Ременные и цепные передачи
Министерство
образования и науки российской Федерации
Федеральное
агентство по образованию
Государственное
образовательное учреждение
Высшего
профессионального образования
Новосибирский
государственный технический университет
Кафедра
прикладной механики
Самостоятельная
работа №2 по курсу «Детали машин»
на тему:
«Ременные и цепные передачи»
Факультет:
Группа:
Студент:
Преподаватель:
Новосибирск
Содержание
1. Ременные передачи
1.1 Общие сведения
1.1.1 Классификация
1.1.2Схемы ременных передач
1.2 Достоинства и недостатки
1.3 Область применения
1.4 Кинематика
1.4.1 Силы и напряжения в ремне
1.5 Геометрия
1.5.1 Расчет геометрических
параметров
1.5.2 Допускаемые углы обхвата
ременных передач
1.6 Расчет долговечности ремня
2. Цепные передачи
2.1 Общие сведения
2.2 Типы цепей
2.3 Достоинства и недостатки
2.4 Область применения
2.5 Кинематика
2.6 Геометрия
2.7 Критерии работоспособности
3. Список использованной литературы
1.Ременные передачи
1.1 Общие
сведения
Ременные
передачи – это передачи гибкой связью (рис. 14.1), состоящие из ведущего 1 и
ведомого 2 шкивов и надетого на них ремня 3. В состав передачи могут также
входить натяжные устройства и ограждения. Возможно применение нескольких ремней
и нескольких ведомых шкивов. Основное назначение – передача механической
энергии от двигателя передаточным и исполнительным механизмам, как правило, с
понижением частоты вращения.
ременной
передача шкив вал
Рис.
1.1.1 Классификация
передач
По принципу
работы различаются передачи трением (большинство передач) и зацеплением
(зубчатоременные). Передачи зубчатыми ремнями по своим свойствам существенно
отличаются от передач трением и рассматриваются особо в 14.14.
Ремни передач
трением по форме поперечного сечения разделяются на плоские, клиновые,
поликлиновые, круглые, квадратные.
Условием
работы ременных передач трением является наличие натяжения ремня, которое можно
осуществить следующими способами:
1.
предварительным
упругим растяжением ремня;
2.
перемещением
одного из шкивов относительно другого;
3.
натяжным роликом;
4.
автоматическим
устройством, обеспечивающим регулирование натяжения в зависимости от
передаваемой нагрузки.
При первом
способе натяжение назначается по наибольшей нагрузке с запасом на вытяжку
ремня, при втором и третьем способах запас на вытяжку выбирают меньше, при
четвертом - натяжение изменяется автоматически в зависимости от нагрузки, что
обеспечивает наилучшие условия для работы ремня.
Клиновые, поликлиновые,
зубчатые и быстроходные плоские изготовляют бесконечными замкнутыми. Плоские
ремни преимущественно выпускают конечными в виде длинных лент. Концы таких
ремней склеивают, сшивают или соединяют металлическими скобами. Места
соединения ремней вызывают динамические нагрузки, что ограничивает скорость
ремня. Разрушение этих ремней происходит, как правило, по месту соединения.
1.1.2 Схемы
ременных передач
Передачи с
одним ведомым валом
с
параллельными осями валов
с
непараллельными осями валов
с одинаковым
направлением вращения
с обратным
направлением вращения
Передачи с
несколькими ведомыми валами
Примечания: 1. Схемы 1, 3, 5 — передачи с двумя
шкивами; схемы 2, 4, 6, 7, 8, 9 — передачи с натяжными или направляющими
роликами.
2. Обозначения: вщ — ведущий шкив; вм — ведомый шкив: HP — натяжной или
направляющий ролик
1.2 Достоинства и
недостатки
Достоинства
Возможность передачи
крутящим моментом между валами, расположенными на относительно большом
расстоянии
Громоздкость
Плавность и бесшумность
работы передачи
Непостоянство
передаточного числа из-за проскальзывания ремня
Предельность нагрузки,
самопредохранение от перегрузки. Способность ремня передать определенную нагрузку,
свыше которой происходит буксование (скольжение) ремня по шкиву
Повышение нагрузки на
валы и подшипники
Возможность работы с
высокими скоростями
Невысокий КПД
(0,92.. .0,94)
Простота устройства,
небольшая стоимость, легкость технического обслуживания
Необходимость
защиты ремней от попадания
Малая стоимость
Необходимость защиты
ремней от попадания воды
Электризация ремня и
поэтому недопустимость работы во взрывоопасных помещениях
Ременные
передачи в основном применяются для передачи мощности до 50 кВт (зубчатыми до
200, поликлиновыми до 1000 кВт)
1.3 Область применения
Ремни должны обладать достаточно высокой прочностью при действии
переменных нагрузок, иметь высокий коэффициент трения при движении по шкиву и
высокую износостойкость. Ременные передачи применяются для привода агрегатов от
электродвигателей малой и средней мощности; для привода от маломощных
двигателей внутреннего сгорания. Наибольшее распространение в машиностроении
находят клиноременные передачи (в станках, автотранспортных двигателях и т.
п.). Эти передачи широко используют при малых межосевых расстояниях и
вертикальных осях шкивов, а также при передаче вращения несколькими шкивами.
При необходимости обеспечения ременной передачи постоянного передаточного числа
и хорошей тяговой способности рекомендуется устанавливать зубчатые ремни. При
этом не требуется большего начального натяжения ремней; опоры могут быть
неподвижными. Плоскоременные передачи применяются как простейшие, с
минимальными напряжениями изгиба. Плоские ремни имеют прямоугольное сечение,
применяются в машинах, которые должны быть устойчивы к вибрациям (например,
высокоточные станки). Плоскоременные передачи в настоящее время применяют
сравнительно редко (они вытесняются клиноременными). Теоретически тяговая
способность клинового ремня при том же усилии натяжения в 3 раза больше, чем у
плоского. Однако относительная прочность клинового ремня по сравнению с плоским
несколько меньше (в нем меньше слоев армирующей ткани), поэтому практически
тяговая способность клинового ремня приблизительно в два раза выше, чем у
плоского. Это свидетельство в пользу клиновых ремней послужило основанием для
их широкого распространения, в особенности в последнее время. Клиновые ремни
могут передавать вращение на несколько валов одновременно, допускают umax = 8 – 10
без натяжного ролика.
Круглоременные
передачи (как силовые) в машиностроении не применяются. Их используют в
основном для маломощных устройств в приборостроении и бытовых механизмах
(магнитофоны, радиолы, швейные машины и т. д.).
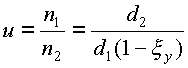
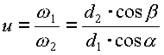
1.4 Кинематика
ременных передач
Окружные
скорости ( м/с ) на шкивах:
и
где d1 и d2 –
диаметры ведущего и ведомого шкивов, мм; n1 и n2 – частоты вращения шкивов,
мин-1.
Окружная
скорость на ведомом шкиве v2 меньше скорости на ведущем v1 вследствие
скольжения:
Передаточное
отношение:
Обычно
упругое скольжение находится в пределах 0,01…0,02 и растет с увеличением
нагрузки.
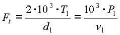
1.4.1Силы и
напряжения в ремне
Окружная сила
на шкивах (Н):

где T1 –
вращающий момент, Н м, на ведущем шкиве диаметром d1, мм; P1 – мощность на
ведущем шкиве, кВт.
С другой
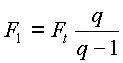
стороны, Ft = F1 - F2, где F1 и F2 - силы натяжения ведущей и ведомой ветвей
ремня под нагрузкой. Сумма натяжений ветвей при передаче полезной нагрузки не
меняется по сравнению с начальной: F1 + F2 = 2F0. Решая систему двух уравнений,
получаем:
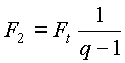
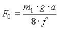
F1 = F0 + Ft/2, F2 = F0 – Ft/2
Сила
начального натяжения ремня F0 должна обеспечивать передачу полезной нагрузки за
счет сил трения между ремнем и шкивом. При этом натяжение должно сохраняться
долгое время при удовлетворительной долговечности ремня. С ростом силы
несущая
способность ременной передачи возрастает, однако срок службы уменьшается.
Соотношение
сил натяжения ведущей и ведомой ветвей ремня без учета центробежных сил
определяют по уравнению Эйлера, выведенному им для нерастяжимой нити,
скользящей по цилиндру. Записываем условия равновесия по осям x и y элемента
ремня с центральным углом da. Принимаем, что
и
, тогда,


Рис.
где dFn –
нормальная сила реакции, действующая на элемент ремня от шкива; f –коэффициент
трения ремня по шкиву. Из имеем:
Подставим
значение
в
пренебрегая членом
в связи с
его малостью. Тогда
и
После
потенцирования имеем:
где e –
основание натурального логарифма, b - угол, на котором происходит упругое
скольжение, при номинальной нагрузке
.
Полученная
зависимость показывает, что отношение F1/F2 сильно зависит от коэффициента
трения ремня на шкиве и угла
. Но эти
величины являются случайными, в условиях эксплуатации могут принимать весьма
различные значения из числа возможных, поэтому силы натяжения ветвей в особых
случаях уточняют экспериментально.
Обозначая
и учитывая,
что
, имеем
и
Ремни обычно
неоднородны по сечению. Условно их рассчитывают по номинальным (средним) напряжениям,
относя силы ко всей площади поперечного сечения ремня и принимая справедливым
закон Гука.
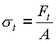
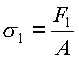
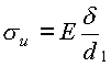
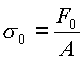
Нормальное
напряжение от окружной силы Ft:
где A –
площадь сечения ремня, мм2.
Нормальное
напряжение от предварительного натяжения ремня
.
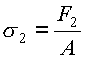
Нормальные
напряжения в ведущей и ведомой ветвях:
и
.
Центробежная
сила вызывает нормальные напряжения в ремне, как во вращающемся кольце:
где s ц –
нормальные напряжения от центробежной силы в ремне, МПа; v1 – скорость ремня,
м/с;
- плотность
материала ремня, кг/м3.
При изгибе
ремня на шкиве диаметром d относительное удлинение наружных волокон ремня как
изогнутого бруса равно 2y/d, где y – расстояние от нейтральной линии в
нормальном сечении ремня до наиболее удаленных от него растянутых волокон.
Обычно толщина ремня
.
Наибольшие напряжения изгиба возникают на малом шкиве и равны:
Максимальные
суммарные напряжения возникают на дуге сцепления ремня с малым (ведущим)
шкивом:
Рис.
Эти
напряжения используют в расчетах ремня на долговечность, так как при работе
передачи в ремне возникают значительные циклические напряжения изгиба и в
меньшей мере циклические напряжения растяжения из-за разности натяжения ведущей
и ведомой ветвей ремня.
1.5 Геометрия
Основные
геометрические параметры
и
— диаметры ведущего и
ведомого шкивов; а — межосевое расстояние; В — ширина шкива; L — длина ремня;
— угол обхвата;
— угол между ветвями
ремня (рис.6).
Рис. Основные геометрические параметры ременных передач
Углы
и
, соответствующие
дугам, по которым происходит касание ремня и обода шкива, называют углами
обхвата. Перечисленные геометрические параметры являются общими для всех типов
ременных передач.
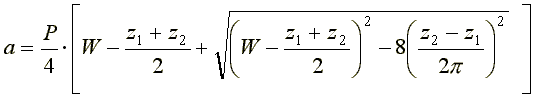
1. Межосевое расстояние
где L — расчетная длина ремня; D1 и D2 — диаметры ведущего и ведомого шкивов.
Для нормальной работы плоскоременной передачи должно соблюдаться условие:
при этом а должно быть не более 15 м.
2. Расчетная длина ремня
на сшивку добавляют еще 100—300 мм.
3. Диаметр ведущего шкива (малого), мм
где
— мощность на ведущем
валу, кВт;
— угловая скорость
ведущего вала, рад/с.
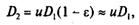
4. Диаметр ведомого шкива
(5)
где и — передаточное число;
— коэффициент
скольжения.
При диаметре D > 300 мм шкивы изготовляют с
четырьмя—шестью спицами. Для шкивов, имеющих отклонения от стандартных
размеров, производят расчет на прочность. Обод рассчитывают на прочность как
свободно вращающееся кольцо под действием сил инерции; спицы рассчитывают на
изгиб.
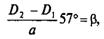
1.5.2 Допускаемые углы обхвата ременных передач
Вследствие вытяжки и провисания ремня при эксплуатации углы обхвата
измеряются
приближенно:
В формуле выражение
где
— угол между ветвями
ремня (для плоскоременной передачи (
< 30°)). Угол
между ветвями ремня
влияет на величину углов обхвата (
и
). Рекомендуется
принимать также значение диаметров шкивов (
и
), чтобы соблюдалось
условие
где для плоскоременной передачи
= 150°, для
клиноременной —
= 120°.
1.6 Расчет долговечности
ремня
Ремень
испытывает переменные циклические напряжения
, приводящие к усталостным повреждениям ремня и
выходу его из строя. Кривые усталости Велера для ремней приближенно имеют вид
,
где m и C –
постоянные, определяемые экспериментально; max – максимальные
нормальные напряжения в ремне; NE – эквивалентное число циклов нагружения за
срок службы ремня.
Здесь zш
–число шкивов в передаче; Lh – ресурс ремня, ч.; i – коэффициент,
учитывающий разную деформацию изгиба ремня на меньшем и большем шкивах; L –
длина ремня, м. При передаточном отношении 
, с увеличением передаточного отношения влияние
изгиба на большем шкиве уменьшается, а
увеличивается, приближаясь к значению zш.
Расчет ремней на долговечность требует накопления экспериментальных данных о
параметрах кривых усталости, в связи с чем в настоящее время этот расчет пока
применяют не для всех типов передач.
2.Цепные передачи
2.1 Общие сведения
Цепные
передачи – это передачи зацеплением и гибкой связью, состоящие из ведущей 1 и
ведомой 2 звездочек и охватывающей их цепи 3. В состав передачи также часто
входят натяжные и смазочные устройства, ограждения. Возможно применение
нескольких ведомых звездочек. Цепь состоит из соединенных шарнирно звеньев, за
счет чего обеспечивается гибкость цепи. Передачи используют в
сельскохозяйственных, подъемно-транспортных, текстильных и полиграфических
машинах, мотоциклах, велосипедах, автомобилях, нефтебуровом оборудовании.
2.2 Типы
цепей
Цепи по
назначению разделяют на три группы:
1.
грузовые –
используют для закрепления грузов;
2.
тяговые –
применяют для перемещения грузов в машинах непрерывного транспорта (конвейерах,
подъемниках, эскалаторах и др.);
3.
приводные –
используют для передачи движения.
Основные типы
цепей: грузовые круглозвенная, пластинчатая шарнирная; тяговая пластинчатая; приводные
роликовая однорядная, роликовая двухрядная, роликовая с изогнутыми пластинами,
втулочная, зубчатая с внутренними направляющими пластинами, зубчатая с боковыми
направляющими пластинами, фасоннозвенная крючковая, фасоннозвенная
втулочно-штыревая. Грузовые и тяговые цепи подробно рассматривают в курсе
подъемно- транспортных машин, в данном курсе основное внимание уделяется
приводным цепям.
Основной
геометрической характеристикой цепи является шаг P – расстояние между осями
соседних шарниров. Большинство стандартных цепей имеют шаг, кратный 1 дюйму
(25,4 мм).
Наиболее
широко применяют роликовые цепи , которые образуются из последовательно
чередующихся внутренних и наружных звеньев. Внутренние звенья состоят из
внутренних пластин 1 и запрессованных в их отверстия гладких втулок 2, на
которых свободно вращаются ролики 3. Наружные звенья состоят из наружных
пластин 4 и запрессованных в их отверстия валиков 5. Концы валиков после сборки
расклепывают. Благодаря натягу в соединениях наружных пластин с валиками и
внутренних пластин со втулками и зазору между валиком и втулкой образуется
шарнирное соединение. Для повышения сопротивления усталости значения натягов
принимают значительно бόльшими, чем предусмотрено стандартными посадками.
Пластическое деформирование пластин в зоне отверстий, неизбежное при столь
больших натягах, существенно повышает сопротивление усталости пластин (в 1,6…1,7
раза). Многорядные цепи с числом рядов от двух до восьмисобирают из деталей с
такими же размерами, что и однорядные, кроме валиков имеющих соответственно
большую длину. Нагрузочная способность цепей почти прямо пропорциональна числу
рядов, что позволяет в передачах с многорядными цепями уменьшить шаг ,
радиальные габариты звездочек и динамические нагрузки.
При больших
динамических, в частности ударных нагрузках, частых реверсах применяют роликовые
цепи с изогнутыми пластинами В связи с тем, что пластины работают на изгиб, они
обладают повышенной податливостью.
При работе
цепных передач в условиях, вызывающих возрастание трения в шарнирах (запыленные
и химически активные среды) используют открытошарнирные пластинчатые цепи.
Будучи открытым, шарнир такой цепи самоочищается от попадающих в него
абразивных частиц. Наружные звенья такой цепи не отличаются от аналогичных
звеньев роликовой цепи. Внутренние звенья образуются из пластин 2, имеющих
отверстия в форме восьмерки, и фасонных валиков 3, заменяющих втулку. Валик 4
свободно проходит через отверстие в пластине 2 и взаимодействует с фасонным
валиком 3. Замена тонкостенных втулки и ролика не только удешевляет цепь, но и
резко повышает сопротивление усталости деталей цепи. Благодаря этому
открытошарнирные цепи оказались значительно долговечнее роликовых при работе в
тяжелонагруженных передачах.
Зубчатые цепи к настоящему времени вытеснены более
дешевыми и технологичными прецизионными роликовыми цепями, которые не уступают
зубчатым по кинематической точности и шумовым характеристикам. Зубчатые цепи
используют преимущественно для замены разрушившихся цепей в старом
оборудовании. Из-за ограниченности применения зубчатые цепи не рассматриваются.
Соединение
концов роликовых, втулочных и открытошарнирных цепей в замкнутый контур
осуществляют с помощью соединительных и переходных звеньев. Соединительное
звено, используемое при четном числе звеньев цепи, отличается от обычного
наружного тем, что одна из его пластин надевается на концы валиков свободно и
фиксируется на валиках замками и шплинтами. В случае необходимости
использования цепи с нечетным числом звеньев применяют изогнутые переходные
звенья, которые являются слабым местом цепи.
В обозначении
приводных цепей указывают число рядов цепи (если оно больше одного), тип цепи,
ее шаг и разрушающую силу. Пример обозначения в соответствии с ГОСТ 13568-75 -
2ПР-25,4-114000 – двухрядная приводная роликовая цепь с шагом
25,4 мм и разрушающей силой
114000 Н.
2.3 Достоинства и
недостатки
Достоинства
Недостатки
Возможность
применения в значительном диапазоне межосевых расстояний;
Неизбежность
износа шарниров цепи из-за отсутствия условий для жидкостного трения;
Меньшие, чем
у ременных передач, габариты;
Непостоянство
скорости движения цепи, особенно при малых числах зубьев звездочек;
Отсутствие
проскальзывания;
Необходимость
более точной установки валов, чем для клиноременной передачи;
Относительно
малые силы, действующие на валы;
Необходимость
смазывания и регулировки.
Возможность
передачи движения нескольким звездочкам;
Высокий КПД;
Возможность
легкой замены цепи.
2.4 Область применения
Цепная передача применяются в сельзкохозяйственных машинах, велосипедах,
мотоциклах,
автомобилях,
строительно-дорожных машинах, в нефтяном оборудовании и т.д. Преимущественное
распространение имеют открытые Цепная передача, работающие без смазки, или с
периодической ручной смазкой, с однорядными втулочно-роликовыми цепями,
непосредственно встроенные в машины. Диапозон применения цепных передач намного
больше, чем ременных (у цепных передач намного выше диапозон межосевых
расстояний, менее жесткие требования к габаритам).
