10 способов решения квадратных уравнений
Копьевская сельская средняя
общеобразовательная школа
10 способов решения квадратных
уравнений
Автор: Реутова Екатерина Викторовна,
11 кл.
Руководитель: Патрикеева Галина
Анатольевна,
учитель математики
с.Копьево, 2007
Содержание
1. История развития квадратных уравнений
1.1 Квадратные уравнения в Древнем Вавилоне
1.2 Как составлял и решал Диофант квадратные уравнения
1.3 Квадратные уравнения в Индии
1.4 Квадратные уравнения у ал- Хорезми
1.5 Квадратные уравнения в Европе XIII - XVII
вв
1.6 О теореме Виета
2. Способы решения квадратных уравнений
Заключение
Литература
1. История развития
квадратных уравнений
1.1 Квадратные уравнения
в Древнем Вавилоне
Необходимость решать
уравнения не только первой, но и второй степени еще в древности была вызвана потребностью
решать задачи, связанные с нахождением площадей земельных участков и с земляными
работами военного характера, а также с развитием астрономии и самой математики.
Квадратные уравнения умели решать около 2000 лет до н. э. вавилоняне.
Применяя современную
алгебраическую запись, можно сказать, что в их клинописных текстах встречаются,
кроме неполных, и такие, например, полные квадратные уравнения:
X2 + X = ¾; X2 - X = 14,5
Правило решения этих
уравнений, изложенное в вавилонских текстах, совпадает по существу с
современным, однако неизвестно, каким образом дошли вавилоняне до этого
правила. Почти все найденные до сих пор клинописные тексты приводят только
задачи с решениями, изложенными в виде рецептов, без указаний относительно
того, каким образом они были найдены.
Несмотря на высокий
уровень развития алгебры в Вавилоне, в клинописных текстах отсутствуют понятие
отрицательного числа и общие методы решения квадратных уравнений.
1.2 Как составлял и
решал Диофант квадратные уравнения.
В «Арифметике» Диофанта
нет систематического изложения алгебры, однако в ней содержится систематизированный
ряд задач, сопровождаемых объяснениями и решаемых при помощи составления
уравнений разных степеней.
При составлении
уравнений Диофант для упрощения решения умело выбирает неизвестные.
Вот, к примеру, одна из
его задач.
Задача 11. «Найти два числа, зная, что их сумма
равна 20, а произведение - 96»
Диофант рассуждает
следующим образом: из условия задачи вытекает, что искомые числа не равны, так
как если бы они были равны, то их произведение равнялось бы не 96, а 100. Таким
образом, одно из них будет больше половины их суммы, т.е. 10 + х, другое
же меньше, т.е. 10 - х. Разность между ними 2х.
Отсюда уравнение:
(10 + х)(10 - х) =
96
или же:
100 - х2
= 96
х2 - 4
= 0 (1)
Отсюда х = 2. Одно
из искомых чисел равно 12, другое 8. Решение х = -2 для
Диофанта не существует, так как греческая математика знала только положительные
числа.
Если мы решим эту
задачу, выбирая в качестве неизвестного одно из искомых чисел, то мы придем к
решению уравнения
у(20 - у) = 96,
у2 - 20у +
96 = 0. (2)
Ясно, что, выбирая в
качестве неизвестного полуразность искомых чисел, Диофант упрощает решение; ему
удается свести задачу к решению неполного квадратного уравнения (1).
1.3 Квадратные уравнения в Индии
Задачи на квадратные
уравнения встречаются уже в астрономическом тракте «Ариабхаттиам», составленном
в 499 г. индийским математиком и астрономом Ариабхаттой. Другой индийский
ученный, Брахмагупта (VII
в.), изложил общее правило решения квадратных уравнений, приведенных к единой
канонической форме:
ах2 + bх = с, а > 0. (1)
В уравнении (1)
коэфиценты, кроме а, могут быть и отрицательными. Правило Брахмагупты по
существу совпадает с нашим.
В Древней Индии были
распространены публичные соревнования в решении трудных задач. В одной из
старинных индийских книг говорится по поводу таких соревнований следующее: «Как
солнце блеском своим затмевает звезды, так ученый человек затмит славу другого
в народных собраниях, предлагая и решая алгебраические задачи». Задачи часто
облекались в стихотворную форму.
Вот одна из задач
знаменитого индийского математика XII в. Бхаскары.
