Решения задач линейного программирования геометрическим методом
ГОСУДАРСТВЕННОЕ ОБРАЗОВАТЕЛЬНОЕ
УЧРЕЖДЕНИЕ
«ПРИДНЕСТРОВСКИЙ
ГОСУДАРСТВЕННЫЙ УНИВЕРСИТЕТ им. Т.Г. ШЕВЧЕНКО»
РЫБНИЦКИЙ
ФИЛИАЛ
КАФЕДРА
«ФИЗИКИ, МАТЕМАТИКИ И ИНФОРМАТИКИ»
Курсовая
работа
по дисциплине
"Исследование
операций"
на тему:
“Решения задач линейного
программирования геометрическим методом”
Выполнила:
студентка III курса
специальности
“Информатика с доп. спец. английский язык”
Нистор А.Г.
Проверила:
преподаватель
Панченко Т.А.
г. Рыбница
2008 г.
ОГЛАВЛЕНИЕ
Введение. 3
I. ТЕОРЕТИЧЕСКИЙ РАЗДЕЛ. 4
1.1 Линейное программирование.. 4
1.2 Формулировка
задачи.. 5
1.3 Основные понятия линейной алгебры и выпуклого
анализа, применяемые в теории математического программирования.. 7
1.4 Математические
основы решения задачи линейного программирования графическим способом.. 9
1.4.1 Математический
аппарат.. 9
1.4.2 Геометрическая
интерпретация задачи линейного программирования.. 11
1.4.3 Этапы решения
графического метода задач линейного программирования. 13
II. ПРАКТИЧЕСКИЙ РАЗДЕЛ. 18
Задача № 1.. 18
Задача № 2.. 21
Задача № 3.. 24
Задача № 4.. 27
Задача № 5.. 30
Заключение.. 33
Список литературы. 34
Линейное программирование - это наука
о методах исследования и
отыскания наибольших и наименьших
значений линейной функции, на неизвестные которой наложены линейные
ограничения. Таким образом, задачи линейного программирования относятся к
задачам на условный экстремум функции. Казалось бы, что для исследования
линейной функции многих переменных на условный экстремум достаточно применить
хорошо разработанные методы математического анализа, однако невозможность их
использования можно довольно просто проиллюстрировать.
Для решения задач линейного
программирования потребовалось создание специальных методов. В данной курсовой
работе будет рассмотрен геометрический метод решения задач линейного
программирования. Геометрический метод применяется в основном при решении задач
двумерного пространства и только некоторых задач трехмерного пространства, так
как довольно трудно построить многогранник решений, который образуется в
результате пересечения полупространств. Задачу пространства размерности больше трех
изобразить графически вообще невозможно.
Таким образом,
целью данной курсовой работы является: освоить навыки использования геометрического
метода для решения задач линейного программирования. Для этого были поставлены
следующие задачи:
1) Изучить теоретические сведения, необходимые для
решения задач линейного программирования геометрическим методом.
2) Разобрать алгоритм решения ЗЛП геометрическим методом.
3) Решить поставленные задачи, используя рассмотренный
метод решения задач линейного программирования.
I. ТЕОРЕТИЧЕСКИЙ
РАЗДЕЛ
1.1 Линейное программирование
Линейное программирование —
математическая дисциплина, посвященная теории и методам решения задач об
экстремумах линейных функций на множествах n-мерного векторного пространства,
задаваемых системами линейных уравнений и неравенств.
Линейное программирование является
частным случаем математического программирования. Одновременно оно - основа
нескольких методов решения задач целочисленного и нелинейного программирования.
Многие свойства задач линейного
программирования можно интерпретировать также как свойства многогранников и
таким образом геометрически формулировать и доказывать их.
Термин «программирование» нужно
понимать в смысле «планирования». Он был предложен в середине 1940-х годов
Джорджем Данцигом, одним из основателей линейного программирования, еще до
того, как компьютеры были использованы для решения линейных задач оптимизации.
Математическая формулировка задачи линейного
программирования
Нужно максимизировать
при условиях
при i = 0, 1, 2, . . . , m .
Иногда на xi также накладывается некоторый набор
ограничений в виде равенств, но от них можно избавиться, последовательно
выражая одну переменную через другие и подставляя ее во всех остальных равенствах
и неравенствах (а также в функции f).
Такую задачу
называют "основной" или "стандартной" в линейном
программировании.
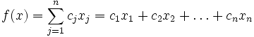
1.2 Формулировка задачи
Даны линейная
функция Z=С1х1+С2х2+...+СNxN (1.1)
и система
линейных ограничений
a11x1 + a22x2 + ... + a1NХN = b1
a21x1
+ a22x2 + ... + a2NХN = b2
. . . . . . . .
. . . . . . .
ai1x1
+ ai2x2 + ... + aiNХN = bi
(1.2) . . . . . . . . . . . . . . .
aM1x1
+ aM2x2 + ... + aMNХN = bM
xj 0
(j = 1, 2, ... ,n) (1.3)
где аij, bj и Сj - заданные
постоянные величины.
Найти такие
неотрицательные значения х1, х2, ..., хn, которые
удовлетворяют системе ограничений (1.2) и доставляют линейной функции (1.1) минимальное
значение.
Общая задача
имеет несколько форм записи.
Векторная форма
записи. Минимизировать линейную функцию Z = СХ при ограничениях А1х1
+ А2x2 + ... + АNxN = Ао,
X0 (1.4)
где С = (с1,
с2, ..., сN); Х = (х1, х2,
..., хN); СХ - скалярное произведение; векторы A1 = A2 = ,..., AN состоят
соответственно из коэффициентов при неизвестных и свободных членах.
Матричная форма
записи. Минимизировать линейную функцию, Z = СХ при
ограничениях АХ = А0Х0, где С = (с1, с2,
..., сN) - матрица-cтрока; А = (аij) - матрица
системы; Х =(xij)- матрица-столбец, А0 = (аi) матрица-столбец
Запись с
помощью знаков суммирования. Минимизировать линейную функцию Z = Сjхj при
ограничениях
0пределение 1.
Планом или допустимым решением задачи линейного программирования называется Х =
(х1, х2, ..., хN),
удовлетворяющий условиям (1.2) и (1.3).
0пределение 2.
План Х = (х1, х2, ..., хN) называется
опорным, если векторы А (i = 1, 2, ..., N), входящие в
разложение (1.4) с положительными коэффициентами х , являются линейно
независимыми.
0пределение 3.
Опорный план называется невырожденным, если он содержит М положительных компонент,
в противном случае опорный план называется вырожденным.
0пределение 4.
Оптимальным планом или оптимальным решением задачи линейного программирования
называется план, доставляющий наименьшее (наибольшее) значение линейной
функции.
В дальнейшем
рассмотрено решение задач линейного программирования, связанных с нахождением
минимального значения линейной функции. Там, где необходимо найти максимальное
значение линейной функции, достаточно заменить на противоположный знак линейной
функции и найти минимальное значение последней функции. Заменяя на
противоположный знак полученного минимального значения, определяем максимальное
значение исходной линейной функции.
1.3 Основные понятия линейной алгебры и выпуклого анализа,
применяемые в теории математического программирования
Кратко напомним некоторые фундаментальные
определения и теоремы линейной алгебры и выпуклого анализа, которые широко
применяются при решении проблем как линейного, так и нелинейного
программирования.
Фундаментальным понятием линейной
алгебры является линейное (вещественное) пространство. Под ним подразумевается
множество некоторых элементов (именуемых векторами или точками), для которых
заданы операции сложения и умножения на вещественное число (скаляр), причем
элементы, являющиеся результатом выполнения операций, также в соответствии с
определением должны принадлежать исходному пространству.
Частными случаями линейных
пространств являются вещественная прямая, плоскость, геометрическое трехмерное
пространство.
Вектор λ1a1 + λ2a2 + …+ λmam называется линейной комбинацией векторов а1
а2,..., аm
с коэффициентами λ1, λ2, λm,
Система векторов линейного
пространства а1 а2,..., аm называется линейно зависимой, если существуют такие
числа λ1, λ2, λm
не равные одновременно нулю, что их линейная комбинация λ1a1 + λ2a2 + …+ λmam равняется нулевому вектору (вектору, все компоненты которого
равны нулю). В противном случае систему а1, а2,..., аm называют линейно независимой, т. е.
линейная комбинация данных векторов может быть равна нулевому вектору только
при нулевых коэффициентах λ1, λ2, …, λm
Максимально возможное количество
векторов, которые могут образовывать линейно независимую систему в данном
линейном пространстве, называют размерностью пространства, а любую систему
линейно независимых векторов в количестве, равном размерности, — базисом
пространства.
Линейное пространство обычно
обозначают как Rn, где
n — его размерность.
