Силовые трансформаторы

  • Вид работы:
    Реферат
  • Предмет:
    Физика
  • Язык:
    Русский
    ,
    Формат файла:
    MS Word
    420,33 kb
  • Опубликовано:
    2009-10-20
Вы можете узнать стоимость помощи в написании студенческой работы.
Помощь в написании работы, которую точно примут!

Силовые трансформаторы

Содержание

Введение

I. Общие требования и условия работы силовых трансформаторов

II.   Выбор силовых трансформаторов

III. Трансформаторы главных понижающих подстанций

Заключение

Список используемой литературы

Введение

Данная тема является чрезвычайно актуальной, так как в системах электроснабжения промышленных предприятий главные понизительные и цеховые подстанции используют для преобразования и распределения электроэнергии, получаемой обычно от энергосистем. На всех подстанциях для изменения напряжения переменного тока служат силовые трансформаторы различного конструктивного исполнения, выпускаемые в широком диапазоне номинальных мощностей и напряжений.

Выбор трансформаторов заключается в определении их требуемого числа, типа, номинальных напряжений и мощности, а также группы и схемы соединения обмоток.

Цеховые трансформаторные подстанции (ТП) в настоящее время часто выполняются комплектными (КТП), и во всех случаях, когда этому не препятствуют условия окружающей среды и обслуживания, устанавливаются открыто.

Правильное определение числа и мощности цеховых трансформаторов возможно только с учетом следующих факторов: категории надежности электроснабжения потребителей; компенсации реактивных нагрузок на напряжении до 1 кВ; перегрузочной способности трансформаторов в нормальном и аварийном режимах; шага стандартных мощностей; экономичных режимов работы трансформаторов в зависимости от графика.

Целью данной работы является необходимость описать силовые трансформаторы промышленных предприятий и их выбор.

Достижение данной цели предполагает решение ряда следующих задач:

1. Описать общие требования и условия работы силовых трансформаторов.

2. Описать процесс выбора силовых трансформаторов.

3. Охарактеризовать трансформаторы главных понижающих подстанций.

В процессе написания данной работы нами была использована монографическая, учебная и публицистическая литература.

I. Общие требования и условия работы силовых трансформаторов

Силовые трансформаторы являются основой системы электроснабжения крупных предприятий, имеющих в своем составе главные понижающие подстанции – ГПП (5УР), в средних предприятиях, имеющих распределительные подстанции – РП на 6;10 кВ (4УР) с разветвленными высоковольтными сетями и несколькими трансформаторными подстанциями ТП на 6;10 кВ(3УР). Производственная деятельность малых предприятий, как правило, имеющих в своем составе одну – две ТП на 6;10/0,4КВ, во многом зависит от надежной работы силовых трансформаторов [щитов и шкафов, распределительных пунктов РП на 0,4кВ (2УР)]. В реальных условиях каждый из шести уровней системы электроснабжения может быть границей раздела предприятие – энергосистема, решения по которой юридически согласовываются между энергоснабжающими организациями и потребителем (абонентом) [1, с. 10].

По расчетной электрической нагрузке Рр предприятия определяется необходимость сооружения ГПП (или ПГВ – подстанции глубокого ввода, или ОП – опорной подстанции электроснабжения предприятия). Наиболее распространенное число подстанций с напряжением пятого уровня на одном предприятии одна – две, но бывает до двух и более десятков. ГПП принимают электроэнергию от трансформаторов энергосистемы или, например, от блочной ТЭЦ или гидроэлектростанции (ГРЭС). Высшее напряжение трансформаторов ГПП в России35,110,154,220,330кВ; питание подводится по воздушным и кабельным линиям электропередач (ЛЭП). Отходящие от ГПП высоковольтные распределительные сети, рассчитанные на 6;10 кВ (хотя могут быть и на 110кВ), называют межцеховыми (заводскими). Обычно ряд мощностей ГПП: 10,16,25,40,63,80,110, 125МВ∙А, а в отдельных случаях и выше.

Для электроснабжения потребителей напряжением до 1 кВ (220,380,500,600В) сооружают трансформаторные подстанции с высшим напряжением чаще всего на 6;10 кВ (но существуют подстанции, напряжением 3,20 кВ), которые обычно называют цеховыми, а с учетом комплектной поставки (с транформаторами, щитом низкого напряжения и оцинковкой, вводным высоковольтным отключающим устройством) их обозначают КТП. Ряд применяемых мощностей ТП:100, 160,250,400, 630, 1000, 1600,2500кВ∙А. Из – за больших токов короткого замыкания (КЗ) на стороне 0,4кВ, вызывающих сложности коммутации и передачи электроэнергии приемникам, трансформаторы на 2500кВ∙А применяются только в специальных случаях [1, с. 11].

Кроме трансформаторов, устанавливаемых на 5 УР для присоединения предприятия к энергосистеме, и трансформаторов, устанавливаемых на 3УР, обеспечивающих потребителей низким (до 1кВ) напряжением трехфазного переменного тока, существуют специальные подстанции со своими силовыми трансформаторами: печными, выпрямительными (для создания сети постоянного тока до 1,5кВ), преобразовательными, сварочными и другими, которые могут использоваться и как ГПП, и как цеховые ТП.

Решение о строительстве трансформаторной подстанции принимается в составе решения о строительстве завода (цеха). Особенностью решения о строительстве трансформаторной подстанции является то, что она не выделяется, а рассматривается и утверждается как часть предприятия, сооружения – объекта, подлежащего новому строительству, реконструкции, модернизации, расширению перевооружению. Конечно, для электриков подстанции и сети являются самостоятельными объектами, согласование параметров которых с субъектами электроснабжения, а также их последующее проектирование, строительство и принятие в эксплуатацию осуществляется по отдельным срокам и графикам, не зависящих от основного производства [3, с. 23].

Принятие технологического решения начинается с утверждения технологического задания на строительство завода определенного состава. По технологическим данным оценивают параметры энергопотребления, определяют нагрузку по цехам (для выбора мощности цеховых трансформаторов и выявления высоковольтных двигателей) и заводу в целом (для выбора ГПП, их числа и единичной мощности трансформаторов на каждой подстанции).

Готовые решения служат материалом для получения технических условий от энергосберегающей организации (энергосистемы). Одновременно собирают следующие сведения: особенности энергосистемы и вероятных мест присоединения потребителей; данные по объектам – аналогам и месту строительства. Определяющими данными на начальном этапе являются:

- значения расчетного максимума нагрузки и число часов использования этого максимума, связанных с электропотреблением;

- схема примыкающей районной энергосистемы с характеристиками источников питания, и сетей внешнего электроснабжения, позволяющая решать вопрос выбора мощности трансформатора и схемы его присоединения (размещение трансформатора следует увязывать с заходами ЛЭП) [1, с. 12].

Предложения или проектные проработки по выбору трансформатора 3УР (в диапазоне мощности 100…..2500кВ∙А), определяются условиями потребителя, а для средних и крупных предприятий – особенностями энергосистемы, к сетям которой они подключены.

Основными параметрами, определяющими конструктивное выполнение и построение сети являются:

- для линий электропередачи – номинальное напряжение, направление (откуда и куда), протяженность, число цепей, сечение провода;

- для подстанций – сочетание номинальных напряжений, число и мощность трансформаторов, схема присоединения к сети и компенсация реактивной мощности [1, с. 12].

В России сложились две системы электрических сетей на номинальные напряжения 110 кВ и выше (110, 200, 500кВ), принятая на востоке страны, и 110(154), 330, 750 кВ, принятая в западной части страны.

Для электроэнергетики страны это означает:

- увеличение потерь электроэнергии из – за повышения числа ее трансформаций, необходимость создания сложных коммутационных узлов и ограничения пропускной способности межсистемных связей;

- дополнительную нагрузку предприятий электропромышленности, то есть номенклатуры выпускаемых видов продукции;

- финансирование дополнительного строительства подстанций и линий передач предприятиям, попавшим в зону «стыковки»;

- необходимость учета тенденций развития электрохозяйства, то есть расчет и прогнозирование параметров электропотребления.

Таким образом, подводя итог, необходимо сделать следующие выводы.

На всех подстанциях для изменения напряжения переменного тока служат силовые трансформаторы различного конструктивного исполнения, выпускаемые в широком диапазоне номинальных мощностей и напряжений.

Выбор трансформаторов заключается в определении их требуемого числа, типа, номинальных напряжений и мощности, а также группы и схемы соединения обмоток.

II. Выбор силовых трансформаторов

Для правильно выбора номинальной мощности трансформатора (автотрансформатора), необходимо располагать суточным графиком, отражающим как максимальную, так и среднесуточную активную нагрузки данной подстанции, а также продолжительность максимума нагрузки [1, с. 14]. При отсутствии суточного графика с достаточной для практических целей определяется расчетный уровень максимальной активной нагрузки подстанции Pmax (МВт).

Если при выборе номинальной мощности трансформатора на однотрансформаторной подстанции исходить из условия:

    (1)

(здесь ∑Pmax – максимальная активная мощность на пятом году эксплуатации – сроке, в условиях рыночной экономики согласованном с инвестором; Pр – проектная расчетная мощность подстанции), то есть при графике работы с кратковременным пиком нагрузки (0,5…..1,0ч)трансформатор будет длительное время недогружен. При этом неизбежно завышение номинальной мощности трансформатора и, следовательно, завышение установленной мощности подстанции. В ряде случаев более выгодно выбирать номинальную мощность трансформатора близкой к максимальной нагрузке достаточной продолжительности и в полной мере использовать ее перегрузочную способность с учетом систематических перегрузок в нормальном режиме [1, с. 15].

Наиболее экономичной работа трансформатора по ежегодным издержкам и потерям будет в случае, когда в часы максимума он будет работать с перегрузкой. В реальных же условиях значения допустимой нагрузки выбирают в соответствии с графиком нагрузки и коэффициентом начальной нагрузки, а также в зависимости от температуры окружающей среды, при которой работает трансформатор.

Коэффициент нагрузки, или коэффициент заполнения суточного графика нагрузки, практически всегда меньше единицы.

   (2)

где Pc, Pmax и Ic и Imax – соответственно среднесуточные и максимальные мощности и токи.

В зависимости от коэффициента суточного графика нагрузки (коэффициента начальной нагрузки и длительности максимума), эквивалент температуры окружающей среды, постоянной времени трансформатора и вида его охлаждения, допустимы систематические перегрузки трансформаторов.

На рисунке 1 приведены фактический суточный график нагрузки и двухступенчатый, эквивалентный фактическому. С нуля часов начинается ночной провал нагрузки (от условно номинальной, равной 1,0), минимальный между 5 и 6 ч. (для объекта провал может быть и другие часы, например, между 3 и 5ч). С 6 ч. начинается подъем нагрузки до дневной, обычно незначительно колеблющейся вокруг некоторого значения (но возможно наличие утреннего пика перегрузки, например, между 9 и 11 ч.) В 20 ч. нагрузка достигает номинального значения (1,0), а затем превосходит его, образовав пиковую часть графика, и лишь к 14 ч. вновь снижается до 1,0.

Реальный (фактический) график суточной нагрузки можно преобразовать в двухступенчатый. Для чего в виду невозможности из-за ценологических свойств получить аналитическую зависимость Рнагр =∫ (t), реальный график разбивают на интервалы, в которых нагрузка осредняется. Эти интервалы могут составлять от 3 мин. до 0,5 ч. Интегрированием определяют площадь под фактическим графиком, а затем строят эквивалентный, в данном случае для периодов 0…..20ч. и 20….24 ч.


Рис.1 Расчетные графики нагрузки

1 – фактический суточный; 2- двухступенчатый, эквивалентный физическому.

Первый период характеризуется коэффициентом начальной нагрузки kи.н., равным 0,705 (физический смысл kи.н. – отношение площади под графиком, характеризующим работу трансформатора с номинальной нагрузкой в период 0….. 20ч., к фактической нагрузке, представленной ступенью, составляющей по оси ординат 0,705 номинальной). Аналогично для второго периода определяют коэффициент перегрузки k пер. = 1,27.

Таким образом, перегрузки определяются преобразованием заданного графика нагрузки в график, эквивалентный ему в тепловом отношении. Допустимая нагрузка трансформатора зависит от его начальной нагрузки, ее максимума и его продолжительности и характеризуется коэффициентом превышения (перегрузки), определяемой выражением:

 

   (3)

а коэффициент начальной нагрузки:

   (4)

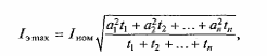
где Iэ max – эквивалентный максимум нагрузки; Iэ.н. – эквивалентная начальная нагрузка, определяемая за 10ч. предшествующие началу ее максимума.

Эквивалентный максимум нагрузки (и эквивалентная начальная нагрузка) определяется по формуле:

   (5)

где a1, a2 ……..an – различные ступени средних значений нагрузок в долях номинального тока; t1,t2,………tn – длительность этих нагрузок, ч.

Формулы (3) и (4) используются для упрощения расчетов по сравнению с построением графиков, заданных на рис.1, если ступень задана или делаются проектные предположения. Следует также иметь в виду, что kи.н. определяется не за 20ч., а за 10ч. во всех случаях формула (5) дает правильный результат.

Допустимые систематические перегрузки трансформаторов определяются нагрузочной способностью, задаваемой с помощью таблиц или же графически. Коэффициент перегрузки k пер. дается в зависимости от среднегодовой температуры воздуха tс.г., вида охлаждения и мощности трансформаторов, коэффициента начальной нагрузки kи.н. и продолжительности двухчасового эквивалентного максимума нагрузки tmax. Для других значений tmax. допускаемый k пер. можно определить по кривым нагрузочной способности трансформатора.

Если максимум графика нагрузки в летнее время меньше номинальной мощности трансформатора, то в зимнее время допускается длительная 1% - перегрузка трансформатора на каждый процент недогрузки летом, но не более, чем на 15%. Суммарная систематическая перегрузка трансформатора не должна превышать 150%. При отсутствии систематических перегрузок допускается длительная нагрузка трансформаторов током на 5% выше номинального при условии, что напряжение каждой из обмоток не будет превышать номинальное.

Допускается превышение напряжение трансформаторов сверх номинального:

- кратковременно (до 6 ч) в сутки – на 10% пери нагрузке не выше номинальной.

Дополнительные перегрузки одной ветви за счет длительной недогрузки другой допускаются в соответствие с указаниями завода – изготовителя. Так, для трехфазных трансформаторов с расщепленной обмоткой на 110кВ мощностью 20,40, и 63МВ∙ А допускаются следующие относительные нагрузки: при нагрузке одной ветви обмотки, равной 1,2; 1,07; 1,05 и 1,03, нагрузка другой ветви должна составлять соответственно 0; 0,7; 0,8 и 0,9.

Номинальная мощность каждого трансформатора двухтрансформаторной подстанции, как правило, определяется аварийным режимом работы подстанции: при установке двух трансформаторов их мощность выбирается такой, чтобы при выходе из работы одного из них оставшийся в работе трансформатор с допустимой аварийной перегрузкой мог обеспечить нормальное электроснабжение потребителей.

Номинальная мощность трансформатора Sном, МВ∙ А на подстанции, числом трансформаторов n>1 в общем виде определяется из выражения:

    (6)

где Ррmax kI-II – расчетная мощность, МВт; Рmax – суммарная активная максимальная мощность подстанции на пятом году эксплуатации, МВт; kI-II – коэффициент участия в нагрузке потребителей I-II категорий; kпер – коэффициент допустимой аварийной перегрузки; cos φ – коэффициент мощности нагрузки.

Для двухтрансформаторной подстанции, то есть при n=2:

    (7)

Для сетевых подстанций, где в аварийном режиме до 25% потребителей из числа малоответственных может быть отключено kI-II обычно принимается равным 0,75……0,85 (единице он равен, когда все потребители относятся к первой категории) [4, с. 28].

Рекомендуется широкое применение складского и передвижного резерва трансформаторов, причем при аварийных режимах допускается перегрузка трансформаторов на 40% во время максимума общей суточной нагрузки продолжительностью не более 6 ч. в течение не более 5 сут. При этом коэффициент заполнения суточного графика нагрузки трансформаторов kн в условиях его перегрузки должен быть не более 0,75, а коэффициент начальной нагрузки k и.н. – не более 0,93.

Коэффициент заполнения графика нагрузки определяется следующим отношением:

   (8)

где W – электропотребление (площадь под кривой нагрузки); Т – полное время по оси абсцисс.

Необходимо учитывать, что kн такой коэффициент заполнения, который имеет наибольшее значение во время аварийных режимов в течение пяти суток подряд.

