Спектральные характеристики
Спектральные характеристики
Демидов Р.А., ФТФ, 2105
Введение
В первой части работы я
поставил себе цель описать линейные операторы в целом, а также подробно
рассказать о важной характеристике спектра операторов – спектральном радиусе.
В этой части работы я
подробнее остановлюсь на не менее важной характеристике спектров – резольвенте,
и расскажу о связи этой характеристики с подвидами спектра оператора – с
остаточным, точечным и непрерывными его частями. Вначале, опять же, необходимо
остановиться на некоторых основных определениях и понятиях теории линейных
операторов. Итак:
-
Пусть
A - оператор, действующий в конечномерном линейном пространстве E. Спектром
оператора называется множество всех его собственных значений.
-
Квадратную
матрицу n×n можно рассматривать как линейный оператор в n-мерном
пространстве, что позволяет перенести на матрицы «операторные» термины. В таком
случае говорят о спектре матрицы.
-
Пусть
A - оператор, действующий в банаховом пространстве E над полем k. Число λ
называется регулярным для оператора A, если оператор R(λ) = (A −
λI)-1, называемый резольвентой оператора A, определён на
всём E и непрерывен.
-
Множество
регулярных значений оператора A называется резольвентным множеством
этого оператора, а дополнение резольвентного множества - спектром этого
оператора.
-
Максимум
модулей точек спектра оператора A называется спектральным радиусом этого
оператора и обозначается через r(A). При этом выполняется равенство:
Это равенство может
быть принято за определение спектрального радиуса,приусловии существования данного
предела.
Теперь рассмотрим
состав самого спектра. Он неоднороден, и состоит из следующих частей:
-
дискретный (точечный)
спектр - множество всех собственных значений оператора A - только точечный
спектр присутствует в конечномерном случае;
-
непрерывный спектр - множество
значений λ, при которых резольвента (A - λI)-1 определена
на всюду плотном множестве в E, но не является непрерывной;
-
остаточный спектр - множество
точек спектра, не входящих ни в дискретную, ни в непрерывную части.
Таким образом, мы
видим, что спектр оператора состоит из 3-х больших частей, принципиально
различных.
Свойства
резольвенты
Теорема 1:
ограничен. Тогда
является регулярной
точкой.
Доказательство.
. Пусть
. Тогда
.
- банахово,
, причем он ограничен:
Резольвента существует
и ограничена. Чтд.
Доказательство.
ð
Если
построена биекция, то не существует
, за исключением тривиальной.
ð
Если
- точка точечного спектра, то
, что противоречит биективности
.
Теорема 3:
(Тождество Гильберта)
Доказательство.
,
,
,
верно => Чтд.
Следствия:
1)
- коммутативность
резольвенты.
2)
(т.к.
непрерывна по
в точке
), т.е. она бесконечно дифференцируема
(аналитическая функция).
Итак,
- аналитическая оператор-функция на
множестве регулярных точек (резольвентном множестве).
- разложение в ряд Лорана (имеет место при
, но, возможно, и в большей
области).
Упражнение: (Примеры
вычисления спектрального радиуса)
,

.
Возьмем
.Тогда
Таким образом
. Эта оценка достижима при
, т.е.
,и rc(A)=1.
Теорема 4:
всякая к.ч
, есть
регулярная точка самосопряженного оператора A.
Доказательство.
]
регулярная точка, значит
не собственное значение и
. Проверим ограниченность
.

ограничен,
и его можно распространить на
с сохранением нормы оператора, так
как
не собственое
значение. Если при этом
не
замкнуто, то
не
замкнут. При этом линейный оператор, обратный к замкнутому, а также сопряженный
к нему, замкнут => самосопряженный оператор замкнут.
Спектральная
теория в электронике
Полезнейшим приложением
спектральной теории в физике является теория спектров электрических сигналов. Суть
теории состоит в том, что любой сигнал на входе линейной цепи возможно
представить совокупностью гармонических колебаний, или тестовых сигналов, заданной
частоты, вопрос такого разложения состоит в нахождении амплитуд результирующих
колебаний. Последние вычисляются определенным образом.
Классическое
преобразование Фурье представляет из себя линейный оператор.
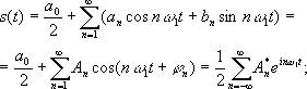
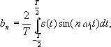
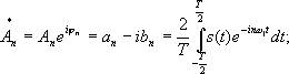
Спектральная теория
здесь работает следующим образом – для периодических входных сигналов для
нахождения соответствующих амплитуд используется интегральное преобразование –
дискретный Фурье- образ:
в котором разложение
начинается с частоты следования wк. В данном случае очевидно, что, раз
выходной сигнал представляется суммой бесконечного ряда, то мы имеем дело с точечным
спектром сигнала, поскольку он дискретен. Следовательно, любое
периодическое колебание можно рассматривать как сигнал с дискретным спектром, поскольку
непрерывным спектром он не обладает. Однако, если же взять непериодический
сигнал, например, единичный прямоугольный импульс, то вводится понятия прямого и
обратного преобразований Фурье:
,
где S(w) – спектральная
плотность сигнала s(t).
Соответственно, S(w) –
непрерывная по w функция, и в данном.
Заключение
В работе не ставилась
цель охватить весь курс спектральной теории и спектрвльных характеристик, а
ставилась цель изучить основные спектральные характеристики линейных
операторов, и обрисовать применение этих понятий. Опять же, класс Фурье
преобразований включает в себя намного больший объем, чем тот, о котором
упомянуто в работе, они используются в теории алгоритмов при кодировке и сжатии
информации в цифровом формате изображений JPEG, в вейвлет - преобразованиях. Новое
поколение функциональной электроники содержит на элементарном уровне элементы, способные
производить непрерывные преобразования Фурье и Лапласа, что намного ускоряет
работу электронных устройств.
В общем и целом, наряду
с первой частью работа дает представление о б основных спектральных
характеристиках линейных операторов и их применении в различных областях
математики, информатики и физики.
Список литературы
1.
Лекции
по математической физике, Попов И.Ю., СПбГУ ИТМО, кафедра высшей математики.
2.
Элементы
теории функций и функционального анализа, А.Н. Колмогоров и С.В. Фомин.
4.
Свободная
энциклопедия Википедия.
5.
Сжатие
данных, изображения и звука, Д. Сэломон.