Анализ состояния активов и особенности управления ими в ООО "Крон-Нефто"

  • Вид работы:
    Дипломная (ВКР)
  • Предмет:
    Финансовый менеджмент, финансовая математика
  • Язык:
    Русский
    ,
    Формат файла:
    MS Word
    449,68 kb
  • Опубликовано:
    2011-03-20
Вы можете узнать стоимость помощи в написании студенческой работы.
Помощь в написании работы, которую точно примут!

Анализ состояния активов и особенности управления ими в ООО "Крон-Нефто"

СОДЕРЖАНИЕ

ВВЕДЕНИЕ

1. ТЕОРЕТИЧЕСКИЕ ОСНОВЫ УПРАВЛЕНИЯ АКТИВАМИ ПРЕДПРИЯТИЯ

1.1 Экономическая сущность и классификация активов предприятия

1.2 Состав оборотных активов предприятия и особенности финансового управления ими

1.3 Состав внеоборотных активов и особенности управления ими

2. АНАЛИЗ СОСТОЯНИЯ АКТИВОВ И ОСОБЕННОСТЕЙ УПРАВЛЕНИЯ ИМИ В ООО «КРОН-НЕФТО»

2.1 Краткая экономическая характеристика ООО «Крон-Нефто»

2.2 Особенности состояния и управления оборотными активами в ООО «Крон-Нефто»

2.3 Управление внеоборотными активами в ООО «Крон-Нефто»

3. ПРЕДЛОЖЕНИЯ ПО ПОВЫШЕНИЮ ЭФФЕКТИВНОСТИ УПРАВЛЕНИЯ АКТИВАМИ В ООО «КРОН-НЕФТО»

3.1 Предложения по эффективному управлению дебиторской задолженности в ООО «Крон-Нефто»

3.2 Предложения по оптимизации управления денежными средствами предприятия ООО «Крон-Нефто»

ЗАКЛЮЧЕНИЕ

СПИСОК ЛИТЕРАТУРЫ

ПРИЛОЖЕНИЯ

 


ВВЕДЕНИЕ


Чтобы обеспечивать выживаемость предприятия в современных условиях, управленческому персоналу необходимо, прежде всего, уметь реально оценивать финансовыое состоянияе, как не только своего предприятия, так но и существующих потенциальных конкурентов. Финансовое состояние – важнейшая характеристика экономической деятельности, которая предприятия Она определяет конкурентоспособность, потенциал в деловом сотрудничестве, оценивает, в какой степени гарантированы экономические интересы самого предприятия и его партнёров в финансовом и производственном отношении. Однако одного умения реально оценивать финансовое состояние недостаточно для успешного функционирования предприятия и достижения им поставленной цели.

Конкурентоспособность предприятию может обеспечить только правильное управление движением финансовых ресурсов и капитала, находящихся на в распоряжении. ( это Ваш текст, только перефразированный, частично, и переставленный)

Во-вторых, В условиях рынка изменились права предприятий в области управления активами, мера ответственности за качество (эффективность) их использования.

В-третьих, Расширение законодательной базы дает возможность предприятиям эффективней использовать имущество, строить политику воспроизводства основных средств.

Во-первых, Управление активами является важнейшим аспектом управления предприятием в целом, от которого зависит эффективность функционирования предприятия. Ведь от обеспеченности предприятия активами зависит финансовая устойчивость, а также и платежеспособность предприятия, все это и определяет актуальность темы работы.

Главной задачей управления активами является формирование необходимого объема, оптимизация состава и обеспечениие эффективного использования активов предприятия.

Главная Цель выпускной квалификационной работы - проанализировать систему управления активами ООО «Крон-Нефто» и на основе анализа предложить мероприятия по ее совершенствованию. остояние движения активов с 2008 по 2009 гг. по данным бухгалтерских балансов ООО «Крон-Нефто», выявить основные проблемы движения активов в хозяйственной деятельности предприятия и дать рекомендации по улучшению управления активами.

В соответствии с выбранной целью работы поставлены следующие задачи исследования:

Для достижения поставленной цели в работе должны быть решены следующие задачи: (задачи – это названия ваших параграфов, напишете, когда полностью сформулируем).

1. Рассмотреть теоретические основы управления активами предприятия;

2. Анализ состояния активов и особенностей управления ими в ООО «Крон-Нефто»;

3. Предложить мероприятия по повышению эффективности управления активами в ООО «Крон-Нефто».

Объектом исследования данной работы является деятельность ООО «Крон-Нефто».

Предметом исследования - является механизм управления активами предприятия, методы их анализа и обоснования управленческих решений, направленных на повышение эффективности использования элементов активов.

Теоретическими и методологическими основами исследования послужили научные труды по проблемам управления активами и оценки их эффективности отечественных и зарубежных ученых: При написании работы использовались законодательные, нормативно-правовые источники, работы таких авторов как: Бланк И.А., Стоянова Е.С., Переверзев М. П., Виханский О.С., а также материалы периодических изданий. Аналитическая часть работы выполнена на основе финансовой отчетности ООО «Крон-Нефто» за 2008-2009 гг.

В работе использовались следующие методы исследования: …. Далее напишете методы исследования, используемые в данной работе. законы РФ, нормативные документы, материалы специальных периодических изданий.

1. ТЕОРЕТИЧЕСКИЕ ОСНОВЫ УПРАВЛЕНИЯ АКТИВАМИ ПРЕДПРИЯТИЯ

 

1.1. Экономическая сущность и классификация активов предприятия


В современной прикладной экономической науке финансовый менеджмент рассматривается как совокупность двух направлений финансового управления предприятием — управления капиталом и управления активами, которые реализуются в тесной взаимосвязи [3, с.5]. Если на первоначальном этапе становления система финансового менеджмента рассматривалась только как система управления капиталом, то в дальнейшем, по мере развития методологии, в финансовом сообществе сформировалось осознание необходимости выделения в общей системе отдельного блока — менеджмента активов, который должен функционировать параллельно с блоком управления капиталом.

В системе управления активами существенное внимание уделяется обеспечению эффективности формирования и использования активов в операционной и инвестиционной деятельности, и совершенно естественно, что система управления активами связана с двумя другими системами управления предприятием:

· системой операционного менеджмента — эта связь проявляется в совместном управлении формированием и использованием материальных активов в производственно-сбытовой деятельности предприятия;

· системой инновационного менеджмента — эта связь состоит в совместном управлении формированием нематериальных активов инновационного характера.

Место системы управления активами в общей системе управления предприятием показано на рис.1.1

Алгоритм модифицированного метода сравнения продаж

Рис. 1.1. Место системы управления активами в общей иерархической системе управления предприятием

Управление активами базируется на ряде принципов, реализация которых обеспечивает его эффективность, а именно:

· обеспечение интеграции системы управления активами с общей системой управления предприятием, что должно проявляться в тесной взаимосвязи управления активами с задачами управления финансами, инвестициями, оперативной деятельностью, бухгалтерским учётом;

· обеспечение гибкости и многовариантности управления активами, означающее, что при подготовке управленческих решений по формированию и использованию активов в операционном или инвестиционном процессах должны, как правило, разрабатываться альтернативные варианты таких решений в допустимом диапазоне финансовых критериев устанавливаемых предприятием;

· обеспечение высокого динамизма управления, означающее, что при разработке и реализации управленческих решений, связанных с активами, необходимо учитывать влияние изменения факторов внешней среды во времени, например, изменения на финансовом или товарном рынках;

· обеспечение системного подхода при формировании управленческих решений, означающее, что система управления активами должна рассматриваться как часть общей системы управления, которая обеспечивает разработку взаимозависимых управленческих решений, связанных с формированием и использованием активов в двух других системах (инновационного и производственно-сбытового менеджмента);

· ориентация на стратегические цели предприятия, означающая, что эффективность принятия тех или иных управленческих решений в отношении активов должно быть проверенно по критерию соответствия главной цели функционирования — «миссии» предприятия. [5, с.12]

Таким образом, управление активами предприятия представляет собой систему принципов и методов разработки и реализации управленческих решений, связанных с формированием, эффективным использованием активов и организацией их оборота в соответствии с главной целью функционирования (миссии) предприятия.

Остановимся на вопросах классификации активов.

Вообще В экономической теории и хозяйственной практике, связанной с использованием активов, упоминается значительное множество терминов, характеризующих те или иные виды (классы) активов. К числу основных квалификационных признаков можно отнести следующие:

- форма существования активов;

- характер оборота активов;

- характер участия активов в видах деятельности предприятия;

- степень ликвидности активов;

- источник образования.

Классификация видов активов предприятия по предлагаемым классификационным группам приведена в таблице 1.1.

Таблица 1.1

Классификация активов предприятия

№ п/п

Классификационный признак

Виды активов

1

Форма существования активов

-   материальные

-   нематериальные

-   финансовые

2

Характер оборота активов

-   оборотные

-   внеоборотные

3

Характер участия в видах деятельности

-   операционные

-   неоперационные

4

Степень ликвидности активов

-   активы в абсолютно ликвидной форме

-   высоколиквидные

-   среднеликвидные

-   низколиквидные

-   неликвидные

5

Источник образования

-   приобретённые за денежные средства

-   изготовленные на предприятии

-   полученные в обмен на другие активы

-   внесённые собственником

-   безвозмездно приобретённые


1. По форме существования выделяют три основных вида активов — материальные, нематериальные и финансовые:

а) Материальные активы (tangible assets) характеризуют имущественные ценности предприятия, имеющие материальную вещевую форму. К составу материальных активов предприятия относятся:

- основные средства;

- незавершённые капитальные вложения;

- оборудование, предназначенное к монтажу;

- производственные запасы сырья и полуфабрикатов;

- запасы малоценных и быстроизнашивающихся предметов;

- объем незавершённого производства;

- запасы готовой продукции, предназначенной к реализации;

- прочие виды материальных активов.

б) Нематериальные активы (intangible assets) характеризуют имущественные ценности предприятия, не имеющие вещественной формы, но принимающие участие в хозяйственной деятельности и генерирующие прибыль. К этому виду активов предприятия относятся:

- приобретённые предприятием права пользования отдельными природными ресурсами;

- патентные права на использование изобретений;

- «ноу-хау» — совокупность технических, технологических, управленческих, коммерческих и других знаний, оформленных в виде технической документации, описания, накопленного производственного опыта, являющихся предметом инноваций, но не запатентованных;

- права на промышленные образцы и модели;

- товарный знак — эмблема, рисунок или символ, зарегистрированные в установленном порядке, служащие для отличия товаров данного изготовителя от других аналогичных товаров;

- торговая марка — право на исключительное использование фирменного наименования юридического лица;

- права на использование компьютерных программных продуктов;

- «гудвилл» — разница между рыночной стоимостью предприятия как целостного имущественного комплекса и его балансовой стоимостью, образованная в связи с возможностью получения более высокого уровня прибыли (в сравнении со среднеотраслевым её уровнем) за счёт использования более эффективной системы управления, доминирующей позиции на товарном рынке, применения новых технологий и т. п.;

- другие аналогичные виды имущественных ценностей.

в) Финансовые активы характеризуют имущественные ценности предприятия в форме наличных денежных средств, денежных и финансовых инструментов, принадлежащих предприятию. К основным финансовым активам предприятия относятся:

- денежные активы в национальной валюте;

- денежные активы в иностранной валюте;

- дебиторская задолженность во всех её формах;

- краткосрочные финансовые вложения;

- долгосрочные финансовые вложения.

2. По характеру участия активов в хозяйственном процессе с позиций особенностей их оборота они подразделяются на два основных вида — оборотные и внеоборотные:

а) Оборотные (текущие) активы характеризуют совокупность имущественных ценностей предприятия, обслуживающих текущую производственно-коммерческую деятельность предприятия и полностью потребляемых (видоизменяющих свою форму) в течение одного операционного цикла. В практике учёта к ним относятся имущественные ценности (активы) всех видов со сроком использования до одного года и предельной стоимостью, установленной соответствующими правовыми нормами.

б) Внеоборотные активы характеризуют совокупность имущественных ценностей предприятия, многократно участвующих в процессе отдельных циклов хозяйственной деятельности и переносящих на продукцию использованную стоимость частями. В практике учёта к ним относят имущественные ценности (активы) всех видов со сроком использования более одного года и минимальной стоимостью, установленной соответствующими правовыми нормами. (Сделать ссылку на то, что наиболее широко используется данная классификация).

3. По характеру участия активов в различных видах деятельности предприятия они подразделяются на операционные и неоперационные (в соответствии с Вашим дальнейшим текстом) инвестиционные, избыточные:

а) Операционные активы (operational assets) — активы, которые считаются необходимыми для основной деятельности постоянно функционирующего предприятия или корпорации, которые, в свою очередь, подразделяются на:

- специализированные активы (specialized assets) — активы, которые редко, если вообще когда-либо, продаются на рынке иначе, как посредством продажи бизнеса или организации, частью которых они являются, в силу их уникальности, обусловленной их специализированным характером и конструкцией, их конфигурацией, размером, местоположением и иными свойствами. К ним относятся специализированные производственные объекты и т. п.;

- неспециализированные активы (non-specialized assets) — активы, не принадлежащие предыдущей группе в силу своей универсальности; к ним, как правило, относятся административные здания обычного типа, склады, транспортные средства общего назначения, мебель и офисное оборудование, универсальные станки и т. д.; эти активы обычно покупаются-продаются на открытом рынке данного вида активов.