Так как kI-II<1, а kпер>1, то их отношение k = kI-II /kпер, всегда меньше единицы, и характеризует собой резервную мощность трансформатора, заложенную при выборе его номинальной мощности. Чем данной отношение меньше, тем меньше будет резерв установленной мощности трансформатора и тем более эффективным будет использование трансформаторной мощности с учетом перегрузки.

Завышение коэффициента k приводит к завышению суммарной установленной мощности трансформаторов на подстанции. Уменьшение коэффициентов возможно лишь до такого значения, которое с учетом перегрузочной способности трансформатора и возможности отключения неответственных потребителей позволяет покрыть основную нагрузку одним оставшимся в работе трансформатором при аварийном выходе из строя второго.

Таким образом, установленная мощность трансформатора на подстанции:

   (9)

В настоящее время существует практика выбора номинальной мощности трансформатора для двухтрансформаторной подстанции с учетом значения k = 0,7, то есть с учетом условия:

   (10)

Формально эта формула выглядит ошибочной: Действительно, единицы измерения активной мощности – Вт, а полной (кажущейся) - В∙А. Есть различия и в физической интерпретации S и P. Но следует всегда полагать, что осуществляется компенсация реактивной мощности на шинах подстанций 5УР и 3УР и что коэффициент мощности cos φ находиться на уровне 0,92…..0,95 (tg на уровне 0,42….0,33). Такая ошибка, связанная с упрщением формулы (9) до (10), не превосходит инженерную ошибку 10%, которая включает в себя и приблизительность значения 0,7, и ошибку определения фиксированного Pmax. Становиться объяснимым формула (1), где активная и полная мощность не различаются.

Таким образом, суммарная установленная мощность двухтрансформаторной подстанции:

   (11)

При значении k = 0,7 в аварийном режиме обеспечивается сохранение около 98% Pmax без отключения неответственных потребителей. Однако, учитывая высокую надежность трансформаторов, можно считать вполне допустимым отключение в редких, аварийных режимах какой – то части неответственных потребителей.

Условие покрытия расчетной нагрузки в случае аварийного выхода из строя одного трансформатора с учетом использования резервной мощности Sрез. сетей низкого и среднего напряжений определяется выражением:

   (12)

При аварии одного из двух или более параллельно работающих на подстанции трансформаторов, оставшиеся в работе принимают на себя его нагрузку. Эти аварийные перегрузки не зависят от предшествующего режима работы трансформатора, являются кратковременными и используются для прохождения минимума нагрузки.

III. Трансформаторы главных понижающих подстанций

Проектирование подстанций с высшим напряжением 35….330 кВ, к которым относятся главные понижающие подстанции (ГПП), подстанции глубокого ввода, опорные, осуществляется на основе технических условий, определяемыми схемами развития энергосистемы (возможностями источников питания) и электрических сетей района, а также схемами внешнего энергоснабжения предприятия, то есть присоединения к подстанциям энергосистемы или ВЛ, схемами организации их ремонта и применением систем автоматики и релейной защиты [1, с. 20]

Рис.2 Схема присоединения потребителей к подстанциям энергосистемы -а…..г соответственно с одной, двумя, тремя, четырьмя системами сборных шин; д – с двойной системой шин.

На рис. 2 приведены схемы присоединения потребителей к подстанциям энергосистемы, которая все оперативные переключения производит выключателем Q. Самая простая схема показана на рисунке а, обычная на рисунке – б, редкая на рисунке г. Наиболее распространенная на ответственных районных подстанциях схема с двойной секционированной и обходной системами шин, что обеспечивает высокую надежность и маневренность управления с помощью выключателя QI.

Рис. 3 Варианты схем присоединения подстанция 5УР…… 3УР к воздушной линии.

Варианты схем присоединения подстанций 5УР5УР…… 3УР к воздушной линии отражены на рис. 3

В качестве необходимых данных при выборе трансформаторов ГПП необходимо знать:

- район размещения подстанции и загрязненность атмосферы;

- значения и рост нагрузки по годам с указанием ее распределения по напряжениям;

- значение питающего напряжения;

- уровни и пределы регулирования напряжения на шинах подстанции, необходимость дополнительных регулирующих устройств;

- режимы заземления нейтралей трансформаторов, значение емкостных токов в сетях на 10; 6 кВ;

- расчетные значения токов короткого замыкания;

-требующуюся надежность и технологические особенности потребителей и отдельных электроприемников [1, с. 20].

