Особенности принятия управленческих решений

  • Вид работы:
    Курсовая работа (т)
  • Предмет:
    Менеджмент
  • Язык:
    Русский
    ,
    Формат файла:
    MS Word
    90,84 kb
  • Опубликовано:
    2010-10-19
Вы можете узнать стоимость помощи в написании студенческой работы.
Помощь в написании работы, которую точно примут!

Особенности принятия управленческих решений

Содержание

Введение

1. Уровни принятия управленческих решений

1.1 Классификация управленческих решений по уровням иерархии менеджмента

1.2 Децентрализация и факторы, влияющие на качество принимаемых решений

1.3 Уровни принятия решений линейными и функциональными руководителями различных уровней и подразделений фирмы

2. "Дерево критериев"

2.1 "Дерево критериев" как метод разработки и обоснования решений в менеджменте

2.2 Критерий как способ количественного измерения степени достижения цели

2.3 Построение "дерева критериев" для принятия решения

Заключение

Литература

Введение

Управленческое решение – одна из центральных составляющих процесса управления организацией. Эффективность принимаемых руководством решений во многом определяет эффективность ее функционирования.

Решение может рассматриваться как определенный акт, как один из основных этапов процесса управления, как интеллектуальная задача, как процесс легализации управляющего воздействия на управляемую подсистему.

Каждому действию лица, принимающего решения, предшествует решение о его целесообразности. Лицо, принимающее решение, взаимодействует с внешней средой, руководствуясь теми решениями, которые осознанно или неосознанно принял.

Человек реализуется как личность, принимая и реализуя принятые решения. И, прежде всего, это относится к области менеджмента, где основным профессиональным умением является умение принять эффективное управленческое решение.

Принятие управленческих решений осуществляется на различных уровнях иерархии и в соответствии с различными критериями выбора. На каждом уровне они имеют свои особенности, которые очень актуальны для любого предприятия. Знание этих особенностей помогает правильно определить какие решения какой уровень менеджеров должен определять.

Целью данной работы является изучение особенностей принятия управленческих решений.

В соответствии с поставленной целью решается ряд задач:

1. Рассмотрение уровней иерархии принятия управленческих решений.

2. Изучение совокупности критериев, влияющих на принятие управленческих решений.

1. Уровни принятия управленческих решений

1.1 Классификация управленческих решений по уровням иерархии менеджмента


В организации принятие управленческих решений осуществляется на различных уровнях. Связано это, прежде всего, с тем, что в каждой организации существует иерархия менеджеров.

Так, менеджеры по уровням иерархии подразделяются на руководителей высшего, среднего и низшего уровней. Соответственно выделяют управленческие решения менеджеров высшего, среднего и низшего звеньев.

Управлением бизнесом занимается относительно небольшая группа индивидов, несущих ответственность за общее управление и деятельность организации. Высшие менеджеры определяют политику и несут ответственность за управление отношениями с представителями и институтами внешнего мира, такими как акционеры, средства массовой информации, органы государственной власти. Они должны иметь полную информацию о состоянии дел в организации, в то же время направляя основные усилия на определение перспектив ее развития или взаимодействие с внешними агентами. Выполнение прямых операций такими менеджерами занимает минимум времени (впрочем, в небольших компаниях руководители непосредственно вовлечены в рабочий процесс).

 Менеджеры, исполняющие обязанности по управлению менеджерами, обычно считаются руководителями среднего звена (весьма многочисленная группа). Их основная функция - направление деятельности управленцев низшего звена в русло политики компании. Они проверяют достижение подчиненными поставленных целей, постоянно держат руку на пульсе событий и, в зависимости от ситуации, обеспечивают своим сотрудникам поддержку или оказывают на них давление. Менеджеры менеджеров ответственны за формирование и бесперебойную связь коммуникационных линий, обеспечивающих беспрепятственную циркуляцию информации в организации. Именно они доводят до управленцев низшего звена ожидания руководства, а до менеджмента высшего звена информацию о реальном положении дел в компании. Кроме того, значительную часть рабочего времени руководителей среднего звена занимает взаимодействие с вышестоящими управленцами и коллегами, находящимися на том же уровне иерархии. Некоторые менеджеры очень тесно и часто общаются с управленцами из других организаций, от которых они некоторым образом зависят.

