|
Тип термопары по ГОСТ 3044-44
|
Обозначение градуировки *
|
Номер варианта
|
Предел измерения,
|
|
от (tmin)
|
до (tmax)
|
|
ТХА
|
ХА
|
20
|
400
|
900
|
2.3. Расчет измерительной
схемы электронного автоматического моста:
|
Тип термо-метра сопро-
тивления.
|
Сопротивление
термометра при .
|
Обозначения градуировки
|
Номер варианта
|
Пределы измерения, 0С
|
|
От (tmin)
|
До (tmax)
|
|
ТСМ
|
53
|
Гр.23
|
20
|
0
|
50
|
Содержание
Задание на курсовую работу
Содержание
Введение
1. Общие сведения
2.
Автоматизация технологического процесса
3. Средства
автоматизации
4. Описание функциональной
схемы АСК
5. Расчетная часть
5.1 Расчет сужающего устройства
5.2 Расчет измерительной схемы
автоматического потенциометра
5.3 Расчет измерительной схемы
электронного автоматического моста
Заключение
Введение
Автоматизация управления
является одним из основных направлений повышения эффективности производства.
Ускорение научно-технического прогресса и интенсификация производства
невозможны без применения средств автоматизации. Ещё Ю.В. Андропов отметил, что
предстоит осуществить автоматизацию производства, обеспечить широкое применение
компьютеров и микропроцессорной техники.
Характерной особенностью
современного этапа автоматизации состоит в том, что она опирается на революцию
вычислительной техники, на самое широкое использование микропроцессорных
контроллеров, а также на быстрое развитие робототехники, гибких
производственных систем, интегрированных систем проектирования и управления SCADA-систем.
Применение современных
систем и средств автоматизации позволяет решать следующие задачи:
·
вести процесс с
производительностью максимально достижимой для данных производительных сил,
автоматически учитывая непрерывные изменения технологических параметров,
свойств исходных материалов, изменений в окружающей среде, ошибки операторов
·
управлять
процессом, постоянно учитывая динамику производственного плана на номенклатуру
выпускаемой продукции путем оперативной перестройки режимов технологического
оборудования, перераспределение работ на однотипном оборудовании и т.п.
·
автоматически
управлять процессом в условиях вредных и опасных для человека.
Решение поставленных
задач предусматривает целый комплекс вопросов по проектированию и модернизации
существующих и вновь разрабатываемых систем автоматизации технологических
процессов и производств.
Одним из направлений
повышения эффективности энергетического производства является внедрение
вычислительной техники в системах управления. Широкое внедрение АСУ – это
объективная необходимость, обусловленная усложнением задач управления,
повышением объёмов информации, которые необходимо перерабатывать в системах
управления.
На сегодняшний день на любом конкурентоспособном
предприятии внедрены АСУТП и АСУ, которые выполняют до 90% задач предприятия.
В организации
обслуживания технологического процесса большую роль играют локальные (местные)
системы управления технологическим оборудованием и процессами и предназначены
для контроля и управления отдельными, несвязанными между собой системами
регулирования и в иерархии образуют нижний уровень. Эти системы управления
являются одноконтурными и для синхронного управления такими системами,
наилучшим будет использование в управлении контроллера. Так как при непрерывном
характере производства основной задачей автоматизации является автоматическое
регулирование параметров, а при дискретном производстве наиболее подходит программно
логическое управление.
Решение поставленных
задач предусматривает целый комплекс вопросов по проектированию и модернизации
существующих и вновь разрабатываемых систем автоматизации технологических
процессов и производств.
Широкое
внедрение систем автоматизации приносит промышленности кроме прямого
экономического эффекта существенный организационный эффект, так как требует
специалистов высокой квалификации, и, следовательно, повышает общий уровень
организации производства (уменьшает степень неупорядоченности) и его культуры,
улучшает стиль и эффективность руководства и т.д.
Уровень
механизации и автоматизации производственных процессов сегодня является одним
из важнейших показателей научно-технического прогресса в стране.
1. Общие сведения
В
настоящее время в зависимости от качества применяемых цементов и бетонов, а
также требуемых сроков сокращения твердения бетона в изделиях, изготавливаемых
по той или иной технологии, дополнительное ускорение твердения бетона
достигается путем применения:
а) механических
воздействий — принудительное перемешивание с активизацией смеси, уплотнение
бетонных смесей путем вибрирования с пригрузом, повторное и поличастотное
вибрирование, вибропрессование, прокатка изделий и т. п.;
б) химических
воздействий — введение химических добавок — ускорителей твердения,
предварительная гидратация цемента, а также обработка газами;
в) физических
воздействий — главным образом применение тепловой обработки (пропаривание,
автоклавная обработка, электропрогрев, обогрев горючими газами, обработка в
водной и масляной среде и др.).
Тепловлажностная
обработка изделий на базе цементобетона значительно ускоряет твердение и
улучшает при определенных условиях качество изделий по сравнению с твердением
их в естественных условиях. Тепловлажностная обработка изделий придает им за
несколько часов прочность, равную 50% проектной, приобретаемой ими лишь через
28 суток естественного вызревания.
Тепловлажностная
обработка железобетонных изделий обеспечивается созданием горячей (в пределах
от 60 до
200° С в
зависимости от технологического процесса) и влажной (ωвл=
=100%) среды. Создание горячей среды с температурой до 100° осуществляется в
пропарочных камерах, с температурой 150—200°С — в автоклавах.
Для
технологического процесса существенное значение имеет скорость подъема и
понижения температуры.
В
настоящее время тепловую обработку железобетонных изделий в среде насыщенного
водяного пара осуществляют в камерах твердения непрерывного и циклического
действия. Камеры непрерывного действия подразделяются на напольные, проходные
или тупиковые и вертикальные башенные. Тепловая обработка осуществляется в этих
камерах при определенном значении температур среды в каждой зоне и перемещением
изделия в этих температурных зонах.
Наиболее
распространенными камерами пропаривания являются ямные и тоннельные установки
периодического (циклического действия). В отличие от ямных камер, где
осуществляется тепловая обработка крупноразмерных изделий, а загрузка и
выгрузка осуществляется в вертикальной плоскости, в камерах тоннельного типа
пропариваются изделия небольших размеров и операции загрузки и выгрузки
осуществляются в горизонтальной плоскости.
На
большинстве заводов и полигонах наибольшее применение нашли камеры тепловой
обработки ямного типа. Регулирование температуры в камере происходит при
изменении притока пара, что осуществляется закрытием или открытием паровых
вентилей.
Исследования
характеристик ямной камеры как объекта автоматического регулирования по
температуре показали, что переходный процесс повышения температуры камеры при
полностью открытом паровом вентиле имеет экспоненциальный вид.
Наряду с
ямными камерами твердения на заводах сборного железобетона применяют кассетные
установки для пропаривания плоскокалиброванных изделий, Тепловая обработка в
кассетных установках осуществляется путем контактного прогрева отформованных в
них изделий, разделяемых друг от друга металлическими листами. Группа изделий
располагается между паровыми рубашками.
Переходный
процесс набора температуры в камерной установке во времени при полностью
открытом паровом вентиле имеет вид экспоненты. Постоянная времени кассетных
установок лежит в пределах от 0,1 до 0,5 ч для обычных и от 0,2 до 1 ч — для
железобетонных.
При
изучении пропарочной камеры как объекта регулирования установлено, что: тепловой
процесс в камере обладает положительным коэффициентом самовыравнивания; процесс
нарастания температуры среды при поступлении или сбросе пара происходит по
экспоненциальному закону; постоянная времени этой экспоненты достаточно велика.
Таким образом, пропарочная камера для системы авторегулирования является звеном
инерционным с большой постоянной времени.
Математическим
выражением теплового баланса для тепловой обработки будет равенство
поступающего Qп и расходуемого тепла. Поступающая тепловая энергия
расходуется на повышение температуры среды в объекте и на покрытие утечек тепла
Qy. В распространенных до последнего
времени системах автоматического регулирования температуры программируется
последовательность и длительность этапов процесса тепловой обработки с
позиционным регулированием температуры изотермического прогрева.
Для
автоматического регулирования температуры в пропарочной камере широкое
применение получили схемы с двухпозиционным элементом регулирования.
Экспериментальные
исследования показывают, что постоянная времени теплового процесса в камере во
много раз больше, чем постоянные времени других структурных элементов системы
автоматического регулирования температуры в пропарочной камере.
Установки
автоматического регулирования тепловой обработки железобетонных изделий,
применяющиеся в настоящее время, можно разделить на две основные группы.
1. Установки
регулирования на базе программных регуляторов, отрабатывающих необходимую
программу тепловой обработки: подъем, изотермическую выдержку и спуск
температуры (установки на базе программных регуляторов типа ПРТЭ, ЭРП, ПРЗ,
ПУСК-ЗС).
2. Установки
регулирования на базе регуляторов стабилизации, использующие дополнительные
приборы и приспособления для осуществления подъема и спуска регулируемой температуры:
установки на базе электронных автоматических мостов с регулирующим устройством
(ЭМД, МСР и др.);установки на базе термосигнализаторов (ТСГ, ТС и др.).
Установка
на базе регулятора ПРЗ (состоит из пневматического регулятора, использующего
энергию сжатого воздуха; в качестве исполнительного устройства применен
пневматический исполнительный механизм) в условиях заводов железобетонных
изделий оказалась ненадежной. Использование установок с термосигнализатором
типа ТСГ и ТС ограничено, так как длина капилляра, соединяющего термобаллон со
вторичным прибором, не превышает 60 м. Установки с использованием электронных
мостов очень дороги и их применение экономически невыгодно.
В
промышленности применяют еще ряд установок, использующих другие регуляторы, но
они также имеют недостатки в схеме или конструкции.
В
результате всесторонних исследовании применяемых систем для автоматического
регулирования тепловлажностной обработки железобетонных изделий установлено,
что наиболее надежными и качественными являются системы на базе регуляторов
ПРТЭ-2М и ЭРП.
Ниже
рассматриваются лишь основные системы автоматизации кассетных установок,
применяющиеся в производстве сборного железобетона.
Кассетная
форма образуется из двух крайних и ряда промежуточных разделительных
вертикальных щитов, расставленных друг от друга на определенном расстоянии,
равном толщине формируемых панелей, и из бортовой оснастки для превращения
отсека в форму, открытую сверху. Два крайних и ряд промежуточных отсеков, в которых
циркулирует теплоноситель (пар),, являются тепловыми.
Система
авторегулирования, которая обеспечивает автоматическое управление процессом
тепловой обработки изделий в кассетных установках, основана на управлении
временным циклом обработки с периодическим контролем температур. Регулируемым
параметром при этом является температура пара, подаваемого в неподвижную
паровую рубашку каждой кассетной установки. Общая продолжительность
регулирования по указанному режиму составляет 25% всего времени цикла. Постоянная
подача пара в кассету вызывает перегрев полости кассеты и значительное
увеличение расхода пара. В этой системе не предусмотрена блокировка на случай
падения давления в сети пароснабжения, а также проверка температуры объекта в
конце цикла пропаривання с целью устранения возможности выпуска недостаточно
пропаренных изделий.
В
рассматриваемой системе в качестве регулируемого параметра использовалась
температура пара в паровой рубашке, что в малой степени определяет характер
распределения температур по объему изделий и не может обеспечивать стабильного
режима обработки, предусматриваемого технологическим процессом. Отсутствие
температурной блокировки в процессе изотермической выдержки может привести, с
одной стороны, к недопустимому перегреву изделий, с другой — к значительному
перерасходу пара. Отсутствие период» охлаждения приводит к тому, что распалубка
изделий производится при температуре бетона, близкой к 100° С, что неизбежно
приведет, при отсутствии специальных теплых складов или камер дозревания, к появлению
трещин ввиду резких температурных перепадов.
В
описанной ниже системе автоматического регулирования режима тепловлажностной
обработки изделий в кассетных установках предусматривается регулирование
процесса по температуре бетона в одной из секций.
При
окончании процесса формования бригадир или мастер смены при помощи кнопки,
находящейся на щите управления кассетами или общем пульте, подает напряжение в
цепь моторного исполнительного механизма, который открывает подачу пара в
кассету. Пар, поступая в кассету, начинает вытеснять из нее воздух, и при
достижении через воздушный клапан определенной величины срабатывает
манометрический термометр. При этом исполнительный механизм закрывает воздушный
клапан, и кассета начинает работать под заданным давлением. Когда температура в
изделии достигает заданной величины, установленный в нем в качестве датчика
термометр сопротивления подаст сигнал на малогабаритный электронный
автоматический самопишущий и регулирующий мост, который поддерживает
температуру изделия в пределах заданного интервала температур, включая или
выключая подачу пара в кассету посредством исполнительного механизма. Основным
недостатком рассматриваемой системы является отсутствие регулирования подъема
температуры и регулирования процесса по температуре бетона в одной из секций
установки, что неприемлемо ввиду значительного разброса температур по объемам
изделий. Кроме того, установка датчиков в тело изделий нежелательна с
конструктивной точки зрения в связи с перемещением секций при распалубке, а также
возможности схватывания бетона с металлическим чехлом датчика.
Регулирование
процесса тепловлажностной обработки железобетонных изделий в кассетных
установках таким образом неприемлемо вследствие того, что значителен перепад
температур по объему изделия и нестабилен температурный режим, а также по ряду
конструктивных соображений (необходимость перемещения датчика с секцией
кассеты, возможность схватывания датчика бетоном и т. д.) и неэффективно, так
как распределение температур по секциям паровых рубашек неравномерно и
отсутствует прямая зависимость между температурой пара, поступающего в рубашки,
и температурой изделия.
В
результате исследований, проведенных на опытных кассетных установках, было
выяснено, что наиболее полное представление о средней температуре изделия может
быть получено путем измерения температуры конденсата, отводимого из паровых
рубашек кассет в бак сбора конденсата, так как его температура (а конденсат
стекает в обратную трубу из различных полостей паровых рубашек) характеризует среднюю
теплоотдачу пара во всех секциях данной кассетной установки, что определяет
усредненную температуру пропариваемых изделий.
Стабильность
регулирования тепловой обработки системами автоматизации, использующими в
качестве регулируемого параметра температуру конденсата, подтвердила
правильность сделанного выбора. Вместе с тем, использование температуры
конденсата в качестве регулируемого параметра вызывает необходимость устранения
влияния на нее ряда внешних факторов, не связанных с ходом тепловой обработки в
данной кассетной установке. Температура конденсата может колебаться при наличии
пролетного пара в соседней кассетной установке и недостаточно надежной работе
системы отвода паровоздушной смеси из бака сбора конденсата; необходимо
обеспечить стабильную работу системы пароснабжения всех кассетных установок в
данном цехе и интенсивный отвод паровоздушной смеси из бака сбора конденсата.
2. Автоматизация технологического процесса

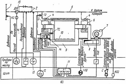
Рис.1.
Автоматизация камеры периодического действия для тепловой обработки
железобетонных изделий:
а — функциональная схема; 1 —
гребенка; 2 — задвижка с ручным приводом: 3 — приточный
затвор: 4 — эжектор; 5 — паропровод; 6 — вентиляционный затвор; 7
— вентилятор; 8— вентиляционный канал; 9— камера; 10—
регистр перфорированный; 11— программный регулятор температуры: 12—
манометр электроконтактный; 13— манометр; М — регулятор прямого действия
«против себя»; 15 — расходомер; Л — магнитный пускатель; С — гудок; КСС
— кнопка; 1ЛЕ — сигнальная лампа; 1Э, 1ЭВ — вентиль с электромагнитным
приводом: ТС — термометр сопротивления; ДН — диафрагма; КС — конденсационные
сосуды; б — структурная схема; 16 — теплоноситель; 17 — регулятор
тепловой обработки изделий; 18 — пропарочная камера; 19 —
изделие; 20 — задатчик выдержки температур; 21 — задатчнк
скорости нарастания температур; 22 — задатчнк температуры паровоздушной
среды
3. Средства автоматизации
Технические требования к приборам серии «Технограф». Регистрирующие и показывающие электронные приборы с
учетом возросших требований промышленности и растущей конкуренции со стороны
аналогичных приборов производства стран ЕЭС должны удовлетворять ряду
современных требований, к которым относятся:
§
универсальность –
возможность обслуживания практически всех существующих типов датчиков
температуры, абсолютного и избыточного давления, уровней жидкости и т.п.;
§
многоканальность
– наиболее часто применяются 12, возможно 24 и более каналов;
§
наличие табло для
световой индикации на жидких кристаллах (помимо средств регистрации
контролируемых параметров на диаграммной бумаге с шириной ленты 100 или 160 мм);
§
существенно меньшие
массогабаритные характеристики благодаря использованию новых конструкторских
решений для принципиально измененной механической части и применению
современных конструкционных материалов;
§
возможность
работы в компьютерных сетях;
§
наличие
энергозависимого ОЗУ;
§
наличие
комплексной регистрации: как цифровой, так и аналоговой.
