Расчёт аэродинамических характеристик самолёта "T-30 KATANA"
Содержание
Введение
1. Подготовка исходных данных
2. Расчёт и построение зависимостей cya(α)
для различных режимов полёта
2.1 Расчёт и построение зависимости
критического числа Маха от коэффициента подъёмной силы Мкр(суа)
2.2 Расчёт и построение вспомогательной
зависимости cya(α)
2.3 Расчёт и построение взлётных кривых
cya(α)
2.4 Расчёт и построение посадочных
кривых cya(α)
2.5 Расчёт и построение крейсерских
зависимостей cya(α)
3. Расчёт и построение поляр самолёта
3.1 Расчёт и построение вспомогательной
поляры
3.2 Расчёт и построение взлётных поляр
3.3 Расчёт и построение посадочных поляр
3.4 Расчёт и построение крейсерских
поляр
Библиографический список
Введение
В данной работе
рассматривается лёгкий спортивный самолет «T-30
Katana», представляющий собой одноместный одномоторный свободнонесущий
среднеплан с закрытой кабиной и неубирающимся шасси. Вычисляются основные
геометрические и аэродинамические параметры этого самолёта, на основании
которых строятся теоретические зависимости коэффициента подъёмной силы от угла
атаки и от коэффициента сопротивления (поляры) для взлетного, крейсерского и
посадочного режимов полёта.
1. Подготовка исходных
данных
Аэродинамические
характеристики самолёта зависят от его геометрических параметров. Поэтому
сначала по чертежу летательного аппарата (рисунок 1) узнаём необходимые размеры
из заносим их в таблицу 1. В эту же таблицу заносим основные лётно-технические характеристики
самолёта. Далее на основании имеющихся данных вычисляются прочие необходимые геометрические
характеристики и также включаются в таблицу вместе с формулами, по которым они были
вычислены.
Таблица 1.
|
Элемент самолета,
параметр
|
Размерность
|
Обозначение,
формула
|
Значение
|
|
1
|
2
|
3
|
4
|
|
1. Крыло:
|
|
1.1 Размах/ размах его
консолей
|
мм
|
l
/
lk
=
l -
Dф
|
7,70/6,77
|
|
1.2 Площадь
|
м2
|
S
|
10,60
|
|
1.3 Хорда средняя
|
мм
|
B
=
S /
l
|
1,38
|
|
1.4 Хорда центральная
|
мм
|
b0
|
1,82
|
|
1.5
Хорда концевая
|
мм
|
bк
|
0,89
|
|
1.6 Сужение в плане
|
|
ηb
=
b0 /
bк
|
2,04
|
|
1.7 Относительная толщина
профиля центрального
|
|
|
0,20
|
|
1.8
Относительная толщина профиля концевого
|
|
|
0,12
|
|
1.9 Средняя относительная
толщина профиля
|
|
=
( ∙
ηb
+
)
/ (ηb
+
1)
|
0,17
|
|
1.10 Относительная координата
максимальной толщины
|
|
=
/
b
|
0,23
|
|
1.11 Стреловидность по
линии
max-х
толщин
|
град.
|
|
-1
|
|
1.12 Относительная кривизна
профиля
|
%
|
|
1,5
|
|
1.13 Относительная координата
кривизны профиля
|
|
|
0,28
|
|
1.14 Угол закрутки концевого
сечения
|
град.
|
|
3
|
|
1.15 Угол атаки нулевой
подъемной силы
|
град.
|
|
-2,77
|
|
1.16 Стреловидность по
линии 1/4 хорд
|
град.
|
1/4
|
-6,9
|
|
1.17 Стреловидность по
линии 1/2 хорд
|
град.
|
1/2
|
-3,8
|
|
1.18 Стреловидность по
передней кромке
|
град.
|
п.к
|
+3,2
|
|
1.19 Удлинение крыла и
консолей крыла геометрические
|
|
λ
= l2/S и
λк=
/(S-Sф)
|
5,59
5,12
|
|
1.20 Относительная площадь
крыла, занимаемая фюзеляжем
|
|
=
Sф/
S
|
0,155
|
|
1.21 Относительная площадь
крыла, занимаемая гондолами двигателей.
|
|
г.д.=
Sг.д./S
|
-
|
|
1.22 Относительная площадь
крыла, занимаемая гондолами шасси
|
|
г.ш.=
Sг.ш./S
|
-
|
|
1.23 Относительная площадь
не участвующая в обтекании потоком
|
|
|
0,155
|
|
1.24 Множитель
|
|
kэл
|
1
|
|
1.25 Удлинение эффективное
|
|
λэф
= λ * Кχ /(1+ )
|
4,84
|
|
1.26 Производная подъемной
силы по углу атаки
|
1/град
|
=
|
0,077
|
|
1.27 Относительная координата
точки перехода ламинарного пограничного слоя в турбулентный
|
|
|
0,186
|
|
1.28 Расстояние от крыла
до земли при взлёте и посадке
|
м
|
h
|
1,22
|
|
2. Закрылок:
|
|
2.1 Относительная хорда
|
|
|
0,35
|
|
2.2 Размах
|
м
|
lзк
|
5,14
|
|
2.3 Относительная площадь
крыла, обслуживаемая закрылками
|
|
|
0,58
|
|
2.4 Угол отклонения при
взлете
|
град.
|
δвз
|
20
|
|
2.5 Угол отклонения при
посадке
|
град.
|
δпос
|
40
|
|
2.6 Хорда средняя крыла
с выпущенными закрылками
|
м
|
bср.зк
|
1,20
|
|
2.7 Угол стреловидности
по передней кромке закрылка
|
град.
|
χзк.п
|
-6,1
|
|
3. Предкрылок:
отсутствует
|
|
3.1 Относительная хорда
|
|
|
-
|
|
3.2 Относительная площадь
крыла, обслуживаемая предкрылками
|
|
|
-
|
|
4. Горизонтальное
оперение (ГО)
|
|
4.1 Хорда средняя
|
м
|
=
Sго
/ lго
|
0,91
|
|
4.2 Относительная толщина
|
м
|
го
|
0,14
|
|
4.3 Размах ГО
|
м
|
lго
|
3,00
|
|
4.4 Площадь,относительная
площадь
|
м2
/ 1
|
Sго
/ го=Sго/
S
|
2,73/0,26
|
|
4.5 Удлинение
|
|
λго
= /Sго
|
3,30
|
|
4.6Стреловидность по линии
¼ хорд
|
град
|
χ
1/4го
|
-0,3
|
|
4.7 Относительная площадь
ГО, занятая фюзеляжем
|
|
го(ф)
= Sго(ф)
/ Sго
|
0,072
|
|
5. Вертикальное
оперение (ВО)
|
|
5.1Площадь,относительная
площадь
|
м2
; 1
|
Sво
; во
= Sво
/ S
|
1,29
; 0,12
|
|
5.2 Размах
|
м
|
lво
|
1,1
|
|
5.3 Хорда средняя
|
м
|
=
Sво
/ lво
|
1,2
|
|
5.4 Относительная толщина
|
м
|
го
|
0,07
|
|
6. Шайбы, пилоны,
гребни и т.п. - отсутствуют
|
|
6.1 Хорда средняя пилонов
|
м
|
=
Sп
/ lп
|
-
|
|
6.2 Относительная толщина
пилона
|
|
п
|
-
|
|
6.3 Площадь
|
м2
|
Sп
|
-
|
|
7. Фюзеляж
|
|
7.1 Длина
|
м
|
lф
|
5,45
|
|
7.2 Площадь миделя
|
м2
|
|
0,83
|
|
7.3 Диаметр миделя
|
м
|
|
1,02
|
|
7.4 Удлинение
|
|
λф
= lф
/
|
5,35
|
|
7.5 Длина носовой части
|
м
|
lн.ф
|
1,20
|
|
7.6 Удлинение носовой
части
|
|
λн.ф
= lн.ф
/
|
1,18
|
|
7.7Отношение
к площади крыла
|
|
ф.м
= / S
|
0,078
|
|
7.8 Длина кормовой части
|
м
|
lк.ф
|
2,03
|
|
7.9 Удлинение кормовой
части
|
|
λк.ф
= lк.ф
/
|
2,00
|
|
7.10 Площадь кормовой
части
|
м2
|
|
0,26
|
|
7.11 Сужение кормовой
части
|
|
ηк.ф= /
|
0,31
|
|
7.12 Угол возвышения кормовой
части
|
град
|
βк.ф
|
~
4
|
|
7.13 Расстояние от оси
фюзеляжа до хорды крыла
|
м
|
ук
|
+0,72
|
|
8. Гондола двигателя
- нет
|
|
9. Воздушный винт
|
|
9.1 Диаметр
|
м
|
DB
|
1,85
|
|
9.2 Расстояние от плоскости
винта до ¼ хорды крыла по оси двигателя
