Развитие творческих способностей учащихся на основе использования инновационных технологий в образовательном процессе начального профессионального образования

  • Вид работы:
    Практическое задание
  • Предмет:
    Педагогика
  • Язык:
    Русский
    ,
    Формат файла:
    MS Word
    75,15 kb
  • Опубликовано:
    2010-07-28
Вы можете узнать стоимость помощи в написании студенческой работы.
Помощь в написании работы, которую точно примут!

Развитие творческих способностей учащихся на основе использования инновационных технологий в образовательном процессе начального профессионального образования














Практическая работа по педагогике профессионального образования

Тема (название то же): "Развитие творческих способностей учащихся на основе использования инновационных технологий в образовательном процессе начального профессионального образования (НПО)"

План:

 

1. Цель, задачи и организация исследования

2. Разработка и реализация программы, направленной на развитие творческих способностей учащихся в учебном процессе УНПО

3. Результаты исследования

4. Выводы и рекомендации по применению проектного метода в обучении экономике в целях развития творческих способностей учащихся

1. Цель, задачи и организация исследования

 

Цель: выявить возможности использования инновационных технологий для развития творческих способностей учащихся в процессе обучения в учреждении начального профессионального образования.

Гипотеза: использование инновационных технологий в процессе обучения будет способствовать развитию творческих способностей учащихся УНПО.

Задачи:

1.Разработать программу мероприятий, направленную на развитие творческих способностей учащихся в учебном процессе УНПО.

2. Проанализировать результаты внедрения Программы (опрос студентов (преподавателей) по оценке эффективности Программы) – или анализ показателей успеваемости учащихся.

Методы исследования: тестирование, наблюдение, опрос, эксперимент и др.

База исследования: ГОУ НПО ПУ № 49 - (ПУ – Профучилище) -готовит портных, строителей, отделочников, монтажников, поваров, рабочих.

Объектом нашего исследования служит процесс развития творческих способностей учащихся на уроках экономики в условиях начального профессионального обучения.

Предметом исследования выступает значение инновационных технологий в повышении успеваемости учащихся УСПО.

К главным задачам образования и воспитания личности относят воспитание базовой культуры, всемерное развитие личностных потенциалов обучающихся. Одной из составляющих личностного потенциала является творческий потенциал. При его развитии повышается познавательный интерес к предмету, уровень интеллектуального развития, степень самостоятельного мышления, заинтересованность в выполнении заданий поискового характера, формируются такие качества, как любознательность, вера в себя, убеждённость.

Творческий потенциал учащихся развивается в процессе деятельности при решении различных задач. Возникшая проблемная ситуация требует определенного решения, которая в творчестве может быть выражена объективно или субъективно для каждого человека.

Существует множество различных определений понятия творчества. Большой энциклопедический словарь дает такое обобщающее определение: «Творчество – это деятельность, порождающая нечто качественно новое и отличающаяся неповторимостью, оригинальностью и общественно-исторической уникальностью. Творчество специфично для человека, т.к. всегда предполагает творца – субъекта творческой деятельности». По мнению американского ученого П. Хилла, «творчество – это успешный полет мысли за пределы неизвестного, оно дополняет знания, способствуя созданию вещей, которые не были известны ранее». Польский исследователь А. Матейко считает, что сущность творческого процесса заключается в реорганизации имеющегося опыта и формировании на его основе новых комбинаций.

Можно сказать, что творчество – это решение творческих задач. При этом творческую задачу мы определяем так. Это ситуация, возникающая в любом виде деятельности или в повседневной жизни, которая осознается человеком как проблема, требующая для своего решения поиска новых методов и приемов, создания какого-то нового принципа действия, технологии.

Для того чтобы у учеников развивался творческий потенциал, необходимо формировать у них уверенность в своих силах, веру в способность решать творческие задачи. Тот, кто не верит в себя, уже обречен на неуспех. Разумеется, эта вера должна быть обоснованной.

Необходимо также всемерно стимулировать стремление учащихся к самостоятельному выбору целей, задач и средств их решения. Человек, не привыкший действовать самостоятельно, брать на себя ответственность за принятое решение, теряет способность к творческой деятельности.

Следует в довольно широких пределах поощрять склонность к рискованному решению задач. Естественно, любой риск таит в себе массу опасностей, в том числе и для физического здоровья. Но здесь встает вопрос, который Я. Корчак (1979) сформулировал как проблему выбора между физически здоровой, но неразвитой личностью (недоличностью) и созданием условий для личностного развития, но с риском ущерба для здоровья, а иногда и жизни человека. Исследования показывают, что склонность к решению рискованных задач – одна из фундаментальных черт творческой личности (Петровский В.А. – 1992).

Развивать воображение и не подавлять склонность к фантазированию, даже если оно иногда граничит с выдаванием выдумки за истину. Особенно это касается начальных этапов обучения.

Шире применять проблемные методы обучения, которые стимулируют установку на самостоятельное или с помощью педагога открытие нового знания, усиливают веру учащегося в свою способность к таким открытиям. Как показывает практика, знания, полученные с помощью проблемных методов обучения, не оказывают такого тормозящего влияния на творчество, как это свойственно знаниям, полученным с помощью более традиционных методов.

