Линейные функции
КОНТРОЛЬНАЯ РАБОТА № 2
ВАРИАНТ 2.3
№ 1. Записать общее уравнение прямой, переходящей через точку М (-2, 4)
перпендикулярно прямой x+2y+5=0.
Найти площадь треугольника, образованного данной прямой с осями координат.
Запишем уравнение прямой в виде:
.
Коэффициент К найдем из условия перпендикулярности прямых:
Получим уравнение прямой:
Сделаем чертеж
№ 2. Записать общее уравнение прямой, проходящей точку М (-2, 2) и
отсекающей от первого координатного угла треугольник площадью S=
4,5 кв.ед.
Сделаем схематический чертеж
Площадь треугольника будет равна
.
Координаты точек А и В найдем из уравнения прямой, которое запишем в
виде
Из уравнения
Получим прямую с угловым коэффициентом
Значение
соответствует прямой, которая отсекает
треугольник площадью S=4,5 от третьего координатного
угла..
№ 3. Даны вершины треугольника А (2,1,0), В (3,-1,1) и С (1,2,-4).
Записать общее уравнение плоскости, проходящей через сторону АВ перпендикулярно
плоскости треугольника АВС.
Общее уравнение имеет вид:
Для нахождения A,B,C и D необходимо составить три
уравнения.
Два уравнения получим из условия, что искомая плоскость проходит через
точки А и В. Третье — из условия, что искомая плоскость перпендикулярна
плоскости, проходящей через три точки А, В и С. условие перпендикулярности
плоскостей:
Найдем уравнение плоскости, проходящей через точки А, В, С по формуле:
Разложим определитель по первой строке, подготовив числовые значения:
Получим уравнение плоскости:
Запишем условие перпендикулярности плоскостей:
Условие, что искомая плоскость:
через точку А:
;
через точку В:
.
Получим систему уравнений:
Складываем 2-е и 3-е уравнения:
, 1-е уравнение умножаем на 2 и вычитаем из
полученного:
Из 1-го уравнения:
.
Из 3-го уравнения:
. Принимаем
, получаем
.
Уравнение плоскости имеет вид:
№ 4. Найти расстояние от точки
до прямой
.
Расстояние r найдем по формуле расстояния от
точки
до
прямой, заданной уравнением в канонической форме:
№ 5. Найти длину отрезка, отсекаемого от оси ординат плоскостью, которая
проходит через точку
перпендикулярно
вектору
, где В — точка
пересечения медиан треугольника, вершины которого совпадают с точками
пересечения осей координат с плоскостью
Для нахождения решения найдем уравнение плоскости, которая проходит
через точку А в заданном направлении и подставим в это уравнение значение
.
Для этого вначале найдем координаты точки В.
Точку пересечения заданной плоскости с осью ОХ найдем из уравнения:
с осью OY:
с осью OZ:
Получим треугольник с вершинами:
.
Найдем координаты середины стороны
по формуле:
.
— середина
стороны
.
Теперь найдем точку В, используя свойство: медианы треугольника делятся
в точке пересечения в отношении 2:1, считая от вершины. Используем формулу:
Точка пересечения медиан имеет координаты
.
Уравнение искомой плоскости, проходящей через точку
перпендикулярно вектору
имеет вид:
№ 6. Две прямые параллельны плоскости
. Первая прямая проходит через точку
и пересекает ось абсцисс,
вторая — через точку
и
пересекает ось ординат. Найти косинус острого угла между направляющими
векторами этих прямых.
Для нахождения направляющих векторов прямых используем условие
параллельности прямой и плоскости
и условие, что прямая проходит через ось абсцисс, т.е. выполняется
соотношение
в точке (x,0,0).
подставляем из 1-го уравнения во второе, получим
Полагаем
тогда
.
Получили направляющий вектор первой прямой (6,-2,-3).
Аналогично для второй прямой (она проходит через точку (0,y,0)
Из второго уравнения
Косинус найдем по формуле:
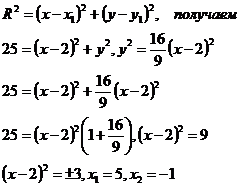
№ 7. Найти координаты центра
окружности радиусом 5, касающейся прямой
в точке М (2,0), если
известно, что точка С расположена в первой четверти.
Переформулируем задачу:
Найти точку, лежащую на прямой, перпендикулярной прямой
, проходящей через точку М (2,0) и
отстоящую от нее на 5 ед.
Запишем уравнение прямой в виде
, коэффициент k найдем
из условия перпендикулярности прямых
Получаем уравнение прямой
Используем формулу расстояния между двумя точками:
По условию второе решение не походит, т.к. x<0.
№ 8. Дана кривая
8.1. Доказать, что эта кривая — гипербола.
— это
каноническое уравнение гиперболы. Приведем исходное уравнение к этому виду
Это каноническое уравнение гиперболы.
8.2 Найти координаты ее центра симметрии.
Сделаем схематический чертеж:
Центр симметрии гиперболы в точке
.
.
8.3. Найти действительную и мнимую полуоси.
8.4. Записать уравнение фокальной оси.
Фокальная ось проходит через фокус
, р-фокальный параметр (половина хорды,
проведенной через фокус перпендикулярно действительной оси).
Уравнение
, где
8.5. Построить данную гиперболу построение проведено в п.8.2.
№ 9. Дана кривая
.
9.1. Доказать, что данная кривая — парабола.
Каноническое уравнение параболы
, заданное уравнение приведем к этому виду
следовательно, имеем параболу.
9.2. Найти координаты ее вершины.
Если уравнение параболы записано в виде
, координаты вершины
.
9.3. Найти значение ее параметра р.
Из уравнения—— видно, что
.
9.4. Записать уравнение ее оси симметрии.
Данная ось проходит через вершину параболы перпендикулярно оси ОХ, ее
уравнение
.
9.5. Построить данную параболу.
Все параметры известны. Найдем пересечение с осью OY.
№ 10. Дана кривая
.
10.1. Доказать, что эта кривая — эллипс.
Каноническое уравнение эллипса
Общее уравнение кривой второго порядка:
.
Перепишем заданное уравнение:

Если
имеем
эллипс. Проводим вычисления при a=8, b=6,
c=17,d=-14, l=-23,
f=-43.
следовательно, исходная кривая — эллипс.
10.2. Найти координаты центра его симметрии.
Применим формулу:
10.3. Найти его большую и малую полуоси.
Для этого приведем уравнение к каноническому виду, вычислим:
Уравнение запишем в виде:
где
Получим уравнение эллипса в новых координатах, где осями координат
являются оси, полученные переносом начала координат в центр эллипса
и поворотом осей на угол
α, определяемый уравнением
, при этом угловой коэффициент новой оси
10.4. Записать общее уравнение фокальной оси.
Фокальная ось проходит через фокус перпендикулярно оси
. В новых координатах
.
Воспользуемся формулой преобразования координат:
Осталось составить уравнение прямой, проходящей через точку с
коэффициентом наклона 2. Общий вид такой прямой
, получим:
10.5. Построить данную кривую.
Для этого в старой системе координат строим новую систему. Новые оси
направлены по прямым — y=2x-1 и
. Далее, определим
вершины эллипса.
В новых координатах они равны
.
В старых: