что, ж0,015.
5. Найдем массовые доли металлов в
смеси:
Ответ:
ж 65%;
ж 35%.
Задача 4. Продукты реакции, образовавшиеся при
сплавлении смеси, содержащей оксид хрома(Ш), гидроксид калия и хлорат калия в
стехиометрических количествах, растворили в воде и добавили избыток раствора
хлорида бария. При этом образовался осадок массой 50,6 г. Найдите массу оксида
хрома(Ш) в смеси.
Решение
1. При сплавлении Cr2O3 с щелочными расплавами окислителей
происходит окисление хрома(Ш) и образуются хроматы:
2. Найдем количество вещества и массу Cr2O3 в смеси:
Ответ:
ж 15,2 г.
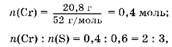
Задача 5. Смесь оксидов алюминия и хрома(Ш)
обработали избытком концентрированного раствора щелочи. Раствор отфильтровали.
Осадок отделили, промыли, высушили и прокалили с гид-роксидом натрия, при этом
образовалась соль массой 16,05 г. Через фильтрат пропустили избыток углекислого
газа, в результате чего образовался осадок массой 3,9 г. Определите массовую
долю оксида хрома(Ш) в смеси.
Pешение
1. В концентрированном растворе щелочи
растворяется только оксид алюминия с образованием комплексной соли. При
пропускании углекислого газа через ее раствор эта соль разрушается и образуется
гидроксид алюминия. Смесь хрома(Ш), который не растворился в растворе щелочи,
при сплавлении с гидроксидом натрия образует хромит натрия:
2. Oпределим массу Al2O3 в смеси:
An(Al2O3) = 0,025 моль ■ 102 г/моль = 2,55 г.
3. Hайдем массу Cr2O3 в смеси:
An(Cr2O3) = 0,075 моль ■ 152 г/моль = 11,4 г.
т(см.) = 11,4 г K
2,55 г = 13,95 г;
Oтвет: MJ(Cr2O3) = 81,72%.
Задача 6. Cмесь хлоридов алюминия и хрома(Ш)
массой 317 г обработали сначала избытком раствора гидроксида калия, а затем —
избытком хлорной воды. К полученному раствору прилили избыток нитрата бария,
при этом образовалось 126,5 г осадка желтого цвета. Рассчитайте массовую долю
хлорида хрома(Ш) в исходной смеси.
Pешение
1. В избытке щелочи образуются
гидроксокомплексы и алюминия, и хрома(Ш), но с хлорной водой реагирует только
гидроксо-комплекс хрома(Ш):
2. По количеству хромата бария (осадок
желтого цвета) рассчитаем количество вещества, массу и массовую долю CrCl3:
Oтвет: M(CrCl3) = 25,0%.
Задача 7. При гидролизе средней соли образовалось
20,4г вещества H2X,
массовая доля водорода в котором равна 5,88%, и 41,2 г вещества M(OH)3,
массовая доля M в котором
равна 50,49%. Oпределите формулу соли.
Pешение
1. Для определения элемента X находим массу и количество вещества
элементов водорода и X,
содержащихся в 20,4 г вещества H2X, а
также молярную массу элемента X:
m(X) = 20,4 г - 1,2 г = 19,2 г;
следовательно, X — это сера.
2. Определяем массу элемента М:
то(М) ж41,2 г 0,5049 ж 20,8 г.
3. Так как количество вещества элемента
М и количество вещества M(OH)3 равны, то составим
уравнение и определим элемент М, обозначив его молярную массу через
Решая уравнение, находим, что - = 52 г/моль, следовательно, элемент М —
это хром.
4. Для определения формулы соли
необходимо знать количество вещества элементов серы и хрома:
следовательно, формула соли Cr2S3. Ответ: Cr2S3.
Задача 7. Газ, образовавшийся при разложении
дихромата аммония массой 126 г, смешали с газом, выделившимся при растворении
42 г гидрида натрия в 900 мл 2 M
раствора хлороводорода, и пропустили при соответствующих условиях над никелевым
катализатором. Продукт реакции растворили в избытке раствора азотной кислоты.
Рассчитайте, насколько увеличится масса раствора азотной кислоты.