б) Неоперационные активы (non-operational assets) — активы, которые не являются неотъемлемой частью функционирования предприятия, и, в свою очередь, подразделяются на:

- инвестиционные активы (investment assets) — земля и/или здания, которые держат для получения нынешнего или будущего арендного дохода и/или для сохранения или увеличения их стоимости, или и того и другого; их не удерживают для использования в производстве или поставках товаров (услуг) или для административных целей или для продажи в ходе обычного бизнеса;

- излишние активы (surplus assets) — актив, находящийся в собственности организации, но считающимся излишним для её операций; излишний актив не считается необходимым для производства товара (услуг), оказанных организацией; его держат для инвестиций, развития, или используют в качестве обеспечения для ссуды или иной коммерческой цели, не связанной с основной деятельностью организации.

4. По степени ликвидности активов, подразделяют:

а) Активы в абсолютно ликвидной форме — активы, характеризующие имущественные ценности предприятия, не требующие реализации и представляющие собой готовые средства платежа. В состав активов такого вида входят:

- денежные активы в национальной валюте;

- денежные активы в иностранной валюте.

б) Высоколиквидные активы — активы, характеризующие группу имущественных ценностей предприятия, которая быстро может быть конвертирована в денежную форму (как правило, в срок до одного месяца) без ощутимых потерь своей текущей рыночной стоимости с целью своевременного обеспечения платежей по текущим финансовым обязательствам. К высоколиквидным активам предприятия относятся:

- краткосрочные финансовые вложения;

- краткосрочная дебиторская задолженность.

в) Среднеликвидные активы — активы, характеризующие группу имущественных ценностей предприятия, которые могут быть конвертированы в денежную форму без ощутимых потерь по своей текущей рыночной стоимости в срок от одного до шести месяцев. К среднеликвидным активам предприятия обычно относят:

- все формы дебиторской задолженности, кроме краткосрочной и безнадёжной;

- запасы готовой продукции, предназначенной к реализации.

г) Низколиквидные активы — активы, представляющие группу имущественных ценностей предприятия, которые могут быть конвертированы в денежную форму без потерь своей текущей рыночной стоимости лишь по истечении значительного периода времени (от полугода и выше). В современной практике управления активами к этой группе относят:

- запасы сырья и полуфабрикатов;

- запасы малоценных и быстроизнашивающихся предметов;

- активы в форме незавершённого производства;

- основные средства;

- незавершённые капитальные вложения;

- оборудование, предназначенное к монтажу;

- нематериальные активы;

- долгосрочные финансовые вложения.

д) Неликвидные активы, характеризующие отражаемые в балансе отдельные виды имущественных ценностей предприятия, которые самостоятельно реализованы быть не могут (а могут быть проданы лишь в составе целостного имущественного комплекса). К таким активам относятся:

- безнадёжная дебиторская задолженность;

- расходы будущих периодов;

- убытки текущие и прошлых лет (отражаемые в составе актива баланса предприятия). [6, с.160]

В данном параграфе приводите классификации, практически не используемые сейчас, если их приводите, то давайте ссылки на источники, а то их слишком мало.

Методы оценки финансовых активов:

Международные стандарты финансовой отчетности (МСФО) предусматривают отражение активов в бухгалтерском учете в соответствии с четырьмя различными “методами оценки активов”:

1. “Фактической стоимостью приобретения”;

2. “Восстановительной стоимостью”;

3. “Возможной ценой продажи”;

4. “Дисконтированной стоимостью”.

Проанализируем каждый из них с позиций концепции CCF и полезности информации для принятия экономических решений.

1. В соответствии с методом фактической стоимости приобретения “активы учитываются по сумме уплаченных за них денежных средств или их эквивалентов, или по справедливой стоимости, предложенной за них на момент их приобретения”. Сумма уплаченных за актив денежных средств представляет собой не что иное, как цену приобретения данного актива. С позиции концепции CCF сумма уплаченных за активы денежных средств представляет собой отрицательный CCF (Y), являющийся следствием реализации в прошлом экономического решения “начать контроль над объектом” - R01, так как компании, находящейся в ситуации 0 (объект не контролируется компанией) по отношению к определенному объекту, чтобы перейти в ситуацию 1 (объект контролируется компанией) необходимо принять именно решение “начать контроль над объектом” - R01.

Справедливая стоимость согласно МСФО, это “сумма, на которую можно обменять актив при совершении сделки между хорошо осведомленными, желающими совершить такую операцию сторонами, осуществленной на общих условиях”. В определении справедливой стоимости речь идет о прекращении контроля над активом. С учетом того, что в этом определении нет указаний на то, что справедливая стоимость должна учитывать затраты, связанные с прекращением контроля над активом, можно утверждать что с позиций концепции CCF справедливая стоимость представляет собой положительный CCF (X) экономического решения “прекратить контроль над активом” - R10.

Однако характеристика метода фактической стоимости приобретения указывает не просто на справедливую стоимость, а на справедливую стоимость, предложенную на момент приобретения активов, которая, по сути, отражает свершившийся факт - цену предложения. Таким образом, справедливая стоимость, предложенная на момент приобретения активов, представляет собой не что иное как положительный CCF (X), являющийся следствием реализации в прошлом экономического решения “прекратить контроль над активом” - R10 .

В соответствии с МСФО активы первоначально отражаются по фактической стоимости приобретения. Я.В. Соколов в работе “Основы теории бухгалтерского учета” приводил мнения бухгалтеров-практиков, которые “…выступали за оценку прошлую, историческую, за очевидные цены покупки…”. Я.В. Соколовым также приводятся аргументы в опровержение подхода отражения активов по цене приобретения, среди которых присутствуют следующие:

“Покупная цена лишена и в юридическом, и в экономическом смыслах (соответственно и в информационных мантиях) всякой реальности:

· в юридическом смысле она не просто искажает оценку имущества собственника, но делает ее бессмысленной;

· в экономическом смысле в связи с колебаниями покупательной способности денег такой подход приводит к абсурду: в активе совершенно одинаковые предметы оцениваются по-разному или оценки предметов разного назначения получают бессмысленные соотношения...”;

“Отрыв оценки от действительного финансового положения предприятия приводит к невозможности исчислить реальную рентабельность, выявить фактический размер потерь при гибели имущества, определить реальную потребность в финансировании расходов по возобновлению и расширению объемов хозяйственной деятельности и проверить кредитоспособность фирмы”.

После первоначального отражения активов в соответствии с данным методом, целесообразно осуществлять переоценку активов, поскольку отражение активов по ценам, превращает финансовую отчетность в “летопись”, лишая ее прогностической ценности для принятия экономических решений.

2. В соответствии с методом восстановительной стоимости “активы отражаются по сумме денежных средств или их эквивалентов, которая должна быть уплачена в том случае, если такой же или эквивалентный актив приобретался бы в настоящее время”. По сути, сумма денежных средств или их эквивалентов, которая должна быть уплачена в том случае, если такой же или эквивалентный актив приобретался бы в настоящее время представляет собой отрицательный CCF (Y), являющийся вероятным следствием реализации экономического решения “начать контроль над объектом” -R01.

Представляется недостаточно корректным отражение активов в соответствии с данным методом, во-первых, потому, что он подразумевает определение лишь одного из двух элементов стоимости экономического решения - отрицательного CCF (Y); во-вторых, потому что активы представляют собой объекты экономических отношений, находящиеся в ситуации 1 (объект контролируется субъектом) и поэтому по отношению к ним может быть принято либо решение типа R11, либо решение типа R10, но никак не решение R01.

3. В соответствии с методом возможной цены продажи “активы отражаются по сумме денежных средств или их эквивалентов, которая в настоящее время может быть выручена от продажи актива в нормальных условиях”. Сумма денежных средств или их эквивалентов, которая в настоящее время может быть выручена от продажи актива в нормальных условиях, по сути, представляет собой положительный CCF (X), являющийся вероятным следствием реализации экономического решения “прекратить контроль над активом” - R10.

Таким образом возможная цена продажи представляет собой положительный CCF (X), являющийся вероятным следствием реализации экономического решения “прекратить контроль над активом” - R10.

Представляется недостаточно корректным отражение активов в соответствии с данным методом, так как он подразумевает определение лишь одного из двух элементов стоимости экономического решения R10- положительного CCF (X), а во-вторых, как было обнаружено нами ранее, отражение активов по стоимости экономического решения R10 не соответствует цели финансовой отчетности, зафиксированной в МСФО, так как не обеспечивает возможность адекватного отражения финансового состояния компании, изменения ее финансового состояния и результатов деятельности.

4. В соответствии с методом дисконтированной стоимости “активы отражаются по дисконтированной стоимости будущего чистого поступления денежных средств, которые, как предполагается, будут создаваться данным активом при нормальном ходе дел”. Дисконтированная стоимость будущего чистого поступления денежных средств представляет собой ни что иное как разницу дисконтированных будущих положительных и отрицательных потоков денежных средств. Таким образом, будущий положительный поток денежных средств, который, как предполагается, будет создаваться данным активом при нормальном ходе дел, по сути, представляет собой положительный CCF (X), являющийся вероятным следствием реализации экономического решения “продолжить контроль над активом” - R11. Будущий отрицательный поток денежных средств, который, как предполагается, будет создаваться данным активом при нормальном ходе дел, по сути, представляет собой отрицательный CCF (Y), являющийся вероятным следствием реализации экономического решения “продолжить контроль над активом” - R11.

Таким образом, дисконтированная стоимость актива, по сути, представляет собой стоимость экономического решения “продолжить контроль над активом” - R11.

С учетом изложенного выше можно заключить, что использование данного метода оценки активов представляется наиболее корректным, во-первых, поскольку он предполагает отражение активов по стоимости, а не по цене; во-вторых – поскольку он предполагает отражение активов по стоимости экономического решения “продолжить контроль над активом” - R11, а так как активы представляют собой объекты экономических отношений, находящиеся в ситуации 1 (объект контролируется субъектом), то по отношению к ним решение типа R11 может быть принято; в-третьих, поскольку он предполагает определение обоих элементов стоимости экономического решения: и отрицательного CCF (Y), и положительного CCF (X), являющихся вероятным следствием реализации указанного экономического решения.

Полученные результаты и проведенные ранее исследования свидетельствуют в пользу того, что отражение активов в соответствии с методом дисконтированной стоимости, в наибольшей степени соответствует цели финансовой отчетности, зафиксированной в МСФО.

1.2 Состав оборотных активов предприятия и особенности финансового управления ими

актив управление дебиторская задолженность оптимизация

Название параграфа должно быть следующим: Методика анализа активов

Параграф переделать полностью. Здесь необходимо подробно, шаг за шагом изложить методику анализа сначала оборотных, затем внеоборотных активов, со всеми формулами. Из выделенного далее фрагмента сформировать параграф, убрав все лишнее, часть перенесите в первый параграф.

Управление оборотными активами составляет наиболее обширную часть операций финансового менеджмента. Это связано с большим количеством элементов их внутреннего материально-вещественного и финансового состава, требующих индивидуализации управления; высокой динамикой трансформации их видов; приоритетной ролью в обеспечении платежеспособности, рентабельности и других целевых результатов операционной деятельности предприятия.

Целенаправленное управление оборотными активами предприятия определяет необходимость предварительной их классификации. С позиций финансового менеджмента эта классификация оборотных активов строится по следующим основным признакам (Приложение 1). Зачем здесь классификация активов, ее в первый параграф.

1.По характеру финансовых источников формирования выделяют валовые, чистые и собственные оборотные активы.

а)Валовые оборотные активы характеризуют общий их объем, сформированный за счет как собственного, так и заемного капитала.

б)Чистые оборотные активы (или чистый рабочий капитал) характеризует ту часть их объема, которая сформирована за счет собственного и долгосрочного заемного капитала.

Сумму чистых оборотных активов (чистого рабочего капитала) рассчитывают по следующей формуле:

ЧОА = ОА-ТФО, (1.1)

где ЧОА — сумма чистых оборотных активов предприятия;

ОА — сумма валовых оборотных активов предприятия;

ТФО — краткосрочные (текущие) финансовые обязательства предприятия.

в)Собственные оборотные активы характеризуют ту их часть, которая сформирована за счет собственного капитала предприятия.

Сумму собственных оборотных активов предприятия рассчитывают по формуле:

СОА = ОА-ДЗК-ТФО (1.2)

где СОА — сумма собственных оборотных активов предприятия;

ОА — сумма валовых оборотных активов предприятия;

ДЗК — долгосрочный заемный капитал, инвестированный в оборотные активы предприятия;

ТФО — текущие финансовые обязательства предприятия.

Если предприятие не использует долгосрочный заемный капитал для финансирования оборотных средств, то суммы собственных и чистых оборотных активов совпадают. [6, с.174]

2.Виды оборотных активов. По этому признаку они классифицируются в практике финансового менеджмента следующим образом:

а) Запасы сырья, материалов и полуфабрикатов. Этот вид оборотных активов характеризует объем входящих материальных их потоков в форме запасов, обеспечивающих производственную деятельность предприятия.

б)Запасы готовой продукции. Этот вид оборотных активов характеризует объем выходящих материальных их потоков в форме за пасов произведенной продукции, предназначенной к реализации. В практике финансового менеджмента к этому виду оборотных активов добавляют обычно объем незавершенного производства (с оценкой коэффициента его завершенности по отдельным видам продукции в целом). При значительном объеме и продолжительности цикла незвершенного производства его выделяют в процессе финансового менеджмента в отдельный вид оборотных активов.

в)Текущая дебиторская задолженность. Она характеризует сумму задолженности в пользу предприятия, представленную финансовыми обязательствами юридических и физических лиц по расчетам за товары, работы, услуги, выданные авансы и т.п.

г)Денежные активы. В современной практике финансового менеджмента к ним относят не только остатки денежных средств в национальной и иностранной валюте (во всех их формах), но и краткосрочные высоколиквидные финансовые инвестиции, свободно конверсируемые в денежные средства и характеризующиеся незначительным риском изменения стоимости.

д)Прочие оборотные активы. К ним относятся оборотные активы, не включенные в состав вышерассмотренных их видов, если они отражаются в общей их сумме.

