Расчет отопления здания

  • Вид работы:
    Курсовая работа (т)
  • Предмет:
    Строительство
  • Язык:
    Русский
    ,
    Формат файла:
    MS Word
    241,23 kb
  • Опубликовано:
    2011-03-07
Вы можете узнать стоимость помощи в написании студенческой работы.
Помощь в написании работы, которую точно примут!

Расчет отопления здания

Министерство образования и науки Российской Федерации

Негосударственное образовательное учреждение

Высшего профессионального образования

«Камский институт гуманитарных и инженерных технологий»








ПОЯСНИТЕЛЬНАЯ ЗАПИСКА

к курсовому проекту

По дисциплине: «Теплоснабжение»

На тему: «Расчет отопления здания»


Выполнил:

Решетников С.В.

Студент группы: ДТ – 69

Проверил:

Русинова Н.Г.


Ижевск, 2010

Содержание

1. Исходные данные и характеристика объекта

2. Расчет строительных конструкций

3. Расчёт тепловой мощности системы отопления, теплопотерь и тепловыделений

4. Выбор и расчёт нагревательных приборов системы отопления

5. Гидравлический расчёт принятой системы отопления

6. Расчёт основного оборудования теплового пункта

Список использованной литературы

1. Исходные данные и характеристика объекта

·   Район строительства: Ульяновск.

·   Количество этажей в здании 3.

·   Высота типового этажа 3.0 м .

·   Высота подвального помещения 2.5 м.

·   Размер оконного проема 1.4х2.0

·   По СНиП 23.01-2003 «Строительная климатология»

- tн= -31℃.

- z=228 дней.

- tср.от.пер= -4.4℃.

·   Температура внутри здания:

- жилая комната tв=20℃

- туалет tв=16℃

- лестничная клетка tв=16 ℃

- «+2℃ на угловые помещения»

2. Расчет строительных конструкций

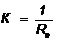
Задача расчета строительных конструкций – определение коэффициентов теплопередачи – К

 (2.1)

где К – это количество тепла, проходящее за единицу времени через 1 м2 ограждения при разнице температур на улице и в помещении в 1 °С.

Ro – термическое сопротивление ограждения.

 (2.2)

где в – коэффициент тепловосприятия у внутренней поверхности стены, [12], таблица 4

н - коэффициент тепловосприятия у наружной поверхности стены, [12], таблица 6

d [м]- толщина отдельного слоя;

l - коэффициент теплопроводности отдельного слоя, принимается по приложению 3 [12] по графе А или Б. Показателем графы служит карта зон влажности приложение 1 [12] и приложение 2 [12]

Контрольной величиной в расчет вводится требуемое термическое сопротивление:

 (2.3)

где tн [°C] – наружная температура воздуха, [8], таблица 1.

n – коэффициент на разность температур, [12], таблица 3

Градусо-сутки отопительного периода (ГСОП):

ГСОП= (tв-tоп) Zоп [°С сут] (2.4)

где tоп – средняя температура отопительного периода, [8], по таблице 1.

Zоп – количество суток отопительного периода, [8], таблица 1.

Расчет коэффициента теплопередачи наружной стены

 

Буква расчета - А

d3 = 250мм=0,25м

d4 = 20мм=0,02м

d1 =120мм=0,120м

tв = 20°С  [3] таблица

tн = -31°С  [8] таблица 1

tоп = -4.4°С  [8] таблица 1

Z = 228 cут [8 ] приложен 1

[12] таблица 4

 [12] таблица 6

l1=0,70 [12] приложен 3

l2=0,041 [12] приложен 3

l3=0,58 [12] приложен 3

Определение ГСОП Dd:

Dd =(tв-tоп)Z=( 20- (- 4.4))*228= 5563.2(℃. Сут)

Термическое сопротивление из условия энергосбережения:


R1, R2,Dd,Dd1, Dd2 – определяем по таб. 1 б [3]

=0.08 м

в=8.7, н=23 (СНиП)

Определяется общая толщина стены:

Определяется коэффициент теплоотдачи стены:

Расчет коэффициента теплопередачи пола над подвалом

 


d1 = 0,22 м.

d2 = 0,005 м.

d4 = 0,02 м.

d5 = 0,01 м.

[12] таблица 4

 [12] таблица 6

l1=1.92[12] приложение 3

l2=0,17  

l3=0,041  

l4=0,76  

l5=2.91  

Термическое сопротивление из условия энергосбережения:


R1, R2,Dd,Dd1, Dd2 – определяем по таб. 1 б [3]

=0.158 м

в=8.7, н=6 (СНиП)

Определяется общая толщина стены:

Определяется коэффициент теплоотдачи стены:

Расчет коэффициента теплопередачи чердачного перекрытия


d1 = 0,22 м.

d2 = 0,005 м.

d4= 0.05 м.

d5 = 0.02 м

d6 = 0.02 м

 

l1=1.92

l2=0,17

l3=0,21  

l4=0,47  

l6=0.76

l6=0.17

Термическое сопротивление из условия энергосбережения:


R1, R2,Dd,Dd1, Dd2 – определяем по таб. 1 б [3]

=0.56 м

в=8.7, н=12 (СНиП)

Определяется общая толщина стены:

Определяется коэффициент теплоотдачи стены:

Расчет коэффициентов дверей, окон, проемов

Коэффициент теплопередачи дверей:

=0.5

=0.27*Нзд (2-я дверь с тамбуром)

=0.34* Нзд (2-я дверь без тамбура)

=0.42* Нзд (одиночная дверь)

Hэт=3 м

Hпод= 2.5 м

Нзд=12.56 м

=0.34*12.56=4.27

Коэффициент теплопередачи окон:


Ответы :

Кст=0.34 ВТ/м2℃

Кпол=0.24 ВТ/м2℃

Кок=2.08 ВТ/м2℃

Кдв=6.27 ВТ/м2℃

3. Расчёт тепловой мощности системы отопления, теплопотерь и тепловыделений

Общие теплопотери здания:

Qобщ = Qосн (1+b) + Qинф [Вт]

где Qосн – основные теплопотери, учитывающие только размеры помещения

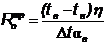
Qосн = кА (tв – tн) n [Вт]

к  – коэффициент теплопередачи ограждения

А м2– площадь ограждений;

tв °С – внутренняя расчетная температура;

tн °С – наружная расчетная температура, принимается температура наиболее холодной пятидневки с обеспеченностью 0.92 по таблице 1[8];

n – коэффициент учитывающий зависимость положения ограждающей конструкции по отношению к наружному воздуху, принимается по таблице 6 [9];

b - коэффициент добавок в долях.

Различают следующие добавки:

 








Qинф – количество тепла на прогрев воздуха через окна и двери

Qинф = 0,28 Св qинф lпроем (tв – tн) Кинф [Вт]

где Св – удельная массовая теплоемкомкость воздуха Св=1,07

qинф – количество воздуха инфильтрированного в единицу времени через 1 м2 ширины проема

qинф = 8,75 кг/час - для окон

qинф = 35 кг/час - для дверей.

Кинф – коэффициент инфильтрации = 0,9 – 1

4. Выбор и расчёт нагревательных приборов системы отопления

Расчет сводится к определению числа чугунных радиаторов и определению марки и числа других приборов.

Min число секций чугунных радиаторов:


где Qнт – номинальный тепловой поток для подбора прибора [Вт]


Qпр – теплоотдача прибора без учета теплоотдачи стояков и подводок [Вт]


Qрасч – расчетная тепловая нагрузка на прибор – берется из расчета теплопотерь

Qтр – теплоотдача открыто-проложенных стояков и подводок отдающих тепло воздуху помещения

Qтр – 100Вт если Æ стояка 15 мм.

Qтр – 150Вт если Æ стояка 20 мм.

Qтр – 200Вт если Æ стояка 25 мм.

При нагрузках на стояк 300 Вт и менее Qлр не учитывается. Для верхних узлов с нижней разводкой Qтр принимается на половину меньше.

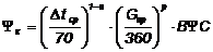
Qну – номинальный условный тепловой поток – тепловой поток через 1 секцию нагревательного прибора, принимается по приложению 3 таблица 3.9

Dtпр – перепад между средней температурой в приборе и воздухом


Gcт – расход воды через стояк


Yк – комплексный коэффициент приводящий систему в реальные условия


где n, p, c – из приложения 3, таблица 3.8

В - коэффициент учёта расчётного атмосферного давления, для отопительных приборов приложение 3 таблица 3.9

Y - коэффициент зависящий от направления движения воды, при направлении воды снизу вверх [2], таблица 9.11, если сверху вниз:


где а – коэффициент затекания воды в приборных узлах с радиаторами чугунными секционными, принимается по приложению 3 таблица 3.6

tвх – температура входа воды в каждый прибор


SQiпред – сумма нагрузок приборов предыдущих расчетному

b1 – коэффициент учитывающий число секций, приложение 3 таблица 3.4

b2 – коэффициент на установку прибора приложение 3 таблица 3.5

5. Гидравлический расчет

Задача гидравлического расчета - определение диаметров магистрали, стояков, подводок при расходе теплоносителя в них, обеспечивающем требуемую теплоотдачу нагревательных приборов.

Существует 3 метода расчета:

1. Метод динамических давлений.

2. Метод удельных потерь давления.

3. Метод характеристик сопротивления.

Метод динамических давлений.

Расчет ведется по формуле:

Нрасп > Нсист ; Па.

где Нрасп - располагаемое давление, условно заданное на вводе

потеря напора из расчета экономических диаметров и скоростей

Нрасп = 6000 - 7000 Па для систем небольшой этажности и протяженности.

Нрасп = 8000 - 13000 Па для систем средней этажности и протяженности.

