Вдосконалення організації експортно-імпортної діяльності ВАТ "Інтерпайп Нижньодніпровський трубопрокатний завод"
Дипломна
робота бакалавра
по
спеціальності “Менеджмент зовнішньоекономічної діяльності”
на
тему:
“
Вдосконалення організації експортно-імпортної діяльності
ВАТ
“Інтерпайп Нижньодніпровський трубопрокатний завод” ”
РЕФЕРАТ
Пояснювальна записка до випускної
роботи: 80 стор., 10 рис., 15 табл., 28 літературних джерел, 4 додатки на 20
стор.
Об’єктом дипломного дослідження було
підприємство ВАТ «Інтерпайп Нижньодніпровський металургійний завод»
(м.Дніпропетровськ).
Предметом дипломного дослідження була
зовнішньоекономічна діяльність металургійного підприємства ВАТ «Інтерпайп
Нижньодніпровський металургійний завод».
Метою дипломного дослідження була
розробка пропозицій по покращанню ефективності зовнішньоекономічної діяльності
металургійного підприємства ВАТ «Інтерпайп Нижньодніпровський металургійний
завод».
Основними завданнями дипломного
дослідження були:
проведення теоретичного аналіза
сутності та законодавчого поля регулювання зовнішньоекономічної діяльності
підприємств в Україні;
виконання аналізу зовнішньоекономічної
діяльності підприємства ВАТ «Інтерпайп НТЗ» у 2003 -2007 роках та економічної
діагностики впливу ЗЕД на показники діяльності та фінансовий стан підприємства;
ідентифікація основних проблем в ЗЕД
підприємства ВАТ «Інтерпайп НТЗ» та розробка пропозицій по покращанню
ефективності його ЗЕД.
Практична цінність отриманих
результатів роботи полягає в проведенні послідовного аналізу діяльності і змін
в фінансовому стані ВАТ «Інтерпайп НТЗ» та наданні пропозицій по покращанню ЗЕД
за рахунок вільного виходу в умовах вступу в СОТ на ринки Європи та США з новою
продукцією - виробами з прецензійно-чистого металу нового
електросталеплавильного цеху. підприємства, працюючого виключно на
чугунносталевій сировині металургійних заводів України.
ТРУБИ, КОЛЕСА, БАНДАЖІ, СТАЛЬ,
ЧУГУН, МАРТЕНІВСЬКИЙ ЦЕХ, ЕЛЕКТРОСТАЛЕПЛАВИЛЬНИЙ ЦЕХ, ЕКСПОРТ, ІМПОРТ
ЗМІСТ
ВСТУП
1 ТЕОРЕТИЧНИЙ РОЗДІЛ
1.1 Сутність та законодавче
поле зовнішньоекономічної діяльності (ЗЕД) підприємств в Україні
1.2 Основні види
зовнішньоекономічних операцій підприємств
1.3 Вплив вступу України до
Світової організації торгівлі (СОТ) на ЗЕД підприємств в Україні
2 АНАЛІТИКО-РЕКОМЕНДАЦІЙНИЙ
РОЗДІЛ
2.1 Характеристика підприємства
ВАТ „Інтерпайп НТЗ”
2.2 Економічий аналіз
зовнішньоекономічної діяльності підприємства ВАТ „Інтерпайп Нижньодніпровський
трубопрокатний завод” у 2003 -2007 рр
2.2.1 Аналіз структури
реалізації продукції на експорт та внутрішній ринок
2.2.2 Аналіз виробництва
продукції та використання виробничих потужностей
2.2.3 Аналіз використання
трудових ресурсів
2.2.4 Аналіз собівартості
виробленої продукції
2.2.5 Аналіз прибутку та
рентабельності виробництва
2.3 Основні пропозиції по
удосконаленню зовнішньоекономічної діяльності ВАТ „Інтерпайп Нижньодніпровський
трубопрокатний завод”
2.3.1 Аналіз проблем та шляхи
покращання експортної діяльності підприємства
2.3.2 Аналіз проблем та шляхи
покращання імпортної діяльності підприємства
ВИСНОВКИ ТА РЕКОМЕНДАЦІЇ
СПИСОК ПОСИЛАНЬ
ДОДАТКИ
ВСТУП
Актуальність теми дипломного
дослідження полягає в необхідності оцінки поточного стану та розробки
перспективної стратегії діяльності металургійних підприємств України в умовах
вступу України в Світову організацію торгівлі та зняття протекціоністських
бар’єрів проти експорту українського метала в країни світу.
Об’єктом дипломного дослідження було
підприємство ВАТ «Інтерпайп Нижньодніпровський металургійний завод»
(м.Дніпропетровськ).
Предметом дипломного дослідження
була зовнішньоекономічна діяльність металургійного підприємства ВАТ «Інтерпайп
Нижньодніпровський металургійний завод».
Метою дипломного дослідження була
розробка пропозицій по покращанню ефективності зовнішньоекономічної діяльності
металургійного підприємства ВАТ «Інтерпайп Нижньодніпровський металургійний
завод».
Основними завданнями дипломного дослідження
були:
проведення теоретичного аналізу
сутності та законодавчого поля регулювання зовнішньоекономічної діяльності
підприємств в Україні;
виконання аналізу
зовнішньоекономічної діяльності підприємства ВАТ «Інтерпайп НТЗ» у 2003 -2007
роках та економічної діагностики впливу ЗЕД на показники діяльності та
фінансовий стан підприємства;
ідентифікація основних проблем в ЗЕД
підприємства ВАТ «Інтерпайп НТЗ» та розробка пропозицій по покращанню
ефективності його ЗЕД.
Інформаційними джерелами дипломного
дослідження були матеріали щорічних фінансово-економічних звітів ВАТ «Інтерпайп
НТЗ» за 2003 -2007 роки та інформація офіційного Інтернет-сайтів Державної
комісії з цінних паперів та фондового ринку України та Державного комітету
статистики України.
Практична цінність отриманих
результатів роботи полягає в проведенні послідовного аналізу діяльності і змін
в фінансовому стані ВАТ «Інтерпайп НТЗ» та наданні пропозицій по покращанню
зовнішньоекономічної діяльності за рахунок вільного виходу в умовах СОТ на ринки
Європи та США з новою експортною продукцією - виробами з прецензійно-чистого
металу нового електросталеплавильного цеху підприємства, працюючого виключно на
чугунносталевій сировині металургійних заводів України, що знизить імпортну
залежність від продукції російських металургійних заводів.
1.
ТЕОРЕТИЧНИЙ РОЗДІЛ
1.1
Сутність та законодавче поле зовнішньоекономічної діяльності (ЗЕД) підприємств
в України
Для сучасного періоду міжнародного
економічного розвитку характерне широке залучення країн у міжнародні
взаємозв'язки. Це пов'язане з тим, що масштаби сучасного виробництва переросли
національні рамки. У міжнародних масштабах переміщуються не лише товари, а й
фактори виробництва, насамперед капітал та робоча сила. Охопленою сферою стала
не лише сфера обігу, а й сфера виробництва. Для нормального підтримання і
розвитку національного виробництва стає необхідним взаємодія з іншими країнами,
участь у міжнародному поділі праці та обміні. Посилюється інтернаціоналізація
виробництва й усього господарського життя, що стало основою формування
світового господарства [97].
Сьогодні в Україні
суб'єкти господарювання мають можливість активно брати участь в міжнародному економічному
співробітництві.
Нормами Закону Україні
від 16.04.91 № 959-ХІІ “Про зовнішньоекономічну діяльність” [4] (далі - Закон
№959) визначено, що зовнішньоекономічна діяльність - це
діяльність суб'єктів господарської діяльності України та іноземних суб'єктів
господарської діяльності, побудована
на взаємовідносинах між ними, що має
місце як на території України, так і за її межами.
До головних видів
зовнішньоекономічної діяльності належать 16 основних видів, наведених на
рис.1.1.
Майже усі види ЗЕД відображені в
експорті та імпорті товарів і послуг.
Міжнародне економічне
співробітництво є одним із головних факторів розвитку економіки кожної країни .
Рисунок 1.1 - Головні види
зовнішньоекономічної діяльності [4]
Незважаючи на всю переконливість
аргументів на користь вільної торгівлі, у дійсності на цьому шляху існує велика
кількість державних регулюючих бар'єрів [1] , [3]:
- Мито. Мито є акцизним податком на
імпортні товари; воно може вводитися з метою одержання доходів чи для захисту
внутрішнього ринку. Фіскальні мита, як правило, застосовуються у відношенні
виробів, що не виробляються усередині країни. Ставки фіскального мита в
основному невеликі, їхньою метою є забезпечення бюджету податковими
надходженнями. Протекціоністські мита призначені для захисту місцевих
виробників від іноземної конкуренції. Хоча протекціоністські мита, як правило,
недостатньо високі для припинення імпорту іноземних товарів, вони все-таки
ставлять іноземного виробника в невигідне конкурентне положення при торгівлі на
внутрішньому ринку.
- Імпортні квоти. За допомогою
імпортних квот встановлюються максимальні обсяги товарів, що можуть бути
імпортовані за якийсь період часу. Часто імпортні квоти виступають більш
ефективним засобом стримування міжнародної торгівлі, ніж мита. Незважаючи на
високі мита, визначений товар може імпортуватися у відносно великих кількостях.
Низькі ж імпортні квоти цілком забороняють імпорт товару понад визначену
кількість.
- Нетарифні бар'єри. Під нетарифними
бар'єрами розуміється система ліцензування, створення невиправданих стандартів
якості продукції і його безпеки чи просто бюрократичні заборони в митних
процедурах. Так, Японія і європейські країни жадають від імпортерів одержання
ліцензій. Обмежуючи випуск ліцензій, можна ефективно обмежувати імпорт. Саме
так зробила Великобританія, заборонивши імпорт вугілля.
- Добровільні експортні обмеження.
Вони є дещо новою формою торгових бар'єрів. Так, японські автомобілебудівники
під погрозою введення Сполученими Штатами більш високих тарифів чи низьких
імпортних квот погодилися на введення добровільних експортних обмежень на свій
експорт у США.
Обкладення митом товарів та інших
предметів, що переміщуються через митний кордон України, здійснюється
відповідно до Закону України "Про Митний тариф України" [3], який
встановлює систематизований звід ставок мита, яким обкладаються товари та інші
предмети, що ввозяться на митну територію України або вивозяться за межі цієї
території.
Митний тариф України базується на
міжнародно-визнаних нормах і розвивається у напрямі максимальної відповідності
до загальноприйнятих у міжнародній практиці принципів і правил митної справи.
Ставки Митного тарифу України є
єдиними для всіх суб'єктів зовнішньоекономічної діяльності незалежно від форм
власності, організації господарської діяльності та територіального
розташування, за винятком випадків, передбачених законами України та її
міжнародними договорами.
Мито, що стягується митницею, являє
собою податок на товари та інші предмети, які переміщуються через митний кордон
України.
В Україні застосовуються такі види
мита:
- адвалерне, що нараховується у відсотках
до митної вартості товарів та інших предметів, які обкладаються митом;
- специфічне, що нараховується у
встановленому грошовому розмірі на одиницю товарів та інших предметів, які
обкладаються митом;
- комбіноване, що поєднує обидва ці
види митного обкладення.
Встановлення пільг та зміна ставок
мита, в тому числі на предмети особистого користування, здійснюються Верховною
Радою України за поданням Кабінету Міністрів України.
Ввізне (імпортне) мито -
нараховується на товари та інші предмети при їх ввезенні на митну територію
України.
Вивізне (експортне) мито -
нараховується на товари та інші предмети при їх вивезенні за межі митної
території України.
Сезонне мито - на окремі товари та
інші предмети може встановлюватися сезонне ввізне і вивізне мито на строк не
більше чотирьох місяців з моменту їх встановлення.
Особливі види мита - з метою захисту
економічних інтересів України, українських виробників та у випадках,
передбачених законами України, у разі ввезення на митну територію України і
вивезення за межі цієї території товарів незалежно від інших видів мита можуть
застосовуватися особливі види мита:
- спеціальне мито; - антидемпінгове
мито; - компенсаційне мито.
Нарахування мита на товари та інші
предмети, що підлягають митному обкладенню, провадиться на базі їх митної
вартості, тобто ціни, яка фактично сплачена або підлягає сплаті за них на
момент перетину митного кордону України. При визначенні митної вартості до неї
включаються ціна товару, зазначена в рахунку-фактурі, а також такі фактичні
витрати, якщо їх не включено до рахунку-фактури:
- на транспортування, навантаження,
розвантаження, перевантаження та страхування до пункту перетину митного кордону
України;
- комісійні та брокерські;
- плата за використання об'єктів
інтелектуальної власності, що належить до даних товарів та інших предметів і
яка повинна бути оплачена імпортером (експортером) прямо чи побічно як умова їх
ввезення (вивезення).
Основні методи митного нетарифного
регулювання зовнішньоекономічної діяльності :
1) Ліцензування і квотування
експорту та імпорту запроваджуються в Україні самостійно в особі її державних
органів у таких випадках [1]:
- в разі різкого погіршення
розрахункового балансу України, якщо негативне сальдо його перевищує на
відповідну дату 25 процентів від загальної суми валютних вимог України;
- в разі досягнення встановленого
Верховною Радою України рівня зовнішньої заборгованості;
- в разі значного порушення
рівноваги по певних товарах на внутрішньому ринку України, особливо по
сільськогосподарській продукції, продуктах рибальства, продукції харчової
промисловості та промислових товарах народного споживання першої потреби;
- при необхідності забезпечити певні
пропорції між імпортною та вітчизняною сировиною у виробництві;
- при необхідності здійснення
заходів у відповідь на дискримінаційні дії інших держав;
- в разі порушення суб'єктом
зовнішньоекономічної діяльності правових норм цієї діяльності, встановлених цим
Законом (запроваджується як санкція режим ліцензування);
- відповідно до міжнародних товарних
угод, які укладає або до яких приєднується Україна (запроваджується режим
квотування).
2) Квотування здійснюється шляхом
встановлення режиму видачі індивідуальних ліцензій , причому загальний обсяг
експорту (імпорту) за цими ліцензіями не повинен перевищувати обсягу встановленої
квоти. В Україні запроваджуються такі види експортних (імпортних) квот
(контингентів):
- глобальні; - групові; -
індивідуальні; - антидемпінгові;
- компенсаційні; - спеціальні.
По кожному виду товару може
встановлюватись лише один вид квоти.
3) Ліцензії. В Україні
запроваджуються такі види експортних (імпортних) ліцензій:
- генеральна; - разова
(індивідуальна); - відкрита (індивідуальна);
- антидемпінгова (індивідуальна); -
компенсаційна (індивідуальна);
- спеціальна (індивідуальна).
По кожному виду товару
встановлюється лише один вид ліцензії.
4) Митні пільги.
7) Заборона окремих видів експорту
та імпорту
8) Встановлення державної монополії
на деякі види експорту-імпорту
товарів.
9) Заходи у відповідь на
дискримінаційні та/або недружні дії інших держав, митних союзів або економічних
угруповань.
10) Обмеження реекспорту. 11)
Спеціальні економічні зони
1.2
Основні види зовнішньоекономічних операцій підприємств
Основні види зовнішньоекономічної
діяльності виробничих підприємств зосереджені на [76]:
експортних операціях;
імпортних операціях;
- операціях з
давальницькою сировиною;
- бартерних контрактах;
- контрактах комісії
(консигнація);
- міжнародних лізингових
операціях.
1. Експортні операції
Експорт товарів - це
продаж товарів іноземним суб'єктам господарської діяльності (в тому числі з
оплатою не в грошовій формі) з вивозом або без вивозу цих товарів через митний кордон України, включаючи реекспорт.
Реекспорт товарів
означає продаж нерезидентам і вивіз за межі України товарів, які були раніше
імпортовані експортером на її територію.
Експорт капіталу - це
вивіз капіталу в якій-небудь формі: у вигляді валютних коштів, продукції, послуг, прав інтелектуальної власності і інших
немайнових прав.
Метою експортних
операцій є отримання прибутку від виробничої та інших форм
господарської діяльності.
Розділення поняття “експорт” в залежності від об'єкта експортної операції
покладено в основу обліку таких операцій.
Експорт товарів (робіт,
послуг) - це елемент зовнішньоекономічної діяльності, яка повинна супроводитися оформленням контракту.
І в залежності від предмета контракту, його мети, умов постачання, платежу і
інших істотних умов бухгалтер визначає, в якій сумі і в який момент потрібно відображати прибуток від експортної операції в бухгалтерському і податковому
обліку.
Особливості
бухгалтерського обліку експортних операцій по критеріям визнання прибутку встановлені Стандартами бухгалтерського
обліку П(С)БУ- 15. При цьому для товарів і продукції вони одні, а для послуг, робіт - інші. Але згідно із загальним
правилом прибуток признається при збільшенні активу або зменшення зобов'язання, яке приводить до
збільшення власного капіталу, при
умові, що оцінка прибутку може бути
достовірно визначена.
Збільшення активу при експортній операції передбачає виникнення дебіторської заборгованості іноземного партнера і
одночасне суми прибутку повинно узгоджуватися з умовами постачання, відображеними в контракті: чи те в момент
відвантаження товару зі складу, чи то
в момент його передачі транспортній організації або передачі товару (робіт,
послуг) за межами митного кордону
України і т.п. Відповідно до норм П(С)БУ
15 в наказі про облікову політику підприємства необхідно заздалегідь
передбачити, коли результат експортної операції відповідає критеріям визнання прибутку.
Тобто продавець
самостійно визначає, на якому етапі операція експорту буде надійно відповідати
критеріям визнання прибутку: в момент переходу прав власності
на товар або на результати виконаних робіт,
послуг або ж в момент оформлення митного (транспортного) документа.
При розв'язанні цього питання
потрібно пам'ятати, що в бухгалтерському обліку не признаються прибутком:
- суми попередньої
оплати (авансів) вартості продукції, товарів, робіт
і послуг;
- суми надходжень за договорами комісії і іншими
аналогічним договорами на користь комітента.
Вплив норм Закону про
ПДВ [11]:
а) Операції по продажу
товарів, які були вивезені (експортовані) платником податку за межі митної
території України, обкладаються ПДВ по
нульовій ставці (пп.6.2.1 Закону про ПДВ [11]).
Згідно з нормами цього
Закону товари вважаються вивезеними (експортованими) за межі митної території
України у випадку, якщо їх вивіз
(експортування) засвідчений належним чином оформленою митною вантажною
декларацією.
Факт експорту повинен бути підтверджений правильно оформленої
ВМД - тільки в цьому випадку можна
скористатися нульовою ставкою, і тільки тоді це буде називатися експортом в
розумінні Закону про ПДВ, згідно з яким у разі виконання норм статті 8 Закону
про ПДВ можна спробувати отримати
експортне відшкодування податкового кредиту. Закон про ПДВ не ставить в
залежність наявність нульової ставки і право на експортне відшкодування від
дати надходження оплати або від вигляду валюти, що поступила.
