Математические уравнения и функции
Варивант №2
Задание 1
Дан треугольник ABC,
где А(-3,2), В(3,-1), С(0,3). Найти:
1.
Длину стороны АВ;
2.
Внутренний
угол А с точностью до градуса;
3.
Уравнение
и длину высоты, опущенной из вершины С;
4.
Точку пересечения высот;
5.
Уравнение
медианы, опущенной из вершины С;
6.
Систему
неравенств, определяющих треугольник АВС;
7.
Сделать чертеж;
Решение:
1.
Найдем координаты вектора АВ:
Длина стороны АВ равна:
2.
Угол
А будем искать как угол между векторами АВ и АС(-3,1)
Тогда
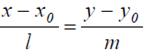
3.
Прямая
СК перпендикулярна АВ проходит через точку С(0,3) и имеет нормалью вектор
.
По формуле получим уравнение
высоты:
Сокращаем на 3 получим уравнение
высоты:
4.
Координаты основания медианы будут:
;
Уравнение медианы найдем, пользуясь
данной формулой, как уранение прямой, проходящей через 2 точки: С и М
Так как знаменатель левой части
равен нулю, то уравнение медианы будет иметь такой вид х=0
5.
Известно
что высоты треугольника пересекаются в одной точке Р. Уравнение высоты СК
найдено, выведем аналогично высоту BD
проходящую через точку В перпендикулярно вектору
Координаты точки Р найдем как
решение системы уравнений:
х=11 у=23
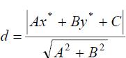
6.
Длину
высоты hc будем ее искать как
расстояние от точки С до прямой АВ. Эта прямая проходит через точку А и имеет
направляющий вектор
.
Теперь воспользовавшись
формулой
Подставляя в нее координаты точки
С(0,3)
Задание 2
Даны векторы
Доказать,
что
образуют базис четырехмерного
пространства, и найти координаты вектора «в» в этом базисе.
Решение:
1.
Докажем,
что подсистема
линейно независима:
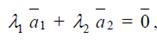
Из четвертого уравнения имеем , что
, тогда из первого,
второго и третьего следует, что
.
Линейная независимость доказана.
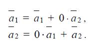
Докажем, что векторы
можно представить в виде линейных
комбинации векторов
.
Очевидно,
Найдем представление
через
.
Из четвертого уравнения находим
и подставляем в первые три
Получили , что данная система
векторов не может называться базисом!
Задание 3
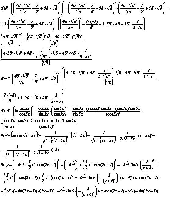
Найти производные функций:
Задание 4.
Исследовать функцию и построить ее график
1.
Область определения:
, то есть
2. Кривая
имеет вертикальную ассимптоту
х=-1, так как
Находим наклонные асимптоты.
а
то означает, что есть вертикальная асимптота у=0.
4.
Функция
периодичностью не обладает
5.
Находим
производную функции
Получаем 3 критические точки х=-1
х=1, и х=5.
Результаты исследования на
монотонность и экстремумы оформляется в виде таблицы
|
х
|
|
|
1
|
|
5
|
|
|
y’
|
-
|
-
|
0
|
+
|
0
|
-
|
|
y
|
убывает
|
убывыает
|
0
min
|
возрастает
|
0,074
|
убывает
|
6.
Находим
вторую производную функции
Получаем критические точки х=-1; х=0,22; х=6,11
Результаты исследований на выпуклость и точки
перегиба оформляем в виде таблицы.
|
х
|
|
|
0.22
|
|
6.11
|
|
|
y”
|
-
|
+
|
0
|
+
|
0
|
-
|
|
y
|
выпукла
|
вогнута
|
0,335
перегиб
|
вогнута
|
0,072
|
выпукла
|
7.
Находим
точки пересечения графика с осями координат Ох и Оу
получаем
точку (0;1);
получаем
точку (1;0)
8.
При
х=-2, у=-9, при х=-5, у=-0,56, при х=-10, у=-0,166
9.
Строим
график в соответствии с результатами исследований:
Задание 5
Найти неопределенные интегралы и проверить их
дифференцированием.
а)
; б)
; в)
; г)
Решение:
а) сделаем подстановку sin3x=t,
тогда dt=cos3x
dx, следовательно:
Проверка:
б) сделаем подстановку
Проверка:

Проверка:
г) воспользуемся
способом интегрирования рациональных дробей
Проверка:
Задание 6
Вычислить площадь фигуры, ограниченной графиками
функций:
Решение:
находим координаты точек пересечения заданных
графиков функций:
приравнивая правые части, получаем квадратное уравнение
корни этого квадратного
уравнения
следовательно :
, и
значит координаты точек пересечения А(0,7) и В(5,2). Точка х=2 находится между
точками 0 и 5. Подставляя в уравнения 2 получаем:
т.к
получаем: