Баттерворт фильтрі
Баттерворт
Фильтры
Баттерво́рт Фильтры - электронды фильтрлардың бір түрі. Бұл топтың фильтрлары басқалардан
жобалау әдісімен ерекшеленеді. Баттерворт Фильтры өткізу жолағында
оның амплитуда-жиіліктік сипаттамасы барынша біртегіс болатындай етіп
жобаланады. Мұндай фильтрлер алғаш рет Стефан Баттерворт атты
британдық инженердің "Фильтрлейтін күшейткіштер теориясы
жайлы" (ағылш. On the Theory of Filter Amplifiers), Wireless Engineer журналында 1930 жылы.
Баттерворт фильтрының амплитуда - жиіліктік сипаттамасы
өткізу жолағының жиілігінде барынша біртегіс және басу
(полоса подавления) жолағында 0-ге дейін төмендейді. Логарифмді
АФЖС (АФЧХ) -да Баттерворт фильтрының жиіліктік отклигінің
(частотный отклик) басу жолағында амплитуда минус шексіздікке дейін төмендейді.
Бірінші реттік фильтр кезінде АЖС - 6 децибел октаваға (-20 децибел
декадаға) жылдамдығымен өшеді (негізінде бірінші реттік
фильтрлардың барлығы типке байланыссыз идентипті және де
бірдей жиілікті отклик). Екінші реттік Баттерворт фильтры үшін АЖС - 12
дБ октаваға өшеді, үшінші реттік фильтр үшін - 18 дБ т.
с. с. Баттерворт фильтрының АЖС-сы - жиіліктің монотонды кемитін
функциясы. Баттерворт Фильтры-жоғарғы ретте (басу жолағында
сипаттаманың одан да асатындарын есепке алмағанда) АЖС сақтайтын
фильтрлардың жалғыз түрі, солай болып тұра фльтрлардың
көптеген түрлері (Бессель фильтрі, Чебышев фильтрі, Эллипстік
фильтрі) әр түрлі ретті түрлі АЖС болады.
Чебышев фильтрінің І және ІІ типтерімен немесе
эллипстік фильтрмен салыстырғанда Баттерворт фильтрінің сипаттамасы
оларпдыңкінен де біртегіс түсуі бар және сондықтан оның
үлкен реті болуы қажет(орындалуында өте қиын), оның
барлығы басу жолағының жиіліктерінде қажетті
сипаттамаларды қамтамасыз ету үшін. Бірақ Баттерворт
фильтрінің өткізу жолағында аса түзу сызықты
фаза-жиіліктік сипаттамасы бар.
Сурет 1-Фильтрлардың сипаттамалары
Баттерворт фильтрінің 1-ден 5-ке дейінгі төмеңгі
жиіліктік реттер үшін АЖС. Сипаттаманың иілуі - 20n
дБ/декадаға, мұнда n - фильтрдің реті.
Барлық фильтрлер үшін сияқты олардың
АЖС қарастырған кезде төменгі жиілікті фильтрларды
пайдаланады, олардан оп-оңай жоғары жиілікті фильтрді алуға
болады, ал осындай фильтрлерді тізбектей жалғасақ,--жолақты
фильтр немесе режекторды фильтр.
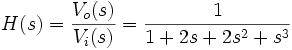
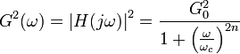
- ші реттегі Баттерворт фильтрінің амплитуда-жиліктік
сипаттамасы
жіберуші функциядан
алынуы мүскін (1):
(1)
мұнда
- фильтрдің реті
- үзілістің (срез) жиілігі (амплитудасы −3dB
болатын жиілік)
- тұрақты құраушының күшею
коэффициенті (нөлдік жиіліктегі күшею)
Шексіз
мағыналары үшін АЖС тікбұрышты функция
болатынын, және де үзіліс жиілігінен кем жиіліктер күшейту
коэффициенті
-мен өтетінін, ал үзіліс жиілігінен жоғары
жиіліктер толығыиен өшеті байқау қиын емес. Соңғы
мағыналары үшін
сипаттаманың өшуі біртегіс болады.
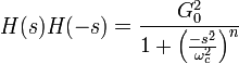
формальды ауыстырғыш көмегімен
өрнегін (2) мына
түрде
:
(2)
Жіберетін функцияның полюстері радиусы
болатын дөңгелекте
бірі-бірінен бірдей алыстықта сол жақ жартылайжазықтықта
орналасқан. Яғни, Баттерворт фильтрінің жіберуші функциясын
оның сол жақ жартылайжазықтықтың s-жазықтығын
анықтай отырып анықтауға болады (3), (4) өрнектер.