|
м
|
хВ
|
1,4
|
|
9.3 Площадь, ометаемая
винтом
|
м2
|
SOM=πDB2/4
|
2,69
|
|
9.4 Относительная площадь
крыла, обдуваемая винтом
|
м2
|
обд=
Sобд/ S
|
0,1
|
|
9.5 Относительная площадь
ГО, обдуваемая винтом
|
м2
|
ГО.обд=
SГО.обд/ S
|
0,15
|
|
10. Общие данные
|
|
10.1 Взлётная масса самолёта
|
кг
|
m0
|
880
|
|
10.2 Расчетная скорость
полета
|
км/ч
|
V
|
365
|
|
10.3 Расчетная высота
полета
|
км
|
H
|
2,5
|
|
10.4 Тип и количество
двигателей
|
|
n
|
1
проп. дв.
|
|
10.5 Стартовая тяга (мощность)
одного двигателя при V=0,
H=0
|
даН
(кВт)
|
Р0i
(N0i)
|
220
(300
)
|
|
10.6 Среднее за полет
аэродина- мическое качество рассматриваемого самолета
|
|
К
|
~12,8
|
|
10.7 Относительная масса
топлива
|
|
т
= mт
/ m0
|
0,2
|
|
|
|
|
|
2. Расчёт и построение зависимостей
cya(α) для различных режимов полёта
2.1 Расчёт и построение
зависимости критического числа Маха от коэффициента подъёмной силы Мкр(суа)
Эта зависимость задаётся
формулой:
Рисунок 2 — Зависимость
критического числа Маха от режима полёта
2.2 Расчёт и построение
вспомогательной зависимости суа(α)
Эта зависимость строится
для полёта на нулевой высоте при отсутствии экранного эффекта с убранными средствами
механизации крыла на минимальной скорости полёта, которая находится по следующей
формуле:
Ей соответствует число Маха:
Удлинение крыла данного
самолёта достаточно велико (λ>4), и поэтому для нахождения теоретического
наибольшего значения коэффициента подъёмной силы можно применить формулу:
Определяем три точки для
построения графика суа(α):
И строим по этим трём точкам
график зависимости коэффициента подъёмной силы от угла атаки, аппроксимируя её параболой
в области больших углов атаки (рисунок 3 и рисунок 4, кривая 1).
Рисунок 3 — Вспомогательная
зависимость коэффициента подъёмной силы от угла атаки.
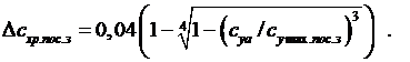
2.3 Расчёт и построение
взлётных кривых суа(α)
1) Во взлётном режиме закрылки
выпущены под углом:
Зная данную величину, а
также относительную хорду закрылков
, по справочным данным определяем приращение угла
атаки нулевой подъёмной силы из-за выпущенных закрылков:
То есть на взлёте этот угол
равняется:
Теперь можно найти приращение
максимального значения коэффициента подъёмной силы из-за выпущенных закрылков по
формуле:
где
- величина определяемая типом механизации
крыла. Данный самолёт оснащён простым безщелевым отклоняемым закрылком, для которого
. Для учёта влияния обдувки
крыла винтом на подъёмную силу найдём сначала коэффициент нагрузки винта по тяге
во взлётном режиме:
Зная данную величину, а
также относительную площадь крыла, обдуваемую винтом,
, по справочным данным определяем изменение максимального
значения коэффициента подъёмной силы за счёт обдувки крыла винтом:
.
