Организация и анализ инвестиционной деятельности предприятия
МІНІСТЕРСТВО ОСВІТИ І НАУКИ УКРАЇНИ
ХАРКІВСЬКИЙ НАЦІОНАЛЬНИЙ ЕКОНОМІЧНИЙ УНІВЕРСИТЕТ
Фінансовий факультет
Кафедра фінансів
Допускаю до захисту:
_________________________
/зав. кафедри фінансів,
к.е.н., доц. Мартюшева Л. С./
МАГІСТЕРСЬКА ДИПЛОМНА РОБОТА
ОРГАНІЗАЦІЯ ТА АНАЛІЗ ІНВЕСТИЦІЙНОЇ ДІЯЛЬНОСТІ
ПІДПРИЄМСТВА
Спеціальність 8.050104 – фінанси
Керівник дипломної роботи,
к.е.н., доцент кафедри фінансів А. В. Доронін
Керівник дипломної роботи,
ст. викладач кафедри фінансів М. М. Берест
Консультант з охорони праці
та техніки безпеки,
ст. викладач кафедри БЖДЛ Ф. В. Мусіяченко
Студентка 5 курсу, 4 групи Ж. О. Бєлоконь
Харків – 2009
ЗМІСТ
Вступ
1. Теоретичні основи
організації та аналізу інвестиційної діяльності підприємства
1.1. Загальна
характеристика інвестиційної діяльності підприємств
1.2. Економічна ефективність
інвестицій
1.3. Особливості інвестування
промисловості
Висновок до розділу 1
2. Аналіз фінансового стану підприємства
2.1. Характеристика виробничо-господарської
діяльності ТОВ «Хартеп»
2.2. Експрес-аналіз фінансової звітності підприємства
2.3. Аналіз ліквідності та фінансової стійкості
підприємства
2.4. Аналіз використання
інвестиційного потенціалу підприємства
Висновок до розділу 2
3. Методичні підходи до
вибору об’єктів інвестування для ТОВ «Хартеп»
3.1. Структурно-функціональна
модель процесу організації інвестиційної діяльності підприємства
3.2. Методичний підхід до
вибору оптимального варіанту фінансового інвестування на основі розрахунку
ефективної відсоткової ставки
3.3. Методичний підхід до оцінки
ефективності інвестування коштів
Висновок до розділу 3
4. Охорона праці на ТОВ
«Хартеп»
Висновок
Перелік використаної
літератури
Додатки
ВСТУП
У сучасному світі
різноманітних і складних економічних процесів і взаємовідносин між громадянами,
підприємствами, фінансовими інститутами, державами на внутрішньому та
зовнішньому ринках гострою проблемою є ефективне вкладення капіталу з метою
його збільшення, тобто інвестування. Економічна природа інвестицій обумовлена
закономірностями процесу розширеного відтворення і полягає у використанні
частини додаткового суспільного продукту для збільшення кількості і якості всіх
елементів системи продуктивних сил суспільства. Всі інвестиційні складові
формують, таким чином, структуру засобів, що безпосередньо впливає на
ефективність інвестиційних процесів і темпи розширеного відтворення.
Потреба у здійсненні
інвестиційної діяльності може бути продиктована різними факторами, проте
найбільшою мірою поширеним є інвестування, що зумовлює стратегію зростання. Інвестиції в даному
контексті є неодмінною умовою виходу на якісно новий рівень, що забезпечує
продовження старих конкурентних переваг або створення нових. Крім того,
інвестиції затребувані в ряді антикризових заходів.
В якості альтернативи
інвестицій в основний капітал можна виділити фінансові інвестиції, однак не
настільки поширені у зв'язку з відсутністю у організацій великого обсягу
тимчасово вільних грошових коштів. У випадку, коли фінансові вкладення носять
систематичний характер, організація потрапляє під дію законодавства щодо
регулювання фінансових ринків з усіма відповідними наслідками і обмеженнями.
Так як основною метою
інвестиційної діяльності є забезпечення реалізації найбільш ефективних форм
вкладення капіталу, спрямованих на розширення економічного потенціалу
підприємства, важливим аспектом, що характеризує проблематику інвестиційної
діяльності, є адекватна оцінка економічної ефективності інвестиційних проектів.
При цьому проблема прийняття рішення про інвестиції полягає в оцінці плану
передбачуваного розвитку подій з точки зору того, наскільки зміст плану та
ймовірні наслідки його здійснення відповідають очікуваного результату. Практика інвестиційного
аналізу свідчить про наявність численних підходів до оцінки інвестиційних
проектів. Безліч підходів до певної міри не дозволяє судити про точності оцінки
за допомогою будь-якого методу окремо, що зумовлює необхідність комбінування
підходів і методів з метою найбільш адекватного аналізу передбачуваного проекту
інвестування.
Процес інвестування відіграє важливу роль
в економіці будь-якої країни. Інвестування в значній мірі визначає економічне
зростання держави, зайнятість населення і становить суттєвий елемент бази, на
якій грунтується економічний розвиток суспільства. Тому проблема, пов’язана з
ефективним здійсненням інвестування, заслуговує серйозної уваги.
Значення аналізу для
планування та здійснення інвестиційної діяльності дуже важливо. При цьому
особливу важливість має попередній аналіз, який проводиться на стадії розробки
інвестиційних проектів і сприяє прийняття розумних і обгрунтованих
управлінських рішень.
Досить часто підприємство стикається з
ситуацією, коли є ряд альтернативних (взаємовиключних) інвестиційних проектів.
Природно, виникає необхідність у порівнянні цих проектів і виборі найбільш
привабливих з них за будь-якими критеріям.
Головним напрямком
попереднього аналізу є визначення показників можливої економічної ефективності
інвестицій, тобто віддачі від капітальних вкладень, які передбачені по проекту.
Як правило,
в розрахунках приймається до уваги тимчасової аспект вартості грошей.
Науковий інтерес до проблеми інвестиційної
діяльності організацій досить великий, про що свідчать численні публікації в
наукових і науково-практичних виданнях. Слід зазначити, що внесок у розробку
даної проблеми вносять як вітчизняні, так і зарубіжні вчені та практики. Так,
теоретичною основою дослідження стали розробки, концепції і гіпотези, обгрунтовані
і представлені в сучасній економічній літературі таких вчених як Бень Т.,
Бланк І. А., Гриньова В. М., Ковалев В. В., Коюда В. О., Коюда О. П. та інших.
Актуальність цієї роботи обумовлена, з одного боку, великим інтересом до даної теми в сучасній науці, з іншого боку, її недостатньою розробленістю. Розгляд питань, пов'язаних з даною тематикою
носить як теоретичну, так і практичну значимість.
Висока значимість і недостатня практична розробленість даної проблеми визначають новизну даного дослідження.
В умовах ринкової економіки можливостей
для інвестування багато. Разом з тим обсяг фінансових ресурсів, доступних для інвестування, у будь-якого
підприємства обмежений.
Сказане вище дозволяє зробити висновок про актуальність означеної
теми дослідження. Виходячи з наукової та практичної актуальності теми і спираючись
на результати вивчення окремих її аспектів у світовій та національній
економічній літературі, метою цієї роботи є дослідження критеріїв, яким треба
приділити увагу при плануванні інвестиційної діяльності.
Поставлена мета
розкривається через наступні завдання:
розглянути сутність
інвестицій як економічної категорії;
проаналізувати теоретичні
підходи до оцінки економічної ефективності інвестиційної діяльності;
оцінити майновий стан і
фінансовий стан ТОВ «Хартеп».
Об'єктом дослідження
виступає процес здійснення інвестиційної діяльності на підприємстві ТОВ
«Хартеп». В якості предмета дослідження розглядається аналіз інвестиційної діяльністі
та особливості її організації на вказаному підприємстві.
Товариство з обмеженою
відповідальністю
«Хартеп», з
використанням даних якого виконувалась робота, створено на базі однодумців в 2000 році.
ТОВ «Хартеп» – багатопрофільне підприємство, основний напрямок
діяльності – поставка автоматизованих систем контролю й обліку енергоресурсів
(автоматизованих інформаційно-вимірювальних систем) (АСКУЄ (АІВС)), оперативно-інформаційних
комплексів й автоматизованих систем диспетчерського керування (ОІК АСДУ), автоматизованих систем
керування технологічними процесами (АСК ТП), автоматизованих систем розрахунків зі споживачами за енергоресурси
(біллінг) (АСРС),
корпоративних і локальних мереж, виробництво промислового устаткування власної розробки для вище
перерахованих систем та інше.
За
результатами проведеного дослідження у червні 2009 р. подана до друку у фахове
видання «Бизнес
Информ»
стаття "Теоретические
подходы к управлению рисками в инвестиционной деятельности" та подана до
фахового журналу "Управління розвитком" стаття «Структурно-функціональна модель
процесу організації інвестиційної діяльності підприємства».
1. ТЕОРЕТИЧНІ ОСНОВИ ОРГАНІЗАЦІЇ ТА АНАЛІЗУ ІНВЕСТИЦІЙНОЇ
ДІЯЛЬНОСТІ ПІДПРИЄМСТВ
1.1. Загальна характеристика інвестиційної діяльності підприємств
Термін «інвестиції» походить від латинського слова invest, що означає
«вкладати». Інвестування може бути визначене як довгострокове вкладення
економічних ресурсів із метою створення й одержання чистого прибутку в
майбутньому, що перевищує загальну початкову величину інвестицій (вкладеного
капіталу). При цьому приріст капіталу повинний бути достатнім, щоб компенсувати
інвестору відмовлення від використання власних засобів на споживання в
поточному періоді, винагородити його за ризик і відшкодувати утрати від
інфляції в майбутньому періоді [51].
Інвестиції — це вкладення в активи підприємства з метою випуску
нової продукції, підвищення її якості, збільшення кількості продажів і
прибутку. Інвестиції підприємства забезпечують просте й розширене відтворення
капіталу, створення нових робочих місць, приріст заробітної плати і купівельної
спроможності населення, приплив податків у державний і місцевий бюджети.
Поняття «інвестиції» і «капіталовкладення» тотожні. Термін
«капіталовкладення» застосовувався в директивній економіці. Економічна
категорія «інвестиції» використовується в ринковій економіці.
З економічної точки зору інвестиції розглядаються як нагромадження
основного й оборотного капіталу. З фінансової точки зору інвестиції — це
заморожування ресурсів із метою одержання доходів у майбутньому періоді. З
бухгалтерської точки зору інвестиції — це об'єднання зроблених капітальних
витрат в одну чи кілька статей активів і пасивів балансу.
Для сутнісно-змістової характеристики інвестицій істотне
теоретичне і практичне значення має визначення різновидів інвестицій за
окремими ознаками, тобто за їхнім функціонально-елементним складом (рис. 1.1).
Рис. 1.1. Функціонально-елементний склад інвестицій підприємства
Відповідно до ч. 1 ст. 325 ГК [3] інвестицій у сфері господарювання визнаються
довгострокові вкладення різних видів майна, інтелектуальних цінностей і
майнових прав в об'єкти господарської діяльності з метою одержання доходу
(прибутку) чи досягнення іншого соціального ефекту.
Схоже визначення містить і ст. 1 Закону України від 18 вересня
1991 р. «Про інвестиційну діяльність» [2], відповідно якій інвестиціями є усі
види майнових і інтелектуальних цінностей, що вкладаються в об'єкти підприємницького
й іншого видів діяльності, у результаті якої створюється прибуток (доход) чи
досягається соціальний ефект.
Закон називає зразковий перелік таких цінностей, до них
відносяться:
цільові банківські вклади, паї, акції та інші цінні папери;
спонукуване й нерухоме майно (будинки, спорудження, обладнання та інші
матеріальні цінності);
майнові права інтелектуальної власності;
сукупність технічних, технологічних, комерційних і інших знань, оформлених
у виді технічної документації, виробничий досвід, необхідний для організації
того чи іншого виду виробництва, але не запатентованих ("ноу-хау");
права користування землею, водою, ресурсами, будинками,
спорудженнями, оснащенням, а також інші майнові права;
інші цінності.
Інвестиції у відтворення основних фондів і на приріст
матеріально-виробничих запасів здійснюються у формі капітальних вкладень.
Стаття 116 ГК [3] визначає, що іноземною інвестицією є цінності, що
вкладаються іноземними інвесторами в об'єкти інвестиційної діяльності
відповідно законодавству України з метою одержання прибутку чи досягнення
соціального ефекту.
Іноземні інвестиції можуть вкладатися в об'єкти, інвестування в
які не заборонені законами України.
Стаття 391 ГК [3] визначає види іноземних інвестицій. Так, іноземні інвестори
мають право здійснювати інвестиції на території України у виді іноземної
валюти, що визнається конвертованою Національним банком України, будь-якого
спонукуваного і нерухомого майна і зв'язаних із ним майнових прав; інших
цінностей (майна), що відповідно закону визнаються іноземними інвестиціями.
Заборона чи обмеження будь-яких видів іноземних інвестицій може здійснюватися
винятково законом.
Забороняється інвестування в об'єкти, створення й використання
яких не відповідає вимогам санітарно-гігієнічних, радіаційних, екологічних,
архітектурних і інших норм, установлених законодавством України, а також
піднімає права й інтереси громадян, юридичних осіб і держави, що охороняються
законом.
Сукупність практичних дій громадян, юридичних осіб і держави щодо
реалізації інвестицій називається інвестиційною діяльністю (ч. 1 ст. 2 Закону України
«Про інвестиційну діяльність» [2]).
Інвестиційна діяльність здійснюється на основі:
інвестування, здійснюваного громадянами, недержавними
підприємствами, господарськими асоціаціями, союзами і суспільствами, а також
суспільними й релігійними організаціями, іншими юридичними особами, заснованими
на колективній власності;
державного інвестування, здійснюваного органами влади і керування
України, місцевих Рад народних депутатів за рахунок засобів бюджетів,
позабюджетних фондів і позичкового засобу, а також державними підприємствами й
установами за рахунок власного й позичкового засобу;
іноземного інвестування, здійснюваного іноземними громадянами, юридичними
особами й державами;
загального інвестування, здійснюваного громадянами і юридичними
особами України, іноземних держав.
Однієї з форм інвестиційної діяльності, що здійснюється з метою
впровадження досягнень науково-технічного прогресу у виробництво і соціальну
сферу, є інноваційна діяльність.
Інвестиціями є усі види майнових і інтелектуальних цінностей, що
вкладаються в об'єкти підприємницької й іншої діяльності, у результаті якої
створюється прибуток (доход) чи досягається соціальний ефект (ст. 1 Закону України
«Про інвестиційну діяльність» [2]).
Такими цінностями можуть бути:
засобу, цільові банківські вклади, паї, акції та інші цінні
папери;
спонукуване й нерухоме майно (будинку, спорудження, обладнання й
інші матеріальні цінності);
майнові права інтелектуальної цінності;
сукупність технічних, технологічних, комерційних і інших знань,
оформлених у виді технічної документації, навичок і виробничого досвіду,
необхідних для організації того чи іншого виду виробництва, але не
запатентованих ("ноу-хау");
права користування землею, водою, ресурсами, будинками,
спорудженнями, обладнанням, а також інші майнові права;
інші цінності.
Існує наступна класифікація інвестицій [47]:
—
за натурально-речовинним втіленням — матеріальні, нематеріальні і фінансові;
— за призначенням —
прямі, спрямовані на придбання основних і оборотних коштів, і портфельні — для
покупки цінних паперів — по джерелах фінансування — власні (амортизація,
прибуток і виторг від реалізації майна) і позикові (кредит, лізинг і ін.);
—
за походженням — національні й іноземні;
—
за метою — для одержання прибутку, соціальних чи екологічних результатів;
— за термінами здійснення — короткострокові, середньострокові і довгострокові;
—
за об'єктами — виробничі і невиробничі;
—
за напрямком — для відновлення основного капіталу, для приросту нерухомості
й оборотного капіталу, для створення нової і підвищення якості продукції, що
випускається.
Термін «інвестиції» має декілька значень. В літературі можна
зустріти різні його визначення. Найбільш загальним визначенням можна вважати
визначення інвестицій як використання грошей з метою отримання доходу або
нарощування капіталу. Всі види майнових та інтелектуальних цінностей, які
вміщені в об'єкти підприємницької й інших видів діяльності з метою отримання
прибутку або досягнення соціального ефекту, є інвестиціями [32].
Вже з цього визначення видно, що мова йде не просто про гроші, а
про гроші, котрі є грошовою формою кругообігу капіталу, тобто інвестиційним
капіталом. Інвестиційний капітал може бути власним (нерозподілений прибуток,
амортизаційні відрахування) і позиченим, джерелом якого є тимчасово вільні чужі
грошові кошти. Але вільні грошові кошти не є інвестиціями. Вони перетворюються
в інвестиції в руках тих, хто витрачає їх на купівлю елементів виробництва, що
приносить доход, тобто перетворює в реальні активи. Реальні активи — це
економічні ресурси фірми: основний і оборотний капітал, нематеріальні кошти,
використовувані для виробничої діяльності з метою отримання доходу. Власні
накопичення, переходячи в реальні активи, прямо перетворюються в інвестиції.
Чужі вільні грошові кошти (заощадження) перетворюються в інвестиції через ринок
капіталу, насамперед, через фондовий ринок.
Об'єктами інвестування можуть бути реальні інвестиційні проекти,
об'єкти нерухомості та різноманітні фінансові інструменти. Фінансові
інструменти як об'єкти інвестування — це різні типи фінансових зобов'язань:
депозитні вклади в банку; цінні папери (облігації, акції, опціони тощо).
Отже, термін «інвестиції» використовують для позначення:
вкладання грошових коштів, інтелектуальних цінностей в реальні, активи,
тобто у виробництво;
вкладення грошових коштів у фінансові інструменти, тобто купівля цінних
паперів.
Під інвестиціями розуміються ті економічні ресурси, які
спрямовуються на збільшення реального капіталу суспільства, тобто на розширення
або модернізацію виробничого апарату (чинників виробництва, в тому числі і
«людського капіталу»). Зарубіжні інвестиції передбачають переміщення капіталу
від країни-джерела до країни-реципієнта інвестицій.
Зарубіжні інвестиції, як відомо, здійснюються у двох основних
формах (рис. 1.2):
прямі інвестиції;
портфельні інвестиції.
Відмінність між ними визначена тим, що прямі інвестиції
забезпечують контроль інвестора над фірмою, а портфельні інвестиції не дають
права контролю над об'єктом інвестування. Права інвестора за портфельних
інвестицій обмежуються отриманням доходу: дивіденду, відсотка, зростання
курсової вартості цінних паперів (акцій).
Прямі інвестиції, на відміну від портфельних, — це не просто
переміщення капіталу за кордон. Виникають тривалі ділові зв'язки між інвестором
і підприємством — об'єктом інвестування: передавання сучасної технології (в
тому числі управлінської), ринкових секторів, права використання торговельної
марки інвестора і т. ін.
Право контролю інвестору-резиденту іншої країни забезпечує
контрольний пакет звичайних акцій і голосів в акціонерному підприємстві або їх
еквівалент в неакціонерному підприємстві [20].
Рис. 1.2. Можливі види і форми іноземних інвестицій
Наявність широкого спектру підходів до визначення категорії «інвестиції»
вказує на багатогранну її сутність, для уточнення якої вітчизняний науковець
Бланк І.О. пропонує зупинитися на розгляді основних характеристик інвестицій [15].
1. Інвестиції як предмет економічного управління
Не дивлячись на розглянуті раніше достатньо значні термінологічні
відмінності, інвестиції трактуються як категорія економічна, що пов'язана із
сферою економічних відносин, економічної діяльності. Відповідно, виступаючи
носієм економічних характеристик і економічних Інтересів, інвестиції є об'єктом
економічного управління як на макро-, так і на мікрорівні будь-яких економічних
систем.
2. Інвестиції як найбільш активна форма залучення накопиченого капіталу
в економічний процес
Оскільки накопичений підприємством запас капіталу весь
використовується в інвестиційних цілях, а частина грошового або іншого капіталу
у зв'язку з вимогами ліквідності являє собою форму страхового запасу,
зберігаючи пасивну форму, то інвестиції в противагу цьому слід розглядати як
найбільш активну форму використання накопиченого капіталу.
3. Інвестиції як можливість використання накопиченого капіталу в
усіх альтернативних формах
В інвестиційному процесі кожна з форм накопиченого капіталу має
свій діапазон можливостей і специфіку механізмів конкретного використання.
Найбільш універсальною з позиції сфери використання в інвестиційному процесі є
грошова форма капіталу, яка для безпосереднього застосування в цьому процесі
потребує в більшості випадків його трансформації в інші форми. Капітал,
накопичений в формі запасу конкурентних матеріальних і нематеріальних благ,
готовий до безпосередньої участі в інвестиційному процесі, однак сфера його
використання в таких формах має вузько функціональне значення.
4. Інвестиції як альтернативна можливість вкладення капіталу в
будь-які об'єкти господарської діяльності
В комбінації з іншими факторами виробництва (трудові ресурси,
природні ресурси) інвестиційний капітал може бути використаний як для випуску
продукції споживчого призначення, так і капітальних товарів в формі засобів і
предметів праці.
5. інвестиції як джерело генерування ефекту підприємницької діяльності
Метою інвестування є досягнення конкретного ефекту, який може
носити як економічний, так і позаекономічний характер.
Досягнення ефекту інвестицій визначається їх потенційною здатністю
генерувати дохід.
6. Інвестиції як об'єкт ринкових відносин
Різноманітні інвестиційні ресурси, товари та інструменти, що
використовуються підприємством у процесі діяльності, виступають як об'єкти
купівлі-продажу на особливому виді ринку – «інвестиційному ринку». Останній
формується усією системою ринкових економічних умов, тісно пов'язаний з іншими
ринками (ринком праці, споживчих товарів, послуг тощо) і функціонує під певним
впливом різноманітних форм державного регулювання.
7. Інвестиції як об'єкт власності та розпорядження
Як об'єкт підприємницької діяльності інвестиції є носієм прав
власності і розпорядження. В сучасних умовах підприємство, що використовує
різні форми капіталу в інвестиційному процесі, можуть володіти правами
розпорядження без права власності на нього. В цьому випадку права власності і
розпорядження капіталом як інвестиційним ресурсом є розподіленим в розрізі
окремих суб'єктів економіки.
8. Інвестиції як об'єкт переваги
Між інвестуванням капіталу та отриманням інвестиційного доходу
часовий лаг може характеризуватися більшим або меншим інтервалом. Відповідно
перед інвестором стоїть альтернатива часової переваги використання капіталу –
а) вибирати для інвестиційної діяльності коротко- чи довгострокові об'єкти
(інструменти) інвестування з відповідним рівнем інвестиційного доходу; б)
надати перевагу можливостям майбутнього споживання замість поточного, не
дивлячись на те, що економічна цінність першого оцінюється нижче, ніж другого.
Для того, щоб перебороти указаний стереотип часової переваги і
спонукати власника капіталу до інвестування, відмовившись від його використання
на цілі споживання, необхідно забезпечити таку відмову вагомою винагородою у
формі інвестиційного доходу.
9. Інвестиції як носій ризику
Ризик є важливою характеристикою інвестицій, пов'язаного із усіма
їх формами і видами. Носієм фактору ризику інвестиції виступають як джерело
доходу в підприємницькій діяльності інвестора. Здійснюючи інвестиції, інвестор
завжди повинен усвідомлено йти на економічний ризик, пов'язаний з можливим
зниженням або недоотриманням суми очікуваного інвестиційного доходу, а також
можливою втратою (частковою чи повною) інвестиційного капіталу. Відповідно
ризик і доходність інвестицій в підприємницькій діяльності інвестора
взаємопов'язані.
10. Інвестиції як носій ліквідності
Процес діяльності вкладеного капіталу, який забезпечується його
ліквідністю, характеризується терміном дезінвестиції. Капітал, звільнений в
процесі дезінвестиції, може бути реінвестований в інші об'єкти та інструменти.
Таким чином, ліквідність інвестицій дозволяє формувати не тільки прямий, але й
зворотній потік капіталу, задіяного як інвестиційний ресурс.
Практичне здійснення інвестицій забезпечується інвестиційною
діяльністю підприємства, яка є одним з самостійних видів його господарської
діяльності та найважливішою формою реалізації його економічних інтересів.
Інвестиційна діяльність підприємства являє собою цілеспрямовано
здійснюваний процес вишукування необхідних інвестиційних ресурсів, вибору
ефективних об'єктів (інструментів) інвестування, формування збалансованої за
обраними параметрами інвестиційної програми (інвестиційного портфелю) та
забезпечення її реалізації [20].
Інвестиційна діяльність підприємства характеризується наступними
особливостями:
1. Вона є головною формою забезпечення росту операційної
діяльності підприємства і по відношенню до її цілей та задач носить підпорядкований
характер
Інвестиційна діяльність підприємства покликана забезпечувати
зростання його операційного прибутку в перспективному періоді за двома
напрямками: а) шляхом забезпечення операційних доходів (будівництва нових
філій; розширення обсягу реалізації за рахунок вдосконалення продукції,
освоєння нових унікальних її видів); б) шляхом забезпечення зниження
операційних витрат (своєчасна заміна фізично зношеного обладнання: оновлення
морально застарілих виробничих основних засобів та нематеріальних активів
тощо).
2. Форми і методи інвестиційної діяльності у меншій мірі
залежать від галузевих особливостей підприємства, ніж операційна його
діяльність
Це визначається тим, що інвестиційна діяльність підприємства
здійснюється переважно в тісному зв’язку з фінансовим ризиком, галузева
сегментація якого практично відсутня.
3. Обсяг інвестиційної діяльності підприємства характеризуються суттєвою
нерівномірністю по окремим періодам
Циклічність масштабів цієї діяльності визначається рядом умов – необхідністю
накопичення фінансових коштів, змінами «інвестиційного клімату» в країні,
можливістю формування внутрішніх умов для здійснення інвестиційної діяльності
(вичерпання резервів підвищення продуктивності використання наявних необоротних
активів).
4. Формування інвестиційного прибутку у віддаленій перспективі
Це означає, що між витратами інвестиційних ресурсів і отриманням
інвестиційного прибутку проходить звичайно тривалий період часу, що визначає
довгостроковий характер цих витрат.
5. Інвестиційна діяльність формує особливий самостійний вид грошових
потоків підприємства, які суттєво відрізняються в окремі періоди за своєю
спрямованістю
Протягом окремих періодів сума негативного грошового потоку по
інвестиційній діяльності підприємства значно перевищує суму позитивного
грошового потоку. Крім того, на перших етапах реалізації інвестиційного проекту
спостерігається лише відтік грошових коштів.
6. Інвестиційна діяльність характеризується наявністю ризику
Рівень інвестиційного ризику значно перевищує рівень операційного
(комерційного) ризику. Це пов'язано з тим, що в процесі інвестиційної
діяльності ризик втрати капіталу має більшу ймовірність виникнення, ніж в
процесі операційної діяльності [39].
Для успішного вирішення проблеми залучення та реалізації
інвестицій потрібні, зокрема, надійні методи визначення економічної
ефективності інвестиційних проектів.
1.2
Економічна ефективність інвестицій
Нині склалася ситуація невизначеності і розбіжностей у
застосуванні методів оцінки економічної ефективності інвестицій. Використання
традиційної методики [42], яка передбачає розрахунок абсолютної ефективності
капіталовкладень (строк окупності, чи коефіцієнт ефективності капіталовкладень)
і порівняльної ефективності (строк окупності, чи коефіцієнт ефективності
додаткових капіталовкладень, показник зведених витрат), яка офіційно не
скасована, поступово звужується. Починаючи з 90 - х років минулого століття,
поширення набула нова методика, запозичена на Заході, якою передбачається
розрахунок показників чистої приведеної вартості (NPV), дисконтованого строку
окупності (DPB), внутрішньої норми прибутку (IRR), індексу прибутковості
(коефіцієнта рентабельності інвестицій) (РІ).
Обидва методичні підходи мають певні переваги і недоліки. Т. Бень
виконав порівняльний аналіз зазначених методів [14]. Перевагами старої методики є доступність і
вірогідність вихідних даних, простота розрахунків, відсутність потреби у
прогнозуванні поточних витрат, цін, прибутку, строку дії проекту, можливість
визначення абсолютної ефективності загальної суми інвестицій якого-небудь
окремо взятого інвестиційного проекту, можливість оцінки порівняльної
ефективності будь-якої кількості альтернативних проектів і вибору з них
найбільш ефективного.
Недоліками старої методики є, перш за все, часткове врахування
фактора часу, оскільки прибуток не дисконтується, а приймається як стабільний
протягом наступних років. Лише в методичних рекомендаціях з визначення
економічної ефективності заходів щодо прискорення науково-технічного прогресу,
затверджених у 1988 р., здійснено спробу ліквідувати цей недолік шляхом
розрахунку так званого інтегрального ефекту [42].
До недоліків старої методики можна віднести також складність і
певну умовність приведення альтернативних варіантів технічного чи
організаційного рішення (проекту) до порівнянного виду, якщо ці варіанти
істотно відрізняються обсягами виробництва, якістю і асортиментом продукції,
вартістю інвестиційних ресурсів; неврахування відстрочки при виплаті основної
суми боргу та ін.
У літературі відзначаються як недоліки старої методики використання
нібито штучно сконструйованого показника зведених витрат, ігнорування
амортизації як джерела коштів. Проте ці зауваження не є недоліками старої
методики [14].
Беручи до уваги переваги і недоліки старої методики, а також багаторічний
досвід її пракіичного застосування, можна з упевненістю говорити про практичну
придатність і доцільність використання цієї методики для оцінки ефективності
інвестицій, особливо проектів короткострокового характеру.
Основна перевага нової методики полягає у врахуванні всіх витрат і
надходжень за весь строк дії проекту і зміни вартості грошей у часі, що
досягається дисконтуванням щорічних грошових надходжень, які генеровані
інвестиціями. Ідея, закладена в нову методику, приваблива і не викликає заперечень,
інша справа – як реалізується ця ідея. Як надходження, що генеруються
інвестиціями, приймаються грошові потоки, у складі яких теоретично
необгрунтовано враховуються прибуток, амортизація та залишкова вартість
виробничих фондів в останньому році функціонування проекту.
Ця методика має істотні недоліки, які зменшують її практичну
цінність [13]. При її застосуванні перш за все розраховується показник NPV, позитивне
значення якого визначається головним показником ефективності інвестиційного
проекту. У виданих у Росії [17] монографіях як найважливіший показник, виходячи
з офіційно затверджених Методичних рекомендацій [43], наводиться чистий
дисконтований доход (ЧДД), який за своєю сутністю виступає аналогом показника NPV, оскільки є
різницею між сумою дисконюваних грошових потоків за весь період передбачуваного
функціонування інвестиційного проекту і сумою дисконтованих інвестицій.
Одним з найістотніших недоліків показника NPV, як і взагалі всієї
нової методики (оскільки інші її показники – похідні від NPV), є необхідність
прогнозування періоду дії проекту. Науково обгрунтованих методів чи
рекомендацій щодо визначення його тривалості немає. У більшості згаданих та
інших джерел наголошується на необхідності брати строк дії проекту для
розрахунків, але залишається неясно, як його визначити.
У деяких випадках рекомендується виходити з нормативних строків
служби машин, тобто з того, чого немає, оскільки такі строки служби відсутні.
Якби навіть були офіційно затверджені нормативні строки служби машин, довелось
би передбачати повернення в останньому році дії проекту вартості всіх елементів
пасивної частини основних фондів підприємства, яка у загальній вартості
основних фондів у різних галузях промисловості становить 60-80%.
Розрахунки залишкової вартості будівель, споруд, передавальних засобів в
останньому році дії проекту пов'язано з великими похибками і є умовними,
оскільки невідомо, чи будуть вони з часом корисними для якогось нового
виробництва, чи виявляться зовсім непотрібними.
Дані зауваження стосуються і поодиноких рекомендацій щодо
встановлення строку дії проекту виходячи з морального старіння машин [17], але як саме це зробити
– не повідомляється.
Моральне старіння – це не якась заздалегідь відома величина, а
поступовий процес, який розпочинається відразу після придбання нової машини. На
якомусь етапі життєвого циклу машин воно досягає такого ступеня, коли доцільно
оновити техніку. Тому для діючої машини в процесі її експлуатації необхідно
періодично розраховувати ступінь морального старіння і, відповідно, економічну
доцільність заміни на нову техніку. Для нової машини потрібно було б якось
визначити (і це передбачається в інвестиційному проекті), через скільки років
її моральне старіння досягне вже неприйнятного ступеня. Визначення цього
періоду означає не що інше, як прогнозування темпів науково-технічного прогресу
у відповідній галузі машинобудування. Зрозуміло, що обґрунтування таких
прогнозів для розрахунку економічної ефективності кожного інвестиційного
проекту практично неможливе.
У практиці проектування нових, розширення чи реконструкції діючих
підприємств не вирішується питання про те, скільки років діятиме підприємство
за розроблюваним проектом. У ряді проектних організацій (без будь-яких
обґрунтувань для розрахунку показника NPV для всіх інвестиційних проектів) цей
період приймається у 10 років.
Відсутність рекомендацій чи наведені вище поради, які не мають
необхідної для практичного застосування конкретизації, зумовлюють суб'єктивізм
у визначенні тривалості дії проекту, а відтак – і визнання його ефективним чи
неефективним. Справа в тому, що відповідь на це запитання, для якого і
проводяться розрахунки ефективності, в багатьох випадках залежить від вибору
строку дії проекту. Досить часто виникає ситуація, коли за строк дії проекту,
наприклад, 6 років він виявляється неефективним, а за 7 – ефективним.
Загальновідомо, що немає (і не може бути) таких методів, які
дозволяють визначати строк дії інвестиційних проектів з точністю до 1 року:
наприклад, 6 чи 7 років, 12 чи 13, 16 чи 17 і т. д. Суб'єктивний вибір строку
дії проекту для розрахунку показника NPV дозволяє обґрунтовувати «потрібну» оцінку
ефективності проекту, але не забезпечує об'єктивної оцінки його дійсної
ефективності. Тому лише з цієї причини показник NPV, хоча в теоретичному
відношенні і має внутрішню логіку, в практичному є непридатним.
Показнику NPV притаманне внутрішнє протиріччя: з одного боку,
врахування за весь період дії проекту всіх змін витрат і надходжень, а з іншого
– неможливість передбачити всі ці зміни, оскільки їх може бути дуже багато, і
їх тим більше, чим більший строк дії проекту (можливі зміни попиту на
продукцію, конкуренції, цін на сировину, енергоносії, на готову продукцію,
ставок дисконтування, законодавчих актів стосовно розмірів податків, норм
амортизації, мита тощо).
Отже, в побудові показників ефективності інвестицій не повинно
бути вимоги розрахунків за весь строк дії проектів.
Другий недолік нової методики, що має принципове значення,
стосується використання грошових потоків для розрахунків ефективності.
Грошовий потік – це сума коштів, які одержує підприємство за
певний період. Ця сума включає прибуток, амортизацію, дивіденди по акціях інших
підприємств, якими володіє дане підприємство, повернення підприємству
комерційного товарного кредиту, продаж емітованих цінних паперів, зайвого,
непотрібного майна, прибуток від невиробничої діяльності, курсові різниці та
ін. Як бачимо, грошові потоки включають надходження коштів, які не мають
ніякого відношення до інвестицій. Грошові потоки є важливим показником в
аналізі і плануванні фінансової діяльності підприємства, у визначенні цінності
фірми тощо.
Щодо нової методики, то в ній наголошується на необхідності брати
грошові потоки лише в складі надходжень, які начебто генеруються інвестиціями,
тобто прибуток і амортизацію. Сума прибутку і амортизації є не грошовим
потоком, склад якого вказано вище, а, можна сказати, умовним грошовим потоком
для оцінки ефективності інвестицій. У зв'язку з цим виникає запитання відносно
і суті терміна «інвестиції генерують»: що вони генерують, тобто що створюють
(чи забезпечують створення)?
У такому контексті можна з упевненістю говорити про ніким не
заперечувану істину, що інвестиції генерують прибуток. Виходячи з того, що
інвестиційний проект передбачає прогресивні конструкторські, технологічні і
проектні рішення, він забезпечує скорочення витрат матеріальних ресурсів,
підвищення технічної озброєності та фондоозброєності праці, а відтак – і
підвищення її продуктивності, в результаті чого створюється нова, додаткова
вартість. Відомо, що однією з форм реалізації тієї частини новостворюваної
вартості, яка йде на нагромадження, є прибуток. Тому саме новостворену вартість
можна вважати віддачею інвестицій, а на рівні підприємств частину цієї вартості
– прибуток – брати для виміру ефективності інвестицій.
Щодо амортизації, то її використання як віддачі від інвестицій не
витримує критики. Вона не є новоствореною вартістю, а лише відбиває вартість
спрацювання основних засобів (інвестицій), тобто виступає витратами виробництва
в складі собівартості продукції. Амортизація як величина споживання основних
фондів (інвестицій) не може слугувати оцінкою ефективності тих самих
інвестицій, а лише характеризує розмір повернення інвестицій. У процесі
амортизації проявляються кругообіг основних фондів, нагромадження коштів для
простого відтворення.
Ці загальновідомі істини доводиться нагадувати, оскільки новою
методикою рекомендовано ефективність інвестицій оцінювати сумою прибутку і
амортизації, і на практиці так робиться. У результаті таких розрахунків
ефективність інвестиційних проектів завищується порівняно до їх дійсної
ефективності (NPV, ІRR, РІ завищуються, DPB – занижується), тобто результати її
оцінки є невірогідними. Ступінь завищення ефективності може бути дуже великим.
У багатьох інвестиційних проектах частка амортизації в грошових потоках
перевищує 30 - 40%, і навіть 50%. У результаті створюється ілюзія ефективності.
Можна навести умовний приклад. Припустимо, що інвестиційний проект
настільки невдалий (висока енерго- і ресурсомісткість продукції, низькі продуктивність
праці та якість продукції), що прибутку дуже мало чи зовсім немає, але
врахування амортизації «виводить» проект до складу ефективних. Зрозуміло, що
такий проект нікому не потрібний.
Таким чином, враховуючи, що ефективність інвестицій може вимірюватися
лише новостворюваною вартістю, а не витратами виробництва (амортизацією),
показники ефективності необхідно розраховувати не на основі так званого
грошового потоку, а виходячи із створюваного прибутку.
Наголошуючи на цих безперечних у теоретичному відношенні
положеннях, необхідно разом з тим зауважити, що в схемах економічних
розрахунків можуть відбуватися певні метаморфози деяких показників, коли, не
змінюючи своєї економічної суті, вони набувають іншої назви і нібито іншого
змісту. У цьому сенсі питання амортизації є більш складним. Справа в тому, що
частина прибутку відображається під назвою і в формі амортизації. У
розрахунках, зроблених за новою методикою, частина амортизації насправді є
частиною прибутку. Це пов'язано з джерелами фінансування інвестицій. Якщо для
фінансування залучаються позикові кошти, то при введенні об'єкта в експлуатацію
вони повертаються кредитору за рахунок одержуваного прибутку, внаслідок чого
розмір прибутку зменшується. Нараховані амортизаційні відрахування, відповідно
до частки позикових коштів в інвестиціях, за своєю суттю є частинами прибутку,
що направляються на виплату боргу. Тому в розрахунках ефективності інвестицій
потрібно виходити з прибутку (П), який є сумою прибутку за звітом (Пз)
та амортизації, що відповідає частині позикових коштів у загальних інвестиціях
(Апоз) [15]:
П = П3 + АПО3, (1.1)
На основі аналізу сутності економічної ефективності використання
виробничих ресурсів, методичних документів старої і нової методик, а також
реальної практики інвестування в промисловості Т. Бень пропонує обґрунтування
власного підходу до визначення економічної ефективності інвестицій [13]. Рекомендовані методичні
положення передбачають використання і вдосконалення
раціональних методів і показників старої і нової методик.
Перш за все, необхідно обрати основний показник ефективності. Таким
показником має бути строк окупності (або обернений показник рентабельності)
інвестицій, який рекомендується обома методиками.
У розрахунках цього показника доцільно виходити із суми прибутку,
а не грошових потоків, але розраховувати дисконтований строк окупності, беручи
до уваги лише прибуток. Прибуток потрібно дисконтувати за стільки років,
скільки необхідно для досягнення окупності інвестицій.
Обґрунтовуючи методику розрахунків дисконтованого строку
окупності, потрібно з'ясувати ще два положення – прогнозування прибутку і
розрахунок інвестицій.
Дисконтування прибутку не є прогнозуванням його величини в
майбутні роки, а лише характеризує зміну вартості грошей у часі. Величина
річного прибутку, визначена в інвестиційному проекті, в старій методиці (та
досить часто в новій) приймається як незмінна для всіх років. Насправді це не
так. У виробничо-господарській практиці розмір прибутку може змінюватися під
впливом багатьох факторів – зміни ринків збуту, загострення конкуренції, зміни
цін на сировинні та паливно-енергетичні ресурси, дії законодавчих актів та ін.
Зрозуміло, що на тривалий період прогнозувати вплив цих факторів
на прибуток дуже важко чи неможливо. Тут доводиться обмежитися лише загальним
побажанням прогнозувати вплив найважливіших факторів, спираючись на тенденції
їх змін у минулі роки, передбачувані зміни в наступні роки тощо. Серед багатьох
факторів є, щонайменше, один, значний вплив якого на прибуток можна і необхідно
враховувати. Йдеться про освоєння проектних значень виробничої потужності та
собівартості продукції новозбудованих чи реконструйованих об'єктів. У
переважній більшості випадків освоєння виробничої потужності триває від
декількох місяців до 1-2 і навіть більше років, а проектна собівартість
продукції досягається через певний час після освоєння виробничої потужності.
На строки освоєння промислових об'єктів існують різні погляди.
Одним з них є твердження, що при досконалих техніці, технології та
раціональному проектуванні об'єкта він може (і має) працювати на повну проектну
потужність з моменту його введення в експлуатацію.
Потрібно по-різному розглядати це питання залежно від ступеня
автоматизації техніки і виробничого процесу. Наприклад, переважно невеликі
машини і механізми багатосерійного виробництва, які діють автоматично, без
втручання людини (наприклад, електродвигуни, генератори, компресори,
холодильники, годинники тощо), дійсно можуть працювати на повну потужність з
початку експлуатації. Це стосується і великих машинних комплексів, якщо вони
повністю автоматизовані і працюють без втручання працівників у виробничий
процес.
Зовсім по-іншому розпочинається експлуатація складних
спеціалізованих машинних комплексів, які включають багато машин і механізмів і
працюють за участю багатьох працівників, що виконують виробничі функції
(наприклад, доменні печі, сталеплавильні агрегати, прокатні і трубні стани,
хімічні апарати, вугледобувні комбайни, конвеєри в машинобудуванні тощо).
Головна риса таких комплексів полягає в тому, що вони є людино-машинними
системами. Ці системи через технічні, організаційні та психологічні фактори
потребують певного часу для «приробки» вузлів і деталей машин, пристроїв і
набуття працівниками виробничих навичок.
Протягом цього періоду обсяги виробництва та економічні показники
не досягають проектних значень, тобто відбувається процес освоєння об'єктів.
Тривалість освоєння залежить від складності комплексів. Наприклад, згідно з
нормативами, які діяли раніше, тривалість освоєння доменних печей різного обсягу
мала продовжуватися не більш як 6 - 9 місяців, прокатних станів – 1-2 роки.
Зазначимо, що, спираючись на попередній досвід освоєння аналогічних агрегатів,
якість придбаваної техніки і залучення кваліфікованого персоналу, можна досить
упевнено прогнозувати тривалість освоєння об'єктів і тим самим підвищити
вірогідність розрахунків ефективності інвестиційних проектів.
Розрахунок прибутку в роки неповного освоєння об'єкта можна проілюструвати на умовному прикладі. Якщо освоєння виробничої потужності
(В) у першому році прогнозується на 90%, в наступні роки – 100%, а фактична
собівартість одиниці продукції в першому році буде вища за проектну (С) на 4%,
у другому році – на 2%, далі досягне проектного рівня, то прибуток (П) у
першому році при незмінній ціні (Ц) становитиме П1, = (Ц- - С *
1,04) * 0,9В, у другому році -П2 = (Ц - С * 1,02) * В, у наступні
роки – П1= (Ц - С) * В.
Друге положення, що стосується дисконтованого строку окупності,
полягає у розрахунку суми інвестицій. Потрібно брати до уваги, що інвестиції
витрачаються здебільшого не за один рік, а протягом тривалого часу. Тому треба
брати не номінальну суму інвестицій, як це часто рекомендується в літературі
при викладі нової методики, а нарощену з урахуванням «заморожених» частин
інвестицій в роки їх реалізації та дисконтованих частин інвестицій, які, згідно
з проектом, витрачаються для завершення яких-небудь робіт, після введення
об'єкта в експлуатацію.
Загальну суму приведених інвестицій з урахуванням їх нарощення і
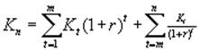
дисконтування (Кп) потрібно розраховувати таким чином [31]:
,(1.2)
де Кt – інвестиції кожного року інвестування;
r – процентна ставка;
m – кількість років інвестування до введення об'єкта в
експлуатацію;
n – кількість років інвестування після введення об'єкта в
експлуатацію.
Зрозуміло, що переважна частина інвестицій реалізується до
введення об'єкта в експлуатацію. Чим більша тривалість інвестування і чим
більші частки інвестицій реалізуються у перші роки інвестування, тим значніше
нарощена сума інвестицій перевищуватиме номінальну.
Для розрахунку дисконтованого строку окупності (Т) потрібно
прогнозовані річні прибутки дисконтувати за стільки років, щоб їх сума досягла
чи перевищила приведені інвестиції (Кп) [31]:
, (1.3)
де і = 1, 2, ..., Т;
Т – кількість років експлуатації об'єкта до повної окупності
інвестицій, тобто дисконтований строк окупності інвестицій.
У розрахунках за формулою (1.3)
інвестиції з нарощенням і дисконтовані інвестиції, а також дисконтований
прибуток, розрахований за формулою (1.1),
приводяться до року, що передує року введення об'єкта в експлуатацію. Щорічний
прибуток дисконтується за стільки років, щоб його сума досягла (або перевищила)
суму нарощених і дисконтованих інвестицій (рівняння (1.3)).
Розглядаючи економічну сутність строку окупності (незалежно від
того, дисконтований він чи ні), ним характеризується співвідношення інвестицій
і генерованого ними річного прибутку. Саме так розраховується цей показник за
старою методикою, де інвестиції відносяться до річного прибутку. Щоб
розраховувати аналогічний показник у даному випадку, потрібно віднайти
середньозважений дисконтований річний прибуток (Пр) [31]:
, (1.4)
Тоді дисконтований строк окупності (Тр виходячи з
середньорічного прибутку (Пр), становитиме [31]:
Тр = Кп/Пр,(1.5)
Беручи обернене відношення річного прибутку до інвестицій,
одержуємо коефіцієнт ефективності (рентабельності) інвестицій (Е). У даному випадку дисконтований коефіцієнт ефективності інвестицій (виходячи
із середньозваженого річного прибутку) дорівнює [31]:
Е=1/Тр = Пр/Кп, (1.6)
Економічна сутність показників Тр і Е однакова – вони
характеризують ефективність інвестицій. У практичному відношенні коефіцієнт
ефективності є більш інформативним, дає змогу аналізувати ефективність
конкретного інвестиційного проекту в порівнянні з рентабельністю інших
проектів, рентабельністю основних фондів діючих підприємств, із ставками
банківських депозитів і кредитів і взагалі відповідає прийнятому у світовій
практиці грошово-кредитних операцій принципу зіставлення прибутку (доходу) з
витратами (інвестиціями, діючим капіталом).
Для кожного інвестиційного проекту залежно від суми і розподілу в
часі інвестицій, строків освоєння об'єкта, розміру прибутку визначається
дисконтований строк окупності інвестицій. Значення цього строку для різних
проектів можуть змінюватися в широкому діапазоні. Якщо, наприклад, строк
становить 2 - 3 роки, то не виникає сумнівів відносно високої ефективності
проекту. Строк окупності в 10 - 15 і більше років, вірогідно, є свідченням
незадовільної ефективності проекту.
Очевидно, що чим більший строк окупності (менший коефіцієнт
ефективності), тим нижча ефективність проекту. У цьому зв'язку можна дійти висновку про існування такого (граничного) значення строку
окупності (рентабельності) інвестицій, яке відділяє економічно ефективні
інвестиційні проекти від неефективних.
Принципово важливим є питання, як визначити граничне значення
коефіцієнта ефективності інвестицій. У плановій економіці централізовано
затверджувалися нормативні коефіцієнти ефективності, які були обов'язковими для
всіх організацій, де визначалась економічна ефективність капіталовкладень,
нової техніки, технічного та організаційного розвитку підприємств.
В ринковій економіці також доцільно визначити граничний рівень
коефіцієнта ефективності інвестицій. Безумовно, цей коефіцієнт не може бути
директивним чи нормативним. В умовах приватної чи корпоративної власності
прийнятність або неприйнятність інвестиційних проектів з будь-якими рівнями
рентабельності визначають власники і керівники підприємств. Однак останнім теж
потрібні певні орієнтири для прийняття раціональних рішень. Саме таким
орієнтиром може слугувати граничне значення показника економічної ефективності.
На практиці можуть складатися різні ситуації. Наприклад, коли
інвестиційний проект розширення підприємства має рентабельність інвестицій
нижчу за граничний рівень, але вищу за рентабельність діючого капіталу
підприємства, позитивне рішення щодо реалізації цього проекту може
зумовлюватись очікуваним зростанням рентабельності всього капіталу підприємства
після його розширення.
Керівники підприємства можуть прийняти інвестиційний проект до
реалізації для одержання додаткового прибутку і в тому випадку, коли його
рентабельність нижча за граничний рівень і навіть нижча за рентабельність
діючого капіталу. Це їх право і їх відповідальність, але вони мають знати, що
ефективність прийнятого ними проекту досить низька і це негативно впливатиме на
вартість їх підприємства.
Складною проблемою є визначення граничного рівня коефіцієнта
ефективності інвестицій у промисловості. Як у попередні часи, коли нормативні
коефіцієнти ефективності капіталовкладень централізовано встановлювалися на
рівні 0,12 — 0,15, так і тепер відсутні загальноприйняті методи розрахунку
нормативних чи пропонованого граничного коефіцієнтів.
Обґрунтування граничного коефіцієнта ефективності інвестицій
необхідно проводити на підставі фактичних і прогнозованих даних рівня і
динаміки рентабельності основних фондів та інвестицій у промисловості. При
обґрунтуванні всі вихідні дані потрібно брати у порівнянних цінах, враховувати
зміни галузевої структури промисловості, стан справ у фондостворюючих галузях –
машинобудуванні і будівництві, вплив інших факторів.
Таке обґрунтування можуть виконати центральні науково-дослідні
інститути, які володіють усією необхідною інформацією і мають досвід аналізу
макроекономічних показників.
Граничний рівень рентабельності має забезпечувати підвищену
ефективність інвестиційних проектів порівняно з раніше реалізованими
інвестиціями і діючими основними фондами. Саме за такої умови реалізація всієї
сукупності інвестиційних проектів у промисловості, що мають рентабельність
інвестицій вищу за граничний рівень і відповідно високий науково-технічний
рівень, буде вирішальним фактором зростання ефективності суспільного
виробництва.
Для оцінки економічної ефективності інвестиційних проектів, які
мають порівняно невеликі обсяги інвестицій і строки реалізації, а також для
вибору ефективного проекту з декількох альтернативних доцільно використовувати
статичні показники абсолютної і порівняльної ефективності (коефіцієнт
ефективності, строк окупності інвестицій, зведені витрати), які забезпечують
простоту розрахунків і вірогідність їх результатів.
Для оцінки економічної ефективності інвестиційних проектів із
значними обсягами інвестицій і тривалістю реалізації необхідно розраховувати
динамічні показники ефективності – дисконтований строк окупності чи
дисконтований коефіцієнт ефективності інвестицій.
Застосування пропонованих динамічних показників, по-перше, не
потребує недоцільного і непотрібного прогнозування прийняття строку дії
проектів, у багатьох випадках – з точністю до 1 року, і тим самим забезпечує
вірогідність оцінки ефективності; по-друге, виключає штучне завищення
ефективності, що має місце при розрахунках NPV та інших показників на
основі грошових потоків.
В обох методичних підходах при застосуванні статичних і динамічних
показників слід віддавати перевагу коефіцієнту ефективності, який є більш
інформативним, ніж строк окупності, оскільки дозволяє порівнювати його з
рентабельністю виробничих фондів на власному підприємстві, на інших підприємствах,
у цілому по галузі промисловості, з коефіцієнтами ефективності інших
інвестиційних проектів, а також з граничним коефіцієнтом ефективності (після
його встановлення), з процентними ставками тощо.
Граничний коефіцієнт ефективності інвестицій може бути встановлено
науковими інститутами на замовлення і під керівництвом Міністерства економіки
України на базі аналізу і прогнозування рівня рентабельності інвестицій,
основних фондів й інших показників на макрорівні. Цей коефіцієнт не повинен
бути обов'язковим для інвесторів і підприємств, але його існування і практичне
використання як орієнтира забезпечуватиме відбір ефективних інвестиційних
проектів і підвищення ефективності виробництва.
Перехід до ринку викликав потребу
у формуванні принципово нового підходу до інвестиційної політики промисловості,
адекватної сучасній економічній ситуації. Це обумовлено істотними змінами
інвестиційного статусу держави і недержавних структур, поділам їхніх функцій в
інвестиційному процесі, скороченням частки централізованих інвестицій у їхньому
загальному обсязі, зміною структури останніх по формах власності в зв'язку з
приватизацією землі й засобів виробництва, зміною складу і співвідношення
внутрішніх і зовнішніх джерел інвестування, способу розподілу інвестицій у результаті
переходу від твердого — централізованого розподілу — до ринкового механізму
відповідності попиту та пропозиції, до інших критеріїв оцінки ефективності
капітальних вкладень.
Політика охоплює всі напрями діяльності держави. У залежності від
сфери суспільних відносин, що є об'єктом політичного впливу, говорять про
економічну чи соціальну, культурну чи технічну, фінансову чи інвестиційну,
внутрішню чи зовнішню політику.
1.3
Особливості інвестування промисловості
В
економічній літературі під інвестиційною політикою розуміють систему заходів і
дій органів державної влади, спрямованих на створення сприятливого
інвестиційного клімату, вишукування й консолідацію інвестиційних ресурсів, а
також ефективне їхнє використання з метою досягнення позитивного економічного
ефекту. Дослідження процесу формування інвестиційної політики необхідно
починати з питань підстави цілей інвестиційної політики, при цьому варто
враховувати, що державна інвестиційна політика — найважливіша складова частина
соціально-економічної політики і може бути реалізована лише в її рамках. Отже,
інвестиційна політика повинна бути спрямована на реалізацію стратегічних і
тактичних цілей усього народного господарства [15].
В даний час виявляється економічна ситуація в промисловості, що
характеризується активізацією виробничої діяльності підприємств реального
сектора. Після багатократної девальвації гривні у промисловості з'явилися
ознаки фінансового оздоровлення підприємств.
З
головної мети інвестиційної політики випливають підцілі й задачі. Головна
підціль інвестиційної політики — це формування клімату, сприятливого для
інвестиційної діяльності. Формулювання задач інвестиційної політики повинне
враховувати головний ланцюг і сформовану економічну ситуацію в країні, регіоні
й галузі. Тому головна мета і задача інвестиційної політики в сучасних умовах
полягає в тому, щоб зупинити спад виробництва, інфляційний процес, активізувати
інвестиційну діяльність для забезпечення структурної перебудови народного
господарства з метою подальшого економічного й соціального розвитку.
Ефективність інвестиційної політики оцінюється відповідно до того,
наскільки вона відображає інтереси різних кіл суспільства і наскільки сприяє
досягненню поставлених стратегічних цілей і рішенню конкретних задач. Головна
особливість інвестиційної кризи — його чітко виражений галузевий і регіональний
характер, тому для здійснення антикризових мір неодмінна регіоналізація
інвестиційної політики, а це потребує розробки системи заходів для
удосконалювання інвестиційної політики регіону в рамках державної інвестиційної
політики.
За роки реформ в інвестиційній сфері слід зазначити наступні
основні тенденції: значно знизилася частка інвестицій в основний капітал в
промислові підприємства, наслідком цього з'явилося безперервне зниження темпів
приросту основних фондів в промисловості, що привело за останні роки до їх
абсолютного скорочення. Ряд негативних тенденцій спостерігалися в динаміці
структури і темпів зростання інвестицій по галузях промисловості. Більш ніж в
два рази зросла частка інвестицій в електроенергетику, скоротилася частка
інвестицій в паливну промисловість, а частка інвестицій в харчову промисловість
зросла.
Пожвавлення інвестиційної активності є однією з головних умов
стійкого, якісного, економічного розвитку підприємств усіх форм власності й
галузей. Інвестиційна активність — складова частина ділової активності
підприємств, що включає також виробничу, інноваційну, ринкову, маркетингову й
іншу активність, інвестиційна активність підприємств виражається в їхній
дієвій, цілеспрямованій і результативній діяльності щодо залучення інвестицій
із усіх внутрішніх і зовнішніх джерел, а також ефективного використання
залучених інвестиційних ресурсів. Для сільськогосподарських підприємств
особливо актуальною стала проблема вибору і пошуку джерел інвестицій
Стимулювання інвестиційної діяльності, вироблення чіткої стратегії
інвестування, визначення її пріоритетних напрямів, мобілізація всіх джерел
інвестицій є найважливішими умовами стійкого і якісного розвитку сільського
господарства і всього агропромислового комплексу країни.
Питання
про структуру інвестиційного потенціалу підприємств із погляду джерел його
відтворення, а також питомої ваги його складових частин залишається недостатньо
дослідженим.
Джерела
інвестицій підприємств можна розглядати як внутрішні й зовнішні, власні й
залучені, в тому числі внутрішні й зовнішні позикові кошти.
До
внутрішніх джерел інвестицій належать власні фінансові кошти, частина прибутку,
амортизаційні заощадження, суми, що виплачуються страховими органами, кошти працівників,
а також інші види активів, земельні ділянки, інші об'єкти власності.
Найбільш
значними внутрішніми джерелами па підприємствах можна назвати: прибуток
підприємств, амортизаційні відрахування; кошти працівників підприємств; доходи
від емісії і продажу цінних паперів. Основна мета інвестування на підприємствах
— це забезпечення і якісне поліпшення відтворювального процесу.
У
нормальних економічних умовах господарювання основним внутрішнім джерелом
інвестицій підприємств є їхній прибуток. Частина прибутку направляється на
придбання нового устаткування, запасних частин, сировини для виробництва
промислової продукції та інших ресурсів.
Глибокий спад в інвестиційній сфері, що серйозно перевищує зниження
обсягів виробництва, обумовлений тим, що інвестиції в промислові підприємства
не забезпечують простого відтворення капіталу, економіка в останні роки
функціонувала за рахунок непродуктивного використання амортизаційного фонду [31].
В умовах нестабільної економіки основні задачі в процесі
управління інвестиційною діяльністю підприємства полягають у наступному:
пошук інвестиційних ресурсів, які необхідні для розвитку
підприємства і здійснення серйозних інвестиційних проектів;
використання наявного на підприємстві потенціалу інвестиційних
ресурсів;
інвестування проектів, що дають найбільшу віддачу з урахуванням
пріоритетних напрямів розвитку економіки країни
Дослідження, проведені багатьма вітчизняними економістами, свідчать
про те, що поводження учасників інвестиційного ринку ґрунтується на
інтуїції без урахування реальних економічних законів ринку [19, 31]. Цілком
закономірно, що цим пояснюються помилки, прорахунки, упущена вигода і
неефективне використання обмежених фінансових ресурсів. Серед таких помилок
слід відзначити:
підприємства поліпшують існуючий стан справ в окремих сферах
замість того, щоб реформувати систему управління в цілому. Це пов'язано з тим.
що цілі не встановлювалися або були погано визначені;
вузька постановка задач з реструктуризації підприємств — це
пов'язано з тим, що управлінські рішення приймаються менеджерами старого
складу;
спроби здійснювати реформування підприємства не зверху, а знизу,
що пояснюється тим, що менеджери середнього та нижнього рівнів не мають широти
поглядів на діяльність підприємства, яка необхідна для реструктуризації;
недостатнє виділення ресурсів на проведення реформування
підприємства;
спроба проводити реструктуризацію, не торкаючись будь-яких
інтересів тощо.
Це пов'язано з тим, що цілий комплекс соціально-економічних задач
і створення сприятливих умов для реформування економіки України можуть бути
вирішені тільки на основі здійснення продуманого й обгрунтованого інвестування.
Інвестування промисловості має розглядатися як єдність процесів
вкладення ресурсів і одержання доходів у майбутньому, які відбуваються в різній
тимчасовій послідовності. У цьому зв'язку основними функціями інвестування є [15]:
1. Вивчення умов інвестування в цілому по підприємству і за
окремими формами інвестицій.
2. Урахування у загальній стратегії розвитку
підприємства системи цілей інвестиційної діяльності й основних її напрямів на перспективу
з урахуванням пріоритетних задач, які розв'язуються на підприємстві.
3. Прогнозування загальної потреби в інвестиційних
ресурсах для реалізації інвестиційної стратегії на основі використання власних
фінансових джерел (прибуток, амортизаційні відрахування).
4. Оцінка інвестиційної привабливості реальних
проектів і добір найбільш ефективних з них з використанням обгрунтованих
критеріїв.
5.Оперативне управління реалізацією інвестиційних проектів.
6.Моніторинг інвестиційних проектів.
7.Своєчасна оцінка ефективності інвестиційних
проектів.
Проблема залучення інвестицій, що можуть сприяти
фінансово-господарському розвитку промисловості, в сучасних умовах актуальна
для багатьох з них. Інвестору слід вміти впливати на інвестиційний процес,
контролювати потоки готівки та спостерігати за правильним її використанням.
Кожне підприємство повинне проводити власну оцінку будь-якої ситуації. Прийняття
рішення про залучення відповідних джерел інвестування слід здійснювати на
основі використання таких критеріїв: можливий розмір інвестицій, що
залучаються; привабливість умов, які пропонує інвестор; складності у залученні
інвестицій і вірогідність їх отримання; необхідний розмір фінансових витрат та
ступінь свободи розпорядження інвестиціями.
Реалізація інвестиційної політики передбачає комплекс стратегічних
дій на перспективу, що потребує підготовки висококваліфікованих спеціалістів,
до яких ставляться такі вимоги:
глибокі фундаментальні знання та здатність оцінити будь-які
розробки, що пропонуються в інвестиційних проектах;
вміння грамотно ставити завдання перед експертами та оцінювати їх
висновки;
знання основ сучасного менеджменту (в тому числі проектного),
економіки, фінансів та володіння програмними продуктами, комп'ютерами,
мережами.
У сучасних умовах проводиться трансформація економіки України при
наявності істотних диспропорцій у розвитку промислового виробництва, морально і
фізично застарілих основних виробничих фондів, відсутності необхідних
фінансових ресурсів у підприємств, що постійно змінюються, і неефективної
системи оподатковування та недостатньої розвиненості фондового ринку.
Категорія «інвестиції» визначається багатьма ученими (як
закордонними, так і вітчизняними) неоднаково [15, 31]. Одні з них розглядають
цю категорію з фінансової й економічної точок зору як довгострокове вкладення
ресурсів з метою одержання прибутку в майбутньому. Інші в економічному значенні
інвестування визначають як організацію виробничого процесу з метою створення
виробничих потужностей (чи купівлю, лізинг) і наймання робочої сили, розуміючи
під інвестиціями вкладення коштів у реальні активи для виробництва товарів і
послуг з метою отримання прибутку при обґрунтованому розмірі ризику.
У широкому змісті під інвестиціями розуміють кошти, майнові й
інтелектуальні цінності держави, юридичних і фізичних осіб, що направляються на
створення нових підприємств, реконструкцію і технічне переозброєння діючих,
придбання нерухомості, акцій, облігацій, інших цінних паперів з метою одержання
прибутку [19].
Важливим для ефективного використання інвестицій є їхня структура,
тобто склад по видах, напрямах використання і по їхній питомій вазі в
загальному розмірі інвестицій.
У процесі інвестування, що являє собою динамічний процес,
відбувається зміна форм капіталу, а саме: перетворення первісних ресурсів в
інвестиційні витрати і перетворення вкладених коштів у приріст капітальної
вартості у формі доходу чи соціального ефекту.
Сучасна теорія інвестицій заснована на роботах Гаррі Марковица,
який на основі запропонованої математичної моделі формування оптимального
портфеля цінних паперів і методів побудови таких портфелів за певних умов
формалізував поняття прибутковості і ризику, запропонував моделі для
інвестиційних задач і методи їхнього аналізу і рішення.
Практична можливість застосованості портфельної оптимізації
розроблена В. Шарпом, що запропонував так звану однофакторну модель ринка
капіталів [54]. Вона побудована
на основі принципу, що заключається в тому, що співвідношення між очікуваною
прибутковістю і ризиком повинно бути таким, щоб жоден індивідуальний інвестор
не міг одержувати необмеженого доходу від угоди.
Сучасна теорія інвестицій припускає розробку та впровадження
відповідної технології управління процесами інвестування, яка повинна забезпечувати
єдність інтересів системи інвестування, включаючи:
дослідження інвестиційного клімату на підприємстві;
оцінку інвестиційної привабливості галузі, до якої відноситься
конкретне підприємство;
обґрунтування стратегії інвестування й інвестиційної діяльності
підприємства;
оцінку ступеня впливу інвестицій на фінансові результати
діяльності підприємства.
Дослідження процесу інвестування підприємства містить оцінку
інвестиційної ситуації, інвестиційного клімату й інвестиційної привабливості.
Інвестиційна ситуація визначається інвестиційною активністю
підприємства й ефективністю інвестиційних процесів, що протікають на ньому.
Оцінка інвестиційного клімату здійснюється за допомогою аналізу результатів
прогнозування соціально-економічної ситуації й екологічної обстановки в країні,
регіоні. Інвестиційна привабливість обумовлюється сприятливою інвестиційною
ситуацією й інвестиційним кліматом, наявністю переваг, які забезпечать
інвестору додатковий доход на вкладені кошти і зменшать ступінь ризику.
Інвестиційна ситуація промисловості визначається
загальнодержавними і регіональними факторами, серед яких: інфляція; податкова,
амортизаційна, валютна і митна політика; банківські процентні ставки, галузева
структура регіону, на території якого розташовано підприємство, зовнішньоекономічні
зв'язки, географічне положення підприємства, рівень доходів, інвестиційна
привабливість підприємства, його фінансові потреби і позиції на ринках.
У трансформаційній економіці якісно змінився соціально-економічний
механізм інвестування. Економічний зміст категорії інвестиції наповнюється
новими сучасними формами залучення і руху ресурсів, а також відносинами між
учасниками інвестиційного процесу.
Дослідження методологічних принципів інвестиційної діяльності
підприємства з урахуванням змін економічних відносин показує, що сутність
категорій капітальні вкладення й інвестиції не однакова. Це пов'язано зі
змінами в сутності інвестиційних процесів, і тому деякі економісти [19]
стверджують, що поняття «інвестиції» є більш широким, ніж капітальні вкладення,
тому що вони не збігаються кількісно і розрізняються якісно. Капітальні
вкладення розглядаються як одна з можливих форм інвестицій.
Якісний стрибок у розмежуванні категорій капітальні вкладення й
інвестиції зв'язаний з виникненням і законодавчим закріпленням нових форм
власності, організаційно-правових форм підприємницької діяльності, здійсненням
роздержавлення і приватизації, розвитком фондового ринку.
Як свідчать роботи економістів [54], капітальні вкладення
виступають тільки в якості одного з елементів капіталоутворюючих інвестицій, а
інвестиції — у вигляді двох складових: реальної і фінансової. Інвестиційна
діяльність може розвиватися ефективно за умови збалансованої взаємодії цих
складових. Це обумовлює необхідність регулювання інвестиційної сфери з боку
держави, що повинне сприяти реальному інвестуванню і впливати на співвідношення
інвестиційного попиту та пропозиції.
Оцінка ефективності інвестування підприємства повинна враховувати
стратегічні цілі розвитку, шляхи їхнього досягнення, забезпечувати можливість
вибору найбільш ефективного варіанта з числа альтернативних інвестиційних
проектів. Це відповідає положенням теорії ефективності, що забезпечує
порівняльну оцінку відносно результату діяльності до витрат, що обумовлюють
його досягнення.
Моделювання результату діяльності ґрунтується на цілепокладанні,
що відповідає цілям інвестиційної діяльності підприємства. Ринкові принципи
господарювання дають можливість встановлювати цільові орієнтири й обумовлені
ними стратегії, що забезпечують кінцевий результат. Внаслідок цього можливий
взаємозв'язок поставлених цілей і результуючих характеристик інвестицій, що
повинні розглядатися як основний принцип оцінки їхньої ефективності.
Наступним принципом є оптимальність, обумовлена варіантністю
цілей. Третій принцип припускає використання як характеристики результату не
тільки доходу, але дивідендів і доходів для майбутніх реінвестицій.
Крім того, використовуються додаткові показники, що характеризують
результативність заходів у різних напрямках інвестиційної діяльності
виробничої, комерційної і фінансової.
Економічні обгрунтування інвестування промислового підприємства
дозволяють забезпечувати його поступальний розвиток, додаючи йому гнучкий,
адаптивний характер, що необхідний в умовах невизначеності, і переборюючи
негативні тенденції перехідного періоду в економіці.
Важливим є проведення рейтингової оцінки інвестиційної
привабливості промислового підприємства на основі ознак, що відображають
найбільш важливі для інвестора сторони діяльності оцінюваного підприємства.
Одним з методів оцінки інвестиційної привабливості є експертний метод,
заснований на використанні думок фахівців підприємств.
Основними ознаками, що використовуються для оцінки інвестиційної
привабливості промислового підприємства, є: експортний потенціал підприємства;
науково-технічний потенціал підприємства; стабільність ринку промислової
продукції, яка випускається; фінансова стійкість промислового підприємства;
тривалість виробничого циклу; необхідний обсяг інвестицій [15, 19].
Ефектніше протікання
процесів інвестування на промисловому підприємстві обумовлює: необхідність
оптимізації системи управління інвестиціями і формування відповідної структури
управління.
Ефективність
інвестицій визначається дієвістю системи управління інвестування, яка повинна
бути побудована на економічній основі та включати такі підсистеми:
фінансово-кредитну, оподаткування, платежів за виробничі та природні ресурси,
цінову, економічних стимулів та санкцій. У зв'язку з тим що фінансування та кредитування впливає
практично на всі етапи процесу інвестування, провідна роль належить
фінансово-кредитній підсистемі. На процес інвестування впливає держава шляхом
зміни відсоткової ставки за кредит. Це може підвищувати або знижувати попит на
інвестиції залежно від конкретних умов розвитку економіки.
Важливе місце серед
систем управління інвестиційною діяльністю належить підсистемі оподаткування.
Податкова система для учасників процесів інвестування будується на основі
відповідно до Закону України [2]. Важливим елементом системи управління
інвестування є система платежів за виробничі, природні та інші ресурси, яка
повинна мати стимулюючий характер.
Цінова підсистема
передбачає розробку цін, їх видів, структури, величини, динаміки змін, а також
процесі ціноутворення як спосіб, правила встановлення, формування нових цін та
змінювання існуючих.
Організація
інвестиційного процесу на підприємстві ґрунтується на інвестиційній політиці,
яка передбачає цільові настанови в галузі інвестицій і механізм його
реалізації.
Інвестування промислового
підприємства здійснюється з урахуванням його мети і цілей інвестора та має
забезпечувати відповідність між рівнем прибутковості і ризиком вкладення
капіталу. Крім того, необхідно забезпечити ліквідність і здійснити мінімізацію
фактора ризику на основі формування диверсифікованого портфеля інвестицій.
З огляду на
нестабільність економіки і той факт, що підвищується ризикованість інвестицій,
існують серйозні труднощі в розробці довгострокових інвестиційних програм,
необхідно проводити ретельний аналіз і розробляти перспективні плани вкладення
коштів.
Врахувати в процесі
планування всі тенденції і зміни економічної ситуації не уявляється можливим,
тому доцільно враховувати альтернативні варіанти розвитку процесів інвестування
і можливість їхньої адаптивної зміни на основі розробки
організаційно-економічного механізму прийняття інвестиційних рішень в умовах
ризику і невизначеності. Розвиток інвестиційної діяльності стримує відсутність
достатньо обґрунтованої нормативної та законодавчої баз.
Економічну базу для виходу
економіки країни з кризи може створити здійснення інвестиційних проектів з
розвитку реального виробництва. Це вимагає ефективної роботи підприємств.
Однак, як свідчать результати досліджень [27], більшість підприємств не розробляють стратегію власного
розвитку з урахуванням ринкових умов і міжнародних стандартів обліку. Крім
того, існуюча організаційна структура управління не відповідає вимогам
перехідної економіки, відсутнє бізнес-планування розвитку виробництва. Це
негативно позначається на прийнятті рішень потенційними інвесторами в зв'язку з
великим ризиком втрати коштів через незахищеність прав власності, незадовільної
системи управління, непрозорості фінансового стану підприємства.
Величезне значення для
підприємства має оцінка збуту продукції, яка користується довгостроковим
попитом на ринку. Це вимагає серйозних маркетингових досліджень, проведення
яких дозволяє підприємству укладати конкретні договори на постачання з
указівкою термінів, обсягів і цін. При цьому необхідний детальний аналіз виробничого
процесу по випуску такої продукції, що включає аналіз виробничої програми (який
дає уявлення про розмір грошових ресурсів, що вимагаються), розрахунок її
трудомісткості, розробку графіка потреби в ресурсах. Випуск продукції, що має
довгостроковий попит на ринку, обумовлює посилення ролі новітніх технологій, в
тому числі й інформаційних, технічного відновлення основних виробничих фондів і
якісне поліпшення його використання Це, у свою чергу, вимагає оздоровлення
амортизаційної політики, без якої в сучасних умовах неможливо відновити рівень
виробництва і вийти з економічної кризи, бо загальновідомо, що амортизаційні
відрахування є внутрішнім інвестиційним джерелом підприємства.
Вартість основних
виробничих фондів і рівень амортизаційних відрахувань впливають на формування
оподатковуваної бази по податках і з прибутку, і на майно. Одним з механізмів
зниження податку з прибутку є прискорена амортизація. Однак практичне
використання прискореної амортизації має свої складності.
Результатом проведених
реформ стала інвестиційна криза, що виявляється в значному зниженні обсягів
інвестицій і в зміні їхньої структури. Це призвело до зниження інвестиційної
активності промисловості. Процес приватизації також серйозно впливає на рівень
інвестиційної активності суб'єктів економіки, на структурно-інституціональні
зміни в управлінні інвестиційною сферою.
Висновки до
розділу 1
1. Інвестиції –
це грошові, майнові, інтелектуальні цінності, що їх вкладають у різні види
діяльності у виробничій та невиробничій сферах. Інвестиції є невід'ємною
складовою частиною сучасної економіки.
2.
Інвестиції — це вкладення в активи підприємства з
метою випуску нової продукції, підвищення її якості, збільшення кількості
продажів і прибутку. Інвестиції підприємства забезпечують просте й розширене
відтворення капіталу, створення нових робочих місць, приріст заробітної плати і
купівельної спроможності населення, приплив податків у державний і місцевий
бюджети.
3.
Об'єктами інвестування можуть бути реальні
інвестиційні проекти, об'єкти нерухомості та різноманітні фінансові
інструменти. Фінансові інструменти як об'єкти інвестування — це різні типи
фінансових зобов'язань: депозитні вклади в банку; цінні папери (облігації,
акції, опціони тощо).
4.
Метод оцінки економічної ефективності інвестицій передбачає
розрахунок показників чистої приведеної вартості (NPV), дисконтованого
строку окупності (DPB), внутрішньої норми прибутку (IRR), індексу прибутковості
(коефіцієнта рентабельності інвестицій) (РІ).
5.
В методичних підходах при застосуванні статичних і
динамічних показників слід віддавати перевагу коефіцієнту ефективності, який є
більш інформативним, ніж строк окупності, оскільки дозволяє порівнювати його з
рентабельністю виробничих фондів на власному підприємстві, на інших
підприємствах, у цілому по галузі промисловості, з коефіцієнтами ефективності
інших інвестиційних проектів, а також з граничним коефіцієнтом ефективності
(після його встановлення), з процентними ставками тощо.
6.
Ефективність інвестиційної політики оцінюється
відповідно до того, наскільки вона відображає інтереси різних кіл суспільства і
наскільки сприяє досягненню поставлених стратегічних цілей і рішенню конкретних
задач.
7.
Для підприємства має значення оцінка збуту продукції, яка користується
довгостроковим попитом на ринку. Це вимагає серйозних маркетингових досліджень,
проведення яких дозволяє підприємству укладати конкретні договори на постачання
з указівкою термінів, обсягів і цін. При цьому необхідний детальний аналіз
виробничого процесу по випуску такої продукції, що включає аналіз виробничої
програми (який дає уявлення про розмір грошових ресурсів, що вимагаються),
розрахунок її трудомісткості, розробку графіка потреби в ресурсах.
2. АНАЛІЗ
ФІНАНСОВОГО СТАНУ ПІДПРИЄМСТВА
2.1. Характеристика
виробничо-господарської діяльності ТОВ «Хартеп»
ТОВ «Хартеп» створено на базі однодумців в 2000 році. Ядро підприємства становлять фахівці, що мають
багаторічний досвід роботи в оборонній промисловості (АТ «Хартрон»), що
приймали участь у розробці, створенні й впровадженні автоматизованих систем для військово-промислового комплексу колишнього СРСР,
супутникових систем, атомної енергетики, нафтогазового комплексу та інше, у створенні автоматичних бортових й автоматизованих
наземних систем керування. З 2000 року ТОВ «Хартеп» входить до складу Корпорації «Маст-Іпра».
ТОВ «Хартеп» – багато профільне підприємство, основний напрямок
діяльності – поставка автоматизованих систем контролю й обліку енергоресурсів
(автоматизованих інформаційно-вимірювальних систем) (АСКУЄ (АІВС)), оперативно-інформаційних
комплексів й автоматизованих систем диспетчерського керування (ОІК АСДУ), автоматизованих систем
керування технологічними процесами (АСК ТП), автоматизованих систем розрахунків зі споживачами за енергоресурси
(біллінг) (АСРС),
корпоративних і локальних мереж, виробництво промислового устаткування власної розробки для вище
перерахованих систем та інше.
За час свого
існування ТОВ «Хартеп» зарекомендувало себе в якості надійного й стабільного
партнера, у наслідок чого істотно виросла кількість замовників, напрямків
діяльності, постійно вдосконалюється виробнича діяльність. Фірма розглядає
встановлення довгострокових відносин з партнерами (як у СНД, так й у Західній
Європі й США) як одну зі своїх найважливіших стратегічних завдань і готова до
серйозної й відповідальної роботи зі своїми партнерами.
Ціль підприємства –
створити саме таку систему, що потрібна замовникові. Тому при складанні проекту
фахівці ТОВ «Хартеп» ретельно вивчають підприємство клієнта й пропонують
оптимальний варіант із урахуванням його потреб й особливостей. Поетапне
впровадження систем, можливість їхнього поступового нарощування й модернізації,
інтегрування існуючих систем з можливістю їхньої наступної заміни – все це
покликано підвищити ефективність і знизити вартість усього комплексу в цілому.
Використання стандартних протоколів, підтримка інтерфейсів багатьох вітчизняних
систем телемеханіки й використання будь-яких наявних каналів зв'язку дозволяє
легко інтегрувати в систему ТОВ «Хартеп» все наявне в замовника встаткування
й використати його до того моменту, поки він не порахує можливим повністю
перейти на встаткування, вироблене «Хартепом».
Відповідно до існуючих
стандартів на автоматизовані системи забезпечується виконання всього циклу
розробки й впровадження, а також здійснюється авторський нагляд, гарантійне й
післягарантійне обслуговування. У спектр послуг входить розробка проекту
системи, придбання, поставка й монтаж устаткування, розробка проекту й уведення
в експлуатацію локальної обчислювальної мережі підприємства, організація каналів
зв’язку з вилученими об’єктами, розробка й виготовлення
оригінального встаткування.
Весь комплекс робіт з
розробки й впровадження АСУ в ТОВ «Хартеп» проводиться під управлінням системи якості, що має
сертифікат відповідності міжнародному стандарту ІSO 9001-2001 (№ UA2.003.575
системи сертифікації УкрСЕПРО й №130743
Bureau Verіtas Qualіty Іnternatіonal (BVQІ) UK). У своїй практичній діяльності
фахівці ТОВ «Хартеп» орієнтуються на
міжнародні стандарти й технології побудови інформаційних систем – ІSO 9001, ІSO
9003, CMM.
ТОВ «Хартеп»
займається комплексною розробкою й впровадженням:
автоматизованих систем
диспетчерського керування об’єктами розподільних мереж электро-водо-тепло- і газопостачання;
автоматизованих систем
контролю й обліку електроенергії, різних газів, пари й стисненого повітря,
рідких нафтопродуктів, води, пульпи, тепла;
автоматизованих систем
розрахунків зі споживачами промисловий і побутовий сектори;
автоматизованих систем
керування технологічними процесами;
розробкою й впровадженням
локальних і корпоративних мереж.
А також підприємство
займається виробничою діяльністю:
виготовлення (і розробка
по вимогах замовника) промислових контролерів (контролерів контрольованих
пунктів);
виготовлення (і розробка
по вимогах замовника) концентраторів телемеханічних мереж (центральних
приемопередающих станцій);
виготовлення
інтелектуальних лічильників витрати газу;
розробка й виготовлення модулів для
приватного застосування (вводу-висновку, узгодження протоколів, гальванічної
розв’язки й т.п.).
До теперішнього часу
замовниками фірми «Хартеп» стали найбільші підприємства країн СНД.
Підприємства енергетичної
галузі, підприємства транспортної галузі, хімічній промисловості, металургійній
промисловості, машинобудівній промисловості, гірській галузі, будівельній
промисловості й ін.
Організаційна структура
ТОВ «Хартеп» представлена в
такий спосіб:
Генеральний директор, у
підпорядкуванні якого головний бухгалтер і нижчеперелічені дирекції, а саме:
Зам. ген. директори по економіці й фінансам, якому підлеглі: планово-економічний
відділ й юридичний відділ у підпорядкуванні якого планово-договірна група й
кошторисна група;
Зам. ген. директори – комерційний директор у підпорядкуванні якого
відділ маркетингу й ВЕД;
Зам. ген. директори – директор з виробництва в підпорядкуванні якого директор по проектуванню й технічним
ресурсам який здійснює керівництво відділами організації виробництва, розробки програмного забезпечення, розробки технічних ресурсів.
Чисельний склад ТОВ «Хартеп» за станом на 01.01.2009р.:
керівний персонал – 47 чоловік;
інженерно-технічний
персонал – 176 чоловік;
робітник і допоміжний
персонал – 193 чоловіки.
У тому числі:
вище утворення – 167 чоловік;
не кінчене вище утворення
– 11 чоловік;
середньотехнічне утворення – 5 чоловік;
середня освіта – 10 чоловік.
Основу колективу склали
висококваліфіковані фахівці, що мають багаторічний досвід роботи в області
створення автоматизованих систем керування наземними об’єктами й космічними апаратами (АТ «Хартрон»).
На початку свого
існування колектив нараховував
близько 30 фахівців. У даний момент кількість співробітників досягло 202 чоловіки, у колективі компанії трудяться професори, доктори й
кандидати наук, сертифіковані й висококваліфіковані фахівці в областях систем керування,
програмування, талановиті інженери-розроблювачі й програмісти. Підбору кадрів
на підприємстві приділяється першорядне значення, завдяки чому можливий ріст
обсягів виробництва робіт і послуг. Фахівці ТОВ «Хартеп» забезпечують виконання всього комплексу
робіт, пов’язаних з
розробкою й впровадженням АСУ: обстеження підприємства замовника; розробка
проектної документації; придбання, монтаж, налагодження необхідного
встаткування й ліцензійного ПО; метрологічна атестація; навчання персоналу
замовника; гарантійне (протягом 36 місяців) і післягарантійне обслуговування.
Основними перевагами
автоматизованих систем розробки «Хартеп» є:
можливість адаптації під
будь-які види лічильників, датчиків і виконавчих механізмів энергообъектов в
АСДУ, АСКУЭ й АСРП;
масштабованість і
відкритість систем;
можливість використання
різних каналів зв’язку між
вилученими об’єктами й
центральній диспетчерській (телефонні, телемеханічні, стільникові, супутникові
й інші);
наявність
потужної базової системи ПЗ на основі СУБД ORACLE й SCADA FІХ;
висока надійність
передачі, зберігання й захисту інформації;
великий досвід, отриманий протягом 8 років
впровадження й експлуатації систем на різних енергооб’єктах промисловості й транспорту.
Накопичений досвід
показав, що комплексне впровадження систем контролю, обліку й диспетчерського
керування енергооб’єктами рівня «Обленерго» й магістральних енергосистем з
урахуванням оптимізації структури й режимів дозволяє одержати економію до
15...20%.
Свою діяльність фірма
здійснює відповідно до існуючої нормативної бази – підприємство має ліцензію на
повний комплекс робіт, пов’язаних з розробкою й впровадженням систем керування.
Створені в «Хартеп»
програмно-технічні комплекси, мають свідчення про державну реєстрацію прав, на
інтелектуальну власність. Весь комплекс робіт з розробки й впровадження АСУ
проводиться під управлінням системи якості, що має сертифікат відповідності міжнародного стандарту ІSO 9001-2001 (BVQІ «Бюро Веритас» ©130743).
У цей час фірма «Хартеп» займає міцні
позиції на вітчизняному ринку АСУ, розроблені й впроваджені
ряд систем на провідних підприємствах.
Використання ліцензійного
програмного забезпечення й устаткування провідних світових виробників, а також
завдяки високому технічному рівню фахівців гарантується висока якість вироблених
систем.
У своїй діяльності
суспільство керується Конституцією, законодавством України й Установчим
договором. ТОВ «Хартеп» є самостійним
суб’єктом із правом юридичної особи.
Цілями підприємства є:
задоволення споживчого
попиту на вітчизняному й закордонному ринках товарів, робіт і послуг;
одержання законного
прибутку шляхом здійснення самостійної, систематичної на власний ризик
діяльності по виробництву продукції, виконанню робіт, наданню послуг, що
входить у його спеціальну правоздатність;
створення додаткових
робочих місць із гарантованим рівнем оплати праці.
У процесі розвитку,
будівельна діяльність стала одним з основних видів діяльності підприємства.
Прибуток від будівельної діяльності становить 90% у загальній сумі прибутку.
Право на здійснення вищезгаданої діяльності
підтверджується наступними документами:
Ліцензія на здійснення
будівельної діяльності серії АА №744347 від 04.12.03р. по 04.12.06р. видана Державним комітетом
України по будівництву й архітектурі.
ТОВ «Хартеп» має свідчення про державну
реєстрацію виключного права на винаходи (свідчення про
авторські права) пропонованих систем, свідчення на знак для товарів і послуг,
сертифікати відповідності ІSO 9001-2001, сертифікати відповідності в системмах «УкрСЕПРО» й «Энсертико», свідчення про акредитации в НП «АТС», а також
ліцензії України (Серія АВ № 313504) і Республіки Казахстан (Серія 01
ГЛС№014028) на виконання даних робіт.
2.2. Експрес-аналіз фінансової звітності
підприємства
Стійкість фінансового
становища організації в значній мірі залежить від доцільності і правильності
вкладення фінансових ресурсів в активи. Активи динамічні по своїй природі. У процесі функціонування
організації величина активів і їхня структура перетерплюють постійні зміни. Найбільш загальне
представлення про якісні зміни, що мали місце,
у структурі засобів і їхніх джерел, а також динаміці цих змін можна одержати за
допомогою вертикального і горизонтального
аналізу даних бухгалтерської звітності.
Вертикальний аналіз. В
основі вертикального аналізу лежить представлення бухгалтерської звітності у
виді відносних величин, що характеризують структуру узагальнюючих підсумкових
показників. Обов’язковим
елементом аналізу служать динамічні ряди цих величин, що дозволяє
відслідковувати і прогнозувати структурні зрушення в складі господарських
засобів і джерел їхнього покриття.
Можна виділити дві
основні риси, що обумовлюють необхідність і доцільність проведення
вертикального аналізу:
перехід до відносних
показників дозволяє проводити міжгосподарські порівняння економічного потенціалу
і результатів діяльності організацій, що розрізняються по величині
використовуваних ресурсів і інших об’ємних показників;
відносні показники деякою
мірою згладжують негативний вплив інфляційних процесів, що можуть істотно
спотворювати абсолютні показники фінансової звітності і тим самим затрудняти їхнє зіставлення в динаміку.
Вертикальному аналізові
можна піддавати або вихідну звітність, або модифіковану звітність (з укрупненою
або трансформованою номенклатурою статей)
Як позитивну тенденцію
варто розглядати скорочення питомої ваги дебіторської заборгованості в активі
балансу. У структурі джерел засобів позитивною тенденцією є збільшення частки
власного капіталу.
Горизонтальний аналіз
звітності дозволяє виявити тенденції зміни окремих статей або їхніх груп, що
входять до складу бухгалтерської звітності. Даний вид аналізу полягає в
побудові однієї або декількох аналітичних таблиць, у яких абсолютні показники
доповнюються відносними темпами росту (зниження)
У ході аналізу необхідно зіставити дані по валюті
балансу на початок і кінець звітного періоду. При цьому зменшення (в
абсолютному вираженні) валюти балансу за звітний період свідчить про скорочення
організацією господарського обороту, що може спричинити її неплатоспроможність.
Установлення факту згортання господарської діяльності вимагає ретельного
аналізу його причин (скорочення платоспроможного попиту на товари, роботи і
послуги даної організації, обмеження доступу на ринки необхідної сировини,
матеріалів і напівфабрикатів, поступове включення в активний господарський
оборот дочірніх організацій за рахунок материнської компанії і т.д.).
Аналізуючи збільшення
валюти балансу за звітний період, необхідно враховувати вплив переоцінки
основних засобів, незакінченого будівництва і невстановленого устаткування, коли збільшення їхньої
вартості не позв’язано з розвитком виробничої діяльності. Найбільш складно
врахувати вплив інфляційних процесів, однак без цього важко зробити однозначний
висновок про те, чи є збільшення валюти балансу наслідком тільки лише подорожчання
готової продукції під впливом росту цін на сировину і матеріали, або воно вказує і на розширення господарської
діяльності організації. При наявності стійкої бази розширення господарського
обороту організації, причини її неплатоспроможності варто шукати в
нераціональності проведеної кредитно-фінансової політики, включаючи і
використання одержуваного прибутку, у помилках при визначенні цінової стратегії
і т.д.
При дослідженні
структури короткострокових зобов’язань
організації аналізуються їхній склад і тенденції зміни короткострокових зобов’язань.
Виявлена
тенденція до збільшення частки позикових засобів у джерелах утворення активів
організації, з одного боку, свідчить про посилення фінансової нестійкості
організації і підвищення ступеня її фінансових ризиків, а з іншого, – про
активний перерозподіл (в умовах інфляції і невиконання в термін фінансових
зобов'язань) доходів від кредиторів до організації-боржника.
При наявності
інформації про конкретних кредиторів організації і терміни виконання зобов’язань перед ними доцільно скласти їхній перелік із
указівкою повної назви, юридичної адреси, термінів і сум платежів і частки
даного кредиту в загальній сумі заборгованості організації. Особливу увагу варто приділити
наявності (і можливому ростові) простроченої заборгованості організації перед
бюджетом, по позабюджетним
платежам.
При аналізі внеоборотніх активів організації, зважаючи на
те, що питома вага основних засобів може змінюватися унаслідок впливу зовнішніх
факторів, наприклад, порядок їхнього обліку,
при якому відбувається запізніла корекція вартості основних засобів в умовах
інфляції, у той час як ціни на сировину, матеріали, готову продукцію можуть
рости досить високими темпами, необхідно звернути особливу увагу на зміну
абсолютних показників за звітний період, а також рух основних коштів (вибуття,
запровадження в дію нових основних засобів).
Наявність у складі
активів організації нематеріальних активів побічно характеризує обрану
організацією стратегію як інноваційну, тому що вона вкладає кошти в патенти,
ліцензії, іншу інтелектуальну власність, хоча подібні вкладення вимагають
додаткової (поза рамками даного аналізу) оцінки їхньої економічної
ефективності.
Велика увага при
дослідженні тенденцій зміни структури оборотних коштів організації варто приділити
аналізові коштів, розрахунків з дебіторами, короткострокових фінансових
вкладень і інших оборотних активів.
Високі темпи дебіторської
заборгованості по розрахунках з покупцями і замовниками, по векселям отриманим можуть свідчити про те, що
дана організація активно використовує стратегію товарних позичок для споживачів
своєї продукції. Кредитуючи їх,
організація фактично ділиться
з ними частиною свого доходу. У той же час, у тому випадку, коли платежі
організації затримуються, вона змушена брати кредити для забезпечення своєї
господарської діяльності, збільшуючи власну кредиторську заборгованість.
Для більш глибокого
аналізу дебіторської заборгованості організації необхідно додатково запросити
розшифровку з указівкою зведень про кожного дебітора, сум дебіторської
заборгованості і термінах її погашення. При цьому основною задачею наступного
аналізу дебіторської заборгованості є оцінка її ліквідності, тобто оцінка
зворотності боргів організації.
Оскільки грошові кошти і
короткострокові фінансові вкладення є найбільш легкореалізованими активами, то
збільшення їхньої частки могло б розглядатися як позитивна тенденція.
Однак в існуючих умовах
для того, щоб зробити однозначні висновки, необхідно, по-перше оцінити
ліквідність короткострокових цінних паперів, що знаходяться в портфелі даної
організації і, по-друге, оцінити швидкість обороту коштів, зіставивши її з темпами інфляції, для чого
потрібно додатково запитувана інформація.
При проведенні аналізу
фінансового стану організації використовується система аналітичних коефіцієнтів
оцінки фінансово-господарської діяльності комерційної організації. Оскільки
кількість показників велика, їх доцільно згрупувати в кілька груп.
Показники оцінки
майнового положення:
1. Сума господарських
засобів, що знаходиться в розпорядженні організації. Цей показник дає
узагальнену вартісну оцінку активів, що числяться на балансі організації. Це
облікова оцінка, що не збігається із сумарною ринковою оцінкою активів
організації. Ріст цього показника свідчить про нарощування майнового потенціалу
організації.
2. Частка активної
частини основних засобів. Відповідно до Положення про порядок нарахування
амортизації (зносу) на повне відновлення по основних фондах у народному
господарстві під активною частиною основних засобів розуміють машини,
устаткування і транспортні засоби. Ріст цього показника в динаміку, звичайно,
розцінюється як сприятлива тенденція.
3. Коефіцієнт зносу
основних засобів. Показник характеризує частку вартості основних засобів, що
залишається до списання на витрати в наступних періодах. Звичайно
використовується в аналізі як характеристика стану основних засобів.
Доповненням цього показника до 100% (або одиниці) є коефіцієнт придатності.
4. Коефіцієнт
відновлення. Показує, яку частину, від наявних на кінець звітного періоду
основних засобів, складають введені основні засоби.
5. Коефіцієнт вибуття.
Показує, яка частина основних засобів, з якими організація почала діяльність у звітному періоді,
вибула через старість та з інших причин.
Оцінка майнового стану підприємства дає змогу визначити абсолютні й відносні зміни статей балансу за визначений період, відслідкувати тенденції їхньої зміни та визначити структуру фінансових ресурсів підприємства.
За результатами аналізу робиться висновок щодо абсолютної величини та структури балансу, динаміки зміни вартості активів підприємства, окремих статей балансу підприємства порівняно з попередніми періодами, зазначивши позитивні та негативні тенденції таких змін. Особливу увагу слід приділити наявності та структурі простроченої заборгованості підприємства.
Оцінка комплексу перелічених показників дасть змогу визначити, наскільки
ефективно використовується майно підприємства, чи все у нього гаразд із
оновленням основних засобів сучаснішою технікою, чи своєчасно позбавляється
підприємство фізично і морально застарілого устаткування й обладнання. Такий
аналіз дасть можливість виявити конкретні резерви підвищення ефективності
використання майна підприємства.
Стійкість фінансового
положення підприємства
в значній мірі залежить
від доцільності і правильності вкладення фінансових ресурсів в активи. Активи
динамічні по своїй природі, тому їхня величина і структура зазнають постійних змін. Найбільш загальне представлення про зміни в структурі
засобів і їхніх джерел, а також динаміка цих змін можна одержати за допомогою
вертикального і горизонтального аналізу звітності. Аналіз активу та пасиву балансу за
2006-2008 рр. Представлений у табл. 2.1, 2.2, 2.3.
Таблиця 2.1
Аналіз активу та
пасиву балансу за 2006 р.
|
Показники
|
Абсолютна
величина,
тис.
грн.
|
Зміни
|
|
на
початок періоду
|
на
кінець періоду
|
в
абсолютному розмірі
|
у
відсотках до розміру на початок періоду
|
|
АКТИВ
1.
Необоротні активи
|
63,21
|
97,69
|
4,48
|
7,09
|
|
2.
Оборотні активи
|
955,90
|
912,92
|
-42,98
|
-4,49
|
|
3.
Витрати майбутніх періодів
|
-
|
-
|
-
|
-
|
|
Баланс
|
1019,11
|
980,61
|
-38,50
|
-3,78
|
|
ПАСИВ
1.
Власний капітал
|
108,37
|
148,21
|
39,84
|
36,76
|
|
2.
Розрахунки та інші пасиви, у т.ч.:
|
|
|
|
|
|
довгострокові позики
|
-
|
-
|
-
|
-
|
|
короткострокові кредити і позики
|
-
|
-
|
-
|
-
|
|
розрахунки з кредиторами та інші розрахунки
|
910,74
|
832,40
|
-78,34
|
-8,60
|
|
3.
Доходи майбутніх періодів
|
-
|
-
|
-
|
-
|
|
Баланс
|
1019,11
|
980,61
|
-38,50
|
-3,78
|
Таблиця 2.2
Аналіз активу та
пасиву балансу за 2007 р.
|
Показники
|
Абсолютна
величина,
тис.
грн.
|
Зміни
|
|
на
початок періоду
|
на
кінець періоду
|
в
абсолютному розмірі
|
у
відсотках до розміру на початок періоду
|
|
АКТИВ
1.
Необоротні активи
|
67,69
|
128,65
|
60,96
|
90,06
|
|
2.
Оборотні активи
|
912,92
|
1943,02
|
1030,10
|
112,84
|
|
3.
Витрати майбутніх періодів
|
-
|
-
|
-
|
-
|
|
Баланс
|
980,61
|
2071,67
|
1091,06
|
111,26
|
|
ПАСИВ
1.
Власний капітал
|
148,21
|
181,73
|
33,52
|
22,62
|
|
2.
Розрахунки та інші пасиви,
у
т.ч.:
|
|
|
|
|
|
довгострокові позики
|
-
|
-
|
-
|
-
|
|
короткострокові кредити і позики
|
-
|
-
|
-
|
-
|
|
розрахунки з кредиторами та інші розрахунки
|
832,40
|
1889,94
|
1057,54
|
127,05
|
|
3.
Доходи майбутніх періодів
|
-
|
-
|
-
|
-
|
|
Баланс
|
980,61
|
2071,67
|
1091,06
|
111,26
|
Таблиця 2.3
Аналіз активу та
пасиву балансу за 2008 р.
|
Показники
|
Абсолютна
величина,
тис.
грн.
|
Зміни
|
|
на
початок періоду
|
на
кінець періоду
|
в
абсолютному розмірі
|
у
відсотках до розміру на початок періоду
|
|
1
|
2
|
3
|
4
|
5
|
|
АКТИВ
1.
Необоротні активи
|
128,65
|
127,04
|
-1,61
|
-1,25
|
|
2.
Оборотні активи
|
1943,02
|
2415,85
|
472,83
|
24,34
|
|
3.
Витрати майбутніх періодів
|
-
|
-
|
-
|
-
|
|
Баланс
|
2071,67
|
2542,89
|
4741,22
|
22,76
|
|
ПАСИВ
1.
Власний капітал
|
181,73
|
448,28
|
266,55
|
146,67
|
|
2.
Розрахунки та інші пасиви, у т.ч.:
|
|
|
|
|
|
1
|
2
|
3
|
4
|
5
|
|
довгострокові позики
|
-
|
-
|
-
|
-
|
|
короткострокові кредити і позики
|
-
|
-
|
-
|
-
|
|
розрахунки з кредиторами та інші розрахунки
|
1889,94
|
2094,61
|
204,67
|
10,83
|
|
3.
Доходи майбутніх періодів
|
-
|
-
|
-
|
-
|
|
Баланс
|
2071,67
|
2542,89
|
471,22
|
22,76
|
Таблиця 2.4
Загальна оцінка
стану майна
|
Найменування
показника
|
Загальна оцінка стану майна
|
|
2006
|
2007
|
2008
|
|
На початок року
|
На кінець року
|
Відхи-
лення
|
На початок року
|
На кінець року
|
Відхи-
лення
|
На початок року
|
На кінець року
|
Відхи-
лення
|
|
1
|
2
|
3
|
4
|
5
|
6
|
7
|
8
|
9
|
10
|
|
Усього майна (валюта балансу), тис. грн.
|
1019,11
|
980,61
|
-38,5
|
980,61
|
2071,67
|
1091,06
|
2071,67
|
2542,89
|
471,22
|
|
1.Осн. засоби і необоротні активи, тис. грн.
|
63,21
|
67,69
|
4,48
|
67,69
|
128,65
|
60,96
|
128,65
|
127,04
|
-1,61
|
|
У відсотках до
майна,%
|
6,2
|
6,9
|
0,7
|
6,9
|
6,2
|
-0,7
|
6,2
|
4,99
|
-1,22
|
|
2. Оборотні активи (оборотний капітал), тис. грн.
|
955,9
|
912,92
|
-42,98
|
912,92
|
1943,02
|
1030,1
|
1943,02
|
2415,85
|
472,83
|
|
У відсотках до
майна
|
93,79
|
93,09
|
-0,7
|
93,09
|
93,79
|
0,7
|
93,79
|
95,0
|
1,21
|
|
2.1. Запаси, тис. грн.
|
570,04
|
401,85
|
-168,19
|
401,85
|
1117,34
|
715,49
|
1117,34
|
-188,05
|
|
У відсотках до
оборотного капіталу
|
59,63
|
44,02
|
-15,61
|
44,02
|
57,50
|
13,48
|
57,50
|
38,47
|
-19,03
|
|
2.2.Дебі-
торська заборгованість,тис.грн.
|
171
|
203,68
|
32,68
|
203,68
|
585,07
|
381,39
|
585,07
|
735,93
|
150,86
|
|
У відсотках до
оборотного капіталу
|
17,89
|
22,31
|
4,42
|
22,31
|
30,11
|
7,8
|
30,11
|
30,46
|
0,35
|
|
2.3. Кошти та їх еквіваленти:
|
|
У національній валюті, тис. грн.
|
126,17
|
84,65
|
-41,52
|
84,65
|
52,15
|
-32,5
|
52,15
|
590,12
|
537,97
|
|
1
|
2
|
3
|
4
|
5
|
6
|
7
|
8
|
9
|
10
|
|
У відсотках до оборотного капіталу
|
13,19
|
9,27
|
-3,92
|
9,27
|
2,68
|
-6,59
|
2,68
|
24,43
|
21,75
|
|
У іноземній валюті, тис. грн.
|
5,99
|
175,53
|
169,54
|
175,53
|
50,60
|
-124,93
|
50,60
|
96,15
|
45,55
|
|
У відсотках до оборотного капіталу
|
0,63
|
19,23
|
18,6
|
19,23
|
2,6
|
-16,63
|
2,6
|
3,98
|
1,38
|
|
3. Витрати майбутніх періодів, тис. грн.
|
-
|
-
|
-
|
-
|
-
|
-
|
-
|
-
|
-
|
|
У відсотках до
майна
|
-
|
-
|
-
|
-
|
-
|
-
|
-
|
-
|
-
|
|
|
|
|
|
|
|
|
|
|
|
|
|
Згідно даним табл. 2.4, у якій представлена загальна
оцінка стану майна, можемо зробити висновки що загальна
вартість майна збільшилась на 1523,78
тис. грн. на кінець 2008 року порівняно з початком 2006 року.
Найбільш вплинуло на
зміну вартості майна збільшення вартості оборотних активів в основному за
рахунок збільшення величини коштів.
Наявність дебіторської
заборгованості створює певні труднощі,
тому, що компанія буде почувати недолік
фінансових ресурсів для придбання виробничих запасів, виплати заробітної плати
і т.п. Тому ТОВ «Хартеп»
повинно активно знижувати дебіторську
заборгованість, що позитивно вплине на
розвиток
підприємства. Данні, що приводяться в пасиві балансу,
дозволяють визначити, які зміни відбулися в структурі власного і позикового
капіталу, скільки залучено в оборот
підприємства довгострокових і короткострокових засобів, тобто пасив показує, звідки взялися засоби, спрямовані на формування
майна підприємства. Фінансовий стан підприємства багато в чому залежить від
того, які засоби воно має у своєму розпорядженні і куди вони вкладені.
Статутний капітал –
основа самостійності і незалежності підприємства. Однак потрібно враховувати,
що фінансування діяльності підприємства тільки за рахунок власних коштів не
завжди вигідно для нього. Від того, наскільки оптимально відношення власного і позикового капіталів,
багато в чому залежить фінансове положення підприємства. Вироблення правильної фінансової стратегії є одним з основних умов ефективної
діяльності підприємства. Аналіз джерел формування майна компанії приведений у
табл. 2.5.
Таблиця 2.5
Аналіз
джерел формування майна підприємства
|
Показник
|
2006
|
2007
|
2008
|
|
Поча-
ток року
|
Кінець року
|
Відхи-
лення
|
Поча-
ток року
|
Кінець року
|
Відхи-
лення
|
Поча-
ток року
|
Кінець року
|
Відхилення
|
|
Джерела
формування
|
|
1. Власний
капітал,тис. грн..
|
108,37
|
148,21
|
39,84
|
148,21
|
181,73
|
33,52
|
181,73
|
448,28
|
266,55
|
|
У % до майна
|
10,63
|
15,11
|
4,48
|
15,11
|
8,77
|
-6,34
|
8,77
|
17,63
|
8,86
|
|
1.1 Наявність
власних оборотних коштів, тис. грн..
|
45,18
|
80,52
|
35,34
|
80,52
|
53,08
|
-27,44
|
53,08
|
321,24
|
268,16
|
|
У відсотках до
власного капіталу
|
4,43
|
8,21
|
3,78
|
8,21
|
2,56
|
-5,65
|
2,56
|
12,63
|
10,07
|
|
2. Позичені кошти,
тис. грн.
|
910,74
|
832,40
|
-78,34
|
832,40
|
1889,94
|
1057,54
|
1889,94
|
2094,61
|
204,67
|
|
В відсотках до
майна
|
8,37
|
84,89
|
-4,48
|
84,89
|
91,23
|
6,34
|
91,23
|
82,37
|
-8,86
|
|
2.1. Довгострокові
позики, тис. грн.
|
-
|
-
|
-
|
-
|
-
|
-
|
-
|
-
|
-
|
|
У відсотках до
позичених коштів
|
-
|
-
|
-
|
-
|
-
|
-
|
-
|
-
|
-
|
|
2.2.Короткострокові
позики, тис. грн.
|
910,74
|
832,4
|
-78,34
|
832,4
|
1889,94
|
1057,54
|
1889,94
|
2094,61
|
204,67
|
|
У відсотках до
позичених коштів
|
100
|
100
|
-
|
100
|
100
|
-
|
100
|
100
|
-
|
|
2.3. Кредиторська
заборгованість, тис. грн.
|
705,89
|
607,82
|
-98,07
|
607,82
|
1772,63
|
1164,81
|
1772,63
|
1898,44
|
125,81
|
|
У відсотках до
позичених коштів
|
77,51
|
73,02
|
-4,49
|
73,02
|
93,79
|
20,77
|
93,79
|
90,63
|
-3,16
|
|
3. Доходи майбутніх
періодів, тис.грн.
|
-
|
-
|
-
|
-
|
-
|
-
|
-
|
-
|
-
|
Аналіз даних,
представлених у табл. 2.5, показує, що відбувся істотний
перерозподіл у структурі джерел засобів компанії убік збільшення власного
капіталу. У порівнянні з 2006 роком
у 2007 році його величина збільшилася на 181,73 тис. грн. В порівнянні з 2006 роком спостерігається збільшення
власного капіталу на 266,55 тис. грн.
Зіставляючи структуру змін в активі і пасиві можна зробити висновок про те,
через які джерела був в основному приплив нових засобів і в які активи ці нові
засоби були вкладені. Якщо ріст відбувся переважно за рахунок власніх оборотних
коштів як у нашому прикладі то, як правило, збільшення мобільності майна носить
стабільний характер, виходить, висока мобільність майна невипадкова і повинна
розглядатися як позитивний фактор фінансового стану ТОВ «Хартеп».
2.3. Аналіз
ліквідності та фінансової стійкості підприємства
Потреба в аналізі
ліквідності балансу виникає у зв’язку з
обмеженістю фінансових ресурсів і необхідністю оцінки кредитоспроможності
підприємства.
Ліквідність
балансу визначається як ступінь покриття зобов’язань
підприємства його активами, термін погашення яких у грошову форму відповідає
терміну погашення зобов’язань.
Ліквідність активів –
величина, зворотна ліквідності балансу за часом перетворення типів активів у
грошову форму. Чим меньше потрібно часу, щоб даний вид активу знайшов грошову
форму, тим вище його ліквідність.
У залежності від ступеня
ліквідності, тобто швидкості перетворення в кошти, активи підприємства
розділяються на наступні групи.
Найбільш ліквідні активи
(А1).До них відносяться всі статті коштів підприємства і поточні фінансові
інвестиції. Дана група розраховується в такий спосіб:
(2.1)
Швидко реалізовані активи
(А2). До цієї групи активів відносяться активи, для звертання яких у грошову
форму потрібно більш тривалий час: готова продукція, товари, дебіторська
заборгованість, векселі отримані.
Ця група розраховується
так:
(2.2)
Повільно реалізовані
активи (А3). Набагато більший термін знадобиться для перетворення виробничих
запасів у незавершеному виробництві в готову продукцію, а потім у кошти. Крім
того, до цієї групи активів відносяться витрати майбутніх періодів, а також
оборотні активи, що не ввійшли до
перших двох груп. Розрахунок цього
показника робиться
в такий спосіб:
(2.3)
Важко реалізовані активи
(А4). До цієї групи відносяться необоротні активи підприємства, вартість яких
відбита в першому розділі активу балансу:
(2.4)
Пасиви балансу групуються
за ступенем настання терміну їхньої оплати. З даних балансу повну
інформацію для проведення такого угруповання одержати неможливо. Для проведення
цієї процедури можна користатися даними, що маються в примітках до звітів.
При проведенні
внутрішнього аналізу, якщо мається доступ до даних аналітичного обліку, таке
угруповання можна зробити більш точним.
При цьому в першу групу пасивів потраплять зобов’язання, термін оплати яких уже
наступив. Четверта група буде представлена довгостроковими пасивами (термін
погашення яких більш одного року). Віднесення зобов'язань, що залишилися, до
другої чи третьої групи пасивів індивідуально для кожного підприємства. При
цьому необхідно орієнтуватися на ступінь ліквідності другої і третьої груп
активів. Тобто термін погашення пасивів, що відносяться до другої групи, повинний відповідати терміну перетворення в
кошти активів другої групи і т.д.
Якщо ж у розпорядженні
аналітика маються лише дані, приведені в балансі, використовується більш
стандартний підхід: зобов'язання підприємства групуються відповідно до
передбачуваних термінів погашення. У цьому випадку угруповання проводиться
відповідно до загальновизнаних представлень про терміновість погашення того чи
іншого виду зобов’язань.
Використовуючи цей
критерій, зобов’язання
компанії можна згрупуватинаступним чином.
Найбільш термінові зобов’язання (П1). До них прийнято
відносити кредиторську заборгованість по придбаних товарах, робіт, послуг:
(2.5)
Короткострокові пасиви
(П2). До цієї групи відносяться текущі короткострокові
позикові засоби, зобов’язання
по розрахунках та інші зобов'язання. Крім того, сюди варто віднести також
частину пасивів, представлених у розділі
другому пасиву балансу «Забезпечення
майбутніх виплат і платежів».
Іншими словами, у цю групу відносяться статті четвертого розділу пасиву за
винятком кредиторської заборгованості за товари, роботи, послуги, і статті
другого і п'ятого розділів пасиву з обліком обговорених вище обмежень. Формула
визначення суми таких пасивів має наступний вигляд:
(2.6)
Довгострокові пасиви
(П3). Ця група пасивів представлена довгостроковими зобов’язаннями підприємства, відображеними в третьому розділі пасиву балансу, а
також статтями другого і п’ятого розділів пасиву балансу, не віднесеними до другої групи:
(2.7)
Постійні (стійкі) пасиви
(П4) – це статті першого розділу активу балансу:
(2.8)
Баланс вважається
абсолютно ліквідним, якщо має місце співвідношення:
А1≥П1, А2≥П2, АЗ≥ПЗ, А4≤П4
Співвідношення
найбільш ліквідних активів з найбільш терміновими зобов’язаннями
дозволяє оцінити миттєву ліквідність підприємства, тобто здатність негайно
погасити зобов’язання наявними коштами.
Зіставлення
швидко реалізуємих активів з короткостроковими пасивами характеризує поточну ліквідність
підприємства, тобто його здатність відповідати за поточними зобов’язаннями.
Зіставлення
повільно реалізуємних активів з довгостроковими пасивами відбиває перспективну
ліквідність, що буде зростати за рахунок майбутніх надходжень і платежів.
Свідчить про дотримання
мінімального рівня фінансової стійкості, тобто про наявність у підприємства
власних оборотних коштів.
Для характеристики
ліквідності даного підприємства в табл. 2.6, 2.7,
2.8 приведемо розрахунок
груп активів і пасивів.
Таблиця
2.6
Аналіз ліквідності балансу за 2006
рік
|
Актив
|
На початокроку
|
На кінецьроку
|
Пасив
|
На початокроку
|
На кінецьроку
|
Платіжний надлишок
(+) або нестача (-)
|
|
+
|
-
|
|
1. Найбільш
ліквідні активи (А1)
|
198,66
|
295,23
|
1. Найбільш
термінові зобов’язання (П1)
|
910,74
|
832,40
|
-712,08
|
-537,14
|
|
2. Швидко реалізуючі
активи (А2)
|
187,2
|
215,84
|
2. Короткостро-
кові пасиви (П2)
|
-
|
-
|
187,20
|
215,84
|
|
3. Повільно реалізуючі
активи (А3)
|
570,04
|
401,85
|
3. Довгострокові
пасиви (П3)
|
-
|
-
|
570,04
|
401,85
|
|
4. Важко реалізуючі
активи (А4)
|
63,21
|
67,69
|
4. Поточні пасиви
(П4)
|
108,37
|
148,21
|
-45,16
|
-80,52
|
|
БАЛАНС
|
1019,11
|
980,61
|
БАЛАНС
|
1019,11
|
980,61
|
-
|
-
|
Аналіз ліквідності
говорить про те що в 2006 році баланс не вважаєтьяс абсолютно ліквідним бо зіставлення найбільш ліквідних активів з найбільш терміновими зобов’язаннями відбиває перспективну ліквідність, що буде
зростати за рахунок майбутніх надходжень і платежів а в нашому випадку
нерівність не виконується. На початок року платіжна нестача була 712,08 тис.грн., але на кінець 2006 року відбулось зменшення цього показника.
Таблиця 2.7 Аналіз ліквідності балансу за 2007
рік
|
Актив
|
На початокроку
|
На кінецьроку
|
Пасив
|
На початокроку
|
На кінецьроку
|
Платіжний надлишок
(+) або нестача (-)
|
-
|
|
1. Найбільш
ліквідні активи (А1)
|
295,23
|
228,01
|
1. Найбільш
термінові зобов’язання (П1)
|
832,40
|
1889,94
|
-537,14
|
-1661,93
|
|
2. Швидко реалізуючі
активи (А2)
|
215,84
|
597,67
|
2. Короткостро-
кові пасиви (П2)
|
-
|
-
|
215,84
|
597,67
|
|
2. Повільно реалізуючі
активи (А3)
|
401,85
|
1117,34
|
3. Довгострокові
пасиви (П3)
|
-
|
-
|
401,85
|
1117,34
|
|
4. Важко реалізуючі
активи (А4)
|
67,69
|
128,65
|
4. Поточні пасиви
(П4)
|
148,21
|
181,73
|
-80,52
|
-53,08
|
|
БАЛАНС
|
980,61
|
2071,67
|
БАЛАНС
|
980,61
|
2071,67
|
-
|
-
|
В 2007 році баланс також
не вважаєтьяс абсолютно ліквідним бо зіставлення
найбільш ліквідних активів з найбільш терміновими зобов’язаннями
відбиває перспективну ліквідність, а в нашому випадку нерівність не
виконується. На початок року платіжна нестача була 537,17
тис.грн. більш того на кінець 2007 року відбулось збільшення цього показника до
1661,93 тис.грн. Ситуація не покращується бо найбільш ліквідні активи в
порівнянні з початком періоду зменьшуються. В 2008 році при порівнянні найбільш ліквідних активів з
найбільш терміновими зобов’язанняим також є платіжна нестача в розмірі 1661,93 тис.грн. на початок року. На кінець же року
платіжна нестача складає 1360,13 тис.грн. Показники
ліквідності активів достатньо високі. Високі показники ліквідності також є
свідоцтвом зниження ризику. Стабільний стан підприємства і вміння
розраховуватися по своїм зобов’язанням може привернути білше клієнтів.
Таблиця 2.8
Аналіз ліквідності балансу за 2008
рік
|
Актив
|
На початокроку
|
На кінецьроку
|
Пасив
|
На початокроку
|
На кінецьроку
|
Платіжний надлишок
(+) або нестача (-)
|
|
+
|
-
|
|
1. Найбільш
ліквідні активи (А1)
|
228,01
|
734,48
|
1. Найбільш
термінові зобов’язання (П1)
|
1889,94
|
2094,61
|
-1661,93
|
-1360,13
|
|
2. Швидко реалізуючі
активи (А2)
|
597,67
|
752,08
|
2. Короткостро-
кові пасиви (П2)
|
-
|
-
|
597,67
|
752,08
|
|
2. Повільно
реалізуючі активи (А3)
|
1117,34
|
929,29
|
3. Довгострокові
пасиви (П3)
|
-
|
-
|
1117,34
|
929,29
|
|
4. Важко реалізуючі
активи (А4)
|
128,65
|
127,04
|
4. Поточні пасиви
(П4)
|
181,73
|
448,28
|
-53,08
|
-321,24
|
|
БАЛАНС
|
2071,67
|
2542,89
|
БАЛАНС
|
2071,67
|
2542,89
|
-
|
-
|
Результати аналізу
ліквідності балансу компанії представлені в табл.2.9.
Таблиця 2.9 Результати аналізу ліквідності балансу підприємства
|
Норматив ліквідності
|
Значення показника по роках (на
кінець року)
|
|
2006
|
2007
|
2008
|
|
А1≥П1
|
< на -537,17
|
< на -1661,93
|
< на -1360,13
|
|
А2≥П2
|
> на 215,84
|
> на 597,67
|
> на 752,08
|
|
А3≥П3
|
> на 401,85
|
> на 1117,34
|
> на 929,29
|
|
А4≤П4
|
< на -80,52
|
< на -53,08
|
< на -321,24
|
Логіка розрахунку
показників поточної ліквідності полягає в тому, щоб виявити здатність
підприємства погасити поточні (короткострокові) зобов’язання за рахунок
поточних активів. Коефіцієнт поточної ліквідності розраховується по формулі:
(2.9)
Розрахунок коефіцієнтів
ліквідності необхідно проводити на початок і кінець періоду. Це дозволяє
виявити динаміку цих коефіцієнтів.
Коефіцієнт
швидкої ліквідності розраховується по формулі:
(2.10)
Коефіцієнт швидкої
ліквідності показує, скільки гривень швидкореалізрваних активів приходиться на
1 грн. поточної заборгованості. У випадку, якщо коефіцієнт швидкої ліквідності
більше або дорівнює 0, підприємство має стійке
фінансове положення.
Важливе значення в
аналізі ліквідності балансу має розрахунок показника абсолютної ліквідності, що
показує, яка частина поточних зобов'язань може бути погашена негайно (грошима).
Коефіцієнт абсолютної
ліквідності розраховується по формулі:
(2.11)
Нормативне
значення коефіцієнта абсолютної ліквідності – більше або дорівнює 0,2. Коефіцієнти
ліквідності розразовані по роках і представлені в табл.2.10.
Коефіцієнт
поточної ліквідності не є абсолютним показником здатності підприємства повернути
борги, тому що він характеризує лише наявність оборотних коштів, а не їхню якість.
Коефіцієнт
швидкої ліквідності на відміну від коефіцієнта поточної ліквідності не має
такого недоліку і є більш строгим показником, тому що при його розрахунку
враховуються найбільш ліквідні поточні активи (запаси не враховуються).
Таблиця
2.10
Коефіцієнти
ліквідності підприємства
|
Найменування
показника
|
Нормативне значення
|
Значення показника
по роках
|
|
2006
|
2007
|
2008
|
|
Коефіцієнт поточної
ліквідності
|
2 – 2,5
|
1,05
|
1,10
|
1,10
|
1,03
|
1,03
|
1,15
|
|
Коефіцієнт швидкої
ліквідності
|
0,7 – 0,8
|
0,42
|
0,61
|
0,61
|
0,44
|
0,44
|
0,71
|
|
Коефіцієнт
абсолютної ліквідності
|
0,2 – 0,25
|
0,15
|
0,31
|
0,31
|
0,05
|
0,05
|
0,33
|
Коефіцієнт
поточної ліквідності в 2006 році трішки збільшився порівняно з початком року на
0,05. На 0,07 пункти зменшився коефіцієнт поточної ліквідності в 2007 році. На
кінець 2008 року коефіцієнт збільшився на 0,12 пункти. На кінець 2008 року
спостерігається не дуже значне збільшення усіх коефіцієнтів ліквідності в
порівняні з початком періоду.
Таблиця 2.11
Розрахунок поточних активів
|
Найменування
показника
|
Значення показників
по роках
|
|
2006
|
2007
|
2008
|
|
Поча-
ток року
|
Кінець року
|
Поча-
ток року
|
Кінець року
|
Початок року
|
Кінець року
|
|
Запаси
|
570,04
|
401,85
|
401,85
|
1117,34
|
1117,34
|
929,29
|
|
Векселі отримані
|
16,20
|
12,1
|
12,1
|
12,6
|
12,6
|
15,6
|
|
Дебіторська
заборгованість за товари
|
169,22
|
203,29
|
203,29
|
584,94
|
584,94
|
735,84
|
|
Дебіторська
заборгованість з розрахунків
|
1,78
|
0,39
|
0,39
|
0,13
|
0,13
|
0,09
|
|
Інша поточна
заборгованість
|
-
|
0,06
|
0,06
|
-
|
-
|
0,55
|
|
Поточні фінансові
інвестиції
|
-
|
-
|
-
|
-
|
-
|
-
|
|
Грошові кошти та їх
еквіваленти
|
132,16
|
260,18
|
260,18
|
102,75
|
102,75
|
686,27
|
|
Інші оборотні
активи
|
66,50
|
35,05
|
35,05
|
125,26
|
125,26
|
48,21
|
|
Усього по розділу
ІІ
|
955,9
|
912,92
|
912,92
|
1943,02
|
1943,02
|
2415,85
|
|
Витрати майбутніх
періодів
|
-
|
-
|
-
|
-
|
-
|
-
|
|
Разом поточні
активи
|
955,9
|
912,92
|
912,92
|
1943,02
|
1943,02
|
2415,85
|
Як видно з табл.
2.11, в аналізованому періоді оборотні кошти підприємства збільшилися, що в
цілому є позитивним явищем діяльності підприємства.
Однак постатейний
аналіз структури оборотних коштів підприємства показує, що в основному їхнє
збільшення відбулося за рахунок наднормативних запасів і росту дебіторської заборгованості за товари. У той же час кошти підприємства збільшилися, тому першочерговою задачею
керівництва підприємства є погашення дебіторської заборгованості за товари і реалізація наднормативних запасів,
що значно вплине на поліпшення показника швидкої ліквідності і підвищення
платоспроможності підприємства. Хоча при цьому Дебіторська заборгованість з розрахунків
зменшується, що позитивно впливає на роботу підприємства.
Одна з найважливіших
характеристик фінансового стану підприємства – стабільність його діяльності з
позиції довгострокової перспективи. Вона зв’язана, насамперед, із загальною
фінансовою структурою підприємства, ступенем його залежності від кредиторів і
інвесторів.
Єдиного загальновизнаного
підходу до рішення задачі кількісного визначення фінансової стійкості і
побудові відповідних алгоритмів оцінки немає. У відношенні методів рішення цієї
задачі існує два основних підходи:
для оцінки фінансового
стану підприємства необхідно орієнтуватися винятково на дані про джерела
фінансування, тобто на капітал. У цьому випадку оцінка фінансової стійкості
підприємства виробляється тільки на підставі даних пасиву балансу;
для оцінки фінансової
стійкості підприємства необхідно аналізувати взаємозв’язок між активом і пасивом балансу,
тобто просліджувати напрямок
використання засобів. Безумовно, коефіцієнти, розраховані за даними пасиву
балансу, є основними в цьому блоці аналізу. Однак характеристика фінансової
стійкості за допомогою таких показників навряд чи буде повною – важливо не
тільки те, звідки
притягнуті засоби, але і
куди вони вкладені, яка структура вкладень. Другий підхід є більш повним, і з економічної точки зору більш
виправданим. Тому оцінку фінансової стійкості підприємства проведемо з
використанням як коефіцієнтів, розрахованих по пасиву баланса, так
і коефіцієнтів, що відбивають взаємозв’язок між джерелами формування засобів підприємства і
структурою вкладень. Перший крок у цьому блоці аналізу фінансового стану
підприємства – оцінка оптимальності співвідношення власного і позикового
капіталу підприємства. Дані показники можна розділити на два блоки:
коефіцієнти
капіталізації, що характеризують фінансовий стан підприємства з позицій
структури джерел засобів;
коефіцієнти покриття, що
характеризують фінансову стійкість з позицій витрат, пов’язаних
з обслуговуванням зовнішніх джерел притягнутих засобів.
Таблиця 2.12 Оцінка
відносних показників фінансової стійкості підприємства
|
Назвапоказника
|
Нормативнезначення
|
Значення показника
по роках
|
|
2006
|
2007
|
2008
|
|
1. Коефіцієнт
забезпеченості власними засобами
|
Більше 0,1
|
0,05
|
0,09
|
0,09
|
0,3
|
0,3
|
0,13
|
|
2. Коефіцієнт
забезпеченості матеріальних запасів власними засобами
|
Менше 0,5
|
0,08
|
0,2
|
0,2
|
0,05
|
0,05
|
0,35
|
|
3. Коефіцієнт
маневреності
|
-
|
0,42
|
0,54
|
0,54
|
0,31
|
0,31
|
0,72
|
|
4. Індекс
постійного активу
|
Менше 1
|
0,58
|
0,46
|
0,46
|
0,71
|
0,71
|
0,28
|
|
5. Коефіцієнт
довгострокового залучення позикових засобів
|
0,4
|
-
|
-
|
-
|
-
|
-
|
-
|
|
6. Коефіцієнт зносу
|
Менше 0,5
|
0,39
|
0,49
|
0,49
|
0,44
|
0,44
|
0,57
|
|
7. Коефіцієнт
реальності майна
|
Більше 0,5
|
0,62
|
0,46
|
0,46
|
0,60
|
0,60
|
0,41
|
Коефіцієнт
забазпеченность власними обототними засобами (ВОЗ) характеризує наявність ВОЗ,
необхідних для фінансовї незалежності підприємства. У нашому випадку
відбувається ріст показника, що говорить про збільшення фінансової незалежності
підприємства та зменшення ризику фінансових вкладень. Але при цьому значення
нижче нормативого. Тільки на кінець 2008 року вони стало більше 0,1, а саме
0,13. Це свідчить про те, що підприємство стало платоспроможним.
Коефіцієнт
забезпеченості матеріальних запасів власними засобами показує яка частина
виробничих запасів фінансується за рахунок ВОЗ. Значення коефіцієнта для ТОВ
«Хартеп» не перевищує 0,5 у розглянутому періоді. Отже, запаси на підприємстві
майже повністью фінансуються за рахунок ВОЗ.
Коефіцієнт маневрування
власного капіталу. Цей показник показує, яка частина власного оборотного
капіталу знаходиться в обороті, тобто в тій формі, що дозволяє вільно
маневрувати цими засобами, а яка капіталізована. На нашому підприємстві частка
власних засобів досить маленька і складає відповідно 42 і 54 копійки на кожну гривню на початку і кінці
2006 року, зменшився цей показник у 2007 році до 31 копійки, в 2008 році він знов збільшився до 72 копійок.
Індекс постійного
активу показує долю необоротних активів у власному капіталі підприємства. На
нашому підприємстві значення цього показника залишається менше одиниці. Це
означає, що необоторні активи сформовані більшою часткою за рахунок власного
капіталу.
Коефіцієнт
довгострокового залучення коштів характеризує структуру довгострокових пасивів
підприємства, що складаються з власного капіталу та довгострокових зобов’язань.
Зростання коефіцієнту довгострокового залучення коштів в динаміці є негативною
тенденцією і означає, що з позиції довгострокової перспективи підприємство все
у більшій мірі залежить від зовнішніх факторів. У нашому випадку ми не можемо
розрахувати цей коефіцієнт, бо ТОВ «Хартеп» взагалі не має довгострокових зобов’язань, що говорить про незалежність підприємства
від зовнішніх факторів.
Коефіцієнт зносу
характеризує долю вартості основних засобів списаних на затрати майбутніх
періодів у першу вартість основних засобів. Тільки на кінець 2008 року значення
перевищує нормативне.
Коефіцієнт
реальної вартості майна показує яку долю в активах підприємства займають засоби
промисловості.
Він визначаеє
рівень прмислового потенціалу підприємства, забезпеченність промисловими
процесами, засобами промисловості.
В нашому випадку
відбувається коливання значення коефіцієнта, що може бути зумовлене різними
причинами.
Оборотні активи –
сукупність майнових цінностей підприємства, що обслуговують господарський
процес і повністю використовуваних під час першого операційного циклу.
На практиці до
них відносять: майнові цінності (активи) всіх видів зі строком використання
менш 1-го року або 1-го операційного циклу, якщо він перевищує рік.
Ціль аналізу
оборотних активів – забезпечення такої їхньої організації, яка би забезпечила
ефективність їхнього використання.
Стан оборотних
коштів підприємства характеризується в першу чергу їхньою наявністю на певну
дату.
Наявність ВОЗ
визначається наступним чином: підсумок 1-го розділу пасиву (380ф.1) – підсумок
1-го розділа активу (080ф.1). Крім цього існують й інші підходи до формування
алгоритму розрахунку даного показника: ВОЗ = оборотні активи (260ф.1) – поточні
зобов’язання (620ф.1).
Таблиця 2.13 Показники
оборотності оборотних коштів
|
Показники
|
2006
|
2007
|
2008
|
Відхилення 2007/2006
|
Відхилення
2008/2007
|
|
1. Чистий дохід
(виручка) від реалізації продукції, тис. грн.
|
2922,28
|
256,66
|
7102,39
|
-359,62
|
4539,73
|
|
2. Середні залишки
всіх оборотних коштів, тис. грн.
|
1427,97
|
2179,44
|
493,56
|
751,47
|
|
3. Коефіцієнт
оборотності
|
2,64
|
1,51
|
2,73
|
-1,13
|
1,22
|
|
4. Тривалість
одного обороту
|
136,41
|
238,70
|
132,11
|
102,29
|
-106,59
|
Порівняння
фактичної наявності оборотних коштів з їхнім нормативом на підприємстві дає
можливість установити недолік або надлишок оборотних коштів. Недолік ВОЗ
пояснюється наступними причинами:
несвоєчасне
фінансування приросту нормативу обігових коштів;
наявність
невідособленої дебіторської заборгованості;
значний ріст цін
у результаті інфляційних процесів;
недоодержання
передбачених доходів;
незадовільна
діяльність маркетингової служби.
Надлишок ВОЗ
виникає по таким причинам:
перевищення
фактично одержаного прибутку над передбаченим планом;
несплата в
повному обсязі платежів у бюджет і державні цільові фонди;
безкоштовні
надходження, отримані ТМЦ від інших організацій.
За даними табл.
2.13 бачимо, що чистий дохід підприємства росте як і оборотні кошти.
Коефіцієнт
оборотності відображає швидкість обороту мобільних активів підприємства.
Позитивною тенденцією є збільшення показника. В нашому випадку нажаль
відбувається навпаки. Отже, швидкість обороту мобільних активів підприємства
постійно знижується. Тривалістть одного обороту показує період за який оборотні
засоби підприємства здійснюють 1 оборот, тобто проходять всі стадії кругообігу
на підприємстві (у днях). Чим менше значення цьго показника, тим краще для
підрпємства.
Таблиця 2.14
Зведена таблиця
коефіцієнтів ділової активности підприємства
|
Показники
|
2006
|
2007
|
2008
|
Відхилення
2007/2006
|
Відхилення
2008/2007
|
|
1
|
2
|
3
|
4
|
5
|
6
|
|
1. Коефіцієнт
оборотності активів
|
2,47
|
1,41
|
2,57
|
-1,06
|
1,16
|
|
2. Коефіцієнт
оборотності дебіторської заборгованості
|
12,24
|
5,29
|
8,80
|
-6,95
|
3,51
|
|
3. Термін
оборотності дебіторської заборгованості
|
29,41
|
68,05
|
40,91
|
38,64
|
-27,14
|
|
4. Коефіцієнт
оборотності кредиторської заборгованості
|
2,54
|
1,36
|
2,63
|
-1,18
|
1,27
|
|
5. Термін
оборотності кредиторської заборгованості
|
141,73
|
264,71
|
136,88
|
122,98
|
-127,83
|
|
6. Коефіцієнт
оборотності запасів
|
4,56
|
2,44
|
5,12
|
-2,12
|
2,68
|
|
7. Тривалість
оборотності запасів
|
78,93
|
147,54
|
70,31
|
68,61
|
-77,23
|
|
8. Тривалість
операційного циклу
|
165,82
|
306,75
|
173,02
|
140,93
|
-133,73
|
Коефіцієнт
оборотності активів характеризує швидкість обороту сукуних активів підприємства
та показує кількість оборотів, зроблених активами за аналізований період.
Позитивною тенденцією є збільшення показника в динаміці, що ми і спостерігаємо.
Коефіцієнт
оборотності дебіторської заборгованості характеризує швидкість обороту
дебіторської заборгованості підприємства. Показує кількість оборотів, зроблених
дебіторською заборгованістью за аналізований період. Позитивною тенденцією є
ріст показника. У нашому випадку показник коливається, що свідчить про постійні
зміни дебіторської заборгованості.
Термін
оборотності дебіторської заборгованості відображає кількість днів, за які
погашається дебіторська заборгованость підприємства. Позитивною тенденцією є
зманшення. В нашому випадку звичайно ми спостерігаємо коливання.
Коефіцієнт
оборотності кредиторської заборгованості характеризує швидкість обороту
кредиторської заборгованості підприємства.
Термін
оборотності кредиторської заборгованості відображає кількість днів, за які
погашається кредиторська заборгованость.
Коефіцієнт
оборотності запасів характеризує швидкість обороту матеріальних запасів
підприємства. Позитивною тенденцією є ріст показника.
Тривалість
оборотності запасів показує період одного обороту запасів, тобто швидкість їх
перетворення із матеріальної у грошову форму.
Аналізуючи
структуру й динаміку оборотних активів варто враховувати:
для стабільного
виробництва й налагодженої реалізації потрібна характерна й стабільна структура
оборотних активів;
збільшення частки
виробничих запасів може означати їхнє нагромадження під дією неліквідів,
свідоме їхнє нагромадження у зв’язку з
перебоями в поставках, нарощуванні виробничого потенціалу підприємства,
прагнення, шляхом вкладення у виробничі запаси, захистити грошові активи від
знецінювання за рахунок інфляції;
зменшення
величини виробничих запасів може призвести до дефіциту окремих видів сировини й
матеріалів, перебоям у виробничому процесі, недовантаження виробничих
потужностей;
збільшення
дебіторської заборгованості може відбуватися за наступних причин: нераціональна
кредитна політика підприємства стосовно покупців, неплатоспроможність і навіть
банкрутство деяких споживачів, занадто високі темпи нарощування обсягів
продажів, ріст реалізації продукції в кредит, зміну форм розрахунків й ін.
різке скорочення
дебіторської заборгованості може настати у результаті негативних взаємин із
клієнтами, зменшенні продажів у кредит, втратою споживачів і т.д.;
тенденція
скорочення частки грошових засобів у складі оборотних активів може свідчити про
виникнення фінансових труднощів на підприємстві;
про поліпшення
структури оборотних активів свідчить зменшення частки виробничих запасів,
збільшення грошових засобів.
Експрес-аналіз
фінансових результатів діяльності підприємства здійснюється за даними форми № 2
«Звіт про фінансові результати» з використанням абсолютних та відносних
показників. До абсолютних відносять виручку (сукупну та чисту), валовий
прибуток (збиток), фінансовий результат від операційної діяльності, від
звичайної діяльності до оподаткування та чистий прибуток (збиток). До відносних
– темпи приросту цих показників.
Виконання
експрес-аналізу фінансових результатів діяльності підприємствапредставлені в
таблиці 2.15.
Таблиця 2.15
Аналіз рівня динаміки показників фінансових результатів діяльності
підприємства
|
Показники
|
2006
|
2007
|
2008
|
Відхилення
2007/2006
|
Відхилення
2008/2007
|
|
1. Чистий дохід
(виручка) від реалізації продукції (товарів, робіт, послуг)
|
2466,03
|
2153,61
|
5938,99
|
-312,42
|
3785,38
|
|
2. Собівартість
реалізованої продукції (товарів, робіт, послуг)
|
2213,43
|
1849,78
|
5234,18
|
-363,65
|
3384,4
|
|
3. Валовий прибуток
(збиток)
|
252,6
|
303,83
|
704,81
|
51,23
|
400,98
|
|
4. Адміністративні
витрати
|
221,94
|
289,19
|
397,37
|
67,25
|
108,18
|
|
5. Фінансовий результат
від операційної діяльності
|
(19,66)
|
(53,46)
|
245,32
|
(33,8)
|
191,86
|
|
6. Фінансовий
результат від звичайної діяльності
|
46,12
|
42,08
|
325,14
|
-4,04
|
283,06
|
|
7. Чистий прибуток
(збиток)
|
39,84
|
33,52
|
266,55
|
-6,32
|
233,04
|
Чистий дохід підприємства у 2007 році зменшився на 312,42 тис.грн., але у
2008 році він вже зріс на 3785,38 тис.грн.
Фінансовий результат від операційної діяльності у 2006 і 2007 роках був
збитковий, але в 2008 році підприємство мало 191,86 тис.грн.
Від звичайної діяльності підприємство усі три роки отримувало прибуток і
у 2008 році він (прибуток) був більший, ніж від операційної на 79,82 тис.грн.
2.4. Аналіз використання інвестиційного потенціалу підприємства
Для потенційних інвесторів та суб'єктів господарювання
надзвичайно важливо мати результати аналізу всіх видів діяльності підприємства
і насамперед інвестиційої та
фінансової. На основі бухгалтерської та фінансової звітності суб'єктів господарювання, аналізу
існуючих методик проведення фінансового аналізу [22, 52, 53, 15, 16, 33] та
досвіду роботи підприємств пропонується система показників щодо оцінки
інвестиційного потенціалу суб'єкта господарювання. Насамперед це стосустьсн
існуючих форм звітності.
Методика включає два етапи оцінки інвестиційного погенціллу
суб'єкта господарювання [35]. На рис. 2.1 наведено методичний підхід та
послідовність, проведення аналізу використання інвестиційного потенціалу
підприємства.
Перший етап — це проведення аналізу інвестиційної діяльності за
такими групами показників:
1. Показники фінансової стійкості та структури капіталу.
2.
Показники рентабельності капіталу.
3. Показники реальних та фінансових інвестицій. Це показники
бухгалтерської та фінансової форми звітності. Слід враховувати, що ф. 1 вміщує
показники на початок та кінець звітного року, ф. 2 – це показники в цілому за
рік, ф 3 – надходження та витрати за трьома видами діяльності підприємства в
цілому за рік.
Для інвестиційної діяльності будь-кого підприємства важливо
враховувати такі показники:
чистий рух грошових коштів підприємства (прибуток від усіх видів
діяльносі (Пд) та амортизаційні
(АВ) відрахування (ф.3, ряд.400, гр.3 (або5) + ф.2, ряд.260));
прибуток підприємства (Пд) від усіх видів
діяльності (операційна, фінансова, інвестиційна (ф.3, ряд.400, гр.3 (або 5));
прибуток (Пінв) від інвестиційної діяльності (ф.3,
ряд.300, гр.3 (або5)).
4. На підставі цього підходу та показників прибутковості
підприємства пропонується наступна, четверта, група показників чистого потоку
грошових коштів:
Рис.2.1.
Етапи проведення аналізу використання інвестиційного потенціалу підприємства
4 1. Відношення чистого потоку грошових коштів (ЧПГК) щодо:
1) підсумку балансу (ВБ):
(2.12)
2) інвестиційного капіталу (ІК):
(2.13)
3) акціонерного капіталу (АК):
(2.14)
4) прибутку від усіх видів діяльності (Пд):
(2.15)
5) оподаткованого прибутку:
(2.16)
6) чистого прибутку (ЧП) підприємства:
(2.17)
7) прибутку від інвестиційної діяльності (Пінв):
(2.18)
4.2. Відношення прибутку від усіх видів діяльності (Пд) до:
1) інвестиційного капіталу (ІК):
(2.20)
2) прибутку від інвестиційної діяльності (Пінв):
(2.21)
4.3. Відношення прибутку від інвестиційної діяльності (Пінв)
до інвестиційного капіталу (ІК):
(2.22)
5. Показники використання інвестиційних ресурсів:
1) рівень доходу від участі в капіталі (РДу.к.):
(2.23)
2) рівень фінансових доходів на 1 грн. витрат (РДф):
(2.24)
3) рівень інших доходів на 1 грн. витрат (РДін):
(2.25)
Розрахунки
груп показників аналізу інвестиційної діяльності
приведені в табл. 2.16.
Таблиця 2.16
Аналіз інвестиційної діяльності
|
Показники
|
2006
|
2007
|
2008
|
|
1
|
2
|
3
|
4
|
|
Відношення
чистого потоку грошових коштів до підсумку балансу
|
0,16
|
0,20
|
0,31
|
|
Відношення
чистого потоку грошових коштів до інвестиційного капіталу
|
1,53
|
1,29
|
3,54
|
|
Відношення
чистого потоку грошових коштів до акціонерного капіталу
|
1,53
|
1,29
|
3,54
|
|
1
|
2
|
3
|
4
|
|
Відношення
чистого потоку грошових коштів до прибутку від усіх видів діяльності
|
1,23
|
1,23
|
1,09
|
|
Відношення
чистого потоку грошових коштів до оподаткованого прибутку
|
26,45
|
22,36
|
10,98
|
|
Відношення
чистого потоку грошових коштів до чистого прибутку
|
4,17
|
5,71
|
2,41
|
|
Відношення
чистого потоку грошових коштів до прибутку від інвестиційної діяльноті
|
1,23
|
1,69
|
10,34
|
|
Відношення
прибутку від усіх видів діяльності до інвестиційного капіталу
|
1,24
|
1,05
|
3,24
|
|
Відношення
прибутку від усіх видів діяльності до прибутку від інвестиційної діяльності
|
1,00
|
1,37
|
9,45
|
|
Відношення
прибутку від інвестиційної діяльності до інвестиційного капіталу
|
1,24
|
0,76
|
0,34
|
|
Рівень
інших доходів на 1 грн. витрат
|
4,63
|
10,16
|
1,05
|
Представлені
розрахунки у табл. 2.16 свідчать про можливість ТОВ «Хартеп» розвивати
інвестиційну діяльність. Відношення чистого потоку
грошових коштів до підсумку балансу збільшується у динаміці, що говорить про
постійне збільшення грошових надходжень, які можна спрямовувати на інвестиційну
діяльність. Відношення чистого потоку грошових коштів до інвестиційного
капіталу не має чіткого росту або зниження. Показник коливає, що свідчить про
не ефективне управління інвестиційним капіталом, на що варто звернути увагу.
Відношення чистого потоку грошових коштів до акціонерного капіталу дорівнює
попередньому показнику, тому що підприємство не має довгострокових зобов’язань.
Відношення чистого потоку грошових коштів до прибутку від усіх видів діяльності
зменшується у динаміці, що являється негативною рисою. Відношення чистого
потоку грошових коштів до оподаткованого прибутку також знижується – зменшення грошових
надходжень. Ріст відношення чистого потоку грошових коштів до прибутку від
інвестиційної діяльноті позитивно характеризує ТОВ «Хартеп». Відношення
прибутку від усіх видів діяльності до інвестиційного капіталу коливає, що
свідчить про не ефективне управління інвестиційним капіталом. Відношення
прибутку від усіх видів діяльності до прибутку від інвестиційної діяльності має
стрімкий ріст. Відношення прибутку від інвестиційної діяльності до
інвестиційного капіталу – йде тенденція спаду показника. Рівень інших доходів
на 1 грн. витрат також цде на зниження.
Наступний
етап проведення аналізу інвестиційного потенціалу – це аналіз руху грошових
коштів за всіма видами діяльності (операційної, інвестиційної та фінансової) на
основі Ф. 3 звітності. Рух грошових коштів за операційною, інвестиційною та
фінансовоюдіяльністю дозволяє визначити прибутковість підприємства і в той же
час – дефіцит або надлишок грошових коштів. Форма 3 відображає порядок
фінансування операцій будь-якого підприємства та використання ним фінансових ресурсів. Вона надає користувачам
фінйнсової звітності дані щодо оцінки спроможності підприємства залучати і
використовувати грошові кошти та їх еквіваленти.
Звіт
про рух грошових коштів вміщує інформацію, яка дає можливість оцінити фінансову
гнучкість підприємства, а саме його спроможність генерувати значні грошові
кошти для своєчасного реагування на несподівані виникаючі потреби (надзвичайні)
та його можливості. Дані про рух грошових коштів за минулі періоди, а особливо
від основної діяльності, допомагає
оцінити фінансову гнучкість підприємства. Оцінка здатності підприємства
пережити, наприклад, несподіване падіння попиту, може включати в себе аналіз
руху грошових коштів від основної діяльності за минулі періоди Чим істотніше
потоки грошових коштів, тим вище здатність підприємства витримати несприятливі
зміни економічних умов.
Висновки
до розділу 2
1.
ТОВ «Хартеп» відповідно до існуючих стандартів на автоматизовані системи
забезпечується виконання всього циклу розробки й впровадження, а також здійснюється
авторський нагляд, гарантійне й післягарантійне обслуговування. У спектр послуг
входить розробка проекту системи, придбання, поставка й монтаж устаткування,
розробка проекту й уведення в експлуатацію локальної обчислювальної мережі
підприємства, організація каналів зв’язку з
вилученими об’єктами, розробка й виготовлення
оригінального встаткування.
2. Весь комплекс
робіт з розробки й впровадження АСУ в ТОВ «Хартеп» проводиться під управлінням
системи якості, що має сертифікат відповідності міжнародному стандарту ІSO 9001-2001 (№ UA2.003.575 системи сертифікації
УкрСЕПРО й №130743 Bureau Verіtas Qualіty Іnternatіonal (BVQІ) UK). У своїй практичній діяльності
фахівці ТОВ «Хартеп» орієнтуються на міжнародні стандарти й технології побудови
інформаційних систем – ІSO 9001, ІSO 9003, CMM.
3. ТОВ «Хартеп»
займається комплексною розробкою й впровадженням:
автоматизованих систем
диспетчерського керування об’єктами розподільних мереж электро-водо-тепло- і газопостачання;
автоматизованих систем
контролю й обліку електроенергії, різних газів, пари й стисненого повітря,
рідких нафтопродуктів, води, пульпи, тепла;
автоматизованих систем
розрахунків зі споживачами промисловий і побутовий сектори;
автоматизованих систем
керування технологічними процесами;
розробкою й впровадженням
локальних і корпоративних мереж.
А також підприємство
займається виробничою діяльністю:
виготовлення (і розробка
по вимогах замовника) промислових контролерів (контролерів контрольованих
пунктів);
виготовлення (і розробка
по вимогах замовника) концентраторів телемеханічних мереж (центральних
приемопередающих станцій);
виготовлення
інтелектуальних лічильників витрати газу;
розробка й виготовлення
модулів для приватного застосування (вводу-висновку, узгодження протоколів,
гальванічної розв’язки й
т.п.).
4. Фінансовий аналіз ТОВ «Хартеп» показав, що підприємство з економічої
точки зору не погане, але потребує роботи над ним. Майже усі показники
знаходяться в нормі.
5. Загальна вартість майна збільшилась на
1523,78 тис. грн.на кінець 2007 року порівняно з початком 2006 року. Найбільш вплинуло на зміну вартості майна збільшення вартості
оборотних активів в основному за рахунок збільшення величини коштів.
6. ТОВ «Хартеп» повинно
активно знижувати дебіторську заборгованість, що позитивно вплине на розвиток підприємства.
7. Відбувся істотний перерозподіл у
структурі джерел засобів компанії убік збільшення власного капіталу. У
порівнянні з 2006 роком у 2007 році його величина збільшилася на 181,73 тис. грн. В порівнянні з 2006 роком спостерігається збільшення
власного капіталу на 266,55 тис. грн.
8. Аналіз ліквідності
говорить про те що в 2006 році баланс не вважаєтьяс абсолютно ліквідним бо зіставлення найбільш ліквідних активів з найбільш терміновими зобов’язаннями відбиває перспективну ліквідність, що буде
зростати за рахунок майбутніх надходжень і платежів а в нашому випадку
нерівність не виконується. На початок року платіжна нестача була 712,08 тис.грн., але на кінець 2006
року відбулось зменшення цього показника.
9. В 2007 році баланс
також не вважаєтьяс абсолютно ліквідним бо зіставлення
найбільш ліквідних активів з найбільш терміновими зобов’язаннями
відбиває перспективну ліквідність, а в нашому випадку нерівність не
виконується. На початок року платіжна нестача була 537,17
тис.грн. більш того на кінець 2007 року відбулось збільшення цього показника до
1661,93 тис.грн. Ситуаціє не покращується бо найбільш ліквідні активи в
порівнянні з початком періоду зменьшуються.
10. В
2008 році при порівнянні найбільш ліквідних активів з найбільш терміновими зобов’язанняим
також є платіжна нестача в розмірі 1661,93 тис.грн. на початок року. На кінець же року платіжна
нестача складає 1360,13 тис.грн. Показники ліквідності активів достатньо високі. Високі
показники ліквідності також є свідоцтвом зниження ризику. Стабільний стан
підприємства і вміння розраховуватися по своїм зобов’язанням може привернути білше
клієнтів.
11. Необхідно звернути увагу, що всі показники у 2007 році мають значення менше
нормативних та у порівнянні з 2006 роком. Але у 2008 році показники підвищуюються
і навіть стають вище, ніж у 2006 році. Це
може бути зумовлено зростанням кредиторської та дебіторської заборгованості у
2007 році.
3. МЕТОДИЧНІ
ПІДХОДИ ДО ВИБОРУ ОБ’ЄКТІВ ІНВЕСТУВАННЯ ДЛЯ ТОВ «ХАРТЕП»
3.1.Структурно-функціональна
модель процесу організації інвестиційної діяльності підприємства
Дослідження проблем
інвестування завжди перебувало в центрі економічної науки. Це зумовлено тим, що
інвестиціі зачіпають самі глибинні основи
господарської діяльності, визначаючи процес економічного росту в цілому.
В умовах ринкової
економіки ефективна діяльність підприємств у довгостроковій перспективі,
забезпечення високих темпів їхнього розвитку та підвищення
конкурентоспроможності в значною мірою визначається рівнем їхньої інвестиційної
активності і діапазоном інвестиційної діяльності. Коло питань, розв'язуваних
цим видом функціонального управління підприємством досить великий, так як
інвестиційні рішення нерозривно пов'язані з усіма іншими видами діяльності
підприємства та усіма стадіями його життєвого циклу, формують його перспективну
організаційну структуру та інвестиційну культуру.
Інвестиції – всі
види майнових та інтелектуальних цінностей, які вкладаються в об'єкти підприємницької
та інших видів діяльності, в результаті якої створюється прибуток (доход) [2].
Інвестиційна
діяльність – це сукупність практичних дій громадян, юридичних осіб і держави з
реалізації інвестицій [2].
Інвестиційна діяльність
може здійснюватися у формі [2]:
інвестування, здійснюваного
громадянами, недержавними підприємствами, господарськими
ассоціаціями, об'єднаннями та товариствами,
організаціями, іншими юридичними особами;
державного інвестування;
іноземного інвестування;
спільного інвестування коштів і
цінностей громадянами та юридичними особами України та іноземних держав.
Приріст капіталу
повинен бути достатнім для того, щоб компенсувати інвестору відмову від
використання наявних коштів на споживання в поточному періоді, винагородити
його за ризик, відшкодувати втрати від інфляції в поточному періоді.
Джерелом приросту
капіталу і рушійним мотивом здійснення інвестицій є прибуток, що отримується
від них. Ці два процеси – вкладення капіталу та отримання прибутку – можуть
відбуватися в різній часовій послідовності. При послідовному протіканні цих
процесів прибуток виходить відразу ж після завершення інвестицій у повному
обсязі. При паралельному їх протіканні отримання прибутку можливе ще до повного
завершення процесу (після першого його етапу). При інтервальному протіканні цих
процесів між періодом завершення інвестицій та отримання прибутку проходить
певний час, тривалість якого залежить від особливостей конкретного
інвестиційного проекту.
Ступінь
відповідальності за прийняття інвестиційного проекту в рамках того чи іншого
напрямку різна. Так, якщо мова йде про заміщення наявних виробничих
потужностей, рішення може бути прийняте досить безболісно, оскільки керівництво
підприємства ясно уявляє собі, в якому обсязі і з якими характеристиками
необхідні нові основні засоби. Завдання ускладнюється, якщо мова йде про
інвестиції, пов'язані з розширенням основної діяльності, оскільки в цьому
випадку необхідно врахувати цілий ряд нових факторів: можливість зміни
положення фірми на ринку товарів, доступність додаткових обсягів матеріальних,
трудових і фінансових ресурсів, можливість освоєння нових ринків та ін .
В умовах ринкової
економіки можливостей для інвестування досить багато. Однак існує чинник
фактору ризику. Інвестиційна діяльність завжди здійснюється в умовах
невизначеності, ступінь якої може значно варіювати. Так, у момент придбання
нових основних засобів ніколи не можна точно пророчити економічний ефект цієї
операції.
Прийняття рішень
інвестиційного характеру, як і будь-який інший вид управлінської діяльності,
базується на використанні різних формалізованних і неформалізованних методів та
критеріїв. Ступінь їх сполучення визначається різними обставинами, в тому числі
й тим із них, наскільки менеджер знайомий з наявним апаратом, застосовним у
тому чи іншому конкретнному випадку. У вітчизняній і закордонній практиці
відомий цілий ряд формалізованних методів, за допомогою яких розрахунки можуть
служити основою для прийняття рішень в області інвестиційної політики. Якогось
універсального методу, придатного для всіх випадків життя, не існує. Тим не
менше, маючи деякі оцінки, отримані формалізованими методами, нехай навіть
певною мірою умовні, легше приймати остаточні рішення.
Позитивними
характеристиками структурно-функціональної моделі є можливість заочно
ілюструвати порядок дій при формуванні інвестиційної діяльності та оцінки якості
формування та реалізації інвестиційної діяльності.
Структурно-функціональна
модель огрганізації інвестиційної діяльності передбачає використання
CASE-засобу в програмному продукті BPwin за стандартом: IDEF0, який передбачає опис
етапів модельованого процесу.
Особливостями
стандарту IDEF0 є те, що він дозволяє подати алгоритм організації у вигляді
діаграми, наглядно представити послідовність дій формування основних напрямів
інвестиційної діяльності. Реалізація цього стандарту здійснюється у такий
спосіб.
І етап – побудова
основного блоку організації. Його суть полягає у складанні контекстної діаграми
моделі.
Контекстну
діаграму «Організувати інвестиційну діяльність підприємства» подано на рис.
3.1.
На контекстній
діаграмі по центру знаходиться блок головної задачі, який відображає сутність
моделі, мету її побудування та передбачає сукупність запитань, на які має
відповідати модель. З усіх боків до головного блоку надходять інтерфейсні дуги,
які визначають:
вхідну
інформацію, необхідну для здійснення організації інвестиційної діяльності;
назву
модельованого процесу;
ініціатора –
особу, під управлінням якої проводиться робота по організації інвестиційної
діяльності – фінансовий аналітик та механізм, із застосуванням якого
реалізується модельований процес (автоматизоване робоче місце);
вихідний
документ, тобто результат, який необхідно отримати (в нашому випадку – це
інвестиційний проект, в який підприємство може вкласти грошові кошти).
Рис.
3.1. Контекстна діаграма моделі у стандарті IDEF0
На другому етапі
моделювання відбувається декомпозиція контекстної діаграми (блок А0 на рис.
3.1), результатом чого є діаграма, що відбиває структуру, тобто сукупність
етапів процесу, який відображено контекстною діаграмою. Для модельованого
процесу таку діаграму подано на рис. 3.2.
Як видно з рис.
3.2, процес формування основних напрямків стратегії організації інвестиційної
діяльності, передбачає три послідовних етапи (тобто таких, що мають пріоритет у
послідовності їх виконання, виконуються один за одним) – аналіз діяльності
підприємства (блок А1 на рис. 3.2), виявлення актуального об’єкту інвестування
(блок А2 на рис. 3.2) та безпосередньо вібір інвестиційного проекту (блок А3 на
рис. 3.2).
Результати
попереднього етапу є вхідними даними для наступного (блок А1 та блок А2 на рис.
3.2). Що стосується функціонального блоку А2, то в ньому вихід («Актуальний
об’єкт інвестування») є управляючою дією для функціонального блоку А3 («Вибрати
інвестиційний прект»).
Рис. 3.2.
Діаграма декомпозиції контекстної діаграми (стандарт IDEF0)
Такий
взаємозв’язок між зазначеним етапами відображає логіку дії фінансового
аналітика, який при аналізі поточного стану, використовуючи дані фінансової
звітності (вхід блоку А1), має, з одного боку, керуватися, а з іншого –
обмежуватися методикою розрахунку (інтерфейсні дуги, які входять у верхню сторону
функціонального блоку). У даному випадку «обмеження» полягає у тому, що модель
повинна мати таке структурування, щоб довести до аналітика фінансового відділу
коло питань, які він має вирішувати та на що орієнтуватися при виконанні своїх
функціональних обов’язків. Зауважимо, що для всіх етапів таким керуючим
обмеженням є методичні розрахунки, що визначає послідовність проведення
розрахункових операцій, та розпорядження керівництва.
Також слід
зазначити, що у якості механізму (інтерфейсні дуги, які входять у нижню сторону
функціонального блоку) виконання всіх етапів моделі, окрім фінансового
аналітика, відображено й автоматизоване робоче місце, оскільки його
використання не тільки сприяє зменшенню помилок, викликаних людським чинником,
а й прискорює розрахункові процедури.
Подальше
побудування моделі передбачає декомпозицію етапу «Виявити актуальний об’єкт
інвестування» – блок А2 на рис. 3.2. Діаграму декомпозиції цього блоку подано
на рис. 3.3.
Рис. 3.3.
Діаграма декомпозиції етапу «Виявити актуальний об’єкт інвестування» (стандарт IDEF0)
Як видно з рис.
3.3, структурна побудова цієї діаграми передбачає виконання послідовності таких
процесів:
виявлення
фінансових ресурсів, що маються для інвестування – блок А21;
оцінка
актуальності можливих обєктів – блок А23;
вибір
потенційного обєкту інвестування– блок А24;
Далі побудування
моделі передбачає декомпозицію етапу «Вибрати інвестиційний проект» – блок А3 на рис. 3.2.
Діаграму декомпозиції цього блоку подано на рис. 3.4.
Рис. 3.4.
Діаграма декомпозиції етапу «Вибрати інвестиційний проект» (стандарт IDEF0)
Рис. 3.4 показує,
що структурна побудова цієї діаграми передбачає виконання послідовності таких
процесів:
визначення сроку
окупності інвестицій– блок 31;
розрахунок
коефіцієнту ефективності інвестицій – блок А32;
визначення чистої
поточної вартості – блок А34;
аналіз параметрів
інвестиційного проеку – блок А36.
Застосування
CASE-засобу моделювання бізнес процесів підприємницької одиниці дозволив
представити у стандарті IDEF0 процес формування основних напрямків організації
інвестиційної діяльності підприємства як єдиної системи, та при її подальшій
декомпозиції наявно відобразити сценарій діяльності фінансового аналітика при
виконанні своїх обов’язків щодо модельованої предметної області.
3.2 Рекомендації
щодо інвестування коштів на банківський депозит
Підприємства
постійно стикаються з необхідністю інвестицій, тобто із вкладенням фінансових
коштів у різні програми та окремі заходи (проекти) з метою організації нових,
підтримки та розвитку діючих виробництв (виробничих потужностей), технічної
підготовки виробництва, отримання прибутку та інших кінцевих результатів, наприклад
природоохоронних, соціальних та ін.
Це можуть бути
цільові банківські вклади, цінні папери, фінансові вкладення в технології,
машини й устаткування, ліцензії, майнові права, інтелектуальні цінності.
Для прийняття
рішення про вкладення коштів у проект чи банк, необхідно глибоко проаналізувати
всі можливі варіанти. Можливим варіантом інвестування коштів є вкладення їх в
банк на депозит. Проведення депозитних операцій підприємствами України
регулюється Правилами здіснення депозитних операцій для банківських депозитів.
Депозит – сума
грошей, поміщена вкладником в банк на певний або невизначений термін. Банк
пускає ці гроші в оборот, а в обмін виплачує вкладникові відсотки. Депозит є
боргом банку перед вкладником, тобто, підлягає поверненню [12].
У періоди нормального
розвитку економіки банківський вклад є однією з найменш вигідних і найменш
ризикованих форм вкладення грошей і може служити в якості мінімального
орієнтиру в розрахунках.
Розрізняють [12]:
Депозит до
запитання – депозит без зазначення строку зберігання, який повертається на
першу вимогу вкладника. Зазвичай по ощадним вкладами нараховуються відсотки за
ставками нижче відповідних для строкових депозитів. Депозитом до запитання
можуть за угодою з банком або за законами окремих держав бути кошти на Чековий
рахунок у банку.
Строковий депозит
– депозит під відсотки, внесений на певний термін і вилучати повністю після
закінчення обумовленого терміну. Строкові депозити менш ліквідні, ніж ощадні
вклади до запитання, але приносять більш високий відсоток доходу.
Також можливі
різні конструкції вкладу: депозит з можливістю поповнення, часткового
вилучення. Звичайна закономірність: чим більше термін вкладу, тим вище його
прибутковість. При розміщенні великих сум рекомендується розбивати їх на кілька
депозитів – у разі необхідності можна буде вилучити лише частину коштів,
зберігши прибутковість по іншим, однак при цьому банк може запропонувати менший
дохід.
Перевагами
депозиту є:
надійність
збереження коштів;
зручність;
мінімізація
ризиків вкладення.
Не всі банки
займаються депозитними вкладами для юридичних осіб. Але, як правило, відсоткова
ставка для юридичних осіб більша, ніж для фізичних.
Вклади коштів
юридичних осіб на депозитний рахунок оформлюються комерційним банком шляхом
відкриття термінового депозитного рахунку з укладенням договору банківського
вкладу або видачі депозитного вкладу.
По договору
банківського депозиту (вкладу) комерційний банк, який прийняв кошти від
вкладника або кошти, що надійшли на рахунок вкладника з іншого боку,
зобов’язується сплатити вкладнику суму депозиту (вкладу) та нараховані відсотки
на умовах і в порядку, передбаченому договором.
Проведення
короткострокового фінансового інвестування повинно базуватися на наступних
принципах [41]:
1)
принцип
обґрунтованості, який передбачає прийняття рішень щодо доцільності та напрямів
короткострокового фінансового інвестування на основі проведення моніторингу
ринку цінних паперів та варіантів вкладення коштів на депозитні рахунки;
2)
принцип
диверсифікації вкладень – вкладення тимчасово - вільних коштів у різні види
паперів з метою мінімізації інвестиційних ризиків;
3)
принцип
професійного підходу, який передбачає наявність в штаті спеціаліста відповідного
профілю або використання послуг посередників. Незважаючи на певні додаткові
витрати тільки такий підхід дозволить не втратити, а примножити кошти
підприємств в процесі фінансування.
Якщо підприємство
вкладе зайві кошти на депозитний рахунок на один рік, то воно буде одержувати
дохід тільки з суми початкових інвестицій. Вкладений капітал та нарощені
проценти воно отримає в кінці року.
Майбутню вартість
грошових коштів можна розрахувати за такою формулою [41]:
FV = PV*(1+r*n), (3.1)
де FV – майбутня вартість грошових коштів;
PV – початкова сума грошових
коштів, вкладених у банк;
r – ставка відсотку;
n – кількість періодів.
Величину
процентів, отриманих інвестором можна розрахувати за формулою [41]:
І = FV – PV (3.2)
Визначимо суму
коштів, яка може бути інвестована ТОВ «Хартеп» на банківський депозит виходячи
з наступного.
На кінець 2008
року ТОВ «Хартеп» має нерозподілений прибуток у розмірі 442,26 тис. грн., та
велику дебіторську заборгованість – 735,84 тис. грн. Пропонується зменшити
дебіторську заборгованість на 30% – ті замовники, які погодилися на миттєву
оплату.
Пропонується
частину нерозподіленого прибутку (60%), та частину дебіторської заборгованості
вкласти на банківський депозитний рахунок – 824,67 тис. грн.
Розглянемо
декілька варіантів вкладення грошових коштів підприємства на банківський
депозитний рахунок (табл. 3.1) [54].
Інвестування
коштів у всі банки відбувається на таких умовах:
1)
виплата
процентів відбувається у кінці року;
2)
капіталізації
процентів немає;
3)
можливості
поповнення вкладу немає;
4)
можливості
дострокового зняття частини вкладу без штрафних санкцій немає.
Таблиця 3.1
Варіанти
вкладення грошових коштів на банківський депозитний рахунок
|
Назва банку
|
Початкова сума, тис. грн.
|
Кількість років
|
Процентна ставка
|
Майбутня вартість грошових
коштів, тис. грн.
|
Величина процентів отриманих
інвестором, тис. грн.
|
|
«Дельта Банк»
|
824,67
|
1
|
20,00
|
17318,07
|
16493,40
|
|
«Діамантбанк»
|
824,67
|
1
|
16,00
|
14019,39
|
13194,72
|
|
«Кредит-Днепр
КФ»
|
824,67
|
1
|
22,00
|
18967,41
|
18142,74
|
|
«Крещатик»
|
824,67
|
1
|
21,10
|
18225,21
|
17400,54
|
|
«Первый
Инвестиционный банк»
|
824,67
|
1
|
19,50
|
16905,74
|
16081,07
|
|
«Укргазбанк»
|
824,67
|
1
|
27,50
|
23503,10
|
22678,43
|
|
«Экспобанк»
|
824,67
|
1
|
20,15
|
17441,77
|
16617,10
|
З табл. 3.1
видно, що процентна ставка коливається від 16% на рік у «Діамант банк» і до 27,5% в «Укргазбанку». Середня процентна
ставка по представленим банкам складає 20,89%.
Майбутня вартість
грошових коштів, в залежності від вибраного банку може скласти 14019,39 тис.
грн. (при процентній ставці 16%) або 23503,10 тис. грн. (при процентній ставці
27,5%). В результаті інвестування коштів у один із представлених банків ТОВ
«Хатреп» може отримати від 13194,72 тис. грн. до 22678,43 тис. грн.
Найменші
процентні ставки по депозиту мають наступні банки: «Діамантбанк», «Дельта банк»,
«Єкспобанк». Ставку, яка наближена до середньої має банк «Хрещатик». Ставки
банків, які перевищують середнє значення по депозиту мають: «Кредит-Днепр КФ», «Крещатик»,
«Укргазбанк».
Найбільш вигідним
варіантом вкладення грошових коштів на один рік є «Укргазбанк». Підприємство по
закінченні року може отримати в «Укргазбанку» 22678,43 тис. грн. При виборі банку необхідно
враховувати не тільки процентні ставки, а і репутацію та термін існування
банку, його надійність.
Розрахуємо, яку
суму грошових коштів отримає підприємство, якщо нарахування відсотків буде
відбуватися щомісячно за формулою [41]:
FV = PV*(1+r/n)n*m, (3.3)
де FV – майбутня вартість грошових коштів;
PV – початкова сума грошових
коштів, вкладених у банк;
r – ставка відсотку;
n – кількість періодів,
m – кількість нарахувань за рік.
Вкладення коштів
у всі банки на депозитний рахунок відбувається на таких умовах:
1)
виплата
процентів відбувається щомісячно;
2)
капіталізації
процентів немає;
3)
можливості
поповнення вкладу немає;
4)
можливості
дострокового зняття частини вкладу без штрафних санкцій немає.
Варіанти
вкладення грошових коштів підприємства на депозитний рахунок при нарахуванні
відсотків щомісячно представлені в табл. 3.2.
Таблиця 3.2
Варіанти
вкладення грошових коштів на банківський депозитний рахунок
|
Назва банку
|
Початкова сума, тис. грн.
|
Кількість років
|
Процентна ставка
|
Кількість нарахувань
|
Майбутня вартість грошових
коштів, тис. грн.
|
Величина процентів отриманих
інвестором тис. грн.
|
|
1
|
2
|
3
|
4
|
5
|
6
|
7
|
|
«Дельта Банк»
|
824,67
|
1
|
19,00
|
12
|
995,75
|
171,08
|
|
Діамант банк
|
824,67
|
1
|
16,00
|
12
|
966,74
|
142,07
|
|
«Кредит-Днепр
КФ»
|
824,67
|
1
|
22,00
|
12
|
1025,56
|
200,89
|
|
«Креща-
тик»
|
824,67
|
1
|
14,00
|
12
|
947,83
|
123,16
|
|
«Первий
Инвестиционный банк»
|
824,67
|
1
|
18,50
|
12
|
990,86
|
166,19
|
|
«Укргаз-
банк»
|
824,67
|
1
|
29,00
|
12
|
1098,32
|
273,65
|
|
«Экспо-
банк»
|
824,67
|
1
|
20,00
|
12
|
1005,60
|
180,93
|
З розрахунків,
представлених у табл. 3.2 видно, що ТОВ «Хартеп» протягом року може отримати
найбільшу суму коштів від «Укргазбанку», яка складе 273,65 тис. грн.
Процентна ставка
не відображає реальної ефективності вкладення грошових коштів, тому вона не
може бути використана для співставлення. Порівняти ефективність вкладень можна
за допомогою ефективної ставки, яка визначає відносний дохід, який одержує
власник капіталу, у даному випадку – підприємство, за рік у цілому.
Ефективна ставка
розраховується за такими формулами [41]:
1)
з
нарахуванням процентів один раз на рік :
rэ =[(1+r*n) -1]*100%;(3.4)
2)
при
нарахуванні процентів щомісячно :
rэ =[(1+r/n)n*m -1]*100%. (3.5)
Значення ефективної
ставки для всіх банків представлено у табл. 3.3.
На основі
розрахункових даних, представлених в табл. 3.3 можна зробити висновок, що
найбільш ефективним є вкладення коштів в «Укргазбанк». Ефективна ставка у цього
банку найбільша у обох випадках: і при сплаті процентів у кінці року – 27,5%, і
щомісячно – 33,18%.
Таблиця 3.3 Значення
ефективної ставки при вкладенні грошових коштів підприємства на банківський
депозитний рахунок
|
Банк
|
Ефективна ставка
при нарахування процентів
|
|
в кінці року
|
щомісячно
|
|
«Дельта Банк»
|
20,00
|
20,75
|
|
«Діамант банк»
|
16,00
|
17,23
|
|
«Кредит-Днепр КФ»
|
22,00
|
24,36
|
|
«Хрещатик»
|
21,10
|
14,93
|
|
«Первый
Инвестиционный банк»
|
19,50
|
20,15
|
|
«Укргазбанк»
|
27,50
|
33,18
|
|
«Экспобанк»
|
20,10
|
21,94
|
На другому місці
знаходиться «Кредит-Днепр КФ». При вкладенні коштів у цей банк початкова сума
збільшиться на 22% при їх нарахуванні у кінці року і на 24,36% при щомісячній
сплаті процентів.
Для ефективного
використання грошових коштів вони не повинні просто знаходитися на рахунку
підприємства, а їх необхідно постійно інвестувати або вкладати у банк.
Підприємство повинно постійно проводити аналіз ринку та шукати найбільш
прибуткові варіанти вкладання коштів.
3.3. Методичний
підхід до оцінки ефективності інвестування коштів
Значення
економічного аналізу для планування та здійснення інвестіціонной діяльності
важко переоцінити. При цьому особливу важливість має попередній аналіз, який
проводиться на стадії розробки інвестиційних проектів і сприяє прийняттю
розумних і обгрунтованих управлінських рішень.
Ступінь відповідальності
за прийняття інвестиційного проекту в рамках того чи іншого напрямку різна.
Нерідко рішення повинні прийматися в умовах, коли є ряд альтернативних або
взаємно незалежних проектів. У цьому випадку необхідно зробити вибір одного або
декількох проектів, спираючись на якісь критерії. Очевидно, що таких критеріїв
може бути декілька, а ймовірність того, що якийсь один проект буде краще інших
за всіма критеріями, як правило, значно менше одиниці.
Головним
напрямком попереднього аналізу є визначення показників можливої економічної
ефективності інвестицій, тобто віддачі від капітальних вкладень, які
передбачені за проектом. Як правило, у розрахунках приймається до уваги
тимчасові аспект вартості грошей.
ТОВ «Хартеп» має
багаторічний досвід роботи та являється багато профільним підприємством.
Співпрацює з підприємствами України, Росії, Казахстану. Для підтримання свого
авторитету та підвищення прибутку необхідно інвестувати кошти у власний
розвиток – у виробничу діяльність.
Пропонується
наступний проект – введення у виробництво оперативно-інформаційного комплексу
автоматизованої системи диспетчерського управління.
Проект
представляє собою комплекс взаємопов’язаних робіт, здійснення яких забезпечує
досягнення поставлених цілей проекту в рамках складеного розкладу та виділеного
бюджету, а також виконання інших умов.
Введення у
виробництво оперативно-інформаційного комплексу автоматизованої системи
диспетчерського управління дозволить проводити більш точне тестування та
обробку програмного забезпечення, що розробляється спеціалістами на
підприємстві. Технічні характеристики комплектуючих комплексу знаходяться на
високому рівні, що говорить про його якість. Окрім того, встановлення такого
комплексу у замовників забезпечить безконтактне обслуговування. Тобто, тестування,
розробка програмного забезпечення, налагодження можна буде здійснювати на ТОВ
«Хартеп», не виїжджаючи до замовника, що значно скоротить витрати на
відрядження.
Планується, що
споживачами стануть 85% вже існуючих замовників, таких як «Укрзалізниця», ГІВЦ
НЕК «Укренерго» та всі її підрозділи (АК «Харківобленерго», АТ
«Кировоградобленерго» та інші), Київський та Харківський метрополітен,
Павлоградський хімічний завод та інші. Також очікується залучення нових.
Загальна вартість
одного оперативно-інформаційного комплексу автоматизованої системи
диспетчерського управління з урахуванням комплектуючих приведені у табл. 3.4.
Таблиця 3.4 Комплектуючі
оперативно-інформаційного комплексу автоматизованої системи диспетчерського
управління
|
№
|
Найменування ТМЦ
|
Од.
|
Сума без ПДВ
|
Сума з ПДВ
|
|
1
|
EB 6842.900 Шкаф підлоговий
|
шт.
|
474,95
|
569,94
|
|
2
|
SA.0044.412 Блок на 4 вентилятори
|
шт.
|
31,98
|
38,38
|
|
3
|
SA 8005.000 Полка висувна для клавіатури L=800
|
шт.
|
21,88
|
26,26
|
|
4
|
322 000 133
Блок 3-х конт. Розеток на 9 гнізд
|
шт.
|
42,08
|
50,50
|
|
5
|
EB 6011201 Плінтус 600*800*100
|
шт.
|
37,03
|
44,44
|
|
6
|
Компл. 19’’кріпл. 100 елем.
|
шт.
|
3,08
|
3,69
|
|
7
|
SA 0052.030 Поличка стаціонарна L=300
|
шт.
|
61,10
|
73,32
|
|
8
|
KVMW-H8 Коммутатор (Монітор, клавіатура, коммутатор)
|
шт.
|
961,46
|
1153,75
|
|
9
|
HP930S-RM LCD
|
шт.
|
397,69
|
477,23
|
|
10
|
Апаратно-прогр. Комплекс
|
шт.
|
16971,94
|
20366,33
|
|
11
|
ПО Windows Svr Std 2003 R2a Engl.
|
шт.
|
490,00
|
588,00
|
|
Разом
|
|
19493,21
|
23391,85
|
Структура собівартості
одного оперативно-інформаційного комплексу автоматизованої системи
диспетчерського управління з урахуванням його комплектуючих приведена у табл.
3.5.
Таблиця 3.5
Структура собівартості
оперативно-інформаційного комплексу автоматизованої системи диспетчерського
управління
|
Стаття калькуляції
|
Сума
|
Питома вага
|
|
Амортизація та
зміст ОЗ та ін. НМА
|
4469,95
|
6,00
|
|
Допоміжні сировина та матеріали
|
538,70
|
0,72
|
|
Додаткова заробітна плата
|
2552,55
|
3,43
|
|
Загальновиробничі затрати
|
8116,58
|
10,90
|
|
Основна заробітна плата
|
14461,77
|
19,42
|
|
Відрахування на соцстрахування та
пенс. забезп.
|
5061,62
|
6,80
|
|
Покупні комплектуючі та полуфабрикати
|
21298,66
|
28,59
|
|
Полуфабрикати власного виробництва
|
212,75
|
0,29
|
|
Субпідряд
|
16222,74
|
21,78
|
|
Транспортні
расході
|
190,52
|
0,26
|
|
Послуги
сторонніх організацій
|
1360,82
|
1,83
|
|
Разом
|
74486,65
|
100,00
|
Собівартість
оперативно-інформаційного комплексу автоматизованої системи диспетчерського
управління складає 74486,65 грн. Планова рентабельність складає 17%. Тому ціна
одного оперативно-інформаційного комплексу автоматизованої системи
диспетчерського управління складає: 74486,68*1,17 = 87149,38 грн.
Прогнозні грошові
надходження підприємства за 4 роки експлуатації комплектуючого
оперативно-інформаційного комплексу автоматизованої системи диспетчерського
управління складають: 1-й рік – 348597,52 грн., 2-й рік – 435746,90 грн., 3-й
рік – 522896,28 грн., 4-й рік – 610045,66 грн. Дисконтна ставка 13%. Стартові
інвестиції 1000 тис. грн. Планується наступна кількість поставених комплексів: 1-й
рік – 4 шт., 2-й рік – 5 шт., 3-й рік – 6 шт., 4-й рік – 7 шт.
Розрахуємо чистий
приведений ефект за наступною формулою [37]:
(3.6)
де Pn – щорічні грошові надходження
на протязі n років;
r – дисконтна ставка;
IC – стартові інвестиції;
n – термін реалізації проекту.
Даний показник
відображає різницю між дисконтованими величинами надходжень та інвестицій за
проектом.
Визначимо рівень
доходності інвестицій за формулою [37]:
(3.7)
де Pn – щорічні грошові надходження
на протязі n років;
r – дисконтна ставка;
IC – стартові інвестиції;
n – термін реалізації проекту.
При значенні
більше одиниці проект прибутковий, тому його треба приймати.
Визначимо термін
окупності інвестицій. Термін окупності інвестицій – це тривалість часу, протягом
якого не дисконтовані прогнозні надходження грошових коштів перевищують не дисконтовану
суму інвестицій, тобто це число років, необхідних для відшкодування інвестицій.
Показник терміну окупності інвестицій можна визначити за такою формулою [37]:
(3.8)
де IC – стартові інвестиції;
- середньорічна сума грошового потоку,
який визначається за формулою:
(3.9)
де Pn – щорічні грошові надходження
на протязі n років;
n – термін реалізації проекту.
Метод визначення
внутрішньої норми прибутковості (IRR) - тобто ставки дисконту, використання
якої забезпечив би рівність поточної вартості очікуваних грошових відпливів і
грошових притоків. Показник внутрішньої норми доходності – IRR характеризує
максимально допустимий відносний рівень витрат, які мають місце при реалізації
інвестиційного проекту.
Практичне
застосування цього методу зводиться до того, що в процесі аналізу вибирається
два значення ставки дисконту r1 < r2
таким чином, щоб
в інтервалі (r1, r2 ) функція
змінювала своє значення з «+» на «-»
або навпаки. Таким чином, використовують таку формулу [37]:
(3.10)
де IRR – це верхня межа процентної ставки,
за якою фірма може окупити вкладені кошти в проект;
r1 –
значення табульованного коефіцієнта дисконтування, що мінімізіує позитивне
значення показника NPV, тобто f(r1)=minr{f(r)>0};
r2 – значення
табульованного коефіцієнта дисконтування, що максиміує негативне значення
показника NPV, тобто f(r2)=maxr{f(r)<0}.
Необхідно
враховувати вплив інфляції на оцінку інвестицій. При зростанні інфляції,
реальна вартість очікуваних грошових потоків падає. Якщо інвестор не врахує
ризик інфляції, то NPV можуть бути штучно завищені.