-шы полюс келесі өрнектен шығады:
(3)
Мұндағы
(4)
(5)
Аналогты түсіндірмелер Баттерворттың сандық
фильтрлеріне қолданылады, мұндағы тек айырмашылығы өрнектер
s-жазықтық үшін емес z-
<#"478353.files/image019.gif">үзіліс жилігімен нормиронады.
Баттерворттың нормиронған полиномалары, осындай жолмен (6) және
(7) өрнектер, канондық формаға ие болады.:
,
- жұп (6)
, (7)
- тақ
Максимальды біртегістік
және
қабылдап, жиілік бойынша амплитудты сипаттаманың
тундысы (8) өрнек түрінде:
(8)
Ол барлық
үшін монотонды
кемиді, өйткені күшею коэффициенті әрқашан қанағаттанарлық
(положителен). Демек, Баттерворт фильтрінің АЖС-да пульсация болмайды.
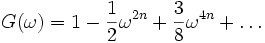
Амплитудты сипаттаманы қатарға жазғанда (9) өрнекті
алатынымыз:
(9)
Басқаша айтқанда, амплитудты-жиіліктік
сипаттаманың барлық туындылары жиілігі 2n-шіге дейін нольге
тең болатындығы нан "максималды біртегістік" шығады.
Сипаттаманың жоғары жиіліктерде түсуі
қабылдап, АЖС-ның жоғары
жиіліктегі логарифмнің иілуін табамыз:
(10)
Децибелл түрінде жоғарыжиілікті саимптотаның
иілуі −20n дБ/декадаға.
Фильтрдің жобалануы
Топологиялық фильтрлардың түрлі қатарлары
бар, олардың көмегімен сызықты аналогты фильтрлер орындалады.
Бұл схемалар элементтердің мағынасымен ғана
ерекшеленеді, ал олардың құрылымы өзгеріссіз қалады.
Кауэрдің топологиясы
Кауэр топологиясы пассивті элементтерді (сыйымдылық және
индуктивтілік) қолданады Баттеворт фильтрі берілген жіберуші функциямен
Кауэра 1 тип формасында құрылуы мүмкін, фильтрдің k-ы
элементі өрнекпен беріледі:
; k жұп (11)
; k тақ (12)
Саллен-Кей
топологиясы
Саллен-Кей топологиясын пассивті элементтерден басқа
активті элементтер (операциялық күшейткіштер және сыйымдыылық)
де пайдаланады. Саллен-Кей схемасының әрбір каскады математикалық
сипатталатын комплексті-байланысқан полюстердің жұбымен
сипатталатын фильтр болып табылады. Бүкіл фильтр барлық каскадтардың
тізбектей жалғануынан құралады. Егер жарайтын
(действительный) полюс түссе, ол жеке орындалуы тиіс, әдетте
RC-сымы түрінде және ортақ схемаға қосылған.
Саллен - Кей схемасында әр каскадтың жіберуші
функциясының түрі келесі:
Бөлімі Баттерворттың полиномасының көбейткіштерінің
болуы керек.
қабылдап, алатынымыз:
(14)
және
(15)
Соңғы қатынас көлденең таңдалуы
мүмкін екі белгісізді береді.
сызықты фильтрлармен салыстыру
Төмендегі сурет Баттерворт фильтрінің АЖС-н басқа
белгілі бірдей (бесінші) реттегі фильтрларын салытыра отырып көрсетеді:
Сурет 2-Фильтрлардың амплитуда - жиіліктік сипаттамасы
Суреттен көрініп тұрғандай, Баттерворт
фильтрінің түсуі төртеуінен қарағанда ең
жайы, бірақ оның АЖС-сы өткізу жолағының
жиілігінде ең біртегіс.
Мысал
Баттерворттың төменгі жиіліктегі (Кауэр
топологиясы) аналогты фильтры
үзіліс жиілігімен келесі элементтердің
номиналдарымен:
фарад,
ом,
и
генри.
Комплексті аргумент жазықтығында H (s) жіберуші функцияның тығыздығының
логарифмді графигі 3-ретті Баттерворт фильтрінің
үзіліс
жиілігімен. Үш полюс бірлік радиустың дөңгелегінің
сол жақ жартылайжазықтығында жатады.
Баттерворттың аналогты төмен жиілікті 3 -
фильтрін қарастырайық мыналармен қоса
фарад,
ом,
және
генри. C сыйымдылықтардың
толық кедергісін 1/Cs түрінде және L
индуктивтіліктердің толық кедергісін Ls түрінде, мұнда
- комплексті айнымалы, және
элетр схемаларын есептейтін теңдеулерді қодана отырып, мынадай
фильтр үшін келесі жіберуші функцияны аламыз:
АЖС теңдеумен беріледі:
Ал ФЖС
келесі теңдеумен:

Комплексті жазықтықтағы жіберуші функция
модулінің графигі сол жақтағы үш полюсті көрсетеді.