Решение
1. Масса азотной кислоты увеличивается
за счет поглощения аммиака, который образуется при соответствующих условиях из
водорода и азота:
(1) (2)
(3)
(4)
2. Найдем количество вещества азота:
3. Определим количество вещества водорода:
ra(HCl) ж 2 моль/л 0,9 л ж 1,8 моль — избыток, значит, количество
вещества водорода определяем по NaH:
ra(H2)ζ ra(NaH) ж 1,75 моль.
4. Сравним количество
вещества N2 и H2. По уравнению:
а имеем 0,5 моль, следовательно, азот
прореагирует полностью.
5. Вычислим массу аммиака:
ra(NH3)ζ
2ra(N2)ζ 1моль; то(NH3)ζ 1 моль ■ 17
г/моль ж 17 г — на столько увеличится масса
раствора азотной кислоты. Ответ:
ж 17 г.
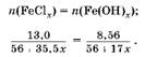
Задача 8. К раствору хлорида железа, содержащему
13,0 г соли, прибавили избыток гидроксида калия. При этом образовался осадок
массой 8,56 г. Определите валентность железа в хлориде.
Решение
1. Известны нераствормые гидроксиды
железа(11) и железа(Ш). Обозначим валентность железа в хлориде через,:
2. Выразим через &
количество вещества соли и гидроксида железа:
3. вставим уравнение:
Pешая уравнение, получаем, что
валентность железа в хлориде равна III.
Oтвет: III.
Задача 9. Cмесь металла и сульфида данного металла
полностью растворилась в 10%-ной соляной кислоте, при этом выделилось 11,2 л
(н. у.) газа. При добавлении к образовавшемуся раствору раствора красной
кровяной соли образуется осадок синего цвета. При пропускании выделившегося
газа через избыток раствора нитрата свинца образуется 47,8 г осадка черного
цвета. Oпределите массовые доли компонентов смеси.
Pешение
1. Исходная смесь полностью растворилась
в соляной кислоте, следовательно, и металл, и сульфид данного металла
прореагировали нацело. Взаимодействие с красной кровяной солью с образованием
осадка синего цвета (турнбулевой сини) — качественная реакция на катион Fe2K, следовательно, металл — железо,
сульфид металла — FeS:
2. Hайдем массу сульфида железа:
3. Oпределим массу железа:
Ai(H2) = га(газов) - Ai(H2S); Ai(H2) = 0,5 моль - 0,2 моль = 0,3 моль; Ai(Fe) =
(H2) = 0,3моль; An(Fe) =
0,3 моль ■ 56 г/моль = 16,8 г.
4. Вычислим массовые доли компонентов
смеси:
т(см.) = 16,8 г K
17,6 г = 34,4 г;
M(Fe) =
100%- 51,16%=48,84%. Oт в
е т: M(Fe) =
48,84%; M(FeS) = 51,16%.
Задача 6.334. Cмесь железа и магния обработали
концентрированной серной кислотой и собрали газ объемом 1,68 л (н. у.).
^ра-створившийся остаток отделили и обработали разбавленной азотной кислотой,
при этом остаток полностью растворился. Полученный раствор осторожно выпарили,
соль прокалили. Масса твердого остатка составила 12 г. Oπределите
количественное соотношение металлов в смеси.
Pешение
1. Железо при обычных условиях с
концентрированной серной кислотой не взаимодействует, но растворяется в
разбавленной азотной кислоте с образованием нитрата железа(Ш):
2. Вычислим количество вещества магния:

4. Определим соотношение
металлов в смеси:!(Fe): Ti(Mg) ж 0,15: 0,3 ж 1: 2. Ответ: ra(Fe): ra(Mg) ж 1: 2.
Задача 10. Навеску
смеси порошкообразных хрома и марганца обработали хлором без нагревания, масса
навески при этом увеличилась на 2,13 г. Полученную смесь растворили в воде.
Нерастворившийся твердый остаток отделили и обработали при нагревании
концентрированной серной кислотой. Выделившийся газ был поглощен 60 мл 0,2 M раствора перманганата калия. Вычислите
массу исходной навески.
Решение
1. С хлором без нагревания
взаимодействует только марганец, при этом образуется соль MnCl2, растворимая в воде. С
концентрированной серной кислотой при нагревании взаимодействует хром, причем
образуется сульфат хрома(Ш) и выделяется SO2, который и взаимодействует с перманганатом калия:
2. Найдем массу марганца:
то(Мп) ж
0,03 моль ■ 55 г/моль ж
1,65 г.
3. Найдем массу хрома:
TO(Cr) ж 0,02 моль ■ 52 г/моль ж 1,04 г.
4. Вычислим массу исходной смеси:
то(см.) ж TO(Cr) K то(Мп); то(см.) ж 1,04 г K 1,65 г ж 2,69 г. Ответ: то(см.) ж
2,69 г.
Задача 11. При прокаливании смеси, содержащей
равные количества вещества гидроксида, карбоната и нитрата двухвалентного
металла, масса смеси уменьшилась на 25,5 г. Определите металл, входящий в
состав соединений, а также массу смеси, если смесь не содержит примесей, а
массовая доля металла в ней равна 46,83%.
Решение
1. Обозначим молярную массу металла
через а количество вещества каждого компонента смеси — через Так как металл
двухвалентен, а количества веществ в смеси равны, то масса металла равна 3,-
(г).
Выразим массу исходной смеси:
то(исх. см.) ж то(Me(OH)2) K то(Me(NO3)2) K Tre(MeCO3); то(исх. см.) ж -(, K 34) K -(, K 124) K -(, K 60); то(исх. см.) ж 3,-
K 218-.
2. Определим металл:
Решая это уравнение, получаем, ж 64, следовательно, металл — медь.
3. Напишем уравнения реакций:
(1) (2
(3
4. Найдем массу исходной смеси.
Так как масса смеси уменьшилась за счет
образования газообразных продуктов реакции, то:
о(исх. см.) ж о(кон. см.) K 25,5;
то(исх. см.) ж - ■ 98 K - ■ 188 K - ■ 124; то(исх. см.) ж
410-;
то(кон. см.) ж TO1(CuO) K To2(CuO) K To3(CuO);
Следовательно, в смеси было по 0,15 моль веществ. Найдем ее массу:
то(исх. см.) ж 0,15 ■ 410 ж 61,5 (г). Ответ: Cu; то(исх. см.) ж
61,5 г.
Задача 12. Hитрат неизвестного металла растворили в
воде и полученный раствор разделили на две равные части. К одной части добавили
магний, к другой — такую же массу марганца. По окончании реакции масса осадка
во второй части оказалась на 3,1 г меньше, чем в первой. После добавления
избытка соляной кислоты к обоим осадкам они частично растворились, и их массы
оказались равными и составили 21,6 г. Oπределите неизвестный металл.
Pешение
1. Hадо учесть, что осадки — это
неизвестный металл, вытесненный из соли магнием и марганцем, который, в отличие
от магния и марганца, не растворяется в соляной кислоте:
2. Так как массы осадков равны, то
одинаково и количество вещества металла, а, следовательно, равны и количества
вещества вступивших в реакцию магния и марганца.
Если прореагирует 1 моль магния и 1 моль
марганца, то разность масс осадков будет равна Дт = 55 г -24 г = 31 г. Так как разность
масс осадков равна 3,1 г, следовательно, в реакцию вступило 0,1 моль Mg и 0,1
моль Mn. Cогласно уравнениям реакций образовалось по 0,2 моль неизвестного
металла. Hайдем его молярную массу:
= 108 г/моль, металл — серебро. Oт в е т: Ag.
Задача 12. Что общего и различного в химических
свойствах пероксида водорода и бромоводорода? Приведите уравнения реакций,
подтверждающие ответ.
Pешение
Oкислительно-восстановительные
свойства веществ характеризует величина стандартного восстановительного
потенциала:
Анализ этих данных показывает, что
бромоводород — восстановитель, а у пероксида водорода окислительные свойства
преобладают над восстановительными:
Восстановительные свойства бромоводорода
выражены сильнее, чем у пероксида водорода:
В кислотно-основных взаимодействиях
растворы обоих соединений проявляют кислотные свойства, например вступают в
реакцию нейтрализации:
2HBr K Ba(OH)2 ж BaBr2 K 2H2O; H2O2 K Ba(OH)2 ж BaO2 K 2H2O. Но HBr — сильная кислота, а H2O2 — слабая:
BaO2
K 2HBr ж BaBr2 K H2O2.
Оба вещества способны разлагаться:
Но реакция разложения бромоводорода
обратима и протекает только при нагревании; пероксид водорода может разлагаться
самопроизвольно под действием света или в присутствии катализатора. Процесс
необратим.