Задача 13.
«Обезьянок резвых стая А
двенадцать по лианам…
Власть поевши,
развлекалась. Стали прыгать, повисая…
Их в квадрате часть
восьмая Сколько ж было обезьянок,
На поляне забавлялась. Ты
скажи мне, в этой стае?»
Решение Бхаскары
свидетельствует о том, что он знал о двузначности корней квадратных уравнений
(рис. 3).
Соответствующее задаче 13
уравнение:
(x/8)2 + 12 = x
Бхаскара пишет под видом:
х2 - 64х =
-768
и, чтобы дополнить левую
часть этого уравнения до квадрата, прибавляет к обеим частям 322,
получая затем:
х2 - 64х +
322 = -768 + 1024,
(х - 32)2 =
256,
х - 32 = ± 16,
х1 = 16, х2
= 48.
1.4 Квадратные уравнения
у ал – Хорезми
В алгебраическом
трактате ал - Хорезми дается классификация линейных и квадратных уравнений.
Автор насчитывает 6 видов уравнений, выражая их следующим образом:
2) «Квадраты равны
числу», т.е. ах2 = с.
3) «Корни равны
числу», т.е. ах = с.
4) «Квадраты и числа
равны корням», т.е. ах2 + с = bх.
5) «Квадраты и корни
равны числу», т.е. ах2 + bx = с.
6) «Корни и числа
равны квадратам», т.е. bx + с = ах2.
Для ал - Хорезми,
избегавшего употребления отрицательных чисел, члены каждого их этих уравнений
слагаемые, а не вычитаемые. При этом заведомо не берутся во внимание уравнения,
у которых нет положительных решений. Автор излагает способы решения указанных
уравнений, пользуясь приемами ал - джабр и ал - мукабала. Его решения, конечно,
не совпадает полностью с нашим. Уже не говоря о том, что оно чисто
риторическое, следует отметить, например, что при решении неполного квадратного
уравнения первого вида
ал - Хорезми, как и все
математики до XVII в., е учитывает нулевого решения,
вероятно, потому, что в конкретных практических задачах оно не имеет значения.
При решении полных квадратных уравнений ал - Хорезми на частных числовых
примерах излагает правила решения, а затем и геометрические доказательства.
Задача 14. «Квадрат и число 21 равны 10 корням.
Найти корень» (подразумевается корень уравнения х2 + 21 = 10х).
Решение автора гласит
примерно так: раздели пополам число корней, получишь 5, умножишь 5 само на
себя, от произведения отними 21, останется 4. Извлеки корень из 4, получишь 2.
Отними 2 от5, получишь 3, это и будет искомый корень. Или же прибавь 2 к 5, что
даст 7, это тоже есть корень.
Трактат ал - Хорезми
является первой, дошедшей до нас книгой, в которой систематически изложена
классификация квадратных уравнений и даны формулы их решения.
1.5 Квадратные
уравнения в Европе XIII - XVII вв
Формулы решения
квадратных уравнений по образцу ал - Хорезми в Европе были впервые изложены в «
Книге абака», написанной в 1202 г. итальянским математиком Леонардо Фибоначчи. Этот
объемистый труд, в котором отражено влияние математики, как стран ислама, так и
Древней Греции, отличается и полнотой, и ясностью изложения. Автор разработал
самостоятельно некоторые новые алгебраические примеры решения задач и первый в
Европе подошел к введению отрицательных чисел. Его книга способствовала
распространению алгебраических знаний не только в Италии, но и в Германии, Франции
и других странах Европы. Многие задачи из « Книги абака» переходили почти во
все европейские учебники XVI - XVII вв. и частично XVIII.
Общее правило решения
квадратных уравнений, приведенных к единому каноническому виду:
х2 + bx = с,
при всевозможных комбинациях
знаков коэффициентов b,
с было сформулировано в Европе лишь в 1544 г. М. Штифелем.
Вывод формулы решения
квадратного уравнения в общем виде имеется у Виета, однако Виет признавал
только положительные корни. Итальянские математики Тарталья, Кардано, Бомбелли
среди первых в XVI в. Учитывают,
помимо положительных, и отрицательные корни. Лишь в XVII в. Благодаря труда Жирара, Декарта, Ньютона и других
ученых способ решения квадратных уравнений принимает современный вид.
1.6 О теореме Виета
Теорема, выражающая связь
между коэффициентами квадратного уравнения и его корнями, носящая имя Виета,
была им сформулирована впервые в 1591 г. следующим образом: «Если B + D, умноженное на A - A2, равно BD, то A равно
В и равно D».
Чтобы понять Виета,
следует вспомнить, что А, как и всякая гласная буква, означало у него
неизвестное (наше х), гласные же В,D - коэффициенты при неизвестном. На языке современной
алгебры вышеприведенная формулировка Виета означает: если имеет место
(а + b)х - х2 = ab,
т.е.
х2 - (а + b)х + аb = 0,
то
х1 = а, х2
= b.
Выражая зависимость
между корнями и коэффициентами уравнений общими формулами, записанными с
помощью символов, Виет установил единообразие в приемах решения уравнений.
Однако символика Виета еще далека от современного вида. Он не признавал
отрицательных чисел и по этому при решении уравнений рассматривал лишь случаи,
когда все корни положительны.
2. Способы решения квадратных
уравнений
Квадратные уравнения -
это фундамент, на котором покоится величественное здание алгебры. Квадратные
уравнения находят широкое применение при решении тригонометрических,
показательных, логарифмических, иррациональных и трансцендентных уравнений и
неравенств. Все мы умеем решать квадратные уравнения со школьной скамьи (8
класс), до окончания вуза.
В школьном курсе
математики изучаются формулы корней квадратных уравнений, с помощью которых
можно решать любые квадратные уравнения. Однако имеются и другие способы
решения квадратных уравнений, которые позволяют очень быстро и рационально решать
многие уравнения. Имеется десять способов решения квадратных уравнений.
Подробно в своей работе я разобрала каждый из них.
1. СПОСОБ: Разложение левой части уравнения
на множители.
Решим уравнение
х2 + 10х -
24 = 0.
Разложим левую часть на
множители:
х2 + 10х -
24 = х2 + 12х - 2х - 24 = х(х + 12) - 2(х + 12) = (х + 12)(х - 2).
Следовательно, уравнение
можно переписать так:
(х + 12)(х - 2) = 0
Так как произведение
равно нулю, то, по крайней мере, один из его множителей равен нулю. Поэтому
левая часть уравнения обращается нуль при х = 2, а также при х = - 12.
Это означает, что число 2 и - 12 являются корнями уравнения х2
+ 10х - 24 = 0.
2. СПОСОБ: Метод выделения полного
квадрата.
Решим уравнение х2
+ 6х - 7 = 0.
Выделим в левой части
полный квадрат.
Для этого запишем
выражение х2 + 6х в следующем виде:
х2 + 6х = х2
+ 2• х • 3.
В полученном выражении
первое слагаемое - квадрат числа х, а второе - удвоенное произведение х на 3.
По этому чтобы получить полный квадрат, нужно прибавить 32, так как
х2 + 2• х •
3 + 32 = (х + 3)2.
Преобразуем теперь левую
часть уравнения
х2 + 6х - 7
= 0,
прибавляя к ней и вычитая
32. Имеем:
х2 + 6х - 7
= х2 + 2•
х • 3 + 32 - 32 - 7 = (х + 3)2 - 9 - 7 = (х +
3)2 - 16.
Таким образом, данное
уравнение можно записать так:
(х + 3)2 -
16 =0, (х + 3)2 = 16.
Следовательно, х + 3 -
4 = 0, х1 = 1, или х + 3 = -4, х2 = -7.
3. СПОСОБ: Решение квадратных уравнений по
формуле.
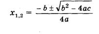
Умножим обе части
уравнения
ах2 + bх + с = 0, а ≠ 0
на 4а и последовательно
имеем:
4а2х2
+ 4аbх + 4ас = 0,
((2ах)2 +
2ах • b + b2) - b2 + 4ac = 0,
(2ax + b)2
= b2 - 4ac,
2ax + b = ±
√ b2 - 4ac,
2ax = - b ±
√ b2 - 4ac,
Примеры.
а) Решим уравнение: 4х2 +
7х + 3 = 0.
а = 4, b = 7, с = 3, D = b2 - 4ac = 72 - 4 • 4 • 3 = 49 -
48 = 1,
D > 0, два разных корня;
Таким образом, в случае
положительного дискриминанта, т.е. при
b2 - 4ac >0 , уравнение ах2 + bх + с = 0 имеет два различных корня.