Весьма полезным для развития творческого мышления является обучение специальным эвристическим приемам решения задач различного типа (Ильясов И.И. – 1992; Соколов В.Н. – 1995, и др.). Именно эвристическое образование, направленное на открытие, актуализацию ресурсов развития личности, утверждение смысло-жизненных мотивов, формирование креативных установок деятельности и т.д., способствует рождению творческой индивидуальности субъектов воспитания и обучения, выполняет главное предназначение образования.

Важнейшим условием развития творчества учащихся является совместная с преподавателем исследовательская деятельность. Она возможна лишь тогда, когда решается задача, ответ на которую не знает ни учащийся, ни преподаватель. В этих условиях задача превращается из учебной в реальную научную или производственную проблему, что обогащает и усиливает «пыл» мотивов, побуждающих творческую деятельность. Особое значение приобретают мотивы самореализации, социальные мотивы, мотивы соревнования и др., для актуализации этих мотивов и формирования внутренней мотивации особое значение имеет личностная включенность преподавателя в совместную деятельность с учеником.

Содержание среднего (полного) общего образования на базовом уровне по экономике представляет комплекс знаний по экономике, минимально необходимый современному гражданину России. Он включает общие представления об экономике как хозяйстве и науке, об экономике семьи, фирмы и государства, в том числе в международной сфере. Основные содержательные линии:

·   человек и фирма;

·   человек и государство;

·   экономика домашнего хозяйства.

Все означенные компоненты содержания взаимосвязаны, как связаны и взаимодействуют друг с другом изучаемые объекты. Помимо знаний, в содержание курса входят навыки, умения и ключевые компетентности, необходимые для социализации в экономической сфере.

Программа ориентирована на изучение российскими школьниками базовых экономических понятий, формирование у школьников общих, и в то же время, достаточно цельных представлений о процессах, связанных с экономикой, бизнесом и предпринимательской деятельностью.

Содержание курса на базовом уровне обеспечивает преемственность по отношению к основной школе путем углубленного изучения прежде всего экономики фирмы и государства. Наряду с этим, вводятся ряд новых, более сложных вопросов, понимание которых необходимо современному человеку.

Освоение нового содержания осуществляется с опорой на межпредметные связи с другими разделами обществоведения, с курсами математики, истории, географии, литературы и др.

2. Разработка и реализация программы, направленной на развитие творческих способностей учащихся в учебном процессе УНПО


В концепции модернизации российского образования на период до 2010 года ставится задача достижения современного качества образования через актуализацию содержания и повышение качества профессиональной подготовки с ориентацией на международные стандарты качества, ориентацию учреждений среднего специального образования на потребности рынка труда. В связи с этим предполагается разрабатывать новое содержание профессионально-педагогической деятельности педагогов, поддерживать их готовность осваивать и внедрять инновации, востребованные новой образовательной ситуацией, меняются цели и задачи в подготовке специалистов - акцент переносится с усвоения знаний на формирование компетенций, происходит переориентация обучения на личностно-ориентироованный подход.

В обучении экономике используются технологии интерактивного обучения:

Проблемно-модульная технология, проектный метод, информационные технологии.

В этом учебном процессе преподаватель выступает как консультант, а студент - как активный исследователь. Оба становятся соавторами, создавая в процессе поиска, переработки, хранения информации новые продукты – будь то знание (субъективно новое) или личностное новообразование (потребности, запросы, способности). Для повышения эффективности учебного процесса включаются примеры самостоятельных работ студентов (исследовательских, поисковых, творческих) в виде буклетов, информационных бюллетеней, презентаций, разработок примерных конспектов - схем, которые содержат определения, графики, таблицы. Студентам предоставляется широкая свобода творчества и самореализации, поэтому все стараются проявить самостоятельность в поисковой деятельности: в выборе экономических примеров и статистических данных из Интернета для анализа экономических ситуаций, в формировании терминологических словарей по темам и разделам для систематизации материала. Используя программы “Кирилл и Мефодий”, PowerPoint, Publisher, Paint, графические пакеты Picture Maker и другие, студенты создают тексты, рисунки, графические структуры, выражая свой взгляд на решение экономических проблем. Практика показывает заинтересованность в такой работе. Устанавливаются связи между понятиями и явлениями, увеличивается субъективная масса знаний, студенты перестают пассивно воспринимать готовые факты, понятия, суждения, они все чаще ставятся в ситуации самостоятельного решения проблемных задач.

Подключение к Интернету и наличие электронной почты в ПУ предоставило дополнительные возможности общаться со сверстниками из других стран, оперативно узнавать необходимую экономическую информацию. Вести деловое общение с реальными представителями бизнеса: отправлять деловые письма, собственные резюме для устройства на работу, получать консультации специалистов. Это оптимизирует процесс обучения и развивает опыт профессионально-творческой деятельности, развивает устойчивый интерес к предмету.

·   Результатами работы студентов ПУ-49 стали:

·   Презентация Труд и лень.

·   Резюме для устройства на работу.

·   Презентация Документы при устройстве на работу.

·   Видеосюжет План поиска работы.