2.5
Кинематика
В ведущей
ветви цепи в процессе стационарной работы передачи действует постоянная сила
, состоящая из
окружной силы
и
силы натяжения ведомой ветви
.
.
Сила
натяжения ведомой ветви
,
где
- натяжение цепи от
силы тяжести;
-
натяжение от центробежных сил.
,
где
- скорость движения
цепи, м/с.
Натяжение от
силы тяжести при горизонтальном (и близком к нему) положении линии, соединяющей
оси звездочек, определяется как для гибкой нерастяжимой нити
,
где
- погонная масса
цепи, кг/м;
-
ускорение свободного падения,
;
- межосевое расстояние, м;
- стрела провисания цепи,
мм.
При
вертикальном (и близком к нему) положении линии центров звездочек
.
Если ветви
ремней параллельны, сила на валы
. В общем случае, если ветви цепи не
параллельны, силу на вал определяют, как и для ременной передачи, из
треугольника ОАВ (рис. 14.9). Расчетная сила, действующая на валы передачи
,
где
- коэффициент,
учитывающий вес цепи, для горизонтальной передачи принимают
, для вертикальной
.
При работе
цепной передачи движение цепи определяется движением шарнира звена, вошедшего
последним в зацепление с ведущей звездочкой. Скорость шарнира
(м/с) при постоянной угловой
скорости ведущей звездочки
, 1/с
,
где
- делительный
диаметр малой (ведущей) звездочки, мм.
В
произвольном угловом положении звездочки, когда ведущий шарнир повернут относительно
перпендикуляра к ведущей ветви цепи под углом
, скорость цепи
.
Так как угол
изменяется в
пределах от 0 до
, то скорость цепи изменяется от
до
.
Поперечная
скорость цепи
.
Мгновенная
угловая скорость ведомой звездочки
,
где
- делительный
диаметр большой (ведомой) звездочки, мм;
- угол поворота шарнира на ведомой звездочке
(по отношению к перпендикуляру на ведущую ветвь цепи), угол
изменяется в пределах от 0
до
.
Мгновенное
передаточное отношение :
Из
зависимости следует:
1.
передаточное
отношение не постоянно;
2.
равномерность движения
тем выше, чем больше числа зубьев звездочек, так как тогда
и
ближе к единице, основное влияние
оказывает увеличение числа зубьев малой звездочки.
Непостоянство
скорости цепи вызывает динамические нагрузки и удары, не позволяет использовать
цепные передачи в приводах с высокими требованиями по кинематической точности
вращения валов.
2.6 Геометрия
Мощности, для передачи которых применяют
цепные передачи, изменяются от долей до сотен киловатт, обычно до 100 кВт; межосевые
расстояния достигают 8 м.
Частоты
вращения звездочек и скорость цепи ограничиваются величиной силы удара в зацеплении, износом
шарниров и шумом передачи. Скорость цепи обычно до 15 м/с, но в передачах высокого
качества при эффективном смазывании достигает 35 м/с.
Средняя
скорость цепи, м/c,
,
где
– число зубьев
малой звездочки;
– частота ее вращения, мин-1;
P – шаг цепи, мм.
Передаточное
отношение определяют из
условия равенства средней скорости цепи на звездочках :
Отсюда
передаточное отношение
Здесь
- число зубьев
большой (ведомой) звездочки;
- частота ее вращения, мин-1.
Передаточное
отношение ограничивается габаритами передачи, диаметром большой звездочки,
малостью угла охвата цепью малой звездочки. Обычно u не превышает 7.
Числа зубьев
звездочек. Минимальные
числа зубьев звездочек ограничиваются износом шарниров, динамическими
нагрузками и шумом передачи. Чем меньше число зубьев звездочки, тем больше
износ, так как угол поворота звена при набегании цепи на звездочку и сбегании с
нее равен
.
Минимальное
число зубьев малой звездочки для силовых передач общего назначения выбирают по
эмпирической зависимости
При низких
частотах вращения
может быть уменьшено до 13. Для
высокоскоростных передач с
м/с принимают
.