б) Решим уравнение: 4х2 -
4х + 1 = 0,
а = 4, b = - 4, с = 1, D = b2 - 4ac = (-4)2 - 4 • 4 • 1= 16 -
16 = 0,
D = 0, один корень;

Итак, если дискриминант
равен нулю, т.е. b2 - 4ac = 0, то уравнение
ах2 + bх + с = 0 имеет единственный корень,
в) Решим уравнение: 2х2 +
3х + 4 = 0,
а = 2, b = 3, с = 4, D = b2 - 4ac = 32 - 4 • 2 • 4 = 9 - 32
= - 13 , D < 0.
Данное уравнение корней
не имеет.
Итак, если дискриминант
отрицателен, т.е. b2 - 4ac < 0,
уравнение ах2 +
bх + с = 0 не имеет корней.
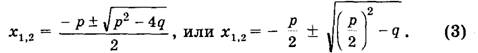
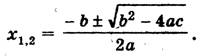
Формула (1) корней
квадратного уравнения ах2 + bх + с = 0 позволяет найти корни любого
квадратного уравнения (если они есть), в том числе приведенного и неполного.
Словесно формула (1) выражается так: корни квадратного уравнения равны
дроби, числитель которой равен второму коэффициенту, взятому с противоположным
знаком, плюс минус корень квадратный из квадрата этого коэффициента без
учетверенного произведения первого коэффициента на свободный член, а
знаменатель есть удвоенный первый коэффициент.
4. СПОСОБ: Решение уравнений с использованием
теоремы Виета.
Как известно, приведенное
квадратное уравнение имеет вид
х2 + px + c = 0. (1)
Его корни удовлетворяют
теореме Виета, которая при а =1 имеет вид
x1 x2 = q,
x1 + x2 = - p
Отсюда можно сделать
следующие выводы (по коэффициентам p и q можно предсказать знаки корней).
а) Если сводный член q приведенного уравнения (1)
положителен (q > 0), то уравнение имеет два одинаковых
по знаку корня и это зависти от второго коэффициента p. Если р < 0, то оба корня отрицательны,
если р < 0, то оба корня положительны.
Например,
x2 – 3x + 2 = 0; x1 = 2 и x2 = 1, так как q = 2 > 0 и p = - 3 < 0;
x2 + 8x + 7 = 0; x1 = - 7 и x2 = - 1, так как q = 7 > 0 и p= 8 > 0.
б) Если свободный член q приведенного уравнения (1) отрицателен
(q < 0), то уравнение имеет два различных
по знаку корня, причем больший по модулю корень будет положителен, если p < 0 , или отрицателен, если p > 0 .
Например,
x2 + 4x – 5 = 0; x1 = - 5 и x2 = 1, так как q= - 5 < 0 и p = 4 > 0;
x2 – 8x – 9 = 0; x1 = 9 и x2 = - 1, так как q = - 9 < 0 и p = - 8 < 0.
5. СПОСОБ: Решение уравнений способом
«переброски».
Рассмотрим квадратное
уравнение
ах2 + bх + с = 0, где а ≠ 0.
Умножая обе его части на
а, получаем уравнение
а2х2
+ аbх + ас = 0.
Пусть ах = у,
откуда х = у/а; тогда приходим к уравнению
у2 + by + ас = 0,
равносильно данному. Его
корни у1 и у2 найдем с помощью
теоремы Виета.
Окончательно получаем
х1 = у1/а
и х1 =
у2/а.
При этом способе
коэффициент а умножается на свободный член, как бы «перебрасывается» к
нему, поэтому его называют способом «переброски». Этот способ применяют,
когда можно легко найти корни уравнения, используя теорему Виета и, что самое
важное, когда дискриминант есть точный квадрат.
Пример.
Решим уравнение 2х2
– 11х + 15 = 0.
Решение. «Перебросим» коэффициент 2 к
свободному члену, в результате получим уравнение
у2 – 11у +
30 = 0.
Согласно теореме Виета




у1 = 5 х1 = 5/2 x1 = 2,5
у2 = 6 x2 = 6/2 x2 = 3.
Ответ: 2,5; 3.
6. СПОСОБ: Свойства коэффициентов квадратного
уравнения.
А. Пусть дано квадратное уравнение
ах2 + bх + с = 0, где а ≠ 0.
1) Если, а+ b + с = 0 (т.е. сумма коэффициентов
равна нулю), то х1 = 1,
х2 = с/а.
Доказательство. Разделим обе части уравнения на а ≠
0, получим приведенное квадратное уравнение
x2 + b/a • x + c/a = 0.
Согласно теореме Виета
x1 + x2 = - b/a,
x1x2 = 1• c/a.
По условию а – b + с = 0, откуда b = а + с. Таким образом,
x1 + x2 = - а + b/a= -1 – c/a,
x1x2
= - 1• ( - c/a),
Примеры.
1)
Решим уравнение 345х2
– 137х – 208 = 0.
Решение. Так как а + b + с = 0 (345 – 137 – 208 = 0), то
х1 = 1, х2
= c/a = -208/345.
Ответ: 1; -208/345.
2)Решим уравнение 132х2
– 247х + 115 = 0.
Решение. Так как а + b + с = 0 (132 – 247 + 115 = 0), то
х1 = 1, х2
= c/a = 115/132.
Ответ: 1; 115/132.
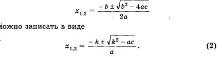
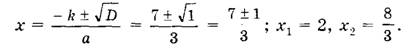
Б. Если второй коэффициент b = 2k – четное число, то формулу корней
Пример.
Решим уравнение 3х2 —
14х + 16 = 0.
Решение. Имеем: а = 3, b = — 14, с = 16, k = — 7;
D = k2 – ac = (- 7)2 – 3 • 16 = 49 –
48 = 1, D > 0, два различных корня;
Ответ: 2; 8/3
В. Приведенное уравнение
х2 + рх + q= 0
совпадает с уравнением
общего вида, в котором а = 1, b = р и с = q. Поэтому для приведенного
квадратного уравнения формула корней
принимает вид:
Формулу (3) особенно
удобно использовать, когда р — четное число.
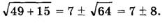
Пример. Решим уравнение х2 –
14х – 15 = 0.
Решение. Имеем: х1,2 =7±
Ответ: х1 =
15; х2 = -1.
7. СПОСОБ: Графическое решение квадратного
уравнения.
Если в уравнении
х2 + px + q = 0
перенести второй и третий
члены в правую часть, то получим
х2 = - px - q.
Построим графики
зависимости у = х2 и у = - px - q.
График первой
зависимости - парабола, проходящая через начало координат. График второй
зависимости -
прямая (рис.1). Возможны
следующие случаи:
- прямая и парабола могут
пересекаться в двух точках, абсциссы точек пересечения являются корнями квад-
ратного уравнения;
- прямая и парабола могут
касаться ( только одна общая точка), т.е. уравнение имеет одно решение;
- прямая и парабола не
имеют общих точек, т.е. квадратное уравнение не имеет корней.
Примеры.
1) Решим графически уравнение х2
- 3х - 4 = 0 (рис. 2).
Решение. Запишем уравнение в виде х2
= 3х + 4.
Построим параболу у =
х2 и прямую у = 3х + 4. Прямую
у = 3х + 4 можно построить по двум точкам М
(0; 4) и
N (3; 13). Прямая и парабола пересекаются в
двух точках
А и В с абсциссами х1
= - 1 и х2 = 4. Ответ: х1 = - 1;
х2 = 4.
2) Решим графически уравнение (рис. 3) х2
- 2х + 1 = 0.
Решение. Запишем уравнение в виде х2
= 2х - 1.
Построим параболу у =
х2 и прямую у = 2х - 1.
Прямую у = 2х - 1
построим по двум точкам М (0; - 1)
и N(1/2; 0). Прямая и парабола пересекаются в
точке А с
абсциссой х = 1. Ответ:
х = 1.
3) Решим графически уравнение х2
- 2х + 5 = 0 (рис. 4).
Решение. Запишем уравнение в виде х2
= 5х - 5. Построим параболу у = х2 и прямую у = 2х - 5.
Прямую у = 2х - 5 построим по двум точкам М(0; - 5) и N(2,5; 0). Прямая и парабола не имеют
точек пересечения, т.е. данное уравнение корней не имеет.
Ответ. Уравнение х2 - 2х + 5
= 0 корней не имеет.
8. СПОСОБ: Решение квадратных уравнений с
помощью циркуля и линейки.
