Расчёт электросетей

  • Вид работы:
    Контрольная работа
  • Предмет:
    Физика
  • Язык:
    Русский
    ,
    Формат файла:
    MS Word
    552,35 kb
  • Опубликовано:
    2010-06-01
Вы можете узнать стоимость помощи в написании студенческой работы.
Помощь в написании работы, которую точно примут!

Расчёт электросетей



Задача №1

Исходные данные помещены в таблицу №1

Таблица№1.


Решение.

На рисунке 1 изображена схема замещения для линии напряжением 35кВ, где пренебрегаем проводимостью линии

Рис.1 Схема замещения линии

Определим ток в нормальном режиме работы линии по формуле:


где Sэс – полная мощность электростанции равная  модулю от данной мощности на шинах т.е.

Sэс=(142+82)1/2 = 16,1МВА

Iнорм= 16100 / (2*1,732*35) = 132,8А

Допустимая по нагреву величина тока для данного провода    Iдоп=380 >  Iнорм для нормального режима условие выполняется .

Для аварийного режима работы проверим допустимый ток провода:

Iдоп >Iaв=2  Iнорм или     Iдоп >2*132,8=265,6А   условие выполняется и для аварийного режима.

Расчёт параметров схемы замещения. Активное сопротивление:

R=r0 l =0.245*15=3.675 Ом

Индуктивное сопротивление:

Х= х0 l = 0.4*15=6 Ом

Расчёт мощности протекающей по ЛЭП сведём в таблицу 2.

Таблица 2.

Наименование участка

Мощность и потери мощности

Активная , МВт

Реактивная МВар

Мощность в начале линии

14

8

Потери мощности в линии

    (142 + 82 )*3,675/2   = 0,36

Р=

                            36,52

    (142 + 82 )*6/2      = 0,58

jQ=

                          36,52

Мощность в конце линии

Рк.л. = 14-0,36=13,64

jQК.Л = 8-0,58 =7,42


Задача 2


Тип трансформаторов ТМН 6300/35

Номинальная мощность трансформатора Sном = 6,3МВА;

Номинальные напряжения обмоток UномВН = 35кВ ; UномНН=11кВ

Рис 2. Схема замещения ПС.

Решение.

Эквивалентные сопротивления трансформаторов:

Активное сопротивление:


Реактивное сопротивление:


Потери мощности в стали для двух трансформаторов ПС:

Р0экв = 2*Р0 = 2* 8= 16кВт

Q.экв = 2* Q. = 2*I­0*Sном / 100 = 2*0,8*6300/100 = 100кВт

Расчёт задачи выполним в таблице3:

Таблица 3.

Наименование участка

Мощность и потери мощности

Активная , МВт

Реактивная МВар

Мощность поступающая в трансформаторы

13,64

7,42

Потери мощности в стали

(потери холостого хода)

Р0экв =  0,016

Q.экв =0,1

Рн.звТ = 13,64-0,016=13,624

jQн.звТ = 7,42-0.1=7.32

Потери  мощности в сопротивлениях обмотки

Р = (13,6242+7.322)0.72=0.14

                        352

jQ=(13,6242+7.322)1.16=0.22

                        352

Мощность поступающая на шины НН понижающей ПС

РНН = 13,624-0,14=13,5

jQНН = 7,32-0,22=7,1


Задача 3


Аварийный режим, выход из строя одного трансформатора ПС.

Решение.

Т.к. в аварийном режиме не работает один трансформатор, то параметры ЛЭП не изменятся и баланс мощностей останется прежним (таблица 2). Изменится баланс мощностей на понижающей ПС и другие параметры схемы замещения.

Эквивалентные сопротивления рабочего трансформатора:

Активное сопротивление:


Реактивное сопротивление:


Потери мощности в стали для одного трансформатора ПС:

Р0экв = Р0 =  8кВт

Q.экв =  Q. = I­0*Sном / 100 = 0,8*6300/100 = 50кВт

Расчёт задачи выполним в таблице4:

Таблица 4.

Наименование участка

Мощность и потери мощности

Активная , МВт

Реактивная МВар

Мощность поступающая в трансформаторы

13,64

7,42

Потери мощности в стали

(потери холостого хода)

Р0экв =  0,008

Q.экв =0,05

Мощность поступающая в обмотку ВН

Рн.звТ = 13,64-0,008=13,632

jQн.звТ = 7,42-0.05=7.37

Потери  мощности в сопротивлениях обмотки

Р = (13,6322+7.372)1.44=0.28

                         352

jQ=(13,6322+7.372)2,32=0.45

                              352

Мощность поступающая на шины НН понижающей ПС

РНН = 13,632-0,28=13,352

jQНН = 7,37-0,45=6,92


Задача № 4


Напряжение на шинах ЭС в нормальном и аварийном режимах будет Uэснор =36,5кВ, Uэсав=37,5 соответственно.

Решение.

1. Расчёт напряжений для нормального режима работы ПС.

Напряжение в конце линии ЛЭП:

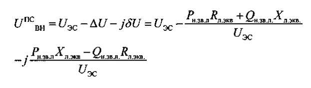
UПСВН = 36,5 - (14*3,675/2 + 8*3)/36,5=35,1кВ

Напряжение на шине НН ПС приведённое к обмотке ВН определяется по формуле:

UнормрасчНН = 35,1 – (13,624*0,72+7,32*1,16) / 35= 34,6кВ

2. Расчёт напряжений для аварийного режима работы ПС.

Напряжение в конце линии ЛЭП:


Последним  вычитаемым можно пренебречь  поэтому получим:

UПСавВН = 37,5 - (14*3,675/2 + 8*3)/37,5=36,2кВ

Напряжение на шине НН ПС приведённое к обмотке ВН определяется по формуле:

UаврасчНН = 36,2 – (13,632*1,44+7,37*2,32) / 35= 35,2кВ

Задача №5


UаврасчНН = 35,2кВ     UнормрасчНН =  34,6кВ;

Решение.


kном =   UномВН  / UномНН=35 / 11 = 3,18

Действительные напряжения на шинах НН при нормальном и аварийном режимах с относительным числом витков wВНр=1  будут:

UнормДейсНН = UнормрасчНН / kном = 34,6 / 3,18 = 10,88 кВ <1.05 UномНН=11,6кВ,

но подходит по условию для минимальной нагрузки т.е. менее 100% от номинального напряжения

UавДейсНН = UаврасчНН /    kном = 35,2 / 3,18 = 11,07 кВ<1.05 UномНН

Приходим  к выводу о необходимости использования РПН

Определим нужную ступень регулирования для обоих режимов:

wВНнорр = (  UнормДейсНН – Uжел)100 / UномНН = (10,88-11,6) 100 / 11 = -6,5%

wВНавр = (  UавДейсНН – Uжел)100 / UномНН = (11,07-11,6) 100 / 11 = -4,8%

По результатам расчёта выбираем стандартные ступени регулирования с относительными числами витков: wВНнорр =0,925 и wВНавр =0,94.

Расчёт коэффициентов трансформации при работе на выбранных ответвлениях:

kнормТ = 3,18*0,925 = 2,94 ;        kавТ = 3,18*0,94 = 2,99

Определим действительные напряжения при работе на выбранных ответвлениях:

UнормНН = 34,6 / 2,94 = 11,77 кВ> 11.6кВ

UаврасчНН = 35,2 / 2,99 = 11,77> 11.6 кВ

Выбранные стандартные ступени регулирования удовлетворяют предъявляемым требованиям по величине напряжения на обмотках НН  ПС  для нормального и аварийного режимов работы.

Похожие работы на - Расчёт электросетей

 

Не нашли материал для своей работы?
Поможем написать уникальную работу
Без плагиата!
Без нейросетей!