Менеджеров, выполняющих функции по управлению персоналом и прямые операции, иногда называют управленцами первого уровня или низшего звена; они несут ответственность за исполнение подчиненными ежедневных, принятых в организации операций и участвуют в решении возникающих проблем. К ним относятся мастера (бригадиры) на производстве (супервайзеры), менеджеры отелей, старшие медсестры в больницах или менеджеры банков. Обычно исполнение прямых рабочих операций занимает у них значительно меньшее время, чем у их подчиненных (за исключением небольших компаний).

1.2 Децентрализация и факторы, влияющие на качество принимаемых решений


Менеджеры высшего звена принимают решения в области таких функций менеджмента, как:

Ø планирование (определение сверхзадачи (миссии) бизнеса, основных целей бизнеса, перечня наиболее важных воздействий внешней среды, которые необходимо учитывать при планировании деятельности фирмы, стратегии и тактики для достижения поставленных целей);

Ø организация деятельности (разработка структуры организации и порядка распределения работ по элементам структуры, организации взаимодействия элементов структуры между собой и с внешними элементами, распределения прав и обязанностей по руководителям элементов структуры организации, возможностей и порядка внесения корректив в структуру организации в результате воздействия внешней среды или возникновения изменений внутри нее);

Ø мотивация (формирование методов гармонизации интересов подчиненных с интересами фирмы, методов гармонизации интересов фирмы с интересами общества);

Ø контроль (определение способов измерения результатов деятельности, периодичности этих измерений, степени удовлетворительности полученных результатов по сравнению с желаемыми, методов диагностики причин возникновение отклонения полученных результатов от поставленных целей, методов корректировки стратегий и тактики фирмы);

При этом на многих предприятиях, где существуют различные уровни менеджеров, менеджеры высшего звена могут передавать ряд управленческих решений менеджерам более низких ступеней. Это характерно для децентрализации управления.

Децентрализация характеризуется тем, что процесс принятия решений перемещается вниз к руководителям, тесно связанным с конкретными проблемами, по которым принимаются решения.

Децентрализация требует такой организации деятельности, которая позволяла бы принимать сложные и оперативные решения. Анализ опыта децентрализации в структурах управления позволяет выявить целый ряд преимуществ такой операционной перестройки. Во-первых, в результате децентрализации развиваются профессиональные навыки руководителей, полномочия и ответственность за принятие решений возрастают. Во-вторых, децентрализованная структура ведет к усилению соревновательности в организации, стимулирует руководителей к созданию атмосферы конкуренции. В-третьих, в децентрализованной модели организации руководитель может проявлять больше самостоятельности при определении своего личного вклада в решение проблем. Расширение свободы действий ведет к повышению творческого характера управленческого труда, к стремлению внести вклад в рост и развитие фирмы.

Более высокая степень децентрализации в организациях, рассматриваемая как передача в низовые звенья процесса принятия решений, предполагает, что:

Ø большее число решений принимается на низших уровнях управленческой иерархии;

Ø решения, принятые на низших уровнях более важны;

Ø различные организационные функции подвергаются большему влиянию решений, принятых на низших уровнях;

Ø уменьшается объем централизованного контроля за решениями, принятыми управленческим персоналом.

Такой подход приводит к повышению автономности в принятии решений в отдельных подразделениях, к сокращению сферы централизованного контроля. Благодаря этому растет ответственность подразделений за их прибыльность. Эти подразделения представляют собой относительно автономные, самофинансируемые компании в структуре основной компанией.