Рассмотрим особенности
построения схем приборов «Технограф-160, -100», в которых реализованы указанные
требования.
Функциональные
возможности. Приборы
серии «Технограф» обеспечивают:
• подключение различных
датчиков на любые пределы измерений и к любому каналу измерений, что
определяется пользователем в зависимости от поставленных перед ним задач (это
не требует большого числа вариантов исполнения);
• аналоговую или цифровую регистрацию значений
измеряемых параметров каждого канала в циклическом режиме в прямоугольных координатах
на диаграммной ленте шириной 100 или 160 мм;
• простоту группового
ЗИП, так как имеются всего два варианта исполнения приборов;
• индикацию на цифровом
табло значений измеряемых параметров в циклическом режиме или выборочно по
любому каналу в единицах измеряемой величины при одновременной регистрации всех
каналов;
• сигнализацию при отклонении измеряемых параметров от
заданных значений: приборы имеют две независимые установки для любого
измерительного канала, каждая из которых может иметь вид «Больше», «Меньше» (с
регистрацией на ленте номера канала, времени, даты, номера уставки и значения
величины параметра) или «Регулирование» (без регистрации, срабатывают только
реле сигнализации);
• регулирование по
принципу «раздельная задача – раздельный выход» или «раздельная задача – общий
выход»;
• автоматический контроль
исправности по всем входящим платам;
• программно-кодовую
защиту от несанкционированного доступа с клавиатуры в БД;
• обмен данными с внешней
ЭВМ по каналу интерфейса RS-232;
• хранение введенных
значений параметров и отсчет текущего времени при перерывах в электропитании
длительностью до 10 сут;
• отключение измерения,
регистрации и сигнализации по любому каналу.
Кроме того, прибор
«Технограф-160» способен измерять и регистрировать мгновенный расход
(корнеизвлечение) и суммарное значение расхода.
Принцип действия. Структурная схема прибора «Технограф-160»
приведена на рис. 3. Коммутатор каналов КК с помощью герконовых реле
поочередно подключает к АЦП датчики в соответствии с управляющими
сигналами, которые поступают с платы АЦП.
Рис. 3. Структурная схема
прибора «Технограф-160»: КК– коммутатор каналов; ЦП – центральный
процессор; ИТ–источник тока; К – клавиатура; ШД1 и ШД2
– шаговые двигатели следящей системы и лентопротяжного механизма соответственно;
УС – устройство сигнализации; ИОН– источник опорного напряжения; ЦЦ
– цифровой дисплей; КС – канал связи RS-232; ЗПУ – записывающее устройство; ЛПМ –
лентопротяжный механизм
Входные сигналы через плату коммутатора подаются на вход АЦП,
построенного по принципу двойного интегрирования, для уменьшения влияния помех
промышленной частоты. Однако интегратор не полностью подавляет эти помехи, так
как частота сети может изменяться в зависимости от величины нагрузки на
энергосистему. Для полного их устранения в
АЦП
время интегрирования жестко связано с частотой сети. В АЦП входной
сигнал поступает на вход нормирующего усилителя. С его выхода через электронный
ключ входной сигнал подается на интегрирующий усилитель, который интегрирует
его за строго заданный промежуток времени – период частоты сети. После этого
электронный ключ отключает входной сигнал и на вход усилителя поступает
высокостабильное постоянное напряжение. При достижении нулевого значения
напряжения на выходе интегратора компаратор отключает электронный ключ,
закорачивает конденсатор обратной связи интегратора и подает сигнал
центральному процессору ЦП об окончании преобразования. Такое построение
прибора позволяет тестировать плату АЦП и тем самым уменьшать
погрешность прибора, а также заменять прибор или его узлы еще до выхода прибора
из строя (если погрешность превысит допустимое значение в диапазоне измерения).
Центральный процессор, получив от платы АЦП сигнал об
окончании преобразования, считывает с электронных счетчиков двоичный 16-разрядный
код, пропорциональный входному сигналу. Далее ЦП в соответствии с
программой, записанной в ЗПУ, преобразует двоичный код в значение
параметра, передает его в контроллер клавиатуры и дисплея и затем на цифровой
дисплей. Клавиатурная часть контроллера обеспечивает ввод информации с
клавиатуры в прибор.
Центральный процессор формирует сигнал управления
исполнительными реле блока сигнализации выхода параметра за предельное
значение. В связи с тем, что в приборе отсутствует реохорд обратной связи, в начале
и конце диаграммной бумаги установлены два датчика положения (начала и конца
шкалы). Число шагов шагового двигателя между ними составляет примерно 1000.
В приборе применено записывающее устройство в виде
каплеструйного картриджа, закрепленного на подвижной каретке. Напряжение на
картридж подается от схемы управления с помощью гибкой ПП. При подаче
напряжения на резистор, встроенный в картридж, чернила, подаваемые через
капилляр, вскипают и выбрасываются на диаграммную бумагу, оставляя на ней след
в виде точки. Каретка соединена с шаговым двигателем следящей системы гибким
тросиком. Применение бесконтактной записи позволило уменьшить трение в следящей
системе.
