Осветление воды осаждением
ОСВЕТЛЕНИЕ ВОДЫ ОСАЖДЕНИЕМ
Теоретические основы осаждения взвеси
Осаждение взвешенных частиц происходит
под действием силы тяжести. Современные конструкции отстойников, применяемые
для осветления воды, являются проточными, так как осаждение взвеси в них
происходит при непрерывном движении воды от входа к выходу. Поэтому скорости
движения воды в отстойниках должны быть малы; они измеряются десятыми долями
мм/с в вертикальных отстойниках и несколькими мм/с — в горизонтальных,
тонкослойных и радиальных. При таких малых скоростях поток почти полностью
теряет свою так называемую транспортирующую способность, обусловленную
интенсивным турбулентным перемешиванием. Осаждение взвеси в потоке, движущемся
с весьма малой скоростью, почти полностью лишенном транспортирующей
способности, подчиняется, по В. Т. Турчиновичу, с известным приближением
законам осаждения в неподвижном объеме жидкости. Эти законы хорошо изучены
применительно к явлению осаждения зернистой агрегативно устойчивой взвеси,
частицы которой в процессе осаждения не слипаются друг с другом, не изменяют
своих форм и размеров. Осаждение неустойчивой взвеси, способной
агломерироваться, слипаться в процессе осаждения, изучено в меньшей степени.
Оба явления имеют практическое значение для отстойников,
применяемых в технологии очистки воды. Первое — для отстойников, используемых
при осветлении мутных вод в качестве первой ступени процесса очистки воды, или
для грубого осветления воды при водоснабжении промышленных предприятий. Второе
— для отстойников, в которых происходит осаждение коагулированной взвеси.
Седиментация зернистой взвеси
подчиняется более простым закономерностям, чем неустойчивой взвеси, но эти же
закономерности с определенными допущениями применяют для расчета осаждения и
неустойчивой взвеси. Поэтому прежде рассмотрим осаждение зернистой взвеси,
которое описывается линейным законом Стокса:
Fc = 3πηud,
где Fс — сила сопротивления; η — вязкость жидкости; и — скорость осаждения частицы; d— диаметр частицы. Этот закон определяет
величину силы сопротивления, которую испытывает частица при своем падении в
жидкости; сила сопротивления изменяется пропорционально скорости, т. е. по
линейному закону. Закон Стокса, как показывает опыт, справедлив для частиц
очень малого размера, осаждающихся с малой скоростью (ламинарный режим), когда
на сопротивление движению оказывают влияние только силы вязкости. С'
увеличением размера и скорости осаждения частиц линейный закон нарушается. Это
вызывается возникновением турбулентности при обтекании движущейся частицы
жидкостью, когда помимо вязкости на движение частицы начинают оказывать влияние
инерционные силы.
В более общем виде закон сопротивления при падении частицы в
жидкости может быть представлен в форме, предложенной Ньютоном-Рэллем:
Fc=ψρlu2d2,
где ψ — коэффициент сопротивления; ρ — плотность жидкости; d, — диаметр частицы, определенный как диаметр равновеликого по
объему шара.
Коэффициент сопротивления ψ зависит от числа Рейнольдса:
Rec=ρlud/η
При рассмотрении осаждения частиц в жидкости исходим из допущения,
что их движение равномерное, что подтверждается экспериментально.
Следовательно, силы, действующие на частицу, уравновешены. Этими силами
являются сила тяжести, равная массе частицы в жидкости, и сила сопротивления. В
самом начале — движение ускоренное, а с увеличением скорости падения растет
сила сопротивления и очень скоро наступает момент, когда силы, действующие на
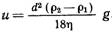
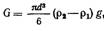
частицу, уравновешиваются. Сила тяжести G или масса частицы в жидкости т равна:
где ρ2 — плотность частицы; g — ускорение свободного падения.
Приравнивая силу сопротивления по формуле к силе тяжести по
формуле, получим
откуда

Зависимость W = f(Rec) устанавливается опытным путем. Обширные экспериментальные данные
по седиментации зерен песка и гравия в воде были собраны и обобщены А.П.