3.Характер участия в операционном процессе. В соответствии с этим признаком оборотные активы дифференцируются следующим образом:

а)Оборотные активы, обслуживающие производственный цикл предприятия (они представляют собой совокупность оборотных активов предприятия в форме запасов сырья, материалов и полуфабрикатов, объема незавершенной продукции и запасов готовой продукции);

б)Оборотные активы, обслуживающие финансовый (денежный) цикл предприятия (они представляют собой совокупность всех товарно-материальных запасов и суммы текущей дебиторской задолженности за вычетом суммы кредиторской задолженности).

4.Период функционирования оборотных активов. По этому при знаку выделяют следующие их виды:

а) Постоянная часть оборотных активов. Она представляет собой неизменную часть их размера, которая не зависит от сезонных и других колебаний операционной деятельности предприятия и не связана с формированием запасов товарно-материальных ценностей сезонного хранения, досрочного завоза и целевого назначения. Иными словами, она рассматривается как неснижаемый минимум оборотных активов, необходимый предприятию для осуществления операционной деятельности.

6) Переменная часть оборотных активов. Она представляет собой варьирующую их часть, которая связана с сезонным возрастанием объема производства и реализации продукции, необходимостью формирования в отдельные периоды хозяйственной деятельности предприятия запасов товарно-материальных ценностей сезонного хранения, досрочного завоза и целевого назначения. В составе этого вида оборотных активов выделяют обычно максимальную и среднюю их часть. [6, с.176]

Управление оборотными активами предприятия связано с конкретными особенностями формирования его операционного цикла. Операционный цикл представляет собой период полного оборота всей суммы оборотных активов, в процессе которого происходит смена отдельных их видов. Он характеризует промежуток времени между приобретением производственных запасов и получением денежных средств от реализации произведенной из них продукции.

Движение оборотных активов предприятия в процессе их кругооборота проходит четыре основных стадии, последовательно меняя свои формы.

- На первой стадии денежные активы (включая их эквиваленты в форме краткосрочных финансовых инвестиций) используются для приобретения сырья и материалов, т.е. входящих запасов материальных оборотных активов.

- На Второй стадии входящие запасы материальных активов в результате непосредственной производственной деятельности превращаются в запасы готовой продукции.

- На третьей стадии запасы готовой продукции реализуются потребителям и до наступления их оплаты преобразуются в текущую дебиторскую задолженность.

- На четвертой стадии инкассированная (т.е. оплаченная) текущая дебиторская задолженность вновь преобразуется в денежные активы (часть которых до их производственного востребования может храниться в форме высоколиквидных краткосрочных финансовых инвестиций).

Важнейшей характеристикой операционного цикла, существенно влияющей на объем, структуру и эффективность использования оборотных активов, является его продолжительность. Она включает период времени от момента расходования предприятием денежных средств на приобретение входящих запасов материальных оборотных активов до поступления денег от дебиторов за реализованную им продукцию.

Принципиальная формула, по которой рассчитывается продолжительность операционного цикла предприятия, имеет вид:

ПОЦ = ПОМз+ПОгп+ПОд3  (1.3)

где ПОЦ — продолжительность операционного цикла предприятия,

в днях; ПОМЗ — продолжительность оборота запасов сырья, материалов

и других материальных факторов производства в составе оборотных активов, в днях; ПОГП — продолжительность оборота запасов готовой продукции, в днях; ПОдз — продолжительность инкассации текущей дебиторской задолженности, в днях.

В процессе управления оборотными активами в рамках операционного цикла выделяют две основные его составляющие: 1) производственный цикл предприятия; 2) финансовый цикл (или цикл денежного оборота) предприятия.

Производственный цикл предприятия характеризует период полного оборота материальных элементов оборотных активов, используемых для обслуживания производственного процесса, начиная с момента поступления сырья, материалов и полуфабрикатов на предприятие и заканчивая моментом отгрузки изготовленной из них готовой продукции покупателям.

Продолжительность производственного цикла предприятия определяется по следующей формуле:

ППЦ = ПОСМ+ПОНЗ+ПОГП (1.4)

где ППЦ — продолжительность производственного цикла предприятия, в днях;

ПОСМ — период оборота среднего запаса сырья, материалов и полуфабрикатов, в днях;

ПОНЗ — период оборота среднего объема незавершенного производства, в днях;

ПОГП — период оборота среднего запаса готовой продукции, в днях.

Финансовый цикл (цикл денежного оборота) предприятия представляет собой период времени между началом оплаты поставщикам полученных от них сырья и материалов (погашением кредиторской задолженности) и началом поступления денежных средств от покупателей за поставленную им продукцию (погашением дебиторской задолженности).

Продолжительность финансового цикла (или цикла денежного оборота) предприятия определяется по следующей формуле:

ПфЦ = ППЦ+ПОдз-ПОкз (1.5)

где ПФЦ — продолжительность финансового цикла (цикла денежного оборота) предприятия, в днях;

ППЦ — продолжительность производственного цикла предприятия, в днях;

ПОдз — средний период оборота текущей дебиторской задолженности, в днях;

ПОКЗ — средний период оборота текущей кредиторской задолженности, в днях.

Значительный объем финансовых ресурсов, инвестируемых в оборотные активы, многообразие их видов и конкретных разновидностей, определяющая роль в ускорении оборота капитала и обеспечении постоянной платежеспособности, а также ряд других условий, определяют сложность задач финансового менеджмента, связанных с управлением оборотными активами. Комплекс этих задач и механизмы их реализации получают отражение в последовательном управлении оборотными активами предприятия. Главная задача этого управления состоит в формировании необходимого объема, оптимизации состава и обеспечении эффективного использования оборотных активов предприятия.

Управление оборотными активами предприятия осуществляется по следующим основным этапам (рис 1.2.):

Рис. 1.2. Основные этапы управления оборотными активами предприятия

1. Анализ оборотных активов предприятия в предшествующем периоде. Основной целью этого анализа является определение уровня обеспеченности предприятия оборотными активами и выявление резервов повышения эффективности их функционирования.

2. Выбор политики формирования оборотных активов предприятия. Такая политика должна отражать общую философию финансово го управления предприятием с позиций приемлемого соотношения уровня доходности и риска финансовой деятельности.

3. Оптимизация объема оборотных активов. Такая оптимизация должна исходить из избранного типа политики формирования оборотных активов, обеспечивая заданный уровень соотношения эффективности их использования и риска.

4. Оптимизация соотношения постоянной и переменной частей оборотных активов. Потребность в отдельных видах оборотных активов и их сумма в целом существенно колеблется в зависимости от сезонных и других особенностей осуществления операционной деятельности. Так, на предприятиях ряда отраслей агропромышленного сектора экономики закупки сырья осуществляются в течение лишь определенных сезонов, что определяет повышенную потребность в оборотных активах в этот период в форме запасов этого сырья. На предприятиях отдельных отраслей имеется возможность переработки сырья лишь в течение „сезона переработки" с последующей равномерной реализацией продукции, что определяет в такие периоды повышенную потребность в оборотных активах в форме запасов готовой продукции. Колебания в размерах потребности в отдельных видах оборотных активов могут вызываться и сезонными особенностями спроса на продукцию предприятия. Поэтому в процессе управления оборотными активами следует определять их сезонную (или иную циклическую) составляющую, которая представляет собой разницу между максимальной и минимальной потребностью в них на протяжении года.

5. Обеспечение необходимой ликвидности оборотных активов. Хотя все виды оборотных активов в той или иной степени являются ликвидными (кроме безнадежной дебиторской задолженности) общий уровень их срочной ликвидности должен обеспечивать необходимый уровень платежеспособности предприятия по текущим (особенно неотложным) финансовым обязательствам. В этих целях с учетом объема и графика предстоящего платежного оборота должна быть определена доля оборотных активов в форме денежных средств, высоко- и сред- неликвидных активов.

6. Обеспечение необходимой рентабельности оборотных активов. Как и любой вид активов оборотные активы должны генерировать определенную прибыль при их использовании в операционной деятельности предприятия. Вместе с тем, отдельные виды оборотных активов способны приносить предприятию прямой доход в процессе финансовой деятельности в форме процентов и дивидендов (краткосрочные финансовые инвестиции, являющиеся эквивалентами денежных средств). Поэтому составной частью управления оборотными активами является обеспечение своевременного использования временно свободного остатка денежных активов для формирования эффективного портфеля краткосрочных финансовых инвестиций, выступающих в форме их эквивалентов.

7. Выбор форм и источников финансирования оборотных активов. Этот этап управления оборотными активами обеспечивает выбор политики их финансирования на предприятии и оптимизацию структуры его источников.

В процессе управления оборотными активами на предприятии разрабатываются отдельные финансовые нормативы, которые используются для контроля эффективности их формирования и функционирования. Основными из таких нормативов являются:

- норматив собственных оборотных активов предприятия;

- система нормативов оборачиваемости основных видов оборотных активов и продолжительности операционного цикла в целом;

- система коэффициентов ликвидности оборотных активов. [6, с.185]

Цели и характер использования отдельных видов оборотных активов имеют существенные отличительные особенности. Поэтому на предприятиях с большим объемом используемых оборотных активов управление ими детализируется в разрезе основных их видов.

1.3 Состав внеоборотных активов и особенности управления ими


Сформированные на первоначальном этапе деятельности предприятия внеоборотные активы требуют постоянного управления ими. Это управление осуществляется в различных формах и разными функциональными подразделениями предприятия. Часть функций этого управления возлагается на финансовый менеджмент.

Разнообразие видов и элементов внеоборотных активов предприятия определяет необходимость их предварительной классификации в целях обеспечения целенаправленного управления ими. С позиций финансового менеджмента эта классификация строится по следующим основным признакам (Приложение 2).

1.По основным функциональным видам внеоборотные активы подразделяются следующим образом:

а)Основные средства. Они характеризуют совокупность материальных активов предприятия в форме средств труда, ожидаемый срок полезного использования которых превышает один год, которые многократно участвуют в операционном процессе и переносят на продукцию свою стоимость частями, финансовый учет выделяет следующие группы основных средств:

- земельные участки;

- капитальные расходы на улучшение земель;

- здания, сооружения и передающие устройства;

- машины и оборудование;

- транспортные средства;

- инструменты, приборы, инвентарь;

- прочие основные средства;

- прочие внеоборотные материальные активы, используемые в операционном процессе.

б)Нематериальные активы. Они характеризуют совокупность немонетарных активов, не имеющих материальной формы, срок использования которых в операционной деятельности предприятия превышает один год.

2.По характеру обслуживания отдельных направлений операционной деятельности выделяют:

а)Внеоборотные активы, обслуживающие процесс производства продукции. К ним относятся все виды основных средств и нематериальных активов предприятия, которые принимают непосредственное участие в производстве продукции.

б)Внеоборотные активы, обслуживающие процесс реализации продукции. К ним относятся все виды основных средств и нематериальных активов предприятия, которые обеспечивают продажу произведенной продукции.

в)Внеоборотные активы, обслуживающие процесс управления операционной деятельностью. К ним относятся все виды основных средств и нематериальных активов предприятия, обеспечивающих процесс управления этой деятельностью.

Классификация внеоборотных активов по этому признаку позволяет конкретизировать управление их формированием и использованием.

3.По характеру владения внеоборотные активы предприятия подразделяются на такие группы:

а) Собственные внеоборотные активы. К ним относятся долгосрочные активы предприятия, принадлежащие ему на правах собственности и владения, отражаемые в составе его баланса.

б) Арендуемые Внеоборотные активы. Они характеризуют группу активов, используемых предприятием на правах пользования в соответствии с договором аренды (лизинга), заключенным с их собственником.

4.По формам залогового обеспечения кредита и особенностям страхования выделяют следующие группы внеоборотных активов:

а)Движимые внеоборотные активы. Они характеризуют группу долгосрочных имущественных ценностей предприятия, которые в процессе залога (заклада) могут быть изъяты из его владения в целях обеспечения кредита (машины и оборудование, транспортные средства, долгосрочные фондовые инструменты и т.п.).

б)Недвижимые внеоборотные активы. К ним относится группа долгосрочных имущественных ценностей предприятия, которые не могут быть изъяты из его владения в процессе залога, обеспечивающего кредит (земельные участки, здания, сооружения, передаточные устройства и т.п.).

5.По характеру отражения износа внеоборотные активы подразделяются на следующие группы:

а)Амортизируемые внеоборотные активы. К ним относятся основные средства и часть нематериальных активов, по которым физический и функциональный (моральный) износ отражаются в учете по средством начисления амортизации.

б)Неамортизируемые внеоборотные активы. К ним относится остальная часть внеоборотных активов предприятия, уровень износа которых финансовым учетом не отражается.

В соответствии с этой классификацией дифференцируются формы и методы финансового управления внеоборотными активами предприятия в процессе осуществления различных финансовых операций. [6, с.233]

Особенности управления внеоборотными активами в значительной мере определяются спецификой цикла их стоимостного кругооборота.

Процесс управления внеоборотными активами осуществляется на предприятии по следующим основным этапам (рис. 1.3):

Рис. 1.3. Основные этапы управления внеоборотными активами предприятия

1. Анализ внеоборотных активов предприятия в предшествующем периоде. Этот анализ проводится в целях изучения динамики общего их объема и состава, степени их годности, интенсивности обновления и эффективности использования.

•На первой стадии анализа рассматривается динамика общего объема внеоборотных активов предприятия — темпы их роста в сопоставлении с темпами роста объема производства и реализации продукции, объема оборотных активов, общей суммы внеоборотных активов. В процессе этого анализа изучается изменение коэффициента участия внеоборотных активов в общей сумме активов предприятия. Расчет этого коэффициента осуществляется по формуле:

 (1.6)

где КУова — коэффициент участия внеоборотных активов в общей сумме операционных активов предприятия; ОВД — средняя стоимость внеоборотных активов предприятия в рассматриваемом периоде; Од — средняя сумма оборотных активов предприятия в рассматриваемом периоде.

