Финансовое состояние строительной фирмы ООО "Строители"

  • Вид работы:
    Отчет по практике
  • Предмет:
    Финансовый менеджмент, финансовая математика
  • Язык:
    Русский
    ,
    Формат файла:
    MS Word
    47,42 kb
  • Опубликовано:
    2010-02-24
Вы можете узнать стоимость помощи в написании студенческой работы.
Помощь в написании работы, которую точно примут!

Финансовое состояние строительной фирмы ООО "Строители"

Нижегородский Государственный Университет им. Лобачевского









ОТЧЁТ ПО ПРЕДДИПЛОМНОЙ ПРАКТИКЕ
















г. Нижний Новгород, 2009 г.

Содержание

Введение.

Глава 1. Теоретическая часть

1.2 Система показателей, характеризующих финансовое состояние предприятия

1.2.1 Показатели оценки имущественного положения

1.2.2 Оценка ликвидности и платёжеспособности

1.2.3 Оценка финансовой устойчивости

1.2.4 Оценка деловой активности

1.2.5 Оценка рентабельности

1.3 Факторный анализ финансового состояния предприятия

1.4. Основные документы, используемые для оценки финансовой деятельности предприятий

Глава 2. «Оценка финансового положения ООО «Строители» по данным бухгалтерского учета на 30 июня 2009г.»

2.1 Выводы

Заключение

Список используемой литературы

Введение

 

Преддипломную практику я проходила в строительной фирме ООО «Строители».

Строительство представляет собой отдельную самостоятельную отрасль экономики страны, которая предназначена для ввода в действие новых, а также реконструкции, расширения, ремонта и технического перевооружения действующих объектов производственного и непроизводственного назначения. Определяющая роль отрасли строительство заключается в создании условий для динамичного развития экономики страны.

Финансовое состояние – это комплексное понятие, которое характеризуется системой показателей, отражающих наличие, структуру и динамику имущества (активов) строительной организации, финансовую устойчивость, ликвидность и платёжеспособность. В условиях рынка значение финансового состояния превращается из формального момента в определяющий деятельность строительной организации. Рыночная экономика, при всем разнообразии ее моделей, известных мировой практике, характеризуется тем, что представляет собой социально ориентированное хозяйство, дополняемое государственным регулированием. Огромную роль как в самой структуре рыночных отношений, так и в механизме их регулирования со стороны государства играют финансы. Они - неотъемлемая часть рыночных отношений и одновременно важный инструмент реализации государственной политики. Поэтому сегодня как никогда важно хорошо знать природу финансов, глубоко разбираться в условиях их функционирования, видеть способы наиболее полного их использования в интересах эффективного развития общественного производства.

Глава I «Теоретическая часть»

 

Строительные организации представляют собой строительные предприятия, осуществляющие возведение, реконструкцию, капитальный ремонт зданий и сооружений, монтаж оборудования.

В Российской Федерации строительные организации имеют различные  организационно-правовые формы: тресты, комбинаты (объединения), строительные управления, строительно-монтажные управления, подвижные механизированные колонны. Строительные организации могут выступать в качестве генерального подрядчика или субподрядчика. Центральным органом управления капитальным строительством является Государственный комитет РФ по вопросам архитектуры и строительства (Госстрой РФ).

Финансы строительной организации представляют собой процесс движения денежных ресурсов между различными хозяйствующими субъектами по вопросам создания денежных фондов и получения выручки, которая обеспечивает финансирование всех фаз деятельности организации.

В современных экономических условиях деятельность каждого хозяйствующего субъекта является предметом внимания обширного круга участников рыночных отношений (организаций и лиц), заинтересованных в результатах его функционирования. На основании доступной им отчетно-учетной информации указанные лица стремятся оценить финансовое положение предприятия. Основным инструментом для этого служит финансовый анализ, основной целью которого является получение небольшого числа ключевых параметров, дающих объективную и точную картину финансового состояния предприятия, при помощи которого можно объективно оценить внутренние и внешние отношения анализируемого объекта: охарактеризовать его платежеспособность, эффективность и доходность деятельности, перспективы развития, а затем по его результатам принять обоснованные решения.

Анализ финансового состояния дает возможность оценить: имущественное состояние предприятия; степень предпринимательского риска, в частности возможность погашения обязательств перед третьими лицами; достаточность капитала для текущей деятельности и долгосрочных инвестиций; потребность в дополнительных источниках финансирования; способность к наращению капитала; рациональность привлечения заемных средств; обоснованность политики распределения и использования прибыли и т.д.