Графический способ
решения квадратных уравнений с помощью параболы неудобен. Если строить параболу
по точкам, то требуется много времени, и при этом степень точности получаемых
результатов невелика.
Предлагаю следующий
способ нахождения корней квадратного уравнения ах2 + bх + с = 0 с помощью циркуля и линейки (рис.
5).
абсцисс в точках В(х1;
0 ) и D (х2; 0), где х1 и х2
- корни уравнения ах2 + bх + с = 0, и проходит через точки
А(0; 1) и С(0; c/a) на оси ординат. Тогда по теореме о секущих имеем OB • OD = OA • OC, откуда OC = OB • OD/ OA= х1х2/ 1 = c/a.
Центр окружности
находится в точке пересечения перпендикуляров SF и SK,
восстановленных в серединах хорд AC и BD, поэтому
Итак:
1) построим точки (центр
окружности) и A(0; 1);
2) проведем окружность с
радиусом SA;
3) абсциссы точек
пересечения этой окружности с осью Ох являются корнями исходного
квадратного уравнения.
При этом возможны три
случая.
1) Радиус окружности
больше ординаты центра (AS > SK, или R > a + c/2a), окружность пересекает ось Ох в двух точках (рис.
6,а) В(х1; 0) и D(х2; 0), где х1 и х2 - корни
квадратного уравнения ах2 + bх + с = 0.
2) Радиус окружности
равен ординате центра (AS = SB, или R = a + c/2a), окружность касается оси Ох (рис. 6,б) в точке В(х1;
0), где х1 - корень квадратного уравнения.
3) Радиус окружности меньше ординаты
центра окружность не имеет общих точек с осью абсцисс (рис.6,в), в этом случае
уравнение не имеет решения.


Пример.
Решим уравнение х2
- 2х - 3 = 0 (рис. 7).
Решение. Определим координаты точки центра
окружности по формулам:
Проведем окружность
радиуса SA, где А (0; 1).
Ответ: х1 = - 1; х2
= 3.
9. СПОСОБ: Решение квадратных уравнений с
помощью номограммы.
Это старый и
незаслуженно забыты способ решения квадратных уравнений, помещенный на с.83
(см. Брадис В.М. Четырехзначные математические таблицы. - М., Просвещение,
1990).
Таблица XXII. Номограмма для решения уравнения z2 + pz + q = 0. Эта номограмма позволяет, не решая
квадратного уравнения, по его коэффициен там определить корни уравнения.
Криволинейная шкала
номограммы построена по формулам (рис.11):
Полагая ОС = р, ED = q, ОЕ = а (все в см.), из подобия треугольников
САН и CDF получим
пропорцию
откуда после подстановок
и упрощений вытекает уравнение
z2 + pz + q = 0,
причем буква z означает метку любой точки
криволинейной шкалы.
Примеры.
1) Для уравнения z2 - 9z + 8 = 0 номограмма дает корни
z1 = 8,0 и z2 = 1,0 (рис.12).
2) Решим с помощью номограммы уравнение
2z2 - 9z + 2 = 0.
Разделим коэффициенты этого
уравнения на 2, получим уравнение
z2 - 4,5z + 1 = 0.
Номограмма дает корни z1 = 4 и z2 = 0,5.
3) Для уравнения
z2 - 25z + 66 = 0
коэффициенты p и q выходят за пределы шкалы, выполним подстановку z = 5t, получим уравнение
t2 - 5t + 2,64 = 0,
которое решаем
посредством номограммы и получим t1 = 0,6 и t2 = 4,4, откуда z1 = 5t1 = 3,0 и z2 = 5t2 = 22,0.
10. СПОСОБ: Геометрический способ решения
квадратных уравнений.
В древности, когда
геометрия была более развита, чем алгебра, квадратные уравнения решали не
алгебраически, а геометрически. Приведу ставший знаменитым пример из «Алгебры»
ал - Хорезми.
Примеры.
1) Решим уравнение х2
+ 10х = 39.
В оригинале эта задача
формулируется следующим образом : «Квадрат и десять корней равны 39» (рис.15).
Решение.
Рассмотрим квадрат со стороной х, на его сторонах строятся прямоугольники так, что
другая сторона каждого из них равна 2,5, следовательно, площадь каждого равна
2,5х. Полученную фигуру дополняют затем до нового квадрата ABCD, достраивая в углах четыре равных
квадрата , сторона каждого их них 2,5, а площадь 6,25.