•  На Второй стадии анализа изучается состав внеоборотных активов предприятия и динамика их структуры. В процессе этого изучения рассматривается соотношение основных средств и нематериальных активов, используемых в операционном процессе предприятия; в составе производственных основных средств анализируется удельный вес движимых и недвижимых их видов (которые в производственной деятельности характеризуют соответственно активную и пассивную их части); в составе нематериальных активов рассматриваются отдельные их виды.

•  На третьей стадии анализа оценивается состояние используемых предприятием внеоборотных активов по степени их изношенности (амортизации). В процессе такой оценки используются следующие основные показатели.

•  Коэффициент износа основных средств. Он рассчитывается по следующей формуле:

 (1.7)

где КИОС — коэффициент износа основных средств;

Иoc — сумма износа основных средств предприятия на определенную дату;

ПСОС — первоначальная стоимость основных средств на определенную дату.

• Коэффициент годности основных средств. Для его расчета используется следующая формула:

 (1.8)

где КГОС — коэффициент годности основных средств;

ОСОС — остаточная стоимость основных средств предприятия на определенную дату;

ПСОС — первоначальная стоимость основных средств предприятия на определенную дату.

• Коэффициент амортизации нематериальных активов. Его расчет производится по следующей формуле:

 (1.9)

где КАна — коэффициент амортизации нематериальных активов; Ана — сумма амортизации нематериальных активов предприятия на определенную дату;

ПСна — первоначальная стоимость нематериальных активов предприятия на определенную дату.

• Коэффициент годности нематериальных активов. Он определяется по следующей формуле:

 (1.10)

где КГна — коэффициент годности нематериальных активов;

ОСна — остаточная стоимость нематериальных активов предприятия на определенную дату;

ПСНа — первоначальная стоимость нематериальных активов предприятия на определенную дату.

• Сводный коэффициент годности внеоборотных активов, используемых предприятием. Он рассчитывается по следующей формуле:

 (1.11)

где КГова — сводный коэффициент годности внеоборотных активов используемых предприятием; ОВАОС — сумма всех используемых предприятием внеоборотных активов по остаточной стоимости на определенную дату;

ОВАПС — сумма всех используемых предприятием внеоборотных активов по первоначальной стоимости на определенную дату.

• На четвертой стадии анализа определяется период оборота используемых предприятием внеоборотных активов. Он рассчитывается по следующей формуле:

(1.12)

где П0ова — период оборота используемых предприятием внеоборотных активов, лет;

ОВАпс — среднегодовая сумма всех используемых предприятием внеоборотных активов по первоначальной стоимости;

Иова — среднегодовая сумма износа всех используемых предприятием внеоборотных активов.

•  На пятой стадии анализа изучается интенсивность обновления внеоборотных активов в предшествующем периоде. В процессе изучения используются следующие основные показатели.

•  Коэффициент Выбытия внеоборотных активов. Он характеризует долю выбывших операционных внеоборотных активов в общей их сумме и рассчитывается по формуле:

(1.13)

где КВова — коэффициент выбытия внеоборотных активов;

ОВАВ — стоимость выбывших внеоборотных активов в отчетном периоде;

ОВАН — стоимость внеоборотных активов на начало отчетного периода.

• Коэффициент ввода в действие новых внеоборотных активов. Он характеризует долю вновь введенных внеоборотных активов в общей их сумме и рассчитывается по формуле:

(1.14)

где КВДова — коэффициент ввода в действие новых внеоборотных активов;

ОВАВД — стоимость вновь введенных внеоборотных активов в отчетном периоде;

ОВАК — стоимость внеоборотных активов на конец отчетного периода.

•Скорость обновления внеоборотных активов. Она характеризует средний период времени полного обновления внеоборотных активов. Расчет этого показателя осуществляется по формуле:

(1.15)

где СОова — скорость обновления внеоборотных активов, лет;

КВДова — коэффициент ввода в действие внеоборотных активов в отчетном году (или в среднем за ряд последних лет).

Указанные показатели рассчитываются в процессе анализа не только по внеоборотным активам в целом, но и в разрезе их видов — основных средств и нематериальных активов.

•  На шестой стадии анализа оценивается уровень эффективности использования внеоборотных активов в отчетном периоде. В процессе такой оценки используются следующие основные показатели.

•  Коэффициент рентабельности внеоборотных активов.

•  Коэффициент производительности внеоборотных активов.

• Коэффициент производственной емкости внеоборотных активов. Он характеризует среднюю стоимость внеоборотных активов, приходящуюся на единицу объема реализации продукции (или объема ее производства). При расчете этого показателя используется следующая формула:

(1.16)

где КПЕова — коэффициент производственной емкости внеоборотных активов;

ОВД — средняя стоимость внеоборотных активов предприятия в отчетном периоде;

ОР — объем реализации продукции (или объем ее производства) в отчетном периоде.

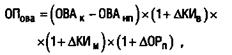
2. Оптимизация общего объема и состава внеоборотных активов предприятия. Такая оптимизация осуществляется с учетом вскрытых в процессе анализа возможных резервов повышения производственного использования внеоборотных активов в предстоящем периоде. К числу основных из таких резервов относятся: повышение производительного использования внеоборотных активов во времени (за счет прироста коэффициентов сменности и непрерывности их работы) и повышение производительного использования внеоборотных активов по мощности (за счет роста производительности отдельных их видов в пределах предусмотренной технической мощности). В процессе оптимизации общего объема внеоборотных активов из их состава исключаются те их виды, которые не участвуют в производственном процессе по различным причинам.

Принципиальная формула для определения необходимого общего объема внеоборотных активов предприятия в предстоящем периоде имеет следующий вид:


где ОПова — общая потребность предприятия во внеоборотных активах в предстоящем периоде;

ОВАК — стоимость используемых предприятием внеоборотных активов на конец отчетного периода;

ОВАНП — стоимость внеоборотных активов предприятия, не принимающих непосредственного участия в производственном процессе, на конец отчетного периода;

∆КИВ — планируемый прирост коэффициента использования внеоборотных активов во времени;

∆КИМ — планируемый прирост коэффициента использования внеоборотных активов по мощности;

∆ОРП — планируемый темп прироста объема реализации продукции, выраженный десятичной дробью.

По указанной принципиальной формуле может быть рассчитан также необходимый объем внеоборотных активов в разрезе отдельных их видов и элементов, что позволяет оптимизировать их стоимостной состав в рамках общей потребности.

3. Обеспечение правильного начисления амортизации внеоборотных активов. Объектами амортизации являются основные средства (кроме земли) и амортизируемые виды нематериальных активов. Начисление амортизации осуществляется в течение срока полезного использования соответствующего актива, устанавливаемого предприятием.

4.Обеспечение своевременного обновления внеоборотных активов предприятия. В этих целях на предприятии определяется необходимый уровень интенсивности обновления отдельных групп внеоборотных активов; рассчитывается общий объем активов, подлежащих обновлению в предстоящем периоде; устанавливаются основные формы и стоимость обновления различных групп активов.

6 Выбор форм и оптимизация структуры источников финансирования внеоборотных активов. Принципиально обновление и прирост внеоборотных активов могут финансироваться за счет собственного капитала, долгосрочного заемного капитала (долгосрочного банковского кредита, финансового лизинга и т.п.) и за счет смешанного их финансирования. [6, с.242]

А где отдельно направления повышения эффективности управления активами предприятия?

 


2. АНАЛИЗ СОСТОЯНИЯ АКТИВОВ И ОСОБЕННОСТЕЙ УПРАВЛЕНИЯ ИМИ В ООО «КРОН-НЕФТО»

 

2.1 Краткая экономическая характеристика ООО «Крон-Нефто»


Общество с ограниченной ответственностью (ООО) «Крон-Нефто» было создано в 2000 году. Юридический адрес: 301246, Тульская область, г.Щекино, ул. Пирогова, д.43.

Основным видом деятельности ООО «Крон-Нефто» является оптовая и розничная торговля:

- метизами (болты, гайки, шайбы, гвозди и т.д.);

- трубопроводной арматурой (задвижки, вентили, клапаны, отводы, фитинги и т.д.);

- трубами и фасонными частями (ЧК, ЧВ, ЧШГ, ПВХ, ПЭ и др.);

- резино - асбестотехническими изделиями и многим другим, т.е. более 6000 наименований.

Участники наделили общество уставным капиталом. Уставный капитал сформирован в размере 8400 рублей и разделен на 2 равные доли, в порядке и на условиях, установленных в учредительном договоре.

Деятельность предприятия регламентируется следующими нормативными документами:

- устав предприятия,

- гражданский кодекс[],

- федеральные законы[] перечислить какие именно и сделать на них ссылку.

Рассмотрим основные технико-экономические показатели деятельности ООО «Крон-Нефто» на основании данных бухгалтерского баланса и отчета о прибылях (Приложения 3, 4).

Таблица 2.1

Основные технико-экономические показатели деятельности ООО «Крон-Нефто» за 2008-2009 гг.

№ п/п

Показатели

годы

2009 г. в %

к 2008г.

2008

2009

1

Объем реализации продукции, тыс.руб.

19497

18047

92,56

2

Себестоимость продаж, тыс. руб.

15161

13393

88,34

3

Затраты на 1 руб. реализованной продукции, руб.

0,78

0,74

94,87

4

Прибыль от реализации продукции, тыс. руб.

1120

1165

104,02

5

Уровень рентабельности продаж, %

5,74

6,46

112,54

6

Среднесписочная численность персонала, чел.

17

16

94,12

7

Производительность труда одного работника, тыс.руб.

1146,88

1127,94

98,35

8

Среднегодовая заработная плата 1 работника, тыс.руб.

115

114

99,13


Из данных табл. 2.1, можно сделать следующие выводы: объем реализации продукции в 2009 году сократился по сравнению с 2008 г. в связи с увеличением конкуренции на рынке. Себестоимость продаж и прибыль предприятия также сократились в 2009 году по сравнению с 2008 То есть это имеет равные значения?. Однако, как положительный момент можно отметить снижение затрат на 1 руб. реализованной продукции с 0,78 руб. в 2008 году до 0,74 руб. в 2009 г., это связано с заключением договора с новым поставщиком. Уровень рентабельности продаж в 2009 году по сравнению с 2008 увеличился на 0,72%. Оценка

Численность персонала за анализируемый период практически не изменялась. Производительность труда сократилась в 2009 году.

Представим данные на рис. 2.1.

Рис. 2.1 Динамика выручки и себестоимости продукции ООО «Крон-Нефто» за 2008-2009 гг.

К чему данная диаграмма? Где пояснения? Что хотели показать этой диаграммой? Проведем анализ ликвидности баланса предприятия. Зачем?

В зависимости от степени ликвидности, т.е. скорости превращения в денежные средства, активы предприятия разделяются на следующие группы.

А1. Наиболее ликвидные активы – к ним относятся все статьи денежных средств предприятия и краткосрочные финансовые вложения (ценные бумаги). Данная группа рассчитывается следующим образом:

А1=стр.250 + стр.260(2.1)

А2. Быстро реализуемые активы – дебиторская задолженность, платежи по которой ожидаются в течение 12 месяцев после отчетной даты, прочие оборотные активы, готовая продукция.

А2=стр.240(2.2)

А3. Медленно реализуемые активы – статьи раздела II актива баланса, включающие запасы, НДС, дебиторскую задолженность (платежи по которой ожидаются более чем через 12 месяцев после отчетной даты) и прочие оборотные активы.

А3=стр.210+стр.220+стр.230+стр.270(2.3)

А4. Трудно реализуемые активы – статьи раздела I актива баланса – внеоборотные активы

А4=стр.190(2.4)

Приведем активы по степени ликвидности в таблице 2.2.

Таблица 2.2

Структура актива баланса ООО «Крон-Нефто» по степени ликвидности

Группа актива баланса по степени

ликвидности

Ед. изм.

2008 г.

2009г.

2009г. к 2008 г.

А1 – наиболее ликвидные активы

тыс.руб.

2080

240

11,54

А2 – быстрореализуемые активы

тыс.руб.

265

497

187,55

А3 – медленно реализуемые активы

тыс.руб.

4066

4739

116,55

А4 – труднореализуемые активы

тыс.руб.

313

1376

439,62


Из таблицы 2.2 видно, что наиболее ликвидные активы в конце 2009 года снизились по сравнению с 2008 г., это произошло из-за сокращения денежных средств у предприятия и краткосрочных финансовых вложений (часть денежных средств была направлена на приобретение основных средств), данное явление является негативным фактором. Остальные активы увеличились, наибольшее увеличение произошло у труднореализуемых активов почти в 6 раза, что является также негативным явлением.

Пассивы баланса группируются по степени срочности их оплаты. [15, с.105]

П1. Наиболее срочные обязательства – к ним относится кредиторская задолженность.

П1=стр.620(2.5)

П2. Краткосрочные пассивы – это краткосрочные заемные средства, и прочие краткосрочные пассивы.

П2=стр.610+стр.660(2.6)

П3. Долгосрочные пассивы – это статьи баланса, относящиеся к V и VI разделам, т. е. долгосрочные кредиты и заемные средства, а также доходы будущих периодов, фонды потребления, резервы предстоящих расходов и платежей.

П3=стр.590+стр.630+стр.640+стр.650+стр.660(2.7)

П4. Постоянные пассивы или устойчивые – это статьи IV раздела баланса.

П4=стр.490(2.8)

Приведем пассивы баланса ООО «Крон-Нефто» по степени погашения обязательств в таблице 2.3.

Таблица 2.3

Структура пассива баланса по степени погашения обязательств, руб.