Финансовое состояние строительных организаций интересует как внешних потребителей результатов анализа (кредиторов, поставщиков, других реальных и потенциальных деловых партнёров), так и внутренних потребителей (собственников средств, акционеров). В зависимости от потребителей результатов анализа определяется его содержание. Внешние потребители располагают в основном данными баланса предприятия, внутренние – ставят более обширные задачи и используют всестороннюю информацию, позволяющую выявить влияние на финансовое состояние многих сторон и факторов производственно-хозяйственной деятельности.

Данные, содержащиеся в балансе предприятия, позволяют дать оценку объёма и динамики имущества, находящегося в распоряжении строительной организации, а также выделить в составе активов оборотные (мобильные) и внеоборотные (иммобилизованные) средства.

1.2 Система показателей, характеризующих финансовое состояние предприятия

 

Финансовая деятельность - это рабочий язык бизнеса, и практически невозможно анализировать операции или результаты работы предприятия иначе, чем через финансовые показатели. Стремясь решить конкретные вопросы и получить квалифицированную оценку финансового положения, руководители предприятий все чаще начинают прибегать к помощи финансового анализа, значение отвлеченных данных баланса или отчета о финансовых результатах весьма невелико, если их рассматривать в отрыве друг от друга. Поэтому для объективной оценки финансового положения необходимо перейти к определенным ценностным соотношениям основных факторов - финансовым показателям или коэффициентам.

Финансовые коэффициенты характеризуют пропорции между различными статьями отчетности. Достоинствами финансовых коэффициентов являются простота расчетов и элиминирования влияния инфляции.

Считается, что если уровень фактических финансовых коэффициентов хуже базы сравнения, то это указывает на наиболее болезненные места в деятельности предприятия, нуждающиеся в дополнительном анализе. Правда, дополнительный анализ может не подтвердить негативную оценку в силу специфичности конкретных условий и особенностей деловой политики предприятия. Финансовые коэффициенты не улавливают различий в методах бухгалтерского учёта, не отражают качества составляющих компонентов.     Наконец, они имеют статичный характер. Необходимо понимать ограничения, которые накладывают их использование, и относятся к ним как к инструменту анализа.

1.2.1 Показатели оценки имущественного положения

«Сумма хозяйственных средств, находящихся в распоряжении предприятий» – это показатель обобщенной стоимости оценки активов, числящихся на балансе предприятия.

«Доля активной части основных средств». Согласно нормативным документам под активной частью основных средств понимаются машины, оборудование и транспортные средства. Рост этого показателя оценивается положительно.

1.2.2 Оценка ликвидности и платёжеспособности

«Величина собственных оборотных средств» – характеризирует ту часть собственного капитала предприятия, которая является источником покрытия текущих активов. Величина собственных оборотных средств численно равна превышению текущих активов над текущими обязательствами.

«Манёвренность функционирующего капитала» – характеризирует ту часть собственных оборотных средств, которая находится в форме денежных средств. Для нормального функционирования предприятия этот показатель меняется в пределах от 0 до 1.

«Коэффициент текущей ликвидности» (общий) – даёт общую оценку ликвидности активов, показывая, сколько рублей текущих активов предприятия приходится на один рубль текущих обязательств, это рассматривается как успешно функционирующее.

«Коэффициент быстрой ликвидности» по смыслу аналогичен «коэффициенту покрытия», однако из расчёта исключены производственные запасы. В западной литературе он ориентировочно принимается ниже 1, но это условно.

«Коэффициент абсолютной ликвидности» (платёжеспособности) – показывает, какая часть краткосрочных заемных обязательств может быть погашена немедленно. В международной практике считается, что значение его должно быть больше или равным 0,2 – 0,25.

«Доля собственных оборотных средств в покрытии запасов» – характеризирует ту часть стоимости запасов, которая покрывается собственными оборотными средствами, рекомендуется нижняя граница 50%.

«Коэффициент покрытия запасов» – рассчитывается соотношением величин «нормальных» источников покрытия запасов, и суммы запасов. Если значение показателя < 1, то текущее финансовое состояние неустойчивое.

1.2.3 Оценка финансовой устойчивости

Одна из важнейших характеристик финансового состояния предприятия – стабильность его деятельности в свете долгосрочной перспективы.

«Коэффициент концентрации собственного капитала» – характеризирует долю владельцев предприятия в общей сумме средств, авансированных в его деятельность. Чем выше значение этого коэффициента, тем более финансово устойчиво предприятие.

«Коэффициент финансовой зависимости» – является обратным к коэффициенту концентрации собственного капитала. Рост этого показателя в динамике означает заемных средств.

«Коэффициент манёвренности собственного капитала» – показывает, какая часть собственного капитала используется для финансирования текущей деятельности, т. е. вложена в оборотные средства.

«Коэффициент структуры долгосрочных вложений» – коэффициент показывает, какая часть основных средств и прочих вне оборотных активов профинансирована внешними инвесторами.

«Коэффициент долгосрочного привлечения заёмных средств» – характеризирует структуру капитала. Чем выше показатель в динамике, тем сильнее предприятие зависит от внешних инвесторов.

«Коэффициент отношения собственных и привлечённых средств» – он даёт общую оценку финансовой устойчивости предприятия. Рост показателя свидетельствует об усилении зависимости от внешних инвесторов.

Нужно сказать, что единых нормативных критериев для рассмотренных показателей не существует. Они зависят от многих факторов: отраслевой принадлежности, принципов кредитования, сложившейся структуры источников средств и др.

Поэтому приемлемость значений этих показателей лучше составлять по группам родственных предприятий. Единственное правило, которое «работает»: владельцы предприятия (инвесторы и другие лица, сделавшие взносы в уставной капитал) предпочитают разумный рост в динамике заемных средств, а кредиторы отдают предпочтение предприятиям с высокой долей собственного капитала, с большей финансовой автономностью.

1.2.4 Оценка деловой активности

«Фондоотдача» – обобщающий показатель эффективности использования основных фондов.

«Производительность труда» – выработка продукции в стоимостном измерении на одного среднесписочного работника. Мера эффективности труда в процессе производства.

1.2.5 Оценка рентабельности

«Рентабельность продукции» – отношение прибыли от реализации продукции к сумме полученной выручки. Характеризует эффективность предпринимательской деятельности: сколько прибыли имеет предприятие с рубля продаж. Рассчитывается в целом по предприятию и отдельным видам продукции.

«Рентабельность основной деятельности» – отношение прибыли от продаж к сумме затрат  на производство и сбыт продукции. Показывает, сколько предприятие имеет прибыли с каждого рубля, затраченного на производство и реализацию продукции.

«Рентабельность совокупного капитала» – отношение чистой прибыли к среднегодовой стоимости всего инвестированного капитала.

«Рентабельность собственного капитала» – отношение чистой прибыли к среднегодовой стоимости собственного (акционерного) всего инвестированного капитала.

1.3 Факторный анализ финансового состояния предприятия

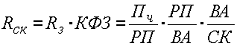
В основе приведенной системы действует следующая жестко детерминированная факторная зависимость:

,

где КФЗ - коэффициент финансовой зависимости, ВА - сумма активов предприятия, СК - собственный капитал.

1.4 Основные документы, используемые для оценки финансовой деятельности предприятий

Финансовая отчетность (ФО) - это совокупность форм отчетности, составленных на основе данных финансового учета с целью представления пользователем обобщенной информации о финансовом положении и деятельности предприятия, а также изменениях в его финансовом положении за отчетный период в установленной форме для принятия этими пользователями определенных деловых решений.

На основании данных ФО осуществляется поиск резервов дальнейшего развития и совершенствования деятельности предприятия, достижения стабильности фирмы на рынке.

Объем обязательной отчетности предприятия зависит от их размера.

Организация отчетности регламентируется государственными законами и положениями устава. План счетов бухгалтерской отчетности и структура статей расчета прибыли и убытков должны соответствовать европейским стандартам. В конце финансового  года проводятся необходимые проверки отчетности.

Ответственность за организацию, состояние и достоверность бухгалтерского учета, своевременное представление годового отчета, а также сведений, представляемых акционерами, кредиторами в СМИ несет исполнительный орган предприятия.

Основными источниками информации для анализа финансового состояния предприятия служат формы ФО: форма №1-баланс предприятия, форма №2-отчет о финансовых результатах, форма №3-отчет о финансово-имущественном состоянии предприятия, форма №4-отчет о движении денежных средств, и пояснительная записка, а если анализ проводят внутренние пользователи, то еще и данные текущего бухгалтерского учета.

Важнейшим документом ФО является баланс предприятия - форма №1. Главным его качеством является то, что он определяет состав и структуру имущества предприятия, ликвидность и оборачиваемость оборотных средств, наличие собственного капитала и обязательств, состояние и динамику дебиторской и кредиторской задолженности. Эти сведения баланса служат основой для принятия обоснованных управленческих решений, оценки эффективности будущих вложений капитала и размере финансового риска.

Данные в балансе отражаются по принципу баланса-нетто. Это дает возможность не включать в итог сальдо по счетам №02, №13, №42, №81. Некоторые счета, близкие по своему экономическому содержанию, группируются в отдельные статьи, которые отражаются в балансе. В самом балансе приводятся данные об остатках средств и источников на счетах бухгалтерского учета на начало года и на отчетную дату. Одним из основных принципов составления баланса является механизм контроля. Для его осуществления, т.е. контроля достоверности отдельных статей баланса, целесообразно использовать результаты инвентаризации расчетов с бюджетом, банками, различными дебиторами и кредиторами.

Глава 2. «Оценка финансового положения ООО «Строители» по данным бухгалтерского учета на 30 июня 2009г.»

Главная цель данной работы - исследовать финансовое состояние предприятия ООО "Строители", выявить основные проблемы финансовой деятельности.

Исходя из поставленных целей, можно сформировать задачи:

· предварительный обзор баланса и анализ его ликвидности;

· характеристика имущества предприятия: основных и оборотных средств и их оборачиваемости, выявление проблем;

· характеристика источников средств предприятия: собственных и заемных;

· оценка финансовой устойчивости;

· расчет коэффициентов ликвидности;

· анализ прибыли и рентабельности;

Результаты финансового анализа позволяют выявить уязвимые места, требующие особого внимания. Нередко оказывается достаточным обнаружить эти места, чтобы разработать мероприятия по их ликвидации.

Финансовое положение предприятия можно оценивать с точки зрения краткосрочной и долгосрочной перспектив. В первом случае критерии оценки финансового положения — ликвидность и платежеспособность предприятия, т.е. способность своевременно и в полном объеме произвести расчеты по краткосрочным обязательствам.

Под ликвидностью какого-либо актива понимают способность его преаращаться в денежные средства, а степень ликвидности определяется продолжительностью временного периода, в течение которого эта трансформация может быть осуществлена. Чем короче период, тем выше ликвидность данного вида активов.

Говоря о ликвидности предприятия, имеют в виду наличие у него оборотных средств в размере, теоретически достаточном для погашения краткосрочных обязательств хотя бы и с нарушением сроков погашения, предусмотренных контрактами.

Платежеспособность означает наличие у предприятия денежных средств и их эквивалентов, достаточных для расчетов по кредиторской задолженности, требующей немедленного погашения. Таким образом, основными признаками платежеспособности являются: а) наличие в достаточном объеме средств на расчетном счете; б) отсутствие просроченной кредиторской задолженности.

Очевидно, что ликвидность и платежеспособность нетождественны друг другу. Так, коэффициенты ликвидности могут характеризовать финансовое положение как удовлетворительное, однако по существу эта оценка может быть ошибочной, если в текущих активах значительный удельный вес приходится на неликвиды и просроченную дебиторскую задолженность.

Рассчитаем основные показатели, позволяющие оценить ликвидность и платежеспособность предприятия.

Таблица 1

Наименование показателя

Формула расчета

Информационное обеспечение

На начало года

На конец года

Отчетная форма

Номера строк (с.), граф (г.)

1

2

3

4

5

6

1. Оценка имущественного положения

1.1. Сумма хозяйственных средств, находящихся в распоряжении организации

итог баланса-нетто

1

с.300

6383

6093

1.2. Доля основных средств в активах

стоимость основных средств

1

с. 120

2103/6383=0,33

1885/6093=0,31

итог баланса-нетто

с.300

2. Оценка ликвидности

2.1. Величина собственных оборотных средств (функционирующий капитал)

собственный капитал + долгосрочные обязательства — внеоборотные активы

1

с.490+c.590-с.190–с.230

(-35)+2413-2103-207=68

(-20)+2225-1885-268=52

2.2. Маневренность собственных оборотных средств

денежные средства

1

с. 260

126/(4280-207-4005)=1,85

150/(4208-268-3889)=2,94

функционирующий капитал

с.290–с.230–с.690

2.3. Коэффициент текущей ликвидности

1

с.290–с.230

(4280-207)/4005=1,02

(4208-268)/3889=1,013

краткосрочные пассивы

с.690

2.4. Коэффициент быстрой ликвидности

оборотные активы за минусом запасов

1

с.290-с.210-с.220-с.230

(4280-3500-151-207)/4005=0,11

(4208-3357-21-268)/3889=0,14

краткосрочные пассивы

с. 690

2.5. Коэффициент абсолютной ликвидности (платежеспособности)

денежные средства

1

с.260

126/4005=0,03

150/3889=0,04

краткосрочные пассивы

с.690

2.6. Доля оборотных средств в активах

оборотные активы

1

с.290-с.230

(4280-207)/6383=0,64

(4208-268)/6093=0,65

всего хозяйственных средств (нетто)

с.300

2.7. Доля собственных оборотных средств в общей их сумме

собственные оборотные средства

1

с.290-с.230-с.690

(4280-207-4005)/(4280-207)=0,017

(4208-268-3889)/(4208-268)=0,013

оборотные активы

с.290-с.230

2.8. Доля запасов в оборотных активах

запасы

1

с.210 + с.220

(3500+151)/(4280-207)=0,9

(3357+21)/(4208-268)=0,86

оборотные активы

с.290 - с.230


Величина собственных оборотных средств ООО «Строители» характеризует ту часть собственного капитала предприятия, которая является источником покрытия его текущих активов (т.е. активов, имеющих оборачиваемость менее одного года). Это расчетный показатель, зависящий как от структуры активов, так и от структуры источников средств. Если на начало 2009г. этот показатель составлял – 6383 тыс. руб., то в конце отчётного периода - 6093 тыс. руб. Величина собственных оборотных средств говорит о превышении текущих активов над текущими обязательствами. Следует различать «оборотные средства» и «собственные оборотные средства». Первый показатель характеризует активы предприятия (II раздел актива баланса), второй — источники средств, а именно часть собственного капитала предприятия, рассматриваемую как источник покрытия текущих активов.

Маневренность функционирующего капитала. На начало отчётного периода у ООО «Строители» доля собственного капитала в финансировании текущей деятельности была меньше, чем на конец отчётного периода, что характеризует значение 2,94. На начало года этот показатель составлял 1,85. Можно сказать, что предприятие справилось с ситуацией. Для нормально функционирующего предприятия этот показатель обычно меняется в пределах от нуля до единицы. При прочих равных условиях рост показателя в динамике рассматривается как положительная тенденция. Приемлемое ориентировочное значение показателя устанавливается предприятием самостоятельно и зависит, например, от того, насколько высока его ежедневная потребность в свободных денежных ресурсах.

Коэффициент текущей ликвидности, т.е. оценка ликвидности активов, показывает, сколько рублей текущих активов приходится на один рубль текущих обязательств, у ООО «Строители» на начало отчётного периода составил 1,02., а на конец 1,013. То есть предприятие погашает краткосрочные обязательства в основном за счет текущих активов; следовательно, если текущие активы превышают по величине текущие обязательства, предприятие успешно функционирует. Рост в динамике - благоприятная тенденция, у нас наблюдается обратное.

Коэффициент быстрой ликвидности, аналогичен коэффициенту текущей ликвидности; однако исчисляется по более узкому кругу текущих активов. Из расчета исключается наименее ликвидная их часть - производственные запасы. Логика такого исключения состоит не только в значительно меньшей ликвидности запасов, но, что гораздо более важно, и в том, что денежные средства, которые можно выручить в случае вынужденной реализации производственных запасов, могут быть существенно ниже затрат по их приобретению. У анализируемого мною  предприятия этот показатель на начало года 0,11, на конец 0,14.

Коэффициент абсолютной ликвидности (платежеспособности) является наиболее жестким критерием ликвидности предприятия и показывает, какая часть краткосрочных заемных обязательств может быть при необходимости погашена немедленно. Поскольку разработка отраслевых нормативов этих коэффициентов - дело будущего, на практике желательно проводить анализ динамики данных показателей. На нашем примере мы как раз наблюдаем положительную динамику этого показателя: 0,03 на начало периода и 0,04 на конец.

Доля собственных оборотных средств на начало отчётного периода составляла 0,64. На конец периода ситуация изменилась в лучшую сторону и этот показатель составил 0,65.

Одна из важнейших характеристик финансового состояния предприятия - стабильность его деятельности в свете долгосрочной перспективы. Она связана с общей финансовой структурой предприятия, степенью его зависимости от кредиторов и инвесторов. Финансовая устойчивость в долгосрочном плане характеризуется, следовательно, соотношением собственных и заемных средств. Однако этот показатель дает лишь общую оценку финансовой устойчивости. Поэтому разработана система показателей.

Таблица 2

Наименование показателя

Формула расчета

Информационное обеспечение 

На начало года

На конец года



Отчетная форма

Номера строк (с.), граф (г.)

1

2

3

4

5

6

3. Оценка финансовой устойчивости

3.1. Коэффициент концентрации собственного капитала

собственный капитал

с.490

(-35)/6383= -0,005

(-20)/6093= -0,003

всего хозяйственных средств (нетто)

с.300

3.2. Коэффициент финансовой зависимости

всего хозяйственных средств (нетто)

1

с.300

6383/(-35)= -182,37

6093/(-20)= -304,65

собственный капитал

с.490

3.3. Коэффициент маневренности собственного капитала

собственные оборотные средства

1

с.290-c.230-с.690

(4280-207-4005)/(-35)= -1,94

(4208-268-3889)/(-20)=    -2,55

собственный капитал

с.490

3.4. Коэффициент концентрации заемного капитала

заемный капитал

1

с.590+c.690

(2413+4005)/6383= 1,005

(2225+3889)/6093=1,003

всего хозяйственных средств (нетто)

