Объемный гидропривод машины
1. Описание работы и свойств гидравлической схемы
В гидравлическую схему включены гидромашины (насосы, гидродвигатели),
приборы, гидроаппараты, гидролинии, которые обеспечивают работу двухпо-точной
объемной гидропередачи. Количество рабочих органов – 2, машины циклического
действия. По заданию рабочие органы работают в цикле по 5 с. не
одновременно, рабочий цикл составляет 15 с. Приводы рабочих органов – реверсивные,
нерегулируемые.
1.1 Работа гидравлической системы
При электрогидравлическом управлении используют сочетание малого
управляющего распределителя (пилота) с электрическим управлением и большого
(силового) управляемого распределителя с гидравлическим управлением.
При подаче напряжения на обмотку одного из электромагнитов пилота
его золотник перемещается, пилот становится в рабочую позицию и соединяет
напорную линию с одним из торцов силового распределителя. Это приводит к
постановке последнего в рабочую позицию. Жидкость большим потоком пойдет (для
Р02):
Б-Н3,4-КП5-Р4-КП6-КП7-Ц – КП6-КП7-Р4-Р6-АТ-Ф1…ФЗ-Б.
Для выключения РО4 нужно убрать электросигнал с торца управляемого
электрораспределителя, который переключится в нейтральное положение. Давление
на торце силового распределителя исчезнет, и он встанет в нейтральное
положение.
При гидравлическом управление распределителем (Р1).Элементы Н1,
КП1, Р1 и М образуют силовую гидропередачу, а элементы Н2, Ф2, КП4, АК, Р2 и РЗ
– систему сервоуправления. Блоки: А1 – система питания сервоуправления; А2 – колонка
сервоуправления; АЗ – вторичная защита гидромотора М.
От насоса Н2 жидкость через напорный фильтр тонкой очистки Ф2 подается
в колонку А2, содержащую управляющие распределители следящего действия Р2 и РЗ
с мускульным управлением. При переводе, например, распределителя Р2 в рабочую
позицию управляющий поток жидкости идет по пути:
Б – Н2 – Ф2 – Р2 – Р1 (под левый торец золотника). Давлением этой
жидкости золотник распределителя Р1 переместится вправо, распределитель Р1
будет переведен в рабочую позицию, при которой силовой поток жидкости идет по
пути:
Б – Н1 – Р1 – М – Р1 – Р6 – АТ – Ф1 – Б.
Так происходит включение гидромотора М. Если убрать усилие с
рукоятки распределителя Р2, то он под действием пружины встанет в другую
крайнюю позицию и жидкость из-под торца распределителя Р1 пойдет через Р2 на
слив.
Пружина распределителя Р1 поставит его золотник в среднее положение
и распределитель – в нейтральную запирающую позицию. Это приведет к остановке гидромотора
М.
1.2
Основные свойства схемы
В схему
включены два вида защиты от перегрузок:
А) Первичная
защита выполнена в виде предохранительных клапанов КП1 КП5 и стоит между
напорной и сливной линиями сразу за насосом (для каждой напорной линии).
Первичная
защита защищает от активных перегрузок и инерционных при разгоне.
Б) Вторичная
защита А3 и А5 выполнена в виде сочетания предохранительных и обратных
клапанов. Она установлена между рабочими линиями после распределителя.
Вторичная
защита предохраняет от реактивных, инерционных при торможении и температурных
перегрузок.
Очистка жидкости производится четырьмя фильтрами. При засорении
фильтров повышается давление в сливной линии, а когда давление достигнет
давления настройки предохранительных клапанов КП, последние откроются и
жидкость пойдет, минуя фильтры, в бак.
Для охлаждения жидкости в схеме установлен теплообменный аппарат
АТ. В начале работы и при низкой температуре для прогрева рабочей жидкости АТ
выключается с помощью термостата ТС, тогда жидкость пойдет в бак, минуя АТ.
Температура жидкости контролируется термометром, датчик которого
стоит в баке.
2.
Предварительный расчет гидропередачи. Выбор комплектующих
Цели: выбрать
дизель, насосы, рабочие жидкости для зимы и для лета, гидродвигатели, трубопроводы,
распределители, предохранительные клапаны.
Условия:
комплектующие выбраны на основе предварительного статического расчета,
выполненного при установившихся движениях рабочих органов. Нагрузки и скорости
определены заданием. Температура жидкости Т
=50
С.
Рисунок 1 –
Расчетная схема к предварительному расчету
2.1
Мощность на рабочих органах
Мощность,
подводимая к рабочему органу вращательного действия Р
,
Вт:
(1)
где
– момент сил,
препятствующий вращению, Н
м;
– угловая скорость РО1, рад/с.
Р
= 25,6
10
1,56
= 33940 Вт=33,9 кВт
Мощность,
подводимая к рабочему органу поступательного действия Р
,
Вт
, (2)
где
– сила на рабочем органе, Н;
– линейная скорость движения РО2, м/с.
Вт = 99.76 кВт.
2.2 Выбор
первичного двигателя и номинальных давлений
Дизель выбран по необходимой мощности на его валу, которая
определена через максимальную мощность рабочих органов. Так как рабочие органы
работают не одновременно, то дизель выбран по большей мощности, в нашем случае,
по мощности РО2 поступательного действия.
Необходимая
мощность дизеля, Вт
Р
=
Вт
= 164,07кВт
По учебнику
[2] выбран дизель ЯМЗ-238М;
Завод
изготовитель: Ярославский моторный завод
Номинальная
мощность: Р
= 170 кВт;
Номинальная
частота вращения вала n
= 35 об/с.
р
= 8
=
19,3 МПа
Для привода
рабочего органа поступательно действия:
р
= 8
= 25,28
МПа
Номинальные
давление для унификации для обеих передач назначены 20 Мпа.
Р
=
= 45.3
кВт
По учебнику
принят аксиально-поршневой насос 310.112 [2].
Для рабочего
органа поступательного действия РО2:
Р
=
=126,3
кВт.
По учебнику
[2] выбраны 2 аксиально-поршневых насоса с наклонным диском РМНА 90/35.
Характеристики
насосов представлены в таблице 1.
Так как
номинальное давление принятого насоса больше номинального давления, принятого
для гидропередач, то мощность на его валу уменьшаем пропорционально принятому
давлению.
Р
=
=
78.94 КВт
Необходимая
частота вращения вала насоса из условия получения необходимой мощности на
привод гидромотора, об/с:
(8)
где
– КПД насоса гидромеханический (
= 0.95);
– номинальное давление гидропередачи,
Па (
= 20
10
Па);
– рабочий обьем, м
(
=
123
10
м
),
n
=
об/с
Необходимая
частота вращения вала насоса на приводе гидроцилиндра по формуле (8):
Передаточные
отношения привода насоса
(10)
U
=
= 1.82
U
=
= 1,68
Дизель с
насосом соединен через передачу.
Производительность
насоса для привода и гидромотора:
где
– объемный КПД насоса (
= 0.95);
Q
=
м
/с.
Производительность
насоса для привода гидроцилиндра:
Q
=
= 3.6
10
м
/с.
Таблица 1 –
Технические характеристики насосов
|
Параметры
|
310.112
|
РМНА 90/35
|
|
Рабочий объем, см
|
112
|
90
|
|
Номинальное давление, МПа
|
20
|
32
|
|
Максимальное давление, МПа
|
35
|
40
|
|
Номинальная частота
вращения вала, об/с
|
25
|
25
|
|
Максимальная частота
вращения вала об/с
|
50
|
40
|
|
Номинальная мощность
насоса на валу, кВт
|
56
|
74.5
|
|
КПД полный
|
0.91
|
0.90
|
|
КПД объемный
|
0.95
|
0.95
|
|
КПД гидромеханический
|
0.96
|
0.95
|
Таблица 2 –
частота и производительность насосов
|
Параметры
|
РО1
|
РО2
|
|
Частота вращения n , об/с
|
19.2
|
20.83
|
|
Производительность м /с
|
2.04 10
|
3.6 10
|
2.4 Выбор
гидромотора для привода РО1
Необходимая
мощность на валу мотора, Вт:
Р
=
(12)
где
– КПД передачи (
0.97);
Р
=
=35.7
кВт.
По
справочнику [1] выбран гидромотор радиально-поршневой МР-1800
Так как
выбранный гидромотор имеет номинальное давление большее, чем в гидропередаче,
поэтому его паспортную номинальную мощность уменьшаем пропорционально принятому
давлению.
Р
=
=35.64.
Рабочий
объем: q
=1809 см
;
Давление
максимальное: р
= 25 МПа;
Давление
номинальное: р
= 21 МПа;
Частота
вращения:
минимальная: n
= 1 об/с;
номинальная: n
= 80 об/с;
максимальная:
n
= 220 об/с;
Номинальный
крутящий момент: Т
= 5436 Н
м;
Номинальная
мощность мотора: Р
=35.64 (уменьшенная);
КПД при
номинальных параметрах
гидромеханический:
= 0.90;
Частота
вращения вала выборного гидромотора, об/с:
n
=
(13)
где
– расход жидкости, протекающий через
мотор (
= 2.04
10
м
/с)
n
=
=1.07 об/с.
2.5 Выбор
гидроцилиндра для привода РО2
Гидроцилиндр
и передача должны обеспечивать следующие условия: сила на рабочем органе – F
= 172 кН, скорость
рабочего органа –
=0.58 м/с, и ход рабочего
органа – Х
=
t
= 0.56
5 = 2.9 м.
В нашем
случае скорость на рабочем органе превышает
=
0.5 м/с, поэтому гидроцилиндр соединяется с рабочим органом через
передачу. Первоначально принимаем скорость штока
= 0.8 м/с:
U
=
(14)
U
=
Необходимый
ход штока, м:
X
=X
U
,
X
= 2.9
0.55 = 1.611 м.
Длина
цилиндра, м:
D =
D =
= 0.146 м.
По учебнику
[2] принят гидроцилиндр для строительного и дорожного машиностроения:
D = 160 мм, d = 100 мм, Х
= 2000 мм.
Q
= 2.04
10
+
3.6
10
=
5.64
10
м
/с;
– скорость во всасывающей линии, (
= 1 м/с);
d
=
= 0.085 м.
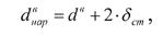
Толщина
стенки принята в соответствии с ГОСТ 8734–75 из ряда стандартных значений
равной 2.5 мм. Тогда наружный диаметр d
будет:
d
= 85 + 2
2.5 = 90 мм.
По
справочнику [1] принят трубопровод:
d
= 90 мм; d
= 85 мм;
= 2.5 мм.
Подбор
трубопроводов для напорных линий
Необходимый
внутренний диамерт трубопровода первой линии по формуле (17) при Q
= 2.04
10
м
/с,
– скорость
в напорной линии, (
= 4 м/с);
d
=
= 0.025 м.
=
0.004 м.
Толщина
стенки принята по ГОСТ 8734–75:
= 4 мм.
Тогда
наружный диаметр по формуле (18) будет:
= d
+ 2
= 25 + 2
2.5 = 30 мм.
По
справочнику [3] принят трубопровод:
= 30 мм, d
= 25 мм,
= 4 мм.
Необходимый
внутренний диаметр трубопровода второй линии: м:
d
=
= 34 мм.
Минимальная
толщина стенки, м:
=
0.006 м.
Толщина
стенки принята по ГОСТ 8734–75:
= 6 мм.
Тогда d
= 34 + 2
6 =42 мм.
По
справочнику [3] принят трубопровод:
d
= 46 мм; d
= 34 мм;
= 6 мм.
2.7.3 Подбор
трубопроводов для сливной линии
Необходимый
внутренний диаметр сливной линии при скорости течения жидкости по ней
= 2 м/с, м:
d
=
= 60 мм.
Толщина
стенки по рекомендации [3] принята:
= 2.5
d
= 60 + 2
2.5 = 65 мм.
По учебнику
[2] принят трубопровод:
d
= 65 мм; d
= 60 мм;
= 2.5 мм.
2.8 Выбор
фильтров
Фильтровальная
установка – общая для всех приводов машины. Ее пропускная производительность
должна быть на 20% больше суммарной производительности всех насосов.
Фильтры
выбраны по необходимой для насосов тонкости фильтрации, расходу жидкости и
максимальному давлению.
1.
Необходимая
тонкость фильтрации 10 мкм;
2.
Расход
жидкости Q
= 336 л/мин.
Q
= 1.2
Q
,
Q
= 1.2
336 = 403 л/мин.
По учебнику
[2] принято 3 параллельно соединенных фильтра 1.1.40.10.
Тонкость
фильтрации 10 мкм.
Номинальный
расход: 160 л/мин (для одного фильтра).
Выбор
распределителей
Распределители
выбраны по принципиальной схеме, расходу и давлению жидкости, а также по типу
управления.
Распределитель
Р1:
1.
Схема
– с открытым центром;
2.
Давление
– р
= 20 МПа;
3.
Расход
– Q
= 2.04
10
м
/с = 122 л/мин.
4.
Вид
управления – гидравлическое.
Принят
распределитель [3]: В.И.16.64
1.
Схема
– закрытый центр;
2.
Давление
номинальное – р
= 20 МПа;
3.
Расход
Q
= 3.6
10
м
/с = 216 л/мин.
4.
Вид
управления – электрогидравлическое.
Принят
распределитель [3]: В.ЕХ.16.44
Параметры
принятых распределителей сведены в таблицу 4.
Таблица 4 –
Параметры распределителей
|
Модель распределителя
|
В.И.16.64
|
В.ЕХ.16.44
|
|
Диаметр условного
прохода, мм
|
16
|
16
|
|
Расход рабочей
жидкости, л/мин:
номинальный
максимальный
|
125
240
|
125
240
|
|
Номинальное давление в
напорной линии,
МПа
|
32
|
32
|
|
Вид схемы
|
с открытым центром
|
закрытым центром
|
|
Вид управления
|
гидравлическое
|
электрогидравлическое
|
Выбор
предохранительных клапанов
Предохранительные
клапаны выбраны по максимальному давлению и расходу жидкости защищаемой линии.
Клапаны первичной и вторичной защиты приняты непрямого действия.
Подбор
клапана первичной защиты непрямого действия:
1. Q
= 122 л/мин; р
= 30 МПа.
Принят клапан
[3]: МКПВ 10/2Т2П3110ХЛ4.
2. Q
= 216 л/мин; р
= 30 МПа.
Принят клапан
[3]: МКПВ 20/2Т2П3110ХЛ4.
Подбор
клапанов вторичной защиты непрямого действия:
Выбраны по
давлению вторичной настройки: р
= 33Мпа.
Приняты
клапаны [3] МКПВ 20/2Т3П3110ХЛ4.
Параметры
предохранительных клапанов сведены в таблицу 5.
Таблица 5 –
Параметры предохранительных клапанов
|
Модель клапана
|
МКПВ 10/2Т2П3110ХЛ4
|
МКПВ 20/2Т2П3110ХЛ4
|
|
Диаметр условного
прохода, мм
|
10
|
20
|
|
Расход жидкости, л/мин
номинальный
максимальный
|
80
160
|
160
400
|
|
Номинальное давление настройки,
МПа
|
32
|
32
|
|
Вид действия клапана
|
Непрямое
|
прямое
|
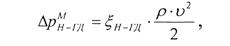
=
= 4.2 м/с.
Re =
= 2856
Режим
турбулентный (Re > 2330) Коэффициент линейного сопротивления определен:

=
=
=
0.043
Зная,
найдены линейные потери по формуле
(23):

=
0.135
10
Па.
где
– коэффициент местного сопротивления:
=
По расчетной
схеме (рисунок 2) определен суммарный коэффициент

=12
0.1+17+3
0.2+5
0.6=24.8
Местные
потери определяются по формуле (27):
=
=0.195
10
Па
Потери
давления на участке Н-ГД определены по формуле (23)
=0.135
10
+0.195
10
=0.330
10
Па
Потери
давления от гидродвигателя до сливной линии:
=
+
(30)
Линейные
потери давления при l=5 м:
=
=0.068
10
Па
Коэффициент
местного сопротивления:
=8
0.1+2
0.2+17+5
0.6=21.2
Местные
потери:
=
=0.166
10
Па
Потери
давления на участке ГД-СЛ определены по формуле (30):
=0.068
10
+0.166
10
=0.234
10
Па
Потери
давления от сливной линии до бака:
=
+
Скорость
жидкости в сливной линии из формулы (25) при d
=0.63 м,
Q
=5.64
10
м
/с.
=
=1.7 м/с.
Число
Рейнольдса по формуле (26)
Re=
=3683
Коэффициент
гидравлического трения по формуле (27):

=0.041
Линейные
потери давления при l = 5 м:
=0.041
=0.00405
10
Па
Коэффициент
местного сопротивления на участке СЛ-Б:
=19
0.1+17+7
0.2+2
50+1+5
0.6=124.3
Местные
потери давления
=0.162
10
Па
Суммарные
потери давления:
0.162
10
+0.234
10
+0.330
10
=0.726 МПа.
Результаты по
расчету потерь давления представлены в таблице 6.
Таблица 6 –
Результаты расчетов потерь давления
|
Уча-
сток
|
Номер
Эле-
менов
|
L, м
|
D, м
|
м /с
|
м/с
|
Re
|
|
|
|
МПа
|
МПа
|
|
Н-ГД
|
1–15
|
10
|
0.025
|
2.04
|
4.2
|
2856
|
0.043
|
0.135
|
24.8
|
0.177
|
|
ГД-СЛ
|
16–25
|
5
|
0.025
|
2.04
|
4.2
|
2856
|
0.043
|
0.068
|
21.2
|
0.151
|
0.234
|
|
СЛ-Б
|
26–52
|
5
|
0.065
|
5.64
|
1.7
|
3683
|
0.041
|
0.004
|
124.3
|
0.156
|
0.162
|
|
Сумма потерь давления 0.726 МПа
|
3.2
Вращающие моменты и силы на выходных звеньях гидродвигателей
Вращающий
момент на валу гидромоторв, Н
м:
, (32)
где
– гидромеханический КПД мотора, (
=0.95);
q
– рабочий объем мотора,
см
, (q
=1809 см
);
Н
м.
Сила на штоке
гидроцилиндра, Н:
, (33)
где
– гидромеханический КПД гидроцилиндра,
(
=0.95);
Мощность на выходных звеньях:
, (34)
кВт.
(35)
кВт.
Проверено
обеспечение требуемой мощности на рабочих органах. Должны соблюдаться условия:
(36)
(37)
Условия (36)
и (37) выполнены, разница значений не превышает 5%.
3.3
Передаточное отношения приводов рабочих органов
Передаточные
отношения определены из условия получения требуемых сил и моментов на рабочих
органах:
Тогда
,
Сила на
втором рабочем органе:
где
-
передаточное
отношение рабочего органа РО2:
=
171.6
кН.
,
=0.
Относительное
отклонение:
Таблица 7 –
Заданные и полученные характеристики приводов
|
Рабочий
орган
|
T F
|
|
n ,
|
|
|
Получено
|
Задано
|
задано
|
|
РО1
|
5338
|
5274
|
1.2
|
1.07
|
1.14
|
3%
|
|
РО2
|
171.6
|
172
|
0.3
|
0.56
|
0.56
|
0
|
Список
литературы
1.
Васильченко В.А. Гидравлическое
оборудование мобильных машин: Справочник. М., 1983.301 с.
2.
Мокин Н.В. Гидравлические
и пневматические приводы: Учебник. Новосибирск, 2004. – 354 с.
3.
Мокин Н.В. Объемный
гидропривод: Методические указания по выполнению
курсовой работы. Новосибирск, СГУПС, 1999. 39 с.
4.
Свешников В.К. Станочные
гидроприводы: Справочник. М., 1995. 448 с.
5.
СТП
СГУПС 01.01.2000. Курсовой и дипломный проекты. Требования к оформлению.
Новосибирск, 2000. 41 с.