Группа пассива баланса по степени погашения обязательств

Ед. изм.

2008 г.

2009г.

2009г. к 2008 г.

П1 – наиболее срочные обязательства

тыс.руб.

2276

1618

71,09

П2 – краткосрочные пассивы

тыс.руб.

0

0

-

П3- долгосрочные пассивы

тыс.руб.

1280

901

70,39

П4 – постоянные пассивы

тыс.руб.

3168

4333

136,77


Из данной таблицы видно, что наиболее срочные обязательства во всем анализируемом периоде снизились (сократилась задолженность поставщикам и подрядчикам, задолженность по налогам и сборам и задолженность прочим кредиторам), что является положительным фактором и говорит об эффективной работе предприятия. В конце 2009 года положительная тенденция темпов прироста наблюдается у постоянных пассивов (увеличивается нераспределенная прибыль предприятия), что является положительным фактором в деятельности предприятия. Долгосрочные пассивы сократились. Сравним данные показатели (таб. 2.4)

Таблица 2.4

Сравнение активов и обязательств по степени ликвидности

2008 г.

2009 г.

А1<П1

А1<П1

А2>П2

А2>П2

А3>П3

А3>П3

А4<П4

А4<П4


Проанализировав ликвидность предприятия можно сделать следующее заключение.

Баланс ООО «Крон-Нефто» в 2009 нельзя признать ликвидным, так как одно из соотношений групп активов и пассивов не отвечают условиям абсолютной ликвидности баланса – наиболее ликвидные активы меньше наиболее срочных обязательств.

В отчетный период увеличился платежный недостаток наиболее ликвидных активов. Ожидаемые поступления от дебиторов превысили величину краткосрочных кредитов. Величина запасов превысила долгосрочные обязательства. Однако, несмотря на имеющийся платежный излишек по этим группам, он по причине низкой ликвидности запасов вряд ли сможет быть направлен на покрытие недостатка средств для погашения наиболее срочных обязательств.

Сопоставление ликвидных средств и обязательств позволяет вычислить следующие показатели:

Коэффициент текущей ликвидности (общий коэффициент покрытия) – Кт.л. показывает достаточность оборотных средств у предприятия, которые могут быть использованы им для погашения своих краткосрочных обязательств, характеризует платежеспособность предприятия за период, равный средней продолжительности оборота оборотных средств.

Значение этого коэффициента должно находиться в соответствующем диапазоне. Принято, что оно должно находиться в диапазоне от 1 до 2. Естественно, существуют обстоятельства, при которых значение этого показателя может быть и больше. Нижний предел говорит о неплатежеспособности предприятия. Если коэффициент текущей ликвидности более 2-3 то, как правило, это говорит о нерациональной структуре средств предприятия.

ТЛ=ТА/КП (2.9)

где ТА – итого по разделу оборотные активы, стр.290;

КП – краткосрочные пассивы, стр.690.

ТЛ = 6411/2276 = 2,82 2008 г.

ТЛ =5476/1618 = 3,38 2009 г.

Коэффициент срочной ликвидности характеризует прогнозируемые платежные возможности предприятия при условии своевременного проведения расчетов с дебиторами. По международным стандартам уровень коэффициента срочной ликвидности должен быть выше единицы. В России же его оптимальное значение определено как 0,7 — 0,8. Как видно из расчетов, значение данного коэффициента очень высокое.

Проведем расчет срочной ликвидности баланса:

СЛ = (ДС+ДБ)/КП (2.10)

где ДС – денежные средства и их эквиваленты, стр.260;

ДБ – расчеты с дебиторами, стр.240 – стр.244;

КП – краткосрочные пассивы, стр.690.

СЛ = (889+265)/2276 = 0,51 в 2008 г.

СЛ = (240+497)/1618 = 0,46 в 2009 г.

Коэффициент абсолютной ликвидности показывает, какая часть текущей задолженности может быть погашена в ближайшее к моменту составления баланса время. Рассчитывается, как отношение наиболее ликвидных активов (денежных средств и краткосрочных ценных бумаг) к текущим пассивам:

АЛ = ДС /КП (2.11)

где ДС – денежные средства и их эквиваленты, стр.260;

КП – краткосрочные пассивы, стр.690.

Значение данного показателя не должно опускаться ниже 0,02.

АЛ = 889/2276 = 0,39 в 2008 г.

АЛ = 240/1618 = 0,15 в 2009 г.

Сведем полученные показатели в таблицу 2.4.

Таблица 2.4

Коэффициенты ликвидности предприятия ООО «Крон-Нефто»

Показатель

Ед.изм.

2008г.

2009г.

2009 г. к 2008 г., в%

Коэффициент текущей ликвидности

доли

2,82

3,38

119,86

Коэффициент срочной ликвидности

доли

0,51

0,46

90,20

Коэффициент абсолютной ликвидности

доли

0,39

0,15

38,46


Коэффициент абсолютной ликвидности в конце 2009 года составляет 0,15, что означает, что предприятие с помощью денежной наличности может рассчитаться по наиболее срочным обязательствам только на 15%.

Чем ниже коэффициент ликвидности, тем ниже кредитоспособность заемщика. Нормативное значение – больше или равен 0.2. Т.е. на начало года данное условие выполняется, а на конец года нет.

Коэффициент текущей ликвидности выше нормативного значения, что говорит о нерациональной структуре средств предприятия.

Коэффициент срочной ликвидности не удовлетворяет нормативному значению.

Коэффициент восстановления платежеспособности определяется как отношение расчетного коэффициента текущей ликвидности к его установленному значению. Расчетный коэффициент текущей ликвидности определяется как сумма фактического значения коэффициента текущей ликвидности на конец отчетного периода и изменения значения этого коэффициента между окончанием и началом отчетного периода в пересчете на период восстановления платежеспособности, установленный равным 6 месяцам. Формула коэффициента восстановления платежеспособности имеет вид:

,  (2.12)

 - значение коэффициента текущей ликвидности соответственно в конце и в начале отчетного периода;

 - нормативное значение коэффициента текущей ликвидности  = 2;

Т – анализируемый период (в мес.);

6 – период восстановления (в мес.).

Определим значения коэффициента восстановления платежеспособности:

Коэффициент восстановления платёжеспособности удовлетворяет нормативному значению, значит у предприятия есть возможность восстановить платежеспособность в течение 6 мес.

Коэффициент утраты платежеспособности определяется как отношение расчетного коэффициента текущей ликвидности к его установленному значению. Расчетный коэффициент текущей ликвидности определяется как сумма фактического значения коэффициента текущей ликвидности на конец отчетного периода и изменение значения этого коэффициента между окончанием и на-чалом отчетного периода в пересчете на период утраты платежеспособности, установленный равным 3 месяцам. Таким образом, формула коэффициента утраты платежеспособности имеет вид:

(2.13)

где 3 -период утраты платежеспособности, мес.;

Коэффициент утраты платежеспособности, принимающий значение больше 1, рассчитанный на период, равный 3 месяцам, свидетельствует о наличии реальной возможности у предприятия не утратить платежеспособность.

Рассмотрим далее состояние активов предприятия и особенности управления ими в ООО «Крон-Нефто».

Зачем приводите выделенный кусок? Где более подробно про предприятие, какое место занимает на рынке, организационная структура с описанием и схемой, характеристики данной организационно-правовой формы из ГК РФ?

2.2 Особенности состояния и управления оборотными активами в ООО «Крон-Нефто»


Рассмотрим состояние и динамику оборотных активов предприятия.

Таблица 2.4

Состояние и динамика оборотных активов ООО «Крон-Нефто»

Оборотные активы

2008

2009

Изменение, +/-

Темп роста

Запасы, в т.ч.

4066

4739

673

116,55

сырье, материалы и др.ан. ценности

34

75

41

220,59

готовая продукция и товары для перепродажи

3981

4656

675

116,96

расходы будущих периодов

51

6

-45

11,76

Дебиторская задолженности (платежи по кот. ожид. в течение 12 мес. после отчетной даты)

265

497

232

187,55

в том числе покупатели и заказчики

175

355

180

203,00

КФВ

1191

0

-1191

0,00 ???

Денежные средства

889

240

-649

27,00

Итого оборотных активов

6411

5479

-932

85,46



Как видно из табл.2.4 оборотные активы предприятия сократились на 932 тыс. руб., прежде всего это произошло из-за резкого сокращения краткосрочных финансовых вложений на 1191 тыс. руб., также уменьшились расходы будущих периодов на 45 тыс. руб. Негативным моментовм в деятельности ООО «Крон-Нефто» можно отметить значительное сокращение денежных средств на 649 тыс. руб. Наибольшее увеличение произошло по статье «готовая продукция и товары для перепродажи» на 675 тыс. руб., за счет этого увеличились и запасы предприятия на 673 тыс. руб. Также увеличилась краткосрочная дебиторская задолженность на 232 тыс. руб., в основном за счет увеличения расчетов с покупателями и заказчиками на 180 тыс. руб. Долгосрочной дебиторской задолженности предприятие не имеет. Оценку проводите не только по абсолютным показателям, но и по относительным, а здесь несколько иная картина

Представим структуру оборотных активов предприятия за 2008 и 2009 гг. на рис.2.2 и 2.3

Рис. 2.2 Структура оборотных активов предприятия в 2008 году

Рис. 2.3. Структура оборотных активов предприятия в 2009 году

Как видно из рис. 2.3 наибольший удельный вес в оборотных активах предприятия в 2009 году приходится на запасы 87%, на долю краткосрочной дебиторской задолженности приходится 9% всех оборотных активов и на денежные средства предприятия всего 4%.

Рассмотрим структуру запасов в ООО «Крон-Нефто» в 2009 году.

Рис. 2.4. Структура запасов ООО «Крон-Нефто» в 2009 году

Как видно из рис.2.4, 98% всех запасов предприятия представляют собой готовая продукция и товары для перепродажи. Вывод.

Проведем расчет оборачиваемости оборотных активов по формулам, представленным в табл.2.5

Таблица 2.5

Показатели эффективности использования оборотных активов предприятия

Наименование коэффициента

Расчетная формула

Расчет

Раскрытие смысла коэффициента

Коэффициент оборачиваемости оборотных (мобильных) средств

 

(оборотов)

 

Показывает скорость оборота всех оборотных средств организации (как материальных, так и денежных)

Оборачиваемость материальных средств (запасов)

(в днях)

Показывает, за сколько в среднем дней оборачиваются запасы в анализируемом периоде

Оборачиваемость денежных средств

(в днях)

 

Показывает срок оборота денежных средств

 

Коэффициент оборачиваемости средств в расчетах

(оборотов)

Показывает количество оборотов средств в дебиторской задолженности за отчетный период

 

Срок погашения дебиторской задолженности

(в днях)

Показывает, за сколько в среднем дней погашается дебиторская задолженность организации

 

Коэффициент оборачиваемости оборотных (мобильных) средств:

в 2008 году

в 2009 году

Оборачиваемость материальных средств (запасов):

в 2008 году

 дн.

в 2009 году

 дн.

Оборачиваемость денежных средств:

в 2008 году

 дн.

в 2009 году

 дн.

Коэффициент оборачиваемости средств в расчетах:

в 2008 году

в 2009 году

Срок погашения дебиторской задолженности:

в 2008 году

 дн.

в 2009 году

 дн.

Таблица 2.6

Проведем анализ рассчитанных коэффициентов

2008

2009

Изменение, +/-

Темп роста

 

Коэффициент оборачиваемости оборотных (мобильных) средств

3,054

3,036

-0,018

99,41

 

Оборачиваемость материальных средств (запасов)

71,57

89,04

17,47

124,41

 

Оборачиваемость денежных средств

19,69

11,42

-8,27

58,00

 

Коэффициент оборачиваемости средств в расчетах

67,35

47,37

-19,98

70,33

Срок погашения дебиторской задолженности

5,42

7,71

2,29

142,25

Представим полученные данные на рис.2.5

Рис. 2.5. Коэффициенты эффективности использования оборотных активов

Как показывают проведенные расчеты, коэффициент оборачиваемости оборотных средств сократился на 0,018, в основном это связано с уменьшением суммы оборотных активов, а также снижением выручки предприятия.

Оборачиваемость материальных запасов ООО «Крон-Нефто» увеличилась на 17,47 дней, это является отрицательным моментом в деятельности предприятия. Это произошло из-за значительного увеличения количества запасов предприятия.

Оборачиваемость денежных средств уменьшилась на 8,27 дней, однако это произошло из-за значительного уменьшения денежных средств у предприятия, поэтому значения данного коэффициента нельзя рассматривать с положительной точки зрения.

Коэффициент оборачиваемости средств в расчетах сократился на 19,98, что является положительным моментом, однако срок погашения дебиторской задолженности увеличился на 2,29 дней (из-за увеличения краткосрочной дебиторской задолженности).

Рассчитаем рентабельность оборотных активов:

RCA= Чистая прибыль/Оборотные средства * 100%(2.14)

в 2008 году

RCA=1120/6411 *100%= 17,47%

в 2009 году

RCA= 1165/5476 *100% = 21,27%

Рентабельность оборотных активов (RCA) - демонстрирует возможности предприятия в обеспечении достаточного объема прибыли по отношению к используемым оборотным средствам компании. Чем выше значение этого коэффициента, тем более эффективно используются оборотные средства.

Как видно из расчетов, в 2009 году значение рентабельности чистых активов увеличилось по сравнению с 2008 годом на 3,8%, однако, это в большей степени связано с сокращением количества оборотных активов.

Общий уровень управления оборотными активами на исследуемом предприятии можно охарактеризовать как недостаточный.