с.300

3.5. Коэффициент структуры долгосрочных вложений

долгосрочные пассивы

1

с.590

2413/(2103+207)= 1,045

2225/(1885+268)=1,033

внеоборотные активы

с.190+ с.230

3.6. Коэффициент долгосрочного привлечения заемных средств

долгосрочные пассивы

1

c.590

2413/((-35)+2413)= 1,015

2225/((-20)+2225)=1,009

долгосрочные пассивы + собственный капитал

с.490+с.590

3.7. Коэффициент структуры заемного капитала

долгосрочные пассивы

1

с.590

2413/(2413+4005)= 0,38

2225/(2225+3889)=0,36

заемный капитал

с.590 + с.690

3.8. Коэффициент соотношения заемных и собственных средств

заемный капитал

1

с.590 + с.690

(2413+4005)/(-35)=  -183,37

(2225+3889)/(-20)=         -305,7

собственный капитал

с.490


Коэффициент концентрации собственного капитала, это доля владельцев предприятия в общей сумме средств, авансированных в его деятельность. Чем выше значение этого коэффициента, тем более финансово устойчиво, стабильно и независимо от внешних кредитов предприятие. Дополнением к этому показателю является коэффициент концентрации привлеченного (заемного) капитала - их сумма равна 1 (или 100%). В нашем примере этот показатель на начало периода -0,005, что говорит о частичной зависимости предприятия от внешних кредиторов. На конец года наблюдается уменьшение финансовой зависимости со стороны - 0,003.

Коэффициент финансовой зависимости на начало периода составил -182,37, а на конец периода -304,65, т.е. наблюдаем увеличение этого показателя, что говорит об увеличении заемных средств в финансировании предприятия. Если его значение снижается до единицы (или 100%), это означает, что владельцы полностью финансируют свое предприятие.

На примере ООО «Строители» можно наблюдать, что положительная динамика деятельности предприятия в ощутимой степени произошла за счет привлечения долгосрочных займов, что видно из значений таких коэффициентов, как коэффициент структуры долгосрочных вложений, коэффициент долгосрочного привлечения заемных средств и коэффициент структуры заемного капитала. Если на начало периода эти коэффициенты принимали значения 1,045; 1,015; 0,38, то на конец соответственно 1,033; 1,009; 0,36. Снижение величин этих показателей в динамике - положительная тенденция, означающая, что предприятие все менее зависит от внешних инвесторов. Наблюдается увеличение показателя соотношения собственных и привлеченных средств с -183,37 на начало периода до -305,7 на конец периода. Значения этого показателя высокие, что говорит о большой зависимости предприятия от заемных средств.

Не существует каких-то единых нормативных критериев для рассмотренных показателей. Они зависят от многих факторов: отраслевой принадлежности предприятия, принципов кредитования, сложившейся структуры источников средств, оборачиваемости оборотных средств, репутации предприятия и др. Поэтому приемлемость значений этих коэффициентов, оценка их динамики и направлений изменения могут быть установлены только в результате сопоставления по группам.

Оценка деловой активности направлена на анализ результатов и эффективность текущей основной производственной деятельности

Оценка деловой активности на качественном уровне может быть получена в результате сравнения деятельности данного предприятия и родственных по сфере приложения капитала предприятий. Такими качественными (т.е. неформализуемыми) критериями являются: широта рынков сбыта продукции; наличие продукции, поставляемой на экспорт; репутация предприятия, выражающаяся, в частности, в известности клиентов, пользующихся услугами предприятия, и др. Количественная оценка делается по двум направлениям:

· степень выполнения плана (установленного вышестоящей организацией или самостоятельно) по основным показателям, обеспечение заданных темпов их роста;

· уровень эффективности использования ресурсов предприятия.

Для оценки эффективности использования ресурсов предприятия рассчитаем такие показатели:

Наименование показателя

Формула расчета

Информационное обеспечение

На начало года

На конец года



Отчетная форма

Номера строк (с.), граф (г.)

1

2

3

4

5

6

4. Оценка деловой активности 

4.1. Выручка от реализации

2

с.010

3346

4286

4.2. Чистая прибыль

2

с. 190

19

65

4.3. Производительность труда

выручка от реализации

2, 5

с.010(ф.№2)

Нет данных 

(ф.№5) 

Нет данных 

 (ф.№5)

среднесписочная численность

с.760(ф.№5)

4.4. Фондоотдача

выручка от реализации

1, 2

с.010(ф.№2)

3346/2103=1,59

4286/1885=2,27

средняя стоимость основных средств

с.120 (ф.№ 1)

4.5. Оборачиваемость средств в расчетах (в оборотах)