Децентрализация управления компанией становится возможной благодаря соблюдению определенных принципов делегирования. Суть этих принципов сводится к следующему:

Ø передача полномочий должна осуществляться в соответствии с ожидаемым результатом; подчиненный должен обладать достаточными полномочиями для достижения требуемого результата;

Ø передача полномочий должна осуществляться по линиям управления, с тем, чтобы каждый подчиненный знал, кто конкретно его уполномочил, перед кем он несет ответственность;

Ø каждый руководитель принимает решения в пределах своих полномочий. Все, что превышает его компетенцию, передается высшим звеньям управления;

Ø передаются лишь полномочия; высшее должностное лицо продолжает нести ответственность за действия подчиненного.

Искусство передачи полномочий зависит от восприимчивости к новым идеям, готовности передать решение определенных вопросов низшему звену управления, способности доверять низшему звену управления, стремления осуществлять общий контроль. Делегирование полномочий – это не способ уйти от ответственности. Это форма разделения управленческого труда, позволяющая повысить его эффективность. Делегирование облегчает работу руководителя, но не снимает с него обязанности принимать окончательные решения – той обязанности, которая делает его руководителем. Современные теории рекомендуют руководителю идти навстречу новому, планировать его и заранее готовиться к тому, что оно принесет с собой. Эта дает возможность руководителю с помощью делегирования активно влиять на ход неизбежных перемен в работе организации.

В западных источниках выделяют те управленческие решения высшего состава менеджеров, которые не могут быть переданы другим уровням управления:

Ø   определение миссии и важнейших целей фирмы;

Ø   политика фирмы на длительную перспективу;

Ø   координация работы крупных частей фирмы;

Ø   устранение серьезных помех в текущем производственном процессе;

Ø   коммерческие мероприятия исключительной важности;

Ø   занятие ключевых должностей.

Направления делегирования полномочий принятия решения, лежащих в основе децентрализации, представлены на рисунке 1.1.

На рисунке представлены управленческие решения, которые могут быть переданы с более высоких уровней управления на более низкие.

Рисунок 1.1 – Схема делегирования управленческих решений по уровням управления

Практика показывает, что передача текущего управления руководителям линейных подразделений и функциональное разделение управленческой деятельности организации в целом позволяют высшему руководству сосредоточиться на решении стратегических проблем развития предприятия, обеспечить его наиболее рациональное взаимодействие с внешней средой.

Таким образом, руководителям низшего звена проще принимать решения, которые касаются непосредственно производственного процесса и управления персоналом, так как этот уровень менеджеров наиболее близок к данным проблемам.

В то же время менеджерам среднего звена удается эффективно принимать решения о взаимодействии менеджеров низшего и высшего звеньев, что обычно и относят к их компетенции.

Менеджеры высшего звена принимают на себя глобальные задачи, касающиеся предприятия в целом, его миссии, цели, стратегии и политики.

Подобное разделение повышает эффективность принятия решения каждого уровня.

К факторам, определяющим качество и эффективность управленческих решений на любом уровне иерархии, относятся:

1) законы объективного мира, связанные с принятием и реализацией управленческих решений;

2) четкая формулировка цели – для чего принимается управленческое решение, какие реальные результаты могут быть достигнуты, как измерить, соотнести поставленную цель и достигнутые результаты;

3) объём и ценность располагаемой информации – для успешного принятия управленческого решения главным является не объём информации, а ценность, определяемая уровнем профессионализма, опыта, интуицией кадров;

4) время разработки управленческого решения – как правило, управленческое решение всегда принимается в условиях дефицита времени и чрезвычайных обстоятельств (дефицита ресурсов, активности конкурентов, рыночной конъюнктуры, непоследовательного поведения политиков);

5) организационные структуры управления;

6) формы и методы осуществления управленческой деятельности;

7) методы и методики разработки и реализации УР (например, если фирма лидирует – методика одна, если следует за другими – иная);

8) субъективность оценки варианта выбора решения. Чем более неординарным является управленческое решение, тем субъективнее оценка.

9) состояние управляющей и управляемой систем (психологический климат, авторитет руководителя, профессионально-квалификационный состав кадров и т.д.).

 

1.3 Уровни принятия решений линейными и функциональными руководителями различных уровней и подразделений фирмы


Общее руководство принятием решений предполагает, что процесс принятия решений находится в руках одного линейного (общего) руководителя, который подчинен в свою очередь вышестоящему руководителю. Здесь создается иерархия в принятии решений по линейным должностям. Каждый руководитель решает свои проблемы со своим непосредственным руководителем, а не с вышестоящим руководителями, минуя своего непосредственного руководителя.

Линейные руководители несут персональную ответственность за свою работу, получая право распоряжаться материальными и трудовыми ресурсами, необходимыми для получения намечаемых результатов. Здесь права и ответственности должны быть равны. Руководители функциональных подразделений оказывают помощь линейным руководителям в качестве экспертов и отчитываются перед ними, но не наделяются правами и ответственностью, которые имеет линейный руководитель. Общий руководитель до принятия решения обычно принимает предложения и выслушивает мнение не только непосредственных подчиненных, но и отдельных работников, которые обычно высказывают его при заключении коллективных договоров, в которых интересы работников представляют профсоюзы.

Практика показывает, что директор (генеральный директор) практически во всех случаях осуществляет принятие решения или участвует в этом на финальной стадии процесса. Значителен (83%) по сравнению с другими (заместители директора – 43%, функциональные руководители – 33%, линейные – 20%, представители внешних собственников – 15%) его вклад и в постановку той или иной проблемы. Участие в проработке и обсуждении проблем относительно скромно (проработка – всего 20%) и существенно уступает участию заместителей и функциональных руководителей. Штабные функции исполняют в основном функциональные руководители и иногда линейное руководство. Что же касается участия представителей коллектива, собственников и внешних для предприятия консультантов, то оно исчерпывается единичными случаями.

2. "Дерево критериев"

2.1 "Дерево критериев" как метод разработки и обоснования решений в менеджменте


Управленческое решение оценивается по критериям (главным показателям).

Под критерием понимается показатель выбора или оценки альтернатив с точки зрения их эффективности в достижении цели. Примером критерия, широко распространенного в экономике, является показатель рентабельности, прибыли и др.

Оптимальное решение - это выбранное по какому-либо критерию оптимизации наиболее эффективное из всех альтернативных вариантов решение.

Процесс оптимизации является дорогостоящим, поэтому ее целесообразно применять при решении стратегических и тактических задач. Оперативные задачи решаются с применением простых, эвристических методов (интуиции, суждения, рациональности).

Задача принятия решений лицом, принимающим решение, формулируется следующим образом.

В условиях проблемной ситуации, располагаемого времени и ресурсов необходимо определить ситуацию, сформулировать множество целей, ограничений, альтернативных вариантов решений, произвести оценку вариантов решений и найти оптимальное решение из множества альтернатив, руководствуясь сформулированными критериями выбора.

Содержание задачи принятия решений позволяет сформулировать ряд утверждений, характеризующих особенности управленческих решений.

Во-первых, неизвестные элементы задачи: ситуации, цели, ограничения, варианты решения, предпочтения — имеют прежде всего содержательный характер и только частично определяются количественными характеристиками. Количество неизвестных элементов задачи существенно больше числа известных.

Во-вторых, определение неизвестных элементов задачи и в конечном счете нахождение наилучшего решения не могут быть формализованы, поскольку не существует методов и алгоритмов, позволяющих, например, сформулировать цели, критерии, варианты решения.

В-третьих, элементы задачи описываются характеристиками, часть из которых может быть измерена объективно, а для другой части возможно только субъективное измерение (например, приоритеты целей, предпочтения критериев и вариантов решений и т. п.).

В-четвертых, во многих случаях приходится решать задачу принятия решений в условиях неопределенности, обусловленной неполным описанием проблемной ситуации и невозможностью достаточно точной оценки других элементов решения, ожидаемых последствий принятого решения. В этих случаях наряду с логическим мышлением важное значение имеет интуиция лица, принимающего решение.

В-пятых, принимаемые решения могут непосредственно затрагивать интересы лиц, принимающих решение и системных аналитиков. Поэтому их интересы, мотивы поведения влияют на выбор решения.

Перечисленные особенности подчеркивают отличие задачи принятия управленческого решения от чисто математической задачи нахождения оптимального решения.

Часто для принятия решения существует не один критерий, а их совокупность. Причем в этом случае отдельные критерии являются первостепенными для принятия решения, а другие второстепенными. Так образуется "дерево критериев", во главе которого основные критерии, а в основании – второстепенные критерии, позволяющие разработать и принять оптимальное решение на любом уровне управления.

2.2 Критерий как способ количественного измерения степени достижения цели

Важным этапом формирования модели управления является описание целей функционирования в терминах характеристик предприятия как сложной системы. Для этого проводится разукрупнение (квантификация) исходной цели на совокупность подцелей. При необходимости полученные подцели могут быть соотнесены с каким-то аспектом деятельности предприятия

Последовательное осуществление квантификации позволяет получить многоуровневое иерархическое "дерево целей" предприятия, на нижнем уровне которого формируется полный неизбыточный набор измеримых параметров оперативной деятельности. В последствии это дает возможность построить совокупность вычислительных процедур, связывающих цели высшего уровня с первичными параметрами внешней и внутренней сред и создающую основу для принятия корректных управленческих решений.

Так, например, в рамках системы сбалансированных показателей эффективности (Balanced Scorecard, BSC) предприятие рассматривается в четырех основных проекциях: 1) финансовой, 2) маркетинговой, 3) проекции внутренних бизнес-процессов, 4) проекции обучения и роста. Для каждой из этих проекций разрабатывается индивидуальная для каждого предприятия цепочка формализованных по определенной методике целей и соответственно совокупность стратегий. С целями могут соотноситься как количественные, так и качественные критерии. Количество иерархических уровней "дерева целей" зависит от масштаба предприятия и определяется в соответствии с его организационным построением. Например, первый - корпоративный уровень, второй - уровень бизнес-единиц, третий - уровень департаментов и руководителей высшего звена, четвертый - уровень подразделений и менеджеров среднего звена, пятый - отделов, низшего руководства, шестой - линейного персонала. Интеграция критериев происходит горизонтально (за определенные периоды времени) в рамках каждого из уровней. Вертикальной интеграции критериев, как правило, не осуществляется. Эффективность достижения вышестоящих целей определяют только критериями данного уровня. В процессе обратной связи осуществляется мониторинг и анализ того, насколько грамотно была спроектирована первоначальная модель. Если возникает ситуация, когда цели низшего уровня достигнуты, но при этом имеет место неудовлетворительное положение на более высоком уровне, тогда возникает вопрос о пересмотре подцелей или более правильном определении критериев эффективности. Если процесс квантификации удается довести до получения набора количественно измеримых целей, то возникает задача определения для каждой цели этого набора численных параметров, обычно называемых критериями оценки системы. Здесь разнообразие и противоречивость декларируемых различными заинтересованными сторонами целей находит отражение в проблеме многокритериальности оценки системы. Необходимость использования для оценки эффективности функционирования нескольких критериев обусловлена следующими причинами. Во-первых, "дерево целей" предприятия на нижнем уровне иерархии содержит, как правило, ни одну, а набор количественно измеримых целей, не сводимых одна к другой, и поэтому описываемых различными, в том числе косвенными критериями. Во-вторых, каждая цель не обязательно характеризуется одним критерием. В общем случае процесс квантификации приводит к построению многоуровневого "дерева целей", причем число уровней иерархии "дерева" определяется числом этапов квантификации, а последнее, в свою очередь, зависит от степени детализации параметров бизнес-процессов. Чрезмерная детализация может привести к потере набором целей свойства неизбыточности, поскольку влияние каждой мелкой цели на исходную цель оказывается пренебрежимо малым. Таким образом, благодаря представлению предприятия как одного из видов целенаправленной деятельности удается построить модель управления предприятием, увязывающую параметры всех реализуемых бизнес-процессов в единую систему регулирования. При этом формализованное "дерево целей" ("дерево критериев") становится универсальным инструментом оценки всего множества разрабатываемых и принимаемых управленческих решений. Важность критерия оценивается при помощи выбранных исследователями оценочных шкал критериев.