Выбор трансформаторов выполняется на расчетный период (пять лет с момента предполагаемого срока ввода трансформатора в эксплуатацию). Дальнейшее расширение подстанции, включая резерв территории, производиться с учетом возможности ее развития в последующие пять лет. Площадка подстанции должна размещаться вблизи центра электрических нагрузок, автомобильных дорог (для трансформаторов, мощностью 10МВ∙А и выше) и существующих инженерных сетей. Учитывается также и наличие железнодорожных путей промышленных предприятий.

На подстанциях устанавливается, как правило, не более двух трансформаторов. Большее их число допускается устанавливать на основе соответствующих технико – экономических расчетов и в тех случаях, когда на подстанциях требуются два средних напряжения, а по соотношению нагрузок, например 6 и 10 кВ, 10 и 3 кВ, не удается подобрать трансформатор с расщепленными обмотками.

При наличии крупных усредненных нагрузок и необходимости выделения питания ударных, резкопеременных и других специальных электрических нагрузок для производств, цехов и предприятий, преимущественно с электроприемниками I категории и особой группы I категории возможно применение трех и более трансформаторов с проведением соответствующего технико – экономического обоснования. В первый период эксплуатации при постепенном росте нагрузки подстанций допускается установка одного трансформатора при условии обеспечения резервирования питания потребителей по сетям среднего и низкого напряжений[1, с. 24].

Мощность трансформаторов выбирается таковой, чтобы при отключении наиболее мощного из них, оставшиеся в работе обеспечивали бы питание нагрузки во время ремонта или замены этого трансформатора с учетом допустимой перегрузки оставшихся в работе и резерва по сетям низкого и среднего напряжений. При установке двух трансформаторов и отсутствии резервирования по сетям среднего и низкого напряжений мощность каждого из них выбирается с учетом загрузки трансформатора не более чем 70% от суммарной максимальной нагрузки подстанции на расчетный период. При росте нагрузки сверх расчетного уровня увеличение мощности подстанции производиться, как правило, путем замены трансформаторов более мощными.

Трансформаторы должны быть оборудованы устройством регулирования напряжения под нагрузкой. При отсутствии трансформаторов с устройством регулирования напряжения под нагрузкой допускается использование регулировочных трансформаторов

Предохранители на стороне высокого напряжения подстанций 35; 110кВ с двухобмоточными трансформаторами могут применяться при условии обеспечения селективности предохранителей и релейной защиты линий высокого и низкого напряжений, а также надежной защиты трансформаторов с учетом режима заземлений нейтрали и класса ее изоляции. Для трансформаторов высшим напряжением 110 кВ, нейтраль, которых в процессе эксплуатации может быть разземлена, установка предохранителей недопустима. Определители на стороне высшего напряжения могут применяться как с короткозамыкателями, так и с передачей отключающего сигнала. Применение передачи отключающего сигнала должно быть обосновано (удаленностью от питающей подстанции, мощностью трансформатора, ответственностью линии, характером потребителя). При передаче отключающего импульса по высокочастотным каналам (кабелям связи) необходимо выполнять резервирование по другому высокочастотному каналу (кабелю связи) или с помощью короткозамыкателя.

Распределительные устройства на 6; 10 кВ на двухтрансформаторных подстанциях выполняются, как правило, с одной секционированной или двумя одиночными секционированными выключателями системами сборных шин с отходящими линиями. На однотрансформаторных подстанциях РУ выполняются, как правило, с одной секцией. На стороне напряжений 6; 10кВ подстанций должна быть предусмотриваться раздельная работа трансформаторов.

При необходимости ограничения токов короткого замыкания (КЗ) на стороне напряжений 6; 10 кВ могут предусматриваться:

- применение трехобмоточных трансформаторов с максимальным сопротивлением между обмотками высшего и низшего напряжений и двухобмоточных трансформаторов с повышенным сопротивлением;

- применение трансформаторов с расщепленными обмотками на 6;10 кВ;

- применение токоограничивающих реакторов в цепях вводов трансформаторов на цепях вводов от трансформаторов [1, с. 26].