выручка от реализации

1, 2

с.010 (ф.№2)

3346/297=11,3

4286/412=10,4

средняя дебиторская задолженность

с.240(ф.№1)

4.6. Оборачиваемость средств в расчетах (в днях)

360 дней

1, 2

см. алгоритм для показателя 4.5

360/11,3=31,9

 360/10,4=34,6

Показатель 4.5

4.7. Оборачиваемость запасов (в оборотах)

себестоимость реализации

1, 2

с.020 (ф.№2)

(2824) /(3500+151)=0,77

(3814) /(3357+21)=1,13

средние запасы

с.210+с.220 (ф.№ 1)

4.8. Оборачиваемость запасов (в днях)

360 дней

1, 2

360/0,77=467,5

360/1,13=318,6

Показатель 4.7

4.9. Оборачиваемость кредиторской задолженности (в днях)

средняя кредиторская задолженность х 360 дн.

1, 2

с.610+с.620 (ф.№1)

(2183+1821)/2824=1,42

(1490+2399)/3814=1,02

себестоимость реализации


с.020(ф.№2)

4.10. Продолжительность операционного цикла

показатель 4.6+показатель 4.8

1,2

см. алгоритмы для показателей 4.6, 4.8

31,9+467,5=499,4

34,6+318,6=353,2

4.11. Коэффициент погашаемости дебиторской задолженности

средняя дебиторская задолженность

1, 2

см. алгоритм для показателя 4.5

297/3346=0,09

412/4286=0,096

выручка от реализации

4.12. Оборачиваемость собственного капитала

выручка от реализации

1, 2

с.010(ф.№2)

3346/(-35)= -95,6

4286/(-20
)= -214,3

средняя величина собственного капитала

с.490 (ф. № 1)


Фондоотдача, характеризует объем реализованной продукции, приходящейся  на рубль средств, вложенных в деятельность предприятия. Для ООО «Строители» этот показатель составляет на начало периода 1,59, на конец 2,27. Повышение фондоотдачи приводит при прочих равных условиях к снижению суммы амортизационных отчислений, приходящейся на 1 руб. готовой продукции и соответственно способствует повышению доли прибыли в цене товара. Рост фондоотдачи является одним из факторов интенсивного роста объема выпуска продукции.

Однако наблюдаем снижение оборачиваемости  средств в расчетах предприятия, что говорит о том, что у предприятия снизилась эффективность использования средств.

Обобщенной характеристикой продолжительности омертвления финансовых ресурсов в текущих активах является показатель продолжительности операционного цикла, т.е. того, сколько дней в среднем проходит с момента вложения денежных средств в текущую производственную деятельность до момента возврата их в виде выручки на расчетный счет. У ООО «Строители» мы наблюдаем снижение этого показателя, что является положительным фактором.

К основным показателям рентабельности, используемым в странах с рыночной экономикой для характеристики рентабельности вложений в деятельность того или иного вида, относятся рентабельность авансированного капитала и рентабельность собственного капитала. Экономическая интерпретация этих показателей очевидна — сколько рублей прибыли приходится на один рубль авансированного (собственного) капитала.

Таблица 4

Наименование показателя

Формула расчета

Информационное обеспечение

На начало года

На конец года



Отчетная форма

Номера строк (с.), граф (г.)

1

2

3

4

5

6

5. Оценка рентабельности

5.1. Чистая прибыль

балансовая прибыль — платежи в бюджет

2

с.190

19

65

5.2. Рентабельность продукции

прибыль от продаж

2

с.050

221/3346=0,07

85/4286=0,02

выручка от продаж

с.010

5.3. Рентабельность основной деятельности

прибыль от продаж

2

с.050

221/(2824+301)=0,07

затраты на производство и сбыт продукции

с.020+с.030

+с.040

5.4. Рентабельность совокупного капитала

чистая прибыль

1, 2

с.190 (ф.№2)

19/6383=0,003

65/6093=0,01

итого среднего баланса-нетто

с.300 (Ф.№1)

5.5. Рентабельность собственного капитала

чистая прибыль

1, 2

с.190 (ф.№2)

19/(-35)=-0,54

65/(-20)= -3,25

средняя величина собственного капитала

с.490 (ф.№1)

5.6. Период окупаемости собственного капитала

средняя величина собственного капитала

1, 2

с.490 (ф.№1)

(-35)/(-17)=2,06

(-20)/71= -0,28

чистая прибыль

с.140-с.150(ф.№2)


Из приведенных выше расчетов показателей рентабельности продукции и рентабельности затрат основной деятельности можно увидеть, что значения обоих показателей за отчетный период снизились. Вероятно, это произошло в связи с тем, что в отчетном периоде увеличилась себестоимость продукции (стр. 020, ф. 2).

