Передаточные функции одноконтурной системы
Практическая
работа № 1
1. По заданным дифференциальным
уравнениям определить операторные уравнения при нулевых начальных условиях,
передаточные функции, структурные схемы звеньев, характеристические уравнения и
их корни. Показать распределение корней на комплексной плоскости.
Оценить
устойчивость каждого из звеньев.
а)
; б)
.
2. По заданной передаточной
функции записать дифференциальное уравнение:
.
1.
а). Дифференциальное
уравнение можно записать в виде:
.
Обозначим Y(s) и F(s) как изображения
сигналов соответственно y и f, тогда операторное уравнение (при нулевых
начальных условиях) примет вид:
1,25s3Y(s)
– 4s2Y(s) + 5sY(s) = 3F(s) – sF(s).
Данное уравнение
можно преобразовать, вынеся Y(s) и F(s)
за скобки:
Y(s).
(1,25s3 – 4s2 + 5s) = F(s). (3 – s).
Отсюда получено:
.
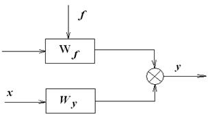
Очевидно, что
входной сигнал x отсутствует, и выходной сигнал у определяется только
внешним воздействием f (система, действующая по возмущению):
, то получается уравнение Y(s) = WF(s).F(s). Структурная схема
объекта приведена на рис. 1.
Рис.1
Рис. 2
Передаточная
функция имеет знаменатель, называемый характеристическим выражением:
A(s) =
.
Если
приравнять данное выражение к нулю, то образуется характеристическое уравнение
, корни которого:
,
и
.
Распределение
корней на комплексной плоскости показано на рис. 2. По рисунку видно, что корни
лежат в правой полуплоскости, следовательно, объект неустойчив.
б) Дифференциальное
уравнение можно записать в виде:
.
Обозначим Y(s), X(s) и F(s) как изображения
сигналов соответственно y, x и f, тогда операторное уравнение (при нулевых
начальных условиях) примет вид:
2s2Y(s)
+ 4sY(s) + 10Y(s) = 3X(s) + 4sF(s).
Данное
уравнение можно преобразовать, вынеся Y(s) и X(s) за скобки:
Y(s).
(5s2 + 4s + 10) = 3X(s) + 4sF(s).
Отсюда получено:
.
Если
обозначить передаточные функции объекта как
и
,
то получается
уравнение Y(s) = Wx(s).X(s) + WF(s).F(s). Структурная схема
объекта приведена на рис. 3.
Рис. 3
Характеристическая
функция имеет вид:
,
а
характеристическое уравнение:
.
Корни этого
уравнения равны:
и
.
Распределение
корней на комплексной плоскости показано на рис. 4:
Рис. 4.
Все корни
характеристического уравнения лежат в левой полуплоскости, очевидно, что объект
устойчив.
2.
Дана
передаточная функция вида:
Зная, что по
определению,
, получим:
, тогда:
.
Раскрывая
скобки:
Применяя к
полученному выражению обратное преобразование Лапласа, находим искомое
дифференциальное уравнение:
.
Практическая
работа № 2
Дана
одноконтурная АСР, для которой определена передаточная функция регулятора (Р) с
настройками и дифференциальное уравнение объекта управления (ОУ). Требуется
определить:
-
передаточную функцию разомкнутой системы W∞(s),
-
характеристическое выражение замкнутой системы (ХВЗС),
-
передаточные функции замкнутой системы Фз(s) – по заданию, Фв(s) – по возмущению, ФЕ(s) – по ошибке,
-
коэффициенты усиления АСР,
-
устойчивость системы.
Р -
ПИ-регулятор с ПФ вида
;
дифференциальное
уравнение объекта управления:
.
Определим
передаточную функцию объекта:
Wоб(s)
.
Передаточная
функция разомкнутой системы имеет вид:
Характеристическое
выражение замкнутой системы:
;
Передаточные
функции замкнутой системы:
- по заданию;
- по ошибке;
- по возмущению.
По
передаточным функциям определим коэффициенты усиления путем подстановки в них s = 0:
К3 = Ф3(0) =
1 – по заданию;
КЕ = ФЕ(0) =
0 – по ошибке;
Кв = Фв(0) =
0 – по возмущению.
Определим
устойчивость АСР по критерию Гурвица.
Так как
коэффициенты ХВЗС а3 = 4, а2 = 6, а1 = 18, а0 = 4 (степень полинома n = 3), то матрица Гурвица
имеет вид:
Диагональные
миноры матрицы равны соответственно:
Поскольку все
определители положительны, то АСР является устойчивой.
Практическая
работа № 3
По табличным