У Законі про ПДВ
відсутнє поняття “експорт без вивозу”. Отже, якщо
продукція, товари відвантажені іноземному суб'єкту господарської діяльності на
території України і фактичний вивіз (ВМД)
буде оформлятися ним самим як експортером, то продавець - платник ПДВ не буде
мати права на нульову ставку і експортне відшкодування.
Експортною в тлумаченні
Закону про ПДВ не можна назвати і таку
операцію, яка згідно з контрактом з нерезидентом почнеться з попередньої оплати. Адже податкові зобов'язання
(навіть по ставці 0 %) в цьому випадку не виникають (пп.7.3.8 Закону про
прибуток [10]).
Суми отриманих авансів в рахунок подальшого
відвантаження не відбиваються в декларації по ПДВ. Цей нюанс торкається тільки
експорту товарів.
б) Операції по експорту робіт, послуг також обкладаються по ставці 0 %. Але умова застосування такої ставки декілька
інше (хоч суть та ж): не належне
оформлення ВМД (вона в таких випадках
не оформляється), а використання і споживання результатів таких робіт (послуг) за межами митної території
України (пп.6.2.2 Закону про ПДВ). Податкові зобов'язання виникають на дату
події, яка відбувається першим: або на
дату зарахування коштів від покупця,
або на дату оформлення документа, що засвідчує
факт виконання робіт (послуг).
в) Експортне
відшкодування ПДВ [11].
Порядок експортного
відшкодування податку на додану вартість визначений в статті 8 Закону про ПДВ.
Платник податків, який здійснює експортні операції в розумінні
Закону про ПДВ і представляє
розрахунок експортного відшкодування за результатами податкового місяця, має
право на отримання суми відшкодування протягом 30 календарних днів від дня надання такого розрахунку (п.8.1 Закону про
ПДВ).
Для отримання
експортного відшкодування у встановлені
терміни платник податків повинен представити
в ДПІ:
податкову декларацію
разом з розрахунком експортного відшкодування, а також
митну декларацію,
підтверджуючу факт вивозу (експорту), мула акт (документ, підтверджуючий
передачу права власності на результати робіт,
послуг, призначеного для використання за межами України;
копії платіжних
доручень, завірених банком, про
перерахування грошових коштів на користь постачальника
за придбані товари, роботи, послуги,
-
при реекспорті - вантажну митну
декларацію, підтверджуючу факт імпорту експортером товарів для їх вільного
використання на території України.
2. Імпортні операції.
Імпорт товарів - це покупка (в тому числі з оплатою не в
грошовій формі) у іноземних суб'єктів
господарської діяльності товарів з ввезенням або без ввезення цих товарів на
територію України, включаючи покупку товарів для особистого споживання
установами і організаціями України, розташованими за її межами.
Імпорт капіталу - це
ввезення із-за меж України капіталу в будь-якій формі, в тому числі у вигляді
валютних коштів, продукції, послуг, робіт, прав інтелектуальної власності і
інших немайнових прав.
Мета імпортних операцій
- отримання прибутку від виробничої і
інших форм господарської діяльності.
Імпорт як елемент
зовнішньоекономічної діяльності повинен
супроводитися висновком контракту. При відображенні імпортних операцій в обліку
бухгалтеру необхідно вивчити істотні умови договору; визначити момент переходу
прав власності на товари, що імпортуються, результати робіт, послуг; при
формуванні ціни врахувати вимоги стандартів бухгалтерського обліку П(С)БУ. Крім
того, потрібно ознайомитися з нормами податкового законодавства, що стосуються операцій імпорту, і правильно їх
застосувати.
Особливості
бухгалтерського обліку при імпорті
товарів, основних коштів, послуг, робіт - імпортеру доводиться не тільки сплатити їх вартість постачальнику (підрядчику), але і здійснити інші платежі: митні
збори, мито, послуги декларантів,
транспортні витрати, послуги зберігання, експертизу якості і пр.
Для того щоб зрозуміти, куди відносити вказані витрати в бухгалтерському обліку, потрібно звернутися до норм П(С)БУ 7, 8 , 9.
У первинну вартість
імпортованих запасів включаються:
- суми, сплачені постачальникам;
- суми ввізного мита;
- суми посередніх
податків, які не відшкодовуються підприємству;
- транспортно-заготовчі витрати;
- інші витрати,
безпосередньо пов'язані з придбанням запасів і доведенням їх до стану, в якому вони придатні для
використання в запланованих цілях (п.9 П(З)БУ
9).
У первинну вартість
імпортованих основних коштів включаються:
- суми, сплачені постачальникам (підрядчикам);
- реєстраційні збори і
аналогічні платежі, здійснювані в зв'язку з придбанням
прав на отриманий об'єкт;
- суми ввізного мита;
- витрати на установку, монтаж, наладку;
- інші витрати,
безпосередньо пов'язані доведенням
основних коштів до стану, в якому вони придатні для
використання в запланованих цілях (п.8 П(З)БУ
7).
До вартості товару,
розрахованої таким чином, потрібно додати витрати (якщо вони були понесені)
відповідно до норм вищезгаданих
стандартів і, крім того, врахувати
умови постачання, вказані в контракті відповідно до правил ИНКОТЕРМС [19].
У випадку коли першим
елементом імпортної операції є
перерахування авансу постачальнику,
первинна вартість імпортованих пізніше товарів буде визначатися по курсу НБУ не
на дату їх митного декларування, а на дату сплати
авансу (п.6 П(З)БУ 21). Тобто
незважаючи на те, що в ВМД вказаний
валютний курс, відмінний від курсу,
який діяв на момент сплати авансу,
вартість товару, робіт, послуг у
іноземній валюті необхідно перераховувати в гривні по валютному курсу на момент
сплати авансу плюс понесені витрати і
в бухгалтерському обліку відображати отриману таким шляхом первинну вартість.
Митні платежі і сума
“імпортного” ПДВ будуть сплачуватися виходячи з митної вартості товарів,
розрахованої по валютному курсу на день декларування.
Офшорні особливості. Податковий облік імпорту товарів, робіт, послуг має свій нюанс якщо оплата призначається користю
нерезидентів, розташованих в офшорних
зонах, або здійснюється через них або поступає на їх банківські рахунки.
Особливість в тому, що в таких випадках на валові витрати можна відносити
тільки 85% оплаченої грошовими коштами або в іншій формі вартості цих товарів, робіт, послуг (п.18.3 Закону [10]). Тобто, якщо
товар (роботи, послуги) отриманий, але
не оплачений, у імпортера немає права включати його вартість у валові витрати. І тільки в момент оплати
85% сплаченої суми можна віднести на валові витрати.
Податок на додану
вартість - товари, що імпортуються, роботи
і послуги є об'єктом обкладення ПДВ (пп.3.1.2 Закону про ПДВ [8]).
При імпорті товарів податкові зобов'язання виникають на дату
оформлення митної декларації, а право на податковий кредит - на дату сплати податку згідно з податковими
зобов'язаннями (пп7.3.6 і 7.5.2 Закону про ПДВ [11]).
При імпорті робіт, послуг
податкові зобов'язання виникають або на дату перерахування грошових коштів постачальнику (підрядчику), або на дату
оформлення документа, що засвідчує
факт виконання нерезидентом робіт,
послуг. Право ж на податковий кредит виникає, як і у разі імпортування товарів,
на дату погашення податкових зобов'язань.
Особливість укладається і в тому, що виникнення
податкових зобов'язань при імпорті
товарів, обумовлене Законом про ПДВ, не означає відображення їх в формі
податкової декларації по ПДВ. Суми податку можуть бути нараховані в
бухгалтерському обліку, а можуть існувати віртуально, ніде не відображені. Але при імпорті робіт, послуг
податкові зобов'язання повинні бути відображені в рядку 7 декларації по ПДВ.
Суми податкового кредиту відбиваються і в тому і в іншому випадку в податковій
декларації в розділі “Податковий кредит”.
Законом №959 [4] передбачено здійснення імпорту без ввезення. Закон про ПДВ
[11] не акцентує увагу на таких операціях, не оговорює порядок їх оподаткування. Отже, якщо українським підприємством придбаний товар за межами України і без
ввезення на її митну територію проданий в країні придбання або в іншій країні, то відповідно до норм Закону про ПДВ
об'єкт оподаткування відсутній. Немає
ввезення, немає і об'єкта. Хоч це і
називається імпортом.
При ввезенні товарів на митну територію України платники ПДВ можуть з
власного бажання видавати митним органам податковий вексель на суму податкового
зобов'язання - замість сплати суми
податку грошовими коштами в момент декларування вантажу (це правило не розповсюджується на ввезення підакцизних
товарів (за винятком тютюнової сировини) і товарів позицій 1-24 Гармонізованої
системи опису і кодування товарів, а також на товари, що увозяться підприємствами з іноземними інвестиціями).
Таким чином, термін сплати “імпортного” ПДВ відсувається на 30
календарних днів, включаючи дату
видачі векселя. По деяких товарах для окремих видів діяльності, що мають
сезонний характер або здійснюваних з
використанням довгострокових договорів, вексель може видаватися і на більш
тривалий термін. Перелік таких товарів
у казан в Постанові №1730.
Видача податкового
векселя здійснюється під час
проведення митного оформлення увезених
товарів. Податковий вексель не підлягає індосаменту. Він є податковим звітним
документом і повинен зберігатися, як і
первинні бухгалтерські документи. Механізм його видачі і погашення визначений Постановою №1104. Порядок оподаткування
імпортованих товарів при видачі
податкового векселя встановлений
пунктом 11.5 Закону про ПДВ [11].
Вексель може гаситися як в термін, проставлений на його бланку, так і достроково. Сума ПДВ, вказана
в податковому векселі, перераховується не на рахунок
митниці, а до бюджету на рахунки Держказначейства. Після сплати суми векселя
він вважається погашеним, про що
працівники податкової інспекції роблять відмітку на його зворотній стороні.
Дострокове погашення
суми векселя може здійснюватися шляхом
перерахування грошових коштів до бюджету або шляхом заліку вексельної суми в рахунок експортного відшкодування, яке
належить платнику податків з бюджету
на момент отримання податковою інспекцією векселя по імпортованих товарах.
Податкові векселі без
забезпечення їх авалем банку приймаються митницею тільки від підприємств, які отримали статус імпортера (підтверджений
довідкою ДПІ). Всі інші підприємства, бажаючі видати податковий вексель, повинні надавати
векселі, авальовані банком.
1.3
Вплив вступу України до Світової організації торгівлі (СОТ) на ЗЕД підприємств
в Україні
Світова організація
торгівлі (СОТ) - це міжнародна економічна організація, членами якої вже нині є
148 країн, частка яких в обсягах світової торгівлі становить близько 95%. Після
приєднання низки країн, які нині є кандидатами на вступ, СОТ здійснюватиме
майже весь світовий торговельний оборот товарів та послуг [100].
За останні роки значно
розширилася сфера діяльності СОТ, яка нині далеко виходить за межі власне
торговельних операцій. Вона є потужною і впливовою міжнародною структурою,
здатною виконувати функції міжнародного економічного регулювання. Членство у
СОТ стало практично обов'язковою умовою для будь-якої країни, що прагне інтегруватися
у світове господарство.
Процес вступу України
до СОТ розпочато ще у 1993 р. Нині він фактично досяг своєї завершальної фази
і, як будь-який складний економічний процес, має свої плюси і мінуси.
Процеси створення,
становлення і розширення СОТ не були простими та однозначними. За останні 30
років кількість основних правил організації надзвичайно зросла, проте основою є
принцип двосторонніх угод між членами з метою взаємного відкриття їх ринків.
Члени СОТ, формулюючи вимоги до країн-претендентів стосовно доступу до їх
ринків, відстоюють інтереси власних компаній, захищаючи власне виробництво та
робочі місця, тому переговорний процес складний і, як правило, тривалий.
Упродовж 2004-2007 років Указами Президента, постановами Верховної Ради,
розпорядженнями Уряду України було створено належну законодавчу базу інтеграції
до СОТ.
Приєднання до СОТ має
для України стратегічне значення з точки зору двох важливих факторів: це умова
для подальшої поступової, інтеграції України у європейські та світові процеси і
структури, і системного реформування національної економіки згідно з принципами
лібералізації та відкритості ринку. Крім того, інтеграції до СОТ - це ознака
сталого розвитку країни - економічного, політичного, соціального.
З огляду на це, вступ
до СОТ становить низку невирішених проблем, які досі гальмують розвиток
економіки країни: необхідність ефективної реструктуризації промисловості і
сільського господарства, підвищення стандартів виробництва та управління,
налагодження нових ефективних механізмів захисту інтересів вітчизняного
виробника. А це процес довгостроковий.
Хоча Україна практично
у 2008 році вступила до СОТ, проте й досі тривають дебати навколо доцільності
членства у цій організації. Перебуваючи поза межами СОТ, Україна зазнавала
дискримінаційного тиску внаслідок антидемпінгових розслідувань, введення квот
на експорт низки вітчизняних товарів, у питаннях захисту інтелектуальної
власності тощо. Наша держава була позбавлена можливості брати участь у
міжнародних переговорах про вдосконалення світового торговельного середовища.
Відсутність членства в СОТ створювала певні проблеми у євроінтеграційних
процесах України, а розширення Європейського Союзу загострювала проблеми
адекватного використання власного зовнішньоторговельного потенціалу.
Набуття членства в СОТ
не повинно викликати побоювання у суспільстві, адже ми йдемо дорогою, яку
торували 148 країн світу, причому далеко не всі вони за своїм потенціалом
перевищують Україну. Відгородившись від СОТ, не захистиш вітчизняний ринок від
іноземної продукції, від зростання конкуренції. Вступ до СОТ - це, насамперед,
приєднання до загальноприйнятих правил цивілізованого ринку, які мають значні
переваги. Інакше кажучи, вступ до СОТ необхідно сприймати в цілому як стимул до
національного розвитку України, який сприятиме розгортанню адекватних
адаптаційних програм та механізмів, інформаційних кампаній, тренінгів та інших
комунікативних заходів.
Вступ України до СОТ
означатиме подальшу лібералізацію зовнішньої торгівлі, що матиме як позитивні,
так і можливі негативні наслідки для економіки України. Набуття Україною
членства в СОТ сприятиме зростанню реального національного валового
внутрішнього продукту, збільшенню експорту української продукції, що буде
пов'язано насамперед із зменшенням втрат від антидемпінгових розслідувань та
послабленням тарифних бар'єрів для експорту вітчизняної продукції на зовнішні
ринки, збільшенню надходжень іноземної валюти та передбачає стабільніший курс
гривні до світових валют.
Зі вступом України до
СОТ буде скасовано більшість пільг на сплату ввізного мита, що надаються
суб'єктам зовнішньоекономічної діяльності. Це призведе до суттєвого збільшення
частки оподаткованого імпорту в загальному обсязі імпорту (на початок 2007 року
питома вага оподаткованого імпорту в загальному обсязі імпорту становила
близько 25 %). Очікується, що втрати від зниження митних тарифів будуть
компенсовані завдяки збільшенню оподаткованого імпорту.
Отже, нині можна
припустити, що за умови прийняття виважених рішень та скорочення податкових
пільг, факторів, що загрожуватимуть збереженню бюджетної збалансованості не
виявлено, а навпаки, вступ України до СОТ позитивно вплине на Державний бюджет,
економіку України в цілому та окремі її галузі. Основні наслідки вступу України
до СОТ:
1. Інтеграція до
міжнародної ринкової економіки, створення правових засад для стабільного і
передбачуваного ведення бізнесу та міжнародної торгівлі.
2. Прогнозується
збільшення надходжень прямих іноземних інвестицій уже упродовж першого-другого
років після вступу до СОТ в 1,5-2 рази з наступним їх збереженням в обсягах
більших, ніж до набуття членства у СОТ.
3. Українські
виробники отримають спрощення умов доступу до ринків 148 країн-членів Світової
організації торгівлі. Можна очікувати збільшення експорту продукції в обсязі 1
млрд дол. США, а при сприятливих умовах до 1,5 млрд дол. США.
4. Промислові
підприємства зможуть застосувати при вирішенні торговельних спорів механізм їх
урегулювання, передбачений нормами СОТ, що дасть можливість суттєво посилити їх
позиції в антидемпінгових та спеціальних розслідуваннях, а також запобігти
застосуванню проти себе інших обмежувальних та дискримінаційних заходів.
5. Пожвавлення
торговельно-економічних зв'язків не тільки з країнами Західної та Центральної
Європи, а й з країнами Східної Європи та Балтії, більшість з яких 1 травня 2004
року набули повноправного членства в ЄС, має запобігти витісненню з ринку ЄС
української продукції аналогічною продукцією країн Центральної та Східної
Європи.
6. Збільшаться
надходження до Державного бюджету завдяки скасуванню пільг, кількісному
збільшенню бази для справляння митних платежів, зростанню обсягів виробництва
та активізації торговельного обороту (загальний позитивний вплив на доходи
бюджету може сягнути 3-4 млрд грн).
7. Ширший вибір
товарів і послуг. Завдяки збільшенню потоків іноземних товарів, послуг та
інвестицій на український ринок, виробник матиме доступ до дешевших
комплектувальних, устаткування і сировини, а споживач - ширший вибір товарів,
послуг і цін. Це створює умови для підвищення якості та конкурентоздатності
вітчизняної продукції.
Отже, вступ до СОТ
потрібний, щоб мати можливість користуватися перевагами багатосторонньої
торговельної системи. Ставши членом СОТ, Україна зможе презентувати себе на
світовій арені як надійний торговий партнер і привабливий об'єкт для інвестицій
та відстоювати власні інтереси. Але треба чітко усвідомлювати, що СОТ - лише
інструмент, результати застосування якого залежатимуть від багатьох факторів,
зокрема від проведення ефективного технологічного переозброєння та вдосконалення
процесів управління підприємствами самими національними компаніями незалежно
від термінів та умов вступу України до СОТ.
13 листопада 2007 року
Україна підписала останній 148 двосторонній протокол з Киргизстаном про вступ
до СОТ і у 1 кварталі 2008 року одержала членство в цій організації.
Розглядаючи негативні
наслідки вступу України до СОТ, можна виділити наступні:
1. Українська
промисловість не захищена від впливу дешевої конкурентної продукції з зовні. Це
призведе до того, що доведеться перепрофілювати українські промислові
підприємства.
2. Дуже серйозним
моментом є і накладення деяких обмежень на проведення економічної політики.
Угоди СОТ прямо забороняють країні використання певних інструментів, що звужує
можливості одних механізмів, але разом з тим примушує шукати певні
компенсаційні механізми.
3. Подальша
лібералізація торгівлі поступово підсилить вплив світової кон'юнктури на
економіку України, зумовить підвищення економічних ризиків в періоди глобальної
економічної нестабільності. Ці ризики можуть неадекватно компенсуватися
позитивним впливом світової кон'юнктури в періоди її сприятливого розвитку, -
враховуючи те, що лібералізація і включення в глобальні процеси автоматично не
приводять до виправлення структурних недоліків менш розвинених країн [100].
4. Цілком можливі тимчасові
ускладнення у сфері державного регулювання економічного розвитку, викликані
необхідністю переходу на нові, міжнародно-узгоджені умови державного
регулювання економіки і відмови від використовування традиційних важелів економічної,
і перш за все вертикальної промислової політики, а саме: можливості
застосовувати пільги до оподаткування, мита і інших платежів, списувати
заборгованість підприємств перед державою, використовувати державні закупівлі
як інструмент стимулювання вітчизняного виробництва, контролювати і регулювати
фінансові потоки, висувати до іноземних інвесторів вимоги з приводу джерел
придбання ними комплектуючих (вимога місцевого компоненту виробництва) і
напрямів збуту товарів.
Зарубіжні експерти вважають, що Україні
властиві гіпертрофовані очікування негативних наслідків вступу у СОТ. Так,
керівництво проекту USAІD з питань інтеграції у СОТ відзначає, що принцип СОТ -
це не ліквідація митних бар'єрів взагалі, а встановлення граничне допустимих
ставок ввезення товарів. При цьому можливі виключення як для окремих товарних
груп, так і для окремих підприємств. У першому випадку мита можуть бути
тимчасово збільшені, якщо імпортний товар став різко домінувати на ринку, а
також, якщо місцевий виробник може довести, що імпорт завдав йому істотного
збитку. Що стосується бюджетного субсидування, то відносно промислових
товаровиробників вони заборонені тільки у разі доказу якою-небудь
країною-учасницею СОТ факту утиску її представників по аналогічному виду
бізнесу або товару.
Зважаючи на наведені
аргументи можна з впевненістю сказати, що при вступі до СОТ Україна отримає
набагато більше позитивних наслідків ніж негативних. Але ці негативні наслідки
можуть призвести до занепаду вітчизняного виробництва, чого не можна допустити.
Тому необхідно, щоб держава проаналізувала наслідки по кожному сектору
економіки окремо і прийняла усі можливі міри для захисту національних
виробників [100].
Аналізуючи усі за та
проти можемо зробити висновок, що вступ України до СОТ, в цілому, є стимулюючим
чинником для економіки та суспільства України, особливо для харчової та легкої
промисловостей, телекомунікації, туристичних послуг, фондових ринків,
трубопровідного транспорту, страхування, поштового зв’язку, банківських послуг.
Але також існує висока вірогідність переважання негативних наслідків для:
автомобілебудування, вугледобувної промисловості, радіоелектронної
промисловості, сільськогосподарського машинобудування, сільського господарства.
Баланс позитивних та
негативних наслідків залежить, у першу чергу, від готовності виробників
працювати в умовах міжнародної конкуренції, а саме, від рівня їх ефективності
та конкурентоспроможності, який вони повинні підвищувати ще до вступу у СОТ.
Головними позитивними
наслідками вступу України до СОТ для металургійного комплексу Україну будуть:
- можливість скасування
квот на експорт української продукції металургії до ЄС. 17,5% обсягів
українського товарного експорту до ЄС складає металургійна продукція, що
підпадає під жорсткі нетарифні обмеження, зокрема квоти. За попередньою
оцінкою, тільки завдяки усуненню кількісних обмежень (квот), які у рамках СОТ є
забороненими, є можливість збільшити обсяги експорту зазначеної продукції до
країн ЄС на суму близько 70-90 млн. дол. США. Подальша лібералізація тарифних обмежень
на експорт продукції чорної металургії до країн ЄС внаслідок вступу України до
СОТ дозволила б збільшити обсяги експорту цієї продукції принаймні на 150-180
млн. дол. США, тобто збільшити загальний обсяг експорту продукції чорної
металургії до ЄС приблизно на 30%. Питання кількісних обмежень на експорт
української металопродукції до країн ЄС набуває особливої актуальності в
контексті розширення ЄС. Адже квота на імпорт української продукції
розповсюджуватиметься і на товари, що постачатимуться до нових країн-членів.
Вступ до СОТ дозволить наполягати на скасуванні кількісних обмежень щодо
продукції походженням з України;
- можливість
застосування механізму врегулювання торговельних суперечок, передбаченого
нормами СОТ, дозволить посилити позиції українських виробників в
антидемпінгових та спеціальних розслідуваннях;
Основним можливим негативним
наслідком вступу України до СОТ для металургійної галузі України є обмеження
можливості субсидування виробництва та експорту шляхом надання податкових
пільг, списання податкової заборгованості тощо.
2.
АНАЛІТИКО - РЕКОМЕНДАЦІЙНИЙ РОЗДІЛ
2.1
Характеристика підприємства ВАТ „Інтерпайп НТЗ”
ВАТ „Інтерпайп Нижньодніпровський
трубопрокатний завод” (м. Дніпропетровськ) - є провідним підприємством України
по виробництву сталевих труб та суцільнокатаних залізничних колес.
Основним видом діяльності Товариства
є виробництво та реалізація сталі, металевих труб, суцільнокатаних коліс,
кільцевих виробів та бандажів. Основними видами продукції є:
труби сталеві безшовні гарячедеформовані;
труби обсадні та муфти до них;
труби сталеві безшовні
холоднодеформовані загального призначення, а також високої та особливо високої
точності;
труби підшипникові;
труби сталеві електрозваренні
прямошовні, водогазопровідні та профільні;
суцільнокатані залізничні колеса;
залізничні бандажі;
прямокутні та складнопрофільні
кільцеві вироби з вуглецевих та легованих марок сталі;
труби насосно-компресорні та муфти
до них.
Сталь, що виплавляється
мартенівським цехом, використовується в основному для внутрішніх потреб.
Сучасні технології й устаткування,
система контролю якості й іспитів продукції забезпечують постачання труб по
технічних вимогах споживачів, цілком відповідають вимогам національних і
міжнародних стандартів (APІ 5L, APІ 5CT, DІN, EN, ASTM, NFA).
Товариство є провідним підприємством
України за обсягом експорту сталевих труб та коліс у країни дальнього
зарубіжжя. Найбільшим попитом користуються суцільнокатані залізничні колеса та
труби нафтового сортаменту.
20 вересня 1989 року
було створене на добровільних засадах орендне підприємство
"Нижньодніпровський трубопрокатний завод імені Карла Лібкнехта".
Згідно із законодавством України договір оренди у січні 1993 року був
переоформлений з Фондом державного майна України.
28 грудня 1994 року шляхом
реорганізації орендного підприємства "Нижньодніпровський трубопрокатний
завод імені Карла Лібкнехта" було створене відкрите акціонерне товариство
"Нижньодніпровський трубопрокатний завод".
У 1995 р. запроваджений
в експлуатацію комплекс позапічної обробки сталі у складі пічковш-вакууматор.
Приватизація заводу
завершена (наказ Фонду державного майна України № 1397 від 8 грудня 1997 року
"Про завершення процесу приватизації ВАТ "Нижньодніпровський
трубопрокатний завод").
Відкрите акціонерне
товариство "Нижньодніпровський трубопрокатний завод" за рішенням
позачергових загальних зборів акціонерів Підприємства, які відбулися 9 лютого
2007 року, перейменований у ВІДКРИТЕ АКЦІОНЕРНЕ ТОВАРИСТВО "ІНТЕРПАЙП
НИЖНЬОДНІПРОВСЬКИЙ ТРУБОПРОКАТНИЙ ЗАВОД" (без зміни організаційно-правової
форми).
ВІДКРИТЕ АКЦІОНЕРНЕ
ТОВАРИСТВО "ІНТЕРПАЙП НИЖНЬОДНІП-РОВСЬКИЙ ТРУБОПРОКАТНИЙ ЗАВОД" є
повним правонаступником Відкри-того акціонерного підприємства
"Нижньодніпровський трубопрокатний завод".
Таблиця 2.1 - Основні
реєстраційні дані ВАТ “Інтерпайп НТЗ”
|
Код ЄДРПОУ:
|
05393116
|
|
Назва українською мовою:
|
ВАТ "ІНТЕРПАЙП НТЗ"
|
|
Повна назва українською мовою:
|
ВІДКРИТЕ АКЦІОНЕРНЕ ТОВАРИСТВО "ІНТЕРПАЙП
НИЖНЬОДНІПРОВСЬКИЙ ТРУБОПРОКАТНИЙ ЗАВОД"
|
|
Назва іноземною мовою:
|
ОАО "ИНТЕРПАЙП НТЗ"
|
|
Місце основної реєстрації в органах податкової
служби:
|
402СДПІ ПО РОБОТІ З ВПП У М.ДНІПРОПЕТРОВСЬК
(М.ДНІПРОПЕТРОВСЬК)
|
|
Адреса юридична:
|
49081 ДНІПРОПЕТРОВСЬК, ІНДУСТРІАЛЬНИЙ, ВУЛИЦЯ
СТОЛЄТОВА д.21
|
|
Адреса фактична:
|
49081 ДНІПРОПЕТРОВСЬК, ІНДУСТРІАЛЬНИЙ, ВУЛИЦЯ СТОЛЄТОВА
д.21
|
|
Дата основної реєстрації в ДПА:
|
20.01.1995
|
|
Номер основної реєстрації в ДПА:
|
№51
|
|
Статус:
|
перебуває на обліку
|
|
Стан платника
|
|
ОСНОВНИЙ ПЛАТНИК
|
|
Дата реєстрації в держадміністрації:
|
28.12.1994
|
|
Орган державної реєстрації:
|
(4052092)ВИКОНАВЧИЙ КОМІТЕТ ДНІПРОПЕТРОВСЬКОЇ
МІСЬКОЇ РАДИ БАБУШКІНСЬКИЙ ДНІПРОПЕТРОВСЬКА
|
|
Статутний фонд (в грн.):
|
13471250,00
|
|
Орган управління:
|
(0)Не визначено
|
|
Організаційно-правова форма:
|
(231)ВІДКРИТЕ АКЦІОНЕРНЕ ТОВАРИСТВО
|
|
Кількість співробітників:
|
8538
|
|
Тип платника податків:
|
ГОЛОВНЕ ПІДПРИЄМСТВО
|
|
Форма власності:
|
(0)НЕ ВИЗНАЧЕНО
|
|
Форма фінансування:
|
(2)ГОСПРОЗРАХУНОК
|
|
Коментар:
|
ПЕРЕРЕЄСТРОВАНО В МІСЬКВИКОНКОМІ 28.12.94Р.
N10059-АТ
|
|
Керівники:
|
|
Ідентифікаційний номер
|
ПІБ
|
посада
|
Номер телефону
|
Ознака факсу
|
Додатковий номер телефону
|
|
2400300236
|
КОРОТКОВ АНДРІЙ МИКОЛАЙОВИЧ
|
директор
|
359301
|
|
|
|
2333500261
|
СОКОЛОВА ІРИНА ВОЛОДИМИРІВНА
|
головний бухгалтер
|
359350
|
|
|
|
Види діяльності:
|
|
Код виду діяльності
|
Назва виду діяльності
|
|
12130
|
ВИРОБНИЦТВО ЧОРНИХ МЕТАЛІВ
|
|
12140
|
ВИРОБНИЦТВО ТРУБ
|
|
21210
|
МЯСНЕ ТА МОЛОЧНЕ СКОТАРСТВО
|
|
61124
|
МОНТАЖНІ РОБОТИ
|
|
71130
|
ОПТОВА ТОРГІВЛЯ НЕДЕРЖАВНИХ ОРГАНІЗАЦІЙ, КРІМ
СПОЖИВЧОЇ КООПЕРАЦІЇ
|
|
71212
|
АПТЕЧНІ ЗАКЛАДИ
|
|
95130
|
КОНСТРУКТОРСЬКІ ОРГАНІЗАЦІЇ, ВІДНЕСЕНІ ДО
ЧИСЛА НАУКОВИХ УСТАНОВ
|
|
Засновники:
|
|
Засновник
|
Код засновника-юридичної особи
|
Код засновника-фізичної особи
|
Сума внеску в статутний фонд
|
Країна
|
|
РАМЕЛТОН ХОЛДІНГС ЛІМІТЕД
|
1
|
|
3 641 029,00
|
КІПР
|
|
САЛЕКС ІНВЕСТМЕНТС ЛІМІТЕД
|
2
|
|
8 082 750,00
|
КІПР
|
|
ФОНД ДЕРЖАВНОГО МАЙНА УКРАЇНИ
|
32945
|
|
0,00
|
УКРАЇНА
|
|
ОРГАНІЗАЦІЯ ОРЕНДАРІВ НИЖНЬОДНІПРОВСЬКОГО
ТРУБОПРОКАТНОГО З
|
20240060
|
|
0,00
|
УКРАЇНА
|
|
Реєстр ПДВ:
|
|
Код реєестру ПДВ
|
Номер свідоцтва
|
Дата видачі свідоцтва
|
Ознака актуальності свідоцтва
|
Дата анулювання свідоцтва
|
|
53931104023
|
3313811
|
1.09.1999
|
анульоване
|
24.02.2007
|
|
53931104643
|
4317497
|
28.06.1997
|
анульоване
|
31.08.1999
|
|
53931104023
|
100024541
|
24.02.2007
|
|
|
|
|
|
|
|
|
|
|
|
|
Найважливішим напрямком
розвитку підприємства є менеджмент якості. Система управління якістю на заводі
сертифікована відповідно до вимог міжнародного стандарту ІSO 9001:2000,
упроваджений і вже третій рік активно діє технічний аудит з цих питань.
Постійне підвищення конкурентоспроможності продукції стало пріоритетною
задачею, незмінним додатком успіху в роботі на престижних зарубіжних ринках.
Для підвищення конкурентоспроможності
заводської трубної продукції, перш за все - нафтового сортаменту в ТПЦ-4
введений в експлуатацію найсучасніший ультразвуковий дефектоскоп
"Трускоп", виготовлений фірмою "Tuboscope" (США), який
дозволяє контролювати можливі подовжні, поперечні і похилі дефекти,
відстежувати геометричні параметри 100% труб.
Проведені заходи щодо
поліпшення товарного виду труб, також введена в практику упаковка готових до
відвантаження труб в зручні для споживача ложементи. У найближчій перспективі
здійснюватимемо інструментальний контроль на всіх стадіях виробництва
продукції, не обмежуючись тільки здавальним контролем, що значно підвищить
ступінь гарантії якості. Розроблені заходи направлені на істотне підвищення
стабільності гарячого прокату. У технологічних потоках встановлені нові, а
також добре реконструйовані засоби неруйнівного контролю.
Ведуться роботи по
упровадженню технології шведської компанії "OVAKO Steel & SKF Group
Company", яка дозволяє застосовувати замаслену окалину як наповнювача до
асфальтобетону. Значні засоби направлені на озеленення заводських виробничих
територій.
Застосування нових
методів управління заводом, розширення сортаменту продукції із застосуванням
нових технологій та модернізації устаткування, кваліфіковані кадри дозволяють
заводу займати лідируючі позиції у виробництві сталевих безшовних труб і
залізничних коліс.
Функції основних цехів
ВАТ “Інтерпайп НТЗ” :
- трубопрокатний цех № 1
(ТПЦ № 1) - виробляє труби нафтового сортаменту: стальні безшовні для
трубопроводів;
-
трубоелектрозварювальний цех (ТПЦ № 2) - виробляє електрозварювальні труби
загального призначення, водогазопровідні, профільні труби;
- трубопрокатний цех № 3
(ТПЦ № 3) - виробляє гарячекатані труби із вуглецевих марок сталі, гарячекатані
ШХ, холоднокатані з вуглецевих марок сталі, холоднокатані ШХ, холодно тягнуті
для ПЕН і ПЕД;
- трубопрокатний цех № 4
(ТПЦ № 4) - виробляє обсадні труби з муфтами, труби нафтового сортаменту;
- трубопрокатний цех № 5
(ТПЦ № 5) - виробляє труби гарячекатані та обсадні;
- колесопрокатний цех
(КПЦ) - виготовляє суцільнокатані колеса та бандажі: локомотивні, трамвайні,
для вузької колії, а також кільцеві вироби.
ВАТ “Інтерпайп НТЗ” має
власні потужності по виплавці сталі - мартенівський цех. Виплавка сталі на
підприємстві дає можливість безпосередньо контролювати її якість та бути більш
гнучкими у виборі марок сталі, які потрібні для виконання термінових замовлень
по різним видам продукції. Мартенівським цехом виплавляється сталь для
виробництва труб у трубопрокатних цехах № 1 та 4, коліс, кілець та бандажів у
колесопрокатному цеху.
Для забезпечення
діяльності основних цехів та інших структурних підрозділів функціонують допоміжні
цехи у тому числі: сталефасоноливарний, автотранспортний цех, залізничний цех.
2.2 Економічний аналіз зовнішньоекономічної діяльності
підприємства ВАТ „Інтерпайп Нижньодніпровський трубопрокатний завод” у 2003
-2007 роках
2.2.1 Аналіз структури реалізації продукції на експорт та на
внутрішній ринок
За результатами 2004 року обсяг
реалізуємої продукції склав 699 754 тони.
В загальному обсягу відгруженої
продукції 29,98 % склали труби горячедеформовані нефтепроводні и
горячедеформованого загального призначення, 27,94 % - труби обсадні, 30,92 % -
колеса, 0,94 % - бандажі та кільця.
Географія поставок продукції заводу
розподіляється по регіонах наступним чином: країни СНД - 45,52 %, Україна -
32,37 %, дальне зарубіжжя - 22,11 %.
В табл. Г.1 - Г.3 Додатку Г наведені
статистичні дані по обсягах та структурі відгрузки труб ВАТ «Інтерпайп НТЗ» по
регіонах у 2004 - 2006 роках.
У 2004 році порівняно з 2003 роком
збільшились поставки в Росію на 16,49 %, знизились поставки на внутрішній ринок
на 27,69 % та на експорт в дальнє зарубіжжя на 3,63 %.
За результатами 2005 року обсяг
реалізуємої продукції склав 749 557 тони.
В загальному обсягу відгруженої
продукції 32,43 % склали труби горячедеформовані нефтепроводні и
горячедеформованого загального призначення, 31,68 % - труби обсадні, 26,19 % -
колеса, 1,82 % - бандажі та кільця.
Географія поставок продукції заводу
розподіляється по регіонах наступним чином: країни СНД - 35,49 %, Україна -
30,26 %, дальне зарубіжжя - 34,24 %.
У 2005 році порівняно з 2004 роком
знизились поставки в Росію на 14,42 %, и на внутрішній ринок на 2,11 %,
підвищились поставки на експорт в дальнє зарубіжжя на 12,13 %.
За результатами 2006 року обсяг
реалізуємої продукції склав 801 969 тон.
В загальному обсягу відгруженої
продукції 33,05 % склали труби горячедеформовані нефтепроводні и
горячедеформованого загального призначення, 32,42 % - труби обсадні, 25,66 % -
колеса, 1,26 % - бандажі та кільця.
География поставок продукції заводу
розподіляється по регіонах наступним чином: країни СНД - 37,67 %, Україна -
30,77 %, дальне зарубіжжя - 31,56 %.
У 2006 році порівняно з 2005 роком
збільшились поставки в Росію на 0,52 %, и на внутрішній ринок на 0,52 %,
знизились поставки на експорт в дальнє зарубіжжя на 2,68 %.
Підприємством за 2007
рік реалізовано продукції в натуральному виразі 818853 тон, у тому числі:
- колеса суцільнокатані
- 211 011 тон;
- труби нафтопровідні -
278 823 тон;
- труби обсадні - 246
501 тон
Чистий дохід(виручка)
від реалізації за 2007 рік складає 4 693 794 тис. грн. у тому числі:
- колеса суцільнокатані
- 1 565 403 тис.грн.;
- труби нафтопровідні -
1 265 471 тис.грн.;
- труби обсадні - 1 431
542 тис.грн.;
Таблиця 2.2 - Виробництво продукції
ВАТ «Інтерпайп НТЗ» в вартісному та натуральному виразі в діючих цінах за 2006
та 2007 роки (тис.грн.)
|
Назва показника
|
2007
|
2006
|
Зростання (+), зниження (-) в діючих цінах
|
Зростання (+), зниження (-) в порівняних цінах
|
|
В діючих цінах
|
В порівня-них цінах
|
В діючих цінах
|
В порівня-них цінах
|
Тис. грн.
|
%
|
Тис. грн.
|
%
|
|
Обсяг виробленої продукції без ПДВ і АЗ,
тис.грн.
|
4631904
|
4153741
|
3821918
|
4148713
|
809986
|
121,2
|
5028
|
100,1
|
|
Чистий доход (виручка) від реалізації
продукції, тис.грн.
|
4688972
|
-
|
3809167
|
-
|
879805
|
123,1
|
-
|
-
|
|
Основні види продукції, що виробляється (в
натуральному виразі), тонн
|
|
Труби
|
587515
|
-
|
581214
|
-
|
6301
|
101,1
|
-
|
-
|
|
Колеса
|
212510
|
-
|
207611
|
-
|
4899
|
102,4
|
-
|
-
|
|
Бандажі, кільця та інші види прокату
|
10237
|
-
|
9305
|
-
|
932
|
110,0
|
-
|
-
|
2.2.2 Аналіз виробництва продукції та використання виробничих
потужностей
ВАТ “ІНТЕРПАЙП НТЗ” - ведуче
підприємство чорної металургії, найбільший виробник труб нафтогазового
сортаменту. Основний вид діяльності заводу - виробництво сталевих безшовних
труб, залізничних суцільнокатаних коліс та бандажів, витягнутих труб загального
призначення для котлів високого тиску та нафтопровідних електрозварювальних
труб Æ114-460 мм.
Виробничі потужності цехів по
виготовленню безшовних труб складають понад 1200 тис. тонн на рік, цехів по
виробництву нарізних труб нафтогазового сортаменту - 410 тис. тонн на рік.
Потужності підприємства по виробництву залізничних коліс дозволяють виготовляти
понад 300 тис. тонн на рік.
Виробництво продукції в вартісному
та натуральному виразі в діючих цінах за 2006 та 2007 роки наведено у наступній
таблиці 2.2.
В порівнянні з 2006 роком обсяг
реалізованої продукції в 2007 році зріс на 879 805,0 тис.грн, або на 23,1%.
Обсяг виробленої продукції збільшився на 809 986,0 тис. грн. або на 21,2%.
В 2007 році в порівнянні з 2006
роком обсяг виробництва основних видів продукції в натуральному виразі
збільшився: труб на 1,1%, коліс на 2,4%, кілець та інших видів прокату на 10%.
Таблиця 2.3 - Аналіз використання
виробничих потужностей у 2004 році в основних цехах ВАТ «Інтерпайп НТЗ»
|
Вид продукції, цех
|
Проект. Потуж-ність
|
Затвердж. виробн.. потужність на 01.01.04
|
Фактич. випуск (гідный прокат) в 2004 г.
|
Використання потужностей
|
|
|
|
|
про-ектної,%
|
вироб-ничої, %
|
|
Сталь мартеновська (мартеновський цех),
тис.тонн
|
530
|
702
|
709,267
|
133,8
|
101
|
|
КПЛ КПЦ, тис.тонн
|
250
|
200
|
223,588
|
89,4
|
111,8
|
|
КБЛ КПЦ, тис.тонн
|
62
|
48,0
|
7,572
|
12,2
|
15,8
|
|
Труби сталві усього, тис.тонн
|
1024,8
|
801,1
|
454,947
|
44,4
|
56,8
|
|
ТПЦ-1
|
150
|
137,6
|
62,143
|
41,4
|
45,2
|
|
ТЕСЦ
|
120,8
|
97,0
|
34,438
|
28,5
|
35,5
|
|
ТПЦ-3
|
200
|
104,0
|
56,531
|
28,3
|
54,4
|
|
ТПЦ-4
|
330
|
261,5
|
195,307
|
59,2
|
74,7
|
|
ТПЦ-5
|
210
|
201,0
|
106,528
|
50,7
|
53,0
|
На 2004 рік план по реалізації
продукції у вартісному вираженні був установлений на 42,2% більше, ніж факт за
2003 рік і склав 2 190 227 тис.грн. За підсумками роботи за 2004 рік план по
реалізації товарної продукції виконаний на 97,7%, недовиконання склало 2,3% або
50 278 тис.грн.
Розглядаючи виконання за звітний
період по цехах з табл. 2.3 видно, що КПЛ, ТПЦ-1 , ТПЦ-4 і ТПЦ-5 план не
виконали. У порівнянні з фактом 2003 року спостерігається темп росту обсягу
реалізації товарної продукції у всіх цехах. У цілому ж по підприємству темп
росту склав 38,9% або 599 612 тис.грн.
Важливе значення для оцінки
виконання виробничої програми мають і натуральні показники обсягів виробництва
і реалізації продукції.
У натуральному обліку план по
реалізації за 2004 рік був виконаний на 96,7% і склав 701 163 тн. Не виконали
план КПЦ, ТПЦ№-1 і ТПЦ-4.
У порівнянні з 2003 роком відбулося
зниження виробництва в натуральному вираженні , крім КПЦ - у нього
спостерігається ріст на 8,1% .
Таблиця 2.4 - Виконання планів 2003
- 2005 років в ВАТ «Інтерпайп НТЗ» по основним розрахунковим показникам
|
№ п/п
|
Найменування показників
|
Од. вим.
|
2003 р. отчет
|
2004 р. отчет
|
2005 рік
|
|
|
|
|
|
план
|
факт
|
% до плану
|
% до звіту 2004 р.
|
|
1.
|
Товарна продукція в діючих цінах
|
тис. грн.
|
1553518
|
2173198
|
3087368
|
3064325
|
99,3
|
141,0
|
|
2.
|
Товарна продукція в порівняльних цінах на
01.01.05 р.
|
тис. грн.
|
|
2921837
|
3086183
|
2972638
|
96,3
|
101,7
|
|
3.
|
Виробнича собівартість товарної продукції
|
тис. грн.
|
1341759
|
1816145
|
2169456
|
2174223
|
100,2
|
119,7
|
|
4.
|
Сталь мартенівська усього
|
Тон
|
692862
|
729298
|
742255
|
735107
|
99,0
|
100,8
|
|
5.
|
Товарний випуск:
|
|
|
|
|
|
|
|
|
5.1
|
Готовийй прокат, в т.ч.
|
Тон
|
206437
|
232443
|
212567
|
200881
|
94,5
|
86,4
|
|
колеса катані
|
|
186147
|
227183
|
199665
|
187313
|
93,8
|
82,5
|
|
бандажі та кільця
|
|
20290
|
5260
|
12902
|
13568
|
105,2
|
257,9
|
|
5.2
|
Трубиы сталеві
|
Тон
|
543866
|
474231
|
539378
|
536036
|
99,4
|
113,0
|
Таблиця 2.5 - Аналіз використання
виробничих потужностей у 2005 році в основних цехах ВАТ «Інтерпайп НТЗ»
|
Вид продукції, цех
|
Проект. Потуж-ність
|
Затвердж. виробн.. потужність на 01.01.05
|
Фактич. випуск в 2005 р.
|
Використання потужностей
|
|
|
|
|
про-ектної,%
|
виробни-чої, %
|
|
Сталь мартенівська (мартенівський цех),
тис.тон
|
530
|
727,3
|
712,183
|
134,4
|
97,9
|
|
КПЛ КПЦ, тис.тон
|
250
|
215,98
|
188,262
|
75,3
|
87,2
|
|
КБЛ КПЦ, тис.тон
|
62
|
48,0
|
13,979
|
22,5
|
29,1
|
|
Труби сталеві , тис.тон
|
1010,8
|
801,1
|
511,533
|
50,6
|
63,9
|
|
ТПЦ-1
|
150
|
137,6
|
82,041
|
54,7
|
59,6
|
|
ТЕСЦ
|
120,8
|
97,0
|
23,91
|
19,8
|
24,6
|
|
ТПЦ-3
|
200
|
104,0
|
57,242
|
28,6
|
55,0
|
|
ТПЦ-4
|
330
|
261,5
|
209,91
|
63,6
|
80,3
|
|
ТПЦ-5
|
210
|
201,0
|
138,43
|
65,9
|
68,9
|
За 2005 рік план по реалізації
продукції у вартісному вираженні був установлений на 44,3 % більше, ніж факт за
2004 рік і склав 3 087 167 тис.грн. За підсумками роботи за 2005 рік план по
реалізації товарної продукції виконаний на 99,9 %, недовиконання склало 0,1 %
або 4 047 тис.грн.
У порівнянні з фактом за відповідний
період 2004 року спостерігається темп росту обсягу реалізації товарної
продукції у всіх цехах крім ТЭСЦ -2 . У цілому ж по підприємству темп росту
склав 44,1 % або 943 125 тис.грн.
Таблиця 2.6 - Аналіз використання
виробничих потужностей у 2006 році в основних цехах ВАТ «Інтерпайп НТЗ»
|
Вид продукції, цех
|
Проект. Потуж-ність
|
Затвердж. виробн.. потужність на 01.01.06
|
Фактич. випуск в 2006р.
|
Використання потужностей
|
|
|
|
|
про-ектної,%
|
виробни-чої, %
|
|
Сталь мартенівська (мартенівський цех),
тис.тон
|
530
|
727,0
|
730,383
|
137,8
|
100,5
|
|
КПЛ КПЦ, тис.тон
|
250
|
226,4
|
208,979
|
83,6
|
92,3
|
|
КБЛ КПЦ, тис.тон
|
62
|
48,0
|
10,886
|
17,6
|
22,7
|
|
Труби сталеві усього, тис.тонн
|
1024,8
|
801,1
|
551,087
|
53,8
|
68,8
|
|
в т.ч. по цехам:
|
|
|
|
|
|
|
ТПЦ-1
|
150
|
137,6
|
83,588
|
55,7
|
60,7
|
|
ТЕСЦ
|
120,8
|
36,511
|
30,2
|
37,6
|
|
ТПЦ-3
|
200
|
104,0
|
58,341
|
29,2
|
56,1
|
|
ТПЦ-4
|
330
|
261,5
|
209,839
|
63,6
|
80,2
|
|
ТПЦ-5
|
224
|
201,0
|
162,808
|
72,7
|
81,0
|
2.2.3
Аналіз використання трудових ресурсів
Динаміка облікової чисельності
усього персоналу по заводу за 2004 - 2007 роки характеризується поступовим
зниженням чисельності на 15%:
- за станом на 31.12.2004 р.
облікова чисельність усього персоналу по заводу склала 9760 чол.;
- за станом на 31.12.2005 р.
облікова чисельність усього персоналу по заводу склала 9915 чол.;
- за станом на
31.12.2006 р. облікова чисельність усього персоналу по заводу склала 9242 чол.;
- на кінець 2007 року
середньооблікова чисельність штатних працівників підприємства ВАТ «Інтерпайп
НТЗ» складала 8 415 осіб. Крім того, середня чисельність позаштатних
працівників та зовнішніх сумісників - 47 осіб, а працівників, які працюють на
умовах неповного робочого часу (дня, тижня) - 73 особи.
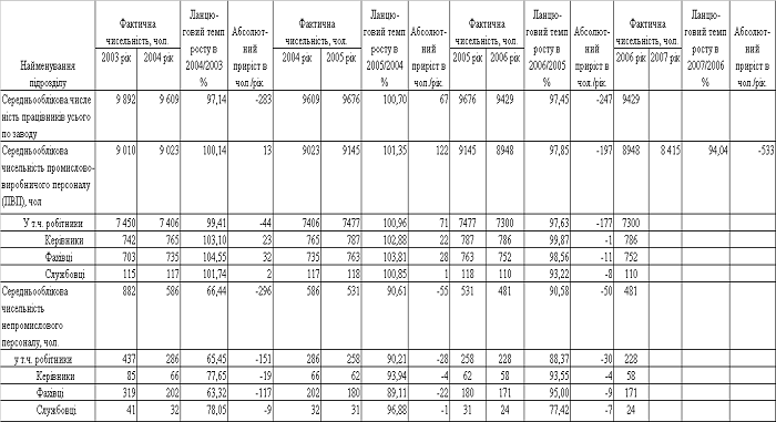
В табл.2.7 наведені
показники середньооблікової чисельність та
структури персоналу в ВАТ «Інтерпайп НТЗ» в 2003 - 2007 роках.
Статистичні дані по виконання
основних показників по оплаті праці в ВАТ “Інтерпайп НТЗ” наведені:
- за 2003 - 2004 роки в табл.2.8;
- за 2004 - 2005 роки в табл.2.9;
- за 2005 - 2006 роки в табл.2.10;
Статистичні дані по виконанню показників
продуктивності праці в товаровиробничих цехах ВАТ «Інтерпайп НТЗ» за 2005 -
2006 роки наведені в табл.2.11.
Таблиця 2.7 - Середньооблікова
чисельність персоналу в 2003 - 2007 роках в ВАТ «Інтерпайп НТЗ»
Таблиця 2.8 - Виконання
основних показників по праці в 2003 - 2004 році в ВАТ «Інтерпайп НТЗ»
|
Найменування показників
|
Одиниці виміру
|
2003 рік
|
2004 рік
|
У % до 2003 р.
|
|
Середньооблікова чисельність
трудящих:
|
|
|
|
|
|
усього персоналу
|
чол.
|
9892
|
9609
|
97,1
|
|
у т.ч. промперсонала
|
чол.
|
9010
|
9023
|
100,1
|
|
Продуктивність праці (по товарній
продукції в порівнянних цінах)
|
тис.грн.чол.
|
198,9
|
194,4
|
97,7
|
|
Середньомісячна зарплата 1
працівника ПВП
|
грн.
|
850,1
|
940,9
|
110,7
|
|
у т.ч. робітника
|
грн.
|
793,6
|
865,5
|
109,1
|
|
керівника, фахівця і службовця
|
грн.
|
1135,4
|
1300,9
|
114,6
|
|
Середньомісячна зарплата 1
трудящого
|
грн.
|
813,6
|
915,3
|
112,5
|
|
Витрата фонду оплати праці всього
персоналу *
|
тис.грн.
|
96980,5
|
106004,8
|
109,3
|
|
у т.ч. а) промперсонала
|
тис.грн.
|
92221,5
|
102243,3
|
110,9
|
|
з нього: робітники
|
тис.грн.
|
70944,6
|
76918,7
|
108,4
|
|
Керівники, фахівці і службовці
|
тис.грн.
|
21276,9
|
25324,6
|
119,0
|
|
б) непромислової групи
|
тис.грн.
|
4759,0
|
3761,5
|
79,0
|
|
Втрата робочого часу і неявки (по
поважних причинах)
|
чол./ дн.
|
434030
|
437584
|
100,8
|
|
у т.ч. прогули
|
чол./ дн.
|
2892
|
3059
|
105,8
|
|
Хвороби
|
Чол./ дн
|
102086
|
107725
|
105,5
|
|
Цілоденні простої
|
чол./ дн.
|
991
|
5284
|
533,2
|
|
відпустки з ініціативи
адміністрації
|
чол./ дн.
|
-
|
-
|
-
|
|
відпустки з дозволу адміністрації
|
чол./ дн.
|
6962
|
13648
|
196,0
|
|
Відпрацьовано надурочно
|
чол./ дн.
|
|
|
|
У порівнянні з відповідним періодом
минулого 2003 року середньомісячна заробітна плата одного працівника, як
промислово-виробничого персоналу, так і по заводу в цілому за 2004 рік виросла,
відповідно, на 10,7 % і 12,5 %.
Темп росту заробітної плати за 2004
рік по категоріях ППП:
- робітники - 9,1 %, - керівники -
12,8%, - фахівці - 19,5%,
- службовці - 11,6 %.
Таблиця 2.9 - Виконання
основних показників по праці в 2004 - 2005 роках в ВАТ «Інтерпайп НТЗ»
|
Найменування показників
|
Од. вим.
|
2004 рік
|
2005 Рік
|
У % до 2004 р.
|
|
Середньооблікова чисельність
трудящих:
|
|
|
|
|
|
усього персоналу
|
чол.
|
9609
|
9676
|
100,7
|
|
у т.ч. промперсонала
|
чол.
|
9023
|
9145
|
101,3
|
|
Продуктивність праці (по товарній
продукції в порівнянних цінах)
|
тис.грн чол.
|
323,8
|
325,1
|
100,4
|
|
Середньомісячна зарплата 1
працівника ПВП
|
грн.
|
940,9
|
1303,6
|
138,5
|
|
у т.ч. робітника
|
грн.
|
865,5
|
1213,9
|
140,2
|
|
керівника, фахівця і службовця
|
грн.
|
1300,9
|
1719,8
|
132,2
|
|
Середньомісячна зарплата 1
трудящого
|
грн.
|
915,3
|
1270,5
|
138,8
|
|
Витрата фонду оплати праці всього
персоналу *
|
тис.грн.
|
106004,8
|
148063,0
|
139,7
|
|
у т.ч. а) промперсонала
|
тис.грн.
|
102243,3
|
143517,7
|
140,4
|
|
з нього: робітники
|
тис.грн.
|
76918,7
|
108914,8
|
141,6
|
|
керівники, фахівці і службовці
|
тис.грн.
|
25324,6
|
34602,9
|
136,6
|
|
б) непромислової групи
|
тис.грн.
|
3761,5
|
4545,3
|
130,2
|
|
Утрати робочого часу і неявки (по
поважних причинах)
|
чол./дн.
|
437584
|
434537
|
99,3
|
|
у т.ч. прогули
|
чол./дн.
|
3059
|
4642
|
151,7
|
|
Хвороби
|
чол./дн
|
107725
|
112859
|
104,8
|
|
цілоденні простої
|
чол./дн.
|
5284
|
1156
|
21,9
|
|
відпустки з ініціативи
адміністрації
|
чол./дн.
|
-
|
-
|
-
|
|
відпустки з дозволу адміністрації
|
чол./дн.
|
13648
|
6098
|
44,7
|
|
Відпрацьовано надурочно
|
чол./дн.
|
|
|
|
У порівнянні з відповідним періодом
минулого 2004 року середньомісячна заробітна плата одного працівника, як
промислово-виробничого персоналу, так і по заводу в цілому у 2005 році виросла,
відповідно, на 38,5 % і 38,8 %.
