Роль міжособистісних відносин у становленні колективу

  • Вид работы:
    Курсовая работа (т)
  • Предмет:
    Психология
  • Язык:
    Русский
    ,
    Формат файла:
    MS Word
    4,04 Mb
  • Опубликовано:
    2011-02-20
Вы можете узнать стоимость помощи в написании студенческой работы.
Помощь в написании работы, которую точно примут!

Роль міжособистісних відносин у становленні колективу

Зміст

Вступ

1 Первинна група як суб'єкт і об'єкт соціальної психології

1.1 Формальні відносини в первинній групі

1.2 Неформальні відносини в первинній групі

1.3 Феноменологія малих груп

2 Вторинна група – колектив

2.1 Колективні відносини

2.2 Міжособистісні відносини в групі

2.3 Міжособистісна атракція

3 Аналіз методів діагностики міжособистісних відносин

3.1 Методика діагностики міжособистих відносин Т. Лірі

3.2 Методика «Q-сортування» В. Стефансона. Діагностика основних тенденцій поведінки в реальній групі та представлень про себе

3.3 Методика діагностики міжособистісних і між групових відносин („Соціометрія”) Дж. Морено

Висновки

Список використаної літератури

Додатки

Вступ


Проблема міжособистих відносин одна з найважливіших у питанні формування людської психіки, її розвитку і становлення розумного, культурної поведінки.

Її дослідження має важливе значення, як для теорії психологічного розвитку людини, так і для суспільної практики, будь то дослідження психології людських взаємин у чи суспільстві вивчення міжособистісних відносин у малій групі і колективі.

Ці відносини формують людини як особистість, дають можливість людині придбати визначені риси характеру, інтереси, звички, схильності, засвоїти норми і форми морального поводження в колективі, сприяють розвитку й удосконалюванню комунікативних можливостей людини, внаслідок чого він стає більш здатним до міжособистісних контактів і відкриває для себе більш широкі можливості для розвитку.

Метою курсової роботи на тему „Роль міжособистісних відносин у становленні колективу” є дослідження ролі міжособистісних відносин у становленні колективу.

Об’єктом моєї курсової роботи є вивчення міжособистісних відносин у колективу.

Предмет: виявлення ступеню впливу міжособистісних відносин на формування колективу.

Щоб вивчити дану проблему я виділила задачі, рішення яких надасть можливість комплексно упорядкувати і оцінити проведену роботу.

Задача перша – вивчити психологію первинної групи та форми відносин у ній.

Задача друга – визначити природу колективу та міжособистісні відносини у ньому.

Задача третя – ознайомитися з методами вивчення міжособистісних відносин, що надають можливість визначити ступінь розвитку групи як колективу.

Актуальність цієї проблеми полягає в тому, що на нинішньому життєвому етапі спостерігається зміна норм поведінки в суспільстві і зокрема в малих групах, колективах, відбувається ломка старих стереотипів. Змінюються життєві умови й у зв'язку з цим міняються шляхи досягнення життєво важливих цілей, сенсу життя. Спостерігається усе більше роз'єднання між членами групи. У них складаються такі взаємини, у яких людина не може виявити цілком свої кращі якості.

1 Первинна група як суб'єкт і об'єкт соціальної психології


Будь-яке суспільство – це складний механізм, конгломерат, що складається з безлічі взаємодіючих між собою груп людей. Кожний з нас бере участь у житті суспільства через ті первинні групи, до яких належить і з якими зв'язана все наше життя. Шпалинський В.В. зазначає, що термін "первинна група", так само, як і термін "особистість", є ключовим у соціальній психології і психології особистості [15].

Первинна група – це група людей, члени якої об'єднані спільною діяльністю на базі визначених цінностей і норм, група, члени якої знаходяться між собою в прямому особистому контакті, що і є основою для виникнення між ними системи міжособистісних відносин усілякого характеру – від інтимних, типу симпатій і антипатій, до офіційних, позбавлених емоційної фарбування. Кількісні границі таких груп – від 2 чоловік до декількох десятків. Родина, виробнича бригада, колектив кафедри або лабораторія, відділ установи, шкільний клас, студентська група, футбольна команда – усе це приклади первинних груп. Родина і первинний трудовий колектив є головними осередками суспільства, тому що в них у першу чергу відбувається процес становлення і формування особистості. Загальне здоров'я суспільства багато в чому залежить і від того, наскільки добре почуває себе особистість у тих первинних групах, з якими зв'язана її життя, наскільки в них створені оптимальні умови для реалізації її можливостей і здібностей.

На відміну від первинних груп, вторинні групи, або як частіше говорять, вторинний колектив – це більш широка спільність людей (школа, цех, підприємство), що складається з первинних груп. Якщо первинна група виступає сполучною ланкою між особистістю і вторинним колективом, то останній зв'язує особистість, первинну групу з усім суспільством. По цілям і характерові взаємодії групи поділяються на формальні (оформлені) і – неформальні (неоформлені). Формальна група – це група, у якій місце, положення і поводження членів регламентовано правилами організації, що є частиною держави або його суспільним інститутом. Це завжди чітко організована група, члени якої мають визначений набір прав і обов'язків, закріплених у різного роду інструкціях і документах. У таких групах у залежності від особистого внеску і посади всі члени займають визначені позиції. Сукупність позицій і складає ієрархічну структуру групи. Неформальна група (або, як тепер частіше говорять, неформальне об'єднання) – це сукупність осіб, де взаємини між членами засновані на особистих перевагах, що виникають звичайно на основі загальних захоплень або інтересів. Такі групи не зв'язані з державним інститутом. Спрямованість таких груп може бути всілякої – від суспільно корисної (наприклад, об'єднання милосердя або реставрації історичних пам'ятників) і особисто значимої (філателія, рокери) до антигромадської (об'єднання екстремістського плану, панки, рекетири і т.д.).

Якщо неформальна група існує усередині формальної, то її звичайно називають угрупованням або неформальною групою в колективі. Члени таких груп добре знають один одного, охоче й інтенсивно спілкуються. Наявність таких угруповань, якщо вони не протиставляють себе колективові, є звичайним явищем, результатом тих складних процесів внутрігрупової інтеграції і диференціації, що завжди властиві будь-якої людської спільності. Керівник первинного колективу повинний розбиратися в структурі сформованих відносин. Він повинний враховувати феномен неформального спілкування, ні в якому разі не ігноруючи його. Як своїх помічників він може залучати лідерів неформальних угруповань, активно співробітничати з ними. При вивченні ефективності виробничих бригад відзначається, що низька продуктивність і велика плинність спостерігається серед тих робітників та службовців, що не є членами неформальних угруповань.

Будучи одночасно членом багатьох первинних груп (так званих груп приналежності), індивід далеко не з кожної прагне ідентифікувати себе. Усередині будь-якого колективу є, наприклад, члени, для яких головним еталоном є родина, для інших джерелом орієнтації є самі авторитетні члени групи, для третіх – спортивна секція або неформальне об'єднання, для четвертих – ровесники в дворі і т.д.

Групи, чиї норми, установки й орієнтації не тільки приймаються індивідом в увагу, але і стають мотивом поводження особистості, називаються референтними. Такі групи є як би внутрішнім форумом особистості, з їх нормами і цінностями особистість звіряє своє поводження, коректує його.

Для кожної людини можна скласти своєрідний ранжированний ряд із груп його приналежності. У кожного він може виявитися різним, але в будь-якому випадку принцип ранжирування буде тим самим: на першому місці будуть ті групи, з якими найбільше повно прагне ідентифікувати себе особистість, а на останньому – ті, з якими вона менш всього вважається, і чиї чекання для неї байдужні.

Таким чином, група приналежності, що володіє високим рангом, на визнання якої претендує особистість і чиї стандарти вона приймає як еталони свого поводження, і називається референтної. Референтні групи в кожного з нас можуть бути не тільки реальними, але й уявлюваними. У підлітковому і юнацькому віці референтною групою для особистості може стати не реальна первинна група, до якої особистість належить, а герої книг або кінокартини, що видаються діячі історії або сучасності. У зрілому віці поряд з реальними референтними групами можуть прекрасно сполучитися й уявлювані, що свідчить про повноту контактів і зв'язків особистості із середовищем і суспільством. Роль референтної групи, своєрідного еталона, може виконувати для індивіда і найбільш авторитетний для нього член колективу або родини, або група осіб з найближчого оточення [15].

Вище відзначалося, що головними осередками суспільства є родина і трудовий колектив. От чому дуже важливо, щоб ці первинні групи обов'язково мали для особистості статус референтних. У цьому випадку створюються сприятливі умови для гармонійного і повнокровного розвитку і становлення особистості. Якщо ж родина, трудовий колектив не є для індивіда авторитетними, якщо він не дорожить ними і не вважається з їх чеканнями і вимогами, то така ситуація приводить не тільки до ослаблення його первинних зв'язків з цими общностями, але і створюються передумови для розриву з ними і пошуку інших груп приналежності, з якими особистість у більш високому ступені могла б ідентифікувати себе.

Шелест Є.Г. відзначає, що процес утрати групою статусу референтної в очах особистості може бути викликаний не тільки якимись деформаціями в самій особистості, її переродженням, але і серйозними подібними процесами, що відбуваються в самій групі (поряд з "Ми в ньому розчарувалися", "Він нам не підходить" можна почути і "Я в них розчарувався", "Вони мені не підходять") [15].

Може бути і так, що індивід належить до декількох первинних груп, що мають для нього статус референтних, але спрямованість цих груп різна.

Разнонаправленніть референтних груп (наприклад, у школі на виробництві учать берегти колективну власність, а в родині орієнтують на використання в корисливих цілях) неминуче створює для індивіда ситуації конфлікту і напруженість. Він як би виявляється між двох вогнів. У цих випадках перед ним виникає проблема вибору. Конфлікт цей звичайно гостро і бурхливо переживається (адже для індивіда близькі і дороги обидві сторони), причому компроміс у цьому випадку – далеко не завжди оптимальний, як іноді може показатися. Оптимальне рішення конфлікту залежить від цілісності особистості, її спрямованості, що ведуть мотивів діяльності.

При вивченні особистості завжди дуже важливо виявити коло близького їй оточення. Виховні впливи на особистість можуть мати успіх тільки в тому випадку, якщо встановлюється зв'язок з цим колом, і він залучається для надання необхідної підтримки або впливу. В екстремальних ситуаціях, коли виникає гостра необхідність уплинути на особистість, опора на референтне коло спілкування може допомогти керівникові первинного колективу усунути фрустрацію, розрядивши тривалий конфлікт, і тим самим допомогти особистості.

1.1 Формальні відносини в первинній групі


У будь-якій первинній групі з моменту її створення або виникнення починає формуватися складна система міжособистісних відносин двоякого плану: формальних (ділових, службових, офіційних) і неформальних (неофіційних).

Формальні відносини – це ті відносини відповідальної залежності, у які ми вступаємо між собою в процесі виконання нами своїх прямих службових обов'язків і суспільних функцій. У цій системі відносин місце кожного індивіда регламентовано інструкцією, положеннями, статутами, наказами. У цьому контексті термін "формальні відносини" не носить зневажливого характеру, а лише підкреслює те, що міжособистісні відносини оформлені, підпорядковані. Формальні відносини – це відносини "по вертикалі", тобто в системі "керівник-підлеглий" (відповідальна залежність, по А.С. Макаренко) – у них кожний має визначені і чітко обкреслені права й обов'язки вказує Бодалев А.А. [3]. Це відносини типу "учитель-учень", "студент-староста", "командир-солдат", "майстер-робітник", "керівник-службовець" і т.д.

Положення особистості в системі формальних відносин розглядається звичайно в контексті таких понять, як "соціальний статус", "соціальна роль", "соціальні чекання", "престиж".

Кожна людина володіє визначеним соціальним статусом. Соціальний статус – це місце людини в системі суспільних відносин, встановлюване в термінах його прав, обов'язків і привілеїв. Він визначається багатьма факторами: посадою, рівнем утворення, особистісними якостями, участю в суспільному житті, родом занять. Крім перерахованих факторів, на положення і місце особистості в суспільстві можуть впливати й етнічна, і релігійна приналежність, національність, походження, наявність або відсутність родини. Природно, що в умовах сучасного світу кожний з цих факторів може мати різний "вагу" і значення. У демократичному суспільстві соціальний статус визначається насамперед тим місцем, що людина займає в суспільному виробництві, відношенням його до праці і колективу, ступенем участі в суспільно корисній діяльності, рівнем його компетентності і професійної майстерності. Демократичні процеси, що відбуваються в нашому суспільстві, рішуче засуджують інші підходи й інші погляди.

Динамічним аспектом соціального статусу є роль. Соціальна роль – це реалізоване поводження, очікуване від індивіда, що володіє визначеним статусом. Статус як би ставить за обов'язок особистість поводитися певним чином. Звичайно індивід, що володіє визначеним статусом, реалізує кілька соціальних ролей. Учитель, майстер, начальник цеху, сенатор, директор, продавець, міліціонер, батько – усе це приклади соціальних ролей. Соціальна роль безособова. Суспільству, наприклад, абсолютно все рівно, хто буде начальником цеху, – чоловік середнього або молодого віку, учорашній партійний працівник або фахівець, що демобілізувався з армії, батько великої родини або холостяк. Суспільству важливо інше. Спосіб реалізації ролі визначається, задається суспільною практикою, системою цінностей суспільства. Суспільству важливо, щоб особистість керувалася тим алгоритмом поводження, що не тільки очікується, але потрібно від неї в цій ситуації, виходячи з її статусу.

Система вимог до особистості, що прийняла на себе соціальну роль, називається соціальними чеканнями суспільства. У кожного з нас є визначені представлення про те, якими повинні бути вчитель, продавець, командир. Коли ці чекання виправдуються, ми говоримо про інтеріоризації ролі, вищого її ступеня – покликанні. Активна діяльність особистості, що прийняла на себе соціальну роль, може змінити наші представлення про можливі норми і границі дій і поводження. Таким чином, у процесі інтеріоризації закладена діалектична взаємодія. З одного боку, особистість повинна додержуватися рольових чекань, а з іншого боку – її практика вносить у них нові нюанси, додає їм динамічність, розширює границі і можливості реалізації ролі. Реалізувати роль це значить виконати обов'язку, що накладаються нею. Однак інтеріоризація ролі може здійснюватися на різних рівнях. Реалізуючи соціальну роль, індивід може ігнорувати соціальні чекання колективу, використовуючи свої права й обов'язки в особистих, корисливих цілях у плані задоволення чекань у першу чергу своєї родини, клану, оточення. Коли індивіди поводяться подібним чином, первинні колективи і тим самим суспільство може виявитися в критичному стані. От чому там, де не налагоджена чіткий зворотний зв'язок, де особистість, що порушує правила "гри" не є об'єктом ефективного соціального контролю і гласності, у роботі соціальних інститутів може наставати збій, а окремі вузли в підсистемі суспільства випадають з-під контролю.

Поглиблення і розширення демократії, гласність, підвищення ефективності суспільного контролю сприяють оптимальному виконанню особистостями соціальних ролей, тобто стабільності і процвітанню суспільства.

Звичайно для людини характерне прагнення зберегти або підвищити свій соціальний статус. Деякі учені відносять це прагнення до розряду соціогенних потреб особистості. Зберігає або навіть підвищує свій соціальний статус лише той, хто відповідає соціальним чеканням груп і суспільства. Показано, що соціальні чекання здобувають мотиваційне значення, тобто входять у мотиваційну структуру особистості. Будучи протипоставлені особистим потребам, вони можуть гальмувати їхню реалізацію. В усіх випадках зіткнення міжособистісно значимими потребами і соціальними чеканнями груп приналежності (особливо референтних) утворить конфлікт. І те, у чию користь він буде дозволений, залежить від рівня інтеріоризації ролі, привабливості первинної групи або груп приналежності особистості.

Коли індивід погодить свої вчинки і своє поводження із соціальними чеканнями групи, таке поводження група або суспільство схвалюють і заохочують. Якщо ж поводження індивіда суперечить соціальним чеканням, на нього можуть бути накладені відповідні санкції. Одна з найважливіших характеристик статусу престиж. Це міра визнання суспільством або групою заслуг особистості, чиє поводження і діяльність відповідають їх чеканням.

Знаходження або позбавлення престижу є одним з механізмів взаємозв'язку особистості з групами або суспільством. Присвоєння престижу може відбуватися на двох рівнях: офіційному і неофіційному. У першому випадку воно здійснюється по представленню первинних колективів державними або суспільними інститутами і супроводжується розробленим ритуалом, а також зв'язано з присудженням офіційних знаків престижу: орденів, грамот, звань, значків, дипломів і т.д. У другому випадку присвоєння престижу здійснюється соціальним середовищем, безпосередньо членами колективів і реалізується в прояві почуттів любові і поваги. У демократичних суспільствах, де реальна цінність особистості визначається насамперед її особистісними якостями й особистим внеском і не залежить від кон'юнктури, зв'язків і т.д., ці два рівні звичайно невіддільні друг від друга. Розподіл престижу не збігається, коли існує різна спрямованість окремих соціальних груп і державних інститутів. Може бути і так, що соціально схвалюване поводження на рівні первинних груп і визначених соціальних шарів, – з погляду державних інститутів розцінюється, що як відхиляється, дисидентське. Це звичайно свідчить про наявність протиріч у суспільстві, про ослаблення зв'язків між "низами" і "верхами".

1.2 Неформальні відносини в первинній групі


Формальні відносини є тією основою, на якій виникають і будуються неформальні відносини.

Неформальні відносини – система симпатій і антипатій, притягань і відштовхувань, любові і ворожості, що випробують друг до друга члени первинної групи, реалізуючи свої соціальні ролі, тобто виконуючи свої прямі службові і суспільні функції.

У цій системі відносин місце кожного індивіда не залежить від наказів і положень, а визначається його особистісними якостями: відношенням до праці, собі, що оточує, суспільству. От чому можливі випадки, коли людин, що володіє високим соціальним статусом, виявляється раптом у числі тих, хто не користується повагою в колективі, а рядовий член колективу може бути його центром, у числі самих авторитетних і улюблених.

Неформальні відносини, як зазначає Афанасьєв В.Г., тісно переплітаючи з формальними, офарблюють, олюднюють них, додають їм те фарбування і ті відтінки, без яких останні залишалися б казенними, бездушними, бюрократичними [2]. Положення особистості в системі неформальних відносин звичайно розглядається в контексті таких понять, як "психологічний статус", "лідер", "бажаний", "аутсайдер", "небажаний". Кожен член первинної групи в системі неформальних відносин володіє визначеним психологічним статусом, тобто мірою авторитету, поваги, привабливості.

Психологічні статуси можуть бути високими, середніми, низькими, позитивними і негативними. Структура неформальних відносин у первинній групі може бути представлена у виді наступної ієрархічної градації психологічних статусів (позицій): лідери; бажані; аутсайдери; небажані ( що відкидаються).

Високий позитивний статус мають лідери і бажані, нульовий – аутсайдери, низький або негативний – небажані.

Статус лідера завжди мають самі авторитетні і шановні члени колективу. Поява лідера, спілкування і взаємодія з ним викликає в навколишні позитивні емоції. У міжособистісних конфліктах він часто бере на себе роль арбітра. Члени колективу охоче звертаються до нього за радою і допомогою. Звичайно член колективу стає одним з його лідерів у силу своїх особистісних і характерологічних особливостей, професійної майстерності, характеру відносин до праці і колективу.

Лідери з позитивною, суспільно корисною спрямованістю завжди є ядром колективу. Їх можна порівняти з кристалами, навколо яких формується суспільна думка. От чому один з "секретів" керівництва полягає в тому, що керівник колективу повинний завжди вважатися з лідерами і намагатися делегувати їм свої повноваження, тобто в силу їхнього авторитету в колективі залучати них до керування, розділяючи з ними свої функції і свою відповідальність. Колектив без лідерів – це звичайно аморфна маса по образному вираженню А.С. Макаренко, - "болото" [11]. Мистецтво керувати – це не тільки вміти спілкуватися і взаємодіяти з кожним членом колективу, це ще і мистецтво співробітничати з лідерами, використання їхнього впливу на колектив з метою його зімкнення, створення в ньому здорової, творчої атмосфери. От чому роблять помилку ті керівники, що бачать у лідерах насамперед своїх суперників і намагаються в будь-якому підходящому випадку позбутися від них (наприклад, порекомендувати в сусідній підрозділ на керівну роботу). До таких маневрів звичайно прибігають ті керівники первинних колективів, що у силу різних обставин і причин самі ще не володіють в очах колективу статусом лідера. Саме життя і сучасні дослідження показують, що найбільших успіхів у діяльності досягають той колектив, у якому фіксується феномен збігу лідерства і керівництва, тобто лідери є одночасно і керівниками.

У таких колективах, як правило, висока ефективність діяльності, здоровий психологічний клімат. Неминуче виникаючі виробничі і міжособистісні конфлікти вирішуються оптимально, зусилля і старання кожного стають надбанням гласності.

Одна із сьогоднішніх задач полягає в тому, щоб на основі подальшого розширення і поглиблення демократії, проведення виборів керівників за участю декількох кандидатів затвердити збіг лідерства і керівництва в якості одного з найважливіших принципів демократичного керування.

Немов Р.С. відзначає, що в кожній первинній групі висувається звичайно два типи лідерів: емоційний і інструментальний. Функції емоційного лідера психологічний клімат у групі, турбота про оптимальне врегулювання міжособистісних відносин. Звичайно він виступає в ролі арбітра, порадника. Інструментальний лідер – той член групи, що бере на себе ініціативу в специфічних видах діяльності (завдяки своєї особливої компетентності в тих або інших справах) і координує загальні зусилля на досягнення цілей [10].

Збіг лідерів в одній особі в ситуаціях спільної роботи, навчання, суспільної діяльності і відпочинку спостерігається рідко. Найчастіше специфічна сфера діяльності (навчання, праця, суспільна діяльність, дозвілля) висуває свого інструментального лідера.

Універсальний лідер – це той член колективу, що сполучить у собі риси інструментального й емоційного.

У роботі з кадрами, колективом дуже важливо не тільки спиратися на лідерів з позитивною спрямованістю, але і уміти враховувати вплив на колектив так званих популістських лідерів.

Популістський лідер – це член колективу, що на якомусь етапі його розвитку, апелюючи до визначеної частини колективу і по суті йдучи в неї на приводові (часто заграючи з нею), домагається популярності за рахунок "лівих" гасел і демаршів. Як правило, спрямованість, таких лідерів вузькоегоїстична. Колектив він звичайно використовує як об'єкт для досягнення своєї мети або цілей свого угруповання.

Поява таких лідерів звичайно зв'язано з перехідними процесами в розвитку суспільства, коли до активної політичної і соціальної активності пробуджуються маси людей і спочатку буває досить важко відрізняти позу від позиції, щирість від демагогії, розрахунок від безкорисливості.

Бажаний – це член, колективу, якого виділяють з навколишніх і до якого відносяться позитивно. Звичайно така людина – надійний партнер по роботі, вірний у дружбі. З ним воліють мати справа, спілкуватися, дружити. У нього позитивний психологічний статус. Оскільки психологічні статуси – це завжди динамічні характеристики, що залежать від самої особистості, то в кожного бажаного завжди є потенційна можливість знайти статус лідера.

Аутсайдер – це індивід з нульовим статусом. Майже в кожнім колективі можна зустріти таких членів, що у силу якихось причин не виявили себе і тримаються в тіні. Відношення до них звичайно індиферентне. В одних це може бути зв'язане з адаптаційними труднощами (особливо в новачків), в інших з характерологічними особливостями ("мовчуни", "відлюдні"), у третіх це усвідомлена позиція ("моя хата скраю"), у четвертих – з характеристиками самого колективу.

Керівник первинного колективу повинний уміти розбиратися в спрямованості особистості таких членів і, якщо його необхідно, допомогти їм знайти більш високий статус, утягуючи них в активну спільну трудову і суспільну діяльність Потреба у високому психологічному статусі – одна з найважливіших соціогенних потреб особистості. Безособовість – це байдужний для інших людей індивід, людина, від якого ні пекуче, ні холодно, чия присутність або відсутність нічого не змінює в житті. Живучий за принципом "я сам по собі" у кінцевому рахунку деперсоналізується і перестає бути повнокровною особистістю. Індивід звичайно переживає стан психологічного дискомфорту, якщо він нікому не потрібний, ніхто їм не цікавиться, ні про що не запитує, не чекає, ніяк не реагує на його появу. Замічена також тенденція індивідів залишати ті первинні групи, у яких не відбувається ріст їхніх психологічних статусів, і пошук тих груп, де, як їм здається, їхній можуть зрозуміти й оцінити.

У колективах, де затвердився здоровий психологічний клімат, де зусилля кожного стають надбанням гласності й адекватно оцінюються, де всі залучені до активної спільної діяльності, створюються всі об'єктивні передумови для росту психологічних статусів кожного індивіда. Не випадково, спеціальні дослідження фіксують, що у високоорганізованих творчих і активно працюючих колективах більшість членів мають статуси лідера або бажаного.

Небажаний (що відкидається) – це індивід з низьким, негативним статусом. Це звичайно виражається в тім, що його ігнорують члени колективу, демонструючи явно і відкрито свою неповагу або ворожість Наявність небажаних у колективі – це свідчення напруженості в системі міжособистісних відносин, визначених вад у виховній і організаційній роботі. Піддаючи остракізмові порушників трудової дисципліни, моралі і моральності (а саме ці причини в основному визначають статус небажаного), колектив повинний допомогти що відкидається знайти своє місце в ньому, виявляючи не тільки рішучість і принциповість, але і витримку і терпіння. Заслуговують поваги такі колективи, що не квапляться розстатися з небажаними, а борють за нього, допомагаючи йому перебороти себе, змінити свою спрямованість. Шпалинский В.В. вказує, що висока ефективність діяльності трудового колективу залежить не тільки від професійної майстерності його членів, але і тих нюансів, що складаються в системі міжособистісних відносин "по вертикалі" і "по горизонталі" [15].