Зегжда. Обобщение экспериментального материала о сопротивлении шаров сделано
Л.И. Седовым, Д.М. Минцем. На рис. 8.1 приведены кривые зависимости
коэффициента сопротивления от числа Рейнольдса, построенные по
экспериментальным данным. Кривые даны в логарифмической анаморфозе. Как видно,
из приведенных графиков, экспериментальные кривые охватывают широкую область
изменения чисел Рейнольдса, а, следовательно, размеров частиц и скоростей их
осаждения.
Рис. 8.1. График lgψ = f(lgRe3) для свободно падающих в воде
частиц.
1
- для песка и гравия (по А. П. Зегжда); 2 — для
шаров (по Л.И. Седову)
При малых значениях Rec (область малых частиц и малых скоростей) зависимость коэффициента
сопротивления от числа Рейнольдса выражается прямой, направленной под углом 45°
к осям ординат и описываемой уравнением
где lgA — ордината прямой при lgRec = 0. Тогда
ψ = A/Rec.
Подставляя сюда значение Rec и ψ получим для силы сопротивления падению зерна
Fc=Aηud,
т. е. закон Стокса, где А = Зπ.
Подставляя значение А получим
С увеличением размера и скорости осаждения частиц, т. е. с
увеличением числа Rec, как видно из графика (рис. 8.1), линейный закон нарушается.
Граница применимости линейного закона определяется критическим значением числа
Рейнольдса, равным 1. При больших значениях Rec кривая коэффициента сопротивления плавно переходит в прямую линию,
параллельную оси абсцисс. Это зона турбулентной автомодельности в которой
коэффициент сопротивления не зависит от числа Рейнольдса и сохраняет постоянное
значение, однако, неодинаковое для частиц различной формы и шероховатости их
поверхности. Коэффициент сопротивления возрастает для шероховатых частиц неправильной
формы. По найденной зависимости коэффициента сопротивления от числа Рейнольдса
для частиц определенного вида можно найти скорость их осаждения из выражения
Коэффициент сопротивления (см. рис. 8.1) определяют по
экспериментальным графикам ψc=f(Rc).
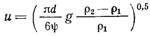
В области действия линейного закона сопротивления после
подстановки значения ψс = 3π/Rec в формулу и преобразований получим

Для частиц песка (ρ2 = 2,6) при температуре воды t= 10° С (η= 0,0131)
критическое значение числа Рейнольдса соответствует размеру частиц d=0,12 мм и скорости осаждения u= 1,1 см/с. Для рыхлых
хлопьев, имеющих весьма малую плотность (ρ2 = 1,002) при той же
температуре воды, критическое значение числа Рейнольдса соответствует размеру
частиц 1,2 мм и скорости осаждения u=0,11 см/с. Скорость осаждения более крупных и плотных частиц (Rec> 1) следует вычислять по общей формуле, справедливой при любых
значениях Rec. Вычисления по этой формуле затруднены тем, что для определения
коэффициента сопротивления с помощью экспериментальных графиков необходимо
знать число Rec, которое само зависит от скорости осаждения. Это затруднение можно
избежать, введя в рассмотрение безразмерное число
Подставляя значения Т и Rec получаем
Видно, что К не зависит от скорости движения частицы, а
только от силы сопротивления Fc и свойств жидкости— плотности ρ и вязкости η).
При осаждении FC = G. Учитывая значение G получаем
Определив по формуле значение К для частиц, любого размера,
можно найти гидродинамические характеристики падающей частицы и Rec и, используя их, вычислить скорость осаждения. Для этого по
экспериментальным графикам зависимости коэффициента сопротивления от числа
Рейнольдса построен график зависимости Rec и Тс от числа К (рис. 8.2). С помощью этого графика по
найденному значению К определяют и скорость осаждения вычисляют по формуле. Скорость
осаждения при температуре воды 10°С называют гидравлической крупностью частицы.
Этот параметр используют для расчета отстойников, так как в этом случае важно
знать скорость осаждения частиц, а не их размеры. Гидравлическую крупность
частиц взвеси находят экспериментально (например, по методу Н.А. Фигуровского
или Робинзона), определяя относительное количество взвеси, выпавшей за
определенный промежуток времени на дно цилиндра, заполненного испытуемой водой
на высоту h.
Когда взвесь монодисперсна, т. е. состоит из частиц примерно
одинаковой гидравлической крупности и, количество осадка, выпавшего за время Т, составит
т=СиАТ,(8.14)
где С — концентрация взвеси в исследуемой воде; А - площадь цилиндра.
осаждение взвесь вода седиментация
Рис. 8.2. Графики Re=f(Ka) и ψ3=ф(Кз) для песка,
гравия (1) и шаров (2)
Массовое содержание взвеси в исследуемой воде до начала осаждения
m0=CAh.
Относительное количество выпавшей взвеси или эффект осаждения
найдем из выражения

Из формулы видно, что относительное количество выпавшей взвеси р
возрастает прямо пропорционально- продолжительности осаждения (рис. 8.3).
Тангенс угла наклона прямой характеризует скорость осаждения; чем круче идет
прямая, тем больше гидравлическая крупность частиц взвеси и скорость осаждения.
График зависимости p = i(T) называется кривой выпадения взвеси. В частном случае осаждения
монодисперсной взвеси, который рассмотрен на рис. 8.3, а эта кривая обращается
в прямую линию. Природная взвесь водоемов, так же как и скоагулированная
взвесь, состоит из частиц различного размера. Их гидравлическая крупность
изменяется в широких пределах. Такая взвесь называется полидисперсной.
Представление об осаждении полидисперсной взвеси дают кривые выпадения взвеси
приведенные на рис. 8.3, б и 8.4, полученные опытным путем.

Экспериментальная кривая выпадения взвеси позволяет найти процентное
содержание различных ее фракций, т. е. фракций с различной
гидравлической крупностью.
Рис. 8.4. Графики седиментации зернистой полидисперсной взвеси при
различной высоте осаждения (а) и совмещенная кривая осаждения (б)
Относительное содержание взвеси с частицами крупностью u>h/T равно отрезку, отсекаемому на оси ординат касательной, проведенной
в точке А с абсциссой Т. Проводя касательные в различных точках кривой
выпадения взвеси, можно определить фракционный состав взвеси по интервалам гидравлической
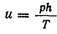
крупности частиц. Пользуясь кривой выпадения, можно определить также среднюю
гидравлическую крупность полидисперсной взвеси или среднюю скорость ее
осаждения uср по формуле, т. е. ucр=ph/T. Величина uср может рассматриваться как
гидравлическая крупность такой монодисперсной взвеси, для которой при той же
высоте столба воды и равной продолжительности отстаивания получены одинаковые
значения величины р. Величина иср. связана с величиной р и поэтому о ней
можно говорить как о скорости осаждения соответствующей определенному
относительному количеству выпавшего осадка. Поэтому на практике определяют не
среднюю скорость осаждения полидисперсной взвеси, а некоторую фиктивную
скорость
H=ucp/p = h/T,
обычно называемую процентной скоростью осаждения. Величина и хотя
и имеет размерность скорости, но не является физической скоростью осаждения
частиц взвеси. Из изложенного видно, что указанный метод определения
гидравлической крупности фракций взвеси и ее средней скорости осаждения можно
использовать только для устойчивой зернистой взвеси я нельзя для
коагулированной, неустойчивой взвеси, поскольку вследствие коагуляции частиц
фракционный состав последней изменяется в процессе седиментации. Тем не менее,
кривые выпадения взвеси используют для расчета отстойников, так как они
позволяют определить необходимую продолжительность пребывания воды в них по
заданному эффекту осаждения или эффекту осветления воды. Это применимо как к
осаждению устойчивой взвеси, так и не устойчивой, коагулированной
взвеси.
