Методи, прибори й засоби для вимірювання в'язкості

  • Вид работы:
    Курсовая работа (т)
  • Предмет:
    Технология машиностроения
  • Язык:
    Русский
    ,
    Формат файла:
    MS Word
    94,67 kb
  • Опубликовано:
    2011-02-02
Вы можете узнать стоимость помощи в написании студенческой работы.
Помощь в написании работы, которую точно примут!

Методи, прибори й засоби для вимірювання в'язкості










Курсова робота

Методи, прибори й засоби для вимірювання в’язкості

Зміст

Вступ

Метрологія. Історичні аспекти метрології

1. Основні поняття й категорії метрології

2. Виміри механічних величин

2.1 Лінійні виміри

3. Вимір в'язкості

3.1 Віскозиметри

3.2 Реометри

3.3 Шпинделі різної геометрії

3.4 Контроль температури

3.5 Вимір в'язкості зразків малого об'єму

3.6 Вимір низької в'язкості

3.7 Вимір в'язкості при високій температурі

3.8 Визначення швидкості зрушення

3.9 Вимір з високою швидкістю зрушення

3.10 Визначення напруги зрушення

3.11 Нетекучі матеріали

3.12 Спеціальні аксесуари

3.13 Вимір в'язкості в небезпечних умовах

4. Таблиці конверсії різних величин виміру в'язкості

Висновок

Умови виміру

Список використовуваної літератури

Вступ

Метрологія. Історичні аспекти метрології

Як тільки людина стала обмінювати або продавати результати своєї праці, виникло запитання – наскільки великий еквівалент цієї праці і наскільки велика кількість продукту, представлений на обмін або продаж. Для характеристики цих величин використовувалися різні властивості продукту - розміри,- як лінійні, так і об'ємні,- маса або вага, пізніше колір, смак, склад і т.д. і т.п. Природно, що за давніх часів ще не існувало розвиненого математичного апарата, не було чітко сформульованих фізичних законів, що дозволяють охарактеризувати якість і вартість товару. Проте проблема справедливої збалансованої торгівлі була актуальна завжди. Від цього залежав добробут суспільства, від цього ж виникали війни.

Першими засобами забезпечення єдності вимірів були об'єкти, які є в розпорядженні людини завжди. Так з'явилися перші міри довжини, що опираються на розміри рук і ніг людини. На Русі використовувалися лікоть, п'ядь, сажень, косий сажень. На Заході - дюйм, фут, що зберегли свою назву дотепер. Оскільки розміри рук і ніг у різних людей були різними, те належна єдність вимірів не завжди вдавалося забезпечити. Наступним кроком були законодавчі акти різних правителів, що пропонують, наприклад, за одиницю довжини вважати середню довжину стопи декількох людей. Іноді правителі просто робили два карби на стіні ринкової площі, пропонуючи всім торговцям робити копії таких «еталонних мір». У цей час таку міру можна бачити на Вандомської площі в Парижу в тім місці, де колись розташовувався головний ринок Європи.

У міру розвитку людства й науки, особливо фізики й математики, проблему забезпечення єдності вимірів стали вирішувати більш широко. З'явилися державні служби й сховища мер, з якими торговцям у законодавчому порядку пропонувалося порівнювати свої міри. Для визначення розмірів одиниць вибиралися розміри об'єктів, що не змінюються згодом. Наприклад, для визначення розміру одиниці довжини вимірявся меридіан Землі, для визначення одиниці маси вимірялася маса літра води. Одиниці часу з давніх часів до справжнього моменту зв'язують із обертанням Землі навколо Сонця й навколо власної осі.

Подальший прогрес у забезпеченні єдності вимірів складався вже в довільному виборі одиниць, не пов'язаних з речовинами або об'єктами. Це пов'язане з тим фактом, що виготовити копію міри (передати розмір одиниці якої-небудь величини) можна з набагато більше високою точністю, чим повторно незалежно відтворити цю міру. Справді, точність визначення довжини меридіана й ділення його на 40 мільйонів частин виявляється дуже невисокою. Докладно до цього ми повернемося при визначенні основних понять і категорій метрології. Тут у короткому історичному екскурсі цікаво згадати, що програма виміру довжини паризького меридіана виявилася більше корисної в складанні докладних карт перед наполеонівськими війнами, чим у точному визначенні одиниці довжини.

Гігантський стрибок у точності вимірів механічних величин був зроблений при впровадженні лазерів у вимірювальну техніку. Образно говорячи, точність засобів виміри стала визначатися параметрами окремого атома. Якщо вибрати певний тип атома, певний ізотоп елемента, помістити атоми в резонатор лазера й використовувати всі переваги, властивому лазерному випромінюванню, то реально досяжна погрішність відтворення одиниці довжини може позначатися в тринадцятому-чотирнадцятому знаках.

Історія розвитку науки про забезпечення єдності вимірів може бути простежена не тільки на вдосконалюванні точності й однаковості визначення якоїсь однієї одиниці. Важливим моментом є кількість одиниць фізичних величин, їхнє віднесення до основного або похідним, а також історичний аспект утворення дольних і кратних одиниць.

У міру вдосконалювання фізики й математики з'явилася проблема виміру нового класу фізичних величин. Так при розвитку теорії електрики встало питання - як бути з одиницями електромагнітних величин? З одного боку, новий клас явищ підказував необхідність введення нових одиниць і величин. З іншого боку - був установлений зв'язок між електромагнітними явищами й ефектами механічними - закони Кулона й Био-Савара-Лапласа. Точки зору найбільш авторитетних учених із цього приводу також розділилися. Деякі вважали, що «розгляд (електромагнітних явищ) буде більше плідним, якщо ввести четверту, що не залежить від механічних одиницю» (А. Зоммерфельд). Інші, навпроти, уважали різні прояви властивостей матерії єдиним цілим і були супротивниками введення незалежних електричних величин і одиниць. У результаті в практиці з'явилися системи одиниць фізичних величин, що мають різне число основних, тобто довільно обраних, фізичних величин. Докладно на цьому ми зупинимося в розділі, присвяченому одиницям фізичних величин.

З історичної точки зору цікаво звернути увагу на сформовану практику утворення дольних (більше дрібних) і кратних (більших) одиниць фізичних величин. У цей час ми користуємося в основному десятковою системою рахунку, і діюча міжнародна система одиниць фізичних величин пропонує утворювати дольні й кратні одиниці, помножуючи розмір основної одиниці на множник, кратний десяти. Проте історія знає використання найрізноманітніших множників кратності. Наприклад, сажень як міра довжини рівнялася трьом аршинам, 1 фут рівнявся 12 дюймам, 1 аршин - 16 вершкам, 1 пуд - 40 фунтам, 1 золотник - 96 часткам, 1 верста - 500 сажням і т.д.

Така історично сформована практика утворення дольних і кратних величин виявилася вкрай незручною. Тому при прийнятті міжнародної системи одиниць СВ на цю проблему зверталася особлива увага. По великому рахунку десяткова система виявилася незручною тільки при вирахуванні часу, тому що одиниці однойменної величини різного розміру виявилися кратними 12 (співвідношення року й місяця) і 365,25 (співвідношення року й доби). Ця кратність обумовлена швидкістю обертання Землі й фазами Місяця і є найбільш природною. Подальша заміна кратності в співвідношенні година-хвилина й хвилина-секунда з 60 на кратне 10 уже особливого змісту не мала. З інших часто вживаних фізичних величин і одиниць відступу від десяткової системи збереглося в градусній мері кута, коли окружність ділиться на 360 градусів, а градус на хвилини й секунди.

Роблячи історичний екскурс у метрологію, не слід забувати, що все сказане повною мірою ставиться тільки до країн-учасницям Метричної конвенції. У багатьох країнах дотепер зберігається своя особлива, іноді екзотична система фізичних величин і одиниць. Серед цих країн, як це ні дивно, перебувають Сполучені Штати Америки - сучасна супердержава. Усередині цієї країни дотепер у побуті величини й одиниці старої Англії. Навіть температуру там прийнято вимірювати в градусах Фаренгейта.

У зв'язку з вищевикладеним знайомство із системами одиниць, відмінними від системи СВ, знайомство з різними системами рахунку одиниць при вимірах у цей час носять не тільки пізнавальний характер. При розширенні міжнародних контактів може виявитися так, що знання альтернативних систем величин і одиниць послужить користувачеві добру службу.

При викладі основних моментів, що ставляться до системи СВ й при розгляді окремих видів вимірів ми іноді будемо вертатися до історичних корінь вибору тих або інших фізичних величин. Зараз важливо пам'ятати, що розглянута проблема оптимального вибору фізичних величин і одиниць буде існувати завжди, тому що науково-технічний прогрес постійно надає нові можливості в практиці вимірів. Сьогодні це лазери й синхротронне випромінювання, і завтра, можливо, з'являться нові обрії, що опираються на «теплу надпровідність» або яке-небудь чудове досягнення людської думки.

 

1. Основні поняття і категорії метрології

Перш ніж розглядати різні методи, що забезпечують єдність вимірів, необхідно визначити основні поняття й категорії. Тому в метрології дуже важливо правильно використовувати терміни, необхідно визначити, що саме мається на увазі під тим або іншою назвою.

Фізична величина. Під цим визначенням мається на увазі властивість, загальне в якісному відношенні багатьом об'єктам, але в кількісному відношенні індивідуальне для кожного об'єкта. Або, випливаючи Леонардові Ейлеру, «величиною називається все, що здатне збільшуватися або зменшуватися, або те, до чого можна щось додати або отчого можна відняти».

Взагалі поняття «величина» багатовидове, тобто стосовне не тільки до фізичних величин, що є об'єктами виміру. До величин можна віднести кількість грошей, ідей і т.п., тому що до цих категорій застосовне визначення величини. Із цієї причини в стандартах (ДЕРЖСТАНДАРТ-3951-47 і ДЕРЖСТАНДАРТ-16263-70) приводиться тільки поняття «фізичної величини», тобто величини, що характеризує властивості фізичних об'єктів. У вимірювальній техніці прикметник «фізична» звичайно опускається.

Одиниця фізичної величини - фізична величина, який по визначенню додане значення, рівне одиниці. Посилаючись ще раз на Леонарда Эйлера: «Неможливо визначити або виміряти одну величину інакше, як прийнявши в якості відомої іншу величину цього ж роду й указавши співвідношення, у якому вона перебуває до неї». Інакше кажучи, для того щоб охарактеризувати яку-небудь фізичну величину, потрібно довільно вибрати як одиниця виміру яку-небудь іншу величину того ж роду.

Міра - носій розміру одиниці фізичної величини, тобто засіб виміру, призначене для відтворення фізичної величини даного розміру. Типовими прикладами мер є гирі, рулетки, лінійки. В інших видах вимірів міри можуть мати вигляд призми, речовини з відомими властивостями й т.д. При розгляді окремих видів виміру ми будемо спеціально зупинятися на проблемі створення мер.

Вимір - пізнавальний процес, що полягає в порівнянні даної величини з відомою величиною, прийнятої за одиницю. Виміру підрозділяють на прямі, непрямі, сукупні й спільні.

Прямі виміри - процес, при якому шукане значення величини знаходять безпосередньо з досвідчених даних. Найпростіші випадки прямих вимірів - виміру довжини лінійкою, температури - термометром, напруги - вольтметром і т.п.

Непрямі виміри - вид виміру, результат яких визначають із прямих вимірів, пов'язаних з вимірюваною величиною відомою залежністю. Наприклад, площа можна виміряти як добуток результатів двох лінійних вимірів координат, об'єм - як результат трьох лінійних вимірів. Так само опір електричного кола або потужність електричного кола можна виміряти за значеннями різниці потенціалів і сили струму.

Сукупні виміри - це виміру, у яких результат знаходять за даними повторних вимірів однієї або декількох однойменних величин при різних сполученнях мір або цих величин. Наприклад, сукупними є виміри, при яких масу окремих гир набору знаходять по відомій масі однієї з них і за результатами прямих порівнянь мас різних сполучень гир.

Спільними вимірами називають вироблені прямі або непрямі виміри двох або декількох величин. Метою таких вимірів є встановлення функціональної залежності між величинами. Наприклад, спільними будуть виміру температури, тиску й об'єму, займаного газом, виміру довжини тіла залежно від температури й т.д.

Засіб виміру - технічний засіб, використовуваний при вимірах і метрологічні характеристики, що мають нормовані. У число засобів вимірів входять міри, вимірювальні прилади, вимірювальні установки, вимірювальні системи й перетворювачі, стандартні зразки складу й властивостей різних речовин і матеріалів. По тимчасових характеристиках виміру підрозділяються на:

- статичні, при яких вимірювана величина залишається незмінної в часі;

- динамічні, у процесі яких вимірювана величина змінюється. По способі вираження результатів виміри підрозділяються на:

абсолютні, які засновані на прямих або непрямих вимірах декількох величин і на використанні констант і в результаті яких виходить абсолютне значення величини у відповідних одиницях;

відносні виміри, які не дозволяють безпосередньо виразити результат в узаконених одиницях, але дозволяють знайти відношення результату виміру до якої-небудь однойменної величини з невідомим у ряді випадків значенням. Наприклад, це може бути відносна вологість, відносний тиск, подовження й т.д.

Основними характеристиками вимірів є: принцип виміру, метод виміру, погрішність, точність, вірогідність і правильність вимірів.

Принцип вимірів - фізичне явище або їхня сукупність, покладені в основу вимірів. Наприклад, маса може бути обмірювана опираючись на гравітацію, а може бути обмірювана на основі інерційних властивостей. Температура може бути обмірювана по тепловому випромінюванню тіла або по її впливі на об'єм якої-небудь рідини в термометрі й т.д.

Метод вимірів - сукупність принципів і засобів вимірів. В у згаданому вище прикладі з виміром температури виміру по тепловому випромінюванню відносять до неконтактного методу термометрії, виміру термометром є контактний метод термометрії.

Погрішність вимірів - різниця між отриманим при вимірі значенням величини і її щирим значенням. Погрішність вимірів пов'язана з недосконалістю методів і засобів вимірів, з недостатнім досвідом спостерігача, зі сторонніми впливами на результат виміру. Докладно причини погрішностей і способи їхнього усунення або мінімізації розглянуті в спеціальній главі, оскільки оцінка й облік погрішностей вимірів є одним з найважливіших розділів метрології.

Точність вимірів - характеристика виміру, що відбиває близькість їхніх результатів до щирого значення вимірюваної величини. Кількісно точність виражається величиною, зворотної модулю відносної погрішності, тобто

<?xml version="1.0" encoding="UTF-16"?>(1.1)

де Q - щире значення вимірюваної величини, Д - погрішність виміру, рівна

<?xml version="1.0" encoding="UTF-16"?>(1.2)

де Х - результат виміру. Якщо, наприклад, відносна погрішність виміру дорівнює 10-2%, то точність буде дорівнює 104.

Правильність вимірів - якість вимірів, що відбиває близькість до нуля систематичних погрішностей, тобто погрішностей, які залишаються постійними або закономірно змінюються в процесі виміру. Правильність вимірів залежить від того, наскільки вірно (правильно) були обрані методи й засоби вимірів.

Вірогідність вимірів - характеристика якості вимірів, що розділяє всі результати на достовірні й недостовірні в залежності тому, відомі або невідомі імовірнісні характеристики їхніх відхилень від щирих значень відповідних величин. Результати вимірів, вірогідність яких невідома, можуть служити джерелом дезінформації.

При виконанні різних робіт з метрологічного забезпечення вимірів використовуються специфічні категорії, які теж мають потребу у визначенні. Ці категорії наступні:

Атестація - перевірка метрологічних характеристик (погрішності вимірів, точності, вірогідності, правильності) реального засобу виміру.

Сертифікація - перевірка відповідності засобу виміру стандартам даної країни, даної галузі з видачею документа-сертифіката відповідності. При сертифікації крім метрологічних характеристик перевірці підлягають всі пункти, що втримуються в науково-технічній документації на даний засіб виміри. Це можуть бути вимоги по електробезпечності, по екологічній безпеці, по впливі змін кліматичних параметрів. Обов'язковим є наявність методів і засобів перевірки даного засобу виміру.

Перевірка - періодичний контроль погрішностей показань засобів виміру по засобах виміру більше високого класу точності (зразковим приладам або зразковій мері). Як правило, перевірка закінчується видачею свідчення про перевірку або таврування вимірювального приладу.

Градировка - нанесення оцінок на шкалу приладу або одержання залежності показань цифрового індикатора від значення вимірюваної фізичної величини. Часто в технічних вимірах під градировкою розуміють періодичний контроль працездатності приладу по мірах, що не мають метрологічного статусу або по убудованим у прилад спеціальним пристроям. Іноді таку процедуру називають калібруванням і цим словом пишеться на робочій панелі приладу.

Цей термін насправді в метрології зайнятий, і калібруванням відповідно до стандартів називають трохи іншу процедуру.

Калібрування міри або набору мерло - перевірка сукупності однозначних мір або багатозначної міри на різних оцінках шкали. Інакше кажучи, калібрування - це перевірка міри за допомогою сукупних вимірів. Іноді термін «калібрування» уживають як синонім перевірки, однак калібруванням можна називати тільки таку перевірку, при якій рівняються кілька мір або ділення шкали між собою в різних сполученнях.

 

2. Виміри механічних величин

2.1 Лінійні виміри

У технологічних лінійних вимірах найбільше часто затребуваними є наступні:

а) Товщини листових матеріалів;

б) Товщини плівок (фарба, волога, метал);

в) Глибина травлення й гравіювання;

г) Шорсткості поверхні;

д) Тиску;

е) В'язкості ;

ж) Твердості;

з) Рівня рідин.

Традиційні виміри переміщень являють собою добре відомі лінійки, ноніуси й мікрометричні гвинти. Лінійки виготовляються або у вигляді жорсткої конструкції, або у вигляді гнучкої стрічки (рулетки). Виміри проводяться безпосереднім порівнянням розміру предмета з діленнями шкали лінійки. Ноніус являє собою додаткову шкалу, нанесену на рухливу каретку, що переміщається вільно уздовж лінійки. Шкали ноніуса нанесені таким чином, що дев'ять ділень лінійки розділені на десять рівних частин.

Якщо проводити виміру, то є можливість визначити розміри з точністю до 1/10 частки ділення основної лінійки. Для цього досить визначити, яке ділення ноніуса збігаєтеся цілим діленням основної шкали. Якщо, наприклад, з діленням основної шкали збігається перше ділення ноніуса, то це означає, що вимірювана довжина на 1/10 частину ділення основної шкали більш того значення, у якого розташовується нульове ділення ноніуса. Якщо збігається друге ділення, то розмір на 2/10 більше, і т.д.

Найчастіше використовується так званий прямий ноніус, у якого ціни ділення на 1/10 частину менше ціни ділення основної шкали. Іноді застосовують зворотний ноніус, у якого ціна ділення на 1/10 більше ціни ділення основної шкали, тобто 11 ділень діляться на 10 частин. Користуватися ним треба також, як і прямим ноніусом, тобто цілу частина вимірюваної величини зчитувати з меншого значення основної шкали, між якими зупинився нуль ноніуса, а десяті частки визначати по збігу ділення шкали ноніуса з діленням основної шкали.

У деяких вимірювальних інструментах, найчастіше в кутомірних, застосовується круговий ноніус. Принципово він нічим не відрізняється від лінійного ноніуса, тільки ділення на ньому нанесені на невелику дугову лінійку (алиаду), що вільно переміщається уздовж основної шкали (лімба).

Мікрометричний гвинт дає можливість відраховувати більше дрібні частки ділення основної шкали, чим ноніус. Мікрометричний гвинт являє собою ретельно виготовлений гвинт із кроком в 0,5 або в 1,0 мм. Голівка гвинта являє собою лімб, або барабан з діленнями, що дозволяє робити звіти або 1/50, або 1/100 обороту. Таким чином, затискаючи об'єкт вимірів між упорами мікрометричного гвинта, можна виміряти розміри об'єкта з точністю до 1/100 мм і вище, якщо взяти до уваги можливість оцінки частки ділення.

Ноніусом оснащені широко застосовувані у вимірювальній практиці інструменти, називані штангенциркулями.

Мікрометри виготовляють у вигляді скоби із цифрами, один із яких переміщається мікрометричним гвинтом.

Вимірювальні пристрої для лінійних вимірів на якій-небудь поверхні роблять у вигляді індикаторних пристроїв, тобто рухливих штоків із зубчастим колесом. Так зроблені глибиноміри, товщиноміри, ростоміри. Шток як би «обмацує» поверхня й, передаючи переміщення зубчастому колесу, реєструє профіль поверхні.

Товщину листових матеріалів вимірюють також по поглинанню світлового або активного випромінювання. Іноді для виміру товщини використовують ємнісні або індуктивні датчики.

Товщини плівок вимірюють оптичними методами по відбиттю або поглинанню світла.

Велика кількість вимірів ведеться лупами або вимірювальними мікроскопами. Принцип виміру складається у вимірі координати якої-небудь крапки, шляхом візування її в мікроскоп. Довжину об'єкта знаходять по різниці відліку крайніх крапок об'єкта. Невеликі переміщення можна виміряти окуляр-мікрометром - окуляром, постаченим візирною сіткою, розташованої у фокусі окуляра. Візирна сітка може переміщатися в поле зору окуляра мікрометричним гвинтом.

Переміщаючи сітку гвинтом, наводять мітки на крайні крапки об'єкта, і розміри визначають як різницю .

Підвищити точність виміру довжин можна шляхом компарування (порівняння) довжин об'єкта й стандартної шкали. Якщо ця шкала виконана у вигляді лінійки, то компарируються відлік по цій лінійці. Для підвищення точності в длиномірах - компараторах відлік виробляється з використанням лінійки, ноніуса й мікрометричного гвинта. Виробляється це в такий спосіб: в один з мікроскопів візується крапка об'єкта, координати якої потрібно визначити. В інший мікроскоп - вимірювальний - візуються ділення шкали, нанесеної на скло. Вимірювальний мікроскоп дозволяє візувати принаймні два ділення на скляній шкалі. Відлік знімається з лінійки, ноніуса й мікрометричного гвинта.

У сучасних компараторах довжин виміри проводяться порівнянням розмірів об'єкта з розміром вимірювальних дифракційних ґрат. Принцип роботи такого відлікового пристрою ілюструється.

Вимірювальні ґрати являють собою пару ґрат, одна й з яких може бути відбивної. За прозорими ґратами розташовується джерело світла й пристрій, що фото реєструють, наприклад фотодіод. Переміщаючи один із ґрат, потрібно реєструвати число минаючих у фокусі об'єктива максимумів або мінімумів. Порівнюючи це число для крайніх крапок об'єкта, легко знайти його розміри, якщо відомо крок ґрат.

Вимірювальні ґрати в цей час витісняють візуальні компаратори. Причин цьому можна назвати трохи. Сама головна - процес виміру легко автоматизувати, тобто немає потреби користуватися зоровою трубою, що для масових вимірів утомливо. Друга причина - висока точність виміру, обумовлений тільки періодом ґрати. При цьому висока точність виходить як для малих переміщень, так і для більших (порядку 1 м і більше). Ще одна приваблива риса вимірювальних ґрат - можливість створення реверсивних механізмів і підключення комп'ютерів.

Вимірювальні ґрати в лінійних вимірах використовуються як універсальні міри, тобто носії розміру фізичної величини. Більшість мерла в лінійних вимірах підрозділяються на штрихові й кінцеві міри. Штрихові міри - це відрізки довжини між якими-небудь штрихами на лінійках, ноніусах і мікрометричних гвинтах. На відміну від них кінцеві міри - це стрижні, плитки, щупи, скоби точно відомого розміру. Існують також кінцеві міри різних класів точності - від плиток Йогансона, службовців для перевірки мікрометрів, до грубих щупів, широко використовуваних у машинобудуванні й у загальній техніці.

3. Виміри в'язкості

В'язкість - характеристика сил внутрішнього тертя. Сила тертя залежно від в'язкості, рідини або газу виражається формулою:

<?xml version="1.0" encoding="UTF-16"?>(1)

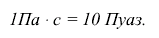
де F - сила опору переміщенню шарів середовища, що спрямоване убік убування швидкості (знак мінус у формулі); S - площа дії сили й <?xml version="1.0" encoding="UTF-16"?>градієнт швидкості. Одиниця в'язкості в системі СВ - Паскаль секунда. У системі CGS одиниця в'язкості - Пуаз:

<?xml version="1.0" encoding="UTF-16"?>(2)

 

3.1 Віскозиметри

Прилади для виміру в'язкості називаються віскозиметрами. У віскозиметрах використовуються два різних принципи:

по швидкості витікання рідини з малого отвору або з капіляра;

по швидкості падіння кульки в грузлої рідини.

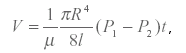
Перший принцип заснований на формулі Пуазейля, що дає залежність між об'ємом рідини, що випливає із трубки радіусом R і довжиною I:

<?xml version="1.0" encoding="UTF-16"?>(1)

де P1 і P2 - тиск на торцях трубки; R - радіус трубки; I - довжина; t - час витікання.

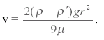
Другий принцип виміру в'язкості заснований на вимірі швидкості падіння кулі в грузлому середовищу (формула Стокса):

<?xml version="1.0" encoding="UTF-16"?>(2)

де v - швидкість падіння кулі в рідині; ? - щільність матеріалу кулі; ?' - щільність рідини; r - радіус кулі.

Одним із широко використовуваних приладів для виміру в'язкості є віскозиметр Енглера, у якому виміряється час витікання 200 р. рідини в порівнянні згодом витікання 200 г води через той же отвір. В'язкість вимірюють у градусах Енглера, що відповідає відношенню часу витікання рідини вчасно витікання води за тих самих умов. Співвідношення між Пуазами й градусами Енглера дається формулою:

<?xml version="1.0" encoding="UTF-16"?>(3)

де р - щільність рідини в г/см3.

В'язкість, позначена у формулі (3) і певна через силу опору руху називається ще динамічною в'язкістю. Існує поняття кінематичної в'язкості - це в'язкість, віднесена до одиничної щільності, тобто:

<?xml version="1.0" encoding="UTF-16"?>(4)

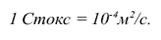
Виміряється кінематична в'язкість в одиницях L2T-1 , тобто M2 /сек у системі СВ. Та ж одиниця в Сгс-Системі називається стоксом, тобто

<?xml version="1.0" encoding="UTF-16"?>(5)

Існує ще поняття ударної в'язкості, обумовленої, як робота для зламу твердого тіла, віднесена до одиниці поперечного перерізу зламу.

<?xml version="1.0" encoding="UTF-16"?>(6)

Зворотна в'язкості величина називається плинністю:

<?xml version="1.0" encoding="UTF-16"?>(7)

Іноді в техніку користуються поняттям питомої в'язкості, тобто відношенням в'язкості рідини до в'язкості води:

<?xml version="1.0" encoding="UTF-16"?>(8)

Віскозиметри Брукфильда підрозділяються на три основних типи: аналогові (із круговою шкалою), цифрові й програмувальні. Основне розходження між ними полягає в способі відображення результатів. В аналогових віскозиметрів результат зчитується по покажчику на круговій шкалі, а в цифрових виводиться на дисплей. Крім того, цифрові віскозиметри обладнані аналоговим виходом 0-10 мВ, до якого можна підключити різні зовнішні пристрої, такі як дисплей, контролер або самопис.

Внутрішній пристрій аналогових і цифрових віскозиметрів практично однаково й також однакова методика використання. Обидва типи представлені однаковим рядом моделей, можуть працювати з однаковими аксесуарами й у цілому взаємозамінні (однакові моделі).

Аналогові віскозиметри найдешевші. Вони ідеально підходять для застосувань, де треба швидко виміряти в'язкість, але немає необхідності в постійному записі або у вимірі характеристик. Хоча віскозиметр може працювати безупинно, знімати показання можна тільки дискретно, коли покажчик проходить під оглядовим склом або коли покажчик зафіксований і віскозиметр зупинений.

Тривалі виміри вимагають постійної уваги оператора, крім того, що швидко протікають процеси легше зафіксувати при постійному моніторингу. У таких ситуаціях краще використовувати цифрові віскозиметри, які безупинно вимірюють і показують в'язкість. Такі прилади можна залишити без спостереження, а можливість настроїти частоту запису показань (модель DV-II+) дозволяє зареєструвати найшвидші процеси. Деякі користувачі віддаю перевагу цифровим віскозиметрам, оскільки з ними відпадає необхідність інтерполяції даних, чого іноді неможливо уникнути при роботі з аналоговим устаткуванням. Точність виміру для обох типів однакова.

Цифрові віскозиметри (за винятком моделі DV-E) можна також використовувати з геометрією конус/плита.

Стандартні моделі віскозиметрів мають множина модифікацій, наприклад моделі із проміжним крутний моментом пружини. Щоб підібрати модель, оптимальну для Ваших задач, найкраще одержати консультацію в місцевого представника Брукфильда.

Деякі моделі розроблені спеціально для специфічних застосувань і не сумісні із традиційними віскозиметрами. Так модель KU-1 дозволяє вимірювати в'язкість в одиницях Кребса й призначена для лакофарбової індустрії. Модель САР-1000 дозволяє працювати з дуже високими швидкостями зрушення (10000, 12000 з-1) при дослідженні смол, полімерів і фарб.

3.2 Реометри

Досить істотною перевагою реометра DV-III+ є можливість двостороннього зв'язку з персональним комп'ютером. Це дозволяє легко програмувати й управляти складними процедурами виміру. Також можна зберігати всі результати й, при необхідності, перетворювати їх у формат Excel або іншого табличного процесора. Можна одержати результати у вигляді графіків, що особливо корисно при інтерпретації кривої плину. Графіки випробування різних зразків можна порівнювати, накладаючи один на одного.

Реометр R/S відрізняється від інших моделей тим, що контрольованим параметром є не швидкість обертання шпинделя, а напруга зрушення. Серед інших переваг цього підходу можна виділити широкий діапазон вимірюваної в'язкості, можливість виміру границі текучості й можливість роботи з високов'язкими гелями. Як DV-III+, так і R/S дозволяють одержати детальну інформацію про поводження матеріалів і можуть працювати незалежно або під керуванням персонального комп'ютера.

Реометр САР-2000 із системою конус/плита забезпечує широкий діапазон швидкостей зрушення. Він спеціально сконструйований для використання у важких заводських умовах і може працювати незалежно або під керуванням персонального комп'ютера.

Реометр PVS забезпечує вимір під тиском і звичайно використовується для дослідження бурових розчинів і флюїдів для розриву шару в нафтогазовій індустрії.

Відносно новий реометр YR-1 є недорогим рішенням для виміру границі текучості з метою контролю якості.

3.3 Геометрія шпинделів

Всі віскозиметри й реометри Брукфильда поставляються з набором шпинделів, придатним для більшості стандартних застосувань. Однак нерідкі ситуації, коли необхідно використовувати спеціалізовані шпинделі. Брукфильд надає широкий вибір шпинделів і аксесуарів для різних цілей, більшість із них описано в даному розділі. Всі шпинделі виконані з нержавіючої сталі марки 300 і не мають потреби в обслуговуванні. За замовленням поставляються шпинделі для спеціальних застосувань, наприклад для особливо агресивних середовищ.

1. Дискові шпинделі

Дискові шпинделі входять у стандартний комплект поставки віскозиметрів LV (шпинделі №2 і №3) і RV/HA/HB (шпинделі з №2 по №6) і призначені для звичайних вимірів в'язкості в посудинах ємністю від 600 мол і вище. Вона забезпечують точний і відтворений вимір гаданої в'язкості більшості флюїдів. 2. Циліндричні шпинделі. Циліндричні шпинделі (№1 і №4 для серії LV, №7 для серій RV/HA/HB) мають певну геометрію, що дозволяє крім в'язкості розрахувати також швидкість зрушення й напруга зрушення. У всіх інших аспектах вони ідентичні дисковим шпинделям. Завдяки певній геометрії циліндричні шпинделі частково придатні для виміру не-ньютоновських рідин. Доступні також циліндричні еквіваленти дискових шпинделів №12 і №3 серії LV. 3. Коаксіальні циліндри.

Геометрія коаксіальних циліндрів забезпечує їхнє застосування для тих задач, де обов'язково потрібно знати швидкість зрушення й напругу зрушення. Різні аксесуари Брукфильда мають коаксіальну геометрію, крім того кожний з них забезпечує унікальні можливості для конкретних застосувань. Це наступні аксесуари:

адаптер для малих зразків SS;

адаптер для низької в'язкості UL;

адаптер для контролю температури Thermosel;

адаптер DIN;

спіральний адаптер.

4. Конус/плита.

Геометрія конус/плита дозволяє вимірювати абсолютну в'язкість при певних з високою точністю швидкості зрушення й напрузі зрушення. Необхідний об'єм зразка дуже малий і контроль температури здійснюється дуже просто. Дана геометрія ідеально придатна для вивчення характеристик не-ньютоновських рідин і може бути використана разом з віскозиметром Cone/Plate, реометром САР 2000 і реометром R/S . 5. Т-Образні шпинделі.

Як правило ці шпинделі використовуються спільно зі стійкою спірального руху (вони входять у комплект поставок даного адаптера) і дозволяють працювати з не текучими або слабко поточними матеріалами, такими як пасти, креми й гелі. Результати виміру є "гаданими", оскільки особлива геометрія шпинделів не дозволяє визначити швидкість зрушення або напруга зрушення.

6. Лопатеві шпинделі

Лопатевої шпінель, занурений у досліджуваний матеріал, захоплює при обертанні частина проби й створює "циліндр", дозволяючи розрахувати швидкість зрушення й напруга зрушення. Даний шпиндель дозволяє робити дослідження не текучих і слабко текучих матеріалів і розраховувати для них границя текучості. Лопатеві шпинделі можна використовувати разом з більшістю моделей віскозиметрів Брукфильда.

 

3.4 Контроль температури

Для одержання точних і відтворених результатів настійно рекомендується контролювати температуру в процесі виміру. 1. Рідинні термостати.

Термостати можна використовувати для контролю температури при проведенні типових реологічних вимірів. Пропонується два основних типи термостатів: тільки із прокачуванням і з резервуаром і прокачуванням.

Перший тип можна використовувати тільки разом із пристроями, що мають подвійний кожух, наприклад з адаптером конус/плита або адаптером SS. Другий тип придатний для всіх пристроїв, тому що крім прокачування через кожух у резервуар термостата можна встановлювати посудини з досліджуваним матеріалом.

Більшість термостатів мають верхню межу температури 120ос (залежно від використовуваного теплоносія). Для роботи при температурі біля кімнатної або нижче необхідно підключення охолодного пристрою, хоча пропонуються також і кріостати. Для правильного вибору рідинного термостата звернетеся до локального представництва Брукфильда. 2. Система Thermosel.

Дана система призначена для виміру в'язкості малої кількості матеріалу при підвищеній температурі, від +40 до +300ос. На відміну від термостатів, система не використовує рідкого теплоносія. Більше докладна інформація наведена в раз. 7.3. Система на базі елементів Пельтье.

Віскозиметр САР 1000, реометр САР 2000 і реометр R/S CPS-P1 мають убудовані елементи Пельтье й дозволяють швидко встановлювати й підтримувати потрібну температуру.

3.5 Малий об'єм різця

Для зразка як правило використовується хімічна склянка Грифина ємністю 600 мол. У багатьох випадках неможливо забезпечити таку кількість проби, тоді варто застосовувати який-небудь із описаних адаптерів. 1. Адаптер SS.

Даний адаптер спеціально сконструйований для роботи з малим об'ємом, має подвійний кожух, коаксіальну геометрію й може використовуватися спільно з усіма віскозиметрами Брукфильда (за винятком моделей з геометрією конус/плита). Необхідний об'єм зразка становить 2.0 - 16.0 мол (залежно від моделі адаптера). Також від моделі залежить діапазон виміру, у цілому від 5.0 до 10000000 саз при швидкостях зрушення від 0.066 до 93 з-1. Подвійний кожух дозволяє підключити циркулятор для контролю температури. 2. Адаптер UL.

Основне призначення даного адаптера - вимір низької в'язкості. Необхідний об'єм зразка - 16 мол. Більше докладна інформація наведена в раз. 6.1. 3. Адаптер DIN.

Даний адаптер (як і UL) призначений для виміру низької в'язкості у відповідності зі стандартом DIN 53019 у діапазоні від 1до 50000 сПз. 4. Система Thermosel.

Дана система дозволяє вимірювати в'язкість при температурі до 300 ос. Коаксіальна геометрії жадає від 8.0 до 13.0 мол проби (залежно від моделі шпинделя). 5. Системи конус/плита.

При дуже низьких об'ємах проби рекомендується використовувати систему конус/плита, у цьому випадку потрібно від 0.5 до 2.0 мол проби (залежно від шпинделя). Для геометрії САР і R/S потрібно менш 1 мол проби.

3.6 Низька в'язкість

Віскозиметри й реометри Брукфильда мають дуже високий діапазон виміру в'язкості, однак у деяких випадках потрібно виконати вимір дуже низької в'язкості, за межами стандартного діапазону. Описані нижче адаптери дозволяють вирішити цю проблему. 1. Адаптер UL.

Даний адаптер спеціально сконструйований для виміру низької в'язкості на віскозиметрах LV, хоча може використовуватися й з іншими моделями. При роботі з віскозиметрами LVF або LVT діапазон виміру становить 1.0 - 10.0 сПз, швидкість зрушення 73.4 з-1 при швидкості обертання 60 про/сек. Для інших моделей віскозиметрів нижня межа виміру становить: RVT - 6.4 сп, НАТ - 12.8 сПз, НВТ - 51.2 сПз.

UL адаптер використовує коаксіальну геометрію зі знімається крив, що, на зовнішньому циліндрі. Із установленою кришкою потрібно 16 мол проби й адаптер можна занурити в рідинної термостат. Зі знятою кришкою можна використовувати посудину практично будь-якого розміру. 2. Адаптер SS.

При деяких комбінаціях шпиндель/камера даний адаптер дозволяє вимірювати в'язкість нижче стандартного діапазону. 3. Система Thermosel.

При деяких шпинделях дана система дозволяє вимірювати в'язкість нижче стандартного діапазону. 4. Система конус/плита.

Система конус/плита дозволяє вимірювати дуже низьку в'язкість, аж до 0.1 сПз.

3.7 Висока температура

Вимір в'язкості при високій температурі може бути простою задачею або дуже складної, залежно від матеріалу або величини температури. Іноді досить збільшити відстань між віскозиметром і розігрітим матеріалом за допомогою спеціальних подовжувачів. Для дуже складних застосувань (наприклад, розплавлене скло) потрібно використовувати спеціальні печі й муфелі й спеціально розроблені шпинделі з тугоплавких матеріалів. Це крайні випадки, між ними лежить більшість реальних застосувань. 1. Система Thermosel.

Дана система призначена для виміру в'язкості малої кількості матеріалу при підвищеній температурі, від +40 до +300ос. Звичайно вона продається в комплекті з віскозиметром, хоча можна замовити її окремо як аксесуар до будь-якої моделі віскозиметра (за винятком геометрії конус/плита).

Система містить у собі камеру й шпиндель із коаксіальною геометрією, електричну апаратуру нагрівання (термоконтейнер) і цифровий пропорційний контролер температури з датчиком RTD. Пропонуються три модифікації системи Thermosel:

ручна система в комплекті з аналоговим віскозиметром;

система з аналоговим виходом для реєстрації температури й в'язкості в комплекті із цифровим віскозиметром;

система із програмувальним контролером температури й з можливістю підключення до персонального комп'ютера.

Для системи Thermosel потрібне невелика кількість зразка, від 8.0 до 13.0 мол залежно від шпинделя. Коаксіальна геометрії дозволяє вимірювати швидкість зрушення в діапазоні від 0.08 до 93.0 сек-1 (залежно від шпинделя й моделі віскозиметра). 2. Рідинні термостати.

Рідинні термостати Брукфильда також можна використовувати для виміру в'язкості при підвищених температурах. Деякі моделі мають робочий максимум 200ос. Більше докладна інформація наведена в разд. 3.3. Система конус/плита з убудованим нагрівачем.

Віскозиметри й реометри серії САР мають високотемпературну плиту, що нагрівається до 325ос, що дозволяє працювати зі смолами й полімерами. Спеціальна модифікація реометра R/S (R/S CPE-E) дозволяє розігрівати плиту до 250оС. Малий розмір зразка забезпечує швидке досягнення робочої температури.

3.8 Швидкість зрушення

У багатьох випадках потрібно виміряти абсолютну в'язкість продукту, для чого потрібно визначити швидкість зрушення. Нижче перераховані моделі приладів і адаптерів, що дозволяють визначити швидкість зрушення, і номера розділів утримуючих більше докладну інформацію.