Сучасний керівник первинного колективу повинний уміти розбиратися в, що формується на основі спільної діяльності системі міжособистісних відносин і усвідомлено, з належним педагогічним тактом і умінням направляти її розвиток.

 

1.3 Феноменологія малих груп


Під феноменологією розуміється опис основних явищ, характерних для малих груп зазначає Немов Р.С. [10].

Ті самі члени групи в різних характерним для неї системах відносин звичайно займають неоднакове положення. Місце кожної людини в групі визначається поняттями «позиція», «статус», “внутрішня установка”, “роль”.

Позиція – це офіційне положення людини в тій чи іншій підсистемі відносин (староста, голова заради). Від позиції займаної людиною в групі, залежить ступінь його потенційного впливу на вчинки інших членів групи.

Статус – це реальний соціально-психологічна характеристика положення людини в системі внутрішньо-групових відносин, ступінь його дійсної авторитетності для інших, здатність робити на членів групи істотний психологічний вплив.

Внутрішня установка – це особисте суб'єктивне сприйняття людиною свого власного статусові, то, як він оцінює своє реальне положення, свій авторитет і ступінь впливу на інших членів групи.

Дійсний статус і його сприйняття людиною можуть чи збігатися розходитися.

Роль – це нормативно завдань і колективно схвалюваний зразок поводження, очікуваного від людини, що займає в групі визначену позицію.

Соціально-психологічну структуру групи описують так саме в поняттях композиції, каналів комунікацій.

Композиція – це характеристика, що відбиває своєрідність індивідуального складові групи.

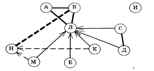
Канали комунікацій – система міжособистих зв'язків, що забезпечують взаємодію і передачу інформації від одних членів групи до інших. Немов Р.С. виділяє дві основних види структури каналів внутрішньо-групових комунікацій: централізована (А) і децентралізована (Б). На малюнку 1.1 представлено їхні схеми, а також деякі їхні варіанти, що найчастіше зустрічаються на практиці [10].

А.

 






а) фронтальна б) радіальна в) ієрархічна

Б.

 




г) ланцюгова д) кругова е) повна

Малюнок 1.1 Схема структури каналів внутрішньо-групових комунікацій.

Централізовані структури каналів комунікацій (А) характеризуються тім, що в них один із членів групи завжди знаходиться на перетинанні всіх напрямків спілкування, у центрі уваги і відіграє основну роль в організації групою діяльності.

Децентралізовані структури комунікацій (Б) відрізняються комунікативною рівністю всіх учасників кожний із членів групи усередині структур має однаковими з усіма можливостями приймати, переробляти і передавати інформацію.

Централізовані структури каналів комунікацій характеризуються тим, що в них один із членів групи завжди знаходиться на перетинанні всіх напрямків спілкування, у центрі уваги і відіграє основну роль в організації групової діяльності. Через таку людину в групі здійснюється обмін інформацією між іншими членами групи.

На мал. 1.1 А показані три варіанти централізованої структури: фронтальна, радіальна і ієрархічна. Фронтальна структура каналів комунікацій (а) характеризується тим, що її учасники безпосередньо знаходяться поруч і, не вступаючи і прямі контакти. Це дозволяє їм у якомусь ступені враховувати поводження і реакції один одного в спільній діяльності. Найбільш знайомим для вчителя прикладом фронтальної структури є та, котра утвориться в класі на уроці, при фронтальній роботі.

Радіальний варіант централізованої структури комунікацій (б) відрізняється від фронтального тем, що учасники діяльності не можуть безпосередньо сприймати, бачити або чути один одного й обмінюються інформацією тільки через центральну особу. Це утрудняє окремому членові групи можливість враховувати поводження і реакції інших, зате дозволяє йому працювати цілком самостійно, незалежно, до кінця виявляючи власну, індивідуальну позицію.

Відмінна риса централізованої ієрархічної структури комунікацій (в) полягає в тому, що тут мається скільки, не менш двох, рівнів супідрядності учасників, причому частина з них може безпосередньо бачити один одного в процесі спільної діяльності, а частина немає. Міжособистісне спілкування кожного при цьому обмежено, і комунікації можуть здійснюватися в основному між двома рівнями співпідпорядкованості, що розташовуються поруч. На мал. 1.1 Б, де показана схема такої структури комунікацій, в індивіда 1, що займає верхню 11упенъ в ієрархії супідрядності, є безпосередній помічник 2, якому, у свою чергу, підлеглі три інших приватники. Індивід 1 взаємодіє з індивідом 2, що має можливість спілкуватися з тими, хто знаходиться на ступіні 3.

Типові варіанти децентралізованих структур комунікацій, основна відмінність яких від централізованих полягає в комунікативній рівності всіх учасників, представлені на малюнку під знаком Б. Поняття «комунікативна рівність» у даному випадку означає, що кожний із членів групи усередині цих структур має однаковими з усіма можливостями приймати, переробляти і передавати інформацію, вступаючи у відкрите, необмежене спілкування з товаришами по групі.

Ланцюговий варіант цієї структури комунікацій (г) являє собою таку систему спілкування, у межах якої міжособистісна взаємодія здійснюється як би по ланцюжку. Кожний з учасників, за винятком двох крайніх, тут взаємодіє з двома сусідами, а ті, хто займає крайні Позиції, тільки з одним. Ця структура спілкування характерна, Наприклад, для конвеєрної роботи, що одержала широке поширення в промисловості.

Кругова структура комунікацій (д) відрізняється від ланцюгової. По-перше, тут однаковими можливостями розташовують усі без винятку члени групи. По-друге, що мається в їхньому розпорядженні інформація може циркулювати між членами групи, доповнюватися й уточнюватися. По-третє, знаходячись віч-на-віч, учасники такої структури комунікацій можуть безпосередньо спостерігати за реакціями один одного, враховувати їхній і своїй роботі.

Усі варіанти структур, що обговорювалися нами, комунікації в групі в тім або іншому ступені обмежені. У них кожний з учасників розташовує або нерівними можливостями вступу в безпосереднє спілкування з іншими, або рівні мі, але проте обмеженими. Поряд з розглянутими структурами комунікацій існує ще одна, котра називається повної або необмеженої (е). У ній ніяких перешкод для вільного міжособистісного спілкування учасників не виникає і кожний із членів групи може зовсім вільно взаємодіяти з всіма іншими.

Вибір на практиці тієї або іншої структури комунікацій визначається цілями і задачами, що коштують перед групою. Якщо, наприклад, практична задача полягає в удосконалюванні системи спілкування в даній групі (наприклад, при використанні на уроці групових форм роботи), то основна увага повинна бути звернена на канали комунікацій. При необхідності швидко й оперативно вирішити покладені на групу задачі, насамперед, визначають її оптимальну композицію. Іноді педагога може зацікавити положення окремих дітей у системі міжособистісного спілкування, то, як вони самі представляють своє місце у взаєминах з однолітками. У такому випадку корисним може виявитися аналіз структури учнівського колективу або якої-небудь іншої дитячої групи з позицій ролей і внутрішніх установок.

Соціально-психологічну основу усіх відносин, що складаються в групі, складають прийняті в ній моральні цінності і норми. Цінностями є те, що в даній групі найбільш значимо, важливо і коштовне. З моральних цінностей звичайно випливають ті норми, якими у своїх відносинах керуються члени групи. У керуванні діяльністю групи норми виконують ряд важливих функцій. Найбільш істотні з них — регулятивна, оцінна, що санкціонує і стабілізує.

Регулятивна функція норм полягає в тому, що вони визначають (регулюють) поводження людей у групі і за її межами (якщо мова йде про них як об представників своєї групи), задають зразки їхніх взаємодій і взаємин, формують основні вимоги, пропоновані до членів даної групи самими її учасниками.

Відповідність поводження людини прийнятим у групі нормам істотно впливає на його положення в системі відносин даної групи. Вплив це багатобічне: з одного боку, якщо людина випливає сформованій і прийнятим у групі нормам, то підвищується його авторитет в очах навколишніх; з іншого боку – визнання значимості людини, підвищення його статусу впливає на інших членів групи. Від нього деякою мірою починає залежати і сама сукупність що складаються і групі норм і відносин: він стає їхнім генератором.

Представлення про правильність або неправильність групових ціннісних орієнтацій і норм у відомому смислу відносно пояснює Куніцина В.Н. Воно буває різних у людей, що цю правильність визначають. Те, що здається, наприклад, безумовно правильним учителеві, може не показатися таким для учнів, і навпаки. У молодших школярів свої поняття про цінності, як правило, відмінні от того, що цінують старші школярі і тим більше дорослі. Тому в кожнім конкретному випадку при визначенні групових норм, їхньої прийнятності або неприйнятності доцільно попередньо уточнити суб'єкта, з позицій якого вони оцінюються [5].

Важливо ввести ще одне розмежування. Відносність норм виражається також і в тім, що для тієї самої людини одночасно можуть існувати норми різного рівня (ступеня) обов'язку. Під груповою нормою першого рівня обов'язковості розуміється соціальна норма, порушення якої зовсім неприпустимо. Нормою середнього рівня обов'язковості можна назвати таку, котра допускає деякі незначні відхилення від неї. Нарешті, нормою низького рівня обов'язковості є така, дотримання якої вважається справою смаку, а відхилення від неї ніякому покаранню не підлягають. До норм першого рівня відносяться, наприклад, юридичні норми, порушення яких карає за законом; до числа норм другого рівня можна віднести велику частину норм моральності, не сформульованих у твердій формі моральних імператорів (наприклад, норма «збути чесним» у деяких випадках життя допускає відхилення). Нормою низького рівня обов'язковості може бути така, що людина сам установлює для себе і якої зовсім не обов'язково повинні випливати інші члени групи. До цієї категорії можна віднести особливо високі моральні соціальні норми, що виступають у формі ідеалів. Носіями цих норм є звичайно передові люди свого часу. Для характеристики поводження таких людей існує спеціальне поняття «наднормативна діяльність».

Наднормативна діяльність виявляється в тім, що, не задовольняючи тими нормами, якими керуються інші, людина сам для себе вибирає і влаштовує більш високі норми і випливає ім. Мова в даному випадку йде, звичайно, про такі норми, зміст яких полягає в прийнятті людиною на себе добровільних зобов'язань по здійсненню діяльності, корисної для інших людей [10]. Прикладом такого роду діяльності можуть служити різноманітні форми просоціального поводження, уже розглянуті нами .

Керування групою, на думку Смирнова Е.О. та Калягина Е.В., її самоврядування, вплив на психологію і поведінку окремих членів групи звичайно здійснюється і через офіційно призначених осіб — керівників, і через неофіційних осіб, що користуються авторитетом серед членів даної групи, що мають у ній високий статус і іменованих лідерами. Авторитет лідера в групі звичайно не менш сильний, чим авторитет керівника. Лідер у стані підняти, потягнути членів групи на будь-яку справу [11]. Чи потрібний лідер у групі і чому він з'являється в ній?

Немов Р.С. приводить такі закономірності. Права, дані керівникові групи, не завжди достатні для того, щоб у будь-який момент діяльності спонукати членів групи на здійснення потрібних учинків. У житті будь-якої групи чимало таких моментів, коли потрібно переконувати, а не наказувати, просити, а не розпоряджатися, і тут лідер незамінний. У ролі лідерів можуть виступати й офіційні керівники груп, але на практиці це трапляється рідко, тому що якості лідера і керівника, їхні внутрішньо групові функції не тільки не збігаються, але іноді прямо протилежні. Наприклад, задача керівника в конфліктній ситуації, що заважає роботі, полягає в тім, щоб зняти конфлікт і зробити так, щоб він не заважав роботі. Права, дані керівникові, іноді допускають робити це ціною збитку, заподіяного деяким особистим інтересам окремих членів групи. У цій же ситуації задача лідерів буде зовсім іншою: зняти конфлікт шляхом прийняття в увагу особистих інтересів кожного учасника, навіть ціною нанесення деякого збитку роботі. У турботах керівника на першому місці звичайно знаходиться справа, а в турботах лідера — людин із усіма його емоціями. Далеко не всі керівники, що успішно справляються з «діловими» функціями, настільки ж затишно почувають себе, коли в групі виникають проблеми міжособистісних відносин. Часто гарний керівник є посереднім лідером, і навпаки [10].

Але при всіх умовах лідер у групі потрібний. Його необхідність диктується тим, що в кожній групі існують і повинні кимсь регулюватися дві взаємодоповнюючі системи відносин: ділові й особисті. Якщо кожна з них не відрегульована, якщо відносини, що складаються в одній системі, суперечать відносинам, існуючим в іншій, то така група не зможе успішно працювати, ніколи не стане високоефективної. Це обставина і вимагає наявності в групі лідера поряд з офіційним керівником.

Хто може стати і реально стає лідером у групі? Як і при яких умовах, це відбувається? На два цих питання в науці маються різні відповіді.

Одні учені вважають, що сьогоденням лідером у групі, здатним повести за собою інших її членів, стає людина, що має особливий набір лідерських особистісних рис. Ці риси, думають прихильники даної точки зору, дані людині від природи. Той, хто позбавлений специфічних лідерських рис і здібностей, ніколи не стає гарним, визнаним лідером, що має високий статус у групі.