Выбор варианта ограничения токов КЗ следует обосновать технико – экономическим сравнением. Степень ограничения токов КЗ распределительных устройств на 6; 10 кВ определяется с учетом применения наиболее легкой аппаратуры, кабелей, проводников и допустимых колебаний напряжения при резкопеременных и толчковых нагрузках.

При необходимости компенсации емкостных токов в сетях на 35, 10,

6 кВ на подстанциях должны устанавливаться заземляющие реакторы. При напряжении на 6; 10 кВ заземляющие реакторы подключаются к сборным шинам через выключатели и отдельные трансформаторы. Не допускается подключение к трансформаторам для собственных нужд, присоединенным к трансформаторам подстанций до ввода на шины низшего напряжения, а также трансформаторам, защищенным плавкими предохранителями.

В закрытых распределительных устройствах на все напряжения должны устанавливаться воздушные, малообъемные масляные или элегазовые выключатели. Баковые выключатели устанавливаются, когда отсутствуют малообъемные выключатели с соответствующим током отключения. Могут применяться и другие типы выключателей после начала их серийного производства. В открытых распределительных устройствах на 330 кВ и выше должны устанавливаться воздушные выключатели.

При выборе аппаратов и ошиновки по номинальному току оборудования (синхронных компенсаторов, реакторов, трансформаторов), необходимо учитывать нормальные эксплутационные, послеаварийные и ремонтные режимы, а также перегрузочную способность оборудования. Аппаратура и ошиновка в цепи трансформатора должны выбираться, как правило, с учетом установки в перспективе трансформаторов следующего габарита.

Выбор местоположения, типа, мощности и других параметров ГПП в основном обуславливаются значениями и характером электрических нагрузок и размещением их на генплане, а также производственными, архитектурно – строительными и эксплуатационными требованиями. Важно, чтобы ГПП располагалась возможно ближе к центру питаемых мим нагрузок, что сокращает протяженность питающих и распределительных сетей электроснабжения предприятия, а, следовательно, их стоимость и потери в них. Намеченное месторасположение уточняется по условиям планировки предприятия, ориентировочным габаритным размерам и типу подстанции (отдельно стоящая, пристроенная, внутренняя, закрытая, комплектная) и возможности подвода высоковольтных линий от энергосистемы (место ввода ЛЭП) к ГПП.

Допускается смещение подстанции на некоторое расстояние от геометрического центра питаемых ею нагрузок в сторону подвода линии от энергосистемы.

ГПП выполняется двухтрансформаторной. Мощность трансформаторов определяется активной нагрузкой предприятия и реактивной мощностью, передаваемой от системы в период максимума нагрузок. Мощность трансформатора выбирается такой, чтобы при выходе из работы одного трансформатора второй воспринял бы основную нагрузку подстанции с учетом допускаемой перегрузки в послеаварийном режиме и возможного временного отключения потребителей третьей категории. В соответствии с существующей практикой проектирования мощность трансформаторов на понижающих подстанциях рекомендуется выбирать из условия допустимой их перегрузки в послеаварийных режимах до 60….70% (на время максимума суточной нагрузки, продолжительностью не более 6 ч. в течение не более 5 сут.):

   (13)

Масляные трансформаторы в большинстве случаев устанавливаются открыто, а РУ на 10 кВ – внутри помещения или пристраиваются к цеху

(хотя в последнее время наметилась тенденция закрытой установки трансформаторов).

При разработке схем коммутации ГПП предприятий средней мощности следует стремиться к их максимальному упрощению и применению минимума коммутационных аппаратов. Линии и трансформаторы, как правило, работают раздельно. На высшем напряжении ГПП рекомендуется следующая схема: мостик с выключателем в перемычке и выключателями в цепи ВЛ.

На вторичном напряжении ГПП применяется лишь одна система шин, секционированная выключателем, который в большинстве случаев оборудуется устройством автоматического включения резерва (АВР).

Большинство подстанций промышленных предприятий выполняется без сборных шин на стороне первичного напряжения по блочному принципу, реализуемому в виде схем:

- линия – трансформатор;

- линия – трансформатор – токопровод (магистраль).