Для визначення
оцінки ефективності проекту з урахуванням інфляції необхідно:
або скорегувати
грошові потоки на середньорічний індекс інфляції, а потім на ставку дисконту;
або визначити
ставку дисконту, яка б враховувала індекс інфляції (див. формула 3.11 [37]), і
потім скорегувати грошові потоки за новою ставкою, яка враховує індекс інфляції.
(3.11)
де ri – ставка дисконту (коефіцієнт) з
урахуванням інфляції;
r – дисконтна ставка;
i – середньорічний
індекс інфляції (коефіцієнт).
Таблиця 3.6
Показники
ефективності інвестиційного проекту
|
Показник
|
Значення
|
|
Чистий приведений
дохід, грн.
|
386292,90
|
|
Індекс
рентабельності інвестицій
|
1,39
|
|
Термін окупності
інвестицій, рік
|
2,08
|
|
Внутрішня норма
дохідності, %
|
28,78
|
|
Ставка дисконту з
урахуванням індексу інфляйії
|
1,54
|
Метод розрахунку
чистого приведеного доходу (NPV) дозволяє проаналізувати інвестиції, що
базується на визначенні величини, отриманої шляхом дисконтування різниці між
річними відтоку і притоками реальних грошей, які накопичуються протягом усього
життя проекту.
Якщо NPV> 0 –
проект слід приймати до реалізації;
Якщо NPV <0 –
проект слід відхилити, так як він збитковий;
Якщо NPV = 0 –
проект не прибутковий і не збитковий (ситуація невизначеності).
У нашому випадку
NPV> 0, тобто проект слід прийняти.
Метод визначення
індексу рентабельності інвестицій (PI), є продовженням попереднього. Однак, на
відміну від показника NPV, показник PI – це відносна величина, що характеризує
рівень прибутковості інвестицій.
Якщо PI> 1 –
то проект прибутковий, його варто прийняти;
Якщо PI <1 –
проект збитковий, його варто відхилити;
PI = 1 –
дохідність інвестицій точно відповідає нормативу рентабельності (проект не
прибутковий і не збитковий).
У нашому випадку
PI> 1, тобто проект слід прийняти.
До методів, в
яких процес дисконтування може не використовуватися відносять метод визначення
строку окупності інвестицій (PP). Кількість років, необхідних для відшкодування
інвестицій в даному випадку складає 2 роки та 1 місяць.
Зміст розрахунку внутрішньої
норми дохідності при аналізі ефективності плануємих інвестицій полягає в
наступному: IRR показує максимально допустимий відносний рівень витрат, які
можуть бути асоційовані з даним проектом. При ставці 29 % чистий приведений
дохід буде негативним. Ставка дисконту, при якій проект буде нульовим, тобто
матиме місце рівність поточної вартості очікуваних грошових відпливів і
грошових притоків – 28,78 %.
Проводені
розрахунки дають зробити висновок про доцільність запропонованого проекту.
Введення у виробництво оперативно-інформаційного комплексу автоматизованої
системи диспетчерського управління прибутковий, швидкореалізуючий проект, що
відповідає показникам запропонованих критеріїв.
Висновки до
розділу 3
1. Інвестування
представляє собою один з найбільш важливих аспектів діяльності будь-якої
комерційної організації, що динамічно розвивається. Інвестувати можна у цільові
банківські вклади, цінні папери, фінансові вкладення в технології, машини й
устаткування, ліцензії, майнові права, інтелектуальні цінності.
2. Запропоновано варіант
такого інвестування коштів, як вкладення їх в банк на депозит. Депозит – це
сума грошей, поміщена вкладником в банк на певний або невизначений термін. Банк
пускає ці гроші в оборот, а в обмін виплачує вкладникові відсотки. Депозит є
боргом банку перед вкладником, тобто, підлягає поверненню.
3. В якості банку
для вкладу на депозит були розглянуті ті, які в данний період приймають
депозити у юридичних осіб, а саме «Діамантбанк», «Дельта банк», «Єкспобанк»,
«Укргазбанк», «Кредит-Днепр КФ», «Крещатик», «Первый Инвестиционный банк». За
відсотковими ставками даних банків найбільшу суму коштів ТОВ «Хартеп» може
отримати від вкладу на депозитний рахунок в «Укргазбанк», яка складе 273,65
тис. грн.
4. Враховуючи, що
процентна ставка не відображає реальної ефективності вкладення грошових коштів,
тому вона не може бути використана для співставлення. Порівняти ефективність
вкладень можна за допомогою ефективної ставки, яка визначає відносний дохід,
який одержує підприємство за рік у цілому. При розрахунку ефективної ставки
зробили висновок, що найбільш ефективним є вкладення коштів є в «Укргазбанк».
Ефективна ставка у цього банку найбільша у обох випадках: і при сплаті
процентів у кінці року – 27,5%, і щомісячно – 33,18%.
5. Для планування
та здійснення інвестиційної діяльності особливу важливість має попередній
аналіз, який проводиться на стадії розробки інвестиційних проектів і сприяє
прийняттю розумних і обгрунтованих управлінських рішень.
6. Запропоновано варіант
інвестувати кошти у власний розвиток – інвестиції у виробничу діяльність. Було
запропоновано ввести у виробництво оперативно-інформаційний комплекс
автоматизованої системи диспетчерського управління, який дозволить проводити
більш точне тестування та обробку програмного забезпечення, що розробляється
спеціалістами на підприємстві. У результаті проведених розрахунків пропонується
прийняти проект до реалізації.
4. ОХОРОНА ПРАЦІ
НА ТОВ «ХАРТЕП»
4.1. Аналіз
санітарно-гігієнічних умов праці на ТОВ «Хартеп»
У даному розділі
проведено аналіз стану охорони праці у відділі бухгалтерії ТОВ «Хартеп».
Відділ
бухгалтерії знаходиться на третьому поверсі шестиетажної адміністративної
будівлі ТОВ «Хартеп», стіни якого виконані зі збірних навісних пеносілікатних
панелей по серії СТ-02-11/61. Товщина стін – 250 мм. Перекриття виконані з залізобетонних плит.
Приміщення
відділу бухгалтерії є кутовим, вікно звернуто на південний схід і виходить у
двір. Розміри приміщення
– 7,7 м х 6,2 м х 3,5 м. Загальна площа приміщення – 47,7 м2. Об'єм приміщення – 167,1 м3.
Кількість
працюючих у відділі бухгалтерії – 3 людини. Згідно СНіП ІІ -90-81 [8] та
ДСанПіН 3.3.2.007-98 [7], на одного працюючого повинно припадати не менше 4,5 м2 площі і не менше 15 м3 об'єму приміщення. Таким чином, показники питомої площі
та обсягу в розрахунку на одного працівника відповідають вимогам зазначеного
нормативного акта.
Стіни відділу
бухгалтерії обклеєні шпалерами кольору «сафарі» (білий з жовтим відтінком) з
бежевим та світло-сірим візерунком. На стінах розміщенні календарі, карти, схеми, плакати, що створюють зручність у роботі. Стеля побілена, підлога вкрита світло-коричневим
паркетом. На вікнах є бежеві жалюзі, на підвіконні розташовані
кімнатні рослини. Офісні меблі мають
світло-коричневий колір. Таким чином, інтер'єр приміщення сприяє створенню
робочої атмосфери і в той же час завдяки спокійній колірній гамі сприяє
зниженню психофізіологічних навантажень під час роботи.
Крім офісних
меблів, у відділі бухгалтерії розташовані 3 комп'ютери, 1 принтер (лазерний), 1
телефонний апарат.
До метеорологічних
(мікрокліматичних) умов праці відносяться температура, відносна вологість і
швидкість руху повітря в приміщенні. При цьому у відповідних нормативних
документах прийнято виділяти оптимальні та допустимі метеорологічні умови
праці. До оптимальним мікрокліматичних умов відносять такі сполучення
кількісних параметрів мікроклімату, які при тривалому та систематичному впливі
на людину забезпечують збереження нормального функціонального та теплового
стану організму без напруження механізмів терморегуляції. Вони забезпечують
відчуття теплового комфорту та створюють передумови для високого рівня
працездатності.
Допустимими
умовами є такі сполучення кількісних параметрів мікроклімату, які при тривалому
та систематичному впливі на людину можуть викликати переходящі та швидко
нормалізующіся зміни функціонального та теплового стану організму, що
супроводжуються напруженням механізмів терморегуляції, що не виходять за межі
фізіологічних пристосовувальних можливостей. При цьому не виникає ушкоджень або порушень стану
здоров'я, але можуть спостерігатися дискомфортні теплові відчуття: погіршення
самопочуття і зниження працездатності.
У відділі бухгалтерії
температура повітря в теплий період складає 20 – 25 оС, в холодний – 16 – 19 оС, у перехідний – 14 – 17
оС. У відповідності зі СНіП
2.04.05-91, для адміністративно-побутових приміщень в теплий період допустимої
є температура повітря до 28оС, а в холодний і перехідний – 18 – 22 оС.
Оптимальної як в теплий, так і в холодний період вважається температура 20 – 22
оС.
Відносна
вологість повітря у відділі бухгалтерії складає 40 – 45%, у той час як, у
відповідності зі СНіП 2.04.05-91 [11], припустиме значення
відносної вологості – до 65%, а краще – 30 – 60% в теплий період і 30 – 45% - в
холодний.
Швидкість руху повітря у
відділі бухгалтерії – 0,02 – 0,1 м/с (в теплий період вище, ніж в холодний) при
оптимальному значенні до 0,2 м/с.
Представлені
розрахунки показують, що значення відносної вологості та швидкості руху повітря у відділі
бухгалтерії відповідають оптимальним, в той час як температура повітря в теплий
період є вище оптимальною, хоча й у межах допустимої норми, а в холодний і
перехідний період – значно нижче оптимальних значень.
У приміщенні відділу
бухгалтерії є два вентиляційних отвори, що виконують функцію вентилювання
повітря в холодний період. Крім того, в теплий період для провітрювання
приміщення може бути відкрите вікно (площа частини, що відкривається – 0,4 м2). Також у приміщенні є кондиціонер «БК-2500». З огляду на відсутність у приміщенні
обладнання, функціонування якого пов'язано з високим споживанням повітря, а
також те, що в приміщенні працює всього 3 людини, можна зробити висновок про
те, що система вентиляції і кондиціонування відділу бухгалтерії забезпечує
відповідність обсягу припливного повітря потреби.
Адміністративний будинок ТОВ «Хартеп» має центральне водяне двотрубне опалення з нижньою подачею. У відділі бухгалтерії труби і
радіатори опалення розташовані вздовж двох стін. Як показав аналіз
метеорологічних умов праці, система опалення є неефективною і не забезпечує
оптимальну температуру повітря в приміщенні в холодний період, а в перехідний
період має місце передчасне відключення централізованого опалення.
Вікно у відділі
бухгалтерії знаходиться з південно-східного боку.
З 3-х робочих місць,
передбачених у відділі, 2
звернені до вікна лівою стороною і 1 –
правою.
Оцінимо достатність природного освітлення за формулою:
≥ 0,2 … 0,166 (4.1)
Підставимо у
формулу фактичні значення:
= 0,194
До 13:00 дня природне освітлення є достатнім.
Штучне освітлення
забезпечується 4-ма двотрубними світильниками типу ПРД ТУБЕ-40/220-ВПП-900УХЛ4
з люмінесцентними лампами білого світла, розташування яких забезпечує
рівномірність освітлення приміщення. Всі робочі місця розташовані таким чином,
що світло від ламп падає на них і справа, і зліва.
Основними джерелами шуму
у відділі бухгалтерії є комп'ютери (вентилятор системного блоку, звукові
пристрої), а також клавіатура та кондиціонер (в теплу пору року). Рівень шуму
на робочих місцях становить 30 – 45 дБА, що відповідає нормативному значенню по
СН 3223-85 та ДСанПіН 3.3.2.007-98 [7].
Джерелами
електромагнітних випромінювань є персональні комп'ютери та лазерний принтер.
Співробітниками відділу бухгалтерії дотримуються основні положення «Інструкції
з охорони праці при роботі на комп'ютерах ВДОП 2.00-5.04-96». Тому шкідливий
вплив комп'ютерного обладнання на здоров'я працівників зводиться до мінімуму.
В адміністративній
будівлі ТОВ «Хартеп» на кожному
поверсі розташовано по два туалети (чоловічий і жіночий), в кожному з
яких – по два умивальника. На третьому поверсі розташовано 12 кабінетів, загальне число співробітників, постійні
робочі місця яких розташовані на третьому поверсі – 16 чоловік. Крім того, тимчасово на поверсі може знаходитися до
30 чоловік. Таким чином, кількість санітарно-побутових приміщень відповідає
вимогам СНіП 2.09.04-87 та СНіП 2.0.02-89.
На п'ятому поверсі
будинку розташований пункт харчування, розрахований на 20 посадкових
місць. З огляду на те, що в будівлі знаходиться близько 300 постійних робочих місць, наявного пункту харчування явно
недостатньо.
Таблиця 4.1 значення
параметрів, що характеризують санітарно-гігієнічні умови праці.
Таблиця 4.1
Значення
параметрів, що характеризують санітарно-гігієнічні умови праці
|
№ з/п
|
Параметри
|
Фактичне
значення
|
Норматив за ГОСТ 12.1.005-88, СНіП 2.04.05-91 та іншими державними стандартами
|
Відповідність
фактичного значення нормативу
|
|
1
|
2
|
3
|
4
|
5
|
|
1
|
Температура повітря в перехідний період, оС
|
14-17
|
20–22
|
не відповідає
|
|
2
|
Відносна
вологість, %
|
40-45
|
40-60
|
відповідає
|
|
1
|
2
|
3
|
4
|
5
|
|
3
|
Швидкість руху
повітря, м/с
|
0,02–0,1
|
-0,4
|
відповідає
|
|
4
|
Освітленість, лк
|
320
|
300-400
|
не відповідає
|
|
5
|
Рівень шуму, дБА
|
30-45
|
до 50
|
відповідає
|
4.2 Техніка
безпеки
Встановлені у
відділі бухгалтерії комп'ютери оснащені процесорами Intel-Celeron-233 і К6-200 і 14-ти дюймовими моніторами. Лазерний принтер – НР LaserJet-6L.
Деталі та вузли комп'ютерів вироблені в Тайвані. Лазерний принтер зроблений в Китаї. Рік випуску комп'ютерів
– 1997, лазерного принтера – 1999.
Таким чином,
комп'ютерне обладнання, встановлене у відділі бухгалтерії є фізично і морально
застарілим, що надає негативний вплив не тільки на продуктивність і
результативність праці, але й на стомлюваність і стан здоров'я працюючих.
Для захисту від
електромагнітних випромінювань на моніторі комп'ютера є захисний екран, який до
того ж виконує антибликову функцію.
Розміщення
обладнання відповідає «Інструкції з охорони праці при роботі на комп'ютерах
ВДОП 2.00-5.04-96» та іншим санітарним нормам.
Все комп'ютерне обладнання
працює під напругою 220 В. Всього в приміщенні є 4 електричні розетки напругою
220 В, які розташовані в стінах, що не мають дверних або віконних прорізів, на
висоті близько 1 м від підлоги. Розміщення електропроводки в приміщенні
відповідає вимогам відповідних нормативних актів.
Для захисту людей від
ураження електричним струмом під час роботи на комп'ютерах застосоване заземлення (задні стінки системних блоків та
захисні екрани з'єднані з елементами меблів, не контактує з людиною в процесі
його роботи на комп'ютері і при використанні периферійних пристроїв
(принтера)).
Приміщення відділу бухгалтерії можна
віднести до класу приміщень без підвищеної електробезпеки.
Проведемо розрахунок
величини струму, що
походить через тіло людини при небезпечному
дотику до трифазної мережі із
заземленою нейтраллю.
Uф = 220 В, Rч = 1000 Ом,
rз = 4 Ом, отримаємо:
0219
А = 219 мА, що є смертельним для людини.
Iч – струм, що проходить через тіло людини, А;
Uф – фазова
напруга, В;
Rч – опір тіла людини, Ом;
rз – опір заземлення, Ом.
При двофазному дотику до мережі людина знаходиться під лінійною напругою Uл =
Uф,
відповідно і струм, що проходить через тіло людини, буде в
разів більше, тобто складе
219 мА *
=
381 мА.
Безпечне час
спрацьовування захисту визначається за формулою:
(4.2.)
При дотику до однієї фази мережі найбільш допустимий час спрацьовування захисту складе:
0,228
с
При дотику до двох фаз
мережі:
0,131
с
Дотик до мережі із заземленою
нейтраллю напругою 220 В для людини є смертельно
небезпечним. Тому при проектуванні таких мереж необхідно пред'являти високі
вимоги до захисту, так як вона повинна спрацювати за 0,1 – 0,2 с. При цьому
дотик до двох фаз мережі є більш небезпечним, ніж дотик до однієї фази.
При роботі на обладнанні, що живиться
від трифазної заземленої мережі з
напругою 220 В, (наприклад, комп'ютерне обладнання у відділі бухгалтерії) необхідно
дотримуватися вимог техніки безпеки.
4.3. Пожежна
безпека
У ТОВ «Хартеп»
є посада інженера з охорони праці, техніки
безпеки та пожежної безпеки. Він проводить обов'язковий інструктаж з охорони
праці та техніки безпеки з кожним новим працівником, а також консультує
працівників з цих питань на їхнє прохання. Крім того, кожен новий співробітник
при прийомі на роботу в обов'язковому порядку проходить інструктаж з керівником
підрозділу.
У кожному підрозділі, де
встановлені комп'ютери, є примірник «Інструкції з охорони праці при роботі на
комп'ютерах ВДОП 2.00-5.04-96».
У кожному
підрозділі ТОВ «Хартеп» є інструкція про заходи щодо дотримання пожежної
безпеки і призначений відповідальний за пожежну безпеку (у відділі бухгалтерії
відповідальним за пожежну безпеку є начальник відділу). У приміщеннях відділів заборонено
куріння, і на кожному поверсі є спеціально виділене місце для паління. Крім
того, в кінці кожного робочого дня черговий по ТОВ «Хартеп»
відключає подачу електроенергії на кожному поверсі, що запобігає можливість
короткого замикання в нічний час.
За специфікою
виконуваних робіт відділу бухгалтерії можна присвоїти категорію пожежної
небезпеки В. Ступінь вогнестійкості будинку – 2, тобто відповідає категорії
пожежонебезпеки виконуваних робіт.
Можливими причинами
виникнення пожежі у відділі бухгалтерії можуть бути:
порушення працівниками
правил пожежної безпеки (наприклад, паління в приміщенні);
вихід з ладу обладнання
або електропроводки.
Для запобігання
виникнення пожежі здійснюється
суворий контроль над дотриманням персоналом правил протипожежної безпеки, а
також проводиться профілактика виходу обладнання з ладу.
На третьому поверсі в загальнодоступному місці
знаходиться вогнегасник. Крім того, у разі виникнення пожежі для його гасіння
може використовуватися вода з умивальників, розташованих в туалетах, для
подання якої до місця займання можуть використовуватися відра, розташовані у
допоміжному приміщенні.
У приміщенні
відділу бухгалтерії є система пожежної сигналізації.
Папір як найбільш
пожежонебезпечний матеріал зберігається далеко від можливих джерел займання
(комп'ютерів і принтерів) в ящику столу. Інші горючі речовини та матеріали у відділі бухгалтерії не
використовуються і не зберігаються.
У разі виникнення
пожежі евакуація людей та матеріальних цінностей з відділу може здійснюватися
тільки через двері, так як вікно захищено металевою решіткою. Евакуація людей та матеріальних
цінностей з третього
поверху може
здійснюватися через двоє двухстворчатих дверей шириною 1,2м, що ведуть на загальні та пожежні сходи, а також ліфтом. Обидвоє сходів та ліфт ведуть у вестибюль першого
поверху, звідки евакуація може здійснюватися через парадний вихід загальною
шириною 2,5 м або через пожежний вихід (ширина – близько 1,5 м).
Для поліпшення стану
охорони праці у відділі бухгалтерії та у ТОВ «Хартеп» в цілому необхідно здійснити
наступні заходи:
відмова від
централізованого опалення будинку та забезпечення
його децентралізованою котельною установкою. Слід врахувати, що проектний і виробничий
потенціал підприємства дозволить виготовити таку установку власними силами і
тим самим зекономити значні кошти;
заміна дерев'яних вікон у
будинку металопластиковими. У поєднанні з
попереднім заходом це дозволить отримати не тільки соціальний, але й
економічний ефект як за рахунок підвищення продуктивності праці працівників
внаслідок поліпшення умов праці, так і за рахунок більш ефективного
використання теплової енергії;
установка на робочих
місцях світильників для збільшення їх освітлення у відповідності з
встановленими нормами;
заміна
комп'ютерів більш сучасними, що мають, зокрема, монітори з більш досконалим
захистом від електромагнітних випромінювань, що дозволяють отримати більш
природне й чітке зображення. Однак при заміні комп'ютерів слід врахувати
характер робіт, виконуваних у відділі (тобто відсутність необхідності
використовувати складні програми), що дозволить відмовитися від придбання
комп'ютерної техніки надмірно високої продуктивності та зі спеціальними
можливостями і, відповідно, заощадити кошти;
організація
пункту харчування у вільному приміщенні на першому поверсі, який, завдяки
вільному доступу сторонніх відвідувачів і вдалому розташуванню в центрі міста,
може стати прибутковим напрямком діяльності підприємства;
організація трудового
процесу таким чином, щоб робота на комп'ютерах чергувалися з іншими видами
робіт, що дозволить ще більше знизити шкідливий вплив електромагнітних
випромінювань на працівників.
Санітарно-гігієнічні
умови праці в відділі бухгалтерії здебільшого відповідають встановленим нормам,
за винятком температури повітря, освітлення робочих місць та умов харчування. Причини невідповідності –
неефективність системи централізованого опалення, недостатність штучного
освітлення у відділі і брак місць у наявному пункті харчування.
Встановлене у
відділі бухгалтерії комп'ютерне обладнання є фізично і морально застарілим і
потребує заміни, тому що надає негативний вплив на стомлюваність і стан
здоров'я працюючих. Крім того, незважаючи на те, що приміщення відділу
бухгалтерії можна віднести до класу приміщень без підвищеної електробезпеки,
при дотику працівника до елементів комп'ютерного обладнання, які знаходяться
під напругою (що може
відбутися у випадку виникнення несправності в роботі цього обладнання), або до
несправної електропроводці може мати місце летальний результат. Тому при роботі
на комп'ютерному обладнанні необхідно дотримуватися вимоги техніки безпеки, а
також забезпечувати справність цього обладнання.
Ступінь
вогнестійкості будівлі відповідає категорії пожежонебезпеки робіт, які
виконуються у відділі бухгалтерії. В цілому стан протипожежної безпеки в адміністративній
будівлі ТОВ «Хартеп» є задовільним.
Заходи,
запропоновані в цьому розділі, приведуть до поліпшення стану охорони праці у
відділі бухгалтерії та у ТОВ «Хартеп» у цілому, тобто в результаті їх
реалізації всі показники, що характеризують ті чи інші сторони стану охорони
праці, будуть приведені у відповідність з нормативними значеннями.
Висновки до
розділу 4
Для поліпшення стану
охорони праці у відділі бухгалтерії та у ТОВ «Хартеп» в цілому необхідно здійснити
наступні заходи:
відмова від
централізованого опалення будинку та забезпечення
його децентралізованою котельною установкою. Слід врахувати, що проектний і виробничий
потенціал підприємства дозволить виготовити таку установку власними силами і
тим самим зекономити значні кошти;
заміна дерев'яних вікон у
будинку металопластиковими. У поєднанні з
попереднім заходом це дозволить отримати не тільки соціальний, але й економічний
ефект як за рахунок підвищення продуктивності праці працівників внаслідок
поліпшення умов праці, так і за рахунок більш ефективного використання теплової
енергії;
установка на робочих
місцях світильників для збільшення їх освітлення у відповідності з
встановленими нормами;
заміна
комп'ютерів більш сучасними, що мають, зокрема, монітори з більш досконалим
захистом від електромагнітних випромінювань, що дозволяють отримати більш
природне й чітке зображення. Однак при заміні комп'ютерів слід врахувати
характер робіт, виконуваних у відділі (тобто відсутність необхідності
використовувати складні програми), що дозволить відмовитися від придбання
комп'ютерної техніки надмірно високої продуктивності та зі спеціальними
можливостями і, відповідно, заощадити кошти;
організація
пункту харчування у вільному приміщенні на першому поверсі, який, завдяки
вільному доступу сторонніх відвідувачів і вдалому розташуванню в центрі міста,
може стати прибутковим напрямком діяльності підприємства;
організація трудового процесу
таким чином, щоб робота на комп'ютерах чергувалися з іншими видами робіт, що
дозволить ще більше знизити шкідливий вплив електромагнітних випромінювань на
працівників.
ВИСНОВОК
1. Інвестиції –
це грошові, майнові, інтелектуальні цінності, що їх вкладають у різні види
діяльності у виробничій та невиробничій сферах. Інвестиції є невід'ємною
складовою частиною сучасної економіки. Від кредитів інвестиції відрізняються
ступенем ризику для інвестора (кредитора) – кредит і відсотки необхідно
повертати в обумовлені терміни незалежно від прибутковості проекту, інвестиції
повертаються і приносять дохід в прибуткових проектах. Якщо проект є збитковим
– інвестиції можуть бути втрачені.
2. Для планування
та здійснення інвестиційної діяльності особливу важливість має попередній
аналіз, що проводиться на стадії розробки інвестиційних проектів і сприяє
прийняттю розумних і обгрунтованих управлінських рішень.
3. Головним
напрямком попереднього аналізу є визначення показників можливої економічної
ефективності інвестицій, тобто віддачі від капітальних вкладень, які
передбачаються проектом. Як правило, в розрахунках приймається до уваги
тимчасової аспект вартості грошей.
4. При аналізі
інвестиційних проектів виходять із певних припущень. По-перше, з кожним
інвестиційним проектом прийнято пов'язувати грошовий потік. Найчастіше аналіз
ведеться по роках. Передбачається, що всі вкладення здійснюються в кінці року,
що передує першому року реалізації проекту, хоча в принципі вони можуть
здійснюватися протягом кількох наступних років. Приплив (відплив) грошових
коштів відноситься до кінця чергового року.
5.
ТОВ «Хартеп» відповідно до існуючих стандартів на автоматизовані системи
забезпечується виконання всього циклу розробки й впровадження, а також
здійснюється авторський нагляд, гарантійне й післягарантійне обслуговування. У
спектр послуг входить розробка проекту системи, придбання, поставка й монтаж
устаткування, розробка проекту й уведення в експлуатацію локальної
обчислювальної мережі підприємства, організація каналів зв’язку з вилученими об’єктами,
розробка й виготовлення оригінального встаткування.
6. Весь комплекс
робіт з розробки й впровадження АСУ в ТОВ «Хартеп» проводиться під управлінням
системи якості, що має сертифікат відповідності міжнародному стандарту ІSO 9001-2001 (№ UA2.003.575 системи сертифікації
УкрСЕПРО й №130743 Bureau Verіtas Qualіty Іnternatіonal (BVQІ) UK). У своїй практичній діяльності
фахівці ТОВ «Хартеп» орієнтуються на міжнародні стандарти й технології побудови
інформаційних систем – ІSO 9001, ІSO 9003, CMM.
7. ТОВ «Хартеп»
займається комплексною розробкою й впровадженням:
автоматизованих систем
диспетчерського керування об’єктами розподільних мереж электро-водо-тепло- і газопостачання;
автоматизованих систем
контролю й обліку електроенергії, різних газів, пари й стисненого повітря,
рідких нафтопродуктів, води, пульпи, тепла;
автоматизованих систем
розрахунків зі споживачами промисловий і побутовий сектори;
автоматизованих систем
керування технологічними процесами;
розробкою й впровадженням
локальних і корпоративних мереж.
А також підприємство
займається виробничою діяльністю:
виготовлення (і розробка
по вимогах замовника) промислових контролерів (контролерів контрольованих
пунктів);
виготовлення (і розробка
по вимогах замовника) концентраторів телемеханічних мереж (центральних
приемопередающих станцій);
виготовлення
інтелектуальних лічильників витрати газу;
розробка й виготовлення
модулів для приватного застосування (вводу-висновку, узгодження протоколів,
гальванічної розв’язки й
т.п.).
8. До теперішнього часу замовниками
фірми «Хартеп» стали найбільші
підприємства країн СНД.
9. Підприємства енергетичної галузі,
підприємства транспортної галузі, хімічній промисловості, металургійній
промисловості, машинобудівній промисловості, гірській галузі, будівельній промисловості
й ін.
10. Фінансовий аналіз ТОВ «Хартеп» показав, що підприємство з економічої
точки зору не погане, але потребує роботи над ним. Майже усі показники
знаходяться в нормі.
11. Загальна вартість майна збільшилась на
1523,78 тис. грн.на кінець 2007 року порівняно з початком 2006 року. Найбільш вплинуло на зміну вартості майна збільшення вартості
оборотних активів в основному за рахунок збільшення величини коштів.
12. ТОВ «Хартеп» повинно
активно знижувати дебіторську заборгованість, що позитивно вплине на розвиток підприємства.
13. Відбувся істотний перерозподіл у
структурі джерел засобів компанії убік збільшення власного капіталу. У
порівнянні з 2006 роком у 2007 році його величина збільшилася на 181,73 тис. грн. В порівнянні з 2006 роком спостерігається
збільшення власного капіталу на 266,55 тис.
грн.
14. Аналіз ліквідності
говорить про те що в 2006 році баланс не вважаєтьяс абсолютно ліквідним бо зіставлення найбільш ліквідних активів з найбільш терміновими зобов’язаннями відбиває перспективну ліквідність, що буде
зростати за рахунок майбутніх надходжень і платежів а в нашому випадку
нерівність не виконується. На початок року платіжна нестача була 712,08 тис.грн., але на кінець 2006
року відбулось зменшення цього показника.
15. В 2007 році баланс також
не вважаєтьяс абсолютно ліквідним бо зіставлення
найбільш ліквідних активів з найбільш терміновими зобов’язаннями
відбиває перспективну ліквідність, а в нашому випадку нерівність не
виконується. На початок року платіжна нестача була 537,17
тис.грн. більш того на кінець 2007 року відбулось збільшення цього показника до
1661,93 тис.грн. Ситуаціє не покращується бо найбільш ліквідні активи в
порівнянні з початком періоду зменьшуються.