данным построить переходную кривую объекта, определить параметры передаточной
функции объекта, рассчитать настройки ПИД-регулятора, обеспечивающие 20%-е
перерегулирование.
DXвх
= 5,5 кПа; DY = 0,149 %; tзап = 40 сек
|
t, мин
|
0
|
20
|
50
|
80
|
110
|
140
|
170
|
200
|
230
|
260
|
|
DY
|
0
|
0,009
|
0,032
|
0,060
|
0,089
|
0,116
|
0,130
|
0,141
|
0,149
|
0,149
|
Полученная
переходная характеристика изображена на рисунке 5:
Рис. 5.
Переходная характеристика.
Установившееся
значение выходной величины составляет:
;
Коэффициент
усиления равен:
;
Постоянная
времени равна:
.
Для процесса
с 20 % перерегулированием ПИД-регулятора, его настройки:
;
;
.
Практическая
работа № 4
Дана
одноконтурная АСР. Требуется определить:
·
передаточные
функции регулятора и объекта управления,
·
передаточную
функцию разомкнутой системы W∞(s),
·
характеристическое
выражение замкнутой системы (ХВЗС),
·
передаточные
функции замкнутой системы Фз(s) – по заданию,
Фв(s) – по возмущению, ФЕ(s) – по ошибке,
·
коэффициенты
усиления АСР,
·
примерный
вид переходных процессов по заданию, ошибке и возмущению,
·
устойчивость
системы.
Структурная
схема АСР:
W1(s):
; W2(s):
;
K1 = 1,2; K0 = 1,0; K = 1,0
·
Передаточная
функция регулятора:
·
Передаточная
функция объекта управления:
.
Определим
операторные уравнения звеньев объекта управления: для этого обозначим Y(s) и U(s) как изображения
сигналов соответственно y и u, тогда операторные уравнения примут вид:
W1(s):
sY(s) = 2U(s);
W2(s):
2s2Y(s)+sY(s)+4Y(s)=7U(s).
Данные
уравнения можно преобразовать, вынеся Y(s) и U(s) за скобки:
W1(s):
sY(s) = 2U(s);
W2(s):
Y(s)·(2s2+s+4)=7U(s).
Отсюда
получено:
W1(s): Y(s) =
W2(s):
Y(s) =
.
Тогда:
.
Передаточная
функция объекта управления:
·
Передаточная
функция разомкнутой системы:
·
Характеристическое
выражение замкнутой системы:
·
передаточные
функции замкнутой системы
Ф3(s) – по заданию:
ФЕ(s) – по ошибке:
ФВ(s) – по возмущению:
При
определении передаточной функции по возмущению принимается Wу.в. = Wоу. Тогда:
.
·
По
передаточным функциям определим коэффициенты усиления путем подстановки в них s = 0:
К3 = Ф3(0) =
1 – по заданию;
КЕ = ФЕ(0) =
0 – по ошибке;
Кв = Фв(0) =
0 – по возмущению.
·
Определим
устойчивость АСР по критерию Гурвица.
Так как
коэффициенты ХВЗС
(степень
полинома n
= 4), то матрица Гурвица имеет вид:
Диагональные
миноры матрицы равны соответственно:
Поскольку все
определители положительны, то АСР является устойчивой.
·
Определим
вид переходных процессов по заданию, ошибке и возмущению:
а)
По
заданию:
Корни
знаменателя:
Изображение
разбивается на сумму дробей:
.
Тогда
оригинал y(t),
согласно таблицам, имеет вид:
y(t) = y0 + y1,2(t) + y 3,4(t) =
+
;
где a1,2, α3,4 и w1,2, w3,4 - действительная и
мнимая части пары комплексных корней s1,2 и s3,4 соответственно.
C1,2, С3,4 и D1,2, D3,4 – действительная и
мнимая части пары коэффициентов М1 и М3 соответственно.
Для корня s0 = 0:
;
Для корней
:
=
;
Для корней
:

;
Тогда:
Получим
оригинал:
б) По
ошибке:
Корни
знаменателя:
Изображение
разбивается на сумму дробей:
.
Тогда
оригинал y(t),
согласно таблицам, имеет вид:
y(t) = y1,2(t) + y 3,4(t) =
+
;
где a1,2, α3,4 и w1,2, w3,4 - действительная и
мнимая части пары комплексных корней s1,2 и s3,4 соответственно.
C1,2, С3,4 и D1,2, D3,4 – действительная и
мнимая части пары коэффициентов М1 и М3 соответственно.
Для корней
:

Для корней
:

;
Тогда:
Получим
оригинал:
в) По
возмущению:
Корни
знаменателя:
Изображение
разбивается на сумму дробей:
.
Тогда
оригинал y(t),
согласно таблицам, имеет вид:
y(t) = y1,2(t) + y 3,4(t) =
+
;
где a1,2, α3,4 и w1,2, w3,4 - действительная и
мнимая части пары комплексных корней s1,2 и s3,4 соответственно.
C1,2, С3,4 и D1,2, D3,4 – действительная и
мнимая части пары коэффициентов М1 и М3 соответственно.
Для корней
:

Для корней
:

;
Тогда:
Получим
оригинал: