Основы предпринимательства: наглядные пособия
Кафедра «Автоматизированные системы
управления»
Курсовая работа
по дисциплине ВТиП
Разработка программного модуля
Введение
Целью данной курсовой
работы является разработка программного модуля, с помощью которого можно задать
размерность квадратной матрицы, заполнить матрицу случайными целыми числами от
0 до 6 и вычислить:
- сумму элементов,
находящихся под главной диагональю,
- сумму элементов,
составляющих главную диагональ.
Для разработки программы
использован табличный процессор Excel и язык программирования Visual Basic for
Application.
В первом разделе, который
называется «Постановка задачи», приведена математическая модель задачи, описаны
входные и выходные данные, описана обработка ошибок.
Во втором разделе,
«Проектирование программного модуля», изображена структурная диаграмма
программного модуля, разработана схема программного модуля и пользовательский
интерфейс.
В разделе «Реализация
программного модуля» описан код программы, произведено описание используемых
операторов и функций.
Тестирование программного
модуля приведено в четвертом разделе.
Кроме того, дано
заключение и приведён список использованных источников.
1. Постановка задачи
1.1 Математическая
модель задачи
Определение квадратной
матрицы: квадратной матрицей n-го порядка называется матрица, состоящая из m
строк и m столбцов. Главной диагональю квадратной матрицы называется диагональ,
составленная из элементов a11 a22… amm .
Способ нахождения суммы
элементов квадратной матрицы, лежащих под главной диагональю:

Необходимый результат получается при
суммировании элементов в следующем порядке: а21 + а31 + а32
+…+ аi1 + ai2 + ai3 + ai(j-1) –
суммируются элементы, начиная со второй строки, и, при увеличении строки на 1,
число столбцов, содержащих нужные элементы, также увеличивается на 1. В кратком
виде этот цикл выглядит так: i=f…m, где начальное f=2; j=1…(m-b), где начальное
b=m-1. При каждой последующей итерации значение f увеличивается на 1, а
значение b на 1 уменьшается.
Сумму элементов диагонали
матрицы можно получить при суммировании элементов, лежащих на пересечении
одинаковых строки и столбца, т.е. если i=j.
1.2 Входные данные
В данном курсовом проекте
к входным данным относится размерность квадратной матрицы (значение m).
Требования к входным
данным:
- значение m должно
вводиться в числовой форме;
- значение m должно быть
целым, положительным числом больше нуля.
1.3 Выходные данные
К выходным данным
относятся:
- вывод заполненной
матрицы на форму;
- вывод заполненной
матрицы на лист Excel;
- сумма элементов,
находящихся под главной диагональю;
- сумма элементов,
составляющих главную диагональ.
Требования к выходным
данным:
- выходные данные
выводятся в числовом виде.
1.4 Обработка ошибок
При выполнении
программного модуля произведена обработка следующих ошибок:
- в поле ввода
размерности матрицы вводится нечисловое значение. В этом случае появляется сообщение
об ошибке, которое имеет вид, представленный на рисунке 1:
Рисунок 1 - Сообщение об
ошибке, в случае нечислового ввода размерности матрицы
- в поле ввода вводится
дробное числовое значение. В этом случае появляется сообщение об ошибке,
которое имеет вид, представленный на рисунке 2:
Рисунок 2 - Сообщение об
ошибке, в случае ввода дробного значения размерности матрицы
- в поле ввода вводится
отрицательное число, либо число равное нулю. В этом случае появляется сообщение
об ошибке, которое имеет вид, представленный на рисунке 3:
Рисунок 3 - Сообщение об
ошибке, в случае ввода отрицательного, либо нулевого значения размерности
матрицы
После уведомления
пользователя об ошибке поле ввода очищается, и курсор возвращается в это поле.
2. Проектирование
программного модуля
2.1 Структурная
диаграмма программного модуля
Программа имеет
структуру, показанную на рисунке 4:
Рисунок 4 - Структурная
диаграмма программного модуля
В данной диаграмме
UserForm_Initialize() – процедура инициализации пользовательской формы. CommandButton1_Click()
– процедура, срабатывающая при нажатии кнопки «Заполнить матрицу», которая
производит проверку правильности ввода размерности матрицы, заполнение матрицы
и вывод её на пользовательскую форму. CommandButton2_Сlick() – процедура,
срабатывающая при нажатии кнопки «Очистить», которая очищает форму. CommandButton3_Сlick()
– процедура, срабатывающая при нажатии кнопки «Выйти», позволяющая пользователю
завершить работу с программой. CommandButton4_Click() – процедура,
срабатывающая при нажатии кнопки «О программе», которая даёт краткие сведения о
программе и её разработчике. CommandButton5_Сlick() – процедура, срабатывающая
при нажатии кнопки «Работать с Excel», позволяющая пользователю переключиться на
работу с листом Excel. OptionButton1_Click() – процедура-переключатель, при
выборе которого вычисляется сумма элементов, находящихся под главной диагональю.
OptionButton2_Click() – процедура-переключатель, при выборе которого вычисляется
сумма элементов, составляющих главную диагональ.
2.2 Разработка схемы
программного модуля и ее описание
Блок-схема процедуры
заполнения квадратной матрицы представлена на рисунке 5:
1
2
3
4
5
6
7
8
9
Рисунок 5 – Схема
программного модуля (Заполнение матрицы)
Описание блок-схемы:
1 – ввод размера массива;
2 – проверка того, что
введённый размер массива является числом;
3 – проверка того, что введённый
размер массива является положительным числом, отличным от нуля;
4 – проверка того, что
введённый размер массива является целым числом;
6 – цикл, который
пробегает значения строк от 1 до заданного размера массива, с шагом равным по
умолчанию 1;
7 – цикл, который
пробегает значения столбцов от 1 до заданного размера массива, с шагом равным
по умолчанию 1;
8 – тело цикла, которое
заполняет массив случайными числами от 0 до 6;
9 – вывод результата в
поле, предназначенное для вывода квадратной матрицы.
Блок-схема процедуры для
первого переключателя представлена на рисунке 6:
1
2
3
4
5
6
Рисунок 6 – Схема
программного модуля (первый переключатель)
Описание блок-схемы:
1 – задание начальных
параметров для вычисления суммы элементов матрицы;
2 – цикл, который
пробегает значения строк от f до
заданного размера массива, с шагом равным по умолчанию 1;
3 – цикл, который
пробегает значения столбцов от 1 до m-b, с шагом равным по умолчанию 1;
4 – вычисление суммы
элементов, лежащих под главной диагональю;
5 – увеличение параметра f на 1 и уменьшение параметра b на 1, после окончания цикла для
столбцов (блок 3), и переход к циклу для строк (блок 2);
6 – вывод результата в поле
вывода суммы элементов.
Блок-схема
процедуры для второго переключателя представлена на рисунке 7:
1
2
3
4
5
6
Рисунок 7 – Схема
программного модуля (второй переключатель)
Описание блок-схемы:
1 – задание начальных
параметров для вычисления суммы элементов матрицы;
2 – цикл, который
пробегает значения строк от 1 до заданного размера массива, с шагом равным по
умолчанию 1;
3 – цикл, который
пробегает значения столбцов от 1 до заданного размера массива, с шагом равным
по умолчанию 1;
4 – проверка условия i = j. В случае выполнения данного условия происходит переход к
блоку 5, в противном случае – к блоку 3;
5 – вычисление суммы
элементов, составляющих главную диагональю;
6 – вывод результата в
поле вывода суммы элементов.
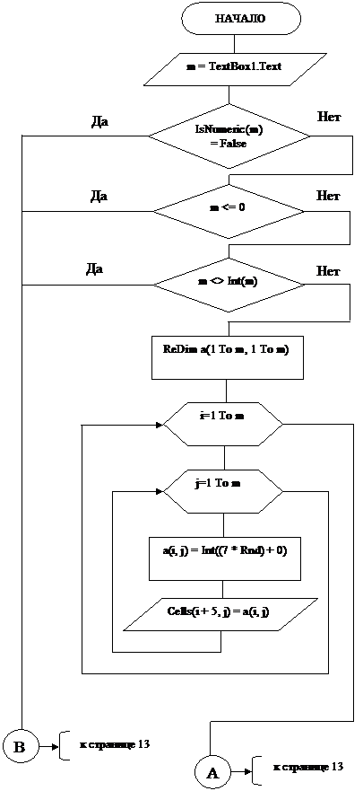
Блок-схема
процедуры для работы с листом Excel представлена
на рисунке 8:
1
2
3
4
5
6
7
8
9
10
11
12
13
14
15
16
17
18
19
20
21
Рисунок 8 – Схема
программного модуля (Работа с листом Excel)
Описание блок-схемы:
1 – ввод размера массива;
2 – проверка того, что
введённый размер массива является числом;
3 – проверка того, что
введённый размер массива является положительным числом, отличным от нуля;
4 – проверка того, что
введённый размер массива является целым числом;
5 – задание динамического
массива;
6 – цикл, который
пробегает значения строк от 1 до заданного размера массива, с шагом равным по
умолчанию 1;
7 – цикл, который
пробегает значения столбцов от 1 до заданного размера массива, с шагом равным
по умолчанию 1;
9 – вывод массива на лист
Excel;
10 – задание начальных
параметров для вычисления суммы элементов матрицы, расположенных под главной
диагональю;
11 – цикл, который
пробегает значения строк от f до
заданного размера массива, с шагом равным по умолчанию 1;
12 – цикл, который
пробегает значения столбцов от 1 до m-b, с шагом равным по умолчанию 1;
13 – вычисление суммы
элементов, лежащих под главной диагональю;
14 – увеличение параметра
f на 1 и уменьшение параметра b на 1, после окончания цикла для
столбцов (блок 12), и переход к циклу для строк (блок 11);
15 – вывод суммы
элементов, лежащих под главной диагональю на лист Excel;
16 – задание начальных
параметров для вычисления суммы элементов матрицы, составляющих главную
диагональ;
17 – цикл, который
пробегает значения строк от 1 до заданного размера массива, с шагом равным по
умолчанию 1;
18 – цикл, который
пробегает значения столбцов от 1 до заданного размера массива, с шагом равным
по умолчанию 1;
19 – проверка условия i = j. В случае выполнения данного условия происходит переход к
блоку 5, в противном случае – к блоку 3;
20 – вычисление суммы
элементов, составляющих главную диагональю;
21 – вывод суммы
элементов, составляющих главную диагональ на лист Excel.
2.3 Разработка
пользовательского интерфейса.
Пользовательский
интерфейс (ПИ) программы - это совокупность элементов, позволяющих пользователю
программы управлять ее работой и получать требуемые результаты, т.е. это диалог
между компьютером и пользователем.
Интерфейс для
программного модуля, разработанного в данном курсовом проекте представлен на
рисунке 9:
Рисунок 9 - Вид
пользовательской формы: 1 – поле для ввода размерности квадратной матрицы; 2 –
поле для вывода суммы элементов матрицы, в зависимости от выбранного
переключателя; 3 – переключатель, при выборе которого вычисляется сумма
элементов матрицы, находящихся под главной диагональю; 4 – переключатель, при
выборе которого вычисляется сумма элементов матрицы, составляющих главную
диагональ; 5 – кнопка, при нажатии которой происходит заполнение матрицы; 6 –
кнопка, которая осуществляет очистку всех полей формы; 7 – кнопка,
осуществляющая выход из программы; 8 – кнопка, при нажатии которой появляется
краткая информация о программе; 9 – кнопка, позволяющая пользователю
переключиться на работу с листом Excel; 10 - поле для вывода заполненной
матрицы
3. Реализация
программного модуля
3.1 Код программы
Dim summa1 As Double
Dim summa2 As
Double
Dim a() As
Double
Dim m As Variant
‘задаём начальные
параметры при инициализации формы:
Private Sub
UserForm_Initialize()
Application.Visible
= False
UserForm1.Caption
= "Курсовой проект"
CommandButton1.Default
= True
TextBox1.SetFocus
End Sub
‘процедура заполнения
матрицы:
Private Sub
CommandButton1_Click()
m =
TextBox1.Text
If
IsNumeric(TextBox1.Text) = False Then
MsgBox "Размерность матрицы должна
задаваться числом", 16, "Ошибка ввода"
TextBox1.Text
= ""
TextBox1.SetFocus
Exit Sub
End If
If m <= 0 Then
MsgBox "Размерность матрицы задаётся
положительным числом отличным от нуля ", 16,
"Ошибка ввода"
TextBox1.Text
= ""
TextBox1.SetFocus
Exit Sub
End If
m = CDbl(m)
If m <> Int(m) Then
MsgBox " Размерность матрицы должна
задаваться целым числом ", 16, " Ошибка ввода "
TextBox1.Text
= ""
TextBox1.SetFocus
Exit Sub
End If
ReDim a(1 To
m, 1 To m)
For i = 1 To m
For j = 1 To m
a(i, j) =
Int((7 * Rnd) + 0)
Next j
Next i
With ListBox1
ColumnCount =
m
List = a
End With
End Sub
'процедура очистки
пользовательской формы:
Private Sub CommandButton2_Click()
OptionButton1.Value
= False
TextBox1.Text
= ""
TextBox2.Text
= ""
ListBox1.Clear
TextBox1.SetFocus
End Sub
'процедура выхода из
программы:
Private Sub
CommandButton3_Click()
UserForm1.Hide
Application.Quit
End Sub
' вызов краткой
информации о программе:
Private Sub CommandButton4_Click()
MsgBox "Программа для заполнения
случайными числами" & Chr(13)
& _
"от 0 до 6
квадратной матрицы, размерностью" & Chr(13) & _
"задаваемой
пользователем, и вычисления суммы" & Chr(13) & _
"элементов матрицы,
в зависимости от выбрано-" & Chr(13) & _
"го
переключателя." & Chr(13)
& _
" Разработчик:
Логунов А.П..", 48, "О программе"
End Sub
'процедура вычисления
суммы элементов, расположенных под главной диагональю:
Private Sub
OptionButton1_Click()
summa1 = 0
f = 2
b = m - 1
For i = f To m
For j = 1 To m
- b
summa1 =
summa1 + a(i, j)
Next j
f = f + 1
b = b - 1
Next i
TextBox2.Text = summa1
End Sub
'процедура вычисления
суммы элементов, составляющих главную диагональ:
Private Sub
OptionButton2_Click()
summa2 = 0
For i = 1 To m
For j = 1 To m
If i = j Then
summa2 =
summa2 + a(i, j)
End If
Next j
Next i
TextBox2.Text
= summa2
End Sub
'процедура для работы с
Excel:
Private Sub
CommandButton5_Click()
Application.Visible
= True
Cells.Select
Selection.ClearContents
Range("A1").Select
UserForm1.Hide
m =
InputBox("Задайте размерность матрицы", "Окно ввода")
If IsNumeric(m) = False Then
MsgBox ""Размерность матрицы
должна задаваться числом", 16, "Ошибка ввода"
Exit Sub
End If
If m <= 0
Then
MsgBox "Размерность матрицы задаётся
положительным числом отличным от нуля ", 16,
"Ошибка
ввода"
Exit Sub
End If
m = CDbl(m)
If m <>
Int(m) Then
MsgBox " Размерность матрицы должна
задаваться целым числом ", 16, " Ошибка ввода "
Exit Sub
End If
Cells(5, 1) =
"Матрица размерностью n=" & m & ":"
ReDim a(1 To
m, 1 To m)
For i = 1 To m
a(i, j) =
Int((7 * Rnd) + 0)
Cells(i + 5,
j) = a(i, j)
Next j
Next i
summa1 = 0
f = 2
b = m - 1
For i = f To m
For j = 1 To m
- b
summa1 =
summa1 + a(i, j)
Next j
f = f + 1
b = b - 1
Next i
Cells(2, 1) = "Сумма элементов под
главной диагональю =" & summa1
summa2 = 0
For i = 1 To m
For j = 1 To m
If i = j Then
summa2 =
summa2 + a(i, j)
End If
Next j
Next i
Cells(3, 1) = " Сумма элементов
составляющих главную диагональ =" & summa2
Select Case MsgBox("Вернуться к UserForm?", vbYesNo, "Окно возврата")
Case vbYes
Application.Visible
= False
TextBox1.SetFocus
UserForm1.Show
Case vbNo
End Select
End Sub
3.2 Описание использованных
операторов и функций
Dim Имя_переменной As
Тип_переменной – синтаксис описания типа переменной;
Private – указывает, что
процедура Sub доступна для всех других процедур только того модуля, в котором
она описана;
If Условие Then
[Инструкция] [Else Инструкции_else] – оператор условного перехода. Если условие
принимает значение True, то выполняется инструкция Then, если False, то
выполняется инструкция_else. Ветвь Else является необязательной;
IsNumeric(переменная) –
функция, проверяющая является ли переменная числовым значением;
MsgBox (сообщение,
[кнопка], [заголовок])- выводит на экран диалоговое окно, содержащее сообщение;
CDbl() – функция
преобразования считываемых данных в числовой формат типа Double, т.к. числа,
вводимые в текстовую область формы, воспринимаются как текст, а не как число.
Int() – функция, которая
возвращает целые числовые значения;
ReDim <имя
массива>(<задаётся размерность массива>) – функция задания
динамического массива;
For Счетчик = Начало To
Конец [Step Шаг]
[Инструкции]
Next Счетчик – повторяет
выполнение группы инструкций, пока Счетчик изменяется от начального значения до
конечного с указанным шагом. Если шаг не указан, то он полагается равным 1;
Rnd – функция, которая
служит для генерации случайных чисел;
With Объект
[инструкции]
End With – позволяет
выполнить последовательность инструкций над Объектом не повторяя его имени;
ColumCount –
устанавливает число столбцов в списке;
Clear – очистка;
SetFocus – возвращает
курсор в указанное поле;
InputBox () – выводит на
экран диалоговое окно, содержащее сообщение и поле ввода, устанавливает режим
ожидания ввода текста пользователем или нажатия кнопки, а затем возвращает
значение типа String, содержащее текст, введенный в поле;
Select Case Выражение
Case список выражений
[инструкции]
Case Else
[инструкции Else]
End Select – выполняет
одну из нескольких групп инструкций в зависимости от некоторого выражения.
4. Тестирование
программного модуля
Ниже приведён пример
работы программного модуля. Для этого ввели в поле ввода размерность матрицы
равную 5. При нажатии кнопки «Заполнить матрицу» в окне вывода появилось
квадратная матрица пятого порядка, заполненная случайными числами от 0 до 6,
что представлено на рисунке 10:
Рисунок 10 - Вид
пользовательской формы с заполненной матрицей
При выборе первого
переключателя определяется сумма элементов, находящихся под главной диагональю
матрицы. При выборе второго переключателя – сумма элементов матрицы, составляющих
главную диагональ.
При нажатии кнопки «о программе»
появляется сообщение с краткой информацией о программе.
При нажатии кнопки
«Работать с Excel» появляется диалоговое окно, в котором задаётся размерность
матрицы.
При нажатии кнопки «Оk»
на листе Excel появляется результат, который представлен на рисунке 11:
Рисунок 11 – Лист Excel с
результатом
Диалоговое окно «окно
возврата» позволяет пользователю вернуться к работе с пользовательской формой.
Как видно из приведенного
примера программа является полностью работоспособной.
В данном курсовом проекте
с помощью языка программирования Visual Basic for Application был разработан
программный модуль, который позволяет: задавать квадратную матрицу и программно
заполнять её случайными числами от 0 до 6; вычислять сумму элементов
находящихся под главной диагональю; вычислять сумму элементов составляющих
главную диагональ. Был предусмотрен режим работы с листом Excel.
В программе произведена
обработка возможных ошибок, что облегчает пользователю работу с программой.
В ходе тестирования
программа показала себя полностью работоспособной. Следовательно, поставленную
задачу можно считать выполненной.
Список использованных
источников
1. Гарнаев А.Ю. Самоучитель VBA. –
СПб.: БХВ – Санкт-Петербург, 2000. – 512 с.
2. Гарнаев А.Ю. Самоучитель VBA. –
СПб, БХВ – Санкт-Петербург, 2002.
3. MS OfficeXP: Разработка приложений
/ Под редакцией Ф.А. Новикова. СПб.: БХВ – Санкт-Петербург, 2003.