Теперь можно вычислить максимальное
значение коэффициента подъёмной силы во взлётной конфигурации без учёта экранного
эффекта земли:
Исходя из найденных значений
и неизменившейся величины
, строим по аналогии со
вспомогательной зависимостью суа(α) из пункта 2.2 взлётную кривую
суа(α) без учёта экрана земли (рисунок 4, кривая 2).
2) Учтём теперь влияние
экрана земли, которое вносит такую поправку в коэффициент подъёмной силы:
А максимальное значение
коэффициента подъёмной силы во взлётной конфигурации с учётом экранного эффекта
земли равно:
Находим фиктивное удлинение
крыла, учитывающее влияние земли:
Тогда производная коэффициента
подъёмной силы по углу атаки с учётом экранного эффекта равна:
Используя найденные значения
, строим взлётную кривую
суа(α) с учётом влияния земли (рисунок 4, кривая 3).
2.4 Расчёт и построение
посадочных кривых суа(α)
1) Во время посадки закрылки
выпущены под углом:
Зная данную величину, а
также относительную хорду закрылков
, по справочным данным определяем приращение угла
атаки нулевой подъёмной силы из-за выпущенных закрылков:
То есть на посадке этот
угол равняется:
Теперь можно найти приращение
максимального значения коэффициента подъёмной силы из-за выпущенных закрылков по
формуле:
.
На посадке винт не влияет
на подъёмную силу крыла. Тогда максимальное значение коэффициента подъёмной силы
во взлётной конфигурации без учёта экранного эффекта земли равно:
Исходя из найденных значений
и неизменившейся величины
, строим посадочную кривую
суа(α) без учёта экрана земли (рисунок 4, кривая 4).2) Учтём теперь
влияние экрана земли, которое вносит такую поправку в коэффициент подъёмной силы:
А максимальное значение
коэффициента подъёмной силы в посадочной конфигурации с учётом экранного эффекта
земли равно:
Используя найденные значения
, строим посадочную кривую
суа(α) с учётом влияния земли (рисунок 4, кривая 5).
2.5 Расчёт и построение
крейсерских зависимостей cya(α)
Высота полёта расчётная
Н=2500 м, скорость звука на этой высоте равна аН=330,6 м/с . Скорость
полёта расчётная V=101,4 м/с , при этом число Маха равно:
Мрасч=V/аН=0,31.
Самолёт находится в полётной
конфигурации, то есть закрылки убраны. При этом для различных чисел Маха зависимость
cya(α) задаётся формулой:
Сводим в таблицу 2 параметры
этой зависимости для нескольких чисел Маха.
Таблица 2.
|
М
|
0,00
|
Мрасч=0,31
|
0,40
|
0,50
|
0,60
|
|
|
0,078
|
0,082
|
0,085
|
0,090
|
0,097
|
|
|
0,603
|
0,634
|
0,658
|
0,696
|
0,754
|
И по этим данным строим
крейсерские зависимости cya(α) (рисунок 5).
3. Расчёт и построение поляр
самолёта
3.1 Расчёт и построение
вспомогательной поляры
1) При построении данной
поляры принимают, что закрылки убраны, высота полёта нулевая, экранный эффект отсутствует,
скорость полёта минимальна (М=Мmin).
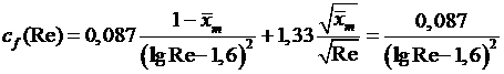
2) Для нахождения профильного
сопротивления фюзеляжа, сначала вычислим его число Рейносльдса:
Поскольку воздушный винт
находится спереди, то весь фюзеляж обдувается турбулентным потоком, т.е.
. Коэффициент сопротивления одной
стороны плоской пластины в таком потоке при заданном числе Рейнольдса Re равен:
Коэффициенты, учитывающие
вклад сил давления и эффекта сжимаемости в профильное сопротивление, вычисляются
так:

Профильное сопротивления
фюзеляжа как тела вращения определяют по формуле:
Далее учитываются конструктивные
особенности фюзеляжа путём определения приращения коэффициента профильного сопротивления:а)
из-за сужения кормовой части:
;
б) из-за её скошенности:
;
в) под влиянием фонаря кабины:
;
г) от установленного в носовой
части ПД воздушного охлаждения:
Итак, коэффициент профильного
сопротивления фюзеляжа равен:
.
Вычислив его для
М=Мmin и Н=0,
получаем:
.
3) Для расчёта профильного
сопротивления крыла найдём сначала его число Рейнольдса:
.
Коэффициенты, учитывающие
вклад сил давления и эффекта сжимаемости в профильное сопротивление, вычисляются
так:
Коэффициент профильного
сопротивления крыла находится так:
и равен
для М=Мmin и Н=0.
4) Для расчёта профильного
сопротивления стабилизатора найдём сначала его число Рейнольдса:
.
Коэффициенты, учитывающие
вклад сил давления и эффекта сжимаемости в профильное сопротивление, вычисляются
так:
Коэффициент профильного
сопротивления стабилизатора находится так:
и равен
для М=Мmin и Н=0.
5) Для расчёта профильного
сопротивления киля найдём сначала его число Рейнольдса:
Коэффициенты, учитывающие
вклад сил давления и эффекта сжимаемости в профильное сопротивление, вычисляются
так:
Коэффициент профильного
сопротивления киля находится так:
и равен
для М=Мmin и Н=0.
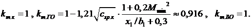
6) Рассматриваемый самолёт
является среднепланом. Коэффициент интерференции для крыла и фюзеляжа среднеплана
равен
. Тогда приращение
коэффициента профильного сопротивления крыла за счёт его взаимодействия с фюзеляжем
равно:
для М=Мmin и
Н=0
7) Стабилизатор установлен
вверху кормовой части фюзеляжа, а значит, коэффициент их интерференции равен
. Тогда приращение коэффициента
профильного сопротивления стабилизатора из-за его взаимодействия с фюзеляжем равно:
для М=Мmin и
Н=0 .8) Учтя вклад всех местных источников сопротивления: антенны, выхлопных патрубков,
стыков между листами обшивки, щелей между крылом (оперением) и управляющими поверхностями
- получаем следующее приращение к коэффициенту сопротивления, не зависящее от М,
Н, и α:
9) Вспомогательная поляра
строится при отсутствии тяги двигателя. При этом коэффициенты торможения потока
для крыла, стабилизатора и киля равны:
10)
Итак, коэффициент профильного
сопротивления равен:
Коэффициент сопротивления
при нулевой подъёмной силе равен:
11) Рассчитаем теперь индуктивное
сопротивление самолёта, для чего найдём коэффициент отвала поляры:
При М=Мmin:
.
Коэффициент индуктивного
сопротивления зависит от коэффициента подъёмной силы следующим образом:
12) Приращение коэффициента
сопротивления с увеличением угла атаки (подъёмной силы) оценивается следующим выражением:
Итак, теперь можно найти
коэффициент лобового сопротивления:
Шасси данного самолёта является
неубирающимся, поэтому его воздушное сопротивление (по статистике
) учитывается во всех режимах
полёта. Вычислим
для нескольких
значений угла атаки от
до
и занесём результаты в
таблицу 3.1.
По данным этой таблицы строятся
график вспомогательной зависимости
и вспомогательная поляра
с разметкой углов атаки на ней (рисунок
3.1 и рисунок 4, где кривая 6 - вспомогательная поляра).