Жіберуші функция толығымен осы полюстардың бірлік дөңгелекте
орналасуымен дәл оське қатысы симметриялы анықталады. Әрбір
индуктивтілікті сыйымдылықпен, ал сыйымдылықты-индуктивтіліктермен
ауыстыра отырып Баттерворттың жоғарыжиілікті фильтрін аламыз.
және 3-ретті Баттерворт фильтрінің топтық
ауытқуы
үзіліс жиілігімен.
Әдебиет
1. В.А.
Лукас Теория
автоматического управления. - M.: Недра, 1990.
2. Б.Х.
Кривицкий Справочник
по теоретическим основам радиоэлектроники. - М.: Энергия, 1977.
3. Miroslav
D. Lutovac
Filter Design for Signal Processing using MATLAB© and Mathematica©. - New
Jersey, USA.: Prentice Hall, 2001. - ISBN 0-201-36130-2
<http://ru.wikipedia.org/wiki/СлужебнаÑ:BookSources/0201361302>
4. Richard
W. Daniels
Approximation Methods for Electronic Filter Design. - New York: McGraw-Hill,
1974. - ISBN 0-07-015308-6
<http://ru.wikipedia.org/wiki/СлужебнаÑ:BookSources/0070153086>
5. Steven
W. Smith ’The Scientist and Engineers Guide to Digital Signal
Processing <http://dspguide.com/>. - Second Edition. - San-Diego:
California Technical Publishing, 1999. - ISBN
0-9660176-4-1 <http://ru.wikipedia.org/wiki/СлужебнаÑ:BookSources/0966017641>
6. Britton
C. Rorabaugh Approximation Methods for Electronic Filter Design. - New York:
McGraw-Hill, 1999. - ISBN 0-07-054004-7
<http://ru.wikipedia.org/wiki/СлужебнаÑ:BookSources/0070540047>
7. B.
Widrow, S.D. Stearns Adaptive Signal Processing. - Paramus, NJ: Prentice-Hall,
1985. - ISBN 0-13-004029-0
<http://ru.wikipedia.org/wiki/СлужебнаÑ:BookSources/0130040290>
8. S.
Haykin
Adaptive Filter Theory. - 4rd Edition. - Paramus, NJ: Prentice-Hall, 2001. - ISBN 0-13-090126-1 <http://ru.wikipedia.org/wiki/СлужебнаÑ:BookSources/0130901261>
9. Michael
L. Honig, David G. Messerschmitt Adaptive Filters - Structures, Algorithms, and
Applications. - Hingham, MA: Kluwer Academic Publishers, 1984. - ISBN 0-89838-163-0 <http://ru.wikipedia.org/wiki/СлужебнаÑ:BookSources/0898381630>
10. J.D.
Markel, A.H. Gray, Jr. Linear Prediction of Speech. - New York: Springer-Verlag,
1982. - ISBN 0-387-07563-1
<http://ru.wikipedia.org/wiki/СлужебнаÑ:BookSources/0387075631>
11. L.R.
Rabiner, R.W. Schafer Digital Processing of Speech Signals. - Paramus, NJ:
Prentice-Hall, 1978. - ISBN 0-13-213603-1
<http://ru.wikipedia.org/wiki/СлужебнаÑ:BookSources/0132136031>
12. Richard
J. Higgins
Digital Signal Processing in VLSI. - Paramus, NJ: Prentice-Hall, 1990. - ISBN 0-13-212887-X <http://ru.wikipedia.org/wiki/СлужебнаÑ:BookSources/013212887X>
13. A.V.
Oppenheim, R.W. Schafer Digital Signal Processing. - Paramus, NJ: Prentice-Hall,
1975. - ISBN 0-13-214635-5
<http://ru.wikipedia.org/wiki/Служебная:BookSources/0132146355>
14. L.R.
Rabiner, B. Gold Theory and Application of Digital Signal Processing. - Paramus, NJ:
Prentice-Hall, 1986. - ISBN 0-13-914101-4
<http://ru.wikipedia.org/wiki/СлужебнаÑ:BookSources/0139141014>
15. John
G. Proakis, Dimitris G. Manolakis Introduction to Digital Signal Processing. - Paramus,
NJ: Prentice-Hall, 1988. - ISBN 0-02-396815-X
<http://ru.wikipedia.org/wiki/СлужебнаÑ:BookSources/002396815X>