Параметри роботи компресора
ЗМІСТ
1. Розрахунок турбокомпресора
2. Розрахунок компресора
Література
1.
РОЗРАХУНОК ТУРБОКОМПРЕСОРА
Вихідні дані:
Марка двигуна по ДСТ………………………………...….4ЧН
12/14
Діаметр циліндра………………………………………….Дц=0,12
м
Хід поршня…………………………………………………S
= 0,14 м
Температура навколишнього
повітря…………………….tо=293 К
Барометричний тиск повітря……………………...Po
= 1013000,1013 Па
Вибираємо:
Теоретично необхідна кількість
повітря для повного згоряння 1-го кг палива…………………………………………………
Коефіцієнт надлишку повітря……….…………………….a
= 2,5
Швидкість поршня…………………………………………Cm
= 9 м/с
Адіабатний ККД……………………………………………ηад.
= 0,7
Ps/Pk = 0,98
η0 = 0,7
T01 = 300 К
∆Ta = 20 К
γr = 0,03
Температура вихлопних газів………………………….......Tr
= 750 К
Ступінь стиску……………………………………..…….....ε
= 14
Pa/Ps = 0,85
Газова стала………………………………………………...R
= 287
Кількість циліндрів……………………………………….…z
= 4
Тактність двигуна…………………………………….……..i
= 4
Витрата пального…………………………………….……...gе
= 0,21
Ступінь підвищення тиску………………………...…….…πк
= 1,5
φа = 1,16
∆Рa =
0,002
Обороти:
Тиск повітря у ресивері
двигуна:
Температура повітря після компресора:
Температура повітря у ресивері:
Температура повітря на початку
стиску:
Коефіцієнт наповнення:
Змінний об’єм циліндра:
Витрата повітря через компресор:
Потужність двигуна:

Середній ефективний тиск:
Густина повітря:
ρ =1,205.
Об’ємний розхід:
Вибираємо турбокомпресор за Q
або G за діаграмами ТКР-7.
2.
РОЗРАХУНОК КОМПРЕСОРА
Основні вихідні дані.
Витрати повітря через компресор (з
розрахунків)…………Gк = 0,079 м/с
Ступінь підвищення тиску (з попередніх
розрахунків)………..πк = 1,5
ККД компресора по ГОСТ
9658-81………………………………nк = 0,68
Діаметр колеса на виході……………………………………….D2
= 0,07 м
Число лопаток
колеса……………………………………………...zк = 14
Число лопаток дифузора…………………………….…………….zд = 17
Розрахунок параметрів і показників
компресора.
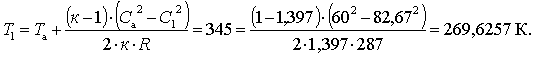
Показник адіабати…………………………………………….кпр
= 1,397
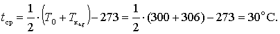
Середня температура в процесі стиску:
Середня теплоємність при постійному
об’ємі:
Уточнене значення показника адіабати:
Перевірка:
,
кпр - значення прийняте на
початку розрахунку;
∆к - повинна
бути в межах 0,2%.
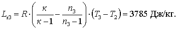
Питома робота, затрачувана на привід
компресора:
R = 287- газова постійна;
Товщина лопаток на виході δ2
= 0,002 м;
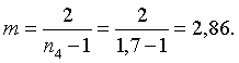
Емпіричний коефіцієнт циркуляції К90
= 0,015.
Коефіцієнт циркуляції:
Коефіцієнт дискового тертя:
αд = 0,05.
Коефіцієнт робот:
Окружна швидкість колеса на діаметрі
D2:
Частота обертання ротора
турбокомпресора:
хв-1.
Потужність, що споживається компресором:
Розрахунок вхідного пристрою та
обертового прямуючого апарата (ОПА).
Тиск перед компресором:
Швидкість на вході в компресор:
Ca = 60.
Параметри потоку на вході:
- температура:
- тиск:
- щільність:
Прохідний перетин вхідного патрубка:
Відносна величина швидкості потоку на
вході в колесо (рекомендовані значення):
Швидкість на вході в колесо:
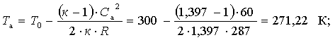
Температура повітря перед колесом:
Коефіцієнт втрат у вхідному пристрої:
Втрата вхідному пристрої:
Коефіцієнт для визначення ділення
показника політропи:
Показник політропи у вхідному
пристрої:
Тиск на вході в колесо:
Щільність на вході:
Прохідний перетин колеса на вході:
Відносна величина діаметра маточини
колеса:
Діаметр маточини:
Відносний зовнішній діаметр колеса на
вході:
Зовнішній діаметр колеса на вході:
Середній діаметр колеса на вході:
Окружна швидкість на середньому діаметрі:
Відносна швидкість потоку на вході у
ОПА:
Кут потоку на вході в колесо:
Розрахунок робочого колеса компресора.
Коефіцієнт втрат на вході в колесо:
Втрати на вході в колесо:
Коефіцієнт втрат при повороті потоку
в колесі:
Втрати при повороті потоку:
Втрати на тертя диска о газ:
Сумарні втрати в колесі:
Температура повітря на виході з
колеса:
t2 = 25,9531 оС.
Коефіцієнт для визначення показника
політропи в колесі:
Показник політропи стиску повітря в
колесі:
Тиск на виході з колеса:
Щільність повітря на виході:
Крок лопаток на виході:
Коефіцієнт загромадження перетину на
виході:
Радіальні складові абсолютної і
відносної швидкостей:
Окружна складова абсолютної швидкості:
Абсолютна швидкість повітря на виході
з колеса:
Окружна складова відносної швидкості:
Відносна швидкість потоку на виході:
Кут виходу потоку в абсолютному русі:
Кут виходу потоку у відносному русі:
Кут відставання потоку:
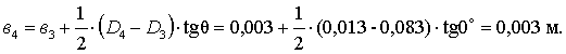
Ширина лопаток колеса на виході:
Ступінь підвищення тиску в колесі:
Адіабатний ККД робочого колеса:
Розрахунок безлопаточного дифузора.
Відносний зовнішній діаметр дифузора:
Зовнішній діаметр дифузора:
Відносна ширина дифузора на виході:
Ширина дифузора на виході:
Відносна зміна щільності повітря в
дифузорі:
Швидкість потоку на виході із
дифузора:
Температура потоку на виході:
Показник політропи процесу стиску в
дифузорі:
Тиск на виході з дифузора:
Щільність повітря на виході:
Перевірка відносної зміни щільності:
Перевірка:
(r3/r2)пр
- значення прийняте на початку розрахунку;
D(r3/r2)
- повинна бути в межах 1%.
Втрати в щілинному дифузорі:
Ступінь підвищення тиску в дифузорі:
Адіабатний ККД безлопаточного
дифузора:
Розрахунок лопаточного дифузора.
Зовнішній діаметр дифузора:
Кут розкриття дифузора в меридіальній
площині:
Ширина дифузора на виході:
Кут потоку на вході в дифузор:
Кут виходу потоку:
Крок лопаток на вході при zд
= 13:
Товщина лопаток на вході:
Коефіцієнт загромадження перетину на
вході:
Прохідний перетин на вході в дифузор:
Швидкість потоку на вході в дифузор:
Товщина лопаток на виході з дифузора:
Крок лопаток на виході:
Коефіцієнт загромадження перетину на
виході:
Прохідний перетин на виході:
Дифузорність каналів лопаточного
дифузора:
Показник політропи в дифузорі:
Коефіцієнти безрозмірного рівняння
збереження енергії:
Ступінь підвищення температури в
дифузорі:
при β = 1,0503.
Температура повітря на виході:
Швидкість потоку на виході із
дифузора:
Тиск повітря на виході:
Щільність повітря:
Втрати в лопаточному дифузорі:
Ступінь підвищення тиску в дифузорі:
Адіабатний ККД лопаточного дифузора:
Розрахунок збірного равлика.
Швидкість потоку на виході з
компресора:
Температура потоку на виході з
компресора:
Показник політропи в збірному равлику:
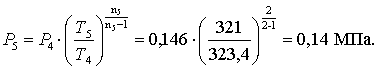
Тиск на виході:
Щільність повітря на виході:
Прохідний перетин вихідного патрубка:
Втрати у вихідному пристрої:
Ступінь підвищення тиску в равлику:
Адіабатний ККД равлика:
Розрахунок параметрів стиснутого
повітря і ККД компресора.
Температура загальмованого потоку на
виході:
Тиск загальмованого потоку:
Ступінь підвищення тиску в компресорі:
Перевірка:
πкпр - значення прийняте на
початку розрахунку;
∆πк -
повинна бути в межах 3%.
Питома адіабатна робота компресора:
Сумарна витрата енергії на подолання
опорів:
Коефіцієнт для випередження показника
політропи в компресорі:
Показник політропи стиску повітря в
компресорі:
Робота компресора при політропному
стиску:
Адіабатний ККП компресора:
Перевірка:
∆ηк -
повинна бути в межах 3%.