Число зубьев
большой (ведомой) звездочки:
По мере
износа шаг цепи увеличивается и ее шарниры поднимаются по профилю зуба
звездочки на больший диаметр, что может привести в конечном счете к выходу цепи
из зацепления со звездочкой. При этом предельно допустимое увеличение шага цепи
тем меньше, чем больше число зубьев звездочки. Поэтому максимальное число
зубьев большой звездочки:
Предпочтительно
принимать нечетное число зубьев звездочек (особенно малой), что в сочетании с
четным числом звеньев цепи способствует равномерному износу шарниров цепи и
зубьев звездочек. По этой же причине желательно выбирать число зубьев малой
звездочки из ряда простых чисел.
Делительные
диаметры звездочек определяют
по расположению центров шарниров цепи на зубьях звездочек. Из рассмотрения
треугольника АОВ на схеме малой звездочки цепной передачи следует:
,
где
- угловой шаг,
,
- число зубьев малой
звездочки. Тогда делительные диаметры малой и большой звездочек (мм):
Межосевое
расстояние и длина цепи.
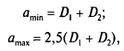
Минимальное межосевое расстояние определяют из условий:
1.
размещения
звездочек
,
где
и
- наружные диаметры
звездочек.
2.
, где
- угол охвата
цепью малой звездочки.
Оптимальное
межосевое расстояние
.
При
наблюдается
ускоренный износ шарниров цепи в связи с повышенной частотой входа каждого
шарнира в зацепление. При
даже небольшой износ каждого шарнира цепи
вызывает значительное удлинение цепи, что приводит к нарушению зацепления цепи
с зубьями звездочек. Обычно межосевое расстояние ограничивают величиной
Формула для
определения длины цепи получена по аналогии с формулой для длины ремня, число
звеньев получают делением длины цепи на шаг. Число звеньев цепи
зависит от межосевого
расстояния
,
шага
и чисел
зубьев звездочек
и
:
.
Полученное
значение
округляют
до ближайшего большего четного числа. Четное число звеньев цепи позволяет
избежать применения переходных звеньев при соединении концов цепи.
Межосевое
расстояние (без учета провисания цепи) определяют из как больший корень
квадратного уравнения:

Окружная сила
на звездочках (Н):
,
где
- вращающий момент
на ведущей звездочке,
,
- делительный
диаметр ведущей звездочки,
,
- мощность на
ведущей звездочке,
,
- скорость движения
цепи,
.
2.7 Критерии
работоспособности
Цепные
передачи выходят из строя по следующим причинам:
1.Износ
шарниров, приводящий к
удлинению цепи, увеличению шага цепи и, как следствие, к нарушению ее
зацепления с зубьями звездочек.
2.Усталостное
разрушение пластин по
проушинам, характерное для закрытых быстроходных тяжелонагруженных передач,
работающих при хорошем смазывании, когда износ шарниров не является
определяющим.
3.Проворачивание
валиков и втулок в
пластинах в местах запрессовки, связанное с низким качеством изготовления.
4.Усталостное
выкрашивание и разрушение роликов.
5.Недопустимое
провисание ведомой ветви
цепи, характерное для передач с нерегулируемым межосевым расстоянием при
отсутствии натяжных устройств.
6.Износ
зубьев звездочек.
Ресурс цепных
передач в стационарных машинах должен составлять 10…15 тыс. ч., он чаще всего
ограничивается долговечностью цепи.
3.Список
источников
1.
http://www.bmstu.ru/~rk3/okdm/lect/lect_14.htm
3.
ru.wikipedia.org/wiki/Цепная_передача
4.
Детали машин:
Учебник для студентов машиностроительных и механических специальностей вузов. –
4-е изд., перераб. и доп. – М.: Машиностроение, 1989. – 496 с.
5.
Под ред.
Скороходова Е. А.
Общетехнический справочник.. — М.: Машиностроение, 1982. — С. 416.
6.
Гулиа Н. В.,
Клоков В. Г., Юрков С. А.
Детали машин.. — М.: Издательский центр "Академия", 2004. — С. 416. —
ISBN 5-7695-1384-5
Размещено на