Таблиця 2.10 - Виконання
основних показників по праці в 2005 - 2006 роках в ВАТ «Інтерпайп НТЗ»
|
Найменування показників
|
Одиниці виміру
|
2005 рік
|
2006 Рік
|
У % до 2005 р.
|
|
Середньооблікова чисельність
трудящих:
|
|
|
|
|
|
усього персоналу
|
чол.
|
9 676
|
9 429
|
97,4
|
|
У т.ч. промперсонала
|
чол.
|
9 145
|
8 948
|
97,8
|
|
Продуктивність праці (по товарній
продукції в порівнянних цінах)
|
тис.грн.чол.
|
350,1
|
389,3
|
111,2
|
|
Середньомісячна зарплата 1
працівника ПВП
|
грн.
|
1 303,6
|
1 595,9
|
122,4
|
|
У т.ч. робітника
|
грн.
|
1 213,9
|
1 451,0
|
119,5
|
|
керівника, фахівця і службовця
|
грн.
|
1 719,8
|
2 251,5
|
130,9
|
|
Середньомісячна зарплата 1
трудящого
|
грн.
|
1 270,5
|
1 559,2
|
122,7
|
|
Витрата фонду оплати праці всього
персоналу *
|
тис.грн.
|
148063,0
|
177020,1
|
119,6
|
|
у т.ч. а) промперсонала
|
тис.грн.
|
143517,7
|
171858,1
|
119,7
|
|
з нього: робітники
|
тис.грн.
|
108914,8
|
127111,3
|
116,7
|
|
Керівники, фахівці і службовці
|
тис.грн.
|
34 602,9
|
44 746,8
|
129,3
|
|
б) непромислової групи
|
тис.грн.
|
4 545,3
|
5 162,0
|
113,6
|
|
Втрати робочого часу і неявки (по
поважних причинах)
|
чол./ дн.
|
434 537
|
433 129
|
99,7
|
|
у т.ч. прогули
|
чол./ дн.
|
4 642
|
3 698
|
79,7
|
|
хвороби
|
чол./ дн
|
112 859
|
113 614
|
100,7
|
|
Цілодення простої
|
чол./ дн.
|
1 156
|
1 815
|
157,0
|
|
відпустки з ініціативи
адміністрації
|
чол./ дн.
|
-
|
-
|
|
|
відпустки з дозволу адміністрації
|
чол./ дн.
|
6 098
|
5 820
|
95,4
|
У порівнянні з відповідним періодом
минулого 2005 року середньомісячна заробітна плата одного працівника, як
промислово-виробничого персоналу, так і по заводу в цілому в 2006 році виросла,
відповідно, на 22,4 % і 22,7 % (з урахуванням заохочення за підсумками роботи
за 2004 рік, виплаченого в 2005 році).
Таблиця 2.11 - Виконання
показників продуктивності праці в 2006 - 2005 роках в товаровиробничих цехах
ВАТ «Інтерпайп НТЗ»
|
Цех
|
Тис.грн. / чол.
|
Тонн / чол.
|
Тис. м (шт.) / чол.
|
|
2005 рік
|
2006 рік
|
% до 2005 р.
|
2005 рік
|
2006 рік
|
% до 2005 р.
|
2005 рік
|
2006 рік
|
% до 2005 р.
|
|
Мартен
|
-
|
-
|
856,1
|
894,0
|
104,4
|
|
|
|
|
КПЦ
|
813,7
|
933,8
|
114,8
|
143
|
157,5
|
110,1
|
332,2
|
380,0
|
114,4
|
|
ТПЦ-1
|
676,4
|
686,2
|
101,4
|
221,5
|
231,4
|
104,5
|
3141,3
|
3210,7
|
102,2
|
|
ТЭСЦ
|
446,8
|
683,5
|
153,0
|
147
|
238,7
|
162,4
|
118987,7
|
164751,6
|
138,5
|
|
ТПЦ-3
|
517,7
|
528,8
|
102,1
|
118,8
|
124,8
|
105,0
|
7116,5
|
7595,7
|
106,7
|
|
ТПЦ-4
|
856,3
|
902,0
|
105,3
|
211,8
|
223,2
|
105,4
|
3462
|
3536,4
|
102,2
|
|
ТПЦ-5
|
707,7
|
855,9
|
120,9
|
189,3
|
233,3
|
123,3
|
7423,4
|
8998,4
|
121,2
|
|
Завод у цілому
|
350,1
|
389,3
|
111,2
|
|
|
|
|
|
|
Як видно з табл. 2.11,
продуктивність праці як у натуральних одиницях так і в грошовому вираженні в
2006 році збільшилася в порівнянні з 2005 роком у всіх товаровиробничих цехах,
особливо в ТЕСЦ і ТПЦ-5.
2.2.4
Аналіз собівартості виробленої продукції
Основною сировиною для виробництва
коліс суцільнокатаних та бандажів є чавун. В виробництві використовується чавун
як вітчизняних так і закордонних виробників.
Через незабезпеченість заводу металургійною
сировиною підприємств металургійного комплексу України, а також через низькі
якісні показники виготовленого чавуну, ВАТ „ІНТЕРПАЙП НТЗ” більшою частиною
здійснює закупівлю чавуну по імпорту.
Таблиця 2.12 - Постачальники чавуну,
кількість та середня ціна придбання чавуну ВАТ «Інтерпайп НТЗ» у 2006-2007
роках
|
2006 рік
|
Кількість, тис.тонн
|
Питома вага, %
|
Загальна вартість (без ПДВ), тис. грн.
|
Середня ціна (без ПДВ) за 1 тонну, грн..
|
|
Всього
|
307,84
|
100,0
|
410546,0
|
1333,65
|
|
По підприємствах Росії
|
177,38
|
57,6
|
229727,0
|
1295,12
|
|
ОАО «Липецкий металургический завод «Свободний
Сокол» (Росія)
|
13,34
|
4,3
|
17680,0
|
1325,24
|
|
ОАО “Новолипецкий металурги-ческий комбинат”
(Росія)
|
160,75
|
52,2
|
208572,0
|
1297,48
|
|
ОАО «Косогорский металурги-ческий завод»
(Росія)
|
3,28
|
1,1
|
3475,0
|
1057,52
|
|
По підприємствам України
|
130,46
|
42,4
|
180819,0
|
1386,05
|
|
ВАТ «ІНТЕРПАЙП Україна»
|
130,46
|
42,4
|
180819,0
|
1386,05
|
|
2007 рік
|
Кількість, тис.тонн
|
Питома вага, %
|
Загальна вартість (без ПДВ), тис. грн.
|
Середня ціна (без ПДВ) за 1 тонну, грн..
|
|
Всього
|
296,53
|
100
|
511481,85
|
1724,89
|
|
По підприємствах Росії
|
156,54
|
52,79
|
266963,94
|
1705,40
|
|
ОАО «Липецкий металурги-ческий завод
«Свободний Сокол» (Росія)
|
21,35
|
13,64
|
42451,68
|
1988,37
|
|
ОАО “Новолипецкий металурги-ческий комбинат”
(Росія)
|
134,23
|
85,75
|
222258,17
|
1655,80
|
|
ОАО «Косогорський металургический завод»
(Росія)
|
0,97
|
0,62
|
2254,09
|
2323,80
|
|
По підприємствам України
|
139,99
|
47,21
|
244517,91
|
1746,68
|
|
ВАТ «ІНТЕРПАЙП Україна»
|
139,99
|
47,21
|
244517,91
|
1746,68
|
Поставка чавуну, виробленого
металургійними підприємствами України, здійснювалась через ВАТ «ІНТЕРПАЙП
УКРАЇНА». Виробниками чавуну є:
ВАТ „Запоріжсталь”,
ВАТ „Криворіжсталь”,
ВАТ „Алчевський меткомбінат”,
ВАТ „ДМЗ ім. Петровського”,
ВАТ „ДМК ім. Дзержинського”.
Поставки чавуну на підприємство по
прямих договорах безпосередньо від вітчизняних виробників не здійснювалися.
Так, середня ціна постачання чавуну
зросла у 2007 році в порівнянні з 2006 роком по підприємствам Росії на 31,7%, а
по українським виробникам (через ТОВ «ІНТЕРПАЙП УКРАЇНА») на 26%.
Основною сировиною для виробництва
труб є трубна заготовка. В виробництві використовується трубна заготовка як
вітчизняних так і у закордонних виробників.
Таблиця 2. 13 - Кількість та середні
ціни придбання трубної заготовки ВАТ «Інтерпайп НТЗ» у 2006 році
|
2006 рік
|
Кількість, тис.тонн
|
Питома вага, %
|
Оптова ціна, тис. грн..
|
Середня оптова ціна за тонну, грн.
|
|
Всього
|
251,22
|
100,0
|
604661,0
|
2406,86
|
|
По підприємствах Росії
|
110,73
|
44,1
|
264596,0
|
2389,56
|
|
ОАО “Оскольский металлурги-ческий комбинат”
(Росія)
|
91,46
|
36,4
|
225752,0
|
2468,18
|
|
РУП «Белоруский металурги-ческий завод»
(Білорусь)
|
18,67
|
7,4
|
37252,0
|
1995,39
|
|
ООО "Торговий дом завод "Красний
Октябрь" (Росія)
|
0,6
|
0,2
|
1592,0
|
2671,14
|
|
По підприємствах України
|
140,5
|
55,9
|
340065,0
|
2420,49
|
|
ТОВ «ІНТЕРПАЙП Україна»
|
140,2
|
55,8
|
338486,0
|
2414,09
|
|
ЗАТ «ІНТЕРПАЙП НЗБТ «Ніко Т’юб» (м. Нікополь)
|
0,2
|
0,08
|
667,0
|
3335,00
|
|
ЗАТ «Нікопольська трубна компанія» (м.
Нікополь)
|
0,08
|
0,03
|
912,0
|
11121,95
|
Таблиця 2. 14 - Кількість та середні
ціни придбання трубної заготовки ВАТ «Інтерпайп НТЗ» у 2007 році
|
2007 рік
|
Кількість, тис.тонн
|
Питома вага, %
|
Загальна вартість (без ПДВ), тис. грн..
|
Середня ціна (без ПДВ) за 1 тонну, грн
|
|
Всього
|
356,27
|
100
|
1150472,76
|
3229,25
|
|
По підприємствах Росії та Білорусі
|
135,54
|
38,04
|
413652,35
|
3051,93
|
|
ОАО “Оскольский металургический комбінат”
(Росія)
|
107,97
|
79,66
|
331328,77
|
3068,84
|
|
РУП «Белорусский металургический завод»
(Білорусь)
|
17,32
|
12,78
|
46761,43
|
2699,97
|
|
ОАО «Нижнетагильский металургический комбінат»
(Росія)
|
9,28
|
6,84
|
31328,84
|
3377,48
|
|
Торговый дом «ТМК» (Росія)
|
0,98
|
0,72
|
4233,32
|
4331,01
|
|
По підприємствах України
|
220,73
|
61,96
|
736820,40
|
3338,14
|
|
ТОВ «ІНТЕРПАЙП УКРАЇНА»
|
215,67
|
97,71
|
718119,37
|
3329,66
|
|
ЗАТ «ІНТЕРПАЙП НЗБТ «Ніко Т’юб» (м. Нікополь)
|
4,43
|
2,01
|
16508,81
|
3729,09
|
|
«АзовЕлектросталь»
|
0,59
|
0,27
|
2068,10
|
3517,33
|
|
ЗАТ «ІНТЕРПАЙП НІКО-ПОЛЬСЬКА ТРУБНА КОМПАНІЯ»
(м. Ніко-поль)
|
0,04
|
0,02
|
124,12
|
3161,00
|
Найбільш питому вагу в постачанні
трубної заготовки займають вітчизняні постачальники. Основним постачальником
трубної заготовки в 2007 році був ТОВ «ІНТЕРПАЙП УКРАЇНА».
Середня ціна постачання трубної
заготовки зросла у 2007 році в порівнянні з 2006 роком по підприємствам Росії
на 27,7%, а по українським виробникам (в основному через ТОВ «ІНТЕРПАЙП
УКРАЇНА») на 37,9%.
Аналіз ціни реалізація основних
видів продукції - основними видами продукції підприємства є суцільнокатані
колеса, бандажі, труби.
Фактична собівартість та оптові ціни
коліс суцільнокатаних та бандажів при реалізації на внутрішньому ринку та на
експорт в 2006 -2007 роках, наведено у таблиці 2.15.
Таблиця 2.15 - Фактична собівартість
та оптові ціни коліс суцільнокатаних та бандажів виробництва ВАТ «Інтерпайп
НТЗ» при реалізації на внутрішньому ринку та на експорт
|
Колеса суцільнокатані
|
Фактична собівартість 1 тони, грн.
|
при реалізації на внутрішній ринок
|
при реалізації на експорт
|
|
|
Оптова ціна за 1 тонну (без ПДВ), грн.
|
Фактична рентабельність, %
|
Оптова ціна за 1 тонну, грн.
|
Фактична рентабельність, %
|
|
2006 рік
|
4118,89
|
6001,34
|
45,7
|
6371,33
|
54,7
|
|
2007 рік
|
5710,35
|
7040,95
|
23,0
|
7993,74
|
40
|
|
Бандажі
|
Фактична собівартість 1 тони, грн.
|
при реалізації на внутрішній ринок
|
при реалізації на експорт
|
|
|
Оптова ціна за 1 тонну (без ПДВ), грн.
|
Фактична рентабельність, %
|
Оптова ціна за 1 тонну, грн.
|
Фактична рентабельність, %
|
|
2006 рік
|
4430,02
|
5387,91
|
22,0
|
7325,23
|
65
|
|
2007 рік
|
5421,58
|
6393,88
|
18
|
8492,59
|
57
|
Так, фактична собівартість 1 тони
коліс суцільнокатаних у 2007 році в порівнянні з 2006 роком збільшилась на
38,6%, а бандажів на 22,4%.
Оптова ціна за 1 тону при реалізації
коліс суцільнокатаних на внутрішній ринок у 2007 року в порівнянні з 2006 роком
збільшилась на 17,3%, а бандажів на 18,7%.
Оптова ціна за 1 тону коліс
суцільнокатаних при реалізації на експорт у 2007 року в порівнянні з 2006 роком
збільшилась на 25,5%, а бандажів на 15,9%.
Фактична рентабельність реалізації
коліс суцільнокатаних та бандажів при реалізації на експорт значно вища ніж
рентабельність реалізації на внутрішньому ринку України.
Фактична собівартість та оптові ціни
на труби при реалізації на внутрішньому ринку та на експорт в 2006-2007 роках,
наведені в табл.2.16.
Таблиця 2.16 - Фактична собівартість
та оптові ціни на труби виробництва ВАТ «Інтерпайп НТЗ» при реалізації на
внутрішньому ринку та на експорт в 2006-2007 роках
|
Труби
|
Фактична собівартість 1 тонни, грн.
|
при реалізації на внутрішній ринок
|
при реалізації на експорт
|
|
|
Оптова ціна за 1 тонну (без ПДВ), грн.
|
Фактична рентабельність, %
|
Оптова ціна за 1 тонну, грн.
|
Фактична рентабельність, %
|
|
2006 рік
|
2980,81
|
3547,57
|
19,0
|
4669,43
|
56,7
|
|
2007 рік
|
3907,44
|
4295,89
|
9,9
|
5432,34
|
39,0
|
Так, фактична собівартість 1 тони
труб у 2007 році в порівнянні з попереднім 2006 роком збільшена на 31,1%.
Оптова ціна за 1 тонну при
реалізації на внутрішній ринок у 2007 року в порівнянні з 2006 роком збільшена
на 21,1%, а при реалізації на експорт на 16,3%.
Фактична рентабельність реалізації
труб при реалізації на експорт значно вища, ніж рентабельність їх реалізації на
внутрішньому ринку України.
Динаміка цін на
відвантажену основну трубну продукцію ВАТ «Інтерпайп НТЗ» протягом 2007р. має тенденцію до зростання:
- на гарячедеформовані
підшипникові труби від 5182,26 грн. до 6350,10 грн.,
- на труби обсадні від
2800,00 грн. до 4200,00 грн.
2.2.5
Аналіз фінансового стану, прибутку та рентабельності виробництва
Структура активів та пасивів
підприємства ВАТ «Інтерпайп НТЗ» у 2007 році згідно з даними форми №1 “Баланс”
наведено у табл.А.1 Додатку А.
Основні показники
фінансово-господарської діяльності підприємства за 2007р. в порівнянні з 2006
р. наведені в табл.Б.2 Додатку Б.
За 2007 рік фінансовим результатом
від звичайної діяльності підприємства до оподаткування є прибуток в сумі 619243
тис.грн. У порівнянні з 2006р. відбулося зменшення цього показника на 152 733
тис.грн., або на 19,8%. Погіршення кінцевого результату діяльності підприємства
викликано як погіршенням результату від операцій, пов’язаних з виробництвом та
реалізацією продукції,товарів, робіт, послуг (основної діяльності підприємства
за профілем підприємства), так і збільшенням витрат іншої оперативної
діяльності.
Так, чистий доход від реалізації
продукції за 2007р. в порівнянні з 2006р. збільшився на 23,1%, при цьому
собівартість реалізованої продукції зросла на 38,1%. У звітному році в
порівнянні з попереднім роком доля собівартості реалізованої продукції у
виручці від реалізації зросла з 68,6% до 77%, тобто на 8,4 процентних пункти.
Випереджувальне зростання собівартості продукції над доходом від реалізації
призвели до зменшення валового прибутку - на 116 870 тис.грн., або на 9,8%.
Перевищення у 2007р. операційних
витрат над доходами, їх зростання в порівнянні з 2006р., а також збільшення
витрат на збут призвели до зменшення прибутку від операційної діяльності - на
195 132 тис.грн., або на 24,8%.
Загальний обсяг отриманих підприємством
доходів за 2007 рік збільшився в порівнянні з 2006р. на 1 031 434 тис.грн., або
на 19,8%. Основну частину отриманого у 2007 р. доходу (75,2%) займає доход від
реалізації продукції (товарів, робіт, послуг). В порівнянні з 2006р. ця стаття
доходів збільшилась на 23,1%.
Інші операційні доходи збільшились у
1,7 разів, що пов’язано, в основному, із збільшеням обсягів реалізації
іноземної валюти. Також у 2007р. отримано більше доходу від реалізації інших
оборотних активів - у 2,3 разів. Фінансові доходи (отримані дивіденди) у 2007р.
в порівнянні з 2006р. зросли на 54,2%.
Інші доходи від звичайної діяльності
зменшились у 2,2 разів. Це зменшення відбулось в результаті зменшення обсягу
реалізації фінансових інвестицій - на 601453 тис.грн, або у 12,8 разів. Проте
підприємством отримано більше інших доходів - на 242020 тис.грн. Доход від
реалізації необоротних активів за 2007 рік склав 5105 тис.грн.
Загальна сума понесених
підприємством витрат за 2007 р. в порівнянні з 2006р. збільшилась на 1184167
тис.грн., або на 26,7% (при зростанні доходів на 19,8%). Основну частину витрат
за 2007р. (64,5%) займає собівартість реалізованої продукції, яка в порівнянні
з 2006р. збільшилась на 38,1%. Адміністративні втрати зменшились на 15,5%,
витрати на збут - зросли на 19%.
Основну питому вагу інших
операційних витрат (86%) складає собівартість реалізованої іноземної валюти.
Рисунок 2.1 - Динаміка доходів,
витрат собівартості та чистого прибутку ВАТ «Інтерпайп НТЗ» у 2003 -2007 роках
Рисунок 2.2 - Динаміка
рентабельності власного капіталу по валовому реалізаційному прибутку та чистому
прибутку після оподаткування в ВАТ «Інтерпайп НТЗ» у 2003 -2007 роках
Рисунок 2.3 - Динаміка
рентабельності власного капіталу та активів по чистому доходу від реалізації
продукції в ВАТ «Інтерпайп НТЗ» у 2003 -2007 роках
На рисунках 2.1 -2.3 наведена
динаміка доходів, витрат, прибутку та рентабельності роботи ВАТ «Інтерпайп НТЗ»
у 2003 -2007 роках.
За результатами
фінансово-господарської діяльності в 2007 році підприємство отримало чистий
прибуток у сумі 433146,0 тис.грн., який складає 69,95% прибутку від звичайної
діяльності. За результатами фінансово-господарської діяльності в 2006 році
підприємство отримало чистий прибуток у сумі 563986,0 тис.грн., який складає
73,1% прибутку від звичайної діяльності. Питома вага чистого прибутку в
прибутку від звичайної діяльності за 2007 рік зменшилась. Рентабельність продажу визначається як відношення чистого
прибутку до виручки від реалізації і показує який прибуток одержало
підприємство з однієї гривні продажу. В 2006 році підприємство з кожної гривні
продажу мало 0,15 грн. чистого прибутку, в 2007 - 0,09 грн. Протягом 2007 року
спостерігається зменшення рентабельності продажу на 6%.
Рентабельність майна визначається як відношення чистого прибутку до
загальної суми майна і показує, що на 1 грн. активів підприємства у 2007
році припадало 0,12 грн. чистого прибутку, а в 2006 - 0,28 грн. Показник рентабельності майна за 2007 рік зменшився на 16%, або в
2,3 рази. Рентабельність власного капіталу визначається як відношення чистого
прибутку до розміру власного капіталу і показує, що на 1 грн. власного
капіталу підприємства у 2007 році припадало 0,24 грн. чистого прибутку, в 2006
- 0,51 грн. Показник рентабельності власного капіталу
протягом 2007 року зменшився майже в 2,1 рази.
Рентабельність основної діяльності
визначається як відношення чистого прибутку до собівартості реалізованої
продукції і показує який прибуток одержало підприємство з однієї гривні
собівартості продукції. В 2007 році цей показник складає 0,12 грн., а в 2006 році - 0,22 грн. Показник рентабельності основної діяльності протягом 2007 року
зменшився на 0,1%.
Аналізуючи рентабельність
(прибутковість) підприємства в цілому за 2007 рік, можна констатувати зменшення
всіх показників.
Рисунок 2.4 - Динаміка показників
ліквідності ВАТ «Інтерпайп НТЗ» у 2003 - 2007 роках
Рисунок 2.5 - Динаміка показників
фінансової стійкості ВАТ «Інтерпайп НТЗ» у 2003 - 2007 роках
Рисунок 2.6 - Динаміка показників
фінансової стійкості по покриттю запасів ВАТ «Інтерпайп НТЗ» у 2003 - 2007
роках
2.3
Основні пропозиції по удосконаленню зовнішньоекономічної діяльності ВАТ
„Інтерпайп Нижньодніпровський трубопрокатний завод”
2.3.1
Аналіз проблем та шляхи покращання експортної діяльності підприємства
Надання Україні статусу
країни з ринковою економікою забезпечило вітчизняним виробникам більше
можливостей боротися на рівних з їх конкурентами на світових ринках.
Внаслідок відсутності
антидемпінгових дій по захисту вітчизняного ринку, а також сприйнятніших
цінових параметрів і якісних характеристик, необхідно відзначити зростання
об'ємів труб, що імпортуються до України. Крім того, збільшується ввезення труб,
які не виробляються в Україні.
Визначальним на ринках
збуту трубної продукції є поєднання наявності потенційних можливостей для
зростання ринку і відповідно - зростання продажів із дією могутніх негативних
чинників, що впливають як на розвиток ринку, так і на конкурентоспроможність
продукції українських виробників. Можливості зростання трубного виробництва
пов'язані з підвищенням привабливості нафторозробок у світі і як наслідок -
зростанням попиту на труби для нафтогазового сектора.
Ці потенційні можливості
містять в собі вплив на економічне зростання в Україні й країнах СНД. До
чинників, стримуючих зростання ринку, можна віднести: загострення конкуренції
на світових ринках; розвиток трубного виробництва в країнах, що є найкрупнішими
споживачами трубної продукції (Росія, Китай, США, Євросоюз); наявність
загороджувальних заходів і мит по відношенню до українських виробників;
зростання цін на основну сировину; активна політика по імпортозаміщенню
української трубної продукції, в першу чергу, на російському ринку; відносно
низька платоспроможність споживаючих галузей з одного боку і дорожнеча
кредитних ресурсів, за рахунок яких здійснюються проекти в споживаючих галузях,
- з іншого.
Конкурентоздатність
українських трубників також обмежена. У структурі витрат будь-якого трубного
підприємства значний вплив на кінцеву вартість продукції, що випускається,
робить ціна енергоресурсів. На відміну від України, російські трубні заводи
купують їх по значно меншій ціні. Таке положення справ дозволяє російським
підприємствам одержувати переваги в конкурентній боротьбі за рахунок більш
низької у порівнянні з українськими колегами собівартості продукції, що
випускається.
Перераховані загальні
тенденції тією чи іншою мірою виявлялися на кожнім з основних для підприємства
ринків збуту.
УКРАЇНА: Вітчизняний
ринок є традиційно одним із головних для ВАТ "ІНТЕРПАЙП НТЗ" , як і
для всіх інших українських виробників. Ринку властива посилена конкуренція між
українськими компаніями.
Усередині галузі в
Україні основними конкурентами, по окремим типорозмірам труб, що випускаються
є: ВАТ "Дніпропетровський трубний завод" (м. Дніпропетровськ), ВАТ
"Маріупольський металургійний комбінат імені Ілліча (м. Маріуполь), ТОВ
"ІНТЕРПАЙП НІКО-ТЬЮБ" (м. Нікополь).
Конкурентами
підприємства по виробництву зварних труб є всі підприємства, які виробляють
зварні труби, окрім ВАТ "Харцизького трубного заводу" (м. Харцизьк)
та ВАТ "ІНТЕРПАЙП НОВОМОСКОВСЬКОГО ТРУБНОГО ЗАВО-ДУ" (м.
Новомосковськ). Ці підприємства виробляють труби великого діаметра.
У сортаменті
підприємства є окремі види продукції, які не виробляються на трубних заводах
України. Наприклад, ВАТ "ІНТЕРПАЙП НТЗ" являється монополістом по
виробництву холоднотягнутих труб для корпусів ПЕД і ПЕН.
РОСІЯ: Основними
конкурентами по всьому сортаменту продукції, що виробляється, включаючи труби
нафтового сортаменту є: ВАТ "Первоуральський новотрубний завод" (м.
Первоуральськ), ВАТ "Сінарський трубний завод" (м.
Каменськ-Уральський), ВАТ "Сіверський трубний завод" (м. Полівське),
ВАТ "Волжський трубний завод" (м. Волжський), ВАТ "Таганрогський
металургійний завод" (м. Таганрог), ВАТ "Челябинський трубний
завод" (м. Челябінськ).
ЄВРОПА та США: На ринках
Європи та США ВАТ «Інтерпайп НТЗ» змушено працювати в режимі квотування,
спровокованому антидемпінговими розслідуваннями. Крім проблем із квотуванням
наших постачань у країни Європейського Союзу, ситуація на трубному ринку в
цьому регіоні об'єктивно стала більш складною. Пов'язано це з тим, що наші
традиційні споживачі почали переорієнтуватися на продукцію постачальників із
країн Східної й Центральної Європи.
Конкурентів, які
випускають залізничні колеса та бандажі в Україні ВАТ "ІНТЕРПАЙП НТЗ"
не має внаслідок монопольного положення по вищеназваних видах продукції.
Російський ринок коліс
та бандажів представлений двома виробниками - ВАТ "Виксунським
металургійним заводом" (м. Виксунськ) та ВАТ "Нижньотагільським
металургійним комбінатом" (м. Нижній Тагіл). ВАТ "Виксунський
металургійний завод" є конкурентом підприємства в області виробництва
залізничних коліс, ВАТ "Нижньотагільський металургійний комбінат" - в
області виробництва залізничних коліс та бандажів.
Слід зазначити, що в
даний час показником, який визначає конкурентоспроможність продукції, є якість.
По якісних характеристиках та по цінових параметрах продукція всіх трьох
виробників (ВАТ "ІНТЕРПАЙП НТЗ", ВАТ "Виксунський металургійний
завод", ВАТ "Нижньотагільський металургійний комбінат")
знаходиться приблизно на одному рівні. Проте слід зазначити, що завдяки
модернізації виробничих потужностей, яка здійснювалась в останні роки
російськими виробниками колісної продукції, значно підвищилася її якість і, як
наслідок, зросла конкурентоспроможність.
У зв'язку з цим ВАТ
"ІНТЕРПАЙП НТЗ", в цілях підвищення конкурентоспроможності продукції,
що виробляється, необхідно виділити пріоритетним напрямом діяльності проведення
заходів, направлених на вдосконалення техніки і технології на базі сучасних
наукових розробок з метою зниження енерго- і матеріаломісткості, а також - на
підвищення якості трубної й колісної продукції.
Зараз обстановка на
ринках склалася таким чином, що, в основному, усіх наявних результатів по
удосконаленню технологічних процесів виробництва сталі, труб, коліс та
бандажів, підвищенню якісних характеристик та зниженню витрат на їхнє
виробництво недостатньо для виробництва конкурентної продукції.
Більшість продукції ВАТ
"ІНТЕР-ПАЙП НТЗ" за своїми технічними характеристиками не
поступається закордонним аналогам. Особливістю трубної продукції являється
підвищена точність труб по діаметру, що дозволило освоїти виробництво труб
нафтового сортаменту за американськими стандартами і підтримувати високий
рівень реалізації їх на американському і середньоазіатському ринках. Але
конкуренція на трубному ринку дуже висока, тому кожне підприємство шукає напрямки
й регіони для просування своєї продукції.
Для того, щоб утримувати
свої позиції на ринку, необхідна систематична робота за всіма напрямками - це
підвищення товарного вигляду, якості продукції, поліпшення й удосконалення
споживчих властивостей, а також розробка нових видів продукції, що відповідають
зростаючим вимогам споживачів.
Для підтримки
конкурентоздатності продукції прийнята перспективна програма технічного
переозброєння й реконструкції як окремих агрегатів, так і цілих виробничих
ділянок, що визначають якість та споживчі властивості продукції. Успішна
реалізація цього рішення матиме далеко спрямовані стратегічні наслідки. У
підприємства з'явиться реальна можливість не тільки зберегти свої позиції на
ринках труб, коліс та бандажів, але й за рахунок випередження конкурентів,
одержати додаткові ринки, а значить, одержати можливість нарощувати виробництво
та підвищувати добробут трудящих.
Основними ринками збуту
продукції ВАТ "ІНТЕРПАЙП НТЗ" є: Україна, Росія, країни СНД, країни
дальнього зарубіжжя (зокрема, країни Європейського Союзу, США, країни
Латинської Америки, Близького Сходу та Південно-Східної Азії).
Найбільшими споживачами
продукції Підприємства є підприємства нафто - і газодобувної промисловості,
машинобудування, комунальної сфери й будівництва, а також підприємства
залізничного транспорту.
Покупцями труб нафтового
сортаменту є крупні компанії, що займаються розвідкою, добуванням, переробкою
та транспортуванням нафтопродуктів. Покупцями труб загального призначення є
машинобудівні заводи, які із труб виробництва Підприємства виготовляють свою
продукцію (машини та механізми).
ВАТ "ІНТЕРПАЙП
НТЗ" освоїло й поставляє в країни ближнього й дальнього зарубіжжя більш 50
профілерозмірів коліс, сертифікованих за міжнародними стандартами, для рухомого
складу залізниць, експлуатованого в різних кліматичних умовах, а також бандажі
для локомотивів, метро, трамваїв, складно профільні кільцеві вироби.
У 2006 -2007 роках основним покупцем
продукції підприємства є ТОВ «ІНТЕРПАЙП Україна». Також у значних обсягах продукція
реалізовувалась на внутрішньому ринку наступним підприємствам (схеми додатку
В):
ЗАТ «ЛугЦентроКуз» (трубна
продукція);
ЗАТ «Нікопольський ремонтний завод»
(трубна продукція);
ЗАТ «ІНТЕРПАЙП НЗБТ «Ніко Тьюб»
(трубна продукція).
Реалізація продукції на експорт
здійснювалась як за прями угодами з нерезидентами (ВАТ «Мінський підшипниковий
завод», ДАЗК «Узбекистон темир йулларі») так і за договорами комісії, які
укладено з ТОВ «ІНТЕРПАЙП УКРАЇНА» (Комісіонер):
У 2007 році реалізовано за угодами
комісії продукції на суму 2 320 964,2 тис.грн., сплачено комісійної плати у
розмірі 162 422,6 тис.грн. (з ПДВ).
Проблемними питаннями
для експортної діяльності підприємства є:
- невідшкодований ПДВ на
кінець року в розмірі 112 236 тис.грн.;
- з 01.07.2006 року Єврокомісією
введені мита на безшовні труби виробництва ВАТ "ІНТЕРПАЙП НТЗ" в
розмірі 25,1%;
- зростання залізничних
тарифів та цін на газ, метал, дефіцит брухту позначається на збільшенні
собівартості продукції;
На діяльність
Підприємства також впливають зміни кон'юнктури на ринках збуту суцільнокатаних
коліс, бандажів та сталевих труб, у тому числі:
- загострення
конкуренції на світових ринках. Розвиток трубного виробництва в країнах, що є
найкрупнішими споживачами продукції Підприємства. Об'єктивно така ситуація
провокує проблеми з реалізацією труб Підприємства в регіонах, найпривабливіших
із погляду структури сортаменту ринку;
- введення Росією
обмеження на обсяги постачання українськими виробниками труб. Переплетення
державних факторів як економічних так і політичних призвело до обмеження
поставок українських труб на ринок СНД і до жорсткої конкуренції на ринку труб
(введення Урядом Росії квот на імпорт українських труб);
- необхідність перевірки
продукції на наявність альфа- і бета - випромінювання, а також трансуранових
компонентів, при ввезенні металопродукції до Росії.
Це ускладнює процедуру
імпорту та може привести до втрати частини російського ринку;
- відсутність попиту на
труби для машинобудування в Україні. Це пов'язано з тим, що машинобудування знаходиться
в стані занепаду, нафтогазовидобувні компанії не збільшують обсягів
розвідувально-бурових робіт, видобуток нафти й газу на українській території,
газифікація населених пунктів ведеться повільно через відсутність засобів,
служби, комунального постачання є бюджетними організаціями через недостатнє
фінансування;
- зростання цін на
основну сировину для виробництва труб. Ця ситуація негативно впливає не тільки
на економіку виробництва труб, але і на контрактний ринок. Непередбачуваність
ринку передільного металу істотно звужує можливості вибудовування
довгострокових відносин із стратегічними партнерами;
- зміна життєвих
цінностей - неадекватна оцінка змін, що відбуваються. Зниження, щільно до
втрати, необхідного рівня корпоративної культури, почуття причетності до
результатів діяльності Підприємства.
Зростання цін на
енергоносії на внутрішньому ринку впливає на збільшення цін на продукцію, що
призводить до переорієнтації ринків трубної продукції і як наслідок - до
падіння обсягів виробництва труб. Суттєвий вплив на діяльність обігових коштів
Підприємства має дуже повільне відшкодування ПДВ з бюджету при відвантаженні
продукції на експорт.
Основним стратегічним
напрямком експортної діяльності ВАТ «Інтерпайп НТЗ» може бути запропоновано
принципово новий шлях технологічного переозброєння - будівництво цеху
електроплавильної переробки сталі та відказ від технології мартенівського цеху.
Перехід на електроплавильне виробництво вихідних стальних зливків для
виготовлення трубноколесної продукції дозволить використовувати вітчизняну
сталь, яку виплавляють металургійні заводи в Дніпропетровську,
Дніпродзержинську та Кривому Розі, тобто знизити витрати на транспортировку
матеріалів для виготовлення трубно-колісної продукції, а також суттєво знизити
собівартість виробництва за рахунок часткової відмови від імпортної сталі з
Росії.
Перспективна отримана
трубно-колісна продукція ВАТ «Інтерпайп НТЗ» з високоякісної та однорідної
сталі дозволить довесті якість випускаємої продукції до рівня самих високих
нормативних вимог Євросоюзу, що після вступ України в СОТ дає можливість різко
нарощувати обсяги експортної діяльності за вигідними конкурентними цінами, не
обмежені квотами та антидемпінговими розслідування-ми.
2.3.2
Аналіз проблем та основні шляхи покращання імпортної діяльності підприємства
ВАТ «Інтерпайп НТЗ»
розташовано у м. Дніпропетровську - стратегічно важливому,
високоіндустріальному центрі України. Це дозволяє користуватися перевагами
близькості основних джерел сировини, матеріалів та інших ресурсів.