16. В
2008 році при порівнянні найбільш ліквідних активів з найбільш терміновими
зобов’язанняим також є платіжна нестача в розмірі 1661,93 тис.грн. на початок року. На кінець же року платіжна
нестача складає 1360,13 тис.грн. Показники ліквідності активів достатньо високі. Високі
показники ліквідності також є свідоцтвом зниження ризику. Стабільний стан
підприємства і вміння розраховуватися по своїм зобов’язанням може привернути білше
клієнтів.
17. Необхідно
звернути увагу, що всі показники у 2007 році мають значення менше нормативних та у порівнянні з 2006 роком. Але у 2008 році показники підвищуюються і
навіть стають вище, ніж у 2006 році. Це
може бути зумовлено зростанням кредиторської та дебіторської заборгованості у
2007 році.
18. Розглянуто
методичні підходи ефективності інвестування коштів. Інвестувати можна у цільові
банківські вклади, цінні папери, фінансові вкладення в технології, машини й
устаткування, ліцензії, майнові права, інтелектуальні цінності.
19. Запропоновано
варіант такого інвестування коштів, як вкладення їх в банк на депозит. Депозит
– це сума грошей, поміщена вкладником в банк на певний або невизначений термін.
Банк пускає ці гроші в оборот, а в обмін виплачує вкладникові відсотки. Депозит
є боргом банку перед вкладником, тобто, підлягає поверненню.
20. В якості
банку для вкладу на депозит були розглянуті ті, які в данний період приймають
депозити у юридичних осіб, а саме «Діамантбанк», «Дельта банк», «Єкспобанк»,
«Укргазбанк», «Кредит-Днепр КФ», «Крещатик», «Первый Инвестиционный банк». За
відсотковими ставками даних банків найбільшу суму коштів ТОВ «Хартеп» може
отримати від вкладу на депозитний рахунок в «Укргазбанк», яка складе 273,65
тис. грн.
21. Враховуючи,
що процентна ставка не відображає реальної ефективності вкладення грошових
коштів, тому вона не може бути використана для співставлення. Порівняти
ефективність вкладень можна за допомогою ефективної ставки, яка визначає
відносний дохід, який одержує підприємство за рік у цілому. При розрахунку
ефективної ставки зробили висновок, що найбільш ефективним є вкладення коштів є
в «Укргазбанк». Ефективна ставка у цього банку найбільша у обох випадках: і при
сплаті процентів у кінці року – 27,5%, і щомісячно – 33,18%.
22. Для
планування та здійснення інвестиційної діяльності особливу важливість має
попередній аналіз, який проводиться на стадії розробки інвестиційних проектів і
сприяє прийняттю розумних і обгрунтованих управлінських рішень.
23. Запропоновано
варіант інвестувати кошти у власний розвиток – інвестиції у виробничу
діяльність. Було запропоновано ввести у виробництво оперативно-інформаційний
комплекс автоматизованої системи диспетчерського управління, який дозволить
проводити більш точне тестування та обробку програмного забезпечення, що
розробляється спеціалістами на підприємстві. У результаті проведених
розрахунків пропонується прийняти проект до реалізації.
ПЕРЕЛІК ВИКОРИСТАНОЇ ЛІТЕРАТУРИ
1. Закон України від 07.12.2000
року «Про банки і банківську діяльність» із змінами і доповненнями // rada.gov.ua.
2. Закон України «Про
інвестиційну діяльність» зі змінами на 16.01.03р. // rada.gov.ua.
3. Господарський кодекс України
зі змінами на 30.04.2009 // rada.gov.ua.
4.
ГОСТ 12.1003-83.
Шум. Общие требования безопасности. – М.: Изд-во стандартов, 1983. – 12 с.
5.
ГОСТ 12.1.005-88.
Общие санитарно-гигиенические требования к воздуху рабочей зоны. – М.: Изд-во
стандартов, 1988 – 24 с.
6.
ГОСТ 12.1.030-81.
Электробезопасность. Защитное заземление, зануление. – М.: Изд-во стандартов,
1981 – 32 с.
7.
ДСанПіН
3.3.2.007-98. Державні
санітарні правила і норми роботи з візуальними дисплейними терміналами
електронно-обчислювальних машин ЕОМ.
8. СНиП II-90-81. Производственные здания промышленных предприятий.
9. СНиП II-4-79/85. Естественное и искусственное освещение. – М.:
Стройиздат, 1980. – 48 с.
10. СНиП II-2-80. Противопожарные нормы проектирования зданий и сооружений.
– М.: Стройиздат, 1981. – 16 с.
11. СНіП 2.04.05-91. Отопление, вентиляция
кондеционирование.
12. Александрова Н.Г., Александров Н.А.
Банки и банковская деятельность для клиентов. Учебник. – СПб: Питер, 2006. – 224с.
13. Бень Т. До визначення економічної
ефективності інвестицій. // «Економіка України» - 2007. - № 4. - С. 12 – 19.
14. Бень Т. Методи визначення економічної
ефективності інвестицій: порівняльний аналіз. // «Економіка України» - 2006. -
№ 6. - С. 41 – 46.
15. Бланк И. А. Инвестиционный менеджмент.
Учебник. – К.: Эльта-Ника-центр, – 2007. – 448 с.
16.
Бланк И. А. Финансовй менеджмент: Учебннй курс. — К.: Ника-Центр,
1999. — 528 с.
17. Блохина В. Г. Инвестиционный анализ.
Учебник. – Ростов-на-Дону: «Феникс», 2006. – 456 с.
18. Войцеховський В.Б. Параметри
інвестування та темпи зростання економічного потенціалу промислових підприємств
// Україна в ХХІ столітті: концепції та моделі економічного розвитку /
матеріали доповідей V міжнародного конгресу українських економістів. Ч.І. -
Львів, 2000.- С. 333 – 335.
19. Воронов К. Ю., Хайт И. А. Оценка
коммерческой способности инвестиционных проектов. // Финансы. – 2005.
- № 11. – С. 29 – 31.
20. Герчикова И. Н. Международное коммерческое дело. Учебник. – М.:
ЮНИ-ТИ, 2006. – 358 с.
21.
Гриньова В. М. Інвестиційний менеджмент: Навчальний посібник. / В
М. Гриньова, В. О. Коюда, Т. І. Лепейко, О. П. Коюда, Ю. М. Великий. — 2-ге
вид., допрац і доп. – Х.: ВД «ІНЖЕК», 2005. — 664 с.
22.
Гриньова В. М.
Тлумачний словник економічних термінів: Навчальний посібник / В М. Гриньова, В.
О. Коюда. — Х.: Гриф, 2001. – 184с.
23.
Гумен І. Складові банківських рейтингів. // Вісник НБУ.
- 2005. - №1. - С. 57-60.
24.
Жиляева Н.
Золотое правило инвестирования. //
Экономика и жизнь. – 2006. - №
3. – С. 7.
25.
Інвестиційний менеджмент / За заг. ред. В. М. Гриньової — Х.: ВД
«ІНЖЕК», 2004. — 368 с.
26.
Інвестування:
Навчальний посібник / Під ред. проф. Гриньової В.М. – Х.: ВД «Інжек», 2003. –
320 с.
27. Инвестиционное проектирование:
практическое руководство по экономическому обоснованию инвестиционных проектов
/Под ред. С. И. Шумилина. – М.: АО «Финанстат-информ», 1995. – 240 с.
28. Каманеве О., Новоселов М., Рабина А.
Банки стали авангардом свободных цен. //
Коммерсант. – 2005. - № 7. – С. 14.
29. Кіреев О.,
Жабська І. Система КБ України: підсумки року. // Вісник НБУ. - 2008. - №3 - С.
21-23.
30. Кобевник В. Ф. Охрана труда. Учебник.
– К.: Высш. шк., 1990. – 288с.
31. Ковалев В. В. Методы оценки
инвестиционных проектов. Учебник. – М.: Финансы и статистика, 2003. – 144 с.
32. Ковалев В. В. Финансовый анализ: Управление капиталом. Выбор
инвестиций. Анализ отчетности. – 2-е изд., перераб. и доп. – М.: Финансы и статистика, 2005. – 512
с.
33.
Кононекко О. Налоги и бухгалтерский учет. Учебник. —
Х.: Фактор, 2000. — 96 с.
34. Коршун М. Н., Чебанова О. В. Гигиена
труда и производственная санитария. Учебно-методическое пособие. – К.: КНЕУ, 1997. – 464с.
35.
Коюда О. П Інвестиційна привабливість і життєвий цикл підприємства
// Коммунальное хозяйство городов Научно-техиический сборник. Сер. «Экономические науки». — К.: Техніка, 2002.
— №46. — С. 49 – 57.
36.
Коюда П. М. Оцінка інвестиційної привабливості // Зб. наук. ст.
«Актуальні проблеми та перспективи розвитку фінансово-кредитної системи
України». — Харків: Фінарт, 2006. — С. 349-351.
37.
Коюда О. П. Визначення інвестиційної привабливості підприємств//
Зб. наук. праць «Економіка: проблеми теорії та практики». Вип. 175 —
Дніпропетровськ ДНУ, 2007. — С. 154 – 162.
38.
Краснов А. М.
Организация работы по охране труда на предприятиях. – К.: Техника 1989. – 192
с.
39.
Луців
Б.Л. Банківська діяльність у сфері інвестицій. Підручник. – Тернопіль:
Економічна думка, карт-бланш, 2006. – 320 с.
40.
Майорова
Т.В. Інвестиційна діяльність: Навчальний посібник.
– К.: «Центр навчальної літератури», 2004. – 376 с.
41.
Маркова О. М., Сахаров Л. С., Сидоров В.
Н. Коммерческие банки и их операции. Учебник. – М.: Финансы и статистика, 2003. – 348 с.
42. Методические рекомендации по определению
економической эффективности мероприятий, направленных на ускорение научно-технического прогресса. М., « Экономика»,
1988.
43. Методические рекомендации по
эффективности инвестиционных проектов (Вторая редакция). Министерство экономики
РФ, Министерство финансов РФ; ГК РФ по строительству, архитектуре и жилищной
политике. – М.: «Экономика», 2000. – 360 с.
44. Пересада А.А. Управління
інвестиційним процесом. Підручник. – К.: Лібра, 2002. – 472 с.
45. Райзберг Б. А. Рыночная экономика. // Деловая жизнь. – 2007. - №2 – С. 5-93.
46. Рожков А. П. Пожарная безопасность на
производстве: Учебное пособие – К.: «Охрана труда», 1997. – 220 с.
47. Славук В. П. Оценка эффективности
инвестиционных проектов. Учебник. – К.: Знання, 2001. – 288 с.
48. Солтис Я. Банки
України сьогодні. // Вісник НБУ. - 2008. - №7. – С.2-7.
49. Татаренко Н.О., Поручник А.М. Теории
инвестиций: Учебное пособие. – К.: КНЭУ, 2000. – 350 с.
50. Титаренко Н.О., Поручник А.М. Теорії
інвестицій: Навчальний посібник. – К.: КНЕУ, 2000. – 160 с.
51. Управление организацией: Учебник /
Под ред. А. Г. Поршнева, З.П. Румянцевой, Н. А. Саломатина. – 2-е изд.,
перераб. И.доп. – М.: ИНФРА-М, 1999. – 669 с.
52. Фінансовий менеджмент:
Навч. посіб. / За ред. Г Г. Кірейцева. — К.: ЦУЛ, 2002. — 496 с.
53. Финансы предприятнй: Учебник /
Под ред. М. В. Романовского. — СПб.: Изд лом «Бизнес-пресса», 2000. — 528 с.
54. Шарп У., Александер Г., Бэйли Дж.
Инвестиции: Пер. с англ. – М.: ИНФРА – М. – 1997. – 1024 с.
55. Шевчук В.Я., Рогожин П.С. Основи
інвестиційної діяльності. Підручник. – К.: Ґенеза, 1997. – 384 с.
56. Шелудько Н. До
визначення фінансової стійкості комерційного банку. // Вісник НБУ. – 2007. -
№3. - С. 40-44.
57. www.bank-ua.com – офіційний сайт банків України.
58. www.bank.gov.ua – офіційний сайт
Національного банку України.
59. www.finance.ua – финансы Украины, курсы валют, кредиты, депозиты, банки, компании.
60. www.khartep.com – офіційний сайт ТОВ
«Хартеп».
61. http://glavbukh.ua
– журнал «Главбух».
ДОДАТКИ
Додаток А
Таблиця А.1
Баланс ТОВ «Хартеп» за 2006-2008 роки
|
Актив
|
Код
ряд-
ка
|
На поча-
Ток 2006
року
|
На кінець 2006
року
|
На поча-
ток 2007
року
|
На кінець 2007
року
|
На поча-
ток 2008
року
|
На кінець 2008
року
|
|
1
|
2
|
3
|
4
|
5
|
6
|
7
|
8
|
|
I.
Необоротні активи
|
|
|
|
|
|
|
|
|
Нематеріальні
активи:
|
|
|
|
|
|
|
|
|
залишкова
вартість
|
010
|
0.71
|
0.34
|
0.34
|
0.63
|
0.63
|
12.9
|
|
первісна
вартість
|
011
|
1.1
|
2.49
|
2.49
|
3.09
|
3.09
|
16.8
|
|
накопичена
амортизація
|
012
|
(0.39)
|
(2.15)
|
(2.15)
|
(2.46)
|
(2.46)
|
3.9
|
|
Незавершене
будівництво
|
020
|
|
|
|
|
|
|
|
Основні
засоби:
|
|
|
|
|
|
|
|
|
залишкова
вартість
|
030
|
62.41
|
67.35
|
67.35
|
127.83
|
127.83
|
113.95
|
|
первісна
вартість
|
031
|
102.27
|
134.36
|
134.36
|
230.07
|
230.07
|
263.64
|
|
знос
|
032
|
(39.86)
|
(67.01)
|
(67.01)
|
(102.24)
|
(102.24)
|
149.69
|
|
Довгострокові
фінансові інвестиції:
|
|
|
|
|
|
|
|
|
які
обліковуються за методом участі в капіталі інших підприємств
|
040
|
|
|
|
|
|
|
|
інші
фінансові інвестиції
|
045
|
0.09
|
|
|
0.19
|
0.19
|
0.19
|
|
Довгострокова
дебіторська заборгованість
|
050
|
|
|
|
|
|
|
|
Відстрочені
податкові активи
|
|
|
|
|
|
|
|
Інші
необоротні активи
|
070
|
|
|
|
|
|
|
|
Усього
за розділом I
|
080
|
|
|
|
|
|
|
|
II.
Оборотні активи
|
|
|
|
|
|
|
|
|
Запаси:
|
|
|
|
|
|
|
|
|
виробничі
запаси
|
100
|
200.26
|
89.94
|
89.94
|
137.69
|
137.69
|
541.29
|
|
тварини
на вирощуванніта відгодівлі
|
110
|
|
|
|
|
|
|
|
незавершене
виробництво
|
120
|
367.00
|
297.93
|
297.93
|
979.19
|
979.19
|
387.12
|
|
готова
продукція
|
130
|
2.78
|
13.98
|
13.98
|
0.46
|
0.46
|
0.88
|
|
товари
|
140
|
|
|
|
|
|
|
|
Векселі
одержані
|
150
|
16.20
|
12.10
|
12.10
|
12.60
|
12.60
|
15.6
|
|
Дебіторська
заборгованість за товари, роботи, послуги:
|
|
|
|
|
|
|
|
|
чиста
реалізаційна вартість
|
160
|
169.22
|
203.29
|
203.29
|
584.94
|
584.94
|
735.84
|
|
первісна
вартість
|
161
|
169.22
|
203.29
|
203.29
|
584.94
|
584.94
|
735.84
|
|
резерв
сумнівних боргів
|
162
|
|
|
|
|
|
|
|
Дебіторська
заборгованість за розрахунками:
|
|
|
|
|
|
|
|
|
з
бюджетом
|
170
|
1.78
|
0.39
|
0.39
|
0.13
|
0.13
|
0.09
|
|
за
виданими авансами
|
180
|
|
|
|
|
|
|
|
з
нарахованих доходів
|
190
|
|
|
|
|
|
|
|
із
внутрішніх розрахунків
|
200
|
|
|
|
|
|
|
|
Інша
поточна дебіторська заборгованість
|
210
|
|
0.06
|
0.06
|
|
|
0.55
|
|
Поточні
фінансові інвестиції
|
220
|
|
|
|
|
|
|
|
Грошові
кошти та їх еквіваленти:
|
|
|
|
|
|
|
|
|
в
національній валюті
|
230
|
126.17
|
84.65
|
84.65
|
52.15
|
52.15
|
590.12
|
|
в
іноземній валюті
|
240
|
5.99
|
175.53
|
175.53
|
50.60
|
50.60
|
96.15
|
|
Інші
оборотні активи
|
250
|
66.50
|
35.05
|
35.05
|
125.26
|
125.26
|
48.21
|
|
Усього
за розділом II
|
260
|
955.90
|
912.92
|
912.92
|
1943.02
|
1943.02
|
2415.85
|
|
III.
Витрати майбутніх періодів
|
270
|
|
|
|
|
|
|
|
Баланс
|
280
|
1019.11
|
980.61
|
980.61
|
2071.67
|
2071.67
|
2542.89
|
|
Пасив
|
Код
ряд-
ка
|
На поча-
Ток 2006
року
|
На кінець 2006
року
|
На поча-
ток 2007
року
|
На кінець 2007
року
|
На поча-
ток 2008
року
|
На кінець 2008
року
|
|
1
|
2
|
3
|
4
|
5
|
6
|
7
|
8
|
|
I. Власний капітал
|
|
|
|
|
|
|
|
|
Статутний капітал
|
300
|
0.9
|
0.9
|
0.9
|
0.9
|
0.9
|
0.9
|
|
Пайовий капітал
|
310
|
|
|
|
|
|
|
|
Додатковий вкладений
капітал
|
320
|
|
|
|
|
|
|
|
Інший додатковий капітал
|
330
|
|
|
|
|
|
|
|
Резервний капітал
|
340
|
5.12
|
5.12
|
5.12
|
5.12
|
5.12
|
5.12
|
|
Нерозподілений прибуток
(непокритий збиток)
|
350
|
102.35
|
142.19
|
142.19
|
175.71
|
175.71
|
442.26
|
|
Неоплачений капітал
|
360
|
|
|
|
|
|
|
|
Вилучений капітал
|
370
|
|
|
|
|
|
|
|
Усього за розділом I
|
380
|
108.37
|
148.21
|
148.21
|
181.73
|
181.73
|
4482.8
|
|
II. Забезпечення наступних витрат
і платежів
|
|
|
|
|
|
|
|
|
Забезпечення виплат персоналу
|
400
|
|
|
|
|
|
|
|
Інші забезпечення
|
410
|
|
|
|
|
|
|
|
Страхові резерви
|
415
|
|
|
|
|
|
|
|
Частка перестраховиків у страхових
резервах
|
416
|
|
|
|
|
|
|
|
Цільове фінансування
|
420
|
|
|
|
|
|
|
|
Усього за розділом II
|
430
|
|
|
|
|
|
|
|
III. Довгострокові зобов'язання
|
|
|
|
|
|
|
|
|
Довгострокові кредити
банків
|
440
|
|
|
|
|
|
|
|
Інші довгострокові фінансові
зобов'язання
|
450
|
|
|
|
|
|
|
|
1
|
2
|
3
|
4
|
5
|
6
|
7
|
8
|
|
Відстрочені податкові
зобов'язання
|
460
|
|
|
|
|
|
|
|
Інші довгострокові
зобов'язання
|
470
|
|
|
|
|
|
|
|
Усього за розділом III
|
480
|
|
|
|
|
|
|
|
IV. Поточні зобов'язання
|
|
|
|
|
|
|
|
|
Короткострокові кредити
банків
|
500
|
|
|
|
|
|
|
|
Поточна заборгованість за
довгостроковими зобов'язаннями
|
510
|
|
|
|
|
|
|
|
Векселі видані
|
520
|
204.18
|
211.61
|
211.61
|
110.03
|
110.03
|
110.03
|
|
Кредиторська заборгованість за
товари, роботи, послуги
|
530
|
705.89
|
607.82
|
607.82
|
1772.63
|
1772.63
|
1898.44
|
|
Поточні
зобов'язання за розрахунками:
|
|
|
|
|
|
|
|
|
з одержаних авансів
|
540
|
|
|
|
|
|
34.96
|
|
з бюджетом
|
550
|
0.04
|
4.69
|
4.69
|
5.62
|
5.62
|
|
|
з позабюджетних платежів
|
560
|
|
|
|
|
|
2.25
|
|
зі страхування
|
570
|
0.04
|
|
|
1.06
|
1.06
|
|
|
з оплати праці
|
580
|
|
0.03
|
0.03
|
0.03
|
0.03
|
|
|
з учасниками
|
590
|
|
|
|
|
|
|
|
із внутрішніх розрахунків
|
600
|
|
|
|
|
|
|
|
Інші поточні зобов'язання
|
610
|
0.59
|
8.25
|
8.25
|
0.57
|
0.57
|
48.93
|
|
Усього за розділом IV
|
620
|
910.74
|
832.4
|
832.4
|
1889.94
|
1889.94
|
2094.61
|
|
V. Доходи майбутніх
періодів
|
630
|
|
|
|
|
|
|
|
Баланс
|
640
|
1019.11
|
980.61
|
980.61
|
2071.67
|
2071.67
|
2542.89
|
Додаток Б
Таблиця Б.1
Звіт про фінансові результати ТОВ «Хартеп» за 2006-2008 роки
|
Стаття
|
Код ряд-
ка
|
За звіт-
ний період 2006
року
|
За попере-
дній період
|
За звіт-
ний період 2007
року
|
За попере-
дній період
|
За звіт-
ний період 2007
року
|
За попере-
дній період
|
|
1
|
2
|
3
|
4
|
5
|
6
|
7
|
8
|
|
Доход (виручка) від реалізації
продукції (товарів, робіт, послуг)
|
010
|
2922.28
|
2627.0
|
2562.66
|
2922.28
|
7102.39
|
2562.66
|
|
Податок на додану вартість
|
015
|
(456.25)
|
(437.14)
|
(409.05)
|
(456.25)
|
(1163.4)
|
(409.05)
|
|
Акцизний збір
|
020
|
|
|
|
|
|
|
|
025
|
030
|
|
|
|
|
|
|
|
Чистий доход (виручка) від
реалізації продукції (товарів, робіт, послуг)
|
035
|
2466.03
|
2189.86
|
2153.61
|
2466.03
|
5938.99
|
2153.61
|
|
Собівартість реалізованої
продукції (товарів, робіт, послуг)
|
040
|
(2213.43)
|
(1989.27)
|
(1849.78)
|
(2213.43)
|
(5234.18)
|
(1849.78)
|
|
Валовий:
|
|
|
|
|
|
|
|
|
прибуток
|
050
|
252.6
|
200.59
|
303.83
|
252.6
|
704.81
|
303.83
|
|
збиток
|
055
|
|
|
|
|
|
|
|
Інші операційні доходи
|
060
|
6.2
|
23.38
|
3.94
|
6.2
|
6.19
|
3.94
|
|
Адміністративні витрати
|
070
|
(221.94)
|
(127.74)
|
(289.19)
|
(221.94)
|
(397.37)
|
(289.19)
|
|
Витрати на збут
|
080
|
(32.55)
|
(3.6)
|
(23.09)
|
(32.55)
|
(47.3)
|
(23.09)
|
|
Інші операційні витрати
|
090
|
(23.97)
|
(74.49)
|
(48.95)
|
(23.97)
|
(21.01)
|
(48.95)
|
|
Фінансові результати від
операційної діяльності:
|
|
|
|
|
|
|
|
|
прибуток
|
100
|
3
|
4
|
5
|
6
|
7
|
8
|
|
збиток
|
105
|
|
18.14
|
|
|
245.32
|
|
|
Доход від участі в капіталі
|
110
|
(19.66)
|
|
(53.46)
|
(19.66)
|
|
(53.46)
|
|
Інші фінансові доходи
|
120
|
|
|
|
|
|
|
|
Інші доходи
|
130
|
4.08
|
7.69
|
3.95
|
4.08
|
7.82
|
3.95
|
|
Фінансові витрати
|
140
|
78.7
|
|
101.59
|
78.7
|
1429.0
|
101.59
|
|
Втрати від участі в капіталі
|
150
|
|
|
|
|
|
|
|
Інші витрати
|
160
|
|
|
|
|
|
|
|
Фінансові результати від
звичайної діяльності до оподаткування:
|
|
(17.0)
|
|
(10.0)
|
(17.0)
|
(1357.0)
|
(10.0)
|
|
прибуток
|
170
|
|
|
|
|
|
|
|
збиток
|
175
|
46.12
|
25.83
|
42.08
|
46.12
|
325.14
|
42.08
|
|
Податок на прибуток від звичайної
діяльності
|
180
|
|
|
|
|
|
|
|
Дохід з податку на прибуток від
звичайної діяльності
|
185
|
(6.28)
|
(6.27)
|
(8.56)
|
(6.28)
|
(58.59)
|
(8.56)
|
|
Фінансові результати від
звичайної діяльності:
|
|
|
|
|
|
|
|
|
прибуток
|
190
|
39.84
|
19.56
|
33.52
|
39.84
|
266.55
|
33.52
|
|
збиток
|
195
|
|
|
|
|
|
|
|
Надзвичайні:
|
|
|
|
|
|
|
|
|
доходи
|
200
|
|
|
|
|
|
|
|
витрати
|
205
|
|
|
|
|
|
|
|
Податки з надзвичайного прибутку
|
210
|
|
|
|
|
|
|
|
Чистий:
|
|
|
|
|
|
|
|
|
прибуток
|
220
|
39.84
|
19.56
|
33.52
|
39.84
|
266.55
|
33.52
|
|
збиток
|
225
|
3
|
4
|
5
|
6
|
7
|
8
|
|
|
|
|
|
|
|
|
|
|
|
|
|
|
|
|
|
Додаток В
Таблиця В.1
Звіт про рух
грошових коштів за 2006-2008 роки
|
Стаття
|
Код ряд-
ка
|
Надхо-
дження за 2006 рік
|
Видпток за 2006 рік
|
Надхо-
дження за 2007 рік
|
Видпток за 2006 рік
|
Надхо-
дження за 2007 рік
|
Видпток за 2006 рік
|
|
1
|
2
|
3
|
4
|
5
|
6
|
7
|
8
|
|
І. Рух коштів у
результаті операційної діяльності
Прибуток (збиток)
від звичайної діяльності до оподаткування
|
010
|
46,1
|
|
42,1
|
|
325,1
|
|
|
Коригування на:
амортизацію
необоротних активів
|
020
|
31,3
|
|
35,9
|
|
55,4
|
|
|
збільшення
(зменшення) забезпечень
|
030
|
|
|
|
|
|
|
|
збиток (прибуток)
від нереалізованих курсових різниць
|
040
|
6,8
|
|
1,9
|
|
|
4,4
|
|
збиток (прибуток)
від не операційної діяльності
|
050
|
|
65,7
|
|
95,5
|
|
79,8
|
|
Витрати на сплату
відсотків
|
060
|
|
|
|
|
|
|
|
Прибуток (збиток)
від операційної діяльності до зміни в чистих оборотних активах
|
070
|
18,4
|
|
|
15,6
|
296,3
|
|
|
Зменшення
(збільшення):
оборотних активів
|
080
|
238,0
|
|
|
1030,1
|
617,1
|
|
|
витрати майбутніх
періодів
|
090
|
|
|
|
|
|
|
|
Зменшення
(збільшення):
поточних
зобов’язань
|
100
|
|
76,2
|
1008,1
|
|
|
204,6
|
|
доходів майбутніх
періодів
|
110
|
|
|
|
|
|
|
|
Грошові кошти від
операційної діяльності
|
120
|
180,2
|
|
|
37,6
|
708,7
|
|
|
Сплачені:
відсотки
|
130
|
|
|
|
|
|
|
|
податки на прибуток
|
140
|
|
6,3
|
|
8,5
|
|
58,6
|
|
Чистий рух коштів
до надзвичайних подій
|
150
|
173,9
|
|
|
46,2
|
650,2
|
|
|
Рух коштів від
надзвичайних подій
|
160
|
|
|
|
|
|
|
|
Чистий рух від
операційної діяльності
|
170
|
173,9
|
|
|
46,2
|
650,2
|
|
|
ІІ. Рух коштів у
результаті інвестиційної діяльності
Реалізація:
фінансових
інвестицій
|
180
|
|
|
|
|
|
|
|
необоротних активів
|
190
|
|
|
|
|
|
|
|
Майнових комплексів
|
200
|
|
|
|
|
|
|
|
Отримані:
відсотки
|
210
|
4,1
|
|
|
|
|
|
|
дивіденди
|
220
|
|
|
|
|
|
|
|
Інші надходження
|
230
|
|
|
|
|
|
|
|
Придбання:
фінансових
інвестицій
|
240
|
|
|
|
|
|
|
|
необоротних активів
|
250
|
|
43,1
|
|
|
|
62,2
|
|
майнових комплексів
|
260
|
|
|
|
|
|
|
|
Інші платежі
|
270
|
|
|
|
|
|
|
|
Чистий рух коштів
до надзвичайних подій
|
280
|
|
|
|
113,2
|
|
62,2
|
|
Рух коштів від
надзвичайних подій
|
290
|
|
|
|
|
|
|
|
Чистий рух від
інвестиційної діяльності
|
300
|
134,8
|
|
|
113,2
|
|
62,2
|
|
ІІІ. Рух коштів у
результаті фінансової діяльності
Надходження
власного капіталу
|
310
|
|
|
|
|
|
|
|
Отримання позики
|
320
|
|
|
3,9
|
|
|
|
|
Інші надходження
|
330
|
|
|
|
|
|
|
|
Погашення позик
|
340
|
|
|
|
|
|
|
|
Сплачені дивіденди
|
350
|
|
|
|
|
|
|
|
Інші платежі
|
360
|
|
|
|
|
|
|
|
Чистий рух коштів
до надзвичайних подій
|
370
|
|
|
3,9
|
|
|
|
|
Рух коштів від
надзвичайних подій
|
380
|
|
|
|
|
|
|
|
Чистий рух від
фінансової діяльності
|
390
|
|
|
3,9
|
|
|
|
|
Чистий рух коштів
за звітний період
|
400
|
134,8
|
|
|
155,4
|
587,9
|
|
|
Залишок коштів на
початок року
|
410
|
132,2
|
|
260,2
|
|
102,7
|
|
|
Вплив зміни
валютних курсів на залишок коштів
|
420
|
|
6,8
|
|
1,9
|
|
4,4
|
|
Залишок коштів на
кінець року
|
430
|
260,2
|
|
102,8
|
|
686,3
|
|