Управление конкурентоспособностью продукции на предприятии (на примере ООО "Мясокомбинат Бугульминский")
Содержание
Введение
1. Теоретические основы конкурентоспособности продукции
1.1
Понятие и содержание конкурентоспособности продукции
1.2
Показатели конкурентоспособности продукции и методы их оценки
1.3
Оценка конкурентоспособности продукции
2. Современное состояние управления
конкурентоспособностью продукции ООО "Мясокомбинат
"Бугульминский"
2.1
Общая характеристика ООО "Мясокомбинат Бугульминский"
2.2
Анализ системы управления на предприятии
2.3
Исследование управления конкурентоспособности ООО "Мясокомбинат
Бугульминский"
3. Основные направления повышения конкурентоспособности
продукции ООО "Мясокомбинат Бугульминский"
3.1
Разработка положения по работе отдела сбыта и отдела маркетинга
3.2
Оценка социальной и экономической эффективности от внедрения рекомендаций и
предложений
Выводы и предложения
Список использованной литературы
Приложения
Введение
Рыночная деятельность фирмы немыслима
без участия в конкурентной борьбе. Конкуренция является механизмом
соперничества, состязательности участников рынка за право поиска своего
покупателя, за возможность продажи товара на наиболее выгодных условиях,
захвата определенной доли рынка и получении соответствующей прибыли. Она
побуждает товаропроизводителя совершенствовать и обновлять свою продукцию,
повышать ее качество, то есть делать ее конкурентоспособной.
Конкурентоспособность – это свойство
продукции (товара) выступать на рынке наравне с присутствующими там
аналогичными товарами. Она имеет три степени оценки: высокую, среднюю, низкую.
Для конкурентоспособности
потребительских товаров характерен рыночный успех на конкретном рынке в
условиях конкурентной борьбы за определенный период времени. Это означает, что
по своим совокупным характеристикам такие товары способны выдерживать
конкуренцию аналогов:
- функциональную (наиболее приемлемым
способом удовлетворять потребность пользователей и формировать у них новые
потребности);
- предметную (быть лучшими среди
хороших, выделяться важными параметрами потребительских свойств);
- видовую (иметь лучший дизайн).
Главными составляющими
конкурентоспособности продукции (товара) служат следующие характеристики:
технические (классификационные, нормативные, конструктивные, эргономические,
экологические, эстетические), экономические (стоимость, расходы по доставке и
вводу в эксплуатацию, энерго- и ресурсоемкость) и организационные (система
скидок, гарантий, уровень сервиса).
В самом общем виде конкурентоспособность
может быть представлена в следующем виде:
- технический уровень товара;
- уровень маркетинга и
рекламно-информационного обеспечения;
- соответствие требованиям
потребителя, техническим условиям и стандартам:
- организация сервиса, авторского
надзора, гарантийного обеспечения, обучение персонала приобретающей стороны;
- срок поставки (разработки,
создания, продажи), сроки гарантий;
- цена, условия платежей;
- актуальность (своевременность)
появления данного товара на конкурентном рынке.
Конкурентоспособность продукции
(товара) может проявиться лишь при условии формирования конкурентной среды,
т.е. рынка, на котором независимые фирмы-продавцы свободно соперничают за право
продавать свой товар независимому покупателю.
Среди обилия коммерческих структур в
каждом сегменте рынка, потребитель сегодня ищет, как правило, не столько фирму
с минимальными ценами, сколько надежную, зарекомендовавшую себя с хорошей
стороны организацию, способную предложить качественный товар на выгодных
условиях. В связи с этим исключительно важным становится поддержание доброго
имени компании, что достигается, в первую очередь, созданием и развитием
конкурентных преимуществ над соперниками на рынке по различным областям
деятельности.
Чтобы выжить в динамически
развивающемся рынке, необходимо развиваться и самой фирме. То, что хорошо
сегодня, не обязательно будет достаточно завтра, видение перспектив и
направлений развития, умение предугадать шаги конкурентов и правильно выбрать
направления своих превентивных и ответных шагов, вот, далеко не полный перечень
моментов требующих постоянного внимания грамотного руководителя.
Само понятие конкуренция означает
динамичный и непрерывно возобновляемый процесс соперничества. Поэтому
актуальность темы управление конкурентоспособностью продукции трудно
переоценить.
Данная работа охватывает широкий
спектр проблем, связанных с перечисленными выше составляющими
конкурентоспособности продукции.
Тема конкурентоспособность является
достаточно разработанной как в зарубежной, так и в отечественной литературе. В
научную литературу термин "конкуренция" вошел благодаря работам –
Адама Смита. Впоследствии над развитием теории конкуренции работали также
Д.Рикардо, Дж.Робинсон, А. Маршал, М.Портер и др. Среди российских ученых свой
вклад внесли – В.Леонтьев, Г.Л.Азоев, Р.А.Фатхутдинов и др.
Практическое значение работы
определяется возможностью использования ее результатов при управлении
конкурентоспособностью продукции.
Объектом исследования является ООО
"Мясокомбинат Бугульминский".
Предметом исследования выступает
система и процесс управления конкурентоспособностью продукции на предприятии.
Методологической основой послужили
теории и концепции, традиционные как для современной западной, так и для
отечественной управленческой науки.
В работе были использованы фактические
материалы, опубликованные в научной литературе и периодической печати, а также
материалы, собранные автором на ООО "Мясокомбинат Бугульминский".
Целью настоящей работы является
изучение управление конкурентоспособностью продукции и определение направлений
ее совершенствования.
Для достижения указанной цели
необходимо решить ряд задач:
- дать общую характеристику
предприятия;
- проанализировать систему управления
в организации;
- провести исследование
конкурентоспособности продукции;
- разработать положения по работе
отдела маркетинга и отдела сбыта;
- оценить социальную и экономическую
эффективность от внедрения предложений и рекомендаций.
Работа состоит из трех глав, выводов
и предложений, списка использованной литературы и приложения.
Первая глава посвящена теоретическим
основам конкурентоспособности продукции.
Во второй главе работы дается общая
характеристика деятельности ООО "Мясокомбинат Бугульминский",
исследуется конкурентоспособность продукции данного предприятия.
В третьей главе автор предлагает
основные направления совершенствования управления конкурентоспособностью
продукции исследуемого предприятия. Дается оценка экономической и социальной
эффективности от внедрения предложений и рекомендаций.
Общий объем дипломной работы 78
страниц.
1.
Теоретические основы конкурентоспособности продукции
1.1
Понятие и содержание конкурентоспособности продукции
Конкуренция - это процесс управления
субъектом своими конкурентными преимуществами для одержания победы или
достижения других целей в борьбе с конкурентами за удовлетворение объективных и
субъективных потребностей в рамках законодательства либо в естественных
условиях.
Как было доказано многими
экономистами, конкуренция является движущей силой развития общества, главным
инструментом экономии ресурсов (например, в Японии ресурсы используются в целом
в три раза эффективнее, чем в России), повышения качества товаров и уровня
жизни населения. Поэтому конкуренция - очень сложное понятие. Особенно важно
изучить ее механизм в условиях российской экономики, только начинающей
осваивать этот механизм [21. С. 74].
Сущность конкурентоспособности
организации – совокупность трудового и научно-производственного потенциала
организации, способного создавать и производить продукцию определённого уровня
конкурентоспособности.
Конкурентоспособность организации по
структуре и содержанию представлена как взаимообусловленное единство двух
составляющих: конкурентоспособности продукции и ресурсного потенциала
организации.
Управление конкурентоспособностью
организации представляет собой область знаний и профессиональной деятельности,
направленных на формирование и обеспечение достижения целей по повышению
конкурентоспособности организации.
Сложность и многоаспектность, а так же
разрозненность качественных характеристик конкурентоспособности в существующих
определениях требуют уточнения понятия конкурентоспособности.
Конкурентоспособность товара – это
совокупность потребительских и экономических характеристик товара, обеспечивающих
прибыльность производства и удовлетворение конкретной потребности покупателя в
конкурентных условиях [6. С. 34] .
Конкурентоспособность отдельного
товара рассматривается с точки зрения потребителя и производителя. Покупателя
на конкурентном рынке интересует совокупность потребительских и стоимостных
характеристик товара только с точки зрения эффективности потребления, а
производителя, кроме того, – эффективность производства. На основании
указанного обстоятельства и с целью объективной оценки вводится двойное понятие
о конкурентоспособности товара:
конкурентоспособность
товара по потреблению – это совокупность потребительских и стоимостных
характеристик товара в сфере потребления относительно аналогичных характеристик
товаров-конкурентов;
конкурентоспособность
товара по потреблению и производству – это совокупность потребительских и
экономических характеристик товара в сферах потребления и производства
относительно аналогичных характеристик товаров-конкурентов.
Для определения цены потребления в
зависимости от потребительских характеристик вводится понятие
конкурентоспособности товара по ценообразованию.
Конкурентоспособность товара по
ценообразованию – это совокупность потребительских характеристик товара в сфере
потребления относительно аналогичных характеристик товаров-конкурентов.
С целью всесторонней, комплексной и
количественной оценки уровня и динамики повышения конкурентоспособности
организации требуется уточнить понятия конкурентоспособности продукции.
Конкурентоспособность продукции по
потреблению – это средневзвешенный показатель конкурентоспособности выпускаемых
товаров, оцененных по потребительским и стоимостным параметрам относительно
товаров – конкурентов.
Конкурентоспособность продукции по
потреблению и производству – это средневзвешенный показатель
конкурентоспособности выпускаемых товаров, оцененных по потребительским и
экономическим параметрам относительно товаров – конкурентов.
Интегральный показатель
конкурентоспособности товара определяется на базе групповых параметров или
показателей и характеризует конкурентоспособность изделия по определённой
совокупности технико-экономических параметров относительно аналогичных
параметров конкурирующих товаров.
С целью более объективной оценки
конкурентоспособности товара и продукции предлагается производить её
средневзвешенными интегральными показателями конкурентоспособности:
- средневзвешенный интегральный
показатель конкурентоспособности товара - это интегральные показатели
конкурентности товара по определённой совокупности параметров, взвешенные
относительно нескольких конкурирующих товаров;
- средневзвешенный интегральный
показатель конкурентоспособности продукции - это средневзвешенные интегральные
показатели конкурентности товаров по определённой совокупности параметров,
взвешенные относительно выпускаемых товаров предприятия [52. С. 74].
К факторам конкурентоспособности
можно отнести: качество товара и его соответствие спросу; экологическую
чистоту; себестоимость и цену; дизайн и рекламные мероприятия; формы
продвижения товара и обслуживания потребителей. Качество товара зависит от
набора потребительских параметров, т.е. признаков, характеризующих важнейшие
потребительские функции товара, его свойства, удовлетворяющие какие-либо
потребности потенциальных покупателей.
При изучении конкурентоспособности
продукции необходимо выбрать атрибуты, на основе изучения которых проводится
сравнение. Понятие "атрибут" включает характеристики продукта и
выгоды потребителей. При традиционной оценке конкурентоспособности обычно
считают, что связь между результирующим показателем конкурентоспособности и
факторными является функциональной.
Факторы, определяющие предпочтение,
необходимо выявлять в каждом случае. Они определяются в зависимости от
особенностей продукции.
Различают жесткие потребительские
параметры, которые соответствуют строго регламентируемым стандартами
конструктивным и технологическим признакам, его потребительским свойствам и
функциям, а также мягкие потребительские параметры, отражающие эстетические
психологические свойства товара.
Обычно на рынке представлено большое
количество различных видов товаров. Комплекс товаров одного и того же
потребительского назначения, но с разными потребительскими параметрами,
например мощностью, производительностью, уровнем потребляемой энергии, внешним
оформлением и т.д., образует параметрический ряд. Его размах (число
подобных товаров) обусловлен многими причинами, в частности конкуренцией. Место
каждого такого товара в параметрическом ряду характеризуется параметрическим
индексом. Он представляет собой процентное отношение фактического
потребительского параметра к эталонной величине, определяемой экспертным путем
и опросами [9. С. 133].
Совокупность множества относительных
параметров, характеристик и показателей, участвующих в определении единичных,
групповых и интегральных показателей конкурентоспособности продукции,
объективно отражает конкурентность работы организации. Стратегия
конкурентоспособности продукции и организации осуществляется позиции
интегральной оценки результативности системы. Отсюда возникает необходимость
содержательного и количественного технико-экономического обоснования
параметров, характеристик и показателей, которые присутствуют в интегральных
показателях конкурентоспособности продукции по потреблению и производству.
По своей сути конкурентоспособность
продукции — это ее оценка потребителем. Свойство это зависит не только от
самого продукта, но в значительной мере от продуктов-конкурентов, на фоне
которых потребитель и дает свою оценку конкурентоспособности именно данного
образца, а точность этой оценки подтверждает фактом траты денег на покупку.
1.2
Показатели конкурентоспособности продукции и методы их оценки
Одной из основных проблем
конкурентоспособности товара является получение ее числовой оценки. Для эффективного
управления системой качества на предприятии необходимо располагать как системой
показателей, так и способами их расчета. Важная роль при оценке
конкурентоспособности товара принадлежит технико-экономическим показателям.
Технические показатели характеризуют технический уровень
продукции, ее свойства, определяющие основные области применения, и функции,
которые продукция должна выполнять в процессе потребления. К ним относятся
показатели: назначения, надежности и долговечности, технологичности, эргономические,
экологические и др.
Показатели назначения продукции
характеризуют технические свойства изделия, обеспечивающие возможность его
использования в соответствии с условиями эксплуатации. К ним относятся:
показатели состава и структуры продукции, размеров, веса, используемые для
непосредственного сравнения продукции.