Особенности
построения схемы АЦП в приборах серии «Технограф». При разработке прибора учитывались следующие условия его
работы:
– наличие помех
промышленной частоты;
– малые уровни сигналов
от датчиков;
– заданное (или
максимальное) число контролируемых каналов.
Входное постоянное (медленноменяющееся) напряжение
преобразуется в цифровой код при помощи АЦП, обеспечивающего хорошее подавление
помех с частотой питающей сети и опрос каналов в течение заданного времени.
Обычно постоянная времени тепловых процессов объектов контроля составляет
примерно 10...900 с и число каналов локальных систем не превышает 64, в связи с
чем целесообразно использовать АЦП двойного интегрирования с0 длительностью
первого такта, кратной периоду частоты сети, для полного подавления помехи с
частотой сети.
Рассмотрим подробнее работу такого АЦП (рис. 3.43).
Рис. 4. Схема АЦП, построенного по принципу двойного
интегрирования
В первом такте интегрируется входное напряжение UВХ:
U1(t)
=
где n1
– число тактовых импульсов генератора за период частоты сети; Ттакт
– период тактового генератора; Tсети – период напряжения сети.
Во втором такте интегрируется
опорное напряжение UОП
где t2
= n2·Tтакт; n2 – число тактовых импульсов за время разряда
конденсатора.
Когда напряжение U1(t)
станет равным 0, компаратор выдаст команду на останов счетчика второго такта.
Таким образом,
UВХ = Uоп .
Из последней формулы
видно, что для максимального подавления помех необходимо использовать
конденсатор с малой абсорбцией, стабильный генератор тактовых импульсов в
пределах времени первого и второго тактов и стабильное Uoп. Обычно на каждом канале проводится
не менее трех измерений для уменьшения вероятности ошибки преобразования.
Входные сигналы через плату коммутатора поочередно поступают на вход
нормирующего усилителя. С выхода последнего через электронный ключ входной
сигнал подается на вход интегрирующего усилителя, который интегрирует входной
сигнал за строго заданный промежуток времени. После этого электронный ключ
отключает выходной сигнал датчика, а ко входу интегратора подсоединяется источник
напряжения с полярностью, противоположной полярности выходного сигнала датчика.
На плате ЦП формируется сигнал управления выходными
реле сигнализации при выходе параметра за заданное значение.
Основные технические характеристики
регистрирующих приборов «Технограф-100 и -160»
Основная погрешность прибора, % от диапазона измерений:
по показаниям...........…...………±0,25 (для
узкопредельных ±0,5)
по цифровой
регистрации........... ±0,25 (для узкопредельных±0,5)
по аналоговой
регистрации......... ±0,5 (для узкопредельных ±1,0)
по сигнализации ...............……....±0,5 (для узкопредельных
±1,0)
Напряжение питания силовой
цепи, В ...................…….………
Частота напряжения
питания, Гц..............................………………50 ± 1
Коэффициент высших
гармоник, % .....................................…………≤ 5
Диапазон задания уставок
сигнализации,
% от диапазона измерения
входного сигнала ...............................0...100
Входное сопротивление прибора для входных сигналов:
0...10;0...20;0...50;0...100
мВ,0...5 В
по ГОСТ 26.011, от
датчиков с номинальной
технической
характеристикой К, L, S, В
по ГОСТ Р50431, кОм
............................................………………… ≥ 500
0...5; 0...20; 4...20 мА,
Ом .............................................…………………50
Исполнение:
по защищенности от
воздействия окружающей среды……...…… по ГОСТ 12997 – 84
по устойчивости к воздействию
температуры и влажности
окружающего воздуха
....….….... группа В4 по ГОСТ 12997 – 84
по устойчивости к
воздействию атмосферного давления группа Р2 по ГОСТ 12997 – 84
по виброустойчивости
...........….… группа L3 по
ГОСТ 12997–84
Регистрация показаний в
прямоугольных координатах на ленте ЛПГ-160 ……………………………………………………..по ГОСТ 7826 –
73
номинальная ширина поля
регистрации, мм ................................100
толщина линии
регистрации, мм .......................………………..≤ 0,5
Скорость перемещения диаграммной ленты:
при аналоговой
регистрации, мм/ч .....………………….…любое из значений ряда 5; 10; 20; 40; 60; 120;
240; 480; 1200; 2400
при цифровой регистрации
(устанавливается автоматически), мм на один цикл регистрации
..…………………………………………5
Цикл:
измерения по 12-ти
каналам, с ...........................…..……………≤ 12
Расход диаграммной ленты, м/ч
..............….……………рассчитывается по формуле L = (3600 / N)225, где N – цикл
регистрации
Погрешность скорости
движения диаграммной ленты, % ..............≤0,5
Масса, кг
...........................................................................………………
8
Полный средний срок
службы, лет .............………..………………. ≥10
Таким образом, приборы нового поколения существенно
превосходят предыдущие разработки по следующим параметрам.
1. Уменьшено число модификаций приборов в 100 раз (с 200 до
2). Это связано с универсальностью приборов, а именно с возможностью работы с
различными типами датчиков.
2. Имеется возможность
работы в сети благодаря включению в структуру приборов стандартных интерфейсов RS-232 и -485.
3. Обеспечивается подключение разных типов датчиков к любому
из каналов.
4. Повышена надежность приборов в результате применения
бесконтактной струйной записи.
5. Снижена потребляемая мощность и уменьшены габаритные
размеры приборов вследствие использования МП и другой современной элементной
базы.