Рис. 4 Безмостиковые схемы блочных ГПП

На рис. 4 показаны схемы блочных ГПП, выполненных без перемычки (мостика) между питающими линиями 35; 110; 220; 330кВ, с двухобмоточными трансформаторами. При конкретном проектировании могут применяться трансформаторы с расщепленными обмотками, трехобмоточные и др. При напряжении 110 кВ в нейтрали трансформаторов устанавливается заземляющий разъединитель – разрядник, при 220 кВ нейтраль заземляется наглухо. При необходимости высокочастотной связи на вводах ВЛ устанавливается аппаратура высокочастотной (ВЧ) обработки линии.

Схема соединений распределительных устройств ГПП со стороны высокого напряжения определяется скорее внешними требованиями субъекта электроэнергетики и реальными сетями энергосистемы, чем мощностью трансформатора. Однако возможность переключений предопределяет предпочтительность различных режимов работы трансформатора, в том числе и аварийного, влияя тем самым на выбор его мощности.

Заключение

Таким образом, подводя итог всему вышесказанному, необходимо сделать ряд следующих выводов.

Силовые трансформаторы являются основой системы электроснабжения крупных предприятий, имеющих в своем составе главные понижающие подстанции – ГПП (5УР), в средних предприятиях, имеющих распределительные подстанции – РП на 6;10 кВ (4УР) с разветвленными высоковольтными сетями и несколькими трансформаторными подстанциями ТП на 6;10 кВ(3УР). Производственная деятельность малых предприятий, как правило, имеющих в своем составе одну – две ТП на 6;10/0,4КВ, во многом зависит от надежной работы силовых трансформаторов [щитов и шкафов, распределительных пунктов РП на 0,4кВ (2УР)]. В реальных условиях каждый из шести уровней системы электроснабжения может быть границей раздела предприятие – энергосистема, решения по которой юридически согласовываются между энергоснабжающими организациями и потребителем (абонентом) [1, с. 10].

Выбор трансформаторов заключается в определении их требуемого числа, типа, номинальных напряжений и мощности, а также группы и схемы соединения обмоток.

Цеховые трансформаторные подстанции (ТП) в настоящее время часто выполняются комплектными (КТП), и во всех случаях, когда этому не препятствуют условия окружающей среды и обслуживания, устанавливаются открыто.

Правильное определение числа и мощности цеховых трансформаторов возможно только с учетом следующих факторов: категории надежности электроснабжения потребителей; компенсации реактивных нагрузок на напряжении до 1 кВ; перегрузочной способности трансформаторов в нормальном и аварийном режимах; шага стандартных мощностей; экономичных режимов работы трансформаторов в зависимости от графика.

Список используемой литературы

1. Быстрицкий, Г.Ф., Кудрин, Б.И. Выбор и эксплуатация силовых трансформаторов/Г.Ф. Быстрицкий, Б.И. Кудрин.- М.: Техническая литература, 2003.- 176с.

2. Кацман, М.М. Электрические машины/М.М. Кацман.- М.: Высшая школа, 2004.- 464с.

3. Могузов, В.Ф. Обслуживание силовых трансформаторов/В. Ф. Могузов.- М.: Энергоиздат, 1991.-192с.

4. Перемутер, Н.М., Электромонтер – обмотчик и изолировщик по ремонту электрических машин и трансформаторов: Учебник/Н.М. Перельмутер.- М.: Высшая школа, 1984.- 328с.

5. Силовые трансформаторы. Справочная книга/Под ред. С.П. Лизунова, А.К. Лоханина.- М.: Энергоиздат, 2004.-616с.

6. Соколова, Е.М. Электрическое и электромагнитное оборудование. Общепромышленные механизмы и бытовая техника/Е.М. Соколова.- М.: Академия, 2006.- 224с.

7. Хренников, А Силовые трансформаторы. Проблема электродинамической стабильности/А. Хренников//Новости электротехники.- 2008.- №6.- с. 14-18.

8. Щеховцов, В.П., Электрическое и электромеханическое оборудование/В.П. Шеховцов.- М.: Издательство «Профессиональное образование», 2004.- 407с.

Похожие работы на - Силовые трансформаторы

 

Не нашли материал для своей работы?
Поможем написать уникальную работу
Без плагиата!
Без нейросетей!