·   Расчёт заработной платы молодого специалиста.

Благодаря сложившейся практике работы со студентами был приобретен богатый материал и возможность его применения. Составлен методический комплекс “Экономика”, который активно используется в учебном процессе: электронные версии лекций, методические разработки для проведения практических занятий, материалы для проведения зачетов и экзаменов, тестовые задания для организации контроля и самоконтроля.

Курс «Технология проектного метода в обучении экономике»

Цели проектного метода:

·   Воплощение в жизнь конструктивистской концепции образования;

·   Приближение теории к практике;

·   Проверка предметной, методической и социальной компетентности студентов;

·   Предоставление возможности широкой свободы творчества и самореализации.

Структура:

·   Общая постановка задачи преподавателем;

·   Выбор темы;

·   Самостоятельная работа студентов по сбору информации;

·   Определение критериев оценки и формы конечного продукта.

·   Выбор координатора внутри группы.

·   Промежуточная консультация с преподавателем;

·   Обсуждение и формулировка гипотез;

·   Обсуждение и доказательства гипотез;

·   Построение логически обоснованных проектов;

·   Презентация итогов проекта на общем заседании.

·   Отчёт каждого участника проекта о проделанной работе.

·   Все члены группы, как правило, получают одинаковую оценку.

В основе проектного метода лежит развитие познавательных навыков учащихся, умений самостоятельно конструировать свои знания, ориентироваться в информационном пространстве, развитие критического и творческого мышления, умение увидеть, сформулировать и решить проблему. Это способ достижения дидактической цели через детальную разработку проблемы (технологию), которая должна завершиться вполне реальным, осязаемым практическим результатом, оформленным тем или иным образом. Метод проектов всегда предполагает решение какой-то проблемы. Решение проблемы предусматривает, с одной стороны, использование совокупности разнообразных методов, средств обучения, а с другой, - необходимость интегрирования знаний, умений; применять знания из различных областей науки, техники, технологии, творческих областей.

Проектный метод – важный толчок для познавательных процессов.

Возможности:

·   Осуществлять взвешенный свободный выбор темы проекта в соответствии с собственными склонностями и интересами;

·   Учить планировать и реализовывать работу;

·   Учить студентов самостоятельно анализировать экономические проблемы;

·   Развивать умение получать, собирать, систематизировать информацию;

·   Выявлять пределы своих знаний и умений;

·   Закреплять полученную предметную компетенцию.

Применение проектного метода.

Планируя работу по созданию учебного проекта на занятиях по экономике, преподаватель ставит и решает задачи:

·   обобщения учебного материала, адаптации его к уровню среднего профессионального образования;

·   установления связей с будущей профессиональной деятельностью;

·   изучения особенностей рынка труда;

·   формирование умений расчета экономических показателей;

·   привитие практических навыков, необходимых для эффективного поведения на рынке труда.

Приведём пример организации работы над проектом.

Введение

В концепции модернизации российского образования на период до 2010 года особое внимание уделяется “существенной модернизации содержания и структуры профессионального образования в соответствии с требованиями основных отраслей промышленности, сферы услуг, культуры, армии, государственной службы и др. В качестве основного фактора обновления профессионального образования выступают запросы развития экономики и социальной сферы, науки, техники, технологий, федерального и территориальных рынков труда, а также перспективные потребности их развития. Должна быть создана система постоянного мониторинга текущих и перспективных потребностей рынка труда в кадрах различной квалификации, в том числе с учетом международных тенденций. В соответствие с этими потребностями предстоит выстроить оптимальную систему профессионального образования. Результаты прогнозирования потребностей рынка труда, а также рейтинги учреждений профессионального образования должны доводиться до населения через средства массовой информации. Планируется создание эффективной системы содействия трудоустройству выпускников, включая развитие целевой контрактной подготовки, формирование у всех выпускников вузов, ССУЗов и профессиональных училищ готовности к самоопределению в вопросах подбора работы, в том числе и открытию собственного дела”.

Название: Эффективное поведение на рынке труда

Цель проекта: формирование активной позиции студентов, ответственности за своё будущее.

Направления проекта:

1. формирование экономического мышления, запросы развития экономики и социальной сферы, науки, техники, технологий, федерального и территориальных рынков труда, а также перспективные потребности их развития;

2. выработка адекватных представлений о сути экономических явлений и их взаимосвязи, практических навыков принятия ответственных решений, как в личной, так и в общественной жизни;

3. социально-личностное развитие студентов, формирование ценностных установок, нравственно-экономических качеств, мотивов, которые, так или иначе, определяют решения многих проблем при трудоустройстве, а также развитие потребности в самопознании, адекватной оценки своей готовности к различным видам социально-экономической деятельности;

4. воспитание субъекта хозяйственных отношений, потребителя, собственника, хозяина, ориентирующегося в сути происходящих макро-; микроэкономических событий, умеющего принимать грамотные и обоснованный решения;

5. гражданское становление студентов: как гражданин демократической страны человек должен видеть причинно-следственную зависимость экономических процессов, сознательно вырабатывать и отстаивать своё мнение, влиять на решение общественных вопросов.

По завершении работы студенты будут уметь:

1. Осуществлять поиск информации о вакансиях на рынке труда.

2. Составлять резюме.

3. Эффективно вести себя на собеседовании.

4. Использовать на практике правила оформления основных документов по трудовым правоотношениям.

Содержание обучения:

·   Методы поиска работы.

·   Методы анализа объявлений о вакансиях.

·   Роль вербальных и невербальных средств общения.

·   Правила подготовки е собеседованию с работодателем.

·   Порядок прохождения собеседования.

·   Состав и оформление документации в сфере трудовых правоотношений.

Продолжительность проекта: 1 месяц;

В рассмотренном нами комплексе участвуют как внутренние разработки, так и программные продукты общего пользования. Новизна заключается в методическом подходе к единообразному изложению материала с многоаспектным применением компьютерной техники.

Таким образом, применение современных технологий позволяет добиться:

·   развития личности, ее способностей к творческой деятельности;

·   обновления содержания обучения;

·   интеграции знаний, приобретаемых в ходе изучения смежных дисциплин;

·   оптимизации процесса обучения, достижения высокого качества знаний, умений и навыков;

·   развития опыта профессионально-творческой деятельности;

·   перемещения акцента с процесса преподавания на процесс “учения” самих будущих специалистов способствует их личностно-ориентированному обучению и умению мыслить самостоятельно, что в свою очередь способствует совершенствованию профессиональной подготовки.

Таблица 1

План работы над проектом «Эффективное поведение на рынке труда»:

№ занятия

Цель

Методы

Содержание

1.Введение

Ознакомление с целями, задачами и организацией работы на протяжении всего срока.

Беседа. Обзор содержания; программа работы.

Цели, задачи и организация работы по проекту

2. Основные принципы и приёмы поиска вакансий

Сформировать установки для поиска работы.

Работа в малых группах.

Источники информации о вакансиях на рынке труда.

Составление плана поиска работы.

3. Технология поиска работы

Эффективно использовать различные методы поиска работы.

Работа в малых группах.

Индивидуальные задания.

Сбор информации о вакансиях на рынке труда. Экскурсия на биржу труда, кадровые агентства.

Расчёт заработной платы педагога. Сравнение заработной платы молодого и опытного педагога.

Сравнение заработных плат по различным отраслям.

Составление объявления о поиске работы.

Публикация объявления о поиске работы в средствах массовой информации и в Интернете.

4. Оформление резюме.

Правильно оформлять резюме.

Индивидуальные задания.

Презентация.

Содержание и порядок составления и оформления резюме.

Отправление резюме потенциальным работодателям по факсу, по электронной почте, по Интернету.

5. Общие правила подготовки к собеседованию

Подготовиться к собеседованию.

Работа в малых группах.

Правила подготовки к собеседованию.

6. Собеседование при трудоустройстве.

Сформировать эффективную модель поведения на собеседовании.

Деловая игра «Собеседование с работодателем»

Порядок прохождения собеседования.

Самопрезентация.

Основные вопросы, задаваемые работодателем на собеседовании.

7. Оформление документов по трудовым правоотношениям.

Сформировать умение оформлять документацию по рудовым правоотношениям.

Работа в малых группах.

Состав документов, необходимых при трудоустройстве.

Порядок оформления заявления по трудоустройству.

Содержание и порядок оформления трудового договора.

Порядок заполнения трудовой книжки.

 

Таблица 2

Порядок работы

Виды учебной деятельности

Методы

Введение

1. Постановка учебных целей

Сообщение преподавателя.

Самостоятельная работа студентов.

Информация

2. Информация по теме

Самостоятельное изучение, обобщение в группах. Индивидуальное обсуждение с преподавателем.

Практическое применение

3. Применение изученной информации

Самостоятельная или групповая работа.

Проект

4. Использование полученной информации для выполнения специального проекта

Работа в группе. Использование дополнительного материала.

Представление работы и оценка

5.Отчет каждого участника проекта о проделанной работе. Презентация проекта

Оценка проекта.

Обобщение

6. Оценка проекта студентами и преподавателями.

Вопросник, обсуждение.

Таблица 3

Этапы работы

Этапы

Начало

Окончание

Ожидаемые результаты

I этап

аналитический



Определённое состояние системы и её возможностей: постановка целей и задач, подбор исполнителей.

II этап

формирующий



Состояние плана реализации проекта: создание материальной базы; работа творческих групп по теме проекта;

III этап

Контроль, коррекция, внедрение



Экспертиза и тиражирование.

Участие в конкурсе.


3. Результаты исследования


Педагогический эксперимент проводился на базе ПУ-49 г. Миасс.

В ходе организации экспериментальной работы было сформировано 2 группы: экспериментальная группа (ЭГ) – 25 студентов, являющихся участниками экспериментальных проектов; контрольная группа (КГ) – 27 студентов.

В экспериментальной группе в ходе исследования проводились различные занятия, игры, конкурсы для достижения цели эксперимента. Учащиеся сами составляли задания и выполняли проекты.

Приведем примеры использования инновационных технологий в целях развития творческих способностей учащихся.

Примеры заданий, составленных студентами в ходе выполнения проекте:

Задание 1. Изучить устное народное творчество (пословицы) о труде и лени.

Определение понятий «труд» и «лень». Выбрать пословицы, раскрывающие отношение человеческого общества к лени и труду, вывод. Составление презентации.

Задание 2. Составить резюме.

1.       Фамилия, имя, отчество.

2.       Дата рождения.

3.       Адрес по прописке, фактического проживания. Контактный телефон.

4.       Семейное положение, наличие детей (указать их возраст).

5.       Базовое образование (учебное заведение, период обучения, специальность, квалификация).

6.       Дополнительное образование (учебное заведение, период обучения, специальность, квалификация)

7.       Опыт работы: предыдущие места работы, срок работы, должность, причина увольнения.

8.       Дополнительные сведения о себе. Умения, навыки.

9.       Увлечения. Личные качества.

 Дата отправки резюме. Подпись

Задание 3. Оформление документов при приёме на работу.

1.       Выяснить в кадровой службе, какие документы необходимы при приёме на работу

2.       Порядок оформления заявления по трудоустройству.

Таким образом, документы, необходимые при оформлении на работу: заявление о приеме на работу, трудовая книжка, медицинский полис и справка, документ об образовании, ИНН, страховое пенсионное свидетельство, фотография, резюме. (КЗоТ ст. 19, 173, 176)

Задание 4. Поиск работы. Составить объявление о поиске работы. Выяснить в каких газетах его можно опубликовать. Публикация объявления в средствах массовой информации. Выяснить на каких сайтах его можно поместить в Интернете. Размещение на сайтах. Анализ полученных результатов.

Задание 4. Расчёт заработной платы

1. Посчитать заработную плату молодого специалиста (первый год работы) с учетом требований к квалификации по разрядам оплаты и особенностей оплаты. 2. Показать динамику роста заработной платы. 3. Сравнить с заработной платой опытного педагога.

Задание 5. Сравнить заработную плату людей в разных отраслях. Сравнить заработную плату педагогов в разных регионах. Выяснить размер заработной платы педагогов в регионах. Построить диаграмму. Выяснить размер заработной платы в разных отраслях. Построить диаграмму.

Задание 6. Узнать у преподавателей ПУ о педагогических династиях в их семьях. Взять интервью. Оформить буклет.

Задание 7. Провести мониторинг по трудоустройству выпускников 2007 – 2009 года. Составить диаграмму их трудоустройства по специальности.

Сценарий занятия “Рациональный потребительский бюджет или социально зрелая семья”

В качестве метода проведения данного занятия выбрана деловая игра. Цель игры: ознакомить участников со структурой рационального потребительского бюджета семьи, практически закрепить навыки распределения поступивших доходов, научить ведению доходов и расходов; сформировать умение коллективного обсуждения сложной информации и принятия решений в ограниченное время. По ходу игры моделируются процессы распределения доходной и расходной части семейного бюджета. Для обработки числовой информации выбран табличный процессор Excel.

1.   Вступительная часть.

Проверка готовности к проведению занятия, сообщение темы и формы проведения занятия.

2.   Основная часть.

2.1 Вступление

2.2 Проведение деловой игры.

Цели игры:

·   ознакомить участников со структурой рационального потребительского бюджета семьи;

·   практически закрепить навыки распределения поступивших доходов;

·   научить ведению баланса доходов и расходов;

·   сформировать умение коллективного обсуждения сложной информации и принятия решения в ограниченное время.

2.2.1 Распределение ролей

Участники выбирают случайным образом один из бейджиков, на котором указана игровая роль.

2.2.2 Психологическое тестирование каждой игровой семьи.

Конфликтная ли Вы личность?

o   В общественном транспорте начался спор на повышенных тонах. Ваша реакция?

а) не принимаю участия,

б) кратко высказываюсь в защиту стороны, которую считаю правой,

в) активно вмешиваюсь, чем “вызываю огонь на себя”.

o   Жалуетесь ли Вы родителям на учителей?

а) нет,

б) только если имею для этого веские основания,

в) критикую по любому поводу не только учителей, но и тех подхалимов, которые всегда им поддакивают.

o   Часто ли Вы спорите с друзьями?

а) только если эти люди не обидчивые,

б) только по принципиальным вопросам,

в) споры – моя стихия.

o   Дома на обед подали недосоленное блюдо. Ваша реакция?

а) не буду поднимать бучу из-за пустяка,

б) молча возьму солонку,

в) не удержусь от едких замечаний, и, быть может, демонстративно откажусь от еды.

o   Если кто-то из близких купил вещь, которая Вам не понравилась…

а) промолчу,

б) ограничусь коротким тактичным замечанием,

в) устрою скандал.

Интерпретация результатов:

От 10 до 20 баллов – Вы тактичны и миролюбивы.

От 6 до 9 баллов – Вы слывете человеком конфликтным.

От 0 до 5 баллов – споры и конфликты это воздух, без которого вы не можете жить.

КЛЮЧ К ТЕСТУ.

а – 4 балла, б – 2 балла, в – 0 баллов.

Экономны ли Вы?

o   Получив деньги на карманные расходы, купите ли вы дорогие вещи, если понимаете, что потом трудно будет свести концы с концами?

