Расчет начального состава тяжелого бетона по методу абсолютных объемов

  • Вид работы:
    Контрольная работа
  • Предмет:
    Строительство
  • Язык:
    Русский
    ,
    Формат файла:
    MS Word
    6,75 Mb
  • Опубликовано:
    2010-02-14
Вы можете узнать стоимость помощи в написании студенческой работы.
Помощь в написании работы, которую точно примут!

Расчет начального состава тяжелого бетона по методу абсолютных объемов

ФЕДЕРАЛЬНОЕ АГЕНТСТВО СПЕЦИАЛЬНОГО СТРОИТЕЛЬСТВА

ВОЕННО-ТЕХНИЧЕСКИЙ УНИВЕРСИТЕТ

Кафедра №23 "Строительные конструкции"








Дисциплина "Технология конструкционных материалов"

Контрольная работа по теме: "Расчет начального состава тяжелого бетона по методу абсолютных объемов"



Составил:

С.А. Колесникова

студентка гр.Дз-16

Проверил:

п/п-к В.А. Борченко


г. Балашиха, 2009 г.

Расчет начального состава тяжелого бетона по методу абсолютных объемов

Исходные данные:

hq=10 см – подвижность;

D=20мм – крупность заполнителя;

Mf=2.0 – модуль крупности песка;

ωnc=26% - нормальная густота цементного теста;

Rmu=18.2 МПа – расчетная прочность бетона, выраженная средним уровнем прочности;

Rc=41,4 МПа – активность цемента;

(Mw/Mc)max=0,58 – ограничение по водоцементному отношению;

Mc,min=250 кг/м3 – нормируемый минимальный расход цемента;

Mc,max=390 кг/м3 – нормируемый максимальный расход цемента;

ρS,S=1510 кг/м3 – насыпная плотность песка;

ρS=2640 кг/м3 – плотность песка;

ρS,g=1430 кг/м3 - насыпная плотность щебня;

ρm,g=2580 кг/м3 – средняя плотность щебня;

ρc=3110 кг/м3 – плотность цемента;

ρS,c=1290 кг/м3 – насыпная плотность цемента;

ρw=1000 кг/м3 – плотность воды;

φz=0,2% - рекомендуемая дозировка добавки;

содержание добавки CaCl2 - 2% от массы цемента.

Решение:

1) Определить водоцементное отношение Mw/Mc:

а) из условия обеспечения прочности бетона и при Mw/Mc ≥ 0,4


где k1 – коэффициент, определяемый по табл. 1, k1=0,6.

(Mw/Mc) = 0,6∙41,4/(18,2+0,5∙0,6∙41,4)= 0,811;

б) проверить выполнение условия обеспечения плотности бетона

(Mw/Mc=0,811) ≥ ((Mw/Mc)max=0,58).

Так как не выполняется, то назначаем

(Mw/Mc)= 0,58.

2) Определить расход воды Mw , исходя из подвижности hq=10 см,

Mw = a0 + a1hq ,

где a0 и a1 – коэффициенты, определяемые по табл. 2,

a0=186; a1=2,32.

Mw =186+2,32∙10=209 кг/м3.

3) Определить расход цемента и добавки:

Mc = 209/0,58=360 кг/м3.

Сравнить с нормируемыми минимальным Mc,min и максимальным Mc,max расходами цемента, проверяя выполнение неравенства

Mc,min < Mc < Mc,max.

250 кг/м3 < 360 кг/м3 < 390 кг/м3

Неравенство выполняется.

Определить расход добавки ЛСТМ-2:

Мz1 = φz1 ∙ Mc/100

Мz1 = 0.2∙360/100 = 0.72 кг/м3

Определить расход добавки - ускорителя CaCl2:

Мz2 = φz2 ∙ Mc/100

Мz2 = 2∙360/100 = 7,2 кг/м3

4) Определить расход крупного заполнителя:


где α – коэффициент раздвижки, определяемый по табл. 3

(по линейной интерполяции α = 1,39)


nS,g = 1-1430/2580 = 0,45;

Mg = 1/(1,39∙0,45/1430+1/2580) = 1282 кг/м3.

5) Определить расход мелкого заполнителя:

MS = (1- (360/3110+209/1000+1282/2580))∙2640 = 475 кг/м3.


ρm,d = Mc + Mw + MS + Mg + Мz1 + Мz2;

ρm,d = 360+209+475+1282+0,72+7,2 = 2334 кг/м3.

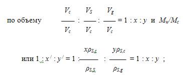
7) Начальный состав бетона в частях выражаем соотношениями:

1 : 475/360 : 1282/360 = 1 : 1,32 : 3,56;

1 : 1,32∙1290/1510 : 3,56∙1290/1430 = 1 : 1,13 : 3,21

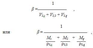
8) Определяем расчетный коэффициент выхода бетона

β = 1/(360/1290+475/1510+1282/1430) = 0,67.

Результаты расчета начального состава бетона

Компонент

Расход компонента, кг/м3

Цемент

360

Песок

475

Щебень

1282

Вода

209

Добавка ЛСТМ-2

0,72

Добавка CaCl2

7,2


Список используемой литературы

1.   ГОСТ 27006-86 (2006) "Бетоны. Правила подбора состава".

2.   Руководство по подбору составов тяжелого бетона, НИИЖБ, 1979 г.

3.   Учебник "Строительные материалы" под редакцией Микульского В.Г., АСВ, М., 2000 и последующие издания.

4.   Рыбьев И.А. "Строительное материаловедение", ВШ, М., 2002.

5.   М.П. Колесниченко, В.Б. Тихонов, В.А. Борченко "Методические указания для студентов заочной формы обучения по специальности "Промышленное и гражданское строительство" по дисциплине "Технология конструкционных материалов"", Балашиха-2009.

Похожие работы на - Расчет начального состава тяжелого бетона по методу абсолютных объемов

 

Не нашли материал для своей работы?
Поможем написать уникальную работу
Без плагиата!
Без нейросетей!