Технологическое моделирование процесса осаждения
Технологическое моделирование процесса осаждения заключается в
определении в лабораторных условиях расчетных параметров отстойников: скорости
осаждения взвеси и продолжительности пребывания воды в отстойнике,
обеспечивающей заданный эффект ее осветления. Методика моделирования основана
на подобии кривых выпадения взвеси, получаемых при различных высотах столба
исследуемой воды. Это подобие является точным при осаждении неустойчивой,
коагулированной взвеси. Благодаря подобию кривых выпадения взвеси оказывается
возможным моделировать этот процесс в цилиндрах с небольшой высотой столба
воды. При этом время, в течение которого достигается определенный эффект
осаждения, значительно уменьшается по сравнению с временем осаждения в
отстойниках. Это позволяет сократить время экспериментальных исследований и
сравнительно быстро определить необходимые параметры для расчета отстойников.
О подобии кривых выпадения устойчивой зернистой взвеси
свидетельствует формула, из которой следует, что одинаковый эффект осаждения
монодисперсной взвеси с определенной гидравлической крупностью частиц
достигается при равных отношениях T/h. Это справедливо и для полидисперсной
зернистой взвеси, что следует из формулы.
На рис. 8.4, а представлено семейство кривых выпадения
полидисперсной зернистой взвеси. Каждая кривая получена при различных значениях
высоты столба воды: кривые отличаются друг от друга только формой. Одинаковый
эффект осаждения достигается при различной продолжительности отстаивания, но
все кривые подобны между собой. Если изменить масштаб оси абсцисс (масштаб
времени) и отложить по этой оси вместо значений времени значения T/h, то все кривые совместятся в одну (рис. 8.4,б).
Это обстоятельство дает весьма простое правило пересчета времени, необходимого
для получения заданного эффекта осаждения по результатам технологического
моделирования.
Получив в лаборатории кривую выпадения взвеси в процессе
исследования исходной воды при высоте столба воды h, определяем требуемый эффект осаждения
р. Он может быть рассчитан по концентрации взвеси в исходной воде С0
и концентрации взвеси в осветленной воде С, регламентируемой СНиПом и
принимаемой равной 8 ... 15 мг/л:
р=(С0-С)/С0.
По величине р с помощью кривой выпадения взвеси определяема
продолжительность осаждения Т, а затем расчетную продолжительность
пребывания воды в отстойнике Тр из соотношения
Так как из условия подобия Tp/hp = T1/h1=const при р = const здесь hp и Тр — соответственно расчетная высота зоны осаждения и
продолжительность пребывания воды в проектируемом отстойнике. Формула показывает,
что при осаждении устойчивой взвеси продолжительность пребывания воды в
отстойнике во столько раз больше продолжительности осаждения в цилиндре, во
сколько высота зоны осаждения больше высоты слоя воды в цилиндре.
Найденное значение ир может быть использовано для расчета
отстойников с горизонтальным движением воды, если соблюдается основное условие
подобия (8.20): up=hi/T1=hp/Tp, где как и прежде индекс р
относится к рассчитываемому отстойнику, а индекс «I» — к лабораторному опыту. При
осаждении неустойчивой коагулирующей взвеси для расчета отстойников следует
пользоваться выражением
где n=0,2 ... 0,5 — эмпирическая величина.
ЛИТЕРАТУРА
1.
Алексеев Л.С., Гладков В.А. Улучшение качества мягких вод. М., Стройиздат,
1994 г.
2.
Алферова Л.А., Нечаев А.П. Замкнутые системы водного хозяйства
промышленных предприятий, комплексов и районов. М., 1984.
3.
Аюкаев Р.И., Мельцер В.3. Производство и применение фильтрующих материалов
для очистки воды. Л., 1985.
4.
Вейцер Ю.М., Мииц Д.М. Высокомолекулярные флокулянты в процессах очистки воды. М., 1984.
5.
Егоров А.И. Гидравлика напорных трубчатых систем в водопроводных
очистных сооружениях. М., 1984.
6.
Журба М.Г. Очистки воды на зернистых фильтрах. Львов, 1980.
Размещено на