Практично вся сировинна
база сконцентрована в Придніпровсько-Донець-кому регіоні, тобто в безпосередній
близькості від Підприємства, що визначає незначну частку транспортних витрат у
загальних витратах на виробництво.
Основною сировиною для
Підприємства є чавун, трубна заготовка, штрипс, феросплави, вогнетриви та
металобрухт. Основними постачальниками сировини та матеріалів є, в основному
підприємства Росії (прямі виробничі поставки) та оптовий металотрейдер концерну
«Інтерпайп Україна» (поставки з ринків металопродукції), з якими налагоджено
довгострокові надійні зв'язки. Тому на сьогоднішній день ризик втрати одного з
постачальників не може привести до зупинки виробництва, зриву договірних
відносин.
І. Постачальники трубної
заготовки: оптовий металотрейдер ТОВ "ІНТЕРПАЙП УКРАЇНА"(м.
Дніпропетровськ, Україна); ВАТ "Оскольський електрометалургіний
комбінат" (Росія, м. Старий Оскол).
ІІ. Постачальники
чавуну: оптовий металотрейдер ТОВ "ІНТЕРПАЙП УКРАЇНА" (м.
Дніпропетровськ, Україна); ВАТ "Ліпецький металургійний завод "Свободний
сокол" (Росія, м. Ліпецьк); ВАТ "Новоліпецький металургійний
комбінат" (Росія, м. Ліпецьк).
ІІІ. Постачальники
штрипса: оптовий металотрейдер ТОВ "ІНТЕРПАЙП УКРАЇНА" (м.
Дніпропетровськ, Україна).
ІV. Постачальники
металобрухту: оптовий металотрейдер ТОВ "ІНТЕРПАЙП УКРАЇНА" (м.
Дніпропетровськ, Україна).
Джерела сировини
доступні, що оцінюється наступними факторами: тривалі комерційні зв'язки,
відсутність заходів обмежуючих доступність ринку сировини з боку урядів країн,
достатньо великі об'єми виробництва сировини і матеріалів, задовільні умови
транспортування сировини.
Поставка імпортної
заготовки виконується після 100% попередньої оплати, або в інші строки згідно з
узгодженою сторонами спеціфікацією. Середня ціна імпортної заготовки у 2007
році збільшилася на 17% в порівнянні з початком року. Поставка заготовки
українських виробників з ТОВ "ІНТЕРПАЙП УКРАЇНА" у 2007 році
виконувалась на умовах оплати 10 днів з дати отримання. Ціна на заготовку
українського постачальника у 2007 році в порівнянні з початком року збільшилась
на 25%.
Поставка чавуну
виконується на умовах оплати по факту отримання. Середня ціна виробництва ВАТ
"Ліпецький металургійний завод "Свободний сокол" збільшилася на
34% в порівнянні з початком року, виробництва ВАТ "Новоліпецький металургійний
комбінат" збільшилася на 22%. Поставка металобрухту і чавуну з ТОВ
"ІНТЕРПАЙП УКРАЇНА" у 2007 році виконувалась на умовах оплати 10 днів
з дати отримання. Середня ціна в порівнянні з початком року збільшилась на 32%.
Поставка штрипса з ТОВ
"ІНТЕРПАЙП УКРАЇНА" у 2007 році виконувалась на умовах оплати 10 днів
з дати отримання. Середня ціна в порівнянні з початком року збільшилась на 18%.
В загальному обсязі
поставок доля імпортної трубної заготовки становить 40%, доля імпортного чавуну
- 59%.
Головними позитивними
наслідками вступу України до СОТ для металургійного комплексу Україну будуть:
- можливість скасування
квот на експорт української продукції металургії до ЄС. 17,5% обсягів
українського товарного експорту до ЄС складають металургійна продукція, що
підпадає під жорсткі нетарифні обмеження, зокрема квоти. За попередньою
оцінкою, тільки завдяки усуненню кількісних обмежень (квот), які у рамках СОТ є
забороненими, є можливість збільшити обсяги експорту зазначеної продукції до
країн ЄС на суму близько 70-90 млн. дол. США. Подальша лібералізація тарифних
обмежень на експорт продукції чорної металургії до країн ЄС внаслідок вступу
України до СОТ дозволила б збільшити обсяги експорту цієї продукції принаймні
на 150-180 млн. дол. США, тобто збільшити загальний обсяг експорту продукції
чорної металургії до ЄС приблизно на 30%. Питання кількісних обмежень на
експорт української металопродукції до країн ЄС набуває особливої актуальності
в контексті розширення ЄС. Адже квота на імпорт української продукції
розповсюджуватиметься і на товари, що постачатимуться до нових країн-членів.
Вступ до СОТ дозволить наполягати на скасуванні кількісних обмежень щодо
продукції походженням з України;
- можливість
застосування механізму врегулювання торговельних суперечок, передбаченого
нормами СОТ, дозволить посилити позиції українських виробників в
антидемпінгових та спеціальних розслідуваннях;
- українські металурги
отримають одночасне спрощення умов доступу до ринків 147 країн-членів СОТ,
частка яких у світовій торгівлі становить біля 93%. Це сприятиме зростанню
обсягів експорту металургійних підприємств та виходу на нові ринки збуту.
Таким чином, головним питанням, яке
турбує представників промисловості, є “можливі наслідки для вітчизняних
промисловців від лібералізації імпортного режиму внаслідок зменшення ставок
ввізного мита”.
Зниження ставок імпортних тарифів -
це основний фактор, який може вплинути на ситуацію в галузі металургійного
виробництва у результаті вступу України до СОТ.
Нижче наведені основні результати
аналізу впливу тарифів та цінової конкурентноздатності продукції металургійної
промисловості в Україні за період 1996-2006 років [17]. Такий тривалий період
часу надає більшої об’єктивності проведеному аналізу, зважаючи на значні
щорічні коливання внутрішньої та світової кон’юнктури ринків продукції.
При аналізі порівнювалися три
показники [17]:
1. Діючий імпортний тариф для країн,
яким Україною надано режим найбільшого сприяння (РНС), в кожному із
проаналізованих років (1996- 2006 рр.), у відсотках;
2. Різниця цін внутрішніх та
зовнішніх в кожному із проаналізованих років
(1996-2006 рр.), у відсотках;
3. Очікуваний зв’язаний тариф, що
буде максимальною межею захисту українського ринку відповідного товару після
вступу до СОТ, у відсотках.
Зв’язаний тариф - це тариф, який
буде зафіксовано як максимальну межу захисту ринку, вище якого Україна прийме
зобов’язання не підвищувати ставку імпортного тарифу на певний товар у
відповідності з домовленостями на переговорах про вступ до СОТ.
Різниця цін являє собою відсоткове
відношення різниці між внутрішніми цінами реалізації продукції виробниками
конкретного продукту в Україні та зовнішніми цінами (цінами на кордоні України)
до відповідних зовнішніх цін (цін на кордоні). Якщо різниця цін має мінусове
значення, що позначається на графіку нижче нульової відмітки, то за ціною
вітчизняна продукція є більш конкурентно-здатною порівняно з ціною аналогічного
імпортного товару. Якщо різниця цін має позитивне значення, що позначається на
графіку вище нульової відмітки, то імпортний товар за ціною дешевше, ніж
аналогічний товар вітчизняного виробництва. Перевищення позитивного значення
різниці цін над граничним тарифом свідчить, що при сплаті ставки імпортного
тарифу імпортна продукція залишатиметься більш конкурентоспроможною за ціною,
ніж вітчизняна, а в ситуації, коли позитивне значення різниці цін нижче
граничного тарифу, вітчизняний товар залишатиметься більш конкурентоспроможним
за ціною порівняно з імпортним після сплати мита.
1. Залізна руда
Протягом 2001-2006 років рівень
ставок ввізного мита на залізорудний концентрат становив 2%. На цьому ж рівні
залишиться зв’язана ставка ввізного мита після вступу України до СОТ.
Аналіз цінової різниці внутрішніх і
зовнішніх цін показав, що в цей період відбувалися суттєві коливання цінової
різниці - від 12,2% (2006 р.) до 20,2% (2003 р.) (Рис.2.7).
Зміни обсягів імпорту в 2001-2006
роках відповідали змінам цінової ситуації, яка склалася на ринку цього товару.
Так, у 2003 році обсяги імпорту залізорудного концентрату до України збільшилися
у порівнянні з 2002 роком на 51%, а в 2004 році скоротилися у 2,6 рази в
порівнянні з 2003 роком, у 2006 році знову обсяги імпорту зменшились на 23% в
порівнянні з попереднім роком.
Крім того, основні імпортні
надходження залізної руди до України здійснюються з Російської Федерації в
режимі вільної торгівлі, тобто навіть діюче мито у 2% з цією продукцією не
справляється.
Незважаючи на значні обсяги імпорту
залізної руди до України, в середньому за 2001-2006 роки обсяги експорту цієї
продукції майже в 6 разів перевищували імпортні надходження, а в 2006 році - в
10 разів. В перспективі імпорт руди може збільшитися через внутрішні суперечки
цінового характеру між виробниками руди та металургійними підприємствами, що не
мають власних гірничо-збагачувальних комбінатів, які можуть в майбутньому
перейти на поставки залізного концентрату з за кордону.
Рисунок 2.7 - Залізорудний
концентрат. Порівняння цін та тарифів, 2001-2006 рр. [17]
Таким чином, залізна руда є товаром,
який досить чутливо реагує на цінові диспропорції зовнішнього та внутрішнього
ринків.
В той же час, вступ до СОТ не вплине
суттєво на торгівлю цим товаром, враховуючи, що зв’язаний тариф, щодо якого
бере зобов‘язання Україна при вступі до СОТ, відповідає діючий ставці ввізного
мита на цю продукцію.
2. Кокс
Рівень ставок імпортного мита на
кокс з вступом України до Світової організації торгівлі не зміниться. В
2001-2006 рр. ставка ввізного мита на кокс становила 0%, і саме такий рівень
ставки імпортного мита очікується після вступу до СОТ.
Аналіз внутрішніх та зовнішніх цін
на кокс засвідчив, що за ціною продукція вітчизняного виробництва є
конкурентоспроможною з аналогічною імпортною. Так, протягом 2001-2006 років
цінова різниця між внутрішніми та зовнішніми цінами змінилася з +1,9 % у 2001
році до -15,5 % у 2004 році та -11,3% у 2006 році (Рис.2.8).
Конкурентні переваги коксу
українського походження та сприятлива кон’юнктура на світових ринках були
використані вітчизняними виробниками у 2004 році, які збільшили обсяги експорту
в 2004 році майже в 3 рази (у кількісному виразі) в порівнянні з 2002 роком.
Але вже у 2005-2006 роках відбулось
різке зниження обсягів експорту, щорічно воно дорівнювало 63% проти
попереднього року. Ситуація у 2006 році показова тим, що за останні сім років
вперше імпорт коксу перевищив експорт. Виробники зіткнулися з двома основними
проблемами: падінням зовнішнього та внутрішнього попиту на свою продукцію через
високу собівартість продукції та дефіцитом вугілля для коксування.
Рисунок 2.8 - Кокс та напівкокс з
кам‘яного вугілля. Порівняння цін та тарифів, 2001-2006 рр. [17]
Тобто серед факторів, які суттєво
впливатимуть в довгостроковій перспективі на внутрішній ринок, необхідно
зазначити прогнозне збільшення споживання коксу, яке може призвести до
посилення дефіциту коксу та вугілля для коксування на внутрішньому ринку.
Зазначений дефіцит буде спричинятися зростанням виробництва чавуну та, головним
чином, задовольнятися імпортними надходженнями з Російської Федерації. В той же
час, для значного збільшення обсягів імпорту коксу та коксівного вугілля з РФ
до України існують певні обмеження, які викликані також зростанням споживання
цього продукту в Росії внаслідок збільшення обсягів виплавки чавуну російськими
металургійними підприємствами.
Таким чином, вступ України до СОТ не
матиме безпосереднього впливу на стан торгівлі коксом та конкурентоспроможність
вітчизняних виробників цієї продукції, але загострить давно існуючі проблеми в
галузі, незалежні від членства країни у цій організації.
3. Металевий прокат
Українська металургія має потужний
конкурентний потенціал: власні запаси залізорудної сировини, кваліфіковану та
недорогу робочу силу, вдале географічне розташування, що виражається у близькості
до морських портів та кордону з Російською Федерацією. Але існують суттєві
недоліки: нерозвинуте внутрішнє споживання, що робить металургів дуже залежними
від цінової кон’юнктури на світових ринках; високий ступінь енерговитратності
та споживання природного газу в виробничому процесі, недосконале та застаріле
обладнання. Тобто, головними для галузі є проблеми внутрішнього характеру, які
ніяким чином не пов’язані з вступом до СОТ, навпаки членство у СОТ допоможе
підприємствам розширити ринки збуту та ефективніше застосовувати механізми
захисту від антидемпінгових розслідувань та при торговельних суперечках.
Прокат з заліза та нелегованої сталі
є товаром, який займає вагому частку як у виробництві продукції української
металургійної промисловості, так і в експорті з України товарів металургійної
галузі. Україна є нетто-експортером прокату плоского з заліза та нелегованої
сталі.
Протягом 2001-2004 років
спостерігалася стала динаміка зростання обсягів експорту цієї продукції, але з
2005 року намітився спад. Так, у 2006 році в порівнянні з попереднім роком він
становив близько 11% у натуральному виразі. Незважаючи на деякий спад експорту,
Україна є безумовним нетто-експортером даного виду продукції. Для прикладу, у
2006 році експорт перевищував імпорт у 38 разів.
Торгівля цим товаром в рамках СОТ,
крім загальних норм та угод Світової організації торгівлі, регламентується
також секторальною ініціативою “Сталь”, приєднатися до якої Україна
зобов‘язалася.
Імпортні тарифи, передбачені
секторальною ініціативою „Сталь”, мають нульовий рівень в кінці
трансформаційного періоду, який для України стане діючим з дня приєднання до
СОТ. Це означає, що після вступу до СОТ Україна теж застосовуватиме тарифну
ставку 0 % (рис.2.9).
Аналіз динаміки цін на прокат
плоский з заліза та нелегованої сталі свідчить, що цінова різниця протягом
2001-2006 років була від‘ємною. Ставку ввізного мита на аналізовану продукцію,
яка становила протягом 2001-2004 років 5%, було зменшено у червні 2005 року до
0%. Ставка зв‘язаного тарифу на прокат плоский з заліза та нелегованої сталі
після вступу України до СОТ дорівнюватиме 0%, що відповідає діючому тарифу на
сьогоднішній день. Таким чином, вступ України до СОТ не справить негативного
впливу на українських виробників плоского прокату з заліза та нелегованої
сталі.
Рисунок 2.9 - Прокат з заліза та
нелегованої сталі. Порівняння цін та тарифів, 2001-2006 рр. [17]
Висновки стосовно промислових
товарів - при порівнянні цінової різниці між зовнішніми цінами та цінами вітчизняних
виробників промислових товарів з тарифами діючими та зв’язаними - для більшості
проаналізованих промислових товарів цінова різниця була від‘ємною, тобто цінова
конкурентоспроможність вітчизняної продукції була вищою за закордонні товари.
Навіть в ті періоди, коли цінова
різниця на окремі види товарів не була від’ємною та вищою за рівень діючого
мита, обсяги експорту продукції з України перевищували обсяги імпорту, що
свідчить про те, що Україна є нетто-експортером більшості видів промислової продукції,
зокрема продукції гірничо-металургійного комплексу, хімічної промисловості.
Виробничі потужності українських
підприємств гірничо-металургійного комплексу орієнтовані на зовнішні ринки
внаслідок нерозвиненості внутрішнього споживання.
Проблемними питаннями
для імпортної діяльності ВАТ «Інтерпайп НТЗ» є:
- низька якість
переробки товарного чавуну та сталі вітчизняними металургійними заводами при
відсутності в структурі корпорації «Інтерпайп» власних металургійних виробництв
з підвищенним контролем якості сировини, що вимагає зростання обсягів
імпортування цієї продукції з Росії
- зростання цін на
основну сировину для виробництва труб. Ця ситуація негативно впливає не тільки
на економіку виробництва труб, але і на контрактний ринок. Непередбачуваність
ринку передільного металу істотно звужує можливості вибудовування
довгострокових відносин із стратегічними партнерами;
Стратегічним рішенням може бути
запропоноване будівництво електросталеплавильного виробництва по
високотехнологічній переробці структурованих видів «чистої» сталі для
виробництва трубно-колісної продукції з вітчизняного металу та поступовий
відказ від імпортної сталі.
ВИСНОВКИ
ТА РЕКОМЕНДАЦІЇ
Стратегія бізнесу ВАТ
“Інтерпайп НТЗ” спрямована на збільшення обсягів реалізації продукції, розширення
ринків збуту продукції, активне просування продукції на ринки країн світу
отримання максимального прибутку, впровадження у виробництво нових
перспективних виробів, збереження трудового колективу. Завдяки поєднанню
інтелектуального потенціалу, високої корпоративної культури, творчого духу й
розвиненої науково-технічної інфраструктури ВАТ “Інтерпайп НТЗ” випускає труби,
колеса та бандажі, які складають конкуренцію продукції провідних фірм світу.
Ключовим аспектом
стратегії ВАТ “Інтерпайп НТЗ” на 2007 - 2010 р.р. є зміцнення і розширення
своєї участі на стратегічно важливих продуктових сегментах ринку, а саме:
- обсадні труби;
- залізничні колеса;
- безшовні труби для
газо- і нафтопроводів.
В ВАТ “Інтерпайп НТЗ”
розроблена інвестиційна програма технічного розвитку, яка заснована на
зіставленні стратегічних ринкових цілей, дій конкурентів, а також технічного і
технологічного рівня виробництва підприємства і направлена на поліпшення якості
продукції й зниження витрат. Програма складається з чотирьох основних напрямів:
- розвиток існуючих
потужностей, який полягає в модернізації прокатних агрегатів і обробних
потужностей, а також у дооснащенні цехів підприємства засобами неруйнівного
контролю, випробувальним устаткуванням і устаткуванням для поліпшення товарного
виду продукції;
- підтримка технічного
рівня виробництва, яке полягає в підтримці й відновленні працездатності
устаткування з високим ступенем зносу;
- зниження витрат на
виробництво продукції;
- будівництво
електросталеплавильного комплексу з поступовим виводом із експлуатації існуючих
мартенівських печей.