Показатели эргономические характеризуют
продукцию с точки зрения ее соответствия свойствам и особенностям человеческого
организма. К таким показателям относятся: гигиеничность (освещенность,
токсичность, уровень шума, вибрации, запыленности); антропометрические
(соответствие размерам и форме человеческого тела); физиологические,
психологические и др. Обычно значения таких показателей определяются
национальным законодательством или международными нормами.
Показатели эстетические характеризуют
внешнюю форму продукции - ее привлекательность, информационную выразительность,
рациональность формы, целостность композиции, совершенство производственного
исполнения, эмоциональное воздействие на конкретного покупателя.
Показатели экологические характеризуют
соответствие требованиям по защите окружающей среды, определяемым стандартами,
нормами и правилами, установленными национальными и международными
организациями в области охраны окружающей среды. При несоблюдении этих
показателей продукция теряет полностью свою конкурентоспособность.
Экономические показатели дают стоимостную оценку затрат
покупателя (условия и сроки поставки, виды и способы расчетов с покупателями и
др.). Эти затраты называют ценой потребления продукции [22. С. 23] .
Оценка показателей
конкурентоспособности продукции проводятся в сравнении с аналогичной или взятой
за эталон. А окончательное решение по выбору номенклатуры показателей,
используемых при оценке конкурентоспособности продукции, принимается экспертной
комиссией с учетом конкретных условий использования этой продукции и целей
оценки.
Сущность метода экспертных оценок
заключается в проведении экспертами интуитивно-логического анализа проблемы с
количественной оценки суждений и формальной обработки результатов. Получаемо в
результате обобщенное мнение экспертов принимается как решение проблемы.
Оценить конкурентоспособность
продукции также можно на основе анализа его полезного эффекта. Полезный эффект
– это отдача объекта, интегральный показатель как система используемых в
конкретных условиях частных показателей качества объекта, удовлетворяющих
конкретную потребность. Эффективность объекта рассчитывается по формуле:
,(1)
где Пс – полезный срок
эффекта за нормативный срок его службы в условиях конкретного рынка, единица
полезного эффекта.
Зс – совокупные затраты за жизненный
цикл объекта в условиях конкретного рынка, денежная оценка.
По своей сути эта формула представляет
собой показатель "качество-цена", который условно отражает количество
качества на единицу цены.
Недостатком этого метода является
игнорирование предельных уровней качества и цены, а также применение только для
однопараметрических объектов.
"По системе 11111-55555",
без учета весомости факторов, конкурентоспособность продукции определяется как
сумма баллов по каждому фактору. Эксперт (один или группа) назначает оценку
фактора от 1 (минимум, наихудшее значение фактора) до 5 (наилучшее значение).
Так, продукция низкого качества, предлагаемая по весьма высокой цене, имеющая к
тому же низкое качество и высокие эксплуатационные затраты, будет иметь оценки
1-2 балла и его конкурентоспособность может быть допустим, 1211. По этой
системе минимальное значение конкурентоспособности будет равно 5 (1+1+1+1+1),
максимальное – 25 (5+5+5+5+5). Оцениваемая продукция имеет
конкурентоспособность, равную 6 из 25, т.е. в 4 раза отстает от лучших
образцов.
Для получения интегральной оценки
конкурентных преимуществ продукции используется формула:
КПт =
,
(2)
где КПт – конкурентных
преимуществ конкретной продукции;
i = 1,2,….., n – номер конкурентного преимущества конкретной продукции;
j = 1,2,….., m – номер фактора i-го конкурентного преимущества продукции;
- весомость i-го конкурентного преимущества;
;
= весомость j-го фактора i-го
конкурентного преимущества;
;
Пi – относительное или нормативное значение i-го конкурентного преимущества;
Фij – относительное или нормативное значение i-го фактора j-го конкурентного преимущества.
Интегральный показатель конкурентных
преимуществ продукции характеризует его потенциальную конкурентоспособность
Обычно на рынке представлено большое
количество различных видов товаров. Комплекс товаров одного и того же
потребительского назначения, но с разными потребительскими параметрами,
например мощностью, производительностью, уровнем потребляемой энергии, внешним
оформлением и т.д., образует параметрический ряд. Его размах (число
подобных товаров) обусловлен многими причинами, в частности конкуренцией. Место
каждого такого товара в параметрическом ряду характеризуется параметрическим
индексом. Он представляет собой процентное отношение фактического
потребительского параметра к эталонной величине, определяемой экспертным путем
и опросами. Жесткие параметрические индексы строятся на основе объективных
технико-экономических показателей, сравниваемых с нормативами или стандартами,
а мягкие индексы базируются на экспертных квалиметрических моделях.
Квалиметрия — наука, объединяющая методы
количественной оценки качества чего-либо (кого-либо).
Обобщающую характеристику
конкурентоспособности продукции (Iкст) можно получить с помощью
интегрального индекса. Он показывает, как соотносятся между собой
параметрические индексы сравниваемых товаров.
Если по данному товару Iкст > 1, то он считается
конкурентоспособным.
Этот метод оценки
конкурентоспособности продукции имеет как достоинства, так и недостатки.
Достоинство его заключаются в следующем. Метод дает четкое разграничение
потребительских параметров, последовательность их оценки, а также критерий, на
основе которого можно сформулировать однозначный вывод: конкурентоспособна
продукция или нет. Что касается недостатков, то, во-первых; появляются сомнения
относительно применения большого числа экспертных оценок, которым свойственна
известная субъективность. Возникает проблема, связанная с определением
достоверных коэффициентов важности (весов) факторов, учитываемых при расчете
сводных параметрического индекса и индекса экономических параметров. Во-вторых,
если в расчетах используются потребительские и экономические параметры
(факторы) только по одному изделию, (пусть даже типовому), то интегральный
индекс конкурентоспособности продукции будет иметь частное значение [39. С.
265].
Наибольшее практическое значение
имеют количественные параметры. Так, по результатам конкурентной борьбы за
рынок сбыта конкурентоспособность продукции предприятия может быть определена
отношением занимаемых долей рынка.
Ксп1/2 =
,
(3)
где Ксп1/2 –
конкурентоспособность продукции первого предприятия относительно продукции
второго предприятия;
V1 и V2 – соответственно доли продукции первого и второго предприятий.
Если продукция одного предприятия
занимает 20% целевого рынка, а другого — 10%, то это означает, что продукция
первого предприятия в два раза конкурентоспособнее продукции второго
предприятия. Измерение возможно как в натуральных, так и в стоимостных
показателях, которые более точны при дифференциации цен и качества продукции
[17. С. 303].
Идеальный вариант — это когда доля
рынка равна 100%, конкурентоспособность продукции предприятия абсолютная,
конкурентов нет. Наихудший вариант, когда доля рынка равна 0%. В этом случае
продукция предприятия оказывается ненужной покупателю, а конкурентоспособность
продукции предприятия равна нулю.
Промежуточный вариант — рынок поделен
поровну между первым и вторым предприятиями, конкурентоспособность продукции
одинакова и равна единице (относительно друг друга). Обратным доле рынка
показателем является вероятность покупки.
Например, пусть два аналогичных вида продукции,
производимых разными предприятиями, продаются по одинаковой цене (массовое
производство). Они идентичны по качеству, а влияние других факторов сведено к
нулю. В этом случае рынок распределится равнозначно 50/50,
конкурентоспособность продукции первого и второго предприятий одинакова, как и
вероятность покупки. В частности из двух покупок при общем достаточно большом
их числе одна придется на продукцию первого предприятия, другая — на продукцию
второго. Объем рынка может быть измерен в натуральных показателях. Однако для
обеспечения сопоставимости (например, при разных ценах на продукцию) необходимо
использовать стоимостные показатели [5. С. 166]
Итак, конкурентоспособность продукции
предприятия может быть определена в стоимостных показателях в виде
отношения занимаемых долей рынка, а также как вероятность покупки продукции.
Использование стоимостных показателей составляет базу для планирования и
контроля, т.е. управления ростом конкурентоспособности продукции предприятия.
Таким образом:
1)единственным
экспертом в части оценки конкурентоспособности продукции является покупатель,
для которого эта продукция и производится.
2)При оценке
конкурентоспособности в расчет может приниматься только сопоставимая продукция,
причем даже не на товарных рынках, а на целевых сегментах товарных рынков;
оценивать конкурентоспособность предприятия агрегированием показателей его
продукции не всегда целесообразно;
3)Чем выше уровень
конкурентоспособности продукции предприятия, тем выше вероятность ее продажи и
завоевания большей доли целевого рынка;
4) Справедливо и обратное
утверждение: чем большая доля целевого рынка завоевана предприятием, тем выше
уровень конкурентоспособность его продукции [29. С. 87].
Таким образом, предлагаемый метод
оценки конкурентоспособности продукции по завоеванной предприятием доле
целевого рынка прост, достаточно объективен и информативен. Он позволяет
формировать реальную картину конкурентоспособности продукции предприятия и
управлять ею. На основе получаемой информации предприятия могут достаточно
достоверно планировать объемы продаж своей продукции на перспективу.
1.3 Оценка конкурентоспособности
продукции
Конкурентоспособность
продукции - решающий фактор его коммерческого успеха на развитом конкурентном
рынке. Это многоаспектное понятие, означающее соответствие товара условиям
рынка, конкретным требованиям потребителей не только по своим качественным,
техническим, экономическим, эстетическим характеристикам, но и по коммерческим
и иным условиям его реализации (цена, сроки поставки, каналы сбыта, сервис,
реклама). Более того, важной составной частью конкурентоспособности продукции
является уровень затрат потребителя за время эксплуатации. Иначе говоря, под
конкурентоспособностью понимается комплекс потребительских и стоимостных
(ценовых) характеристик продукции, определяющих его успех на рынке, т.е.
преимущество именно этой продукции над другими в условиях широкого предложения
конкурирующих товаров аналогов. И поскольку за товарами стоят их изготовители,
то можно с полным основанием говорить о конкурентоспособности соответствующих
предприятий, объединений, фирм, равно как и стран, в которых они базируются.
Любая продукция, находящийся на рынке, фактически проходит там проверку на
степень удовлетворения общественных потребностей: каждый покупатель приобретает
ту продукцию, которая максимально удовлетворяет его личные потребности, а вся
совокупность покупателей ту продукцию, которая наиболее полно соответствует
общественным потребностям, нежели конкурирующая с ним продукция.
Поэтому
конкурентоспособность (т.е. возможность коммерчески выгодного сбыта на
конкурентном рынке) продукции можно определить, только сравнивая продукцию
конкурентов между собой. Иными словами, конкурентоспособность понятие
относительное, чётко привязанное к конкретному рынку и времени продажи. И
поскольку у каждого покупателя имеется свой индивидуальный критерий оценки
удовлетворения собственных потребностей, конкурентоспособность приобретает ещё
и индивидуальный оттенок [48. С. 55-56].
Наконец,
конкурентоспособность определяется только теми свойствами, которые представляют
заметный интерес для покупателя (и, естественно, гарантируют удовлетворение
данной потребности). Все характеристики изделия, выходящие за рамки этих
интересов, рассматриваются при оценки конкурентоспособности как не имеющие к
ней отношения в данных конкретных условиях. Превышение норм, стандартов и
правил (если только оно не вызвано предстоящим повышением государственных и
иных требований) не только не улучшает конкурентоспособность изделия, но,
напротив, нередко снижает её, поскольку ведёт к росту цены, не увеличивая с
точки зрения покупателя потребительской ценности, в силу чего представляется
ему бесполезным. Изучение конкурентоспособности продукции должно вестись
непрерывно и систематически, в тесной привязке к фазам его жизненного цикла,
чтобы своевременно улавливать момент начала снижения показателя
конкурентоспособности и принять соответствующие решения (например, снять
изделие с производства, модернизировать его, перевести на другой сектор рынка).
При этом исходя из того, что выпуск предприятием нового продукта прежде чем старый
исчерпал возможности поддержания своей конкурентоспособности, обычно
экономически нецелесообразен.
Вместе с тем
любая продукция после выхода на рынок начинает постепенно расходовать свой
потенциал конкурентоспособности. Такой процесс можно замедлить и даже временно
задержать, но остановить невозможно. Поэтому новое изделие проектируется по
графику, обеспечивающему его выход на рынок к моменту значительной потери
конкурентоспособности прежним изделием. Иначе говоря, конкурентоспособность
новой продукции должна быть опережающей и достаточно долговременной.
Обеспечение
конкурентоспособности продукции на требуемом уровне предполагает необходимость
её количественной оценки. Без такой оценки конкурентоспособности все
предусматриваемые предприятием меры по поддержанию продукции (товара, услуги)
на должном уровне останутся благим пожеланием. Отправной момент оценки
конкурентоспособности любой продукции формирование цели исследования [12. С.
118].
Анализ
конкурентоспособности начинается с оценки нормативных параметров. Если хотя бы
один из них не соответствует уровню, который предписан действующими нормами и
стандартами, то дальнейшая оценка конкурентоспособности продукции
нецелесообразна, независимо от результата сравнения по другим параметрам. В то
же время, превышение норм и стандартов и законодательства не может
рассматриваться как преимущество продукции, поскольку с точки зрения
потребителя оно часто является бесполезным и потребительской стоимости не
увеличивает. Исключения могут составить случаи, когда покупатель заинтересован
в некотором превышении действующих норм и стандартов в расчете на ужесточение
их в будущем.
Если
необходимо определить положение данной продукции на ряду аналогичных, то
достаточно провести их прямое сравнение по главным параметрам. При исследовании,
ориентированном на оценку перспектив сбыта товара на конкретном рынке, анализ
предполагает использование информации, включающей сведения об изделиях, которые
выйдут на рынок, динамику спроса, предполагаемые изменения в соответствующем
законодательстве и др. Однако, независимо от целей исследования, основой для
оценки конкурентоспособности является изучение рыночных условий. После выбора
продуктов (товаров, услуг), по которым будет проводиться анализ, на основе
изучения рынка и требований покупателей определяется номенклатура параметров
участвующих в оценке. При анализе должны использоваться те же категории,
которыми оперирует потребитель, выбирая продукцию. По группам параметров
(технических и экономических) проводятся сравнения для выяснения, насколько
параметры близки к соответствующему параметру потребности.
Номенклатура
параметров, используемых при оценке конкурентоспособности, включает две
обобщающие группы:
- параметров
качества (технических);
-
экономических параметров.
К группе
технических относятся параметры потребности, которые характеризуют содержание
этой потребности и условия ее удовлетворения. К ним относятся:
- параметры
назначения;
-
эргономические параметры;
-
эстетические параметры;
- нормативные
параметры.
К группе экономических параметров
относятся полные затраты потребителя (цена потребления) по приобретению и
потреблению продукции, а также условиями ее приобретения и использования на
конкретном рынке. Полные затраты потребителя в общем случае включают
единовременные и текущие затраты
Окончательное
решение по выбору номенклатуры параметров, используемых при оценке
конкурентоспособности продукции, принимается экспертной комиссией с учетом
конкретных условий использования этой продукции и целей оценки [22. С. 303].
Среди наиболее часто используемых
методов оценки конкурентоспособности продукции является метод расчета единичных
и групповых показателей. В основе данного – традиционного метода лежит расчет
единичных и групповых показателей, на базе которых определяется интегральный показатель
конкурентоспособности. Рассмотрим его более подробно [9. С. 234].
На первом этапе выбирается база
сравнения. В качестве базы для сравнения может служить лучший из уже
существующих на целевом рынке или в мире товаров-конкурентов, или более
совершенный образец, появление которого ожидается в ближайшем будущем, или
некоторый абстрактный эталон. Если разбить товары на три группы, а именно:
- имеющие аналоги и уже выведенные на
рынок;
- имеющие аналоги и находящиеся на
стадии разработки;
- не имеющие аналогов,
то получаем, что первый вариант базы
сравнения лучше использовать для первой группы, второй — для группы 2, третий —
для группы 3.
На втором этапе выделяются наиболее
значимые для потребителя критерии. Они делятся на две группы: потребительские и
экономические. Первые включают в себя качественные характеристики товара
(производительность, габариты, экологическая безопасность, надежность и т.д.),
вторые - цену товара, затраты на транспортировку, монтаж и эксплуатацию, что в
целом составляет цену потребления. Значение критерия у базисной модели
обозначим РБ, а у сравниваемого образца - Рi.
На третьем этапе по каждому критерию
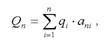
рассчитывается единичный показатель конкурентоспособности (qi).
qi =
(4)
На четвертом этапе внутри каждой
группы критериев производят ранжирование показателей по степени их значимости
для потребителя и в соответствии с этим присваивают им вес: ani - для потребительских и аэi- для экономических показателей.
Причем
(5)
где n и m — количество
потребительских и экономических параметров соответственно.
На пятом этапе проводится расчет
группового показателя как сводного параметрического индекса
конкурентоспособности:
(6)
где Qn и Qэ - сводные параметрические
индексы конкурентоспособности по потребительским и экономическим свойствам
соответственно.
На шестом этапе рассчитывается
интегральный показатель конкурентоспособности (К):
(7)
В результате оценки
конкурентоспособности продукции могут быть приняты следующие решения:
- изменение состава, структуры
применяемых материалов (сырья, полуфабрикатов), комплектующих изделий или
конструкции продукции;
- изменение порядка проектирования
продукции;
- изменение технологии изготовления
продукции, методов испытаний, системы контроля качества изготовления, хранения,
упаковки, транспортировки, монтажа;
- изменение цен на продукцию, цен на
услуги, по обслуживанию и ремонту, цен на запасные части;
- изменение порядка реализации
продукции на рынке;
- изменение структуры и размера
инвестиций в разработку, производство и сбыт продукции;
- изменение структуры и объемов
кооперационных поставок при производстве продукции и цен на комплектующие
изделия и состава выбранных поставщиков;
- изменение системы стимулирования
поставщиков;
- изменение структуры импорта и видов
импортируемой продукции [3. С. 167].
Принципы и методы оценки
конкурентоспособности могут быть использованы для обоснования принимаемых
решений при:
- комплексном изучении рынка и выборе
направлений коммерческой деятельности предприятия;
- разработке мероприятий по повышению
конкурентоспособности продукции;
- оценки перспектив продажи
конкретных изделий и формирования структуры продаж;
- разработке предложений по развитию
производственного потенциала предприятия;
- контроле качества продукции;
- установлении цен на продукцию;
- отборе продукции при покупке через
тендеры и торги;
- аттестации продукции;
- подготовке технических заданий по
созданию новых образцов продукции;
- решении вопроса о включении в
экспортную программу и снятии продукции с экспорта, либо ее модернизации;
- подготовка информации для рекламы
продукции;
- разработке мероприятий по стимулированию
разработчиков и поставщиков [40. С. 315].
Исходя из вышесказанного, следует,
что конкурентоспособность продукции - это ее оценка потребителем. Свойство его
зависит не только от самого продукта, но в значительной мере от продуктов –
конкурентов. При анализе конкурентоспособности продукции необходимо выбрать
атрибуты (свойства), на основе изучения которых проводится сравнение. К
факторам конкурентоспособности можно отнести: качество продукции и его
соответствие спросу; экологическую чистоту; себестоимость и цену; дизайн и
рекламные мероприятия; формы продвижения продукции. Конкурентоспособность
продукции может быть определена в стоимостных показателях в виде отношения
занимаемых долей рынка, а также вероятности покупки продукции. Фактор
конкуренции носит принудительный характер, заставляя производителя под угрозой
вытеснения с рынка непрестанно заниматься системой качества, а рынок объективно
и строго оценивает результаты их деятельности.
Поэтому рыночные отношения диктуют
предприятию четкие ориентиры в конкурентной борьбе: максимальное удовлетворение
требований потребителя и эффективность производственно-экономической
деятельности.
2.
Современное состояние управления конкурентоспособностью продукции ООО
"Мясокомбинат "Бугульминский"
2.1
Общая характеристика ООО "Мясокомбинат Бугульминский"
Общество с ограниченной
ответственностью "Мясокомбинат "Бугульминский" осуществляет свою
деятельность в соответствии с Положением, Уставом общества, решениями Совета
директоров, а также приказами и распоряжениями Председателя правления –
генерального директора. Общество является юридическим лицом, имеет отдельный
баланс, фирменное наименование, зарегистрированный фирменный знак, печать со
своим наименованием, бланки и штампы, расчетные счета в учреждениях банка.
Юридический адрес Общества: 423200, Республика Татарстан, г. Бугульма, ул.
Залакова, 7.
Целью общества является выполнение
Обществом заданий на удовлетворение общественных потребностей и получение
прибыли от осуществляемой предпринимательской деятельности.
Общество должно обеспечить
эффективную и устойчивую работу, динамичное экономическое, социальное развитие
и рост благосостояния членов Общества и лиц, состоящих в контрактных отношениях
с Обществом.
Предметом деятельности Общества
является:
- производство мяса и мясопродуктов;
- оптовая торговля живыми животными;
- оптовая торговля мясом, включая
субпродукты;
- розничная торговля мясом и
консервами из мяса;
- разведение свиней;
- производство, переработка,
реализация сельскохозяйственной продукции и товаров;
- разработка и внедрение
информационных услуг;
- торговля продовольственными и
непродовольственными товарами (оптовая и розничная), комиссионная торговля,
торгово-закупочная и торгово-посредническая деятельность;
- оказание маркетинговых, лизинговых
представительских, дилерских и других услуг населению и юридическим лицам по
всем видам хозяйственных договоров;
- реализация сельскохозяйственной
техники, автотехники, легковых автомобилей;
-оказание населению услуг в сфере
общественного питания, культурного отдыха;
- внешнеэкономическая деятельность,
определяемая экспортом собственной продукции (работ, услуг) и импортом
продукции (работ, услуг), как для собственных производственных и социальных
нужд, так и для насыщения рынка товарами и услугами. Может организовать и
участвовать во всех видах внешнеэкономической деятельности российских и
зарубежных предприятий, фирм и организаций, в том числе коммерческой,
агентской, консультационной и маркетинговой деятельности.
Общество самостоятельно осуществляет
свою хозяйственную деятельность на принципах хозяйственного расчета,
самофинансирования и самоокупаемости, несет ответственность за результаты своей
деятельности, за выполнение взятых на себя обязательств перед партнерами по
заключенным договорам, перед госбюджетом и банками согласно действующему
законодательству.
Общество самостоятельно планирует
свою деятельность и определяет перспективы развития исходя из спроса на
производимую продукцию, работы, услуги и необходимости обеспечения
производственного и социального развития Общества.
Общество реализует свою продукцию,
работы, услуги, отходы производства по ценам и тарифам, устанавливаемым
самостоятельно или договорной основе.
Общество для осуществления Уставных
задач вправе создавать производственные отделы и другие подразделения,
необходимые для хозяйственной деятельности.
Финансовые ресурсы Общества
формируются за счет выручки от реализации продукции (работ, услуг), средств,
полученных от продажи ценных бумаг, спонсорских и других средств.
Из выручки от реализации продукции и
вне реализационных поступлений Общества, возмещаются материальные и
приравненные к ним затраты, расходы на оплату труда, вносятся налоги и иные
платежи в бюджет, уплачиваются проценты по кредитам и кредиты. Остающаяся
прибыль поступает в полное распоряжение Общества. Общество самостоятельно
определяет направления использования этой прибыли.
Согласно действующему
законодательству Общество формирует:
- фонд производственного развития;
- фонд социального развития;
- резервный фонд (в размере 15% от
Уставного капитала);
- фонд отчислений Участнику Общества.
Резервный фонд создается в размере,
определяемом решениями высшего органа управления Общества, но не менее 15% от
размера Уставного капитала. Формирование капитала фонда осуществляется путем
ежегодных отчислений, но не менее 5% от чистой прибыли до достижения фондом
предусмотренных размеров. После прекращения формирования резервного фонда
указанные отчисления от чистой прибыли направляются в другие фонды.
Оплата труда работникам Общества
осуществляется в соответствии со штатным расписанием за счет средств фонда
оплаты труда.
В фонд отчислений Участнику по итогам
работы за определенный период по решению общего собрания Участников
направляется часть чистой прибыли. Размер отчислений за счет средств фонда
оплаты труда [3. Пункт 14].
Документы бухгалтерской и иной
отчетности составляются применительно к правилам ведения отчетности,
установленным действующим законодательством и инструкциями соответствующих
органов.
ООО "Мясокомбинат
"Бугульминский"" имеет на своем балансе ряд магазинов,
реализующих продукцию собственного производства. Говоря о характеристике
предприятия необходимо учитывать и его имущественное положение. В таблице 1
представлены основные технико-экономические показатели деятельности по данным
за 2006-2008гг.
Таблица 1 Технико-экономические
показатели ООО "Мясокомбинат Бугульминский" за 2006-2008гг.
|
Показатели
|
2006 г.
|
2007 г.
|
2008 г.
|
Абсолютное
отклонение, тыс. руб.
|
Относительное
отклонение, %
|
|
тыс. руб.
|
доля, %
|
тыс. руб.
|
доля %
|
тыс. руб.
|
доля, %
|
2007/
|
2008/
|
2007/
|
2008/
|
|
2006гг
|
2007 гг.
|
2006 гг.
|
2007гг.
|
|
1
|
2
|
3
|
4
|
5
|
6
|
7
|
8
|
9
|
10
|
11
|
|
Актив
|
|
|
|
|
|
|
|
|
|
|
|
Внеоборотные
активы
|
20671
|
67,09
|
26295
|
37,9
|
27787
|
35,65
|
5624
|
1492
|
27,21
|
5,67
|
|
Оборотные
активы
|
10139
|
32,90
|
43115
|
62,1
|
50150
|
64,34
|
32976
|
7035
|
325,2
|
16,32
|
|
Баланс
|
30810
|
100
|
69411
|
100
|
77937
|
100
|
38601
|
8526
|
125,3
|
12,28
|
|
Пассив
|
|
|
|
|
|
|
|
|
|
|
|
Собственный
капитал
|
2436
|
7,90
|
2471
|
3,56
|
2633
|
3,37
|
35
|
162
|
1,437
|
6,55
|
|
Долгосрочные
обязательства
|
|
|
|
|
|
|
|
|
|
|
|
Краткосрочные
обязательства
|
28374
|
92,09
|
66940
|
96,4
|
75304
|
96,62
|
38566
|
8364
|
135,9
|
12,49
|
|
Баланс
|
30810
|
100
|
69411
|
100
|
77937
|
38601
|
8526
|
125,3
|
12,28
|
*Источник: форма №1
"Бухгалтерский баланс" ООО "Мясокомбинат Бугульминский" за
2006-2008гг.
Как видно из данных таблицы 1, в
течение трех лет общая стоимость активов (имущества) предприятия постепенно
увеличивается. Это происходит преимущественно в результате роста оборотных
активов и в меньшей мере в результате внеоборотных активов. За 2007 г. активы
предприятия возросли на 38601
тыс. руб. или на 125,3%. Это произошло за счет прироста оборотных средств – на
32976 тыс. руб. или 325,2%. В 2008 г. активы предприятия увеличились на 8526
тыс. руб. (12,3 %) по сравнению с 2007 г. На данное повышение оказали влияние оборотные активы – на
7035 тыс. руб. (16,32%).