Нрасп более 13000 Па для систем высотных зданий и большой протяженности.

Нсист - сопротивление системы отопления.

Нсист =Σζпр∙ Рдин. Па.

где Σζпр - приведенный коэффициент сопротивлений.

Σζпр=λ∙L/d+ Σζту+ Σζм

где λ∙L/d - приведенный коэффициент трения. Приложение 3 таблица 3.1.

Σζту- сумма приведенных сопротивлений местных типовых узлов. Приложение 3 таблица 3.2. для чугунных радиаторов

Σζм - сумма местных сопротивлений, приложение 3 таблица 3.3

Рдин. - динамический или скоростной напор, определяется по приложению 2 с учётом оптимальных диаметров и расхода потока.

Таблица гидравлического расчёта системы отопления.

Nуч

Qуч

t

Gуч

d

мм

L

м

λ/d

λ∙L/d

Σζту

Σζм

м

Σζпр

Pдин

Hсис

ΣHсис

H %

1

2

3

4

5

6

7

8

9

10

11

12

13

14

15

Главная расчетная ветка через стояк 14

Ст14

6344

25

218

20

4

1.8

7.2

79.56

-

86.76

15.3

1327

1327


1-2

6344

25

218

20

15

1.8

27

-

9

36

15.3

550.8

1877.8


2-3

11899

25

409

12

1.4

16.8

-

3

19.8

20.5

405.9

2283.7


3-4

17377

25

598

32

12

1.0

12

-

3

15

14

210

2493.7


4-А

22855

25

786

40

9.5

0.8

7.6

-

22

29.6

14.85

439.56

2933.26


А-Б

39410

25

1355

50

11.5

0.55

6.33

-

6

12.33

14.85

183.1

3116.36


Б-Эл

78885

25

2713

65

24.5

0.4

9.64

-

30

39.64

22.55

893.8

4010.16

0.98%

Ст8

3406

25

117

4

2.7

10.8

85.51

-

96.31

14

1348

1348


5-6

3406

25

117

15

14

2.7

37.8

-

5

42.8

14

599.2

1947.2


6-7

11077

25

381

20

13

1.8

23.2

-

3

26.4

31.85

840.84

2788.04


7-А

16555

25

569

32

2

1.0

2

-

25

27

13.6

367.2

3155.24

7%



6. Расчёт основного оборудования теплового пункта

Подбор элеватора:

1.Коэффициент смешения


1.2.Расход воды в местной системе

1.3.Приведенный расход воды в системе

1.4.Определяетсядиаметр горловины элеватора

 мм

№ элеватора 6

1.5.Необходимоедавление сетевой воды

2.Подбор грязевиков и фильтров

=0.09

теплопередача здание отопление

Список использованной литературы

1. Варфоломеев Ю.М., Кокорин О.Я. Отопление и тепловые сети. Учебник. – М.: ИНФРА-М, 2008 -480 с.

2. Внутренние санитарно-технические устройства. – В 3-х ч. Ч.1. Отопление / Под ред. И.Г.Староверова.- 4-е изд., перераб. И доп. –М.: Стройиздат, 1990.

3. ГОСТ 21.602-2003 Правила выполнения рабочей документации отопления, вентиляции и кондиционирования. –М.: Госстрой России, 2003.

5. Свистунов В.М., Пушняков Н.К. Отопление, вентиляция и кондиционирование объектов агропромышленного комплекса и жилищно-коммунального хозяйства: Учебник для вузов. – СПб.: Политехника, 2001.- 423 с.: ил.

6. Сканави А.Н. Конструирование и расчёт систем водяного и воздушного отопления зданий. – М.: Стройиздат, 1983.

7. Сибикин Ю.Д. Отопление, вентиляция и Кондиционирование воздуха: учебное пособие для студентов. – 4-е изд., стер.- М.: Издательский центр «Академия», 2007. -304 с.

8. СНиП 23-01-99 Строительная климатология.–М.: Госстрой России.2003.

9. СНиП23-02-2003 Тепловая защита зданий. – М.: Госстрой России. 2003.

10.   СНиП 41-01-2003. Отопление, вентиляция и кондиционирование. – М.: ЦИТП, 2003

11.   СНиП 3.05.01-85. Внутренние санитарно – технические системы. – М.: Госстрой России, 2000.

12.   CНиП II-3-79 Строительная теплотехника.

13.   Тихомиров Н.В., Сергеенко Э.С. Теплотехника, теплогазоснабжение и вентиляция. М. 2008.

14.   Тиатор И. Отопительные системы.- М.: Техносфера., 2006.- 272 с.

15.    Юркевич А.А. Отопление гражданского здания.- 2-е изд., переработ. и доп.- Ижевск: Издательство ИжГТУ, 2005 – 68 с.

Размещено на


Не нашли материал для своей работы?
Поможем написать уникальную работу
Без плагиата!
Без нейросетей!