Площадь S квадрата ABCD можно представить как сумму площадей: первоначального квадрата
х2, четырех прямоугольников (4• 2,5х = 10х ) и четырех
пристроенных квадратов (6,25• 4 = 25), т.е. S = х2 + 10х + 25. Заменяя
х2 + 10х числом 39, получим, что S = 39 + 25 = 64, откуда следует, что сторона
квадрата ABCD, т.е. отрезок АВ = 8. Для
искомой стороны х первоначального квадрата получим

Решение представлено на рис. 16, где
у2 + 6у =
16, или у2 + 6у + 9 = 16 + 9.
Решение. Выражения у2 + 6у + 9
и 16 + 9 геометрически представляют собой один и тот же квадрат, а
исходное уравнение у2 + 6у - 16 + 9 - 9 = 0 - одно и то же
уравнение. Откуда и получаем, что у + 3 = ± 5, или у1 = 2,
у2 = - 8 (рис.16).
3) Решить геометрически
уравнение у2 - 6у - 16 = 0.
Преобразуя уравнение,
получаем
у2 - 6у =
16.
На рис. 17 находим
«изображения» выражения у2 - 6у, т.е. из площади квадрата со
стороной у два раза вычитается площадь квадрата со стороной, равной 3.
Значит, если к выражению у2 - 6у прибавить 9, то
получим площадь квадрата со стороной у - 3. Заменяя выражение у2
- 6у равным ему числом 16,
получаем: (у - 3)2
= 16 + 9, т.е. у - 3 = ± √25, или у - 3 = ± 5, где у1
= 8 и у2 = - 2.
Заключение
Квадратные уравнения
находят широкое применение при решении тригонометрических, показательных,
логарифмических, иррациональных и трансцендентных уравнений и неравенств.
Однако, значение
квадратных уравнений заключается не только в изяществе и краткости решения
задач, хотя и это весьма существенно. Не менее важно и то, что в результате
применения квадратных уравнений при решении задач не редко обнаруживаются новые
детали, удается сделать интересные обобщения и внести уточнения, которые
подсказываются анализом полученных формул и соотношений.
Хочется отметить и то,
что излагаемая тема в этой работе еще мало изучена вообще, просто ею не
занимаются, поэтому она таит в себе много скрытого и неизвестного, что дает
прекрасную возможность для дальнейшей работы над ней.
Здесь я остановилась на
вопросе решения квадратных уравнений, а что,
если существуют и другие
способы их решения?! Опять находить красивые закономерности, какие-то факты,
уточнения, делать обобщения, открывать все новое и новое. Но это вопросы уже
следующих работ.
Подводя итоги, можно
сделать вывод: квадратные уравнения играют огромную роль в развитии математики.
Все мы умеем решать квадратные уравнения со школьной скамьи (8 класс), до
окончания вуза. Эти знания могут пригодиться нам на протяжении всей жизни.
Так как эти методы
решения квадратных уравнений просты в применении, то они, безусловно, должно заинтересовать
увлекающихся математикой учеников. Моя работа дает возможность по-другому
посмотреть на те задачи, которые ставит перед нами математика.
Литература:
1. Алимов Ш.А., Ильин В.А. и др. Алгебра, 6-8.
Пробный учебник для 6-8 классовой средней школы. - М., Просвещение, 1981.
2. Брадис В.М. Четырехзначные математические
таблицы для средней школы.Изд. 57-е. - М., Просвещение, 1990. С. 83.
3. Кружепов А.К., Рубанов А.Т. Задачник по алгебре
и элементарным функциям. Учебное пособие для средних специальных учебных
заведений. - М., высшая школа, 1969.
4. Окунев А.К. Квадратичные функции, уравнения и
неравенства. Пособие для учителя. - М., Просвещение, 1972.
5. Пресман А.А. Решение квадратного уравнения с
помощью циркуля и линейки. - М., Квант, № 4/72. С. 34.
6. Соломник В.С., Милов П.И. Сборник вопросов и
задач по математике. Изд. - 4-е, дополн. - М., Высшая школа, 1973.
7. Худобин А.И. Сборник задач по алгебре и
элементарным функциям. Пособие для учителя. Изд. 2-е. - М., Просвещение, 1970.