Незважаючи на зовнішню простоту і привабливість даної точки зору, що, здавалося б, підтверджується і життєвими спостереженнями (дійсно, далеко не кожна людина в житті стає гарним лідером), дотепер не удалося знайти в лідерів яких-небудь специфічних особливостей, властивих тільки їм і істотно відрізняють них від інших людей пише Шелест Є.Г. У силу цієї обставини виникла альтернативна точка зору, що заперечує наявність у лідера специфічних рис: вихід людини в лідери – результат взаємодії між ним і групою. Якщо індивідуальні особливості цієї людини, виявлені їм у спільній діяльності і спілкуванні з іншими членами групи, відповідають вимогам сформованої ситуації, то в цій ситуації він стає лідером. При зміні групової задачі і вимог ситуації лідером може стати хтось іншої. У принципі для кожної людини в групі можна визначити такі умови, при яких він стане лідером, і для того зовсім не обов'язково мати якимись спеціальними «лідерськими» риси [15].

Істина швидше за все знаходиться між цими двома позиціями і припускає їхню інтеграцію. Робер М.А. писав, що найчастіше лідером стає той, у кого є які-небудь особливості, оцінені членами групи, і одночасно той, хто має у своєму розпорядженні риси, потрібними групі саме в даний момент часу [12].

Крім поняття лідерства в психології використовується інше уточнююче представлення про нього, зокрема поняття стилю лідерства. Стиль лідерства — це сукупність засобів психологічного впливу, якими користується лідер для надання впливу на інших членів групи, серед яких він має високий статус. Традиційно прийнято розрізняти три основних стилі лідерства: авторитарний, демократичний і ліберальний

Авторитарний стиль характеризується вираженою владністю лідера, директивністью його дій, єдиноначальністю і прийнятті рішень, систематичним контролем за діями відомих. Авторитарний лідер звичайно не дозволяє залежним від нього людям втручатися в керівництво, брати під сумнів, заперечувати прийняті їм рішення. Він чітко розділяє свої власні права й обов'язки відомих, обмежуючи дії останніх лише виконавськими функціями. Для нього ідеальний підлеглий — дисциплінований виконавець.

Демократичний стиль лідерства відрізняється від авторитарного тим, що лідер постійно звертається до думки залежних від нього людей, радиться з ними, залучає них до вироблення і прийняття рішень, до співробітництва в керуванні групою Він не проводить чіткої лінії між власними правами й обов'язками відомих. Частина своїх повноважень він добровільно передає членам групи; вони у свою чергу так само добро вільне приймають на себе частина його обов'язків, якщо в цьому виникає необхідність. Демократичний лідер особливо цінує таких підлеглих, хто самостійний і ініціативний, творчо підходить до роботі. Він приділяє велику увагу не тільки діловим, але й особистим взаєминам у групі.

Ліберальний стиль лідерства — це така форма поводженні лідера, при якій він фактично іде від своїх обов'язків по керівництву групою і поводиться так, начебто він не лідер, а рядовий член групи. Усі питання внутрішньо груповому життя в цьому випадку вирішуються колективною думкою, що у групі приймається як закон, і цьому у своєму поводженні випливають не тільки рядові учасники групи, але і сам її лідер. Фактично в даному випадку він є лідером лини, номінально.

Протягом багатьох років дослідження лідерства перед психологами неодноразово виникало питання: який з розглянутих стилів лідерства найбільш доцільний? Спочатку, коли тільки ще зароджувалися відповідні дослідження вважалося, що демократичний стиль лідерства є найкращим. Дійсно, у ньому більше привабливих рис, чим в інші. При даному стилі лідерства в групі створюється сама сприятлива атмосфера для творчої роботи і для задоволення інших важливих соціальних потреб людей. Цей стиль лідерства сприяє постановці і рішенню групою найбільш складних задач. Він і людьми психологічно сприймається як найбільш сприятливий.

І, проте, сказати, що даний стиль лідерства є найкращим і до нього треба прагнути в усіх без винятку випадках життя, не можна. Нерідко переважніше виявляється авторитарний і навіть ліберальний стиль лідерства, наприклад, коли в умовах дефіциту часу необхідно домогтися високої організованості, дисципліни, погодженості дій або коли необхідно приймати рішення, що торкається інтересів усіх членів групи. Тому на практиці самим удалим є не який-небудь один із трьох перерахованих стилів лідерства, а гнучкий, або комбінований, стиль лідерства, при якому лідер, уміючи поводитися по-різному, гнучко змінює стиль свого поводження в залежності від сформованої в групі обстановки.

2 Вторинна група – колектив

 

2.1 Колективні відносини


Для того щоб назвати малу групу колективом, вона винна відповідати рядові дуже високих вимог: успішно справлятися з покладеними на неї задачами, мати високу мораль, гарні людські відносини, створювати для шкірного свого члена можливість розвитку як особистості, бути здатної до творчості, тобто як група давати людям більше, ніж може дати торба тієї ж кількості індивідів, що працюють окремо.

Психологічно розвитий як колектив вважається така малий група, у якій склалася диференційована система різних ділових і особистих взаємин споруджуваних на високій моральній основі. Такі відносини Андрієва Г.М. називає колективістськими. Колективістські відносини автор „Соціальної психології” визначає через поняття моральності, відповідальності, відкритості колективізму, контактності організованості, ефективності й інформованості [1].

1)   Моральність. Побудова внутрішньо-колективних і поза-колективних відносин на нормах і цінностях загальнолюдської моралі.

2)   Відповідальність. Відносини членів групи до спільної роботи до цілям і задачам, що коштують перед групою.

3)   Відкритість. Здатність встановлювати і підтримувати гарні споруджувані на колективістській основі взаємини з іншими колективами, а також з новачками у своєму колективі.

4)   Колективізм. Прагнення спільно вирішувати всі питання, зберігаючи і зміцнюючи групу, перешкоджаючи її руйнуванню.

5)   Контактність. Взаємна товариськість, гарні особисті, емоційно-сприятливі дружні відносини між членами групи.

6)   Організованість. Здатність до швидкого створення і зміни організаційної структури ділових взаємин, необхідних для ефективної групової роботи.

7)   Інформованість. Приступність усім членам групи найбільш важливої інформації про стан справ у ній і про кожен член групи.

8)   Ефективність. Успішність рішення колективом усіх наявних у нього задач.

Таких малих груп, що цілком би відповідали всім перерахованим вимогам колективу, у дійсності немає. Більшість реальна існуючих малих груп займає проміжне положення між слаборозвиненою групою і високорозвиненим колективом.

Шлях рухові різних малих груп до колективу індивідуальний, і кожна з них проходити його по своєму, включаючи період кризи. Але головне полягає в тому, що практично в кожній малій групі залишаються свої внутрішні проблеми, що не дозволяють їй піднятися до рівня розвитку ідеального колективу.

2.2 Міжособистісні відносини в групі


Звичайно, за порівняно короткий час індивіди, що складають групу, не можуть зміниться як особистості. Поступово в групі відбувається складна динаміка і ситуативна мінливість внутрішньо групових відносин з відносною особистісною стійкістю.

У кожної людини є свої позитивні і негативні риси, особливі достоїнства і недоліки. Поведінка людини в групі визначена не тільки особистістю, але й особливостями групи. Від людей у групі, соціального оточення, від особливостей групи, у котру попадає людина, залежить, якою стороною, позитивної чи негативною, вона виступає у взаєминах з людьми.

Група, вказує Цукерман Г.А., впливає на психологію і поведінку індивіда, частина змін, породжуваних психологічним впливом групи, зникає, як тільки людина виходить зі сфери впливу групи, інші продовжують існувати, залишаючи помітний слід в особистості і за певних розсудів, перетворюючи в особистісні риси [13]. Особлива увага в ході соціально-психологічного вивчення груп і колективів приділяється взаєминам. Вони поділяються на офіційні і неофіційні, відносини керівництва і підпорядкування (лідерство), ділові й особисті, раціональні й емоційні.

Офіційними називають відносини, що виникають між людьми на посадовій основі. Неофіційні відносини складаються на базі особистих чи приватних взаємин людей. Ділові відносини виникають у зв'язку зі спільною чи роботою по її приводу.

Особисті відносини складаються між людьми незалежно від виконуваної роботи. У раціональних міжособистих відносинах на перший план виступають знання людей друг про друга й об'єктивні оцінки, засновані на особистому, індивідуальному сприйнятті людини людиною стверджував Цукерман Г.А. [13].

Відносини керівництва і підпорядкування розглядаються в колективі на прикладі лідерства – уміння впливати на психологію і поводження окремих членів групи.

Відносини в групах закономірно змінюються. Спочатку бувають відносно байдужними, потім можуть стати конфліктними і перетворитися в колективістські.

Міжособистісні відносини в групах залежать не тільки від включених у них людей, але і від соціальних ситуацій, у яких ці відносини формуються і розвиваються.

Кожна зі значимих соціальних груп вносить свій внесок у психологію і поведінку особистості, і цей внесок аж ніяк не є однозначно позитивним чи негативним. Він різний і про це в першу чергу свідчить наявність у людей безлічі достоїнств і недоліків, велику частину яких придбали, знаходячись у групах.

Розглянемо в узагальненому виді основні факти, що свідчать про позитивний і негативний вплив групи на індивіда.

Позитивний вплив групи на формування і розвиток особистості полягає в наступному: у групі індивід зустрічається з людьми, що є для нього основним джерелом духовної культури; відносини між людьми, що складаються в групах, несуть у собі позитивні соціальні норми і ціннісні орієнтації, що засвоюються особистістю, включеної в систему групових взаємин; група є місцем, де індивід відпрацьовує свої комунікативні уміння і навички; від учасників групи індивід одержує інформацію, що дозволяє йому правильно сприймати й оцінювати собі, зберігати і зміцнювати всі позитивне у своїй особистості, рятуватися від негативного і недоліків; група постачає індивіда системою позитивних емоційних підкріплень, необхідних ля його розвитку.

На психологію індивіда група впливає через систему відносин, що складаються в ній, зокрема через відносини даного індивіда з іншими учасниками групи. При різних відносинах індивіди виявляють собі з різної, позитивної чи негативний, сторони, тому для забезпечення переважно позитивного впливу групи на особистість важливо домогтися того щоб міжособистих відносини в ній були сприятливими.

Точність і глибина відображення особистості в групі прямо залежати від відкритості, інтенсивності і різнобічності спілкування даної особистості з іншими членами групи.

Якщо про позитивний вплив групи на індивіда багато і добре написано в педагогічній, соціологічній і психологічній літературі, то про факти негативного впливу відомо небагато. Донедавна через визначену ідеологізацію психологи і педагоги про ці факти воліли умовчувати. Особливо багато даних про можливий негативний вплив групи на індивіда накопичено в соціальній психології малих груп, початок який було покладено дослідженнями вітчизняних і закордонних учених, проведеними ще на початку XX століття.

Французький дослідник Г. Лебон у книзі під короткою назвою «Юрба», опублікованої в 1895 м, спробував вивести загальні законі поводження людини в неорганізованій спільності людей [10]. Він затверджував, що середня людина в масі людей, у юрбі виявляє більш низький рівень інтелекту, чим поза нею. У юрбі він більш довірливий, агресивний, запеклий, нетерплячий, аморальний і навіть здатний поводитися на рівні тварини. Очевидно, Г. Лебон перебільшував негативний вплив юрби на індивіда, але, проте, у його судженнях і висновках містилася визначена частка істини. Її підтвердили наступні експериментальні дослідження.

Ті специфічні зміни в психології і поведінці людини під впливом юрби, на які одним з перших звернув увагу Лебон, уважно досліджені в соціальній психології за назвою «знеособлювання» і «деіндивідуалізація».

Було показано, що, коли людина відчуває на собі вплив деякої соціальної спільності, внутрішньо не організованої, у її психології і поведінці в більшому ступені виявляється те загальне, що властиво даній групі, і в набагато меншому ступені те, що складає її власну індивідуальність. Людина в юрбі нерідко перестає бути особистістю, тому даний феномен одержавши назву «знеособлювання».

Іншим можливим негативним наслідком групового впливу може бути тієї вплив, що виявляється звичайно на обдарованих творчих особистостей, що істотно відрізняються по своїй психології від більшості членів даної групи. На це звернув увагу В.М. Бехтерев. Провівши ряд експериментів, у результаті яких порівнювалися показники творчої роботи групи й індивіда, В.М. Бехтерев показавши, що у творчості група може уступати особливо обдарованим особистостям [10]. Колективне творче рішення, якщо воно приймається по «більшості», методом простого голосування, нерідко виявляється більш низької якості, чим приватна творчість особливо обдарованих особистостей, включених у дану групу. Такі особистості. Знаходячись під сильним психологічним тиском «кваліфікованого» (насправді некомпетентного) більшості, стримуються, придушуються у своєму творчому розвитку.

2.3 Міжособистісна атракція


Серед людей, що входять у коло нашого спілкування, завжди є ті, хто нам подобається більше, ті, хто нам подобається менше, і ті, хто нам узагалі не подобається. Тобто наше сприйняття інших людей, як правило, супроводжується більш-менш вираженим оцінним відношенням до них. При цьому ми досить швидко визначаємо, хто нам подобається, а хто немає. Прагнення подобатися іншим людям і їхні взаємні почуття стосовно нас складають важливу сторону соціального життя, відіграють значну роль у гарному самопочутті будь-якої людини. Наші переваги виявляються при виборі друзів і майбутнього чоловіка і жінки; багато груп формуються на основі взаємної привабливості вхідних у них людей пише Бодалев А.А. [3].

Процес переваги одних людей іншим, взаємного притягання між людьми, взаємної симпатії одержав назву «міжособистісна атракція» (від англійського attract — залучати, притягати, заполонювати, приваблювати) зазначає Погольша В.М. [5]. Як видно з приведеного визначення, атракція — це, насамперед емоція, що має своїм предметом іншої людини. Разом з тим це порівняно стійка оцінна реакція, що спонукує нас діяти певним чином при взаємодії з конкретною людиною. Тим самим атракція з'являється як визначений вид соціальної установки, як відношення однієї людини до іншого. Таким чином, вона завжди включена в міжособистісний контекст, виступаючи одним із ключових факторів формування і реалізації міжособистісних відносин.

Серед факторів, що роблять найбільший вплив на процес міжособистісної атракції, можна виділити зовнішні стосовно процесу безпосередньої міжособистісної взаємодії (іноді них називають екологічними) і внутрішні, тобто ті, що виникають у процесі взаємодії, або власне міжособистісні детермінанти атракції. Розглянемо докладніше кожну з цих груп.

До зовнішніх, тобто не зв'язаним безпосередньо з процесом взаємодії, факторам атракції Погольша В. відносить наступні: ступінь виразності в людини потреби в аффіліації; емоційний стан партнерів по спілкуванню; просторова близькість.

До внутрішніх, або власне міжособистісних, детермінантам атракції можна віднести: фізичну привабливість партнера по спілкуванню; демонстрований стиль спілкування; фактор подібності між партнерами по спілкуванню; вираження особистого відношення до партнера в процесі спілкування [5].

Нам подобаються красиві люди. Зрозуміло, погляди на красу суб'єктивні, але проте ми сприймаємо її як важливий елемент встановлення і розвитку міжособистісних відносин. За даними численних досліджень, красива зовнішність забезпечує і дівчинкам, і хлопчикам більш високу популярність починаючи вже з чотирьох років. При бесіді з дорослими діти на питання «добре або погано бути красивим» відповідають, що «краще бути красивим, тому що тоді тебе усі будуть любити і не будуть кривдити» (свідчення того, що діти усвідомлюють привілейоване положення красивих).

Існує ряд гіпотез, що пояснюють наявність зв'язку між зовнішньою красою й атракцією. Краса є позитивним підкріпленням: нам приємно бачити красиве.

Красиві люди можуть бути більш комунікабельними, мати більш розвиті комунікативні навички, що може пояснюватися різними умовами соціалізації красивих і некрасивих людей. Замічено, що в більш красивих чоловіків і жінок у спілкуванні з іншими людьми переважає орієнтація безпосередньо на партнера, наприклад, розмова про нього домінує над орієнтацією на досягнення якої-небудь зовнішньої мети.

Популярність красивих людей може бути викликана визначеними вигодами спілкування з ними. Красива людина як би підвищує рівень фізичної привабливості свого партнера.

Дія ефекту ореола — «красивий — значить, гарний»; люди схильні асоціювати красу з позитивними особистими характеристиками, а некрасивість — з негативними.

Однак зв'язок між фізичною привабливістю й атракцією знаходиться в складних, опосередкованих іншими перемінними залежностях. Соціальний психолог Казаринова Н.В. стверджує, що в основі переваги красиве або некрасивих лежить не стільки прагнення людини вибрати як партнера по спілкуванню найкрасивішого, скільки прогноз його реакцій на себе. У випадку, коли людина упевнена у собі, вона вибирає найбільш красивого з можливих претендентів, при відсутності такої впевненості орієнтується на середній або навіть низький рівень фізичної привабливості [5].

Більш високий рівень фізичної привабливості не забезпечує стабільного успіху в довгострокових відносинах: вплив зовнішньої привабливості звичайно більш високий на початку знайомства і знижується в міру того, як ми довідаємося про інші риси цієї людини. Фізична привабливість чоловіка і жінки не впливає на взаємини в родині і стабільність шлюбу. Немає твердого зв'язку і між зовнішністю й успіхом у романтичних відносинах.

Важливим фактором міжособистісної атракції є манера поведінки. Спілкування з одними людьми приносить нам більшу насолоду, чим з іншими. Ті, хто виявляє щедрість, великодушність, ентузіазм, ніжність, жвавість, комунікабельність, рішучість, як правило, подобаються більше, ніж ті, кого сприймають як скупих, холодних, апатичних, «агрессивно-егоцентричних» або надто боязких.

В Корпік А.А. наводить дослідження, в якому випробуваних просили описати риси людини, яку вони не люблять [6]. В отриманих описах були виділені наступні три групи визначених якостей.

По-перше, — самозакоханість, зарозумілість, самовдоволення, марнославство. З такою людиною неприємно мати справу, тому що вона більше думає про себе, чим про кого-небудь ще. При взаємодії з нею ви почуваєте відсутність інтересу до себе, до вашої думки, вашим ідеям; результатом цього може стати зниження самоповаги.

По-друге — догматичність, постійна схильність не погоджуватися, суперечити своєму співрозмовникові. Почасти такі люди нагадують перший тип — їх менше цікавлять почуття і погляди інших людей, чим бажання виявити свою волю над ними. Подібне образлива поведінка може викликати кілька варіантів відповідних реакцій: зустрічна образа; пасивний опір у формі мовчазного протесту; змушене підпорядкування, при якому зберігається або навіть підсилюється негативне відношення до такої людини.

По-третє — нещирість, нещирість; у спілкуванні з такою людиною виникає відчуття небезпеки («чого він хоче від мене?», «кому він може передати зміст нашої розмови?»), почуття, що вас хочуть використовувати в чиїхось цілях.

Експериментальне дослідження Е.О. Смирновій і Е.В. Калягіной було присвячено з'ясуванню психологічних особливостей популярних і непопулярних дітей [11]. У рамках дослідження порівнювалися емоційний, когнітивний і поведінковий компоненти комунікативної компетентності популярних і непопулярних дошкільників. Отримані результати показали наступне. Найбільш істотні розходження між популярними і непопулярними дітьми були виявлені в емоційному відношенні до однолітків. По-перше, популярні діти, на відміну від непопулярних, практично ніколи не були байдужними до дій однолітка, виявляли до них інтерес. Причому це емоційне захоплення мала позитивне окрас— вони схвалювали і підтримували інших дітей, у той час як непопулярні засуджували і нав'язували свій задум.

По-друге, вони співчували іншим у відповідь на оцінку дорослого. Непопулярні діти залишалися байдужними до оцінки однолітка або реагували неадекватно (позитивні емоції при осудженнях інших і негативні при заохоченнях).

По-третє, усі популярні діти незалежно від рівня товариськості й ініціативності відповідали на прохання однолітків і іноді безкорисливо віддавали їм те, що було потрібно їм самим. Непопулярні не робили цього ніколи. Нарешті, популярні діти навіть у позиції «скривдженого» воліли вирішувати конфлікти мирним шляхом, не обвинувачуючи і не караючи інших. Непопулярні, як правило, знаходили рішення конфлікту в агресивних діях і погрозах. Дані результати свідчать, що в основі популярності дошкільників лежать не розвиток соціального інтелекту і не організаторські здібності, а насамперед емоційне відношення до однолітка, що виражається як у різних емоційних проявах, так і в окремих поведінкових актах. Сам по собі цей факт не є новим. У більшості робіт, незважаючи на розмаїтість гіпотез і методичних прийомів, як особливості, що забезпечують дитині прихильність ровесників, відзначають подібні риси. До них звичайно відносять: чуйність, чуйність, взаємодопомога, доброзичливість і увага до однолітка, уміння уступити, домовитися, доброту, дружелюбність, привітність і т.д. Саме ці якості роблять дитини популярним і бажаним серед однолітків.

Це не означає, що популярні діти не сваряться, не ображаються, не змагаються і не сперечаються з іншими. Однак у них, на відміну від непопулярних, потреба оцінювати і порівнювати себе з іншими не закриває іншої дитини і не робить захист, твердження і визнання свого «Я» головною життєвою задачею. Саме це і забезпечує визнання інших і твердження дитини в групі однолітків [6].

Зрозуміла людина — це людин, що згодна з мною», — один раз сказав Дизраелі (прем'єр-міністр Великобританії наприкінці XIX в.). Три чверті століття потому це висловлення знайшло підтвердження в наукових дослідженнях: нам подобаються і ми скоріше подобаємося людям, що схожі на нас, і навпроти, нам не подобаються і ми не подобаємося людям, що відрізняються від нас [11].

В основі цього твердження лежить принцип когнітивної відповідності, що знайшов відображення в цілому ряді соціально-психологічних теорій. Відповідно до цього принципу, люди мають сильно виражену потребу в погодженості, послідовності. Соціальні установки, вірування, почуття, цінності людини взаємозалежні, і він намагається підтримувати них у погодженості або створити неї, якщо вона втрачена. Однієї з найбільш відомих теорій, що застосовують даний принцип у дослідженні міжособистісної атракції, є теорія комунікативних актів.

Її основні положення можна сформулювати в такий спосіб.

Міжособистісна комунікація — це один зі способів, за допомогою якого ми намагаємося підтримати стан когнітивного балансу, або симетрії. Найпростіший акт комунікації може бути представлений як ситуація, у якій одна людина (А) повідомляє інформацію іншій людині (Б) щодо якогось предмета (X). Якщо А и Б мають подібні погляди і почуття відносно X, їхні відносини симетричні. Якщо ж їхні погляди і почуття відносно X розходяться, їхні відносини асиметричні. Іншими словами, люди, що мають подібні орієнтації (соціальні установки), випробують взаємну привабливість.

Що робить симетричні відносини настільки бажаними? Причини цього процесу Куніцина В.Н. пояснює так: по-перше, чим вище рівень згоди, тим легше пророчити поводження іншої людини; по-друге, чим більш схожі установки А и Б, тим сильніше відчуття реальності і значимості їхніх поглядів, що є важливою умовою позитивної Я-концепції, джерелом підтримки впевненості в собі, підвищення самооцінки особистості [5]. Напруга, викликана розбіжністю поглядів, створює дискомфорт, від якого людина намагається позбутися шляхом узгодження свого поводження з поводженням іншої людини. Ця базова мотивація одержала назву «потреба в консенсусі»; вона виявляється в тім, що люди намагаються додати силу і значимість своїм поглядам шляхом їхнього узгодження з іншими людьми.

Теорія комунікативних актів використовує схематичні моделі. Знаки «плюс» указують на позитивні почуття, знаки «мінус» — на негативні; стрілки вказують напрямок почуттів. Будь-яка ситуація, що містить парне число знаків «мінус» або їхня відсутність, є ситуацією збалансоване або симетричної; якщо ж число знаків «мінус» непарне, ми маємо незбалансовану або асиметричну ситуацію.

Деякі фактори підсилюють вплив подібності на атракцію. Серед них: число питань, по яких люди досягають згоди; важливість, значимість тих або інших поглядів; взаємність.

Навіть з найближчими друзями ми згодні не з усіх питань. І все-таки саме з друзями, у відношенні яких ми досягаємо згоди, істотно вище, ніж з людьми, яких ми не любимо. Ми вибираємо наших друзів саме тому, що з ними в нас багато загального в поглядах, і схильні погоджуватися з ними по великому числу питань, тому що ми — друзі. Більш того, одне питання не може сформувати або зруйнувати дружні відносини, але число питань, по яких ми досягаємо згоди, стає гарним показником того, чи будуть наші відносини тривалими.

Деякі погляди займають центральне місце в нашому світогляді, вони більш стійкі, їх важко змінити, навіть якщо це потрібно для досягнення симетричних відносин. Тому порозуміння по важливих світоглядних питаннях виявляється найчастіше принциповим моментом у встановленні наших відносин з іншими. Якщо розбіжності виникають з питань, що не має великого значення для тих, що зібралися разом людей, то навіть їхня наявність не вплине на приятельський характер відносин. Якщо ж обговорювана проблема має велику важливість для когось зі співрозмовників, то розбіжність у її оцінці швидше за все позначиться на відносинах між ними. Оскільки життєві установки людини формуються у визначеної соціокультурній сфері, такі особистісні характеристики, як освіта, минулий досвід, спільні духовні цінності і т.д., можуть впливати на те, чи буде інша людина приваблива для нього. Шлюб між представниками різних рас, релігійних поглядів, соціоекономічних груп, різного рівня утворення має велику імовірність закінчитися розводом, чим шлюб між людьми, що мають подібність за цими показниками.

Взаємність — ще один перемінний, посилюючий вплив принципу подібний на міжособистісну атракцію. Від того, чи почуваємо ми, що той, хто нам подобається, випробує ті ж почуття до нас, що ця людина до нас не байдужий, багато в чому залежить, чи стане наше захоплення сильніше. Знання того, що ми подобаємося іншій людині, виявляється своєрідною нагородою, підвищує самооцінку. Якщо ж наше почуття не викликає взаємності, ми постараємося справитися з ним, зменшуючи мі втрачаючи інтерес до цієї людини.