а) никогда, б) всегда, в) иногда.

o   Если Вам понравится красивая одежда, остановит ли вас цена?

а) иногда, б) никогда, в) всегда.

o   Выключаете ли Вы в своей квартире газ и свет сразу же после выполнения той или иной работы?

а) не всегда, б) иногда, в) всегда.

o   Удается ли Вам успешно выполнять несколько дел одновременно?

а) да, б) нет, в) в зависимости от того, какие дела.

o   Съедаете ли Вы за столом все, что лежит в Вашей тарелке или оставляете еду на донышке?

а) иногда оставляю, б) никогда не оставляю, в) оставляю всегда.

o   Аккуратно ли Вы носите одежду, обувь?

а) да, б) нет, в) не всегда.

o   Покупаете ли Вы хлеба больше, чем требуется?

а) да, б) нет, в) никогда.

Интерпретация результатов:

От 10 до 14 баллов – Вы человек излишне экономный. Всегда тщательно обдумываете свои действия.

От 6 до 9 баллов – вы не любите разбрасываться средствами, которыми располагаете, но время от времени позволяете себе показать “широту натуры”.

От 3 до 5 баллов – вы живете на широкую ногу. Бывает, правда, что Вас охватывает желание экономить, и Вы отказываете себе даже в самом необходимом. Однако потом вы наверстываете упущенное.

От 0 до 2 баллов – Вы беззаботны, не очень ответственны и легкомысленно относитесь не только к деньгам, но и ко всему, что имеет материальную ценность.

 

КЛЮЧ К ТЕСТУ.

Вопросы

Ответы, баллы

1.

2

0

1

2.

1

0

2

3.

0

1

2

4.

2

0

1

5.

1

2

0

7.

2

0

1

6.

2

0

1


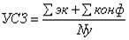
Уровень социальной зрелости каждой семьи определяется по формуле:

,

где  - сумма баллов полученных всей семьей после выполнения теста “Экономны ли вы?”;

 - сумма баллов полученных всей семьей после выполнения теста “Конфликтная ли Вы личность?”;

 - количество членов семьи.

УСЗ семьи:

высокий – от 16 до 34 баллов;

средний – от 3 до 15 баллов;

низкий – от 0 до 2 баллов.

2.2.3 Определение социально зрелой семьи (работа с компьютерной программой “Формирование рационального потребительского бюджета семьи”.)

1 этап.

Каждая семья заполняет бланк №1 “Игровые роли”.

Бланк №1.



ИГРОВЫЕ РОЛИ


1.

Муж

Павлов Сергей

Сергеев Михаил Иванович

2.

Жена

Семенова Катя

Сергеева Анна Дмитриевна

3.

Сын

Степанов

4.

Дочь

Даренко Оля

Сергеева Анастасия Михайловна

5.

Свекор (отец мужа)

Осминин Роман

Сергеев Иван Васильевич

6.

Свекровь (мать мужа)

Иванова Маша

Сергеева Валентина Юрьевна

7.

Тесть (отец жены)

Ожогин Глеб

Собинов Дмитрий Романович

8.

Теща (мать жены)

Карпухина Надя

Собинова Маргарита Антоновна


Фамилия семьи:

 Сергеевы



2 этап.

Участники составляют характеристику семьи. Данные заносят в бланк №2.

Бланк №2.


ХАРАКТЕРИСТИКА СЕМЬИ:

Сергеевы


Семейный статус

Имя отчество

Возраст

Место работы, учебы

Предполагаемый размер зарплаты, стипендии, пенсии

Муж

Сергеев Михаил Иванович

40

З-д "Красный металлист"

5000,00

Жена

Сергеева Анна Дмитриевна

38

школа №25

3000,00

Сын

Сергеев Петр Михайлович

20

ДГТУ

500,00

Дочь

Сергеева Анастасия Михайловна

7

школа №12

0,00

Свекор

Сергеев Иван Васильевич

73

пенсионер

2500,00

Свекровь

Сергеева Валентина Юрьевна

67

пенсионер

2000,00

Тесть

Собинов Дмитрий Романович

70

пенсионер

2500,00

Теща

Собинова Маргарита Антоновна

65

пенсионер

1500,00




Итого:

17000,00

Источник дополнительных доходов семьи:




1.

Пособие на ребенка



70,00

2.

Дивиденды



300,00

3.

Доходы с приусадебного хозяйства



1000,00




Итого:

18370,00


3 этап.

Семьи планируют предстоящие расходы на один месяц, исходя из общей суммы предполагаемых доходов. Заполняется бланк №3.

Бланк №3.

РАСХОДНАЯ ЧАСТЬ СЕМЕЙНОГО БЮДЖЕТА

N п/п

Наименование статьи доходов

Сумма расходов(руб.)

(расходов/

доходов)*100%

1.

Питание


53,89


Хлеб и крупы

1000,00

5,44


Мясопродукты

500,00

2,72


Жиры (включая масло)

200,00

1,09


Овощи

1000,00

5,44


Фрукты

1000,00

5,44


Сахар

200,00

1,09


Молочные продукты

1000,00

5,44


Напитки

5000,00

27,22

2.