На примере ООО «Строители» можно сказать  предприятие  малорентабельно, т.к. рентабельность продукции составляет 2-7 процентов, что не укладывается в норматив от 15% до 25%.

 

2.1 Выводы

В результате проведенного анализа можно отметить, что предприятие в анализируемом периоде работало с небольшой прибылью.

Фондоотдача основных средств возросла, предприятие стало более эффективно использовать производственные фонды.

За анализируемый период предприятие в своей деятельности также использовало заемные средства. В структуре краткосрочных пассивов произошло повышение кредиторской задолженности.

Чистая прибыль предприятия на последнюю отчетную дату составила 1,5% к выручке  от реализации, у ООО «Строители» есть собственные источники развития производства, расширения  материально-технической базы. На величину чистой прибыли положительное влияние оказывает умелое использование других активов предприятия.

Основные показатели платежеспособности и ликвидности ООО «Строители» за анализируемый период увеличились.

ООО «Строители» реализует свою продукцию в кредит, тем самым кредитует другие предприятия, отвлекая  средства из собственного оборота, что говорит о наличии дебиторской задолженности, значение которой увеличилось.

В целом, финансово-экономическое состояние ООО «Строители» следует оценивать как устойчивое. Снижение таких коэффициентов как коэффициент долгосрочного привлечения заемных средств, говорит о том, что зависимость предприятия от внешних инвесторов постепенно ослабевает. Основной показатель результата финансово-хозяйственной деятельности предприятия – это прибыль, а за период с 1 января по 30 июня 2009 года работало прибыльно, причём на начало периода чистая прибыль составляла 19 тыс.руб, а на конец 65 тыс.руб.

Заключение

Финансовое состояние предприятия, его устойчивость и стабильность зависят от результатов его производственной, коммерческой и финансовой деятельности. Если производственные и финансовые планы успешно выполняются, то это положительно влияет на финансовое положение предприятия. Следовательно, устойчивое финансовое состояние не является счастливой случайностью, а итогом грамотного, умелого управления всем комплексом факторов, определяющих результаты хозяйственной деятельности предприятия.

Финансовое состояние строительной организации может быть устойчивым, неустойчивым и кризисным. Способность предприятия своевременно производить платежи, финансировать свою деятельность на расширенной основе свидетельствует о его хорошем устойчивом финансовом состоянии.

Чтобы развиваться в условиях рыночной экономики и не допустить банкротства предприятия, нужно знать, как управлять финансами, какой должна быть структура капитала по составу и источникам образования, какую долю должны занимать собственные средства, а какую - заемные. Следует знать и такие понятия рыночной экономики, как финансовая устойчивость, платежеспособность, деловая активность, рентабельность и другие.

Главная цель финансового анализа - своевременно выявлять резервы улучшения финансового состояния строительной организации и его платежеспособности. При этом необходимо решать следующие задачи:

· На основе изучения взаимосвязи между разными показателями производственной, коммерческой и финансовой деятельности дать оценку выполнения плана по поступлению финансовых ресурсов и их использованию с позиции улучшения финансового состояния.

· Прогнозировать возможные финансовые результаты, экономическую рентабельность исходя из реальных условий хозяйственной деятельности, наличия собственных и заемных ресурсов и разработанных моделей финансового состояния при разнообразных вариантах использования ресурсов.

· Разрабатывать конкретные мероприятия, направленные на более эффективное использование финансовых ресурсов и укрепление финансового состояния строительной организации.

Список используемой литературы

 

1)   «Экономика строительства» под ред. Ю.Ф. Симонова, учебное пособие для вузов, М.; 2003 г.

2)   «Экономика строительства», под общ. ред. Степанова И.С., учебник, 3-е издание, М.; 2005 г.

3)   Савицкая Г.В. Анализ хозяйственной деятельности предприятия. – Мн.: ИП «Экоперспектива», 1998 г., 498 стр.

4)   «Финансовый потенциал организации»: учебное пособие, под ред. Суходоева Д.В., Малахова П.В., Н.Новгород: изд-во Волго-Вятской академии государственной службы, 2005 г.

5)   «Финансовый анализ» Ковалев В.В. – М.: Финансы и статистика,1996.

6)   Ефимова О.В. Финансовый анализ. – М.: Издательство «Бухгалтерский учет», 1998.

7)   Н.П. Кондраков. Бухгалтерский учет: Учеб. Пособие. – 4-е изд., перераб. и доп. – М.: ИНФРА-М, 2003.

Похожие работы на - Финансовое состояние строительной фирмы ООО "Строители"

 

Не нашли материал для своей работы?
Поможем написать уникальную работу
Без плагиата!
Без нейросетей!