Соотношения синусоидальных напряжений и токов в цепи с последовательным соединением элементов

  • Вид работы:
    Контрольная работа
  • Предмет:
    Физика
  • Язык:
    Русский
    ,
    Формат файла:
    MS Word
    143,88 kb
  • Опубликовано:
    2010-10-25
Вы можете узнать стоимость помощи в написании студенческой работы.
Помощь в написании работы, которую точно примут!

Соотношения синусоидальных напряжений и токов в цепи с последовательным соединением элементов










СООТНОШЕНИЯ СИНУСОИДАЛЬНЫХ НАПРЯЖЕНИЙ И ТОКОВ В ЦЕПИ С ПОСЛЕДОВАТЕЛЬНЫМ СОЕДИНЕНИЕМ ЭЛЕМЕНТОВ


1. Проводимость цепи

К цепи подведено напряжение .

По 2 закону Кирхгофа запишем для мгновенных значений величин:



Комплекс действующего напряжения равен сумме комплексных значений падений напряжений:


Построим векторную диаграмму для этой схемы


Из векторной диаграммы (D 0АВ):

;

Отсюда:  – закон Ома для цепи переменного тока.

 – полное сопротивление цепи.

Если сопротивлений много, то .

Аналогично можно записать из исходного уравнения:

,

где  – реактивное сопротивление цепи.

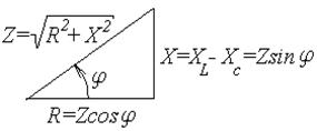
D 0АВ – треугольник напряжений:


Разделив каждую строчку треугольника напряжений на ток, получим треугольник сопротивлений:


Угол j представляет собой угол сдвига фаз между током и напряжением:

.


Активные, реактивные и полные проводимости цепи

 – комплексная проводимость цепи.

,

где  – активная проводимость цепи (при X=0 G=1/R).

 – реактивная проводимость цепи.

При X=XL - XC > 0 B > 0,

а при X=XL - XC < 0 B < 0.

С учетом проводимостей закон Ома принимает вид:


,

где Ia – активная составляющая тока I;

Ip – реактивная составляющая тока I.

Векторная диаграмма имеет вид:



Треугольник проводимостей:

.

2. Законы Кирхгофа для цепей синусоидального тока

1-й закон Кирхгофа: Алгебраическая сумма комплексных значений токов в узле равна нулю.

Или геометрическая сумма векторов, изображающих токи в узле, равна нулю.

Для действующих значений: ;

для мгновенных значений: .

2-й закон Кирхгофа: Если каждый участок контура электрической цепи содержит R, L, C элементы, тогда мгновенные значения ЭДС, действующие в замкнутом контуре, равны алгебраической сумме мгновенных значений падений напряжений на участках этого контура:

.

Сумма комплексных значений ЭДС, действующих в замкнутом контуре, равна сумме комплексных значений падений напряжений на участках этого контура:

.

3. Энергия и мощность в цепи синусоидального тока с идеальными R, L, C элементами

В цепи постоянного тока мощность определялась выражением .

Рассмотрим цепь переменного тока с последовательным соединением R, L, C элементов.


Запишем подведенное напряжение:  и ток .

. При yi=0 yu=j.

Если XL >XC, то j > 0 и наоборот.

Для мгновенных значений справедливо выражение:

.

Отдельно здесь запишем: .

.

Результат:  – это выражение для мгновенной мощности.

Энергия, которая поступает в цепь, определяется средним значением мощности за период:

.

Но , поэтому .

 – коэффициент мощности.

Из треугольника напряжений , поэтому

 активная мощность.

Рассмотрим цепь с активным элементом, т.е. j = 0.

.

Построим график этой функции:



Мощность больше нуля, значит на активном элементе энергия поступает от источника в цепь и здесь тратится. Что это за энергия?:

 – это энергия тепловая.

Рассмотрим цепь с индуктивным элементом, т.е. j = p/2.

.

Но и первое и второе выражения равны нулю, т.е. среднее значение мощности за период равно нулю. Из общего выражения для мгновенной мощности:




За период мощность дважды меняет знак.

Положительное значение мощности соответствует режиму, при котором энергия поступает в цепь. Отрицательное значение мощности соответствует режиму, при котором энергия возвращается источнику. Таким образом идеальный индуктивный элемент энергии не потребляет.

Найдем значение энергии, поступающей с цепь за четверть периода:

 – это выражение для энергии магнитного поля.

Здесь мы сделали замену пределов интеграла: при t=0 i=0; при t=T/4 i=Im.

Таким образом, энергия, поступившая в цепь с идеальным индуктивным элементом, преобразуется в энергию магнитного поля. Мощность положительна, когда ток растет по абсолютной величине.

В этот момент энергия поступает в цепь и преобразуется в энергию магнитного поля.

При уменьшении тока запасенная энергия в индуктивном элементе возвращается источнику, т.е. в такой цепи между источником и потребителем происходит непрерывный обмен энергиями.

Рассмотрим цепь с емкостным элементом, т.е. j = -p/2.

Из общего выражения для мгновенной мощности:

. Здесь ток опережает напряжение. Тот же рисунок, но ток и напряжение поменяли местами



 – это энергия электрического поля.

Таким образом, в цепи с идеальным емкостным элементом имеют место процессы, аналогичные процессам в цепи с индуктивным элементом, но здесь колеблется энергия электрического поля.

В реальной электрической цепи имеют место одновременно оба явления: и необратимое преобразования энергии источника в тепло и обмен энергиями между источником и потребителями.

Полная, активная и реактивная мощности


– треугольник напряжений.

Умножим каждую сторону треугольника напряжений на ток и получим треугольник мощностей.


 – активная мощность, которая преобразуется в тепло или механическую работу [Вт].

 – реактивная мощность, которая затрачивается на создание магнитных и электрических полей, а затем возвращается к источнику, [вар].

 – полная мощность [ВА].

Мощность в символической форме

Пусть ;

.

В комплексной форме эти выражения:

; ; .

Комплексно сопряженное значение тока: .

Запишем выражение

.

 – комплекс полной мощности.

Вещественная часть этого комплекса представляет активную мощность, а мнимая часть – реактивную мощность.

4. Уравнение баланса мощностей

В электрической цепи сумма активных мощностей, отдаваемых источником, равна сумме активных мощностей, потребляемых приемниками.

Аналогично утверждение и для реактивных мощностей.

 – для активных мощностей (реальная часть комплекса);

 – для реактивных мощностей (мнимая часть комплекса).

Похожие работы на - Соотношения синусоидальных напряжений и токов в цепи с последовательным соединением элементов

 

Не нашли материал для своей работы?
Поможем написать уникальную работу
Без плагиата!
Без нейросетей!