Всім нам доводилося зустрічати пари, у яких люди чудово уживаються, незважаючи на, що кидаються в очі розходження їхніх характерів і поглядів. Теорію, що підкреслює розходження, а не подібність між людьми як основу міжособистісної атракції, запропонував американський психолог Р. Винч, назвавши її теорією потреб. [10]. Її основне положення можна сформулювати в такий спосіб: при доборі шлюбних партнерів і навіть друзів ми частіше вибираємо тих, хто задовольняє наші потреби, а максимальне задоволення має місце тоді, коли два чоловіки мають скоріше доповнюють, а не подібні потреби.

Винч виділяв два типи додатковості. По-перше, два чоловіки можуть задовольняти різні потреби один одного. Наприклад, А має сильну потребу в тім, щоб когось захищати, а Б — сильну потребу в залежності від когось. По-друге, два чоловіки можуть задовольняти ту саму потребу, наприклад коли А має сильну потребу в домінуванні, а в Б ця ж потреба виражена значно слабкіше. Причому такі доповнення не залежать від того, маємо ми справа з чоловіком або жінкою. Хоча чимало прикладів підтверджують дану теорію, багато дослідників не розділяють неї, думаючи, що вона носить гіпотетичний характер і має потребу в додатковій перевірці [10].

Найважливішою внутрішньою детермінантою міжособистісної атракції є вираження особистого відношення до партеру в ході спілкування. Ще Аристотель писав, що люди люблять тих, хто робить їм добро і піклується про них. Атракція виникає у відповідь на позитивні дії, ворожість — на негативні [5].

Ми з більшою імовірністю будемо позитивно відноситися до тих людям, хто нас хвалить, любить, співробітничає з нами, чим до тих, хто нас критикує, ненавидить або є нашим конкурентом. Утім, замічено, що емоційна реакція на позитивні дії з боку іншої людини визначається не стільки самими діями, скільки тем, як вони інтерпретуються які мотиви приписуються суб'єктові, який суб'єктивний зміст має для людини дане підкріплення. Важливо, чи сприймає людина ці дії як адресовані йому особисто або як безособові, як частина звичного для суб'єкта поводження в даній ситуації. Крім того, якщо партнер «перебирає» у компліментах, похвалах, виникає питання про щирість і мотивацію такої поведінки.

Підтримуючий стиль поведінки можна визначити як будь-яку поведінки, у результаті якої інша людина починає більше себе цінувати. Непідтримуючий стиль – поведінка, у результаті якої інша людина оцінює себе нижче цінує себе менше.

Відмова в підтримці іноді може бути ненавмисною, бути результатом нерозуміння важливості підтримки для особистісної самооцінки. Однак в обох випадках результатом стає використання індивідом психологічних захистів.

3 Аналіз методів діагностики міжособистісних відносин

міжособистий відносини колектив поведінка

Методів, за допомогою яких у психології вивчаються міжособистісні взаємини, досить багато і провести дослідження за допомогою всіх методів не представляється можливим. Відібрала декілька досить надійних і точних методів, що дають різнобічну і цінну інформацію для оцінки рівня розвитку в малій групі міжособистісних відносин, характерних для колективу, а також положення (статусу) людини в системі відносин групи.

3.1 Методика діагностики міжособистих відносин Т. Лірі


Методика створена Т. Лірі, Г. Лефоржем, Р. Сазеком у 1954 р. і призначена для дослідження представлень суб'єкта про себе й ідеальному «Я», а також для вивчення взаємин у малих групах. За допомогою даної методики виявляється переважний тип відносин до людей у самооцінці і взаємооцінки [9].

При дослідженні міжособистісних відносин найбільше часто виділяються два фактори: домінування-підпорядкування і дружелюбність-агресивність. Саме ці фактори визначають загальне враження про людину в процесах міжособистісного сприйняття. Вони названі М. Аргайлом у числі головних компонентів при аналізі стилю міжособистісного поводження і по змісту можуть бути співвіднесені з двома з трьох головних осей семантичного диференціала Ч. Відтіля: оцінка і сила. У багаторічному дослідженні, проведеному американськими психологами під керівництвом Б. Бейлза, поведінка члена групи оцінюється по двох перемінним, аналіз яких здійснюється в тривимірному просторі, утвореному трьома осями: домінування-підпорядкування, дружелюбність-недружелюбність, емоційність-аналітичність [10, 9].

Для представлення основних соціальних орієнтації Т. Лірі розробив умовну схему у виді кола, розділеного на сектори. У цьому колі по горизонтальній і вертикальній осях позначені чотири орієнтації: домінування-підпорядкування, дружелюбність-ворожість. У свою чергу ці сектори розділені на вісьмох — відповідно більш приватних відносин. Для ще більш тонкого опису коло поділяють на 16 секторів, але частіше використовуються октанти, певним чином орієнтовані щодо двох головних осей.

Схема Т. Лірі заснована на припущенні, що чим ближче результати випробуваного до центра окружності, тим сильніше взаємозв'язок цих двох перемінних. Сума балів кожної орієнтації переводиться в індекс, де домінують вертикальна (домінування-підпорядкування) і горизонтальна (дружелюбність-ворожість) осі. Відстань отриманих показників від центра окружності вказує на адаптивність або екстремальність интерперсонального поводження.

Опросник містить 128 оцінних суджень, з яких у кожнім з 8 типів відносин утворяться 16 пунктів, упорядкованих по висхідній інтенсивності. Методика побудована так, що судження, спрямовані на виявлення якого-небудь типу відносин, розташовані не підряд, а особливим образом: вони групуються по 4 і повторюються через рівну кількість визначень. При обробці підраховується кількість відносин кожного типу.

Т. Лірі пропонував використовувати методику для оцінки поводження людей, що спостерігається, тобто поводження в оцінці навколишніх («з боку»), для самооцінки, оцінки близьких людей, для опису ідеального «Я». Відповідно до цих рівнів діагностики міняється інструкція для відповіді.

Максимальна оцінка рівня — 16 балів, але вона розділена на чотири ступені виразності відносини:

0-4 бала — низька

5-8 балів – помірна                         адаптивне поводження

9-12 балів — висока                        екстремальне поводження

13-16 балів — екстремальна                              до патології

Різні напрямки діагностики дозволяють визначити тип особистості, а також зіставляти дані по окремих аспектах. Наприклад, «соціальне "Я"», «реальне "Я"», «мої партнери» і т.д.

Методика може бути представлена респондентові або списком (за алфавітом або у випадковому порядку), або на окремих картках. Йому пропонується вказати ті твердження, що відповідають його представленню про себе, відносяться до іншого людині або його ідеалові.

У результаті виробляється підрахунок балів по кожної октанті за допомогою спеціального «ключа» до опитнику. Отримані бали переносяться на дискограмму, при цьому відстань від центра кола відповідає числу балів по даної октанті (від 0 до 16). Кінці векторів з'єднуються й утворять особистісний профіль.

Мал. 3.1 Схема особистого профілю.

По спеціальних формулах визначаються показники по двох основних факторах: домінування і дружелюбність.

Домінування = (I-V) + 0,7 х (VIII + II – IV – VI)

Дружелюбність = (VII – III) + 0,7 х (VIII – II – IV + VI)

Якісний аналіз отриманих даних проводиться шляхом порівняння дискограмм, що демонструють розходження між представленнями різних людей. С.В. Максимовим приведені індекси точності рефлексії, дифференцированності сприйняття ступеня благополучне положення особистості в групі, ступені усвідомлення особистістю думки групи, значимості групи для особистості.

Методичний прийом дозволяє вивчати проблему психологічної сумісності і часто використовується в практиці сімейної консультації, групової психотерапії і соціально-психологічного тренінгу.

Типи відносини до навколишньої

I. Авторитарний

13-16 – диктаторський, владний, деспотичний характер, тип сильної особистості, що лідирує у всіх видах групової діяльності. Усіх наставляє, повчає, в усьому прагне покладатися на свою думку, не вміє приймати ради інших. Навколишні відзначають цю владність, але визнають неї.

9-12 – домінантний, енергійний, компетентний, авторитетний лідер, успішний у справах, любить давати ради, вимагає до себе поваги.

0-8 — упевнений у собі людина, але не обов'язково лідер, завзятий і наполегливий.

П. Егоїстичний

13-16 — прагне бути над усіма, але одночасно осторонь від усіх, самозакоханий, розважливий, незалежний, себелюбний. Труднощі перекладають на навколишніх, але сам відноситься до них трохи з відчуженням, хвалькуватий, самовдоволений, зарозумілий.

0-12 — егоїстичні риси, орієнтація на себе, схильність до суперництва.

Ш. Агресивний

13-16 – тверда і ворожий стосовно навколишніх, різка, твердий, агресивність може доходити до асоціального поводження. 9-12 – вимогливій, прямолінійній, відвертій, строгій і різкий в оцінці інших, непримиренний, схильний в усьому обвинувачувати навколишніх, глузливий, іронічний, дратівливий.

0-8 — упертий, завзятий, наполегливий і енергійний.

IV.     Підозрілий

13-16 — відчужений стосовно ворожого і злісного світу, підозрілий, уразливий, схильний до сумніву в усьому, злопам'ятний, постійно скаржиться на усіх (шизоїдний тип характеру).

9-12 — критичний, випробує труднощі в інтерперсональних контактах через підозрілість і острах поганого ставлення, замкнутий, скептичний, розчарований у людях, потайливий, свій негативізм виявляє у вербальній агресії.

0-8 — критичний стосовно всіх соціальних явищ і навколишніх людей.

V.      Підлеглюючий

13-16 - покірний, схильний до самознищення, слабовільний, схильний уступати всім і в усьому, завжди ставить себе на останнє місце і засуджує себе, приписує собі провину, пасивний, прагне знайти опору в кому-небудь більш сильному.

9-12 — соромливий, лагідний, легко бентежиться, схильний підкорятися більш сильному без обліку ситуації.

0-8 – скромний, боязкий, поступливий, емоційно стриманий, здатний підкорятися, не має власної думки, слухняно і чесно виконує свої обов'язки.

VI.     Залежний

13-16 — різко невпевнений у собі, має нав'язливі страхи, побоювання, тривожиться по будь-якому приводі, тому залежимо від інших, від чужої думки.

9-12 — слухняний, боязкий, безпомічний, не уміє виявити опір, щиро вважає, що інші завжди праві.

0-8 — конформний, м'який, очікує допомоги і рад, довірливий, схильний до замилування навколишніми, увічливий.

VII.   Дружелюбний

9-12 – дружелюбне і люб'язний з усіма, орієнтований на прийняття і соціальне схвалення, прагне задовольнити вимоги всіх «бути гарним» для усіх без обліку ситуації, прагне до цілям мікрогрупи, має розвиті механізми витиснення і придушення, емоційно лабільний (істероидний тип характеру).

0-8 – схильний до співробітництва, кооперації, гнучкому і компромісний при рішенні проблем і в конфліктних ситуаціях, прагне бути в згоді з думкою навколишніх, свідомо конформний, додержується умовностей, правилам і принципам «гарного тону» у відносинах з людьми, ініціативний ентузіаст у досягненні цілей групи, прагне допомагати, почувати себе в центрі уваги, заслужити визнання і любов, товариський, виявляє теплоту і дружелюбність у відносинах.

VIII.  Альтруїстичний

9-16 — гіпервідповідальний, завжди приносить у жертву свої інтереси, прагне допомогти і співчувати усім, нав'язливий у своїй допомозі і занадто активний стосовно навколишньої, неадекватно приймає на себе відповідальність за інші (може бути тільки зовнішня «маска», що ховає особистість протилежного типу).

0-8 — відповідальний стосовно людей, делікатне, м'яке, добрий, емоційне відношення до людей виявляє в жалі, симпатії, турботі, ласці, уміє побадьорити і заспокоїти навколишніх, безкорисливий і чуйний.

Інструкція: Поставте знак «+» проти тих визначень, що відповідають Вашому представленню про себе (якщо немає повної впевненості, знак «+» не ставте) (текст опитника див. Додаток 1).

3.2 Методика «Q-сортування» В. Стефансона. Діагнотика основних тенденцій поведінки в реальній групі та представлень про себе


Випробуваному пропонується набір карток, що містять твердження або назви властивостей особистості. Їх необхідно розподілити по групах від «найбільш характерних» до «найменш характерних» для нього. Завдання можуть бути приготовлені відповідно до цілей діагностики [7]. Достоїнством методики є те, що при роботі з нею піддослідний проявляє свою індивідуальність, реальне «Я», а не «відповідність-невідповідність» статистичним нормам і результатам інших людей. Можливе і повторне сортування того ж набору карток, але в інших відносинах:

- «соціальне "Я"» (Яким мене бачать інші?);

- «ідеальне "Я"» (Яким би я хотів бути?);

- «актуальне "Я"» (Який я в різних ситуаціях?);

- «значимі інші» (Яким я бачу свого партнера?);

- «ідеальний партнер» (Яким би я хотів бачити свого партнера?).