В 2006 году доля оборотных активов
составляла 32,90%, в 2007 году их удельный вес повысился до 62,1%. В 2008 году
структура совокупных активов также характеризуется повышением в их составе доли
оборотных средств, которая составляет 64,34% . На рисунке 1 представлена динамика изменения
структуры активов ООО "Мясокомбинат Бугульминский" за 2006-2008 гг.
Рис. 1. Динамика изменения структуры
активов ООО "Мясокомбинат Бугульминский" за 2006-2008 гг.
На увеличение оборотных активов в
основном оказало влияние повышение размера дебиторской задолженности (платежи
по которой ожидаются в течение 12 месяцев после отчетной даты). Резкое
увеличение дебиторской задолженности свидетельствует об увеличении объема
продаж и о низкой платежеспособности части покупателей. На увеличение величины
внеоборотных активов повлияло увеличение суммы нематериальных активов, основных
средств, незавершенного строительства и прочих нематериальных активов.
Также на исследуемом предприятии за
три года наблюдается увеличение таких показателей как прибыль от продаж,
прибыль до налогообложения, чистая прибыль отчетного периода и выручка от
продажи товаров. Изменение величины прибыли и выручки за три года показано в
таблице 2.
Таблица 2 Анализ изменения
показателей прибыли и выручки ООО "Мясокомбинат Бугульминский" за
2006-2008 гг.
|
Показатели
|
2006 г.
|
2007 г.
|
2008 г.
|
Изменение
|
|
2007-2006
гг.
|
2008-2007 гг.
|
|
1
|
2
|
3
|
4
|
5
|
6
|
|
Прибыль от
продаж
|
431
|
815
|
1930
|
384
|
1115
|
|
Прибыль до
налогообложения
|
58
|
79
|
428
|
21
|
349
|
|
Чистая
прибыль отчетного периода
|
42
|
65
|
161
|
23
|
96
|
|
Выручка от
продажи товаров, работ, услуг,
|
63284
|
72114
|
127292
|
8830
|
55178
|
*Источник: Форма №2 "Отчет о прибылях
и убытках" ООО "Мясокомбинат Бугульминский" за 2006-2008 гг.
2007 г. размер выручки составил 72114
тыс.руб., что на 8830 тыс.руб. больше чем в предыдущем году, а в 2008 г. 127292
тыс. руб., что на 55178 тыс. руб. больше чем в 2007 г. Чистая прибыль в 2007г.
увеличилась на 23 тыс. руб. и составила 65 тыс. руб., в 2008 г. увеличилась на
96 тыс. руб. в сравнении с 2007 г. и составила 161 тыс. руб. В прибыли от
продаж также прослеживается динамика роста, в 2007 г. увеличилась на 384
тыс.руб. и составила 815 тыс.руб., в 2008 г. увеличилась на 1115 тыс. руб. и
составила 1930 тыс.руб. Прибыль до налогообложения увеличилась в 2007г. по
сравнению с 2006г. на 21 тыс. руб. и составила 79 тыс.руб., а в 2008г. по
сравнению с 2007 г. на 349 тыс.руб. и составила 428 тыс.руб.
Таким образом, финансовое состояние
ООО "Мясокомбинат Бугульминский" с каждым годом улучшается.
За 2006 – 2008 гг. произошло
увеличение общей стоимости активов предприятия благодаря росту оборотных
активов, и в меньшей мере благодаря росту внеоборотных активов. Выручка от
реализации продукции и все показатели прибыли имеют тенденцию к увеличению. Это
в свою очередь, благоприятно сказывается на деятельности предприятия.
Тем не менее, ООО "Мясокомбинат Бугульминский"
является предприятием развивающимся, расширяя свою деятельность и увеличивая
производственные мощности.
2.2
Анализ системы управления на предприятии
Система управления - это совокупность
элементов (подсистем), объединенных информационными связями и процессами,
направленными на достижение некоторых целей. А это позволяет считать, что
система создается для достижения целей, которые направлены на решение проблем.
Проблемы служат фактором, инициирующим менеджмент на повышение эффективности
производства и управления. Системы управления предприятиями, как правило,
характеризуются сложностью, вероятностным проявлением параметров состояния
управляемых объектов и неопределенность принятия решения.
Как правило, Общество с ограниченной
ответственностью создается одним или несколькими лицами, уставный капитал
которого разделен на доли определенных учредительными документами размеров;
участники Общества не отвечают по его обязательствам и несут риск убытков,
связанных с деятельностью общества, в пределах стоимости внесенных ими вкладов.
Общество с ограниченной
ответственностью имеет следующие особенности:
1. Это разновидность объединения
капиталов, не требующего обязательного личного участия своих членов в делах
Общества;
2. Уставный капитал общества делиться па
доли участников, которые не несут ответственности по долгам Общества;
3. В законе предусматриваются более
высокие требования к уставному капиталу, его определению и формированию, чем к
складочному капиталу товарищества - размер этого капитала ни при каких условиях
не может быть минимальной суммы, определенной законом.
Эта организационно-правовая форма
очень распространена среди представителей, как среднего, так и малого бизнеса.
Для решения основных производственных
задач в ООО "Мясокомбинат Бугульминский" организована иерархическая
производственная инфраструктура.
Предприятие возглавляет директор,
который действует от имени предприятия, добросовестно и разумно представляет
его интересы на территории Республики Татарстан и за ее пределами. Действуя по
принципу единоначалия, несет ответственность за последствия своих действий в
соответствии с федеральными законами, иными нормативными правовыми актами
Российской Федерации. Также он несет ответственность за организацию и
осуществление мероприятий по обеспечению государственной и коммерческой тайн,
режима секретности и безопасности проводимых работ в соответствии с
законодательством РФ.
Аппарат управления ООО
"Мясокомбинат Бугульминский", который включает в себя:
- директор;
- заместитель директора по
производству;
- заместитель директора по связям с
общественностью;
- заместитель директора по
экономической безопасности;
- заместитель директора по экономике;
- заместитель директора по заготовке;
- заместитель директора по общим
вопросам;
- главный инженер;
- главный бухгалтер;
- начальник отдела кадров;
- начальник отдела сбыта;
- юрисконсульт;
- секретарь.
Основное назначение управленческой
деятельности аппарата управления - обеспечение согласованности, взаимосвязи и
взаимодействия между различными подразделениями предприятия. Это достигается
посредством применения таких важных функций управления как планирование,
контроль, руководство и организация.
Аппарат управления предприятия также
принимает основные решения, в том числе о заключении крупных планов. В
компетенции аппарата управления являются принятие планов о развитии компании на
год, составление бюджета расходов и доходов ООО "Мясокомбинат
Бугульминский". Так же проводят конкурс по отбору аудиторских организаций
для проведения обязательного ежегодного аудита общества.
Директор и управленческий аппарат в
целом регулярно отслеживают эффективность работы фирмы на каждом уровне.
Управляемость компании обеспечивается обратной связью на каждом этапе
проведения в жизнь управленческих решений. Постоянное соотнесение планов с результатами
и результатов с ожиданиями приводит к своевременной коррекции планов, и
повышению степени соответствия управленческих решений общей стратегии развития,
а этой стратегии – целям организации. Практически это осуществляется в
частности посредству ежедневных технических совещаний дирекции с привлечением
специалистов подразделений.
К среднему уровню управления
относятся управления аппарата, которые обеспечивают эффективное
функционирование и развитие предприятия путем координации деятельности всех
подразделений, а так же подготавливают информацию и рекомендации по всем
вопросам, входящих в их компетенцию, для принятия решения высшим звеном
руководством.
К руководителям низового звена
относятся младшие начальники, которые находятся над неуправленческим персоналом
предприятия и соприкасается с ним. Как правило, младшие начальники контролируют
выполнение производственных заданий, отвечают за использование выделенных им
ресурсов. К руководителям низового ООО "Мясокомбинат Бугульминский"
относятся:
- начальник ОПВК;
- начальник ЦППС;
- начальник хозяйственного цеха;
- механик АТЦ;
- начальник компрессорного цеха.
Регламентация наиболее общих сторон
деятельности каждого подразделения или отдела осуществляется директором в
соответствии с планами развития и целями организации. Конкретная же, детальная
проработка регламентов служебных обязанностей каждого работника осуществляется
руководителями подразделений. Уровень детализации зависит от статуса работника,
уровня самостоятельности его должности.
С целью улучшения учета, анализа и
облегчения планирования деятельности фирмы в организации введена система учета
клиентов. Существует и постоянно пополняется подробная клиентская база,
содержащая информацию, как на действительных, так и на потенциальных клиентов.
В учетной записи клиента содержаться сведения об организации такие, как адрес,
телефоны, ответственные лица, с которыми контактирует менеджер, график и
история контактов, где отмечаются все имевшие место поставки товара,
ассортимент поставленных товаров, график оплаты по договору и даты фактической
оплаты. Для потенциальных клиентов отслеживается наличие аналогичного
ассортимента, причины по которым потенциальный клиент пока не стал действующим,
меры, предпринимаемые для перевода его в разряд последних. В организации
ведется помесячное планирование деятельности сотрудников, а, следовательно, и
фирмы. Общий месячный план делится на понедельные конкретные планы с разбивкой
по контактам с определенными клиентами, ведется учет соответствия
запланированных и фактически проведенных мероприятий с указанием конкретных
результатов. Работники каждого подразделения отчитываются о результатах своей
деятельности перед начальником подразделения, который составляет аналитический
отчет для директора за месяц. Анализ сводных отчетов позволяет корректировать
планы, вырабатывать оптимальную тактику и стратегию ведения бизнеса.
Вопросами маркетинга в ООО
"Мясокомбинат Бугульминский" занимается отдел сбыта. К сожалению, на
предприятии нет специализированного отдела маркетинга. Поэтому уровень
исследования рынка находится на низком уровне.
На сегодняшний день в ООО
"Мясокомбинат Бугульминский" работает сто тридцать один человек.
Коллектив довольно немолодой, средний возраст сотрудников сорок пять лет.
Нынешнее руководство не заботиться о повышении профессионального уровня своих
сотрудников, мотивируя это отсутствием дополнительных денежных средств. Что
отрицательно сказывается на деятельности предприятия.
Процесс подбора кадров включает в
себя анализ потребности в персонале, определение необходимых границ увеличение
штата работников, анализ должностного соответствия имеющихся сотрудников. На
основе этого определяются вакансии. Набор работников производится как через
кадровые агентства, так и через личные контакты. Определяющим являются деловые качества,
уровень профессионализма, порядочность, отсутствие вредных привычек (алкоголь,
наркотики). К работникам аппарата управления предъявляются серьезные
требования, умение ориентироваться в рыночной обстановке, аккуратность,
точность и деловая порядочность, умение работать с людьми, сочетание разумной
требовательности с корректностью в обращении с подчиненными.
Функции менеджера по персоналу на
данном предприятии выполняет начальник отдела кадров. К нему поступают заявки
на заполнение вакансий от руководителей подразделений, он проводит первичный
анализ соответствия кандидатов предъявляемым требованиям. Затем предлагает
кандидатуры на утверждение директору.
Работникам Общества обеспечивается
полный социальный пакет. Корпоративный дух на предприятии сравнительно низок.
Сотрудники не ощущают свою значимость на предприятии. Отдельные достижения
сотрудников на общих собраниях и совещаниях не отмечаются какими-либо грамотами
или благодарственными письмами. В Обществе не имеется доски почета.
Информационные потоки в ООО
"Мясокомбинат Бугульминский" имеют как прямую направленность сверху
вниз, так и обратную связь снизу вверх. Управленческие директивы, распоряжения
и решения доводятся до коллектива и путем приказов по организации и через
руководителей структурных подразделений, в той части, что касается этого
подразделения, до каждого работника. Все данные о результатах деятельности
Общества, собираемые руководителями структурных подразделений, суммируется и
предоставляется директору. Не исключается обращение рядовых сотрудников
напрямую к директору по существенным вопросам работы отделов или их собственной
деятельности в том, однако, случае если эти вопросы не решаются на уровне
руководителя подразделения.
Документооборот предприятия включает
в себя кроме приказов дирекции, отчетов подразделений и бухгалтерских отчетов,
также документы, связанные с процессом заключения и реализации договоров с
потребителям. Каждое подразделение имеет свою форму документальной отчетности,
вся документация ведется как в бумажном, так и а электронном виде. Документы,
подлежащие хранению, архивируются, канцелярские обязанности выполняет
секретарь-референт. Правильность и своевременность подачи документации
отслеживается руководителями структурных подразделений.
Процесс делопроизводства обслуживает
секретарь-референт, который в книгу приказов, фиксирует подачу отчетов,
заявлений, входящую и исходящую переписку компании.
Экономические и финансовые вопросы в
организации решают директор вместе с бухгалтерией, возглавляемой главным
бухгалтером. Вопросы экономической политики ООО "Мясокомбинат
Бугульминский" решает директор, выстраивая экономическую стратегию в
соответствии с целями и миссией фирмы. Он определяет и контролирует финансовые
потоки и управляет деньгами компании. На бухгалтерии лежит ответственность за
соблюдение финансовой дисциплины, как внутри компании, так и в ее отношениях с
другими организациями, как входящими в холдинг, так и сторонними. Главный
бухгалтер отвечает за налоговые отчисления государству, за соблюдение законности
экономической деятельности фирмы.
Что касается стиля руководства, то в
ООО "Мясокомбинат Бугульминский" преобладает авторитарный стиль
управления. Так как голос руководителя является решающим.
Таким образом, проведенный анализ
системы управления на исследуемом предприятии показал, что руководству
необходимо больше вкладывать в человеческие ресурсы. Тем более уже многие
крупные компании ощутили на себе реальную выгоду от этого вложения. Создание
маркетингового отдела с квалифицированными специалистами в этой области только
положительно повлияет на деятельность Общества. А несколько иной стиль
руководства позитивно скажется на всей системе управления.
2.3
Исследование управления конкурентоспособностью продукции ООО "Мясокомбинат
Бугульминский"
Современный рынок характеризуется
ужесточением конкуренции между производителями, чрезмерным насыщением товарами
в большинстве сегментов. Ключевым элементом всей рыночной системы, объектом
конкурентной борьбы был и остается товар. Успех товара на рынке, т.е. его
конкурентоспособность, залог финансового благополучия производителя. Под
конкурентоспособностью товара здесь подразумевается оцененное потребителем
превосходство его по качеству и цене над аналогами в определенный момент
времени, в конкретном сегменте рынка достигнутое без ущерба производителю. Если
товар по качеству и цене не удовлетворяет покупателя, то никакие дополнительные
усилия из арсенала маркетинга не смогут существенным образом улучшить его
положение на рынке. Именно поэтому проблема обеспечения конкурентоспособности
товаров становится жизненно важной функцией производителей.
Первоочередной задачей для расширения
рынка сбыта является дальнейшее продвижение товара, и увеличение объемов сбыта
путем удовлетворения потребностей потребителей.
Анализ потребительского рынка,
заключается в систематическом исследования поведения потребителей на основе
методов выявлении всех обстоятельств, связанных с реальными и потенциальными
партнерами предприятия. Главная цель анализа – получение исчерпывающей
информации обо всех элементах рынка, в центре внимания которого, как правило,
находятся потребители. Для анализа может использоваться любая информация,
полученная с помощью методов исследования рынка, а также отчеты службы сбыта,
письма клиентов и т.п.
В данном дипломном проекте
используется информация, полученная на основе маркетинговых исследований путем
наблюдения и опроса потребителей мясной и колбасной продукции. Исследования
включали в себя:
анализ всех
клиентурных рынков;
выявление наиболее
предпочтительных целевых сегментов;
изучение
состояния производства мясопродукции местными товаропроизводителями г.
Бугульма;
оценка развития
конкуренции на данном потребительском рынке;
выявление
предпочтений потребителей и оценка их текущего покупательского спроса на
мясопродукции.
ООО "Мясокомбинат
Бугульминский" - крупное предприятие, имеющее широкие возможности
производства и поставки потребителям конкурентоспособной и безопасной мясной
продукции высокого качества. Мясокомбинат расположен в пригородной зоне и
является технологически чистым безотходным производством. На территории
предприятия, которая занимает 12 га площади, кроме производственных корпусов
размещаются: вспомогательный корпус, котельная, транспортно-хозяйственный
участок, тарный участок, склады, защитное сооружение.
"Мясокомбинат
Бугульминский" осуществляет производство и хранение мяса и мясных
продуктов.
Выпуск основных групп продукции в
общем объеме производства составляет:
- мясо и субпродукты говядины,
свинины, конины - 10%;
- колбасные изделия, продукты из
свинины и говядины - 71%;
- мясные полуфабрикаты - 19%;
Ассортимент выпускаемых
мясокомбинатом колбасных изделий, продуктов из свинины и говядины в 2009 году
насчитывает 167 наименований (рис. 2).
Рис. 2. Выпуск основных групп
продукции ООО "Мясокомбинат Бугульминский" в общем объеме в 2009 году
Рассмотрим основные типы клиентурных
рынков.
1)
потребительский
рынок – отдельные лица и
домохозяйства, приобретающие товары и услуги для личного пользования;
2)
рынок
производителей –
организации, приобретающие товары и услуги для использования их в процессе
производства;
3)
рынок
промежуточных продавцов – организации, приобретающие товары и услуги для последующей перепродажи их
с прибылью для себя;
4)
рынок
государственных учреждений – государственные организации, приобретающие товары и услуги либо для
последующего их использования в сфере коммунальных услуг, либо для передачи
этих товаров и услуг тем, кто в них нуждается;
5)
международный
рынок – покупатели за
рубежами страны, включая зарубежных потребителей, производителей, промежуточных
продавцов и государственные учреждения
ООО "Мясокомбинат
Бугульминский" имеет покупателей на трех из перечисленных типах рынка:
потребительском рынке, рынке промежуточных продавцов и на рынке государственных
учреждений.
На сегодняшний день на исследуемом
сегменте рынка у Общества имеется большое количество конкурентов, из которых
основными являются:
- мясокомбинат "Сава"
- ИП Митигуллин
- мясокомбинат "Атяшево"
- мясокомбинат "Йола".
Проведенный анализ рынка г. Бугульма
показал, что доля продукции ООО "Мясокомбинат Бугульминский"
составляет около 25% (рис. 3).
Это сравнительно небольшой
показатель, который несколько лет назад был еще ниже. Что же мешает
исследуемому предприятию завоевать данный сегмент рынка своего города?
Рис. 3. Распределение долей
мясопродукции рынка г. Бугульма
Для того чтобы ответить на этот
вопрос, необходимо провести оценку конкурентоспособности продукции ООО
"Мясокомбинат Бугульминский" и выявить его конкурентные преимущества.
Поэтому одним из методов исследования
конкурентоспособности продукции данного предприятия были использованы экспертные
оценки: десяти экспертам предлагалось оценить продукцию ООО "Мясокомбинат
Бугульминский" и его основных конкурентов по пятибалльной шкале по
основным показателям. Данные для анализа приведены в таблице 3.
Таблица 3 Экспертная оценка
конкурентоспособности мясопродукций в 2009 г.
|
Показатели
|
"Мясокомбинат
Бугульминский"
|
Мясокомбинат
"Сава"
|
Мясокомбинат
"Йола"
|
Мясокомбинат"Мамадыш"
|
|
Цена
|
3.5
|
4,7
|
4,2
|
4,5
|
|
Экологичность
и безопасность
|
5
|
2
|
4
|
4
|
|
Вкус
|
4,6
|
3
|
4,7
|
4,6
|
|
Ассортимент
|
4,4
|
4,6
|
4,5
|
3
|
|
Квалификация
персонала
|
3,7
|
4,8
|
5
|
3,5
|
|
Сумма
баллов
|
21,2
|
19,1
|
22,4
|
19,6
|
*Источник: обобщение данных опроса
экспертов.
Таким образом, места распределились в
следующем порядке:
1. "Йола"
2. "Мясокомбинат
Бугульминский"
3. "Мамадыш"
4. "Сава"
То есть мы видим, что по сумме
баллов, по мнению экспертов, лидирует продукция мясокомбината "Йола".
Второе место занимает ООО "Мясокомбинат Бугульминский", не
значительно уступая лидеру, а по показателю экологичности и безопасности даже
опережает всех. Так как предприятие использует мясо собственного забоя,
использует только натуральные специи. Поэтому продукция исследуемого
предприятия абсолютно безопасна для здоровья человека.
Следующим шагом в оценке
конкурентоспособности продукции стал опрос потребителей, который проводился в
крупных торговых сетях г. Бугульма, преимущественно методом личного
интервьюирования. Было опрошено 100 человек разных возрастов и социального
положения, среди которых низкий уровень дохода имеет 19% респондентов. Это в
большинстве случаев пенсионеры и студенты, 65% - люди со средним достатком и
16% - с высоким (рис. 4).
В ходе опроса респондентам
предлагалось оценить продукцию ООО "Мясокомбинат Бугульминский" и его
основных конкурентов по десятибалльной шкале по основным показателям. Данные
для анализа приведены в таблице 4.
Рис. 4. Сегментация потребительского
рынка по уровню доходности
Таблица 4 Потребительская оценка
конкурентоспособности продукции в 2009 году
|
Показатели
|
"Мясокомбинат
Бугульминский" БМК (Р1)
|
"Сава"
(Р2)
|
"Мамадыш"
(Р3)
|
Кi
|
"Йола"
(Рб)
|
|
Качество
|
9
|
5
|
10
|
0,4
|
10
|
|
Цена
|
7
|
9
|
7
|
0,3
|
7
|
|
Ассортимент
|
8
|
8,5
|
5
|
0,12
|
10
|
|
Реклама
|
6,5
|
10
|
2
|
0,18
|
9,5
|
*Источник: обобщение данных опроса
потребителей.
Произведем некоторые расчеты для
оценки конкурентоспособности каждого участника данного сегмента рынка.
Определим отдельные показатели (атрибуты) конкурентоспособности продукции,
путем их сравнения с базовым, то есть с эталонным показателем по формуле (9).
За базу сравнения будет взята продукция мясокомбината "Йола".
Далее рассчитаем интегральный
показатель конкурентоспособности продукции по формуле (10). Для этого
используем коэффициент значимости (Кi), значения которого были распределены экспертами.
qi = Pi/Pб(9)
∑Q = ∑ Кi * qi(10)
БМК
q1= 9/10= 0,9
q2= 7/7=1
q3 = 8/10= 0,8
q4 = 6,5/9,5= 0,69
∑Q = 0,9*0,4+1*0,3+0,8*0,12+0,69*0,18= 0,88
"Сава"
q1= 5/10 = 0,5
q2= 9/7= 1,29
q3 = 8,5/10 =0 ,85
q4 = 6,5/9,5 = 0,69
∑Q = 0,5*0,4+1,29*0,3+0,85*0,12+0,69*0,18= 0,81
"Мамадыш"
q1= 10/10 = 1
q2= 7/7=1
q3 = 5/10 = 0,5
q4 = 2/9,5 = 0,21
∑Q = 1*0,5+1*0,3+0,5*0,12+0,21*0,18= 0,89
Результаты расчетов показывают, что
по отношению к продукции мясокомбината "Йола", производитель
мясопродукции "Мамадыш" является конкурентоспособнее, опережая своих
главных конкурентов: БМК на 0,01, "Саву" на 0,08. Это свидетельствует
о том, что "Мамадыш" серьезный конкурент, который совсем недавно
заявил о себе. Имея небольшую ассортиментную линейку, почти не вкладывая
средств на рекламу, но благодаря высокому качеству, отличному вкусу и
приемлемыми ценами успешно завоевывает данный сегмент рынка города Бугульма.
Необходимо отметить, что несколько
лет назад лидером был мясокомбинат "Сава". Это было достигнуто
благодаря активно и грамотно проводимой рекламной политикой и сравнительно
низкими ценами. Но сама продукция довольно таки не отличается высоким
качеством. Потребитель понимает, что качественная колбаса, не может быть
дешевле мяса, если конечно оно в достаточном количестве.
Что касается ООО "Мясокомбинат
Бугульминский", то респонденты присудили высокие баллы по показателям
качество и ассортимент. Действительно, Общество позиционирует свою продукция
как экологически чистую, то есть не содержащую геномодифицированных
ингредиентов, качественную и имеющая отличный вкус.
В ходе опроса было выявлено, что
предприятию необходимо активнее проводить рекламную политику и снизить цены.
Однако исследование уровня цен на продукцию БМК во многих крупных торговых
сетях города показало, что у многих процент надбавки высок. Конечно это делает
продукцию БМК менее доступной.
А для определения предпочтений
потребителей был проведен опрос. В приложении 2 приведена анкета для опроса.
В результате исследования было
выявлено, что 29% респондентов постоянно приобретают продукцию ООО
"Мясокомбинат Бугульминский", 35% - иногда, 29% - редко, и 7% -
никогда (рис. 5)
Потребителями продукции исследуемого
предприятия являются люди различного возраста и уровня дохода. Но со снижением
уровня дохода наблюдается динамика спада потребления продукции. Ведь те 29%
опрошенных платили и готовы платить за высокое качество, которое предлагает им
"Мясокомбинат Бугульминский".
Рис. 5. Частота потребления продукции
"Мясокомбинат Бугульминский"
Итак, после ряда проведенных
маркетинговых исследований можно определить основные конкурентные преимущества
исследуемого предприятия.
Преимущества:
- наличие собственного забойного
цеха;
- использование только натуральных
ингредиентов;
- отсутствие ГМИ;
- расположение в городе;
- отличное качество и отменный вкус
продукции;
- богатый ассортимент;
- ежедневно проводимые промоакции;
- продукцию БМК потребляют детские
сады и школы города, значит она пользуется доверием у населения.
Однако имеются и недостатки, которые
препятствуют увеличению сбыта продукции Общества:
- отсутствие специалиста по
маркетингу. В условиях экономического кризиса требуется постоянный анализ
рынка, так как конкурентов становиться все больше. Их появление необходимо
отслеживать, выявлять конкурентные преимущества и совершенствовать свои;
- имеются случаи, когда поставки
продукции ООО "Мясокомбинат Бугульминский" срываются, что крайне
отрицательно сказывается на имидже предприятия;
- низкий уровень проводимой рекламной
компании.
- не достаточно налаженные отношения
с торговыми сетями.
ООО "Мясокомбинат
Бугульминский" работает на рынке мясопродукции с 1929 года. К сожалению, в
последнее десятилетие предприятие часто оказывалось на гране банкротства.
Причинами были и тяжелая экономическая ситуация в стране и периодическая смена
руководства. На сегодня на комбинате наблюдается положительная динамика по
многим показателям. Однако в деятельности ООО "Мясокомбинат
Бугульминский" пока имеются моменты, которые отрицательно влияют
конкурентоспособность продукции. Во многом это связано с низким уровнем
маркетинга.