Основою експортної
конкурентоспроможності продукції в ВАТ “Інтерпайп НТЗ” є система управління
якістю, яка базується на вимогах міжнародного стандарту ІSO 9001:2000 і
враховує вимоги стандартів на системи якості Американського інституту нафти APІ
Q1 і Асоціації американських залізниць AAR M-1003. Наявність у підприємства
Системи управління якістю дає також можливість приймати участь у міжнародних
тендерах на постачання продукції. Система управління якістю ВАТ “Інтерпайп НТЗ”
сертифікована:
- міжрегіональним
науково-інженерним центром стандартизації й сертифікації труб, балонів і іншої
металопродукції "УНІТІ-ТЕСТ" на відповідність ДСТУ ІSO 9001-2001;
- технічною інспекцією
TUV Іndustrіe Servіce Gmb підприємства TUV Rheіnland Group органа по
сертифікації TUV CERT на відповідність DІN EN ІSO 9001:2000;
- органом по
сертифікації систем якості й продукції Американського інституту нафти на
відповідність APІ Q1;
- органом по
сертифікації систем якості й продукції Асоціації американських залізниць на
відповідність AAR M-1003.
Проблемними питаннями
для експортної діяльності підприємства є:
- невідшкодований ПДВ на
кінець року в розмірі 112 236 тис.грн.;
- з 01.07.2006 року
Єврокомісією введені мита на безшовні труби виробництва ВАТ "ІНТЕР-ПАЙП
НТЗ" в розмірі 25,1%;
- зростання залізничних
тарифів та цін на газ, метал, дефіцит брухту позначається на збільшенні
собівартості продукції;
На діяльність
Підприємства також впливають зміни кон'юнктури на ринках збуту суцільнокатаних
коліс, бандажів та сталевих труб, у тому числі:
- загострення
конкуренції на світових ринках. Розвиток трубного виробництва в країнах, що є
найкрупнішими споживачами продукції Підприємства. Об'єктивно така ситуація
провокує проблеми з реалізацією труб Підприємства в регіонах, найпривабливіших
із погляду структури сортаменту ринку;
- введення Росією
обмеження на обсяги постачання українськими виробниками труб. Переплетення
державних факторів як економічних так і політичних призвело до обмеження поставок
українських труб на ринок СНД і до жорсткої конкуренції на ринку труб (введення
Урядом Росії квот на імпорт українських труб);
- необхідність перевірки
продукції на наявність альфа- і бета - випромінювання, а також трансуранових
компонентів, при ввезенні металопродукції до Росії.
Це ускладнює процедуру
імпорту та може привести до втрати частини російського ринку;
- відсутність попиту на
труби для машинобудування в Україні. Це пов'язано з тим, що машинобудування
знаходиться в стані занепаду, нафтогазовидобувні компанії не збільшують обсягів
розвідувально-бурових робіт, видобуток нафти й газу на українській території,
газифікація населених пунктів ведеться повільно через відсутність засобів,
служби, комунального постачання є бюджетними організаціями через недостатнє
фінансування;
- зростання цін на
основну сировину для виробництва труб. Ця ситуація негативно впливає не тільки
на економіку виробництва труб, але і на контрактний ринок. Непередбачуваність
ринку передільного металу істотно звужує можливості вибудовування
довгострокових відносин із стратегічними партнерами;
- зміна життєвих
цінностей - неадекватна оцінка змін, що відбуваються. Зниження, щільно до
втрати, необхідного рівня корпоративної культури, почуття причетності до
результатів діяльності Підприємства.
Зростання цін на
енергоносії на внутрішньому ринку впливає на збільшення цін на продукцію, що
призводить до переорієнтації ринків трубної продукції і як наслідок - до
падіння обсягів виробництва труб. Суттєвий вплив на діяльність обігових коштів
Підприємства має дуже повільне відшкодування ПДВ з бюджету при відвантаженні
продукції на експорт.
Основним стратегічним
напрямком експортної діяльності ВАТ «Інтерпайп НТЗ» може бути запропоновано
принципово новий шлях технологічного переозброєння - будівництво цеху
електроплавильної переробки сталі та відказ від технології мартенівського цеху.
Перехід на електроплавильне виробництво вихідних стальних зливків для
виготовлення трубноколесної продукції дозволить використовувати вітчизняну
сталь, яку виплавляють металургійні заводи в Дніпропетровську,
Дніпродзержинську та Кривому Розі, тобто знизити витрати на транспортировку
матеріалів для виготовлення трубно-колісної продукції, а також суттєво знизити
собівартість виробництва за рахунок часткової відмови від імпортної сталі з
Росії.
Перспективна отримана
трубно-колісна продукція ВАТ «Інтерпайп НТЗ» з високоякісної та однорідної
сталі дозволить довесті якість випускаємої продукції до рівня самих високих
нормативних вимог Євросоюзу, що після вступ України в СОТ дає можливість різко
нарощувати обсяги експортної діяльності за вигідними конкурентними цінами, не
обмежені квотами та антидемпінговими розслідуваннями.
Проблемними питаннями
для імпортної діяльності підприємства є:
- низька якість
переробки товарного чавуну та сталі вітчизняними металургійними заводами при
відсутності в структурі корпорації «Інтерпайп» власних металургійних виробництв
з підвищенним контролем якості сировини, що вимагає зростання обсягів
імпортування цієї продукції з Росії
- невідшкодований ПДВ
(за 5 місяців) від експортної діяльності, що вимагає від підприємства суттєвого
«вимивання» оборотних коштів на сплату імпортного ПДВ (20% від вартості
імпорту), оформленого короткостроковими податковими векселями (до 30 днів);
- зростання залізничних тарифів
та цін на газ, метал, дефіцит брухту позначається на збільшенні собівартості
продукції;
- зростання цін на
основну сировину для виробництва труб. Ця ситуація негативно впливає не тільки
на економіку виробництва труб, але і на контрактний ринок. Непередбачуваність
ринку передільного металу істотно звужує можливості вибудовування
довгострокових відносин із стратегічними партнерами;
Стратегічним рішенням є будівництво
електроплавильного виробництва по високотехнологічній переробці структурованих
видів «чистої» сталі для виробництва трубно-колісної продукції з вітчизняного
металу та поступовий відказ від імпортної сталі.
Суттєвих зусиль потребує
мінімізація ризику посилення конкуренції, зумовленого потенційною можливістю
виходу на ринок російських підприємств, які виробляють металургійну продукцію.
З метою мінімізації
зазначеного ризику ВАТ "ІНТЕРПАЙП НТЗ" необхідно:
- здійснити інвестиції в
основні фонди обсягом до 900 млн.грн. (за останній рік їхні обсяги склали
близько 16,7 млн.грн.);
- працювати над вдосконаленням
виробничого процесу (оптимізація виробництва) та проводити дослідження з метою
вдосконалення продукції та використання новітніх технологій при її виготовленні
з урахуванням міжнародного досвіду.
Потенційний ризик втрати
частки ринку зумовлений фактором виникненням нових підприємств - конкурентів та
послідуючих перерозподілом ринку не на ко-ристь ВАТ "ІНТЕРПАЙП НТЗ".
Збереження такої тенденції в подальшому може негативно позначитися на
фінансово-господарському стані підприємства. Задля мінімізації ризику втрати
частки ринку підприємству необхідно здійсніти наступні заходи:
- диверсифікація
клієнтської бази шляхом виходу на ринки зарубіжних країн. Так за останні 10
років, перелік покупців продукції поповнився підприємствами Казахстану,
Туркменістану, Узбекистану, США, ОАЕ, Саудівської Аравії;
- вдосконалення процесу
виробництва, застосування новітніх технологій з метою підвищення якості
продукції та закріплення лідерства ВАТ "ІНТЕРПАЙП НТЗ" в тих
сегментах, в яких Товариство працює сьогодні;
- підвищення стандарту
співвідношення ціна/якість продукції ;
Практична цінність отриманих
результатів роботи полягає в проведенні послідовного аналізу діяльності і змін
в фінансовому стані ВАТ «Інтерпайп НТЗ» та наданні пропозицій по покращанню
зовнішньоекономічної діяльності за рахунок вільного виходу в умовах СОТ на
ринки Європи та США з новою експортною продукцією - виробами з
прецензійно-чистого металу нового електросталеплавильного цеху підприємства,
працюючого виключно на чугунносталевій сировині металургійних заводів України,
що знизить імпортну залежність від продукції російських металургійних заводів.
СПИСОК
ПОСИЛАНЬ
1. Митний Кодекс України від 11
липня 2002 року N 92-ІV // Із змінами і доповненнями, внесеними Законами
України станом від 16 листопада 2006 року N 359-V
2. Господарський кодекс України
// від 16 січня 2003 року N 436-ІV(діє з 01.01.2004)
3. Закон України “Про Митний
тариф України” N 2371-ІІІ від 5 квітня 2001 року // Із змінами і доповненнями,
внесеними Законами України станом від 23 червня 2005 року N 2715-ІV
4. Закон України “ Про
зовнішньоекономічну діяльність” від 16 квітня 1991року N 959-XІІ /Із змінами і
доповненнями, внесеними Законами Украї-ни станом від 14 вересня 2006 року N 139
-V
5. Закон України “Про
оподаткування прибутку підприємств” від 28 грудня 1994 року N 334/94-ВР // Із
змінами і доповненнями, внесеними Законами України станом від 27 квітня 2007
року N 997-V
6. Закон України “Про податок
на додану вартість” від 3 квітня 1997 року N 168/97-ВР // Із змінами і
доповненнями, внесеними Законами України станом від від 22 грудня 2006 року N
535-V
7. Закон України “Про Єдиний
митний тариф” від 5 лютого 1992 року N 2097-XІІ //Із змінами і доповненнями,
внесеними Законами України станом від 17 січня 2006 року N 3351-ІV
8. МІЖНАРОДНА ТОРГОВЕЛЬНА
ПАЛАТА “ІНКОТЕРМС - Офіційні правила тлумачення торговельних термінів”
(редакція 2000 року) - Видання МТП N 560, Введені в дію з 01.01.2000 р. //
"Урядовий кур'єр", N 63, 3 квітня 2000 р., "Урядовий
кур'єр", N 68, 10 квітня 2002 р.
9. Порядок проведення митного
оформлення товарів, що вивозяться залізничним транспортом, з використанням
загальної вантажної митної декларації //Наказ Державної митної служби
Українивід 2 червня 2003 року N 380 (Із змінами і доповненнями, внесеними
наказами Державної митної служби України станом від 15 липня 2004 року N 522)
10. Про затвердження Порядку
випуску, обігу та погашення векселів, які видаються на суму податку на додану
вартість при ввезені (пересиланні) товарів на митну територію Україну
//Постанова КМУ від 01.10.97р. №1104
11. Про затвердження Порядку
справляння митними органами ввізного (вивізного) та особливих видів мита під
час митного оформлення товарів, що переміщуються через митний кордон України //
Наказ Держмитслужби від 23.01.2006 № 30
12. Положення
(стандарт) бухгалтерського обліку 2 "Баланс", Наказ Мінфіна України №
87 від 31.03.1999 + № 304 від 30.11.2000.
13. Положення
(стандарт) бухгалтерського обліку 3 " Звіт про фінансові результати «,
Наказ Мінфіна України № 87 від 31.03.1999 + № 304 від 30.11.2000.
14. Дорофієнко В. -
Про деякі аспекти економічних наслідків приєднання України до СОТ// Економіст -
№8 - 2007.// стор.66-70;
15. Золотько І.А. Податкова
система. Навч.посібник.- Київ, Видавницт-во: КНЕУ, 2005, 204 с.
16. Зовнішньоекономічна діяльність
: Навчальний посібник для студ. вищих навчальних закладів/ Ред. І.І. Дахно. -
К.: Центр навчальної літератури, 2006. - 360 с
17. Інформаційно-аналітичні
матеріали з питань вступу України до СОТ. Міністерство економіки України, 2006
р. - 19 с.
18. Ізмайлова К.В. Фінансовий
аналіз: Навч.посібник.- К.: МАУП,2000
19.
Конкурентоспроможність економіки України в умовах глобалізації / Я. А. Жаліло,
Я. Б. Базилюк, Я. В. Белінська та ін.; За ред. Я. А. Жаліла. - К.: НІСД, 2005.
- 388 с.
20. Крамаренко Г.О., Чорна О.Є.
Фінансовий менеджмент.- Киів: Центр навчальної літератури, 2006р. -520с.
21. Крамаренко Г. О. Фінансовий
аналіз і планування. - Київ: Центр навчальної літератури, 2003. - 224 с.
22. Міжнародний менеджмент:
Навчальний посібник для студ. вищих навчальних закладів/ В.С. Білозубенко, О.В.
Озаріна, А.А. Семенов; Ред. О.Б. Чернега. - К.: Центр навчальної літератури,
2006. - 592 с
23. Савчук В.П.
Финансовый менеджмент предприятий: прикладные вопросы с анализом деловых
ситуаций. - К.: Издательский дом «Максимум», 2001. - 600 с.
24. Соляник Л.Г. Економічний
аналіз:Навчальний посібник. - Дніпропетровськ, Національна гірнича академія
України, 2007. - 199 с.
25. Цибанкова Т. М.
- Глобальна торгова система: розвиток інститутів, правил, інструментів СОТ//
Монографія - видавництво 2-ге, без змін - Київ: КНЕУ, 2006// 660 стор.
26.
#"459984.files/image012.gif">
Продовження табл.А.1
Таблиця А.2
Продовження табл.А.2
ДОДАТОК
Б
Таблиця Б.1
Результати розрахунку показників
фінансового стану ВАТ “Інтерпайп НТЗ” у 2003 -2007 роках
Таблиця Б.2
Таблиця Б.3
Таблиця Б.4
Таблиця Б.5
Таблиця Б.6
ДОДАТОК
В
Додаток
Д
Таблиця Д.1 - Аналіз географії
реалізації товарної продукції 2004 року в основних цехах ВАТ «Інтерпайп НТЗ» (в
тис.грн.)
Таблиця Д.2 - Аналіз географії реалізації
товарної продукції 2005 року в основних цехах ВАТ «Інтерпайп НТЗ» (в тис.грн.)
тис.грн.
Таблиця Д.3 - Аналіз географії реалізації
товарної продукції 2006 року в основних цехах ВАТ «Інтерпайп НТЗ» (в тис.грн.)
,
ДОДАТОК
Г
Таблиця Г.1- Відгрузка труб ВАТ
«Інтерпайп НТЗ» по регіонах у 2004 році
|
Регион
|
Трубы стальные
|
Готовый прокат
|
Итого
|
|
тонн
|
%
|
тонн
|
%
|
%
|
|
Украина
|
137291
|
28,80%
|
89111
|
39,96%
|
32,37%
|
|
Россия
|
143608
|
30,12%
|
112870
|
50,62%
|
36,65%
|
|
Беларусь
|
8097
|
1,70%
|
3244
|
1,45%
|
1,62%
|
|
Молдова
|
463
|
0,10%
|
260
|
0,12%
|
0,10%
|
|
Казахстан
|
25797
|
5,41%
|
5673
|
2,54%
|
4,50%
|
|
Узбекистан
|
6178
|
1,30%
|
0
|
0,00%
|
0,88%
|
|
Азербайджан
|
6927
|
1,45%
|
62
|
0,03%
|
1,00%
|
|
Таджикистан
|
280
|
0,06%
|
0
|
0,00%
|
0,04%
|
|
Туркменистан
|
5026
|
1,05%
|
0
|
0,00%
|
0,72%
|
|
Грузия
|
69
|
0,01%
|
65
|
0,03%
|
0,02%
|
|
Армения
|
0
|
0,00%
|
0
|
0,00%
|
0,00%
|
|
Дальнее зарубежье
|
143030
|
30,00%
|
11703
|
5,25%
|
22,11%
|
|
ИТОГО
|
476904
|
100,00%
|
222988
|
100,00%
|
100,00%
|
Таблиця Г.2 - Відгрузка труб ВАТ
«Інтерпайп НТЗ» по регіонах у 2005 році
|
Регион
|
Трубы стальные
|
Готовый прокат
|
Итого
|
|
тонн
|
%
|
тонн
|
%
|
%
|
|
Украина
|
114250
|
21,2%
|
112585
|
53,6%
|
30,26%
|
138756
|
25,7%
|
27850
|
13,3%
|
22,23%
|
|
Беларусь
|
19012
|
3,5%
|
8247
|
3,9%
|
3,64%
|
|
Молдова
|
821
|
0,2%
|
130
|
0,1%
|
0,12%
|
|
Казахстан
|
34912
|
6,5%
|
9788
|
4,2%
|
5,96%
|
|
Узбекистан
|
9996
|
1,9%
|
186
|
0,1%
|
1,36%
|
|
Азербайджан
|
9757
|
1,8%
|
0
|
0%
|
1,3%
|
|
Туркменистан
|
4378
|
0,8%
|
0
|
0%
|
0,58%
|
|
Грузия
|
0
|
0%
|
243
|
0,1%
|
0,03%
|
|
Армения
|
0
|
0%
|
121
|
0,1%
|
0,01%
|
|
Латвия
|
0
|
0%
|
259
|
0,1%
|
0,03%
|
|
Литва
|
0
|
0%
|
1478
|
0,7%
|
0,19%
|
|
Эстония
|
0
|
0%
|
130
|
0,1%
|
0,01%
|
|
Дальнее зарубежье
|
207659
|
38,5%
|
48999
|
23,3%
|
34,24%
|
|
ИТОГО
|
539541
|
100,0%
|
210016
|
100,0%
|
100,00%
|
Таблиця Г.3 - Відгрузка труб ВАТ
«Інтерпайп НТЗ» по регіонах у 2006 році
|
Регіон
|
Труби сталеві
|
Готовый прокат
|
Разом
|
|
Тонн
|
%
|
Тонн
|
%
|
%
|
|
Україна
|
135259
|
23,1%
|
111513
|
51,7%
|
30,77%
|
|
Росія
|
162032
|
27,6%
|
20454
|
9,5%
|
22,75%
|
|
Бєларусь
|
20808
|
3,6%
|
7069
|
3,3%
|
3,48%
|
|
Молдова
|
419
|
0,1%
|
195
|
0,1%
|
0,08%
|
|
Казахстан
|
32290
|
5,5%
|
10784
|
5,0%
|
5,37%
|
|
Узбекистан
|
12199
|
2,1%
|
2843
|
1,3%
|
1,87%
|
|
Азербайджан
|
13292
|
2,3%
|
0
|
0%
|
1,66%
|
|
Туркменістан
|
11359
|
1,9%
|
0
|
0%
|
1,42%
|
|
Грузія
|
0
|
0%
|
711
|
0,3%
|
0,09%
|
|
Вірменія
|
13
|
0%
|
0
|
0%
|
0,00%
|
|
Латвія
|
0
|
0%
|
1368
|
0,6%
|
0,17%
|
|
Литва
|
0
|
0%
|
3958
|
1,8%
|
0,49%
|
|
Естонія
|
0
|
0%
|
1999
|
0,9%
|
0,25%
|
|
Далеке Зарубіжжя
|
198161
|
33,8%
|
54961
|
25,5%
|
31,56%
|
|
РАЗОМ
|
586114
|
100,0%
|
215855
|
100,0%
|
99,96%
|