Методика дозволяє визначити шість основних тенденцій поведінки людини в реальній групі: залежність, незалежність, товариськість, нетовариськість, прийняття «боротьби» і «ухилення від боротьби». Тенденція до залежності визначена як внутрішнє прагнення індивіда до прийняття групових стандартів і цінностей: соціальних і морально-етичних. Тенденція до товариськості свідчить про контактність, прагнення утворити емоційні зв'язки як у своїй групі, так і за її межами. Тенденція до «боротьби» - активне прагнення особистості брати участь у груповому житті, домагатися більш високого статусу в системі між особистісних взаємин; на противагу цієї тенденції ухилення від «боротьби» показує прагнення піти від взаємодії, зберегти нейтралітет у групових суперечках і конфліктах, схильність до компромісних рішень. Кожна з цих тенденцій має, на наш погляд, внутрішню і зовнішню характеристику, тобто залежність, товариськість і «боротьба» можуть бути щирими, внутрішньо властивої особистості, а можуть бути зовнішніми, своєрідної «маскою», що ховає щиру особу людини. Якщо число позитивних відповідей у кожній сполученій парі (залежність – незалежність, товариськість – нетовариськість, прийняття «боротьби» — ухилення від «боротьби») наближається до 20, то ми говоримо про щиру перевагу тієї або іншої стійкої тенденції, властивому індивідові, і проявляються не тільки у визначеній групі, але і за її межами.

Випробуваному пред'являється картка тверджень і пропонується відповісти «так», якщо воно відповідає його представленню про себе як члена даної конкретної групи, або «ні», якщо воно суперечить його представленню, і тільки у виняткових випадках дозволяється відповісти: «сумніваюся», тобто розкласти на три групи відповідей. Відповіді випробуваного розносяться по відповідними ключами підраховуються тенденції по кожній зі сполучених пар. Так як заперечення однієї якості є визнанням полярної якості, кількість відповідей «так» складається з кількістю відповідей «ні» протилежних тенденцій (текст опитника див. Додаток 2).

У результаті ми одержуємо сумарне кількісне визначення для кожної з перерахованих тенденцій. Для зведення результатів у границі від +1 до -1 отримане число ми поділяємо на 10. Передбачається, що відповідь «так» має позитивний знак, а відповідь «ні» — негативний. Три-чотири відповіді «сумніваюся» по окремих тенденціях розцінюються нами як ознака нерішучості, ухильності, астенічності, однак в інших випадках це може свідчити про відому вибірковість у поведінці, про тактичну гнучкість, стенічності. Ці якості можна дифірінцювати , аналізуючи їх у сукупності з іншими особистісними особливостями (Таблиця 3.1).

Можлива і нульова оцінка, коли суми відповідей «так» і «ні» збігаються. Саме таке положення може з'явитися джерелом внутрішнього конфлікту особистості, що знаходиться у владі протилежних тенденцій, що мають однакову виразність.

Визначений інтерес представляє використання даної методики в якості взаємооцінки для порівняння представлень про самого себе з думкою кожного про кожного всередині групи.

Таблиця 3.1 Ключ методика «Q-СОРТУВАННЯ»

I

Залежність

3, 9, 15, 21, 27, 33, 39, 45, 51, 54

III

Незалежність

6, 12, 18, 24, 30, 36, 42, 48, 57, 60

IIII

Товариськість

5, 7, 13, 19, 25, 31, 37, 43, 49, 52

IIV

Нетовариськість

4, 10, 16, 22, 28, 34, 40, 46, 55, 58,

V

Прийняття «боротьби»

1, 11, 17, 23, 29, 35, 41, 47, 56, 59

VVI

«Ухилення від боротьби».

2, 8, 14, 20, 26, 32, 38, 44, 50, 53

3.3 Методика діагностики міжособистісних і між групових відносин („Соціометрія”) Дж. Морено


Соціометрична техніка застосовується для діагностики міжособистісних і міжгрупових відносин з метою їхньої зміни, поліпшення й удосконалювання. За допомогою соціометрії можна вивчати типологію соціального поводження людей в умовах групової діяльності, судити про соціально-психологічну сумісність членів конкретних груп [9].

Соціометрична процедура. Загальна схема дій при соціометричному дослідженні полягає в наступному. Після постановки задач дослідження і вибору об'єктів вимірів формулюються основні гіпотези і положення, що стосуються можливих критеріїв опитування членів груп. Тут не може бути повної анонімності, інакше соціометрія виявиться малоефективною. Вимога експериментатора розкрити свої симпатії й антипатії нерідко викликає внутрішні утруднення в опитуваних і виявляється в деяких людей у небажанні брати участь в опитуванні. Коли питання або критерії соціометрії обрані, вони заносяться на спеціальну картку або пропонуються в усному виді по типі інтерв'ю. Кожен член групи зобов'язаний відповідати на них, вибираючи тих або інших членів групи в залежності від більшої або меншої схильності, переваги їхній у порівнянні з іншими, симпатій або, навпаки, антипатій, довіри або недовіри і т.д.

При цьому соціометрична процедура може проводитися в двох формах. Перший варіант – непараметрична процедура. У даному випадку випробуваному пропонується відповісти на питання соціометричної картки без обмеження числа виборів випробуваного. Якщо в групі нараховується, скажемо, 12 чоловік, то в зазначеному випадку кожний з опитуваних може вибрати 11 чоловік (крім самого себе). Таким чином, теоретично можливе число зроблених кожним членом групи виборів у напрямку до інших членів групи в зазначеному прикладі буде дорівнює (N-1), де N - число членів групи. Точно так леї і теоретично можливе число отриманих суб'єктом виборів у групі буде дорівнює (N-1). Відразу усвідомимо собі, що зазначена величина (N-1) отриманих виборів є основною кількісною константою соціометричних вимірів. При непараметричній процедурі ця теоретична константа є однакової як для індивідуума, що робить вибори, так і для будь-якого індивідуума, що став об'єктом вибору. Достоїнством даного варіанта процедури є те, що вона дозволяє виявити так називану емоційну експансивність кожного члена групи, зробити зріз різноманіття міжособистісних зв'язків у груповій структурі. Однак при збільшенні розмірів групи до 12-16 чоловік цих зв'язків стає так багато, що без застосування обчислювальної техніки проаналізувати їх стає досить важко.

Іншим недоліком непараметричної процедури є велика імовірність одержання випадкового вибору. Деякі випробувані, керуючись особистим мотивом, нерідко пишуть в опитувачах: «вибираю всіх». Ясно, що така відповідь може мати тільки два пояснення: або у випробуваного дійсно склалася така узагальнена аморфна і недиференційована система відносин з навколишніми (що малоймовірно), або випробуваний свідомо дає помилкова відповідь, прикриваючи формальною лояльністю до навколишньої і до експериментатора (що найбільше ймовірно).

Аналіз подібних випадків змусив деяких дослідників спробувати змінити саму процедуру застосування методу й у такий спосіб знизити імовірність випадкового вибору. Так народився другий варіант — параметрична процедура з обмеженням числа виборів. Випробуваним пропонують вибирати строго фіксоване число з усіх членів групи. Наприклад, у групі з 25 чоловік кожному пропонують вибрати лише 4 або 5 чоловік. Величина обмеження числа соціометричних виборів одержала назву «соціометричного обмеження» або «ліміту виборів».

Багато дослідників вважають, що введення «соціометричного обмеження» значно перевищує надійність соціометричних даних і полегшує статистичну обробку матеріалу. З психологічної точки зору соціометричне обмеження змушує випробуваних більш уважно відноситися до своїх відповідей, вибирати для відповіді тільки тих членів групи, що дійсно відповідають пропонованим ролям партнера, лідера або товариша по спільній діяльності. Ліміт виборів значно знижує імовірність випадкових відповідей і дозволяє стандартизувати умови виборів у групах різної чисельності в одній вибірці, що й уможливлює зіставлення матеріалу по різних групах.

В даний час прийнято вважати, що для груп у 22-25 учасників мінімальна величина «соціометричного обмеження» повинна вибиратися в межах 4-5 виборів. Істотна відмінність другого варіанта соціометричної процедури полягає в тому, що соцометрична константа (N-1) зберігається тільки для системи одержуваних виборів (тобто з групи до учасника). Для системи відданих виборів (тобто в групу від учасника) вона виміряється новою величиною d (соціометричним обмеженням). Уведенням величини d можна стандартизувати зовнішні умови виборів у групах різної чисельності. Для цього необхідно визначати величину d по однаковій для всіх груп імовірності випадкового вибору. Формулу визначення такої імовірності запропонували у свій час Дж. Морено й Е. Дженнингс:

P (A) =

де Р — імовірність випадкової події (А) соціометричного вибору; N— число членів групи.

Звичайно величина Р(А) вибирається в межах 0,20-0,30.11одставляя ці значення у формулу (1) для визначення d < відомою величиною N, одержуємо шукане число «соціометричного обмеження» в обраній для вимірів Групі.

Недоліком параметричної процедури є неможливість розкрити різноманіття взаємин у групі. Можливо виявити тільки найбільше суб'єктивно значимі зв'язки. Соціометрична структура групи в результаті такого підходу буде відбивати лише найбільш типові, «обрані» комунікації. Уведення «соціометричного обмеження» не дозволяє судити про емоційну експансивність членів групи.

Соціометрична процедура може мати на меті: а) вимір ступеня згуртованості-роз'єднаності в групі; б) виявлення «соціометричних позицій», тобто співвідносного авторитету членів групи по ознаках симпатії-антипатії, де на крайніх полюсах виявляються «лідер» групи і «відкинутий»; в) виявлення внутрігрупових підсистем, споєних утворень, на чолі яких можуть бути свої неформальні лідери.

Соціометрична картка або соціометрична анкета складається на заключному етапі розробки програми. У ній кожен член групи повинний указати своє відношення до інших членів групи за виділеними критеріями (наприклад, з погляду спільної роботи, участі в рішенні ділової задачі, проведення дозвілля, у грі і т.д.)

Таблиця 3.2 Соціометрична картка

1

2

3

4

Тип

Критерії

Вибори

1

Робота

а) Кого б ви хотіли вибрати своїм бригадиром?

б) Кого б ви не хотіли вибрати своїм бригадиром?





2

Дозвілля

а) Кого б ви хотіли запросити на зустріч Нового року?

б) Кого б ви не хотіли запросити на зустріч Нового року?






При опитуванні без обмеження виборів у соціометричної картці після кожного критерію повинна бути виділені графа, розміри якої дозволили б давати досить повні відповіді. При опитуванні з обмеженням виборів праворуч від кожного критерію на картці креслиться стільки вертикальних граф, скільки виборів ми припускаємо дозволити в даній групі. Визначення числа виборів для різних по чисельності груп, але з заздалегідь заданою величиною Р(А) у межах 0,14-0,25 можна зробити, користуючись спеціальною таблицею (див. нижче).

Величини обмеження соціометричних виборів. Соціоматриця. Спочатку варто побудувати найпростішу соціоматрицю. Приклад даний у таблиці (таблиця 3.3). Результати виборів розносяться по матриці за допомогою умовних позначок.

Таблиця 3.3 Приклад результатів виборів

Число членів груп

Соціометричне обмеження d

Імовірність випадкового вибору Р (А)

5-7

1

0,20-0,14

8-11

2

0,25-0,18

12-16

3

0,25-0,19

17-21

4

0,23-0,19

22-26

5

0,22-0,19

27-31

6

0,22-0,19

32-36

7

0,21-0,19


Коли соціометричне картки заповнені і зібрані, починається етап їхньої математичної обробки. Найпростішими способами кількісної обробки є табличний, графічний і індексологічний.

Аналіз соціоматриці за кожним критерієм дає досить наочну картину взаємин у групі. Примітка: + позитивний вибір; - негативний вибір (мал. 3.2).

Можуть бути побудовані сумарні соціоматриці, що дають картину виборів по декількох критеріях, а також соціоматриці за даними міжгрупповых виборів. Основне достоїнство соціоматриці — можливість представити набори в числовому виді, що у свою чергу дозволяє проранжувати членів групи по числу отриманих і відданих виборів, установити порядок впливів у групі. На основі соціоматриці будується соціограма – карта соціометричних виборів (соціометрична карта), виробляється розрахунок соціометричних індексів.

Мал. 3.2 Схема відносного анализа структуры взаимоотношений в группе в пространстве на некоторой плоскости

Соціограма — схематичне зображення реакції випробуваних один на одного при відповідях на соціометричний критерій.

Соціограма дозволяє зробити порівняльний аналіз структури взаємин у групі в просторі на деякій площині («щиті») за допомогою спеціальних знаків (мал. 3.2).

Соціограмна техніка є істотним доповненням до табличного підходу в аналізі соціометричного матеріалу, тому що вона дає можливість більш глибокого якісного опису і наочного представлення групових явищ.

Аналіз соціограми починається з відшукання центральних, найбільш впливових членів, потім взаємних пар і угруповань. Угруповання складаються з взаємозалежних осіб, що прагнуть вибирати один одного. Найбільше часто в соціометричних вимірах зустрічаються позитивні угруповання з 2, 3 членів, рідше з 4 і більш членів (мал. 3.3).

Мал. 3.3 Схема аналізу социограммы.

Розрізняють персональні соціометричні індекси (П.С.И.) і групові (Г.С.И.). Перші характеризують індивідуальні соціально-психологічні властивості особистості в ролі члена групи. Другі дають числові характеристики цілісної соціометричної конфігурації виборів у групі. Вони описують властивості групових структур спілкування. Основними П.С.И. є: індекс соціометричного статусу i-члена; емоційної експансивності j-члена, обсягу, інтенсивності і концентрації взаємодії ij-члена, Символи i і j позначають те саме особа, але в різних ролях; i— обираний, j— він же вибирає, ij — сполучення ролей.

Соціометричниий статус — це властивість особистості як елемента соціометричної структури займати визначену просторову позицію (локус) у ній, тобто певним чином співвідноситися з іншими елементами. Така властивість розвита в елементів групової структури нерівномірно і для порівняльних цілей може бути обмірювано числом — індексом соціометричного статусу. Елементи соціометричної структури — це особистості, члени групи. Кожний з них тією чи іншою мірою взаємодіє з кожним, спілкується, безпосередньо обмінюється інформацією і т.д. У той же час кожен член групи, будучи частиною цілого (групи), своїм поводженням впливає на властивості цілого. Реалізація цього впливу протікає через різні соціально-психологічні форми взаємовпливу. Суб'єктивну міру цього впливу підкреслює величина соціометричного статусу. Але особистість може впливати на інших подвійно — або позитивно, або негативно. Тому прийнято говорити про позитивний і негативний статус. Статус теж вимірює потенційну здатність людини до лідерства. Щоб вирахувати соціометричний статус, необхідно скористатися даними соціоматриці.

Індекс показує середню активність групи при рішенні задачі соціометричного тесту (у розрахунку на кожного члена групи).

Використання соціометричного тесту дозволяє проводити вимір авторитету формального і неформального лідерів для перегрупування людей у бригадах так, щоб знизити напруженість у колективі, що виникає через взаємну ворожість деяких членів групи.

Соціометрична методика проводиться груповим методом, її проведення не вимагає великих тимчасових витрат (до 15 хв.). Вона досить корисна в прикладних дослідженнях, особливо в роботах по удосконалюванню відносин у колективі.

Висновки


Людина, що розвивається в суспільстві, що володіє свідомістю і вступає в спілкування і взаємодію з іншими людьми, стає особистістю.

На психологію індивіда група впливає через систему відносин, що складаються в ній, зокрема через відносини даного індивіда з іншими учасниками групи. При різних відносинах індивіди виявляють собі з різної, позитивної чи негативний, сторони, тому для забезпечення переважно позитивного впливу групи на особистість важливо домогтися того щоб міжособистих відносини в ній були сприятливими.

Міжособистісна атракція визначається дією цілого ряду факторів. Позитивне сприйняття іншої людини може залежати від емоційного стану самого сприймаючого, від ступеня виразності в людини потреби в аффіліації, від того, знаходиться дана людина поруч з вами або він далеко від вас. Людям скоріше подобаються ті, хто має погляди, освіту, цінності, статус, подібні з них власними; ті, чия поведінка і стиль спілкування підтримують їхню самоповагу і достоїнство.

Дослідниками замічена така закономірність: чим ближче за рівнем свого розвитку група знаходиться до колективу, тим більше сприятливі умови вона створює для прояву кращих сторін в особистості і гальмування того, що в ній є гіршого. І навпроти, чим далі група за рівнем свого розвитку відстоїть від колективу, тим великі можливості вона надає для прояву гірших сторін особистості з одночасним гальмуванням кращих особистісних устремлінь.

Методів, за допомогою яких у психології вивчаються міжособистісні взаємини, досить багато і провести дослідження за допомогою всіх методів не представляється можливим. Я відібрала трохи досить надійних і точних методів, що дають різнобічну і коштовну інформацію для оцінки рівня розвитку в малій групі (класі) між-особистих відносин, характерних для колективу, а також положення (статусу) людини в системі відносин групи

Теоретичне значення даної курсової роботи полягає у встановленні залежності між ступенем розвитку групи як колективу і можливістю прояву в ній окремими особистостями своїх кращих якостей, появою в них лідерів.

Список використаної літератури


1. Андрієва Г.М. Соціальна психологія. – М., 1996.

2. Афанасьєв В.Г. Суспільство: системність, познання і керівництво // М.: Просвіта, 1980.

3. Бодалев А.А. Особистість і спілкування. – М., 1983.

5. Куницына В.Н, Казаринова Н.В., Погольша В.М., Межличностное общение. Учебник для вузов. — СПб.: Питер, 2001.

6. Корпік А.А. Міжособисте оці ... у малих групах. – Київ, 1982.

7. Карелин А.А. Психологические тесты. – Владос, 1999.

8. Кон И.С. Психологія старшокласника // М.: Просвіта, 1980.

9. Немов Р.С. Психология: В 3 кн. – 3-е изд. – М.: Гуманист. ВЛАДОС,1999. –Кн. 3.

10.   Немов Р.С. Психология: В 3 кн. – 3-е изд. – М.: Гуманист. ВЛАДОС,1999. – Кн. 1

11.   Смирнова Е. О, Калягина Е. В. Отношение популярных и непопулярных дошкольников к сверстникам // Вопросы психологии. — 1998. — № 3

12.   Робер М.А., Тільман Ф. Психологія індивіду і групи – М., 1988.

13.   Цукерман Г.А. Види спілкування в навчанні // Томек: Пеленг, 1993

14.   Шостром Є. Анти-Карнегі. – Мн.: ТОВ ”Попурі”, 1999.

15.   Шпалинський В.В., Шелест Є. Г., Основы современной психологии – Харьков, ИВМО ”ХК”, 1997.

Додатки


Текст опитника

I

1.  Інші думають про нього прихильно

2.  Робить враження на навколишніх

3.  Уміє розпоряджатися, наказувати

4.  Уміє настояти на своєму

II

5.  Має почуття власного достоїнства

6.  Незалежний

7.  Здатний сам подбати про себе

8.  Може виявити байдужність

III

9.  Здатний бути суворим

10. Строгий, але справедливий

11. Може бути щирим

12. Критичний до інших

IV

13. Любить поплакатися

14. Часто сумний

15. Здатний виявити недовіру

16. Часто розчаровується

V

17. Здатний бути критичним до себе

18. Здатний визнати свою неправоту

19. Охоче підкоряється

20. Поступливий

VI

21. Шляхетний

22. Захоплюється, схильний до наслідування

23. Поважний

24. Шукаючий схвалення

Додаток 1

VII

25. Здатний до співробітництва

26. Прагне ужитися з іншими

27. Дружелюбний, доброзичливий

28. Уважний і ласкавий

VIII

29. Делікатний

30. Схвальний

31. Чуйний до закликів про допомогу

32. Безкорисливий

I

33. Здатний викликати милування

34. Користується повагою в інших

35. Має талант керівника

36. Любить відповідальність

II

37. Упевнений у собі

38. Самовпевнений і напористий

39. Діловитий і практичний

40. Любить змагатися

III

41. Строгий і крутий, де треба

42. Невблаганний, але безсторонній

43. Дратівливий

44. Відкритий і прямолінійний

IV

45. Не терпить, щоб їм командували

46. Скептичний

47. На нього важко зробити враження

48. Уразливий, педантичний

Додаток 1

V

49. Легко бентежиться

50. Невпевнений у собі

51. Поступливий

52. Скромний

VI

53. Часто вдається до допомоги інших

54. Дуже почитає авторитети

55. Охоче приймає поради

56.Довірливий і прагне радувати інших

VII

57.Завжди люб'язний в обходженні

58.Дорожить думкою навколишніх

59.Товариський

60.Добросердий

VIII

61.Добрий, що уселяє впевненість

62.Ніжний і м'якосердий

63.Любить піклуватися про інших

64.Безкорисливий, щедрий

I

65.Любить давати поради ""

66.Робить враження значимості

67.Начальственно-повелительний

68.Владний

II

69.Хвалькуватий

70.Гордовитий і самовдоволений

71.Думає тільки про себе

72.Хитрий і розважливий

Додаток 1

III

73.Нетерпимий до помилок інших

74.Своєкорисливий

75.Відвертий

76.Часто недружелюбний

IV

77.Озлоблений

78.Скаржник

79.Ревнивий

80.Довго пам'ятає образи

V

81.Схильний до самобичування

82.Соромливий

83.Безініціативний

84.Лагідний

VI

85.Залежний, несамостійний

86.Любить підкорятися

87.Надає іншим приймати рішення

88.Легко попадає впросак

VII

89.Легко попадає під вплив друзів

90.Готовий довіритися будь-якому

91.Прихильний до усім без розбору

92.Усім симпатизує

VIII

93.Прощає всі

94.Переповнений надмірним співчуттям

95.Великодушний і терпимо до недоліків

96.Прагне підкоряти

Додаток 1

I

97. Прагне до успіху

98. Очікує замилування від кожного

99. Розпоряджається іншими

100.Деспотичний

II

101.Сноб (судить про людей за рангом і статком, а не по особистих якостях)

102.Марнолюбний

103.Егоїстичний

104.Холодний, черствий

III

105.Уїдливий, глузливий

106.Злісний, жорстокий

107.Часто роздратований

108.Байдужий, байдужий

IV

109.Злопам'ятний

110.Проникнуть духом протиріччя

111.Упертий

112.Недовірливий і підозрілий

V

113.Боязкий

114.Соромливий

115.Відрізняється надмірною готовністю підкорятися

116.М'якотілий

VI

117.Майже ніколи нікому не заперечує

118.Ненав'язливий

119.Любить, щоб його опікували

120.Надмірно довірливий

Додаток 1

VII

121.Прагне здобути прихильність кожного

122.З усіма погоджується

123.Завжди дружелюбний

124.Усіх любить

VIII

125.. Занадто поблажливий до навколишніх

126.Намагається утішити кожного

127.Піклується про інші на шкоду собі

128.Псує людей надмірною добротою

Додаток 2

1. Критичний до навколишніх товаришів.

2. Виникає тривога, коли в групі починається конфлікт.

3. Схильний додержуватися рад лідера.

4. Не схильний створювати занадто близькі відносини з товаришами.

5. Подобається дружність у групі.

6. Схильний суперечити лідерові.

7. Випробує симпатії до одному – двом членам групи.

8. Уникає зустрічей і збору у групі.

9. Подобається похвала лідера.

10. Незалежний в судженнях і манері поведінки.

11.Готовий встати на чиюсь сторону в суперечці.

12.Схильний керувати товаришами.

13.Радується спілкуванню з одним — двома друзями.

14.Зовні спокійний при прояві ворожості з боку членів групи.

15 Схильний підтримувати настрій своєї групи.

16. Не додає значення особистим якостям членів групи.

17 Схильний відволікати групу від її цілей.

18.Випробує задоволення, протиставляючи себе лідерові.

19.Хотів би зблизитися з деякими членами групи.

20.Воліє залишатися нейтральним у суперечці.

21.Подобається, коли лідер активний і добре керує.

22.Воліє холоднокровно обговорювати розбіжності.

23.Недостатньо стриманий у вираженні почуттів.

24.Прагне згуртувати навколо себе однодумців.

25.Незадоволений занадто формальними відносинами.

26.Коли обвинувачують — губиться і мовчить.

27.Воліє погоджуватися з основними напрямками в групі.

28.Прив'язаний до групи в цілому більше, ніж до конкретних товаришів.

29.Схильний затягувати і загострювати суперечки.

30.Прагне бути в центрі уваги.

Додаток 2

31.Хотів би бути членом більш вузького угруповання.

32.Схильний до компромісів.

33.Випробує внутрішнє занепокоєння, коли лідер діє усупереч його чеканням.

34.Болісно відноситься до зауважень товаришів.

35.Може бути підступним і вкрадливим.

36.Схильний прийняти на себе керівництво в групі.

37.Відвертий у групі.

38.Виникає нервове занепокоєння під час групової розбіжності.

39.Бажає, щоб лідер брав на себе відповідальність при плануванні робіт.

40.Не схильний відповідати на прояв дружелюбності.

41.Схильний сердитися на товаришів.

42.Намагається вести інших проти лідера.

43.Легко знаходить знайомства за межами групи.

44.Намагається уникати бути утягненим у суперечку.

45.Легко погоджується з пропозиціями інших членів групи.

46.Чинить опір утворенню угруповань у групі.

47.Глузливий і іронічний, коли роздратований.

48.Виникає ворожість до тих, хто намагається виділитися.

49.Віддає перевагу меншій, але більш інтимній групі.

50.Намагається не показувати свої щирі почуття.

51.Стає на сторону лідера при групових розбіжностях.

52.Ініціативний у встановленні контактів у спілкуванні.

53.Уникає критикувати товаришів.

54.Воліє звертатися до лідера частіше, ніж до інших.

55.Не подобається, що відносини в групі занадто фамільярні.

56.Любить затівати суперечки.

57.     Прагне утримувати своє високе положення в групі.

58.     Схильний втручатися в контакти товаришів і порушувати їх.

59. Схильний до «перепалок», «задиристий»

60. Схильний виражати невдоволення лідеру.

 

Похожие работы на - Роль міжособистісних відносин у становленні колективу

 

Не нашли материал для своей работы?
Поможем написать уникальную работу
Без плагиата!
Без нейросетей!