3.
Основные направления повышения конкурентоспособности продукции ООО
"Мясокомбинат Бугульминский"
3.1
Разработка положения по работе отдела сбыта и отдела маркетинга
Сбыт продукции – это один из аспектов
коммерческой деятельности предприятия, который в современной рыночной экономике
играет очень важную роль. Сбыт является средством достижения поставленных целей
предприятия и завершающим этапом выявления вкусов и предпочтений покупателей.
Сбыт готовой продукции напрямую связан с маркетинговой деятельностью
предприятия.
Маркетинг подразумевает управление
рынком с целью осуществления обмена для удовлетворения нужд и запросов
человека. Или, другими словами, маркетинг – это процесс, в ходе которого
отдельные лица и группы лиц получают необходимое и желаемое посредством
создания товаров и потребительских ценностей и обмена ими друг с другом.
Процессы обмена не происходят сами по
себе. Продавцы должны искать покупателей, выявлять их потребности, создавать
качественные товары и услуги, продвигать, хранить и доставлять их. Разработка
товаров, анализ рынка, коммуникации, распределение, установление цен и
обслуживание потребителей – основные виды маркетинговой деятельности. Принято
считать, что маркетингом занимается в основном продающая сторона, но и
покупатели, оказывается, принимают в нем участие – когда ищут нужные товары по
доступным ценам. Агенты по закупкам тоже участвуют в маркетинге, занимаясь поиском
продавцов, с которыми можно совершать выгодные сделки. Рынок продавца предполагает,
что продавец имеет больше власти, а покупатель является более активным
участником рынка. На рынке покупателя, покупатель располагает большей властью,
а продавец должен быть более активным участником рынка.
Концепция маркетинга предполагает,
что достижение компанией своих целей зависит от определения нужд и запросов
целевых рынков, а также от более эффективного по сравнению с конкурентами
удовлетворения потребителей.
В настоящее время важнейшей
предпосылкой стратегического планирования и роста объемов производства на
отечественных предприятиях стало развитие свободных рыночных отношений, их
постоянное и непрерывное совершенствование. Поэтому сейчас стратегическое
планирование на российских предприятиях должно быть направлено на их
долгосрочное развитие, повышение долгосрочной экономической ценности бизнеса,
достижение более высоких темпов экономического роста на основе поэтапного
совершенствования различных производственно-технических факторов и организационно-управленческих
структур с целью обеспечения высокого качества работы персонала и уровня жизни
своих работников.
Значение стратегического поведения,
позволяющего фирме выживать в конкурентной борьбе в долгосрочной перспективе,
резко возросло в последние десятилетия. Все компании в условиях жесткой
конкуренции, быстро меняющейся ситуации должны не только концентрировать
внимание на внутреннем состоянии дел в компании, но и вырабатывать стратегию
долгосрочного выживания, которая позволяла бы им успевать за изменениями,
происходящими в их окружении. В прошлом многие фирмы могли успешно
функционировать, обращая внимание в основном на ежедневную работу, на
внутренние проблемы, связанные с повышением эффективности использования
ресурсов в текущей деятельности. Сейчас же, хотя и не снимается задача
рационального использования потенциала в текущей деятельности, исключительно
важным становится осуществление такого управления, которое обеспечивает
адаптацию фирмы к быстро меняющейся окружающей среде.
Если раньше считалось, что
"большой" имеет лучшие шансы победить в конкуренции по сравнению с
"маленьким", то теперь все более ясным становится факт, что
преимущества в конкурентной борьбе получает более "быстрый".
Ускорение изменений в окружающей среде, появление новых запросов, и изменение
позиции потребителя, возрастание конкуренции за ресурсы, интернационализация
бизнеса, появление новых, зачастую совершенно неожиданных, возможностей для
осуществления бизнеса, развитие информационных сетей, делающих возможным молниеносное
распространение и получение информации, широкая доступность современных
технологий, изменение роли человеческих ресурсов, а также ряд других факторов
привели к резкому возрастанию значения стратегического управления.
Маркетинг играет ключевую роль в
нескольких областях стратегического планирования компании. Во-первых,
обеспечивает руководящие методологические принципы – маркетинговую концепцию,
которая предполагает ориентацию стратегии компании на нужды важнейших групп
потребителей. Во-вторых, маркетинг предоставляет исходные данные для
разработчиков стратегического плана, помогая выявить привлекательные
возможности рынка и позволяя оценить потенциал фирмы. В-третьих, в рамках
каждого отдельного подразделения компании маркетинг помогает разрабатывать
стратегию выполнения задач.
Несмотря на диктующие условия рынка,
многие российские предприятия до конца не осознали важность маркетинга в
системе управления производством. К сожалению, к их числу относится и ООО
"Мясокомбинат Бугульминский".
Исследуемое предприятие осуществляет
свою деятельность на рынке мясопродукции с 1929 года. Продукция комбината
всегда славилась своим высоким качеством и отменным вкусом, имея огромный спрос
за пределами нашей страны.
Однако в 90-е годы происходила частая
смена руководства. Конечно, это отрицательно сказывалось на деятельность
предприятия. Ухудшилось качество продукции и комбинат утратил первоначально
достигнутые позиции.
В настоящее время ООО
"Мясокомбинат Бугульминский" в некоторой степени удалось вернуть
доверие потребителей. Рост спроса на продукцию произошел преимущественно
несколько лет назад, благодаря начатой новым руководством маркетинговой
политикой. Тогда впервые на предприятии появился специалист по маркетингу,
которому была предоставлена должность заместителя директора по развитию. Его
задачей было усовершенствовать систему сбыта продукции, а также саму функцию
отдела сбыта.
На первом этапе, данный специалист
занялся исследованием рынка мясопродукции (ближайших конкурентов комбината, их
ассортимент, ценовую политику), поиском новых каналов сбыта. Далее был создан
новый рекламный слоган - "3:0 в пользу качества!", в котором делался
акцент на:
- наличие у предприятия собственного
забойного цеха;
- использование не замороженного мяса;
- отсутствие генномодифицированных
ингредиентов (ГМИ).
Следующим шагом было внедрение новой
рекламной компании, которая заключалась:
1) в проведении ежедневных промоакций
не только в крупных торговых сетях г. Бугульма, но и в городах Юго-востока
Татарстана ("Эссен", "Медуница", "Магнит",
"Пятерочка", "Перекресток").
) ООО "Мясокомбинат
Бугульминский" совместно с ОАО "ВАМИН Татарстан"
"Бугульминский молочный комбинат" организовали акцию для школьников
города, условием которого являлось наличие большего количества товарных чеков
на продукцию данных производителей. Победителя, которым должен был стать класс,
ждали вкусные подарки от спонсоров.
Информация о продукции ООО
"Мясокомбинат Бугульминский", новинках, специальных предложениях
доводилась посредством СМИ: были опубликованы ряд статей в газетах
"Информ-Курьер" и "Медуница-Медиа"; запущена реклама на
радио и телевидение.
Таким образом, с помощью проводимых
маркетинговых мероприятий сбыт продукции комбината удалось увеличить на 3,5
тонн в день, предприятие закупило новое оборудование, расширило ассортиментную
линейку. Удалось выйти на рынок мясопродукции города Самара. Эти положительные
результаты показали необходимость создания отдела маркетинга.
Однако через несколько лет данный
специалист уволился и его должность была упразднена. В итоге проводимые
мероприятия в этой области временно приостановились.
На сегодняшний день ООО
"Мясокомбинат Бугульминский", как и прежде, не имеет отдела
маркетинга или хотя бы специалиста в этой области. Хотя при глобальном экономическом
кризисе выживает сильнейший. Частично эту функцию выполняет сейчас отдел сбыта,
в котором работает 8 человек. Постоянное исследование рынка не осуществляется,
так как отдел имеет большую загруженность. Но как и раньше, ежедневно
проводятся промоакции. Специалиста по рекламе на предприятии нет. Этим пока
занимается начальник отдела сбыта, который планирует организовать рекламную
компанию. В частности, уже транслируется на местном телеканале новый ролик.
Также совместно с торговой сетью
"Медуница" планируется изготовление упаковочных пакетов с их
логотипами.
На летний период готовится рекламный
ролик шашлычной продукции.
Готовятся к выпуску специально
разработанные ценники (рис. 6).
Рис. 6. Образец нового ценника
продукции ООО "Мясокомбинат Бугульминский"
Таким образом, в последнее время на
предприятии наблюдается положительная динамика. Безусловно, работа специалистов
отдела сбыта сыграла в этом не последнюю роль. Но в силу своей загруженности
они не смогут постоянно выполнять функции пока не существующего на ООО
"Мясокомбинат Бугульминский" маркетингового отдела.
Анализ и оценка текущей деятельности
отдела сбыта показали, что основными обобщенными недостатками ее являются:
- кусочно-отрывочная разбросанность и
хаотичная перемешанность функций маркетинга по структурным подразделениям
предприятия, занимающихся сбытом, рекламой и коммерцией;
- отсутствие гибких эффективных
технологий продвижения и реализации продукции в условиях взаимозачета,
предоплаты, отсрочки платежа, использования ценных бумаг, кредитования,
применения лизинговых и факторинговых операций.
Перед предприятием в условиях
экономического кризиса стоит основная задача не только сохранить свой
потенциал, качество и ассортимент предлагаемой продукции на достигнутом уровне,
но и усовершенствовать систему сбыта и маркетинга, как можно более оперативно
освоить рынок мясопродукции.
Поэтому для квалифицированного
управления комплексом маркетинга целесообразно группу маркетинга преобразовать
в отдел, выделив его из отдела сбыта.
А для эффективного управления
маркетинговой деятельностью предприятию нужна адекватная условиям его работы
структура управления, которая представлена на рисунке 7.
По предложенной схеме будет
функционировать два отдела - сбыта и маркетинга, подчиненных директору по
маркетингу.
Рис. 7. Предлагаемая организационная
структура маркетинговой деятельности ООО "Мясокомбинат Бугульминский"
Таким образом, отдел сбыта
подчиняется непосредственно директору по маркетингу и выполняет следующие
функции:
- обеспечение реализации продукции
предприятия и стопроцентного выполнения заданий и обязательств по поставкам
продукции в соответствие с заключенными договорами и заказами;
- снижение затрат на сбыт продукции;
- оформление договоров на сбыт
готовой продукции;
- разработка планов реализации
готовой продукции;
- организация приема, хранения,
комплектации, консервации и упаковки готовой продукции;
- организация отгрузки готовой
продукции, оформление отгрузочной документации, контроль и учет выполнения
планов реализации продукции;
- предъявление через юридический
отдел претензий, штрафных санкций к заказчикам продукции предприятия за
нарушение условий заключаемых договоров, установленного порядка размещения
заказов;
- организация рассмотрения претензий
заказчиков на поставленную продукцию предприятия;
- составление отчетности по
изготовлению и поставкам продукции.
Отдел маркетинга будет возглавлять
начальник отдела маркетинга, который подчиняется непосредственно директору по
маркетингу. Вследствие чего часть функций отдел сбыта передает отделу
маркетинга:
1. Анализ маркетинговой среды
предприятия. Выявление открывающихся рыночных возможностей и угроз для
предприятия, слабых и сильных сторон предприятия относительно конкурентов.
2. Поиск и привлечение потребителей,
выявление их требований к продукции и потребностей в объемах закупок.
3. Сегментация рынка сбыта и
определение целевого сегмента рынка.
4. Подготовка договоров с
потребителями, согласование цен и скидок на продукцию.
5.
Разработка
программы маркетинга.
В процессе разработки программы
маркетинга учитываются множественные условия, перспективы и ограничения как в
развитие рынка, так и во внутрифирменном развитие, а также необходимость
приспособления к меняющимся запросам рынка и активного влияния на формирование
и расширение рыночного спроса.
Таким образом, при составлении
программы рассчитываются наиболее целесообразные варианты такой структуры
производства и сбыта, которые могли бы в наибольшей степени учесть требования
рынка и обеспечить достижение целей фирмы.
Разработка программы маркетинга
продукции предполагает принятия решений в отношении цены, сбыта и продвижения продукции,
с учетом факторов внешней и внутренней среды.
Продвижение товара на рынок – работа,
требующая длительного периода подготовки. Анализа и сопоставления всех
элементов комплекса маркетинга продукции. В процессе предварительной работы
необходимо ответить на вопросы:
- какие коммуникативные инструменты
выбрать для продвижения продукции;
- определить целевой сегмент - на
кого направлены средства продвижения;
- выбрать форму сообщения и канал
распространения рекламы;
- провести анализ эффективности коммуникативной
политики.
Рассмотрим, что необходимо
предпринять ООО "Мясокомбинат Бугульминский" для продвижения
продукции. Напоминаем, что маркетинговая стратегия предприятия на рынке сбыта -
более глубокое проникновение на рынок. Для решения этой задачи должен быть
построен весь комплекс маркетинга продукции комбината, сформированы ценовая и
сбытовая стратегии. Задача коммуникативной политики так организовать
продвижение продукции, чтобы стратегии и цели были выражены в средствах
продвижения продукции и способствовали достижению главной цели предприятия по
производству и реализации.
Для решения поставленной задачи
воспользуемся рекламой. Реклама - это способствование массовым продажам: любая
платная форма неличного представления и продвижения идей, товаров и услуг
конкретного заказчика.
Реклама, размещенная в СМИ, которая
направлена на потребителя, должна носить информационный характер, и направлена
на повышение информированности покупателей о продукции, его качественных и
вкусовых характеристиках, о новинках технологии и усовершенствовании свойств
продукции. Кроме того, она поможет создать благожелательный образ предприятия в
сознании общественности.
ООО "Мясокомбинат
Бугульминский", планируя использование средств рекламы должно хорошо знать
какие показатели охвата частотности, и силы воздействия обеспечивает то или
иное средство рекламы. Рассмотрим основные средства рекламы, их преимущества
(+) и ограничения (-).
Газеты.
(+) - Гибкость, своевременность,
хороший охват местного рынка; широкое признание и принятие; высокая
достоверность.
(-) - Кратковременность
существования; низкое качество воспроизведения; незначительная аудитория
"вторичных" читателей.
Телевидение.
(+) - Сочетание
изображения, звука и движения; чувственное воздействие; высокая степень
привлечения внимания: широта охвата.
(-) - Высокая абсолютная стоимость;
мимолетность рекламного контакта; меньшая избирательность аудитории.
Радио.
(+) - Массовость использования; высокая
географическая и демографическая избирательность; низкая стоимость.
(-) - Представление только звуковыми средствами; степень привлечения внимания
ниже, чем у телевидения; мимолетность рекламного контакта.
Журналы.
(+) - Высокая
географическая и демографическая избирательность; достоверность и престижность;
высокое качество воспроизведения; длительность существования; значительное
число "вторичных" читателей.
(-) - Длительный временной разрыв между
покупкой места и появлением рекламы: наличие бесполезного тиража; отсутствие
гарантии размещения объявления в предпочтительном месте.
Наружная реклама.
(+) - Гибкость, высокая частота повторных
контактов; невысокая стоимость; слабая конкуренция.
(-) - Отсутствие избирательности
аудитории; ограничения творческого характера.
Следует отметить и недостатки,
связанные с рекламой Общества:
Газеты – местные газеты на
сегодняшний день игнорируются предприятием для рекламы.
Радио – используется крайне редко,
хотя в городе и республике действуют около десятка радиостанций.
Наружная реклама – расположена в
городе крайне неудачно:
- на территории аэропорта, где поток
людей очень низок;
- возле молочного комбината
"Вамин".
Не имеется рекламы на бортах ледового
дворца города, площадь которой предоставляется бесплатно. Эту возможность не
упустил основной конкурент предприятия – мясокомбинат "Сава".
Поэтому в целях пропаганды продукции
ООО "Мясокомбинат Бугульминский" предлагается разработка мероприятий,
направленные на создание положительного имиджа предприятия (благотворительные
мероприятия, пропаганда передового сбыта, связь с прессой, телевидение, радио,
формирование общественного мнения).
Необходимо создание рекламной
продукции - это буклеты, проспекты, плакаты, каталоги. Данная продукция
необходима на выставках и ярмарках, при организации торговли, а также на
переговорах с партнерами.
Важный момент в деятельности каждого
предприятия - это участие в выставках и ярмарках. Участие в выставках позволяет
найти новых партнеров по сбыту, представить и продемонстрировать свою продукцию
и новинки, выявить своих потенциальных потребителей, оценить своих конкурентов
и, в частности, их практику в области товарной политики, маркетинга,
продвижения продукции на рынок, стимулирования сбыта. Выбор выставок ООО
"Мясокомбинат Бугульминский", в которых необходимо принять участие,
основывается на рассмотрении специализации и тематики выставки, кто является
участниками, какие услуги предоставляют организаторы, достаточно ли хорошо
подготовлена рекламная кампания, предшествующая выставке.
Все большее внимание потребители и
производители уделяют развитию информационных сетей в Интернете. Необходимо
поместить информацию о предприятии и изготавливаемой продукции на сайте в сети
Интернета. Разработку сайта и внесение новой информации можно заказать в
рекламной фирме.
Размер бюджета на рекламу и стимулирование сбыта предлагается
исчислять в процентах к объему продаж - 2%. Эту сумму можно внести в себестоимость
продукции, что соответствует нормам законодательства о списании средств на
рекламу.
Одним из способов стимулирования
сбыта является создание системы скидок. В частности, ООО "Мясокомбинат
Бугульминский" предлагается организовать акцию с одной из торговой сетью,
в ходе которой продукция предприятия на определенный период времени только в
этой сети магазинов будет продаваться по сниженной цене. В результате
увеличатся и продажа мясопродукции Общества и поток покупателей магазинов.
Таким образом,
предлагаемая организационная структура маркетинговой деятельности ООО "Мясокомбинат
Бугульминский" должна определить лучший способ достижения стратегических
целей предприятия:
- поддержка спроса на уровне,
определенном в стратегических планах высшего руководства;
- помощь в оценке потенциала каждой
хозяйственной единицы предприятия, установка цели для каждой из них и затем их
успешное достижение.
3.2
Оценка социальной и экономической эффективности от внедрения рекомендаций и
предложений
В нынешних условиях на предприятиях
мясопродуктового комплекса возрастает роль управленческой деятельности, в
частности, маркетинговой, представляющей собой важнейший элемент рыночного
механизма хозяйствования.
В настоящее время решения по
производству продукции в значительной степени стали определяться предпочтениями
и поведением потребителей. Поэтому в мясопродуктовом комплексе возникла
необходимость внедрения принципов маркетинга. В связи с этим одним из важнейших
условий при осуществлении маркетинговой деятельности становится понимание
производителем особенностей покупательского поведения потребителей
мясопродукции и определяющих их факторов. Кроме того, использование
существующего организационно-экономического механизма маркетинга, который чаще
всего ориентирован на производство, не обеспечивает его таких важнейших
функций, как исследование рынка и анализ факторов, влияющих на сбыт
мясопродукции, не разрабатываются стратегия и тактика поведения на рынке. Все
это резко снижает эффективность использования потенциальных возможностей рынка
конкретным товаропроизводителем.
Отделы продаж больших предприятий не
ограничивающиеся продвижением узкого продвижения продуктов, как любые другие
сложные системы, на пути своего поступательного развития рано или поздно
начинают испытывать на себе объективное давление накапливающихся в них
количественных изменений. Эти изменения связаны с нарастанием оборотов, и с
увеличение числа клиентов, и многократным нарастанием объемов многоплановой
информации о продвигаемых продуктах. Количество последних перестает
укладываться в сознании лиц, принимающих решения (генеральный директор,
начальники управлений и отделов), и по этой причине решения этих должностных
лиц становятся менее обоснованными. Отдельные не очень значимые направления
(продукты) перестают регулярно оцениваться даже на предмет выявления их
экономической эффективности, не говоря уже о маркетинговых нюансах продвижения.
Проблему можно сформулировать следующим образом – перегруженность лиц,
принимающих решение, огромным объемом количественной информации.
Вышеперечисленные проблемы многих
предприятий, которые также имеются и на ООО "Мясокомбинат
Бугульминский", предопределили рекомендации по созданию в Обществе отдела
маркетинга.
Основным ориентиром в деятельности
комбината следует считать потребителя. Предприятие не может существовать и
преуспевать без потребителей, поэтому их привлечение и удержание является
главной задачей. Потребителей привлекают обещаниями, а удерживают выполнением
этих обещаний. Служба маркетинга сможет сформулировать эти обещания и
обеспечить их выполнение. Однако, поскольку реальное удовлетворение потребителя
зависит от работы других отделов, все функциональные подразделения должны будут
работать сообща
Однако переход предприятия от
производственной ориентации к ориентации на маркетинг будет сложен и потребует
от руководителя такой организационной структуры, которая создавала бы условия
для повышения эффективности системы сбыта. Поэтому в данном дипломном проекте
предлагается своя организационная схема маркетинга, имеющая
линейно-функциональную структуру. Она является наиболее универсальной формой
управления для исследуемого предприятия. При такой структуре линейные
руководители сохраняют за собой право отдавать и принимать решения при участии
и помощи функциональных служб. Структура управления линейно-функционального
типа сохраняет принцип единоначалия. Это объясняется тем, что линейный
руководитель устанавливает очередность в решении комплекса задач, определяя
главную задачу на данном этапе, а также время и конкретных исполнителей.
Деятельность функциональных руководителей сводится к поискам рациональных
вариантов решения задач, к умелому доведению своих рекомендаций до линейного
руководителя, который на этой основе сможет обеспечить эффективное управление.
Данная служба должна определить
лучший способ достижения высоких позиций на рынке мясопродукции. Ведь у ООО
"Мясокомбинат Бугульминский" имеются все предпосылки для этого.
Для создания нового отдела
естественно потребуются дополнительные денежные средства, а в условиях кризиса
принять такое решение для руководителя будет сложно. Поэтому, следует оценить
предполагаемую экономическую эффективность, которую предприятие может получить
от данного предложения.
Вернемся к доле рынка, которую
занимает продукция ООО "Мясокомбинат Бугульминский". На сегодняшний
день в г. Бугульма она составляет 25%, в городах Лениногорск и Альметьевск доля
ниже, хотя потребление мясопродукции в этих городах выше.
В ходе проведенного нами
исследования, которое проводилось в крупных торговых сетях
("Медуница", "Эссен", "Магнит"), определились
основные конкуренты предприятия и их доля на рынке мясопродукции в этих городах
(рис. 8).
Рис. 8. Доля рынка мясопродукции
городов Лениногорск и Альметьевск
Респонденты были разделены на три
группы: первая - предпочитает продукцию ООО мясокомбинат
"Бугульминский", вторая покупает другую, а третьей все равно –
главное, чтобы было качественно. Производя высококачественную мясопродукцию,
комбинат имеет большой потенциал сформировать в свою пользу потребительское
предпочтение равнодушного покупателя.
Однако, чтобы не упустить эту
возможность, предприятию нужны специалисты по маркетингу. Что снова доказывает
необходимость создания специального отдела – отдела маркетинга. Согласно
будущему плану маркетинга, сбыт продукции, предположительно, увеличится на 1,5
тонны в день. Следовательно, доля рынка в г. Бугульма предположительно составит
26,5% , а в Лениногорске и Альметьевске – 22,7%. В результате внедрения наших
рекомендаций ожидаемая выручка составит примерно 2219 тыс.руб.
Также появится возможность выхода на
новые рынки сбыта, что положительно скажется на прибыли предприятия и ее
финансовой устойчивости.
Улучшится и качество принятия
управленческих решений, так как отдел будет своевременно информировать о
состоянии рынка. Тем
более для современного рынка свойственна неопределенность рыночной ситуации,
быстрая смена различных факторов внешней среды, наличие возможностей и угроз
для предприятия.
Следовательно, руководители различных отделов смогут оперативно реагировать на
происходящие изменения.
С увеличением прибыли предприятие
сможет закупать новейшее оборудование. Это позволит расширить ассортиментную
линейку продукции и усовершенствовать производственный процесс. Также эти
средства могут быть направлены на реконструкцию цехов, которые долгое время в
этом нуждаются.
Создание отдела маркетинга на ООО
"Мясокомбинат Бугульминский" имеет и социальную эффективность.
Для ее определения был проведен опрос
среди работников отдела сбыта предприятия, в котором работает 8 человек. В
приложении 3 приведена анкета для опроса.
Результаты показали:
- 80% считают, что они перегружены
работой;
- 20% - удовлетворены нагрузкой (рис.
9).
Рис. 9. Результаты опроса
По причине напряженной обстановки в
коллективе практически все из них убеждены в необходимости создания на
предприятии отдела маркетинга, так как ранее, часть маркетинговой деятельности
выполнял отдел сбыта. Это, в свою очередь, положительно повлияет на
работоспособность персонала, укрепит корпоративный дух и повлечет за собой
приток ценных кадров.
Таким образом, создание отдела
маркетинга на ООО "Мясокомбинат Бугульминский" позволит предприятию
вернуть доверие потребителя и создать имидж надежного партнера, укрепить
финансовую устойчивость, снизить конфликтные ситуации среди персонала, что
значительно повысит уровень конкурентоспособности мясопродукции.
Выводы
и предложения
Современный этап развития рыночных
отношений в мире характеризуется значительным ужесточением конкуренции,
превращением его в гиперконкуренцию.
Конкуренция как неотъемлемый атрибут
рыночной экономики существует во всех сферах предпринимательской, коммерческой
и иных видах деятельности на микро-, макро- и мезоуровнях. Как отметил
М.Портер, "ни одна страна, ни одна компания не могут позволить себе
игнорировать объективную необходимость конкуренции. Они должны постараться
понять и овладеть искусством конкурентной борьбы".
Конкуренция побуждает
предпринимателей и коммерсантов в наиболее сжатые сроки внедрять новое.
Благодаря конкуренции на рынке обеспечиваются:
- наилучшее согласование планов
производства продукции (услуг) производителей с потребностями потенциальных
покупателей;
- наиболее эффективное расходование
разного вида ресурсов, используемых при производстве продукции;
- распределение доходов (прибыли)
между товаропроизводителями в соответствии с достигнутыми ими конечными
экономическими и финансовыми результатами предпринимательской деятельности.
В представленной работе рассмотрены
теоретические основы конкурентоспособности продукции и методы оценки ее
показателей. Конкурентоспособность продукции предприятия может быть
определена в стоимостных показателях в виде отношения занимаемых долей рынка, а
также как вероятность покупки продукции. Этот метод оценки
конкурентоспособности продукции по завоеванной предприятием доле целевого рынка
прост, достаточно объективен и информативен. Он позволяет формировать реальную
картину конкурентоспособности продукции предприятия и управлять ею. На основе
получаемой информации предприятия могут достаточно достоверно планировать
объемы продаж своей продукции на перспективу.
В аналитической части работы
рассмотрены вопросы, связанные с анализом производственно-хозяйственной
деятельности ООО "Мясокомбинат Бугульминский".
Дана общая характеристика
предприятия, представлена организационная структура управления Общества.
Наибольшее внимание в аналитической
части работы уделено исследованию конкурентоспособности продукции ООО
"Мясокомбинат Бугульминский", в результате которого определились
конкурентные преимущества и недостатки предприятия.
Преимущества:
- наличие собственного забойного
цеха;
- использование только натуральных
ингредиентов;
- отсутствие ГМИ;
- расположение в городе;
- отличное качество и отменный вкус
продукции;
- богатый ассортимент;
- ежедневно проводимые промоакции;
- продукцию БМК потребляют детские
сады и школы города, значит, она пользуется доверием у населения.
Однако имеются недостатки, которые
препятствуют увеличению сбыта продукции Общества:
- отсутствие специалиста по
маркетингу. В условиях экономического кризиса требуется постоянный анализ
рынка, так как конкурентов становиться все больше. Их появление необходимо
отслеживать, выявлять конкурентные преимущества и совершенствовать свои;
- имеются случаи, когда поставки
продукции ООО "Мясокомбинат Бугульминский" срываются из-за перебоев с
сырьем, что крайне отрицательно сказывается на имидже предприятия;
- низкий уровень проводимой рекламной
компании;
- не достаточно налаженные отношения
с торговыми сетями.
Перед предприятием в условиях
экономического кризиса стоит основная задача не только сохранить свой потенциал,
качество и ассортимент предлагаемой продукции на достигнутом уровне, но и
усовершенствовать систему сбыта и маркетинга, как можно более оперативно
освоить рынок мясопродукции.
Поэтому автором данной дипломной
работы предлагается создать отдел маркетинга и передать в его ведение функции,
часть которых выполнял отдел сбыта.
А для эффективного управления
маркетинговой деятельностью на предприятии рекомендуется адекватная условиям
его работы линейно-функциональная структура управления.
По предложенной схеме будет
функционировать два отдела - сбыта и маркетинга, подчиненных директору по
маркетингу.
Таким образом, данная организационная
структура маркетинговой деятельности ООО "Мясокомбинат Бугульминский"
должна определить лучший способ достижения стратегических целей предприятия:
- поддержка спроса на уровне,
определенном в стратегических планах высшего руководства;
- помощь в оценке потенциала каждой
хозяйственной единицы предприятия, установка цели для каждой из них и затем их
успешное достижение.
Реализация предложенных нами
мероприятий позволит руководству комбината более эффективно управлять
конкурентоспособностью продукции, что, несомненно, положительно повлияет на
финансовое состояние предприятия.
Список
использованной литературы
І.
Нормативно-правовые акты
1.
Федеральный закон
"О защите конкуренции" №135-ФЗ от 26 июля 2006 г.
2.
Федеральный закон
"Об Обществах с Ограниченной Ответственностью" №14-ФЗ от 8 февраля
1998 г.
3.
Закон Российской
Федерации "О конкуренции и ограничении монополистической деятельности на
товарных рынках" (в ред. Законов РФ от 24 июня 1992 г. №3119-1).
ІІ.
Специальная литература
4.
Абрамов, С.И.
Практикум по менеджменту. 1 и 2 части / С.И.Абрамов. – М.: Юнити, 2003. – 288
с.
5.
Абрамова, Г. П. Маркетинг.
Вопросы и ответы. Рыночная экономика для всех. М.: Юнити, 2004. – 117 с.
6.
Веснин, В.Р.
Основы менеджмента / В.Р. Веснин. – М.: ООО "Издательство
"Элит", 2004. – 325с.
7.
Вольдер, Б.С.
Стратегический менеджмент: Учебно-практическое пособие. – М.: МФА, 2005. – 100
с.
8.
Воробьев, С.Н.
Управленческие решения. Учебник для ВУЗов. – М.: Юнити-Дана. - 2003. – 317 с.
9.
Виханский, О.С.
Менеджмент / О.С. Виханский, А.И. – М.: Высшая школа. - 2007. – 214 с.
10.
Воронов, А.А. Моделирование конкурентоспособности
продукции предприятия // Маркетинг в России и зарубежом. - 2003. - №4. -
С.44-52.
11.
Галлеев, В.И.,
Варгина, М.К. Управление качеством: проблемы, перспективы. // Сертификация. –
2005. – 145с.
12.
Гличев, А.В.
Полная схема механизма управления качеством продукции. // Стандарты и качество.
– 2006. – 77с.
13.
Гадушаури, Г.В.,
Литван, Б.Г. Управление современным предприятием. - М.: ЭКМОС, 2005. – 250 с.
14.
Генкин, Б.М.,
Конакова, Г.А., Кочетков, В.И. и др. Основы управления персоналом. – М.: Высш.
шк., 2006. – 342 с.
15.
Гришанина, Н.В.,
Лопашина, Г.С. и др. Основы менеджмента. – М.: Юрайт, 2007. – 75 с.
16.
Гиссин, В.И. Управление качеством продукции.
Ростов-н/Д.: Феникс, 2000. - 85 с.
17.
Гончарова, Н.П.,
Перерва, П.Г. и др. Маркетинг
инновационного процесса. — К.: ВИРА-Р, 2005. – 198 с.
18.
Друкер, П.В.
Задачи менеджмента в XXI
веке.: Пер. с англ.: Учебное пособие. М.: "Вильяме", 2007. – 272 с.
19.
Довбня, А.А.,
Поединщиков, И.И. Оценка эффективности менеджмента в реализации цели политики в
области качества.// Стандарты и качество. – 2004. - №11. – С.37-69.
20.
Егоржин, А.П.
Управление персоналом. М.: Издательско-торговая корпорация "Дашков
Ко", 2003. – 186 с.
21.
Завьялов, П.С. Конкуренция — неотъемлемое свойство
развитогорынка // Маркетинг. – 2008. - №5. – С.97-124.
22.
Завьялов, П.С. Маркетинг в схемах, рисунках,
таблицах: Учеб. пособие. М.: ИНФРА-М, 2008. – 105 с.
23.
Завьялов, П.С.,
Демидов, В.Е. Формула
успеха: маркетинг. М.: ИНФРА-М, 2007. – 68 с.
24.
Завьялов, П.С. Проблемы конкурентоспособности
экономики России и роль государства в их решении // Вестн. Рос. гуманит. науч.
фонда. – 2005. - №3. – С.34-52.
25.
Завьялов, П.С.,
Демидов, В.Е. Формула
успеха. Маркетинг: сто вопросов сто ответов, как действовать на внешнем рынке.
М.: ИНФРА-М, 2006. – 80 с.
26.
Захарченко, В.И. Оценка и анализ конкурентоспособности
предприятий // Машиностроитель. – 2008. - №11. – С.77-94.
27.
Ильин, Е.П.
Мотивация и мотивы: учеб. пособие для вузов/ Е.П. Ильин. - СПб. и др.: Питер,
2004. - 334 с.
28.
Исикава, К.
Японские методы управления качеством. М.: Экономика, 2002. – 155 с.
29.
Катков, В.В.
Управление конкурентоспособностью предприятия промышленности: теоретические
аспекты и практические методы. СПб: СПб ГИЭУ, 2004. – 210 с.
30.
Карданская, Н.Л.
Принятие управленческого решения: Учебник для вузов. М.: ЮНИТИ, 2001. - 164 с.
31.
Кирцнер, ИМ. Конкуренция и предпринимательство:
Пер. с англ. М.: ЮНИТИ, 2001. – 166 с.
32.
Кныш, М.И. Конкурентные стратегии: Учебное
пособие. СПб., 2003. – 207 с.
33.
Конкуренция и ее влияние на формирование
маркетинговых программ. Вестник ИНЖЭКОНА. Серия экономические науки. Вып. 2(3).
СПб.: СПбГИЭУ. 2004. – 65 с.
34.
Котков, В.В. Управление конкурентоспособностью
организации: Учеб. пособие / Под ред. А.К. Казанцева. СПб.: СПбГИЭУ, 2007. –
199 с.
35.
Котлер, Ф.М. Основы маркетинга. - СПб: Коруна,
2005. – 385 с.
36.
Ларичев, О.И. Теория и методы принятия решений. М.:
Логос, 2000. – 230 с.
37.
Лепа, Н.Н.,
Решетникова, Т.П. Методика
конкурентоспособности предприятия. СПб., 2005. – 77 с.
38.
Липсиц, И.Н.,
Нещадин, А.К., Эйкелъпаш, А.М. Конкурентная стратегия фирмы // Вопросы экономики. - 2005. - № 9. – 104
с.
39.
Максимова, И.С. Оценка конкурентоспособности
предприятия// Маркетинг. – 2008. - № 3. – С.77-89.
40.
Мельников, В.В. Институциональные изменения в сфере
государственных закупок в современной России. Новосибирск: ИППК НГУ-НГТУ, 2004.
– 284 с.
41.
Методические рекомендации по оценке эффективности
инвестиционных проектов и их отбору для финансирования (вторая редакция).
Официальное издание. М.: Экономика, 2003. – 78 с.
42.
Нешитой, А.Т. Конкурентоспособность и условия
воспроизводства //Экономист. - 2005. - № 3. - С.113-139.
43.
Огвоздин, В.Ю. Управление качеством: Основы теории и
практики: Учебное пособие. М.: Дело и Сервис, 2002. – 104 с.
44.
Попков, В.П.,
Самодуров, Д.А., Фавастьянов, В.М. Особенности формирования информационной системы диагностики
конкурентоспособности коммерческого предприятия. Инструментальные методы в
экономике: Сб. науч. тр. СПб.: СПбГИЭУ, 2003. – 342 с.
45.
Портер, М. Конкуренция: Учебное пособие / Пер. с
англ. М.: Издательский дом "Вильяме", 2002. – 130 с.
46.
Портер, М. Конкуренция: Пер. с англ. М.:
Издательский дом "Вильяме", 2003. – 94 с.
47.
Рубин, Ю.Б. Конкуренция: упорядоченное
взаимодействие в профессиональном бизнесе. М.: Маркат ДС, 2006. – 136 с.
48.
Сабецкая, Г.Н. Рыночная модель конкурентоспособности
продукции // Маркетинг. - 2006. - № 1. - С.24-51.
49.
Таран, В.А. Конкурентоспособность предприятий:
проблема современной политики и стратегия в области качества // Машиностроитель.
1998. № 2. с.312
50.
Фатхутдинов, Р.А.
Стратегический
менеджмент: Учебник для вузов. 3-е изд. М.: ЗАО "Бизнес-школа"
"Интел-Синтез", 2005. – 401 с.
51.
Фатхутдинов, Р.А.
Конкурентоспособность:
экономика, стратегия, управление. М.: ИНФРА-М, 2000. – 386 с
52.
Царев, В.В. –
Оценка конкурентоспособности предприятий. Теория и методология: учеб. пособие
для студентов вузов – М.: ЮНИТИ-ДАНА, 2008. – 799 с.
III. Текущий архив
53.
Устав ООО
"Мясокомбинат Бугульминский";
54.
Отчеты о
выполнении планов, программ ООО "Мясокомбинат Бугульминский".
IV. Источники удаленного доступа
55.
http\\www.tatstat.ru
Приложения
Приложение 1
Рис. 10 Общая схема оценки
конкурентоспособности продукции
Приложение 2
АНКЕТА
Добрый день! "Мясокомбинат
Бугульминский" проводит исследование с целью улучшения качества продукции
и выявления предпочтений потребителей. Ответьте пожалуйста на несколько
вопросов:
1. Расположит по приоритету наиболее
важные для вас параметры колбасной продукции:
а) цена в) качество
б) вкус г) имидж.
2. Оцените по пятибалльной шкале
показатели продукции ООО "Мясокомбинат Бугульминский":
а) цена в) качество
б)вкус г) имидж.
3. Как часто вы приобретаете
продукцию ООО "Мясокомбинат Бугульминский":
а) постоянно в) очень редко
б) иногда г) никогда.
4. Продукцию каких еще торговых марок
вы покупаете: а)"Сава" г)"Атяшево"
б) "Мамадыш" д) "Черкизовский".
в ) "Йола"
5. Устраивает ли Вас цена продукции
"Мясокомбината Бугульминский":
а) Да
б) Нет
6. Оцените уровень качества продукции
"Мясокомбината Бугульминский":
а) Высокий
б) Средний
в) Низкий
7. Реклама какой мясопродукции вам
нравится:
а) "Сава"
б) "Мясокомбинат
Бугульминский"
в) "Йола"
г) "Атяшево"
д) "Черкизовский"
е) "Мамадыш"
8. Пол.
а) Мужской
б) Женский
Возраст.
Уровень
дохода за год в тыс. руб.:
а) -100 в) 0-300
б) 0 – 200 г) 0-500.
Спасибо за внимание!
Приложение 3
АНКЕТА
1)
Какую Вы должность
занимаете?
2)
Считаете ли Вы,
что перегружены работой?
- Да - Нет
3) Часто ли Вам приходится выполнять
работу сверхурочно?
- Да - Нет
4) Всегда ли Вы успеваете выполнять
основную работу?
- Да - Нет
4) Часто ли в Вашем коллективе
возникают конфликтные ситуации?
- Да - Нет
5) Вас устраивает Ваша заработная
плата?
- Да - Нет
6) Как Вы считаете, на каком уровне
осуществляется маркетинг в Вашем предприятии?
- Высокий
- Средний
- Низкий
7) Необходим ли Вашему предприятию
отдела маркетинга?
- Да -Нет
8) Вы верите в успех предприятия?
- Да - Нет
9) Пол:
- Мужской - Женский