Микропроцессорные показывающие и регистрирующие приборы
«Технограф-100» и «Технограф-160» выпускаются Челябинским заводом
«Теплоприбор».
4. Описание функциональной схемы АСК
Создан
ряд систем (с КЭП, с ПРТЭ), базирующихся на описанном принципе управления
процессом.
Система
состоит из следующих основных узлов: электронного программного регулятора
температуры ЭРП-61; датчиков температуры, установленных в баке сбора
конденсата; электронного самописца ЭРП-61; датчиков температуры, установленных
в баке сбора конденсата; электронного самописца ЭМП-209; датчика температуры в
паровом отсеке кассеты; дроссельной диафрагмы; регулятора давления;
электроконтактного манометра; прибора расхода; исполнительного механизма и
регулирующего клапана, а также устройств управления и сигнализации.
Необходимость
установки самопишущего интегрирующего прибора расхода определяется тем, что
расход пара в кассетной установке на цикл тепловой обработки изделий является
одним из основных показателей, характеризующих эффективность работы любой из
рассмотренных систем автоматики. Для определения суммарного расхода пара за
цикл тепловой обработки проводится суммирование единичных расходов и времени подачи пара для каждого замера. В
системе осуществляется блокировка на случай падения давления в сети
пароснабжения, для чего ставится электроконтактный манометр ЭКМ-1. Для определения
расхода регулирующего клапана ставится прибор давления (показывающий давление
до и после клапана).
Регулирование
по температуре конденсата осуществляется регулятором ЭРП-61, воздействующим
через исполнительный механизм на регулирующий клапан. Датчик регулятора
установлен в баке сбора конденсата, там же установлен один из датчиков
самописца и ртутный термометр для контроля показаний этих датчиков.
Основными
элементами системы управления тепловым режимом пропарочных камер по схеме
Уралметаллургавтоматики является: программный регулятор ЭРП-61, малоинерционный
термодатчик ТДР-61 и паровой регулирующий клапан ПРК-61.
Как
известно, технологический процесс тепловлажностной обработки состоит из цикла
подъема температуры, изотермической выдержки и охлаждения.
Обязательным
элементом цикла является вентиляция ямных камер перед снятием крышки для
дальнейших операций по выгрузке изделий, прошедших пропарку. Управление
процессом вентиляции в проектных разработках последних лет включается в общую
схему автоматизации пропарочной камеры.

На рис. 1, а, б приведены функциональная и
структурная схемы автоматизации камеры периодического действия для тепловой
обработки железобетонных изделий. По новому ГОСТу используем приборы:
Поступивший
к блоку (поз. 12) импульс от программного задатчика (поз. 11)
сравнивается с уровнем сигнала, поступающим в этот блок от ручного задатчика.
Величина сигнала устанавливается однажды — в процессе наладки системы, и во
время работы системы не изменяется. Регулирование будет происходить в
зависимости от соотношения сигналов «номинала» и «параметра» — сигнала,
отрабатываемого датчиком температуры, установленным в камере. При достижении t = tоп сигнал программного задатчика скачком уменьшается до
значения меньшего сигнала, задаваемого ручным задатчиком. Так же когда значение
«номинала» становится ниже «параметра» (в камере температура паровоздушной
среды не изменяется), то посылается импульс на закрытие исполнительного
механизма для прекращения подачи пара в него (если он был открыт). В свою
очередь, сигнал от ручного задатчика, который вслед за этим моментом начинает
превышать уровень «номинала», еще более страхует систему, исключая случайность
включения исполнительного механизма подачи пара в камеру. С этого момента
наступает режим проветривания. Отработанный в блоке сравнения: сигнал,
направляется к блоку включения затворов камеры. Последним посылается
пневматический импульс на открытие исполнительного механизма. Последний
открывается, и к эжекторам затворов (не показанным на схеме) поступает пар. С
подачей пара к эжекторам происходит открытие приточного и вентиляционного
затворов камеры.
В ряде
отраслей пневмоавтоматика является основным средством автоматизации. Это
связано с высокой степенью надежности пневматической аппаратуры, с простотой ее
обслуживания, сравнительной дешевизной. Важное значение имеет также и то, что
пневматическая аппаратура пожаро- и взрывобезопасна. Свойственное пневматике
низкое быстродействие ограничивает область ее целесообразного применения.
Однако при управлении очень инерционными объектами это несущественно.
Пневмоавтоматика
камер пропаривания строится на базе системы элементов УСЭППА, состоящей из
набора унифицированных элементов, каждый из которых выполняет простейшую
операцию.
Ранее
говорилось, что в технологическом цикле пропаривания значительное место
занимает процесс вентиляции камер. По окончании цикла пропарки необходимо
форсировать разгрузку камеры, задержка разгрузки снижает ее пропускную
способность, а следовательно — предприятия в целом. Наиболее удачные схемы
автоматизации процесса вентиляции были получены на базе применения
пневмоавтоматики.