Любое подмножество данного линейного
пространства, которое само обладает свойствами линейного пространства,
называется линейным подпространством. Множество Н, получаемое сдвигом некоторого
линейного подпространства L € Rn на вектор a € Rn: H=L+a, называется
аффинным множеством (пространством). Если фундаментальным свойством любого
линейного пространства или подпространства является принадлежность ему нулевого
вектора, то для аффинного множества это не всегда так. На плоскости примером
подпространства является прямая, проходящая через начало координат, а аффинного
множества — любая прямая на плоскости. Характеристическим свойством аффинного
множества является принадлежность ему любой прямой, соединяющей две любые его
точки. Размерность аффинного множества совпадает с размерностью того линейного
подпространства, сдвигом которого оно получено.
Если рассматривается некоторое
линейное пространство Rn, то принадлежащие ему аффинные множества размерности 1 называются
прямыми, а размерности (n-1)—гиперплоскостями.
Так, обычная плоскость является гиперплоскостью для трехмерного геометрического
пространства R3, а прямая — гиперплоскостью для плоскости R2.
Всякая гиперплоскость делит линейное пространство на два полупространства.
Множество V векторов (точек)
линейного пространства Rn
называется выпуклым, если оно содержит отрезок прямой, соединяющей две его
любые точки, или, другими словами, из того, что a €V и b€V , следует, что х = (1- λ) х а+ λ
х b € V , где 0 ≤ λ ≤ 1.
Линейная комбинация
векторов а1, а2...
аm называется выпуклой, если λi ≥0, i €1:m и
Множество, содержащее все возможные
выпуклые комбинации точек некоторого множества М, называют выпуклой оболочкой
данного множества. Можно показать, что выпуклая оболочка множества М является
наименьшим выпуклым множеством, содержащим М.
Выпуклая оболочка конечного множества
точек называется выпуклым многогранником, а непустое пересечение конечного
числа замкнутых полупространств — многогранным выпуклым множеством. В отличие
от выпуклого многогранника последнее может быть неограниченным.
Точка v выпуклого множества V называется его угловой (крайней)
точкой, если она не является внутренней точкой ни для какого отрезка, концы
которого принадлежат множеству V. Угловые точки выпуклого многогранника
являются его вершинами, а сам он — выпуклой оболочкой своих вершин.
Множество К называется конусом с
вершиной в точке x0, если x0 € К , и из того, что некоторая точка х принадлежит К ( х € К
), следует, что в К содержится и луч, начинающийся в х0 и проходящий
через х, т. е.
или
Выпуклая оболочка конечного множества
лучей, исходящих из одной точки, называется многогранным выпуклым конусом с
вершиной в данной точке.
1.4 Математические основы решения
задачи линейного программирования графическим способом
1.4.1
Математический аппарат
Для понимания
всего дальнейшего полезно знать и представлять себе геометрическую
интерпретацию задач линейного
программирования, которую можно дать для случаев n = 2 и n = 3.
Наиболее
наглядна эта интерпретация для случая n = 2, т.е. для случая двух переменных x1 и x2. Пусть нам задана задача линейного программирования в
стандартной форме
1.5)
Возьмём на
плоскости декартову систему координат и каждой паре чисел (x1,x2)поставим в соответствие точку на
этой плоскости.
Обратим
прежде всего внимание на ограничения x1 ≥0 и
x2 ≥ 0. Они из всей плоскости вырезают лишь её
первую четверть (см. рис. 1). Рассмотрим теперь, какие области соответствуют
неравенствам вида a1 x1 + a2 x2 ≤ b.
Сначала рассмотрим область, соответствующую равенству a1 x1 + a2 x2 = b. Как Вы, конечно, знаете, это прямая линия. Строить её проще
всего по двум точкам.
Пусть b ≠ 0. Если взять x1 = 0, то получится x2 = b/a2. Если взять x2 = 0, то получится x1 = b/a1. Таким образом, на прямой лежат две точки (0, b/a2) и (b/a1, 0). Дальше через эти две точки можно по линейке
провести прямую линию (рисунок 2).
Если же b=0, то на прямой лежит точка (0,0). Чтобы найти другую точку,
можно взять любое отличное от нуля значение x1 и вычислить соответствующее ему значение x2.
Эта
построенная прямая разбивает всю плоскость на две полуплоскости. В одной её
части a1x1 + a2x2 < b, а в
другой наоборот a1x1 + a2x2 > b. Узнать, в какой полуплоскости, какой знак имеет место проще
всего посмотрев, какому неравенству удовлетворяет какая-то точка плоскости,
например, начало координат, т.е. точка (0,0).
1.4.2
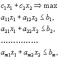
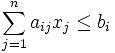
Геометрическая интерпретация задачи линейного программирования
Рассмотрим задачу ЛП в
стандартной форме записи:
max f(X) = с1х1
+ с2х2 + ... + спхп (*)
при ограничениях
а11х1
+ а12х2 + … + а1nхn ≤ b1
а21х1
+ а22х2 + … + а2nхn ≤ b2
……………………………..
