Кинетическая энергия манипулятора
КИНЕМАТИКА
I Определить скорость и ускорение
точки М методом простого движения точки
Составим уравнения
точки М
Определим проекции
скорости точки М на оси координат
Квадрат модуля
скорости точки М вычислим по формуле:
Определим проекции
ускорения точки М на оси координат
Модуль ускорения точки
М
II Определить скорость и ускорение
точки М методом сложного движения точки
По теореме о сложении
скоростей имеем:
;
;
По методу проекции
имеем:
По теореме о сложении
ускорений имеем:
По методу проекции
имеем:
Модуль ускорения
точки М
СТАТИКА
Дано:
|
φ1=-30
|
l1=0,6 м
|
S0=1 см2
|
|
φ2=-75
|
Fy=6 H
|
l2=0,6 м
|
ρ(стали)=7,8 г/см3
|
|
Fz=2 H
|
l3=0,4 м
|
g=10 м/с2
|
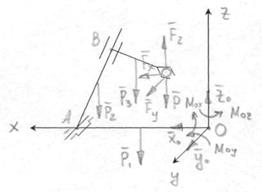
Рассмотрим равновесие
всего манипулятора
Рассмотрим равновесие
руки манипулятора
Рассмотрим равновесие
без руки манипулятора



ДИНАМИКА
Дано:
|
l1=0,6 м
|
m1=0,468 кг
|
t=2c
|
|
l2=0,6 м
|
m2=0,468 кг
|
|
|
l3=0,4 м
|
m3=0,312 кг
|
|
|
g=10 м/с2
|
m=0,5 кг
|
|
n=2 – число степеней свободы

- Уравнения Лагранжа 2 рода
Определим кинетическую
энергию манипулятора
, т.к. первая деталь
манипулятора неподвижна
Вычисляем частные
производные
Вычисляем обыкновенные
производные по времени
Активные силы: МУП1,
МУП2, Р1, Р2, Р3, РМ.
1)
2)
Подставляем
преобразованные выражения в уравнения Лагранжа 2 рода