Основной недостаток данной главы – хаотичность изложения. Т.К. четкой методики в первой главе нет, то и здесь каша. Кроме того во второй главе теории быть вообще не должно – она в первой главе. Т.Е. необходимо привести в порядок сначала первую главу, а потом уже на ее основе править вторую. Также после расчетов должны быть выводы с оценкой данного явления, показателя. Это все касается главы в целом.

 

2.3 Управление внеоборотными активами в ООО «Крон-Нефто»


В качестве внеоборотных активов ООО «Крон-Нефто» имеет только основные средства.

Рассмотрим состав и структуру основных средств ООО «Крон-Нефто».

Таблица 2.7

Состав и структура основных средств ООО «Крон-Нефто»

Группы основных средств

2008 г.

2009 г.

Изменения +,-

Тысяч рублей

Удельный вес, %

Тысяч рублей

Удельный вес, %

Здания

-

-

756

54,9

+756

Сооружения

-

-

50

3,63

+50

Машины и оборудование

313

100

300

21,80

-13

Транспортные средства

-


270

19,62

+270

Итого:

313

100

1376

100

+1063


Как видно из табл.2.7, в 2008 году у исследуемого предприятия на балансе числились основные средства только «машины и оборудования» на сумму 313 тыс. руб. В 2009 году ООО «Крон-Нефто» увеличило вложения в основные средства на 1063 тыс. руб., в т.ч. построило здание магазина – 820 тыс. руб., склад 250 тыс. руб., купило транспортное средство (грузовую ГАЗель б/у) за 270 тыс.руб. Стоимость машин и оборудования уменьшилась на 13 тыс. руб. за счет начисленной амортизации.

Представим структуру основных средств предприятия за 2009 год на рис.2.6.

Рис. 2.6. Структура основных средств предприятия в 2009 году

Проведем расчет эффективности использования основных средств на предприятии (табл.2.8)

Таблица 2.8

Расчет эффективности использования основных средств в ООО «Крон-Нефто»

№ п/п


Показатели

Годы

2009г. в %

к 2008.

2008

2009

1

Объем реализации продукции, тыс.руб.

19497

18047

88,42

2

Стоимость основных производственных фондов, тыс.руб.

313

1376

655,24

3

Фондоотдача, руб.

62,29

13,12

13,49

4

Фондоемкость, руб.

0,02

0,08

741,03

5

Фондорентабельность, %

357,83

84,67

13,27


Для наглядности представим полученные результаты на рис. 2.7.

Рис. 2.7. Показатели эффективности использования основных средств в ООО «Крон-Нефто»

Как видно из табл. 2.8 и рис. 2.7 значения фондоотдачи и фондорентабельности значительно снизились, это произошло прежде всего за счет значительного увеличения стоимости основных средств предприятия.

Проведем расчет коэффициента участия внеоборотных активов в общей сумме активов предприятия (по ф-ле 1.6).

в 2008 году:

в 2009 году

Коэффициент износа основных средств.

в 2008 году:

в 2009 году

Коэффициент износа в 2009 году резко уменьшился благодаря вводу в эксплуатацию новых основных средств (здания, склада, автомобиля), по которым ранее амортизация не начислялась.

Коэффициент годности основных средств.

в 2008 году

в 2009 году

Коэффициент ввода в действие новых внеоборотных активов.

в 2008 году

в 2009 году

Как видно из расчетов, коэффициент ввода в действие новых внеоборотных активов очень высокий.

Проведем сравнение рассчитанных выше коэффициентов в динамике (табл. 2.9)

Таблица 2.9

Динамика рассчитанных коэффициентов

Наименование коэффициента

2008

2009

Изменение, +/-

Темп роста

Коэффициент участия внеоборотных активов в общей сумме активов

0,039

0,124

0,085

317,95

Коэффициент износа основных средств

0,242

0,085

-0,157

35,12

Коэффициент годности основных средств

0,758

0,915

0,157

120,71

Коэффициент ввода в действие новых внеоборотных активов

0,33

0,782

0,452

236,97


Для наглядности представим полученные результаты на рис. 2.8

Рис. 2.8. Динамика коэффициентов эффективности использования основных средств в ООО «Крон-Нефто»

Как видно из табл. 2.9 и рис. 2.8 все значения рассчитанных коэффициентов улучшили свои значение.

Проведем расчет рентабельности внеоборотных активов предприятия.

Рассчитывается по формуле:

NI/FА = Чистая прибыль/внеоборотные средства. (2.14)

в 2008 году

RFA = 1120/ 313 *100% = 357,8%

в 2009 году

RFA = 1165 / 1376*100% = 84,67

Рентабельность внеоборотных активов (RFA) - демонстрирует способность предприятия обеспечивать достаточный объем прибыли по отношению к основным средствам компании. Чем выше значение данного коэффициента, тем более эффективно используются основные средства.

Значение рентабельности внеоборотных активов ООО «Крон-Нефто» очень высокое, в 2008 году оно составило 357,8%, это объясняется небольшим количеством основных средств на предприятии. В 2009 году значение рентабельности снизилось до 84,67%, это объясняется вводом в действие значительного количества основных средств предприятия.

В целом, по результатам исследования можно сделать вывод, что управление внеоборотными активами в частности основными средствами в ООО «Крон-Нефто» осуществляется на достаточно высоком уровне, вводятся в эксплуатацию новые основные средства, т.к. предприятие расширяет свою деятельность.

В тоже время уровень управления оборотными активами на исследуемом предприятии находится на недостаточном уровне.

Несмотря на то, что рентабельность оборотных активов повысилась в 2009 году, в большей степени это произошло за счет снижения стоимости оборотных активов, в частности краткосрочных финансовых вложений. Одновременно с этим, значительно увеличилась стоимость запасов (т.е. происходит «затоваривание»), краткосрочной дебиторской задолженности и значительно сократились денежные средства предприятия, часть из них была направлена на приобретение основных средств.

Кроме того, рассчитанные коэффициенты ликвидности свидетельствуют о неэффективном управлении активами предприятия, следовательно, для повышения ликвидности и, соответственно, кредитоспособности ООО «Крон-Нефто» необходимо разработать ряд рекомендаций по эффективному управлению дебиторской задолженностью и денежными средствами.

 


3. ПРЕДЛОЖЕНИЯ ПО ПОВЫШЕНИЮ ЭФФЕКТИВНОСТИ УПРАВЛЕНИЯ АКТИВАМИ В ООО «КРОН-НЕФТО»

3.1 Предложения по эффективному управлению дебиторской задолженности в ООО «Крон-Нефто»


Рассмотрим предложения по эффективному управлению дебиторской задолженности, которая на предприятии ООО «Крон-Нефто» за 2009 год увеличилась почти в 2 раза. Вы должны сначала мероприятия предложить!

Обеспечение бесперебойного поступления средств за поставленную продукцию путем тщательного подбора клиентов предприятия, изучения их финансового состояния и платежеспособности.

Одним из слабых мест в управлении оборотными активами предприятия является дебиторская задолженность. Проведем анализ состояния дебиторской задолженности в ООО «Крон-Нефто».

Данные для анализа состава и движения дебиторской задолженности представлены в таблице 3.1.

Таблица 3.1

Состав и движение дебиторской задолженности (тыс.руб.)

Состав дебиторской задолженности

2008

2009

Изменение (+,-)

Покупатели и заказчики

178

355

177

Прочие дебиторы

87

142

55

Всего

265

497

232

Доля дебиторской задолженности в общем объеме оборотных активов, %

4,13

9,1

4,97


Для наглядности представим данные на рис. 3.1.

Рис. 3.1. Состав дебиторской задолженности

Анализ движения дебиторской задолженности по составу позволил установить, что ее увеличение в основном произошло из-за расчетов с покупателями и заказчиками за товары. Сумма неоплаченных счетов покупателями и заказчиками увеличилась на 177 тыс.руб. и составила 355 тыс.руб. на конец года. Обнаруженная тенденция ставит предприятие в зависимость от финансового состояния партнеров. Кроме того, произошло увеличение доли дебиторской задолженности в оборотных активах с 4,13% в 2008 году до 9,1% в 2009 году.

Далее проведем анализ качественного состояния дебиторской задолженности для выявления динамики абсолютного и относительного размера неоправданной задолженности.

Независимо от контролирующих мер со стороны предприятия с целью избежать продажи продукции неплатежеспособным покупателям в бухгалтерии ведется соответствующий журнал-ордер или ведомость учета расчетов с покупателями и заказчиками. На основании ведомости осуществляется ранжирование задолженности по срокам оплаты счетов, помогающее предприятию определить политику в области управления дебиторской задолженностью и расчетными операциями. Это должно быть во второй главе!

Одним из направлений управления дебиторской задолженностью является выработка политики коммерческого кредитования предприятия, т.е. предоставления отсрочки платежа. Коммерческий кредит предоставляется поставщиком покупателю в виде отсрочки платежа. Существуют три типа такой политики (таблица 3.2.)

Таблица 3.2.

Типы политики коммерческого кредитования предприятия

Тип политики

Цель

Направление деятельности

Возможные последствия

1. Консервативная или жесткая.

Риск – минимальный.

Платежеспо-собность и рентабельность на заданном уровне

1.Отсрочка платежа только надежным покупателям.

2. Жесткие условия отсрочки платежа: минимальный размер и сроки, высокая стоимость.

3.Жесткий контроль за дебиторской задолженностью, ее сроками, порядком взыскания.

2.

Положительные: стабильность объемов, финансового состояния и результатов до определенного момента

Отрицательные:

Потеря рынков, отставание от конкурентов, снижение платежеспособности, ликвидности и рентабельности через

2. Умеренный.

Риск – умеренный.

Надежность и стабильность финансовой деятельности

Традиционная финансовая политика

Стабильность финансового состояния в течение длительного времени

3. Агрессивная или мягкая. Риск – большой.

Расширение объема продаж, завоевание рынка

1. Максимальное расширение отсрочки платежа и предоставления скидки.

2. Льготные условия отсрочки платежа: увеличение срока, размера, снижение стоимости кредита, возможность пролонгирования

Положительные:

Рост объема реализации, завоевание рынков, создание потенциальных возможностей роста прибыли

Отрицательные:

Значительное отвлечение оборотных средств, снижение ликвидности и платежеспособности, увеличение затрат на взыскание долгов, снижение эффективности активов, увеличение длительности финансового и операционного циклов.


Учитывая рост дебиторской задолженности в течение 2009 года с 265 тыс. руб. до 497 тыс.руб. можно сделать вывод о том, что предприятие проводило 3 тип политики коммерческого кредитования (агрессивная или мягкая политика).

Учитывая факт, что согласно политике фирмы в области управления дебиторской задолженностью максимальная отсрочка, предоставляемая покупателям и заказчикам, составляет 30 дней, все счета к получению классифицируются по следующим группам:

- Срок оплаты не наступил (до 30 дней с момента отгрузки);

- Просрочка от 1 до 30 дней (до 1 месяца);

- Просрочка от 31 до 90 дней ( от 1 до 3 месяцев);

- Просрочка от 91 до 180 дней (от 3 до 6 месяцев);

- Просрочка от 181 до 360 дней (от 6 месяцев до 1 года);

- Просрочка от 360 дней и более (более 1 года). [20, с.98]

К оправданной относится задолженность, срок погашения которой не наступил или составляет менее одного месяца. К неоправданной относится просроченная задолженность покупателей и заказчиков. Чем длительнее срок просрочки, тем вероятнее неуплата по счету. Отвлечение средств в эту задолженность создает реальную угрозу неплатежеспособности предприятия и ослабляет ликвидность его баланса.

В таблице 3.3. представлен анализ состояния расчетов с дебиторами по срокам оплаты счетов покупателями.

Таблица 3.3.

Анализ состояния дебиторской задолженности

Статьи дебиторской задолженности

Остаток на начало года

Остаток на конец года

В том числе по срокам образования

Срок оплаты не наступил (до 30 дней с момента отгрузки)

Просрочка от 1 до 30 дней

Просрочка от 31 до 90 дней

Просрочка от 91 до 180 дней

Просрочка от 181 до 360 дней

Просрочка более 1 года

Дебиторская задолженность:

265

497

188,86

149,1

74,55

44,73

29,82

-

В % к итогу

100

100

38%

30%

15%

9%

6%

-

- просроченная

160,59

308,14

-

-

-

-

-

-

- в % к итогу

60,60 %

62,00 %

-

-

-

-

-

-

В том числе:

- не реальная ко взысканию

5,25

9,94

-

-

-

-

-

-

- в % к итогу

1,98 %

2,00 %

-

-

-

-

-

-


Для наглядности представим результаты на рис. 3.2

Рис. 3.2. Структура дебиторской задолженности

Приведенные данные показывают, что состояние расчетов с покупателями в отчетном году по сравнению с прошлым годом ухудшились: общая сумма просроченных счетов покупателями увеличилась на 147,55 тыс.руб., или на 1,4% в валюте баланса, причем сумма неоправданной (просроченной) задолженности возросла 0,02% в составе дебиторской задолженности. Анализ возрастной структуры дебиторской задолженности дает четкую картину состояния расчетов с покупателями и позволяет выявить просроченную задолженность. Кроме того, такой анализ позволяет оставить прогноз поступлений средств, выявить дебиторов, в отношении которых необходимы дополнительные усилия по возврату долгов, оценить эффективность управления дебиторской задолженностью.

В условиях инфляции всякая отсрочка платежа приводит к тому, что предприятие реально получает лишь часть стоимости проданной продукции. Поэтому возникает необходимость оценить возможность скидки при досрочной оплате. Техника анализа будет следующей.

Падение покупательной способности денег за период характеризуется коэффициентом Кi, обратным индексу цен. Если установленная договором сумма к получению составляет S, а динамика цен характеризуется индексом цен Iц, то реальная сумма денег с учетом их покупательной способности в момент оплаты составит S : Iц.

Допустим, что за период цены выросли на 5%, тогда Iц = 1,05. Соответственно выплата 1000 руб. в этот момент равнозначна уплате 952руб. (1000:1,05) в реальном измерении. Тогда реальная потеря выручки в связи с инфляцией составит 48руб. (1000 – 952). В пределах этой величины скидка с договорной цены, предоставляемая при условии досрочной оплаты, позволила бы снизить потери предприятия от обесценения денег.

Для анализируемого предприятия годовая выручка в 2009 году, по данным формы №2 (Приложение 4), составила 18047 тыс.руб. Известно, что на начало периода 63% выручки от продажи продукции (11369,6 тыс.руб.) было получено на условиях последующей оплаты (с образованием дебиторской задолженности). На конец года уже 82% выручки от продажи продукции (14798,5 тыс.руб.) было получено на условиях последующей оплаты (с образованием дебиторской задолженности).

Средний период погашения дебиторской задолженности на предприятии к концу отчетного периода составил 45 дней. Допустим, что ежемесячный темп инфляции равен 1,083%, тогда индекс цен Iц = 1,01083. Таким образом, в результате месячной отсрочки платежа предприятие получит реально лишь 98,93% (1 : 1,01083*100) договорной стоимости продукции. Для сложившегося на предприятии периода погашения дебиторской задолженности, равного примерно 1,5 месяцам, индекс цен составит в среднем 1,02.

Тогда коэффициент падения покупательной способности денег будет равен 0,98 (1:1,02). Иначе говоря, при среднем сроке возврата дебиторской задолженности, равном 1,5 месяца, предприятие реально получает лишь 98% стоимости договора, потеряв с каждой тысячи рублей ~2%, т.е. 19,60руб.

Можно сказать, что от годовой выручки за продукцию, продаваемую на условиях последующей оплаты, предприятие получило реально лишь 17686,1 тыс.руб. (18047*0,98). Следовательно, 360,9 тыс.руб. (18047 тыс.руб. – 17686,1 тыс.руб.) составляют скрытые потери от инфляции. В этой связи для предприятия было бы целесообразно установить некоторую скидку с договорной цены при условии досрочной оплаты по договору.

Варианты альтернативных способов расчетов с покупателями и заказчиками приведены в таблице 3.4.

Таблица 3.4

Анализ альтернативных способов расчетов с покупателями и заказчиками

Вариант I (срок оплаты 3 дня при условии 2%-ной скидки)

Вариант II (срок оплаты 45 дней), просроченные платежи – ср.срок оборачиваемости ДЗ на предприятии на конец периода

Отклонения (+,-)

1. Индекс цен (Iц)

1

1,02

+ 0,02

2. Коэффициент падения покупательной способности денег (Кi)

1

1 : 1,02 = 0,9804

- 0,0196

3. Потери от инфляции с каждой тысячи рублей договорной цены, руб.

-

1000 – (1000*0,9804) = 19,6

+ 19,6

4. Потери от уплаты процентов за пользование кредитами при ставке 17% годовых

(1000 * 3 * 17) / (365 * 100) = 1,40

(1000 * 45 * 17) / (365 * 100) = 20,96

+ 19,56

5. Потери от предоставления 2%-ной скидки с каждой тысячи рублей договорной цены, руб.

1000*0,03 = 30

-

- 30

6. Результат политики предоставления скидки с цены при сокращении срока оплаты (стр.3 + стр.4 + стр.5)

31,40

19,6 + 20,96 = 40,56

+ 9,16

Таким образом, предоставление 2%-ной скидки с договорной цены при условии уменьшения срока оплаты позволяет предприятию сократить потери от инфляции, а также расходы, связанные с привлечением финансовых ресурсов, в размере 9,16 руб. с каждой тысячи рублей, что при объеме продаж в кредит 318 тыс.руб. составило бы (318 * 9,16) 29,1 тыс.руб. на конец отчетного периода.

Итак, результатом предложенных мероприятий по альтернативному способу расчета с покупателями и заказчиками стала реальная экономия (высвобождение) денежных средств в размере 29,1 тыс.руб. при сохранении прежнего объема продаж и предоставлении 2%-ной скидки.

Использование системы скидок за ускорение расчетов дает возможность организации сократить расходы по контролю и взысканию дебиторской задолженности и, кроме того, получить информацию о платежеспособности и финансовой устойчивости покупателя. Вероятно, что отказ от выгодной сделки свидетельствует о наличии у него финансовых затруднений.

Другим способом воздействия на ускорение расчетов с покупателями является введение в расчет штрафных санкций за задержку платежа. Несмотря на то, что внешне механизм санкций равноценен скидкам, в большинстве случаев он менее выгоден продавцу и покупателю. Это связано с системой налогообложения организаций. Так, штрафы, полученные от контрагентов, входят в состав прочих доходов организации и, следовательно, увеличивают налогооблагаемую базу по налогу на прибыль. Кроме того, согласно требованиям Налогового кодекса РФ (часть вторая) сумма полученных штрафов в полном объеме является базой по расчету налога на добавленную стоимость.

А оценка мероприятия где? Что произойдет с балансом?

3.2 Предложения по оптимизации управления денежными средствами предприятия ООО «Крон-Нефто»


Как показал проведенный анализ, одним из слабых мест в управлении активами предприятия является неэффективное управление денежными средствами в ООО «Крон-Нефто».

Рассмотрим предложения по повышению эффективности управления денежными средствами на исследуемом предприятии, а для этого проведем анализ движения денежных средств на исследуемом предприятии.

Таблица 3.5

Динамика денежных потоков ООО «Крон-Нефто», тыс.руб.

показатель

Отчетный год

1

2

3

4

5

6

7

8

9

10

11

12

ПДП

431

321

531

324

147

457

112

684

712

825

745

1081

ОДП

512

317

614

365

132

514

134

638

324

541

674

841

1

2

3

4

5

6

7

8

9

10

11

12

13

ЧДП

-81

4

-83

-41

15

-57

-22

46

388

284

71

240


Динамику денежных потоков ООО «Крон-Нефто» можно представить графически (рис. 3.3.).

Рис. 3.3. Динамика денежных потоков ООО «Крон-Нефто»

Согласно рис. 3.3 положительный денежный поток предприятия не имеет четко выраженной тенденции. Наибольшие поступления денежных средств наблюдались с августа по декабрь. График отрицательного денежного потока также не имеет четко выраженной тенденции. В январе, марте и июне наблюдалось превышение оттока денежных средств над притоком, в декабре отрицательный денежный поток имел свое максимальное значение за весь год.

В процессе исследования синхронности формирования различных видов денежных потоков рассчитывается динамика коэффициента ликвидности денежного потока предприятия в разрезе отдельных интервалов рассматриваемого периода. Зачем?

Расчет этого показателя осуществляется по следующей формуле:

КЛдп = ПДП/ОДП,(3.1)

где КЛдп- коэффициент ликвидности денежного потока предприятия в рассматриваемом периоде;

ПДП – сумма валового положительного денежного потока(поступления денежных средств);

ОДП – сумма валового отрицательного денежного потока(расходования денежных средств).

Таблица 3.6

Динамика коэффициента ликвидности денежного потока ООО «Крон-Нефто» по месяцам

Месяц

ПДП

ОДП

Значение коэффициента

1

2

3

4

Январь

431

512

0,84

Февраль

321

317

1,01

Март

531

614

0,86

Апрель

324

365

0,89

Май

147

132

1,11

Июнь

457

514

0,89

Июль

112

134

0,84

Август

684

638

1,07

Сентябрь

712

324

2,19

Октябрь

825

541

1,52

Ноябрь

745

674

1,10

Декабрь

1081

841

1,29


Для наглядности, представим результаты графически (рис. 3.4)

Рис. 3.4. Динамика коэффициента ликвидности денежного потока

Для обеспечения необходимой ликвидности денежного потока этот коэффициент должен иметь значение не ниже единицы. Как видно из таблицы 3.6 и рис. 3.4, значение коэффициента ликвидности денежного потока выше единицы только за семь месяцев. Превышение единицы способствует росту остатков денежных активов на конец периода и наоборот, значение ниже единицы способствует уменьшению остатков денежных активов на конец периода.

Далее определим эффективность денежных потоков предприятия. Обобщающим показателем такой оценки выступает коэффициент эффективности денежного потока предприятия, который рассчитывается по формуле:

КЭдп = ЧДП/ОДП(3.2)

Расчет данного коэффициента в течение года представим в таблице 3.7.

Таблица 3.7

Динамика коэффициента эффективности денежного потока ООО «Крон-Нефто» по месяцам

Месяц

ЧДП

ОДП

Значение коэффициента

Январь

-81

512

-0,16

Февраль

4

317

0,01

Март

-83

614

-0,14

Апрель

-41

365

-0,11

Май

15

132

0,11

Июнь

-57

514

-0,11

Июль

-22

134

-0,16

Август

46

638

0,07

Сентябрь

388

324

1,19

Октябрь

284

541

0,52

Ноябрь

71

674

0,10

Декабрь

240

841

0,18

Для наглядности представим полученные результаты на рис. 3.5

Рис. 3.5. Динамика коэффициента эффективности денежного потока ООО «Крон-Нефто» в течение года

Как видно из полученных расчетов, коэффициент эффективности ООО «Крон-Нефто» пять месяцев в году имеет отрицательное значение, что говорит о неэффективном управлении денежными потоками предприятия.

Результаты проведенного анализа используются для выявления резервов оптимизации денежных потоков предприятия и их планирования на предстоящий период.

Таким образом, из-за нестабильности в движении денежного потока на предприятии и неэффективности управления им в ООО «Крон-Нефто» можно предложить разрабатывать бюджет движения денежных средств на год.

Цель формирования бюджета движения денежных средств - планирование, контроль исполнения плановых показателей и анализ данных о движении денег и их эквивалентов за период. Механизм формирования информации динамичен - он предусматривает возможность корректировки данных в процессе исполнения бюджета и анализа "плановые величины - фактические данные".

Бюджет движения денежных средств - эффективный инструмент планирования и контроля за денежными потоками, который дает руководству организации представление:

- за счет какой деятельности организация получает денежные средства и способна ли она стабильно получать денежные средства от текущей деятельности;

- насколько организация зависит от заемных источников финансирования;

- когда возникают кассовые разрывы и за счет чего они могут быть покрыты, когда и на каких условиях могут быть получены кредиты и займы;

- получает ли организация достаточно ресурсов для дальнейшего роста;

- о причинах расхождений финансовых результатов (зафиксированных в отчете о прибылях и убытках) и изменениях объемов денежных средств (зафиксированных в отчете о движении денежных средств). [28, с.188]

Ниже приведен пример плана движения денежных средств на 4 месяца с расчетом ежемесячных показателей.

В верхней части таблицы отражены данные о планируемых денежных поступлениях, а в нижней — о платежах. Разница между поступлениями и платежами представляет собой баланс денежных средств (cash-balance).

Баланс денежных средств на начало периода — это денежные средства, имеющиеся в распоряжении предприятия в начале каждого месяца. Баланс денежных средств на конец периода — это денежные средства, имеющиеся у предприятия в конце каждого месяца.

Рассмотрим в качестве примера покупку основных фондов на сумму 350 тыс. рублей в третьем месяце. Если бы ООО «Крон-Нефто» совершило эту покупку в первом или втором месяце, то баланс его денежных средств в конце соответствующего месяца имел бы отрицательное значение.

Это, в свою очередь, повлекло бы за собой необходимость привлечения дополнительных денежных средств или штрафные санкции, например, со стороны банка в случае несвоевременной выплаты процентов по кредиту.

Именно анализ движения денежных средств позволит выбрать оптимальное время для осуществления основных закупок и разработать стратегию развития бизнеса, включая стратегию его финансирования.

Хорошо подготовленный прогноз движения денежных средств поможет руководству предприятия лучше понять все источники поступлений и направления расходования денег, определить сроки возможного изъятия денег из бизнеса, необходимость сокращения расходов, а также способ экономии денежных средств.

Только составив план, а затем анализируя отчет о движении денежных средств, можно вести хозяйственную деятельность предприятия.

 

Таблица 3.8

Прогноз движения денежных средств в ООО «Крон-Нефто»

Месяц 1

Месяц 2

Месяц 3

Месяц 4

Поступления: от продаж по факту от продаж в кредит

 312 270

 125 395

 225 398

 259 334

Платежи:

Закупка сырья, материалов и товаров с оплатой по факту

129

132

140

125

Закупка сырья, материалов и товаров в кредит

236

229

241

238

Выплата процентов по кредиту

9

9

9

9

Оплата коммунальных услуг

25

Выплата заработной платы

64

64

64

64

Страховые платежи

10

Транспортные расходы

4

5

5

5

Прочие расходы

10

12

11

10

Покупка дополнительных основных фондов

350

Прочие платежи банку

10

Налоговые платежи

60

60

Итого платежей

532

451

845

511

Баланс денежных средств на текущий период

50

69

-222

82

Баланс денежных средств на начало периода

+240

+290

+359

+137

Баланс денежных средств на конец периода

+290

+359

+137

+219

 

Составленный баланс ООО «Крон-Нефто» поможет учесть время фактического поступления и расходования денежных средств. Используя план движения денежных средств, можно выявить периоды времени, когда для обеспечения нормальной деятельности предприятия потребуется краткосрочное кредитование в какой-либо форме.

План движения денежных средств необходим любому предприятию, ориентированному на долгосрочную перспективу. Прогноз движения денежных средств содержит информацию, необходимую для планирования будущей коммерческой деятельности, изложенную в понятной и доступной форме.

Как и любой прогноз, план движения денежных средств не может учесть всего, но тщательное планирование позволяет существенно снизить степень коммерческого риска, приняв соответствующие меры, призванные снять остроту возникающих проблем.