аm1х1 + аm2х2 + … + аmnхn ≤ bm
хj ≥ 0, j = 1, 2, …, n.
Рассмотрим эту задачу на
плоскости, т.е. при п = 2. Пусть система неравенств (**), (***) совместна
(имеет хотя бы одно решение):
а11х1
+ а12х2 ≤ b1
а21х1
+ а22х2 ≤ b2
…………..
аm1х1 + аm2х2 ≤
bm
x1 ≥ 0; х2
≥ 0.
Каждое неравенство этой системы геометрически
определяет полуплоскость с граничной прямой аi1х1 + аi2х2 ≤
bi i = 1, m. Условия
неотрицательности определяют полуплоскости соответственно с граничными прямыми x1 = 0; х2 = 0.. Система совместна,
поэтому полуплоскости, как выпуклые множества, пересекаясь, образуют общую
часть, которая является выпуклым множеством и представляет собой совокупность
точек, координаты каждой из которых составляют решение данной системы.
Совокупность этих точек называют многоугольником решений. Это может быть точка,
отрезок, луч, замкнутый многоугольник, неограниченная многоугольная область.
Если в системе
ограничений (**) - (***) n = 3, то каждое неравенство геометрически представляет
полупространство трехмерного пространства, граничная плоскость которого аi1х1 + аi2х2 + аi3х1 ≤
bi, а условия неотрицательности — полупространства с граничными
плоскостями соответственно xi = 0 (i = 1, 2, 3). Если система
ограничений совместна, то эти полупространства, как выпуклые множества,
пересекаясь, образуют в трехмерном пространстве общую часть, которая называется
многогранником решений.

Пусть в системе (**) -
(***) п > 3, тогда каждое неравенство определяет полупространство n-мерного пространства с
граничной гиперплоскостью аi1х1 + аi2х2 + … + аinхn ≤ bi i = 1, т , а условия
неотрицательности — полупространства с граничными гиперплоскостями xj = 0, j = 1, n.
Если система
ограничений совместна, то по аналогии с трехмерным пространством она образует
общую часть n-мерного пространства, называемую многогранником
решений, так как координаты каждой его точки являются решением.
Таким образом,
геометрически задача линейного программирования представляет собой отыскание
такой точки многогранника решений, координаты которой доставляют линейной
функции минимальное значение, причем допустимыми решениями служат все точки
многогранника решений.
1.4.3
Этапы решения графического метода задач линейного программирования
Графический метод основан на геометрической интерпретации
задачи линейного программирования и применяется в основном при решении задач
двумерного пространства и только некоторых задач трехмерного пространства, так
как довольно трудно построить многогранник решений, который образуется в
результате пересечения полупространств. Задачу пространства размерности больше
трех изобразить графически вообще невозможно.
Пусть задача линейного программирования задана в двумерном пространстве,
т. е. ограничения содержат две переменные.
Если в ЗЛП ограничения
заданы в виде неравенств с двумя переменными, она может быть решена графически.
Графический метод решения ЗЛП состоит из следующих этапов.
Этап 1.
Сначала на координатной
плоскости x1Ox2 строится допустимая многоугольная область
(область допустимых решений, область определения), соответствующая
ограничениям:
1.6)
Не приводя
строгих доказательств, укажем те случаи, которые тут могут получится.
1.
Основной
случай -
получающаяся область имеет вид ограниченного выпуклого многоугольника (рис. 1а).
2.
Неосновной
случай получается неограниченный выпуклый многоугольник, имеющий вид, подобный
изображенному на рис. 1б. Подобная ситуация, например, получится, если в
рассмотренном выше примере убрать ограничение х1 + х 2 ≤
3. Оставшаяся часть будет неограниченным выпуклым многоугольником.
Наконец, возможен случай,
когда неравенства (1.6) противоречат друг другу, и допустимая область
вообще пуста.
Рассмотрим теорию на конкретном примере:
Найти
допустимую область задачи линейного программирования, определяемую
ограничениями
Решение:
1.
Рассмотрим
прямую –x1+x2 = 1. При x1 = 0, x2 = 0, а при x2= 0, x1= -1. Таким образом, эта
прямая проходит через точки (0,1) и (-1,0). Беря x1 = x2 = 0, получим, что
-0+0<1 и поэтому интересующая нас полуплоскость лежит ниже прямой,
изображенной на рис. 4.а.
2.
Рассмотрим
прямую
. При
, а при . Таким образом,
эта прямая проходит через точки (0, -1/2) и (1,0). так как
(4.б).
3.
Наконец,
рассмотри
м прямую
. Она проходит через точки
(0,3) и (3,0) и так как 0+0<3, то интересующая нас полуплоскость лежит ниже
прямой, изображенной на рис. 4.в.
Сводя все
вместе и добавляя условия х1 ≥ 0,х2 ≥ 0
получим рисунок 5, где выделена область, в которой выполняются одновременно все
ограничения (1.32). Обратим внимание на то, что получившаяся область имеет вид выпуклого
многоугольника.
Этап 2.
Вернёмся
теперь к исходной задаче линейного программирования. В ней, кроме системы
неравенств, есть еще целевая функция с1х1+с2х2
=>max.
Рассмотрим
прямую с1х1+с2х2 = L. Будем увеличивать L. Что будет
происходить с нашей прямой?
Легко
догадаться, что прямая будет двигаться параллельно самой себе в том
направлении, которое дается вектором (с1,с2), так как это
вектор нормали к нашей прямой и одновременно вектор градиента функции
f(х1,х2) = с1х1+с2х2
.
А теперь
сведем всё вместе. Итак, надо решить задачу
Ограничения
задачи вырезают на плоскости некоторый многоугольник. Пусть при некотором L
прямая с1х1+с2х2 = L пересекает допустимую область. Это пересечение дает какие-то значения переменных (х1,х2),
которые являются планами.
Этап 3
Увеличивая L
мы начнем двигать нашу прямую и её пересечение с допустимой областью будет
изменяться (см. рис. 7). В конце концов эта прямая выйдет на границу допустимой
области как правило, это будет одна из вершин многоугольника.
Дальнейшее увеличение L приведёт к тому, что пересечение прямой с1х1+с2х2
= L с допустимой областью будет пустым.
Поэтому то положение прямой с1х1+с2х2 =
L, при котором она вышла на граничную
точку допустимой области, и даст решение задачи, а соответствующее значение L и
будет оптимальным значением целевой функции.

Рис. 7
II. ПРАКТИЧЕСКИЙ
РАЗДЕЛ
Задача №1
Для производства двух видов изделий А
и В предприятие использует три вида сырья. Другие условия задачи приведены в
таблице 1.1..
Таблица 1.1.
Вид сырья
|
Нормы расхода сырья на одно изделие, кг
A B
|
Общее
количество сырья, кг
|
|
I
|
12 4
|
300
|
|
II
|
4 4
|
120
|
|
III
|
3 12
|
252
|
|
Прибыль от
реализации одного изделия, ден. ед.
|
30 40
|
?
|
Составить такой план выпуска продукции, при котором прибыль
предприятия от реализации продукции будет максимальной при условии, что изделие
В надо выпустить не менее, чем изделия А.
Решение.
Обозначим через х1 и х2
количество единиц продукции соответственно А и В, запланированных к
производству. Для их изготовления потребуется (12 х1 +4 х2)
единиц ресурса I, (4х1
+4х2) единиц ресурса II, (3х1
+12х2) единиц ресурса III.
Так как, потребление ресурсов I, II, III не должно превышать их запасов, то связь между потреблением
ресурсов и их запасами выразится системой неравенств:

12х1 +4х2 ≤
300;
3х1 + х2
≤ 75;
4х1 +4х2 ≤ 120;
х1 + х2 ≤ 30;
3х1 +12х2 ≤
252. х1 +4х2 ≤ 84.
По смыслу задачи переменные х1 ≥
0, х2 ≥0. (1,1)
Конечную цель
решаемой задачи – получение максимальной прибыли при реализации продукции –
выразим как функцию двух переменных х1 и х2.
Суммарная прибыль А составит 30х1
от реализации продукции А и 40х 2 от реализации продукции В, то
есть : F = 30х1 +40х 2. (1,2)
Изобразим многоугольник решений
данной задачи.
В ограничениях задачи поменяем знаки
неравенства на знаки равенства.
Проведем оси: на горизонтальной будут
указываться значения переменной х1,
а на вертикальной — х2 .Далее
рассмотрим условие неотрицательности переменных: x1
≥ 0 и х2 ≥ 0. Эти два
ограничения показывают, что пространство допустимых решений будет лежать в
первом квадранте (т.е выше оси x1 и
правее оси х2).
Чтобы учесть оставшиеся ограничения,
проще всего заменить неравенства на равенства, в результате чего получится
система уравнений прямых:
3х1 + х2 = 75;
х1 + х2 = 30;
х1 +4х2 = 84.
а затем на плоскости провести эти
прямые.
Например, неравенство 3х1
+ х2 ≤ 75 заменяется уравнением прямой 3х1 + х2
= 75. Чтобы провести эту линию, надо найти две различные точки, лежащие
на этой прямой Можно положить х1 =
0, тогда х2 = 75/1 = 75..
Аналогично для х2 = 0 находим x1 = 75/3 = 25. Итак, наша прямая проходит
через две точки (0, 75) и (25;0). Аналогично найдём остальные точки и запишем
их в таблицу 1.2..
Таблица 1.2.
|
3х1 +х2 ≤
75;
|
х1 +х2 ≤
30;
|
х1 +4х2 ≤
84.
|
|
х1
|
х2
|
х1
|
х2
|
х1
|
х2
|
75
|
0
|
30
|
0
|
21
|
|
25
|
0
|
30
|
0
|
84
|
0
|
Согласно данной таблицы, построим
график в программе Excel.
Заштрихованная область, изображённая
на рисунке, является областью допустимых значений функции F. Т.к. целевая функция F стремиться к max, то идя по направлению вектора n, получим точку B с оптимальным решением. Для определения
ее координаты возьмем две прямые, на пересечении которых она образуется:


3х1 + х2 ≤ 75,
х1 = 19,64,
х1 + 4х2 ≤
84, х2 = 16,09. , т. е. B(16,09; 19,64)
максимальное значение линейной
функции равно :
Fmax = 30*16,09 + 40*19,64 = 1232,80.
Итак, Fmax = 1232,80 при оптимальном решении х1
= 16,09, х2 = 19,64, т. е. максимальная прибыль в 1232,80 ден. ед. может
быть достигнута при производстве 16,09 единиц продукции А и 19,64 единиц
продукции В.
Ответ: Fmax = 1232,80.
Для
изготовления двух видов продукции Р1 и Р2 используют три
вида сырья: S1, S2, S3. Запасы сырья,
количество единиц сырья, затрачиваемых на изготовление единицы продукции, а
также величина прибыли, получаемая от реализации единицы продукции, приведены в
таблице 2.1.
Таблица
2.1.
|
Вид сырья
|
Запас сырья
|
Количество единиц сырья, идущих на изготовление единицы продукции
|
|
Р1
|
Р2
|
|
S1
|
20
|
2
|
5
|
|
S2
|
40
|
8
|
5
|
|
S3
|
30
|
5
|
6
|
|
Прибыль от единицы продукции, руб.
|
50
|
40
|
Необходимо
составить такой план выпуска продукции, чтобы при ее реализации получить
максимальную прибыль.
Решение.
Обозначим через х1 количество
единиц продукции Р1, а через х2 – количество единиц
продукции Р2. Тогда, учитывая количество единиц сырья, расходуемое
на изготовление продукции, а так же запасы сырья, получим систему ограничений:
2х1
+ 5х2 ≤ 20
8х1
+ 5х2 ≤ 40
5х1
+ 6х2 ≤ 30
которая
показывает, что количество сырья, расходуемое на изготовление продукции, не
может превысит имеющихся запасов. Если продукция Р1 не выпускается,
то х1=0; в противном случае x1 = 0. То же
самое получаем и для продукции Р2. Таким образом, на неизвестные х1
и х2 должно быть наложено ограничение неотрицательности: х1
≥ 0, х2 ≥ 0.
Конечную цель
решаемой задачи – получение максимальной прибыли при реализации продукции –
выразим как функцию двух переменных х1 и х2. Реализация х1
единиц продукции Р1 и х2 единиц продукции Р2
дает соответственно 50х1 и 40х2 руб. прибыли, суммарная
прибыль Z = 50х1 + 40х2 (руб.)
Условиями не
оговорена неделимость единица продукции, поэтому х1 и х2
(план выпуска продукции) могут быть и дробными числами.
Требуется найти
такие х1 и х2, при которых функция Z достинает
максимум, т.е. найти максимальное значение линейной функции Z = 50х1
+ 40х2 при ограничениях
2х1 + 5х2 ≤
20
8х1
+ 5х2 ≤ 40
5х1
+ 6х2 ≤ 30
х1 ≥
0, х2 ≥ 0.
Изобразим многоугольник решений
данной задачи.
В ограничениях задачи поменяем знаки
неравенства на знаки равенства.
Построим в программе Excel таблицы нахождения точек пересечения
линий с осями координат (Рисунок 1) и график (Рисунок 2).
Рисунок 1.
Рисунок 2.
Заштрихованная область, изображённая
на рисунке, является областью допустимых значений функции Z. Т.к. целевая функция Z стремиться к max, то идя по направлению вектора n, получим точку C с оптимальным решением. Для
определения ее координаты возьмем две прямые, на пересечении которых она
образуется:


8х1 + 5х2 ≤
40 х1
= 3,91,
5х1
+ 6х2 ≤ 30, х2 = 1,74. , т. е. C(3,91; 1,74)
максимальное значение линейной
функции равно :
Zmax = 50*3,91 + 40*1,74 = 265,10.
Итак, Zmax = 265,10 при оптимальном решении х1
= 3,91, х2 = 1,74, т. е. максимальная прибыль в 1232,80 ден. ед. может
быть достигнута при производстве 3,91единиц продукции P1 и 1,74 единиц продукции P2.
Ответ: Zmax = 265,10.
Число
единиц питательных веществ в 1 кг корма
|
Необходимый
минимум питательных веществ
|
|
A
|
B
|
|
S1
|
3
|
1
|
8
|
|
S2
|
1
|
2
|
9
|
|
S3
|
1
|
6
|
12
|
|
Минимальная
стоимость за 1 кг корма, в руб..
|
4
|
6
|
?
|
Имеется два вида корма. A и B, содержащие вещества(витамины) S1, S2, S3. Содержание числа единиц питательных веществ в одном кг
каждого вида корма и необходимый минимум самих питательных веществ даны в таблице:
Решение:
Пусть х1 и х2 – количество кормов вида
А и В соответственно. В одном килограмме каждого вида корма содержится (3х1
+ х2) единиц питательного вещества S1, (x1 + 2x2) - S2 и (x1 + 6x2) - S3. Так количество
питательных веществ не должно быть меньше необходимого минимума, то запишем
следующую систему неравенств:
3х1 + х2 ≥
8,
x1 + 2x2 ≥ 9,
x1 + 6x2 ≥ 12,
x1, x2 ≥ 0.
Минимальную стоимость витаминов за 1
кг корма, выразим следующей функцией : F = 4x1 + 6x2 => min.
Изобразим многоугольник решений
данной задачи.
В ограничениях задачи поменяем знаки
неравенства на знаки равенства.
Построим в программе Excel таблицы нахождения точек пересечения
линий с осями координат (Рисунок 1) и график (Рисунок 2).
Рисунок 1.
Рисунок 2.
Выделенная область, изображённая на
рисунке, является областью допустимых значений функции F. Точка В - оптимальное решение. Для определения ее
координаты возьмем две прямые, на пересечении которых она образуется:


x1 + 2x2 = 9, x1 = 7,50,
x1 + 6x2 = 12, x2 = 0,75.
Минимальное значение линейной функции
равно :
Fmin = 4*7.5 + 6*0.75 = 34.50.
Итак, Fmin = 34.50 при оптимальном решении х1
= 7.50, х2 = 0.75.
Ответ: Fmin = 34,50.
Задача № 4
Трикотажная фабрика использует для
производства свитеров и кофточек шерсть, силикон и нитрон, запасы которых
составляют 820, 430 и 310 кг. Количество пряжи каждого вида (в кг), необходимой
для изготовления одного изделия, а также прибыль, получаемая от их реализации,
приведены в таблице.
|
Вид сырья.
|
Нормы
расхода пряжи.
|
Запас
|
|
Свитера.
|
Кофточки.
|
|
Шерсть
|
0,4
|
0,2
|
820
|
|
Силон
|
0,2
|
0,1
|
430
|
|
Нитрон
|
0,1
|
0,1
|
310
|
|
Прибыль
|
7,8
|
5,6
|
?
|
Определить план выпуска изделий,
максимизирующий прибыль.
Решение.
Пусть х1 и х2 –
норма расхода пряжи для свитеров и кофточек соответственно. Количество пряжи
каждого вида (в кг), необходимой для изготовления одного изделия запишем в
следующую систему неравенств:
0,4х1 + 0,2х2 ≤ 820,
0,2x1 + 0,1x2 ≤ 430,
0,1x1 + 0,1x2 ≤ 310,
Максимальная прибыль от реализации
свитеров и кофточек выразим следующей функцией : F = 7,8x1 + 5,6x2 => max.
Изобразим многоугольник решений данной
задачи.
В ограничениях задачи поменяем знаки
неравенства на знаки равенства.
Построим в программе Excel таблицы нахождения точек пересечения
линий с осями координат (Рисунок 1) и график (Рисунок 2).
Рисунок 1.
Рисунок 2.
