Расчёт трёхфазной цепи и четырёхполюсника
097,094,099,104,102
Решение


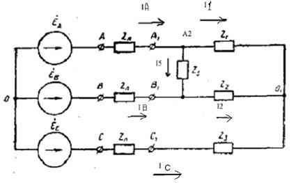
1. Преобразуем треугольник сопротивлений Z1, Z2 и Z5 в звезду
Для этого найдем расчётный коэффициент по формуле:
m = Z1+Z2+Z5 = 10+j12+10-j18+12+j14 = 32+j8 Ом
Теперь определим сопротивления звезды:
Z11 = Z1*Z2 / m = (10+j12) (10-j18) / (32+j8) = 8,8594 – j4,0882 Ом
Z22 = Z5*Z2 / m = (12+j14) (10-j18) / (32+j8) = 10,3823 – j4,9706 Ом
Z33 = Z1*Z5 / m = (10+j12) (12+j14) / (32+j8) = 0,6765 +j8,7059 Ом
Определим напряжение смещения нейтрали:

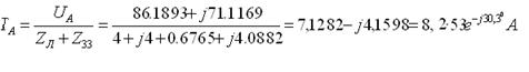
UA = EA – UN = 127 – 40.8107 + j71.1169 = 86.1893+j71,1169 B
UB = EB – UN = -63.5 – j110 – 40.8107 + j71.1169 = -104.3107-j38,868 B
UС = EС – UN = -63.5 + j110 – 40.8107 + j71.1169 = -104.3107+j181.1169 B
Определим токи генератора по закону Ома:
Определим напряжения действительного смещения нейтрали, т.е. исходной
схемы:
UN=UN+ICZ11=70.011-j5.792=7
0,25e-j4,7B
Определим потенциалы А1 и В1 узлов схемы и напряжения на ZЛ фаз А и В:
Тогда напряжение между ними или на Z5 будет:
UZ5 =
Напряжения на фазе С:
Определим токи треугольника сопротивлений:
Определим напряжения на сопротивлениях Z1 и Z2:
2.
Активные мощности источников:
Активные мощности приёмников:
Баланс сходится.
3.
Симметричная составляющая нулевой последовательности фаз тока
генератора (a=1ej120):
I0 =1/3*(IA +IB
+IC) = 1/3*(7,1282 – j4,1598–7,0382 – j3,1775–0,09+j7,3373)=0A
Симметричная составляющая прямой последовательности фаз тока
генератора:
IП =1/3*(IA +аIB +а2
IC) = 1/3*(7,1282 – j4,1598+1ej120 *(-7,0382 – j3,1775)+ 1ej240 *(-0,09+j7,3373))=6,599 – j4,086 = 7,76e-j31,8A
Симметричная составляющая обратной последовательности фаз тока
генератора:
IОБ =1/3*(IA +а 2IB +а IC) =1/3*(7,1282 –
j4,1598+1ej240 *(-7,0382 – j3,1775)+ 1ej120 *(-0,09+j7,3373))=0,529 – j0,074 = 0,53e-j8A
IA = I0+ IП+ IОБ = 0 +
6,599 – j4,086+0,529 – j0,074 = 7.128-j4,160
Результаты совпали, значит, симметричные составляющие аналитически
определены верно.
Теперь графически определим симметричные составляющие токов
генератора:
Симметричная составляющая нулевой последовательности фаз тока
генератора равна нулю, что видно.