 

2.3 Построение "дерева критериев" для принятия решения


Рассмотрим построение "дерева критериев" на конкретном примере.

Рассмотрим решение об оценке качеств персонала предприятия. Для оценки индивидуальных качеств специалистов и их вклада в конечный результат деятельности предприятия туриндустрии необходимо разработать специальную аттестационную таблицу, которая должна отражать специфику работы специалистов конкретного подразделения.

Разработка такой таблицы требует решения следующих задач:

Ø для каждого структурного подразделения необходимо разработать словарь деловых характеристик;

Ø разработать критерии оценок (типы требований) к деловым характеристикам;

Ø определить значимость каждого критерия (присвоить весовой коэффициент);

Ø каждому критерию сопоставить признаки оценок требований с определенным весовым коэффициентом.

Представим формализованное решение предлагаемой задачи. Модель будет содержать следующие параметры:

Хi — качество i-го специалиста, i = 1,2...,I, где I — количество специалистов в структурном подразделении (предприятии);

Yj — выбранные критерии, j = 1, 2,..., J, где J — количество критериев;

Yjp — признаки критериев, j = 1, 2,..., J — соответствует номеру критерия, p =1,2,...,d (m) — количество признаков у данного критерия;

Yjpq — уровни оценок признаков, q = 1, 2,..., Q, где Q — количество уровней оценок;

Rj, rp — весовые коэффициенты.

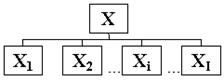
Модель позволяет найти F(Xi) — неотрицательное число, которое будет тем больше, чем лучше качество Хi специалиста и его вклад в конечный результат деятельности предприятия (подразделения). Составляющими Хi являются выбранные критерии (требования) Yj, которые и определяют индивидуальные качества специалиста. В качестве критериев могут выступать: знания и опыт, способность принятия решений, ответственность, исполнительность, информационные связи и контакты, персональный вклад и пр. Каждому из критериев приписывается весовой коэффициент Rj (в соответствии с оценочной шкалой критерия), который определяется либо индивидуально руководителем, либо экспертным путем. Для более точного определения индивидуальных качеств специалиста и объективной его оценки каждый из составляющих критериев подразделяется на несколько признаков Yjp, для которых также устанавливаются весовые коэффициенты rp, и разрабатывается шкала оценки (уровни). Модель удобно представить графически в виде дерева качества специалиста ("дерева критериев") (рис.2.1, 2.2). Для этого необходимо:

Ø  построение деревьев качества специалистов по всем выбранным критериям;

Ø  согласование с экспертами (либо индивидуально) характера связей между элементами и определение весовых коэффициентов по всем узлам деревьев;

Ø  разработку шкал (уровней) для оценки признаков (Yjpq), которые могут быть как непрерывными, так и дискретными и имеют значения от нуля до максимально определенной величины.

Рисунок 1.1 – Модель качества (Х) специалиста

Рисунок 1.2 – Построение дерева качества специалиста

Хi – качество i-го специалиста, i = 1,2,…,I, где I – количество специалистов;

Yj – выбранные критерии, j = 1,2,…,J, где J – количество критериев;

Yjp – признаки критериев, j = 1,2,…,J, где J – количество критериев, p=1,2,…,d (m) — количество признаков у данного критерия;

Yjpq — уровни оценок признаков, q = 1,2,…, Q, где Q — количество уровней оценок;

Rj, rp – весовые коэффициенты.

В результате решения по данной модели определяется сумма баллов конкретного сотрудника анализируемого структурного подразделения, которая соответствует сумме баллов, определенных уровнем оценок признаков, взятых из оценочной шкалы. Причем эта величина будет стремиться (ограничена сверху) к общей сумме баллов, которые может набрать "идеальный" сотрудник. Для удобства расчетов эта величина определяется в 1000 баллов:


Для оценки деятельности сотрудников конкретного структурного подразделения модель можно представить в виде таблицы (таблица 2.1), в которой отображаются те критерии, по которым руководство хотело бы их оценить с точки зрения качества выполнения этих работ и с учетом вклада сотрудника в конечный результат деятельности подразделения (предприятия). Таблица строится на основе вымышленных данных.

Критерий (Yj)

Весовой коэффициент (Rj)

Признаки (Yjp)

Весовой коэффициент (rp)

Уровни (Yjpq)

в %

в баллах

в %

в баллах

1

2

3

4

5

Профессиональные знания и навыки

25

250

Профессиональная квалификация

30

75

0

8

20

50

75

Знание психологии продаж

10

25

0

5

15

20

25

Умение расположить к себе

10

25

0

5

15

20

25

Способность мотивировать и убеждать

10

25

0

5

15

20

25

Умение выражать свои мысли

10

25

0

5

15

20

25

Умение определить темперамент и характер клиента

10

25

0

5

15

20

25

Знание компьютера и оргтехники

6

15

0

3

7

12

15

Знание языков

6

15

0

3

7

12

15

Выдержка

4

10

0

2

5

8

10

Компетентность в принятии решений

4

10

0

2

5

8

10

 

 

 

 

100

250

 

 

 

 

 

Производственный опыт и ответственность

25

250

Стаж профессиональной деятельности

30

75

0

8

20

50

75

Профессиональная ответственность

10

25

0

5

15

20

25

Навыки решения типовых задач

10

25

0

5

15

20

25

Умение предусматривать последствия принимаемых решений

10

25

0

5

15

20

25

Способность урегулировать претензии клиента после его возвращения из тура

10

25

0

5

15

20

25

Опыт работы автономно

10

25

0

5

15

20

25

Опыт работы в команде

6

15

0

3

7

12

15

Связи и контакты

6

15

0

3

7

12

15

Стабильность работы

4

10

0

2

5

8

10

Эмоциональная выносливость

4

10

0

2

5

8

10

 

 

 

 

100

250

 

 

 

 

 

Готовность работать

25

250

Эффективность работы

30

75

0

8

20

50

75

Любовь к своему делу

14

35

0

5

15

25

35

Не останавливаться на достигнутом

10

25

0

15

20

25

Инициативность

10

25

0

5

15

20

25

Целеустремленность

10

25

0

5

15

20

25

Готовность работать сверхурочно

10

25

0

5

15

20

25

Предприимчивость

6

15

0

3

7

12

15

Готовность идти на риск

6

15

0

3

7

12

15

Исполнительность

4

10

0

2

5

8

10

 

 

 

 

100

250

 

 

 

 

 

Персональные характеристики

25

250

Личное обаяние

14

35

0

5

15

25

35

Внешний вид

12

30

0

5

15

25

30

Общительность

12

30

0

5

15

25

30

Корректность поведения

10

25

0

5

15

20

25

Коммуникабельность

10

25

0

5

15

20

25

Решительность и настойчивость

8

20

0

4

10

17

20

Уверенность в себе

6

15

0

3

7

12

15

Эрудиция

6

15

0

3

7

12

15

Аккуратность

6

15

0

3

7

12

15

Самокритика

6

15

0

3

7

12

15

Здоровье

6

15

0

3

7

12

15

Чувство юмора

4

10

0

2

5

8

10

 

 

 

 

100

250

 

 

 

 

 

Всего

100

1000

 

 

1000

 

 

 

 

 


На условном примере туристского предприятия покажем работу данной модели. Предположим, что руководитель отдела продаж решил оценить работу своих сотрудников — менеджеров по продажам турпродукта. Для этого он разработал аттестационную таблицу, состоящую из четырех критериев. Каждый критерий представлен определенным набором признаков, которые оцениваются дискретной шкалой, содержащей пять уровней (от 1 — "практическое отсутствие" до 5 — "превосходно"). Чем больше вводится признаков, характеризующих каждый критерий, и чем больше уровней имеет оценочная шкала, тем выше адекватность модели и тем точнее можно оценить деятельность сотрудника. Весовые коэффициенты критериев Rj устанавливаются так, чтобы общая сумма всех весов была равна 100% и 1000 баллам (=100%, =1000 баллов), весовые коэффициенты признаков rp определяются:  = Rj в баллах и  = 100%. По таблице определяется количество баллов, которое может набрать каждый сотрудник, и общая сумма баллов сотрудников всего подразделения. Разделив фонд оплаты труда (ФОТ), выделяемого подразделению, на общую сумму баллов, получим цену (стоимость) одного балла. Отсюда легко можно найти оплату каждого сотрудника, перемножив цену балла на набранное количество баллов у каждого сотрудника. Такой подход ставит оплату труда специалиста в прямое соответствие с его индивидуальными качествами и тем вкладом, который он вносит в результат деятельности (подразделения) предприятия.

Таким образом, "дерево критериев" позволяет учесть различные факторы, помогающие определить наиболее оптимальное управленческое решение.

Заключение

Таким образом, в данной работе были рассмотрены такие вопросы принятия управленческих решений, как уровни, на которых происходит принятие данных решение, в зависимости от уровней иерархии менеджеров, а также понятие "дерева критериев" как способа принятия оптимального управленческого решения.

В результате проделанной работы можно сделать ряд выводов.

Принятие решений – составная часть любой управленческой функции. Необходимость принятия решения пронизывает все, что делает управляющий, формируя цели и добиваясь их достижения. Поэтому понимание природы принятия решений чрезвычайно важно для всякого, кто хочет преуспеть в искусстве управления.

Управленческие решения можно классифицировать по уровням их принятия. Так, управленческие решения подразделяются на решения, принимаемые высшим, средним и низшим звеном управления.

На каждом уровне принятия управленческих решений имеются свои особенности. При этом разделение управленческих решений между звеньями управления позволяет повысить эффективность управления предприятием.

При принятии оптимального управленческого решения руководствуются различными критериями. Как правило, это не один критерий, а их система, которая образует так называемое "дерево критериев", в котором критерии подразделены на главные и второстепенные.

Правильно составленное "дерево критериев" позволяет эффективно решать различные управленческие задачи.

Литература

1.   Бодди Д. Основы менеджмента / Пер. с англ. Ю. Н. Каптуревского, Ю. Писаренок. – Питер, 2003. - 809 с.

2.   Основы управления персоналом. Учебник для вузов // Под редакцией проф. Б.М. Генкина. — М.: Высшая школа, 2003. - 345 c.

3.   Сухов С.В. Целеполагание на коммерческом предприятии // http: // www.cfin.ru/management/goals_sukhov.shtml.

4.   Титова Н.Л. Разработка управленческих решений: курс лекций. – М.: ЮНИТИ, 2004. – 453 с.

5.   Управление компанией // http: // www. IFY.ru.

Похожие работы на - Особенности принятия управленческих решений

 

Не нашли материал для своей работы?
Поможем написать уникальную работу
Без плагиата!
Без нейросетей!