Одежда




Верхняя одежда

1000,00

5,44


Белье

100,00

0,54


Головные уборы

100,00

0,54


Чулочно-носочные изделия

100,00

0,54


Обувь

1000,00

5,44

3.

Мебель и предметы домашнего обихода

0,00

0,00

4.

Культурно-бытовые нужды

200,00

1,09

5.

Алкогольные напитки и табак

200,00

1,09

6.

Оплата квартиры

2000,00

10,89

7.

Транспортные расходы

1000,00

5,44

8.

Платежи, сборы, налоги

700,00

3,81

9.

Накопления, сбережения

1000,00

5,44


Общий итог:

17300,00

ИСТИНА




(расходы не должны превышать доходы)


4 этап.

Каждая семья сравнивает свои результаты с соответствующими статьями рационального потребительского бюджета (РПБ), работая с банком №4.

Бланк №4.

РАСХОДНАЯ ЧАСТЬ РАЦИОНАЛЬНОГО ПОТРЕБИТЕЛЬСКОГО БЮДЖЕТА (РПБ)

N п/п

Наименование статьи доходов

РПБ (%)

(расходов/доходов)*100%

1.

Питание

50,00

53,89


Хлеб и крупы

7,00

5,44


Мясопродукты

7,00

2,72


Жиры (включая масло)

8,00

1,09


Овощи

6,00

5,44


Фрукты

5,00

5,44


Сахар

3,00

1,09


Молочные продукты

7,00

5,44


Напитки

7,00

27,22

2.

Одежда

18,00

12,52


Верхняя одежда

6,00

5,44


Белье

4,00

0,54


Головные уборы

1,00

0,54


Чулочно-носочные изделия

2,00

0,54


Обувь

5,00

5,44

3.

Мебель и предметы домашнего обихода

4,00

0,00

4.

Культурно-бытовые нужды

4,00

1,09

5.

Алкогольные напитки и табак

4,00

1,09

6.

Оплата квартиры

8,00

10,89

7.

Транспортные расходы

5,00

5,44

8.

Платежи, сборы, налоги

3,00

3,81

9.

Накопления, сбережения

4,00

5,44


Итого: 100,00

94,18


5 этап.

С помощью бланка №5 осуществляется расчет уровня социальной зрелости каждой семьи.

Бланк №5.

УРОВЕНЬ СОЦИАЛЬНОЙ ЗРЕЛОСТИ

УСЗ= ?|(ai - bi)|

ai - величина процента расходной статьи бюджета семьи

bi - величина процента одноименной статьи в рациональном потребительском бюджете

N п/п

Наименование статьи доходов

|(ai - bi)|






1.

Питание

3,89






2.

Одежда

1,56






3.

Мебель и предметы домашнего обихода

4,28






4.

Культурно-бытовые нужды

6,91






5.

Алкогольные напитки и табак

0,56






6.

Оплата квартиры

0,44






7.

Транспортные расходы

1,91






8.

Платежи, сборы, налоги

1,56






9.

Накопления, сбережения

20,22







УСЗ=

41,32







Чем больше показатель УСЗ отклоняется от нуля, тем ниже уровень социальной зрелости семьи.








2.2.4 Анализ результатов тестирования и расчетов. Определение социально зрелой семьи.

Произвести сравнительный анализ результатов психологического тестирования каждой семьи, и результатов полученных после работы с программой “Формирование рационального потребительского бюджета семьи”.

Заключительная часть (анализ занятия, подведение итогов).

Учащимся была предложена анонимная анкета: «Карта оценки проекта», каждый из опрошенных мог дать несколько ответов.

Таблица 4

Карта оценки проекта



- -

-

+ +

+

1

Качество содержания пособия





2

Полезность целей





3

Степень овладения целями





4

Последовательность изложения





5

Условия реализации обучения





6

Помощь педагога





7

Дискуссия в группе





8

Качество примеров





9

Качество упражнений для самостоятельной работы





Анализ данной оценки показал следующие результаты:

Рисунок 1. Анализ анкеты «Карта оценки проекта»

Из данных рисунка 1 мы можем сделать следующий вывод. Студентами ПУ-49 в целом высоко оценен курс «Технология проектного метода в обучении экономике». Наиболее значимые результаты ответов можно отметить по следующим позициям: полезность целей курса – 20 ответов, условия реализации обучения – 17. Одинаковое количество ответов (16) набрали следующие позиции: качество примеров, дискуссия в группе, качество содержания пособия. Наименьшие результаты отмечаются по позициям ответов: последовательность изложения (7), помощь педагога (8). Педагогам и воспитателям ПУ-49 стоит обратить внимание на данные пункты и в будущем уделить внимание разработке именно этих сторон проекта.

В процессе эксперимента выявилось, что продуктивная творческая деятельность повлияла на формирование и развитие творческих качеств личности (таблица 4). В связи с этим была проведена анкета для учащихся, где они указывали, какие качества у них развились благодаря проектной деятельности на уроках экономики.

Анкета выявления творческих качеств участников эксперимента

Вопрос: какие из перечисленных качеств у Вас развились в результате выполнения проектов на уроках экономики?

Данные опросника мы представим в виде таблицы и графически.

Качества творческой личности Ответы учащихся (%)

№ вопроса

Качества творческой личности

Ответы учащихся (%)

1

Целеустремленность

73,9

2

Воля

34,8

3

Познавательная активность

26

4

Эмоциональность

17,4

5

Любознательность

6

Лидерство

13

7

Смелость

69,6

8

Решительность

26

9

Самоконтроль

43,5

10

Открытость

30,4

11

Независимость

8,7

12

Инициативность, активность

21,7

13

Чувство юмора

39,1

14

Яркое воображение

47,8

15

Оригинальность

39,1

16

Увлеченность

56,5

17

Сообразительность

43,5

18

Гибкость мышления

17,4

Рисунок 2. Качества творческой личности

Для большей наглядности результатов построим два отдельных графика, по наибольшим результатам по анкетированию, и по наименьшим.

Рисунок 3. Наиболее сформированные качества творческой личности (по мнению участников эксперимента)

Рисунок 4. Наименее сформированные качества творческой личности (по мнению участников эксперимента)

Таким образом, мы можем сделать вывод, что исходя из результатов анкетирования учащихся разработанные курс «Технология проектного метода в обучении экономике» позволяет учащимся говорить о достаточной сформированности таких качеств творческой личности как целеустремленность, смелость, увлеченность, любознательность и сообразительность. Развитию же других качеств следует уделять более пристальное внимание, с помощью использования разнообразных заданий и уроков для студентов в рамках данного курса.

График развития личностных качеств показывает, что выполнение проектов на уроках экономики способствует формированию творческих качеств учащихся:

 

4. Выводы и рекомендации по применению проектного метода в обучении экономике в целях развития творческих способностей учащихся


Можно предположить что, выполнение проектов повышает интерес к предмету.

Исследования показали, что вовлечение учащихся в творческую деятельность средствами проектного обучения влияет на развитие их творческой активности.

Результаты исследования свидетельствуют и о том, что эффективность развития творческой активности зависит не только от внутренней мотивации (со стороны учащихся), но и от стимулирования этой мотивации извне (со стороны учителя).

Результаты эксперимента показали, что движущей силой развития творческой активности является формирование мотивов, стимулирующих личность к самостоятельным творческим действиям, к проявлению собственной уникальности, включение учащихся в процесс творческого поиска нестандартных решений, возможность демонстрации продуктов учебно-творческой деятельности. Так же результаты эксперимента свидетельствуют о том, что целенаправленная работа по выполнению творческих проектов способствует развитию творческой активности при соблюдении следующих педагогических условий: сформированность положительной мотивации учащихся на творческую деятельность, характеризующейся стремлением к творческой самореализации; стимулировании учителем развития творческой активности школьников; включении учащихся в активную творческую деятельность на основе сотворчества учителя и ученика.

В комплексе, рассмотренном нами в ходе данного исследования, участвуют как внутренние разработки, так и программные продукты общего пользования. Новизна заключается в методическом подходе к единообразному изложению материала с многоаспектным применением компьютерной техники.

Таким образом, применение современных технологий позволяет добиться:

·   развития личности, ее способностей к творческой деятельности;

·   обновления содержания обучения;

·   интеграции знаний, приобретаемых в ходе изучения смежных дисциплин;

·   оптимизации процесса обучения, достижения высокого качества знаний, умений и навыков;

·   развития опыта профессионально-творческой деятельности;

·   перемещения акцента с процесса преподавания на процесс “учения” самих будущих специалистов способствует их личностно-ориентированному обучению и умению мыслить самостоятельно, что в свою очередь способствует совершенствованию профессиональной подготовки.

Всякое занятие должно способствовать усвоению новой информации и формированию умений и навыков отработки этой информации. Поэтому при разработке проекта были учтены следующие характеристики:

·   содержание – знания, которые должны соответствовать тематике проекта;

·   интеграция - охват разнообразных предметных курсов;

·   профессиональная направленность проекта;

·   системность контроля, логически завершающего работы в проекте.

Разрабатывайте материал совместно со студентами:

а) представьте дополнительные примеры и учебные и наглядные материалы;

б) задания должны быть реально исполнимыми в отведенные сроки.

в) помогите студентам выбрать подходящую для них стратегию работы.

Создайте систему учебных заданий, составленную под уровни усвоения, умения и навыки, обозначенные в целях учебного проекта.

Определите организационные формы обучения и их координацию, обеспечивайте оптимальное сочетание разнообразных форм учебного процесса с приоритетом на интерактивные формы обучения и самостоятельную работу студентов.

Разработайте систему текущего, промежуточного и итогового контроля и коррекции деятельности студентов (на основе анализа выявленных ошибок и затруднений).

Проблемы, возникающие при работе с проектами: переоценка студентами своих возможностей, конфликты внутри группы, недостаток времени, неумение грамотно спланировать работу.

Похожие работы на - Развитие творческих способностей учащихся на основе использования инновационных технологий в образовательном процессе начального профессионального образования

 

Не нашли материал для своей работы?
Поможем написать уникальную работу
Без плагиата!
Без нейросетей!