Как было выявлено в ходе анализа движения денежных средств ООО «Крон-Нефто» в течение года наблюдается отрицательный денежный поток, что является первым симптомом финансового неблагополучия предприятия, т.к. одним из основных критериев правильности управленческих решений, принимаемых в финансовой сфере, является положительность совокупного потока денежных средств в любой момент времени.

Дефицит денежных средств может вызываться как внешними, так и внутренними причинами. К числу последних можно отнести падение объемов продаж продукции как следствие потери крупных потребителей, недостатков в управлении ассортиментом продукции и т. д., а также изъяны в системе управления финансами (слабое финансовое планирование, отсутствие управленческого учета, потеря контроля над затратами и т. п.).

К внешним причинам, наиболее часто вызывающим возникновение дефицита денежных средств, можно отнести: повышение конкуренции со стороны других товаропроизводителей, использование неденежных форм расчетов (бартера), рост цен на энергоносители, изменение котировок валют, давление налогового законодательства, высокая стоимость заемных средств, высокий уровень инфляции и т. д.[30, с.159]

Основные возможные направления деятельности ООО «Крон-Нефто» по ликвидации дефицита денежных средств представлены в таблице 3.9.

Таблица 3.9

Основные направления деятельности по ликвидации дефицита денежных средств ООО «Крон-Нефто»

Меры

Направления деятельности

Уменьшение оттока денежных средств

1

2

3

Краткосрочные

1. Продажа или сдача в аренду внеоборотных активов.

1. Сокращение всех видов затрат.

2. Рационализация ассортимента продукции.

2. Отсрочка платежей по обязательствам.

3. Реструктуризация дебиторской задолженности, управление ею.

3. Использование скидок, предоставляемых поставщиками.

4. Использование адекватных финансовых инструментов.

4. Пересмотр инвестиционных программ.


5. Использование механизма частичной или полной предоплаты за отпускаемую продукцию.

5. Налоговое планирование.

6. Использование внешних источников краткосрочного финансирования.

6. Переход к вексельным расчетам и взаимозачетам.

7. Разработка системы скидок для покупателей.

Долгосрочные

1. Дополнительная эмиссия акций или эмиссия облигаций.

1. Заключение долгосрочных контрактов с поставщиками сырья, материалов и комплектующих, предусматривающих скидки, отсрочки платежей и другие льготы.

2. Поиск стратегических партнеров и инвесторов.

2. Налоговое планирование.

3. Реструктуризация компании.


Выше были рассмотрены основные предложения по совершенствованию движения денежных средств в ООО «Крон-Нефто».

 


ЗАКЛЮЧЕНИЕ

Управление активами предприятия представляет собой систему принципов и методов разработки и реализации управленческих решений, связанных с формированием, эффективным использованием активов и организацией их оборота в соответствии с главной целью функционирования (миссии) предприятия.

Управление оборотными активами составляет наиболее обширную часть операций финансового менеджмента. Это связано с большим количеством элементов их внутреннего материально-вещественного и финансового состава, требующих индивидуализации управления; высокой динамикой трансформации их видов; приоритетной ролью в обеспечении платежеспособности, рентабельности и других целевых результатов операционной деятельности предприятия.

Сформированные на первоначальном этапе деятельности предприятия внеоборотные активы требуют постоянного управления ими. Это управление осуществляется в различных формах и разными функциональными подразделениями предприятия. Часть функций этого управления возлагается на финансовый менеджмент.

В работе было исследовано управление активами на примере ООО «Крон-Нефто».

Основным видом деятельности ООО «Крон-Нефто» является оптовая и розничная торговля:

- метизами (болты, гайки, шайбы, гвозди и т.д.);

- трубопроводной арматурой (задвижки, вентили, клапаны, отводы, фитинги и т.д.);

- трубами и фасонными частями (ЧК, ЧВ, ЧШГ, ПВХ, ПЭ и др.);

- резино, - асбестотехническими изделиями и многим другим, т.е. более 6000 наименований.

Был проведен анализ ликвидности баланса, который выявил, что предприятие с помощью денежной наличности может рассчитаться по наиболее срочным обязательствам только на 15%.

Коэффициент текущей ликвидности выше нормативного значения, что говорит о нерациональной структуре средств предприятия.

Коэффициент срочной ликвидности не удовлетворяет нормативному значению.

Было исследовано управление и эффективность использования оборотных и внеоборотных активов на предприятии. Оборотные активы предприятия сократились на 932 тыс. руб., прежде всего это произошло из-за резкого сокращения краткосрочных финансовых вложений на 1191 тыс. руб., также уменьшились расходы будущих периодов на 45 тыс. руб. Негативным моментов в деятельности ООО «Крон-Нефто» можно отметить значительное сокращение денежных средств на 649 тыс. руб. Наибольшее увеличение произошло по статье «готовая продукция и товары для перепродажи» на 675 тыс. руб., за счет этого увеличились и запасы предприятия на 673 тыс. руб. Также увеличилась краткосрочная дебиторская задолженность на 232 тыс. руб., в основном за счет увеличения расчетов с покупателями и заказчиками на 180 тыс. руб. Долгосрочной дебиторской задолженности предприятие не имеет.

В 2008 году у исследуемого предприятия на балансе числились основные средства только «машины и оборудования» на сумму 313 тыс. руб. В 2009 году ООО «Крон-Нефто» увеличило вложения в основные средства на 1063 тыс. руб., в т.ч. построило здание магазина – 820 тыс. руб., склад 250 тыс. руб., купило транспортное средство (грузовую ГАЗель б/у) за 270 тыс.руб. Стоимость машин и оборудования уменьшилась на 13 тыс. руб. за счет начисленной амортизации.

Значения фондоотдачи и фондорентабельности значительно снизились, это произошло прежде всего за счет значительного увеличения стоимости основных средств предприятия.

Значение рентабельности внеоборотных активов ООО «Крон-Нефто» очень высокое, в 2008 году оно составило 357,8%, это объясняется небольшим количеством основных средств на предприятии. В 2009 году значение рентабельности снизилось до 84,67%, это объясняется вводом в действие значительного количества основных средств предприятия.

В целом, по результатам исследования можно сделать вывод, что управление внеоборотными активами в частности основными средствами в ООО «Крон-Нефто» осуществляется на достаточно высоком уровне, вводятся в эксплуатацию новые основные средства, т.к. предприятие расширяет свою деятельность.

В тоже время уровень управления оборотными активами на исследуемом предприятии находится на недостаточном уровне.

Несмотря на то, что рентабельность оборотных активов повысилась в 2009 году, в большей степени это произошло за счет снижения стоимости оборотных активов, в частности краткосрочных финансовых вложений. Одновременно с этим, значительно увеличилась стоимость запасов (т.е. происходит «затоваривание»), краткосрочной дебиторской задолженности и значительно сократились денежные средства предприятия, часть из них была направлена на приобретение основных средств.

В качестве рекомендаций по улучшению управления оборотными активами были предложены рекомендации по совершенствованию управления дебиторской задолженности и денежными средствами предприятия.

Приведенные данные показывают, что состояние расчетов с покупателями в отчетном году по сравнению с прошлым годом ухудшились: общая сумма просроченных счетов покупателями увеличилась на 147,55 тыс.руб., или на 1,4% в валюте баланса, причем сумма неоправданной (просроченной). Результатом предложенных в работе мероприятий по альтернативному способу расчета с покупателями и заказчиками стала реальная экономия (высвобождение) денежных средств в размере 29,1 тыс.руб. при сохранении прежнего объема продаж и предоставлении 2%-ной скидки.

Как показал проведенный анализ, одним из слабых мест в управлении активами предприятия является неэффективное управление денежными средствами в ООО «Крон-Нефто». Из-за нестабильности в движении денежного потока на предприятии и неэффективности управления им в ООО «Крон-Нефто» можно предложить разрабатывать бюджет движения денежных средств на год.

Составленный баланс ООО «Крон-Нефто» поможет учесть время фактического поступления и расходования денежных средств. Используя план движения денежных средств, можно выявить периоды времени, когда для обеспечения нормальной деятельности предприятия потребуется краткосрочное кредитование в какой-либо форме.

Предложенные в данной работе мероприятия, позволят повысить эффективность управления активами в ООО «Крон-Нефто».

СПИСОК ЛИТЕРАТУРЫ


1. Гражданский кодекс РФ (часть вторая) от 26.01.1996 №14-ФЗ (ред. от 17.07.2009)

2. Трудовой кодекс Российской Федерации от 30 декабря 2001 г. № 197-ФЗ

3. Виханский О.С. Менеджмент: Учебник.- 3-е изд. - М.: Экономист 2006. –с.447

4. Басовский Л.Е. Финансовый менеджмент / Л.Е. Басовский. – М.:Инфра-М, 2008. – 240 с.

5. Бочаров В.В. Финансовый менджмент / В.В. Бочаров. – СПб.: Питер, 2007. – 350 с.

6. Бланк И.А. Финансовый менеджмент: учебный курс / И.А. Бланк. – К.: Эльга, 2004. – 656 с.

7. Годунов А. А. Методика оценки деловых качеств руководителей и специалистов / А. А. Годунов, П. С.Ельшин. – СПб.: Питер, 2001. – 210 с.

8. Головин Н.И. Управленческая деятельность на производстве. -Кишинев: Карта Модоветяскэ, 2007. – 112 с.

9. Горелов Н.А. Экономика трудовых ресурсов: учебное пособие / Н.А. Горелов. – М.: Высшая школа, 2004. – 416 с.

10. Градов А.П. Стратегия и тактика антикризисного управления фирмой/ А.П.Градов, Б.И. Кузин – СПб: Специальная литература, 2006. – 510 с.

11. Грачев А.В. Финансовая устойчивость предприятия: анализ, оценка и управление: учебно-практич. пособие. / А.В.Грачев. - М.: Дело и сервис, 2008. – 192 с.

12. Грибов В.Д. Экономика предприятий: учебник для вузов, практикум. – 3-е изд., перераб. и доп. / В.Д.Грибов, В.П.Грузинов – М.: Финансы и статистика, 2008. – 336 с.

13. Громова О.Н. Организация управленческого труда: учеб. пособие / О.Н. Громова, В.М. Мишин, В.М. Свистунова. – М.: ГАУ, 2007. – 356 с.

14. Драккер П. Управление, нацеленное на результаты /П. Драккер.– М.: Высшая школа, 2007. – 268 с.

15. Дыбаль С.В. Финансовый анализ: теория и практика: учеб. пособие. /С.В. Дыбаль – СПб.: Изд. дом «Бизнес-пресса», 2009. – 304 с.

16. Завьялов П.С. Маркетинг в схемах, рисунках, таблицах: учеб. пособие. / П.С. Завьялов.— М.: ИНФРА-М, 2009. – 214 с.

17. Ильин А.В. Организационно – экономические факторы конкурентоспособности предприятия / А.В. Ильин //Сб. научных статей докторантов, аспирантов и соискателей. Выпуск 5. – Чебоксары: Типография ИП Сорокина А.В., 2006. – С. 345-349.

18. Карпова Т.П. Основы управленческого учета (учебное пособие). /Т.П. Карпова– М.: ИНФРА-М, 2007. – 392 с.

19. Ковалев В.В. Введение в финансовый менеджмент /В.В. Ковалев. – М.: Эксмо, 2007. - 768 с.

20. Ковалев В.В. Финансовый анализ: методы и процедуры /В.В. Ковалев.– М.: Финансы и статистика, 2009. – 560 с.

21. Крылов Э.И. Анализ финансовых результатов, рентабельности и себестоимости продукции: учеб. пособие / Э.И. Крылов, В.М. Власова, И.В. Журавкова. – М.: Финансы и статистика, 2008. – 720 с.

22. Кувшинникова С.В. Финансовая отчетность и финансовый анализ на зарубежной фирме. Конспект лекций. / С.В.Кувшинникова. – М.: Ивако аналитик, 2008. – 58 с.

23. Любушин Н.П. Анализ финансово-экономической деятельности предприятия: учеб. пособие для вузов / Н.П.Любушин, В.Б.Лещева, В.Г. Дьякова ; под ред. Н.П. Любушина. – М.: ЮНИТИ, 2008. – 471 с.

24. Менеджмент организации. Учебное пособие для подготовки к итоговому междисциплинарному экзамену Под.общей ред. В.Е. Ланкина. Таганрог 2006г (#"#">Менеджмент. / М. П. Переверзев, Н. А. Шайденко, Л. Е. Басовский– М.: Инфра, 2008. – 356 с.

29. Пожидаева Т.А. Практикум по анализу финансовой отчетности: учеб. пособие. / Т.А.Пожидаева, Н.Ф.Щербакова, Л.С. Коробейникова. – М.: Финансы и статистика, 2009. – 264 с.

30. Райченко А.В. Менеджмент / А.В. Райченко, И.В. Хохлова.– М.: Инфра-М, 2007. – 368 с.

31. Санталайнен Т. Управление по результатам /Т. Санталайнен, Э. Воутилейнен, П. Порейне, И. X. Ниссинен. – М.: Прогресс Универс, 2006. – 312 с.

32. Стоянова Е.С. Финансовый менеджмент. Теория и практика. – М.: Перспектива, 2009. – 656 с.

33. Финансовый менеджмент: учебник для вузов/под ред.акад. Г.Б. Поляка. – 2-е изд., перераб.и доп. – М.: ЮНИТИ-ДАНА, 2004 – 527с. 491с.

34. Хотинская Г.И. Финансовый менеджмент / Г.И. Хотинская. – М.: Дело и сервис, 2006. – 246 с.

Приложение 1



Приложение 2


 

Похожие работы на - Анализ состояния активов и особенности управления ими в ООО "Крон-Нефто"

 

Не нашли материал для своей работы?
Поможем написать уникальную работу
Без плагиата!
Без нейросетей!