Циліндричні шпинделі Адаптер UL Адаптер DIN Адаптер SS Система Thermosel Віскозиметри з геометрією конус/плита Віскозиметр САР Реометр R/S

3.9 Висока швидкість зрушення

Більшість моделей віскозиметрів Брукфильда орієнтовано на відносно невисокі швидкості зрушення, звичайно не вище 100 з-1.Деякі моделі віскозиметрів у комплекті з адаптерами UL , SS і системою Thermosel розвивають швидкість зрушення до 300 з-1. Для досягнення більше високих швидкостей зрушення варто використовувати геометрію конус/плита або реометри PVS і R/S. 1. Віскозиметри й реометри з геометрією конус/плита.

Віскозиметри з геометрією конус/плита дозволяють визначити абсолютну в'язкість малої проби продукту при певній швидкості зрушення й напрузі зрушення. Об'єм проби становить усього 0.5-2.0 мол, а швидкість зрушення має діапазон 0.6-1875 сек-1 (залежно від моделі віскозиметра й використовуваного конуса). Вимірювальна частина укладена в подвійний кожух для контролю температури.

Повний діапазон виміру в'язкості становить від 0.1 сПз до 2.6 мільйонів сПз. Хоча окремий прилад не покриває весь діапазон, використання змінних шпинделів забезпечує кожному віскозиметру дуже широкий діапазон виміру.

Геометрію конус/плита можна використовувати з різними моделями цифрових віскозиметрів. Настійно рекомендується також придбати рідинної термостат для точного контролю температури.

Геометрія конус/плита завжди поставляється разом з віскозиметром. ЇЇ не можна придбати окремо як аксесуар або для модифікації наявного віскозиметра. Віскозиметр можна також використовувати й зі звичайними дисковими й циліндричними шпинделями, однак буде потрібно подовжений штатив. 2. Віскозиметри й реометри САР.

Прилади серії САР мають геометрію конус/плита й забезпечують високу швидкість зрушення. Вони розроблені для досліджень і контролю якості таких матеріалів, як фарби, покриття, смоли, чорнило, косметика, фармацевтичні вироби й продукти. Всі прилади серії САР мають убудований контроль температури, об'єм проби не перевищує 1 мол.

САР 1000 являє собою одношвидкісний віскозиметр, 750 про/хв при 50 Гц і 900 про/хв при 60 Гц. Швидкість зрушення становить 12000 сек-1 і 3000 сек-1 при 60 Гц і 10000 сек-1 і 2500 сек-1 при 50 Гц (залежно від шпинделя).

САР 2000 дозволяє міняти швидкість обертанні від 50 до 1000 про/хв. Діапазон виміру в'язкості становить 0.1 - 1500 Пз (0.1 - 1500 Па*с) при швидкостях обертання від 166 до 13300 сек-1. САР 1000 відповідає вимогам стандартів BS 3900, ISO 2884 і ASTM D 4287. 3. Реометр R/S.

Даний реометр забезпечує швидкість обертання 4100 сек-1 при коаксіальній геометрії й 4800 сек-1 при геометрії конус/плита. Максимальна швидкість обертання становить 800 про/хв. 4. Реометр PVS.

Даний реометр призначений для виміру в'язкості при високому тиску й температурі. Діапазон тиску від атмосферного до 1000 psi і діапазон температур від -40 до +200ос дозволяють широко використовувати реометр для дослідження бурових розчинів, пульпи й паперу, пластиків, нафтохімічних продуктів і аерозолів. Реометр має швидкості обертання від 0.05 до 1000 об/хв і відповідні швидкості зрушення від 0.01 до 1700 сек-1 . Датчик крутний моменту розташований у підшипнику й не підданий впливу високого тиску й температури.

3.10 Визначення зрушення напруги

Реометр R/S

Даний реометр відрізняється від всіх інших приладів Брукфильда тим, що задається не швидкість обертання шпинделя, а напруга зрушення. Такий підхід має кілька переваг: дуже широкий діапазон виміру в'язкості, можливість вимірювати границю текучості й можливість вивчати високов'язкі гелі.

Пропонується кілька моделей реометра R/S. Модель із коаксіальною геометрією комплектується шпинделями DIN діаметром 8, 14, 25, 45 і 48 мм. Модель із геометрією конус/плита комплектується конусами з кутом 1 і 2 градуси діаметром 2.5, 5.0 і 7.5 див. Також доступна геометрії плита/плита із плоскими плитами діаметром 2.5, 5.0 і 7.5 див. Дана геометрія оптимальна для екстремальне грузлих речовин або речовин, що містять тверді частки.

Прилад для випробувань м'яких матеріалів R/S SST.

Дана версія реометра призначена для проведення спеціальних досліджень, наприклад вивчення плинності матеріалів. Це відмінний спосіб вивчення продуктів, які не можна піддавати зрушенню перед виміром.

У реометрі використовуються шпинделі з лопатевою геометрією й дуже низькими швидкостями зрушення й напругами зрушення, що дозволяє вивчати в’язко еластичні характеристики таких матеріалів, як пасти, гелі, парафини й глинисті розчини.

3.11 Нетекучі матеріали

Вивчення нетекучих і слаботекучих матеріалів являє собою серйозну проблему. При обертанні шпинделя в продукті прорізаються свого роду канали, у результаті чого прилад показує дуже низьку в'язкість, що не відповідає дійсності. Брукфильд пропонує кілька рішень даної проблеми. 1. Стійка спірального руху.

До цієї стійці можна приєднати будь-який віскозиметр Брукфильда. Стійка повільно рухається нагору й долілиць (зі швидкістю 7/8 дюйма у хвилину), у той час як Т-Образний шпиндель обертається в досліджуваному матеріалі. Поперечина шпинделя, рухаючись по спіралі, постійно попадає в "свіжий" матеріал. Тим самим зникає тунельний ефект, властивим звичайним шпинделям.

У комплект поставки входять 6 Т-Образних шпинделів і спеціальної з'єднання для підключення шпинделя до віскозиметра.

2. Спіральний адаптер

Даний адаптер дозволяє вивчати пасто подібні матеріали, такі як паяльні пасти, продукти, косметику й ліки. Адаптер має внутрішній різьбовий шпиндель, що обертається усередині коаксіального циліндра. При обертанні шпинделя проба постійно подається через адаптер. Вимір виробляється після того, як установився постійний плин. Вимір в умовах постійного плину (у порівнянні з іншими методами) менш відчутно до неоднорідності проби. 3. Лопатеві шпинделі.

Лопатеві шпинделі при зануренні в пробу не порушують структуру зразка. При обертанні шпинделя матеріал захоплюється лопатами й утворить віртуальний циліндр. Дискові шпинделі дозволяють одержати повні реологічні дані, їх можна використовувати з будь-яким віскозиметром Брукфильда й з реометром R/S-SST.

3.12 Спеціальні аксесуари

Наступні аксесуари можна замовити для використання разом з віскозиметрами й реометрами Брукфильда. 1. Швидке з'єднання. Даний пристрій дозволяє швидко приєднати/від'єднати шпиндель. Це заощаджує час і дозволяє уникнути небезпеки зіпсувати різьблення. Швидке з'єднання виконане з нержавіючої сталі й може бути використане з дисковими шпинделями LV, RV, HA, HB і з Т-Образними шпинделями. 2. Подовжувач шпинделя. Подовжувач шпинделя може знадобитися в ситуаціях, коли потрібно збільшити дистанцію між віскозиметром і пробій (максимум 6 футів). Подовжувач типу D установлюється між віскозиметром і шпинделем і використовується в ситуаціях, коли можна спостерігати глибину занурення шпинделя. Тип S містить у собі частину, що занурюється, шпинделя й використовується в ситуаціях, коли не можна спостерігати глибину занурення шпинделя.

3.13 Дими й небезпечні умови

Якщо досліджуваний матеріал утворить дим або пара вони можуть потрапити в прилад, цієї ситуації варто уникати. Якщо ж пари горючі або вибухові, це становить небезпеку не тільки для приладу, але й для персоналу. 1. Штуцер продувки.

Даний аксесуар установлюється на корпус віскозиметра й може використовуватися з будь-якою моделлю. Інертний газ (наприклад, азот) під невеликим тиском подається через корпус віскозиметра, створюючи усередині надлишковий тиск. Тим самим запобігає влучення диму й пари усередину віскозиметра.

Штуцер продувки також можна встановити на корпус системи конус/плита й системи Thermosel, забезпечуючи контрольовану атмосферу над пробій. 2. Викоренення конструкція(тільки аналогова модель).

В умовах небезпеки вибуху варто використовувати викоренення встаткування. Брукфильд пропонує викоренення виконання для аналогового віскозиметра. Даний прилад перевірений у лабораторії Underwriter і відповідає класу 1 групи D. Для цифрових віскозиметрів і реометрів викоренення виконання недоступно.

Також недоступно викоренення виконання для аксесуарів, що мають електричне харчування, наприклад для стійки спірального руху або для системи Thermosel. Ці аксесуари можна використовувати тільки в безпечних умовах.

4. Таблиця конверсії різних величин виміру в'язкості

При використанні різних типів віскозиметрів для виміру в'язкості іноді виникає необхідність перекладу одних одиниць виміру в інші або в одиниці виміру Метричної Системи. Пропонуємо Вам скористатися даною таблицею:

Універсальні секунди Сейболта ssu

Кінематична в'язкість

сантистокси

Секунди Редвуда

Одиниці Енглера

Секунди по чашці Партина № 10

Секунди по чашці Партина № 15

Секунди по чашці Партина № 20

Секунди по чашці Форда № 3

Секунди по чашці Форда № 4

31

1.00

29

1

--

--

--

--

--

35

2.56

32.1

1.16

--

--

--

--

--

40

4.30

36.2

1.31

--

--

--

--

--

50

7.40

44.3

1.58

--

--

--

--

--

60

10.3

52.3

1.88

--

--

--

--

--

70

13.1

60.9

2.17

--

--

--

--

--

80

15.7

69.2

2.45

--

--

--

--

--

90

18.2

77.6

2.73

--

--

--

--

--

100

20.6

85.6

3.02

--

--

--

--

--

150

32.1

128

4.48

--

--

--

--

--

200

43.2

170

5.92

--

--

--

--

--

250

54.0

212

7.35

--

--

--

--

--

300

254

8.79

15

6.0

3.0

30

20

400

87.6

338

11.70

21

7.2

3.2

42

28

500

110

423

14.60

25

7.8

3.4

50

34

600

132

508

17.50

30

8.5

3.6

58

40

700

154

592

20.45

35

9.0

3.9

67

45

800

176

677

23.35

39

9.8

4.1

74

50

900

198

762

26.30

41

10.7

4.3

82

57

1000

220

896

29.20

43

11.5

4.5

90

62

1500

330

1270

43.80

65

15.2

63

132

90

2000

440

1690

58.40

86

19.5

7.5

172

118

2500

550

2120

73.0

108

24

9

218

147

3000

660

2540

87.60

129

28.5

11

258

172

4000

880

3380

117.0

172

37

14

337

230

5000

1100

4230

146

215

47

18

425

290

6000

1320

5080

175

258

57

22

520

350

7000

1540

5920

204.3

300

67

25

600

410

8000

1760

6770

233.5

344

76

29

680

465

9000

1980

7620

263

387

86

32

780

520

10000

2200

8460

292

430

96

35

850

575

15000

3300

13700

438

650

147

53

1280

860

20000

4400

18400

584

860

203

70

1715

1150


Висновок

Умови вимірів

1. Нормальні умови вимірів;

Умови виміру, які характерні сукупністю значень або областей значень величин, що впливають, при яких зміною результату вимірів зневажають внаслідок малості.

Примітка - Нормальні умови вимірів установлюються в нормативних документах на засоби вимірів конкретного типу або по їхній перевірці (калібруванню)

2. Нормальне значення величини, що впливає;

Значення величини, що впливає, установлене в якості номінального.

Примітка - При вимірі багатьох величин нормується нормальне значення температури 20 °С або 293 К, а в інших випадках нормується 296 К (23°С). На нормальне значення, до якого приводяться результати багатьох вимірів, виконані в різних умовах, звичайно розрахована основна погрішність засобів вимірів

3. Нормальна область значень величини, що впливає;

Область значень величини, що впливає, у межах якої зміною результату вимірів під її впливом можна зневажити відповідно до встановлених норм точності.

Приклад - Нормальна область значень температури при перевірці нормальних елементів класу точності 0,005 у термостаті не повинна змінюватися більш ніж на ±0,05 °С від установленої температури 20 °С, тобто бути в діапазоні від 19,95 до 20,05 °С

4. Робоча область значень величини, що впливає;

Область значень величини, що впливає, у межах якої нормують додаткову погрішність або зміну показань засобу вимірів

5 Робочі умови вимірів

Умови вимірів, при яких значення величин, що впливають, перебувають у межах робочих областей.

Приклади:

1. Для вимірювального конденсатора нормують додаткову погрішність на відхилення температури навколишнього повітря від нормальної.

2. Для амперметра нормують зміна показань, викликана відхиленням частоти змінного струму від 50 Гц (50 Гц у цьому випадку приймають за нормальне значення частоти)

6. Робочий простір

Частина простору (навколишнього засіб вимірів і об'єкт вимірів), у якому нормальна область значень величин, що впливають, перебуває у встановлених межах

7. Граничні умови вимірів;

Умови вимірів, які характерні екстремальними значеннями, які засіб вимірів може витримати без руйнувань і погіршення його метрологічних характеристик

Список літератури

1. Френкель Я.І. Кінетична теорія рідин. – К., 1995

2. Аринштейн А., Порівняльний віскозиметр Жуковського. – К., 2004

3. R.H. Doremus. J. Appl. Phys., 92, 7619-7629 (2002)

4. M.I. Ojovan, W.E. Lee. J. Appl. Phys., 95, 3803-3810 (2004)

5.M.I. Ojovan, K.P. Travis, R.J. Hand. J. Phys.: Condensed Matter, 19, 415107 (2007)

6. Булкин П.С. Попова И.И., Загальний фізичний практикум. Молекулярна фізика. – К., 2005


Не нашли материал для своей работы?
Поможем написать уникальную работу
Без плагиата!
Без нейросетей!