Таблица 3.1.
|
|
-2,77
|
-2
|
0
|
2
|
4
|
6
|
8
|
10
|
12
|
14
|
16,73
|
|
|
0
|
0,060
|
0,215
|
0,370
|
0,525
|
0,680
|
0,836
|
0,991
|
1,145
|
1,259
|
1,315
|
|
|
0
|
0,000
|
0,000
|
0,000
|
0,001
|
0,001
|
0,003
|
0,005
|
0,009
|
0,016
|
0,040
|
|
|
0
|
0,000
|
0,003
|
0,009
|
0,019
|
0,031
|
0,047
|
0,067
|
0,089
|
0,107
|
0,117
|
|
|
0,041
|
0,041
|
0,044
|
0,050
|
0,060
|
0,074
|
0,091
|
0,112
|
0,139
|
0,164
|
0,198
|
Рисунок 3.1 — построение
вспомогательной поляры
3.2 Расчёт и построение
взлётных поляр
1) При построении данных
поляр принимают, что закрылки выпущены под углом 20О , высота полёта
нулевая, скорость полёта минимальна (М=Мmin). 2 — 8) Все промежуточные
величины, вычисленные в пунктах 2 — 8 при построении вспомогательной поляры (раздел
3.1), вычисляются по тем же формулам и имеют то же численное значение и во взлётном
режиме.9) Для учёта вклада обдувки самолёта винтом в лобовое сопротивление найдём
коэффициент нагрузки винта по тяге во взлётном режиме:
При этом коэффициенты торможения
потока для крыла, киля и стабилизатора равны:
Коэффициент дополнительного
сопротивления из-за обдува части крыла винтом определяется по формуле:
для М=Мmin и Н=0 .10)
Итак, коэффициент профильного
сопротивления равен:
Коэффициент сопротивления
при нулевой подъёмной силе равен:
11) Без учёта экрана земли
коэффициент отвала поляры рассчитывается по тем же формулам и имеет то же численное
значение, что и при расчёте вспомогательной поляры (раздел 3.1, пункт 11):
. С учётом экранного эффекта
коэффициент отвала поляры ищется по формулам:

Итак, коэффициент индуктивного
сопротивления без учёта и с учётом экранного эффекта ищется по формулам:
12) Приращение коэффициента
сопротивления с увеличением угла атаки (подъёмной силы) оценивается следующим выражениями
(без учёта и с учётом экранного эффекта):
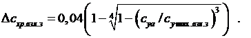
13) Выпущенные на 20О
при взлёте закрылки увеличивают коэффициент сопротивления на величину:
где
для данного угла отклонения закрылков
определяется по справочным данным на основе относительной хорды закрылков.Теперь
находим коэффициент лобового сопротивления во взлётном режиме (без учёта и с учётом
экранного эффекта):
Вычислим
для нескольких значений угла
атаки от
до
и занесём результаты в таблицу
3.2.1. По данным этой таблицы строятся взлётные поляры без учёта экрана земли (рисунок
4, кривая 7).
Таблица 3.2.1
|
|
-9,67
|
-6
|
-3
|
0
|
3
|
6
|
8
|
10
|
12
|
14
|
15,07
|
|
|
0
|
0,285
|
0,518
|
0,750
|
0,983
|
1,218
|
1,371
|
0,991
|
1,515
|
1,662
|
1,669
|
|
|
0
|
0,000
|
0,000
|
0,001
|
0,002
|
0,005
|
0,007
|
0,005
|
0,012
|
0,027
|
0,039
|
|
|
0
|
0,005
|
0,018
|
0,038
|
0,065
|
0,100
|
0,127
|
0,067
|
0,155
|
0,187
|
0,188
|
|
|
0,111
|
0,116
|
0,129
|
0,150
|
0,179
|
0,215
|
0,245
|
0,112
|
0,278
|
0,325
|
0,339
|
Вычислим
для нескольких значений угла
атаки от
до
и занесём результаты в таблицу
3.2.2. По данным этой таблицы строятся взлётные поляры с учётом экрана земли (рисунок
4, кривая 8).
Таблица 3.2.2
|
|
-9,67
|
-8
|
-6
|
-4
|
-2
|
0
|
2
|
4
|
6
|
8
|
9,62
|
|
|
0
|
0,155
|
0,340
|
0,525
|
0,711
|
0,896
|
1,081
|
1,267
|
1,433
|
1,530
|
1,491
|
|
|
0
|
0,000
|
0,000
|
0,000
|
0,001
|
0,002
|
0,004
|
0,007
|
0,013
|
0,021
|
0,039
|
|
|
0
|
0,001
|
0,004
|
0,008
|
0,015
|
0,024
|
0,036
|
0,049
|
0,063
|
0,071
|
0,074
|
|
|
0,111
|
0,112
|
0,115
|
0,120
|
0,128
|
0,138
|
0,151
|
0,167
|
0,187
|
0,204
|
3.3 Расчёт и построение
посадочных поляр
1) При построении данных
поляр принимают, что закрылки выпущены под углом 40О, высота полёта нулевая,
скорость полёта минимальна (М=Мmin). 2 — 10) При посадке двигатель работает
на очень слабом или холостом ходу, и поэтому вкладом обдувки от воздушного винта
в сопротивление можно пренебречь. Поэтому все промежуточные величины, вычисленные
в пунктах 2 — 10 при построении вспомогательной поляры (раздел 3.1), вычисляются
по тем же формулам и имеют то же численное значение и в посадочном режиме. В итоге:
11) Индуктивное сопротивление
и с учётом, и без учёта экранного эффекта задается одними и теми же формулами в
посадочном и во взлётном (раздел 3.2, пункт 11) режимах.
12) Приращение коэффициента
сопротивления с увеличением угла атаки (подъёмной силы) оценивается следующим выражениями
(без учёта и с учётом экранного эффекта):
13) Выпущенные на 40О
при посадке закрылки увеличивают коэффициент сопротивления на величину:
где
для данного угла отклонения закрылков
определяется по справочным данным на основе относительной хорды закрылков. Теперь
находим коэффициент лобового сопротивления во взлётном режиме (без учёта и с учётом
экранного эффекта):
Вычислим
для нескольких значений угла
атаки от
до
и занесём результаты в таблицу
3.3.1. По данным этой таблицы строятся посадочные поляры без учёта экрана земли
(рисунок 4, кривая 9).
Таблица 3.3.1
|
|
-14,8
|
-11
|
-8
|
-5
|
-3
|
-1
|
1
|
4
|
7
|
9
|
12,45
|
|
|
0
|
0,295
|
0,528
|
0,761
|
0,916
|
1,071
|
1,226
|
1,459
|
1,677
|
1,774
|
1,839
|
|
|
0
|
0,000
|
0,000
|
0,001
|
0,001
|
0,002
|
0,003
|
0,006
|
0,012
|
0,017
|
0,040
|
|
|
0
|
0,006
|
0,019
|
0,039
|
0,057
|
0,077
|
0,102
|
0,144
|
0,190
|
0,213
|
0,228
|
|
|
0,180
|
0,186
|
0,199
|
0,220
|
0,238
|
0,260
|
0,285
|
0,330
|
0,382
|
0,410
|
0,448
|
Вычислим
для нескольких значений угла
атаки от
до
и занесём результаты в таблицу
3.3.2 По данным этой таблицы строятся посадочные поляры с учётом экрана земли (рисунок
4, кривая 10).
Таблица 3.3.2
|
|
-14,8
|
-12
|
-10
|
-8
|
-6
|
-4
|
-2
|
0
|
2
|
4
|
6,44
|
|
|
0
|
0,260
|
0,445
|
0,630
|
0,816
|
1,001
|
1,186
|
1,372
|
1,547
|
1,662
|
1,712
|
|
|
0
|
0,000
|
0,000
|
0,001
|
0,001
|
0,002
|
0,004
|
0,007
|
0,011
|
0,018
|
0,040
|
|
|
0
|
0,002
|
0,006
|
0,012
|
0,020
|
0,031
|
0,043
|
0,057
|
0,073
|
0,084
|
0,089
|
|
|
0,180
|
0,182
|
0,186
|
0,193
|
0,202
|
0,213
|
0,227
|
0,244
|
0,264
|
0,283
|
0,309
|
Рисунок 4 — Вспомогательные,
взлётные и посадочные зависимости суа(α) и поляры самолёта.
3.4 Расчёт и построение
крейсерских поляр
1) Высота полёта расчётная
Н=2500 м , скорость звука на этой высоте равна аН=330,6 м/с , кинематическая
вязкость воздуха равна νН=1,79*10-5м2/с .
Самолёт находится в полётной конфигурации, то есть закрылки убраны. 2 — 8, 11, 12)
Все промежуточные величины, вычисленные в пунктах 2 — 8, 11, 12 раздела 3.1, и здесь
вычисляются по тем же формулам для различных чисел Маха. А при М=0 числа Рейнольдса,
входящие в эти формулы, вычисляются для расчётной скорости V=101 м/с . 9,10) В крейсерском
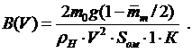
режиме полёта коэффициент нагрузки винта по тяге равен:
Величины, вычисленные в
пунктах 9, 10 раздела 3.2, и здесь вычисляют по тем же формулам, подставляя в них
данное значение B(V), для различных чисел Маха (скоростей).Результаты расчёта для
различных чисел Маха и суа сводим в таблицу:
Таблица 3.4
|
М
|
0,0
|
0,3
|
0,4
|
0,5
|
0,6
|
|
схо
|
0,025
|
0.028
|
0.027
|
0.027
|
0.027
|
|
суа
|
схi
|
сха
|
схi
|
сха
|
схi
|
сха
|
схi
|
сха
|
схi
|
сха
|
|
0,0
|
0
|
0,037
|
0
|
0,042
|
0
|
0,041
|
0
|
0,041
|
0
|
0,041
|
|
0,1
|
0,001
|
0.038
|
0,001
|
0.043
|
0,001
|
0.042
|
0,001
|
0.042
|
0,001
|
0.042
|
|
0,2
|
0,003
|
0,040
|
0,003
|
0,045
|
0,003
|
0,044
|
0,003
|
0,044
|
0,003
|
0,044
|
|
0,3
|
0,006
|
0.043
|
0,006
|
0.048
|
0,006
|
0.047
|
0,006
|
0.047
|
0,006
|
0.047
|
|
0,4
|
0.011
|
0.048
|
0.011
|
0.053
|
0.011
|
0.052
|
0.011
|
0.052
|
0.011
|
0.052
|
|
0,5
|
0.017
|
0.054
|
0.017
|
0.059
|
0.017
|
0.058
|
0.017
|
0.058
|
0.017
|
0.058
|
|
0,6
|
0.024
|
0.062
|
0.024
|
0.067
|
0.024
|
0.066
|
0.024
|
0.066
|
0.024
|
0.066
|
|
0,7
|
0.033
|
0.072
|
0.033
|
0.077
|
0.033
|
0.076
|
0.033
|
0.076
|
0.033
|
0.076
|
|
0,8
|
0.043
|
0.083
|
0.043
|
0.088
|
0.043
|
0.087
|
0.043
|
0.087
|
0.043
|
0.087
|
|
0,9
|
0.054
|
0,095
|
0.055
|
0,100
|
0.055
|
0,099
|
0.055
|
0,099
|
0.055
|
0,099
|
|
1,0
|
0.067
|
0.110
|
0.068
|
0.115
|
0.068
|
0.114
|
0.068
|
0.114
|
0.068
|
0.114
|
|
1,1
|
0.081
|
0.126
|
0.082
|
0.131
|
0.082
|
0.130
|
0.082
|
0.130
|
0.082
|
0.130
|
|
1,2
|
0.096
|
0.146
|
0.097
|
0.151
|
0.097
|
0.150
|
0.097
|
0.150
|
0.097
|
0.150
|
|
1,315
|
0.116
|
0.187
|
0.117
|
0.192
|
0.117
|
0.191
|
0.117
|
0.191
|
0.117
|
0.191
|
Рисунок 5 — Крейсерские
поляры и зависимости суа (α).
БИБЛИОГРАФИЧЕСКИЙ СПИСОК
1. Остовлавский И.В. Аэродинамика самолёта.
- М.: Оборонгиз, 1957.
2. Меньшиков В.И. Аэродинамические характеристики
самолётов: Учебное пособие. - Харьков: Харьк. Авиац. Ин-т, 1984.
3. Мхитарян А.М. Аэродинамика. - М.: Машиностроение,
1976.