Выделенная область, изображённая на
рисунке, является областью допустимых значений функции F. Точка В - оптимальное решение. Для определения ее
координаты возьмем две прямые, на пересечении которых она образуется:


0,4x1 + 0,2x2 = 820, x1 = 1000,
0,1x1 + 0,1x2 = 310, x2 = 2100.
Максимальное значение линейной
функции равно :
Fmax = 7.8*1000 + 5.6*2100 = 19560.
Итак, Fmax = 19560 при оптимальном решении х1
= 1000, х2 = 2100.
Ответ: Fmax = 19560.
Задача № 5
На звероферме могут выращиваться
чёрно-бурые лисицы и песцы. Для обеспечения нормальных условий их выращивания
используются три вида кормов. Определить, сколько лисиц и песцов следует
выращивать на звероферме, чтобы прибыль от реализации их шкурок была
максимальной.
|
Вид корма.
|
Кол-во
единиц корма, которое должны получать.
|
Общее
кол-во корма
|
|
Лисица
|
Песец.
|
|
I
|
2
|
3
|
180
|
|
II
|
4
|
1
|
240
|
|
III
|
6
|
7
|
426
|
|
Прибыль
|
16
|
12
|
?
|
Решение:
Пусть х1 и х2 –
количество единиц корма, которые должны получать лисиа и песец, соответственно.
Количество единиц каждого вида корма, необходимого для выращивания одного
животного запишем в следующую систему неравенств:
2х1 + 3х2 ≤ 180,
4x1 + 1x2 ≤ 240,
6x1 + 7x2 ≤ 426,
x1, x2 ≥ 0.
Максимальная прибыль от реализации шкурок
выразим следующей функцией : F = 16x1 + 12x2
=> max.
Изобразим многоугольник решений
данной задачи.
В ограничениях задачи поменяем знаки
неравенства на знаки равенства.
Построим в программе Excel таблицы нахождения точек пересечения
линий с осями координат (Рисунок 1) и график (Рисунок 2).
Рисунок 1.
Рисунок 2.
Выделенная область, изображённая на
рисунке, является областью допустимых значений функции F. Точка С - оптимальное решение. Для определения ее
координаты возьмем две прямые, на пересечении которых она образуется:


x2 = 0, x1 = 60,
4x1 + x2 = 240, x2 = 0.
Максимальное значение линейной
функции равно :
Fmax = 16*60 + 12*0 = 960.
Итак, Fmax = 960 при оптимальном решении х1
= 60, х2 = 0.
Ответ: Fmax = 960.
Заключение
В данной курсовой работе мною были
освоены навыки решения задач линейного программирования геометрическим методом.
Для этого я изучила теоретические сведения, необходимые для решения задач
линейного программирования указанным методом. Я узнала, что данный метод
применяется в основном при решении задач двумерного пространства и только
некоторых задач трехмерного пространства, так как довольно трудно построить
многогранник решений, который образуется в результате пересечения
полупространств. Задачу пространства размерности больше трех изобразить
графически вообще невозможно. Также я узнала, как строятся прямые на плоскости,
для чего разобрала основные понятия линейной алгебры и выпуклого анализа. После
чего, рассмотрела все этапы геометрического решения задач линейного
программирования, благодаря чему я узнала, что бывают разные случаи при решении
задач, а именно:
1)
Основной случай,
когда полученная область образует ограниченный выпуклый многоугольник;
2)
Неосновной
случай, когда полученная область образует неограниченный выпуклый
многоугольник;
3)
И также, возможен
случай, когда неравенства противоречат друг другу, и допустимая область пуста,
то есть данная задача не будет иметь решений.
В первых двух случаях задача может
иметь единственное решение в конкретной точке, а также в любой точке отрезка
или луча.
Таким образом, освоив все необходимые
навыки использования геометрического метода для решения задач линейного
программирования, я решила поставленные задачи.
Список литературы
1.
Коротков
М., Гаврилов М. «Основы линейного программирования», 2003 г..
2.
Филькин
Г.В., «Линейное программирование» (лекции), Шахты, 2007 г..
3.
Воротницкий
Ю.И. «Исследование операций».
4.
Теха
Х. «Введение в исследование операций», Издательский дом «Вильямс», 2001 г..
6.
Дегтярев
Ю.И. «Исследование операций», 1986 г..
7.
Алабин
Б.К. «Методы исследования операций» (курс лекций).
8.
Лищенко
«Линейное и нелинейное программирование», М. 2003 г..
9.
А.Н.
Карасев, Н.Ш. Кремер, Т.Н. Савельева «Математические методы в экономике», М.
2000 г..
10. Мину М. Математическое
программирование. Теория и алгоритмы. М. 2004 г..