5. Расчётная часть курсового проекта
5.1 Расчет
сужающего устройства
Расчет производится в
соответствии с “Правилами измерения расхода газов и жидкостей стандартными
сужающими устройствами РД–50–231–80”.
|
Измеряемая среда
|
Воздух
|
|
Максимальный расход Qном.max,
м3/ч
|
2500
|
|
кг/ч
|
|
|
Средний расход Qном.ср.,
м3/ч
|
2000
|
|
кг/ч
|
|
|
Избыточное давление Ри,
кПа
|
245,1
|
|
кгс/см2
|
2,5
|
|
Температура t, °С
|
55
|
|
Барометрическое давление Рб,
кПа
|
78,45
|
|
кг/см2
|
0,80
|
|
Допустимая потеря давления на
снижающем устройстве при максимальном расходе Р'пд, кПа
|
24,51
|
|
кгс/см2
|
0,25
|
|
Диаметр трубопровода Д, мм
|
75
|
|
Материал трубопровода
|
Ст. 20
|
5.1.1 При
выборе типа и разновидности дифманометра предельный номинальный перепад
давления дифманометра следует выбирать из стандартного ряда чисел, указанных в
ГОСТе 18140-84
5.1.2
Верхний предел измерений дифманометра (ГОСТ 18140-84):
5.1.3 Для
определения предельного номинального перепада давления
вначале рассчитывают допустимую
потерю давления PПД при расходе Qпр:
- допустимая потеря давления на
сужающем устройстве при максимальном расходе;
Qпр - верхний предел измерения
дифманометра;
Qmax - наибольший измеряемый расход
5.1.4
Далее определяем дополнительную величину С:
- верхний предел измерения
дифманометра для объемного расхода;
ρ - плотность среды
в рабочих условиях;
5.1.5 По
вычисленному значению С и заданной величине
находим
искомое значение
и приближенное значение
относительной площади сужающего устройства m:
По номограмме для
определения предельного номинального перепада давления дифманометра
и модуля диафрагмы
определяем:
5.1.6
Определим число Рейнольдса и проверим условие: Re > Re min
По таблице «Правил
измерения расхода газов и жидкостей стандартными сужающими устройствами
РД-50-231-80» определим граничное значение числа Рейнольдса:
Вычислим расчетное
значение числа Рейнольдса:
μ – динамическая
вязкость воздух
Условие Re > Remin выполняется, значит, дальнейший
расчет производить можно.
5.1.7
Вычисляем вспомогательную величину mα
- наибольший перепад давления в
сужающем устройстве, соответствующий Qmax.
Для значения
находим
посредством
деления величины
на соответствующее
значение коэффициента расхода
.
5.1.8
Определим потери давления на диафрагме:
5.1.9
Поправочный коэффициент на тепловое расширение материала сужающего устройства:
5.1.10
Подсчитываем искомое значение диаметра отверстия сужающего устройства
5.1.11
Рассчитаем допуск при
:
5.1.12.
Диаметр отверстия сужающего устройства:
5.2 Методика расчёта измерительной схемы электронного
автоматического потенциометра
В соответствии с
изложенной методикой и исходными данными для своего варианта №21 (табл. 2)
произведу расчёт измерительной схемы потенциометра.
Таблица 2 Пределы
измерения и градуировки автоматических потенциометров.
|
Тип термопары по ГОСТ 3044-44
|
Обозначение градуировки (при
температуре свободных концов термопары )
|
Номер варианта
|
Предел измерения,
|
|
от
|
до
|
|
ТХA
|
ХA
|
21
|
400
|
900
|
Расчёт измерительной
схемы потенциометра начинается с выбора значений токов в ветвях схемы, который
производится с учетом следующих требований:
1) значения токов должны
обеспечивать требуемое падения напряжения на измерительном реохорде и
сопротивлениях измерительной схемы;
2) ток, потребляемый
измерительной схемой, должен быть незначительным;
3) сопротивления, при
прохождении по ним тока, не должны заметно нагреваться и менять вследствие
этого своё значение.
С учётом этих требований
ток в измерительной цепи автоматически потенциометров, например КСП – 4 (рис.
2), являющейся типовой для измерения ЭДС или напряжений, выбран 5мА: в верхней
измерительной ветви
и в нижней
вспомогательной ветви
.
5.2.1 По
заданным пределам изменения температуры контролируемой среды
и
выбирается
наиболее подходящий тип термопреобразователя (термопары) (табл. 2) и по её
градировочным таблицам определяются значения 
и
,
соответствующие верхнему и нижнему значениям предела измерения.
=4000 C,
=9000
C.
=14,5 мВ,
=8,42
мВ.
Предел измерения
определяется как разность
Рис. 2 Измерительная
схема автоматического потенциометра КСП 4.
5.2.2
Величина сопротивления резистора
определяется из
условия равенства падения напряжения на нём от тока
и
нормального элемента
Следовательно,
Величины сопротивления
резисторов
, ограничивающего ток в
цепи источника питания стабилизированного (ИПС) и переменного
, предназначена для установки
величины рабочего тока в измерительной схеме, соответственно равны 750 Ом и 56
Ом.
=750 Ом,
=56
Ом.
5.2.3
Величина сопротивления резистора
,
определяющего верхний предел измерения или конец шкалы,
определяется из условия равенства падения напряжения на приведенном
сопротивлении
цепи реохорда (резисторы
,
,
) и предела измерения
,
Эквивалентное
(приведенное) сопротивление реохорда
в
автоматических приборах является заданной величиной (90, 100 или 300 Ом) и
определяется уравнением
90 Ом
Тогда приведенное
сопротивление RПР можно выразить в следующем виде:
,
где:
- коэффициент, учитывающий
нерабочие участки реохорда;
- сопротивления
нерабочих участков в линейном реохорде.
K=1.064 Получим:
С учётом сопротивления
подводящих проводов схемы
и
имеем:
.
5.2.4 Сопротивление
RН, определяющее нижний предел
измерения или начало шкалы находится, исходя из следующих соображений. При
температуре контролируемой среды tmin движок реохорда находится в точке а, т.е. в начале
шкалы прибора, и
термопары
компенсируется падением напряжения
в точках а – с измерительной схемы
Тогда
.
Для высокоточных
потенциометров, например класса точности 0,25, учитываются сопротивления
соединительных проводов
,
,
и
между катушками сопротивлений
электрической измерительной схемы, а также
термопары
при средней температуре
свободных концов термопары. Тогда
вычисляется по формуле:
5.2.5 Сопротивление
служит для ограничения тока в измерительной схеме.
Поэтому падения напряжения
в точках в – с
должно обеспечить компенсацию
термопары
, соответствующую верхнему пределу
измерения прибора
. Исходя из этого условия,
для прибора с линейным реохордом
определяется по уравнению
5.2.6 Для автоматической
компенсации влияния изменения температуры свободных концов термопары в схему введено сопротивление RM, выполненное из медной проволоки и
располагающееся вблизи свободных концов термопары. С изменением температуры
свободных концов термопары появляется изменение падения напряжения на RM при протекании тока I2, компенсирующее ту часть ЭДС
термопары, которая возникает за счёт изменения температуры свободных концов
термопары. Сопротивление RM определяется из выражения:
где:
- средняя чувствительность
термоэлектрического преобразователя в интервале изменения температуры свободных
концов его
(определяется по
градировочным таблицам), мВ/град;
- сопротивления
при температуре
- температурный коэффициент
сопротивления меди, равный
.
C=0.006
Сопротивление медной
катушки для средней температуры окружающей среды
находится
по формуле:
5.3 Методика расчёта измерительной схемы электронного
автоматического моста
В соответствии с изложенной
методикой и исходными данными для своего варианта №21 (табл. 3), произведем
расчёт измерительной схемы автоматического моста.
Таблица 3
Пределы измерений и
градуировки автоматических уравновешенных мостов.
|
Тип термометра сопротивления.
|
Сопротивление
термометра при .
|
Обозначения градуировки
|
Номер варианта
|
Пределы измерения, 0С
|
|
от
|
до
|
|
ТСM
|
53
|
Гр.23
|
21
|
0
|
50
|
Рассмотрим расчёт
уравновешенной измерительной трехпроводной схемы автоматического моста КСМ 4
(рис.6.2).
5.3.1 По заданным
пределам изменения температуры контролируемой среды
и
выбирается наиболее подходящий тип
термометра сопротивления
(табл. 3) и по его градировочным таблицам определяется величины сопротивлений
термометра
и
, соответствующие верхнему и нижнему
пределам измерения автоматического моста:
,
,
где: t0 – начальная температура, обычно
принимается
,
- температурный коэффициент
сопротивления материала термометра.
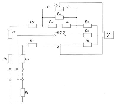
Рис. 3 Измерительная
трехпроводная схема автоматического уравновешенного моста КСМ 4.
5.3.2 Сопротивление
соединительных проводов и подгоночных катушек Rл составляют сопротивление внешней
цепи Rвн, равное обычно 5 Ом, т.е.
сопротивление одной линии – 2,5 Ом.
5.3.3 Сопротивление Rд определяет начало шкалы прибора, а rд – подгоночное сопротивление в виде спирали, являющейся частью
сопротивления Rд. Последнее выбирается равным
Ом.
5.3.4 Величина
сопротивления RЗ должна
быть больше Rt и при изменении его от
до
ток
, протекающий через реохорд в
указанном диапазоне температуры, должен меняться не более, чем на
, иначе уменьшается чувствительность
моста
,
Примем
=0,9
Тогда
, Ом.
По условию R2=R3
5.3.5 Сопротивления R1 находится из уравнения равновесия
мостовой схемы
относительно начальной отметки шкалы, когда движок реохорда находится в точке
в:
R1= (-(3865-1105,5+2.5-5) 
= 2508 Ом
5.3.6 Приведённое
сопротивление Rпр
цепи реохорда (Rр, Rш, Rп) определяется по формуле, полученной путём совместного
решения уравнений равновесия мостовой измерительной схемы для двух крайних
отметок шкалы:
где: λ –
коэффициент равный 1,064.
5.3.7 Величина
сопротивления Rп, определяющего верхний предел измерения прибора, вычисляется
по формуле:
где: Rэкв – эквивалентное сопротивления
реохорда, равное 90 Ом.
5.3.8 Балластное
сопротивления Rб в
цепи питания служит для ограничения тока в плечах измерительной схемы и рассчитывается из
условия, чтобы максимальный ток Imax, проходящий через термометр, не превышал 7 мА.
, Ом.
где: U=6,3В – напряжение питания мостовой схемы;
Rto – сопротивление термометра при
или минимуме.
Заключение
В ходе курсовой работы было произведено построение функциональной
схемы автоматизированного контроля процесса тепловой обработки железобетонного
изделия в камерах периодического давления. Кроме того, были произведены
расчеты измерительных схем автоматических электронных потенциометра, моста и
сужающего устройства расходомера по переменному перепаду давления.
Библиографический
список
1.
Абдулин С.Ф. Технические измерения и приборы: методические указания по
выполнению курсовой работы для студентов специальности 210200 – Омск: Изд-во
СибАДИ, 2005 – 52 с.
2. Зеличенок Г.Г. Автоматизация
технологических процессов и учета на предприятиях строительной индустрии: учеб.
пособие для вузов. – М.: «Высш. школа», 1975. – 352 с.
3. ГОСТ 21.404–85. Автоматизация
технологических процессов. Обозначения условные приборов и средств
автоматизации в схемах. – М.: Издательство стандартов, 1985. – 16 с.
4.
Виглеб Г. Датчики: устройство и применение. – М.: «Высшая школа» 1989. – 210 с.