Международная экономическая Интеграция на примере НАФТА

  • Вид работы:
    Тип работы
  • Предмет:
    Финансы, деньги, кредит
  • Язык:
    Русский
    ,
    Формат файла:
    MS Word
    39,81 kb
  • Опубликовано:
    2008-12-09
Вы можете узнать стоимость помощи в написании студенческой работы.
Помощь в написании работы, которую точно примут!

Международная экономическая Интеграция на примере НАФТА

Содержание

Введение

1    Характеристика объекта

2        Характеристика проблем

3        Выбор системы прототипа

4        Постановка задачи

4.1 Объект информатизации

4.2 Ограничения

4.3     Критерий

4.4     База данных

4.5     Классификатор характеристик

4.6     Пакет программ для анализа

5    Типовые задачи

5.1 Многовариантное типирование интеллекта с профориентацией

5.2     Методы многокритериального выбора вариантов

Заключение

Введение

С повышением требований к точности изготовления изделий и их качеству при все более сложном процессе их обработки. Вместе с тем растет объем производства, что выдвигает требование повышения производительности машин за счет увеличения как их мощности, так и скорости обработки изделий. К ужесточению требований к электроприводу, на который возлагается задача осуществления сложных перемещений рабочих органов механизма. В процессе реализации этих перемещений возникает необходимость разгона, торможения, реверса электропривода, поддержания постоянства регулируемой величины (координаты), изменения ее по определенному закону и т. д.

Системы управления электроприводами могут быть подразделены на системы с разомкнутой и замкнутой цепью воздействий. В системе с разомкнутой цепью воздействий (разомкнутая система) отсутствует обратная связь, вследствие чего при возникновении отклонения выходной переменной от предписанного ей значения вызванного тем или иным возмущающим воздействием, сигнал управления на входе системы остается неизменным. Примером может служить двигатель, питающийся от преобразователя и приводящий в движение механизм, который включает в себя исполнительный орган и кинематическую связь. На преобразователь, двигатель и механизм действуют возмущения в виде изменений напряжения питающей сети, изменений момента нагрузки и т. п. Эти возмущения приводят к отклонению выходной координаты от предписанного ей значения, причем значение этого отклонения в статике и характер его в динамике при данном возмущении определяются параметрами преобразователя, двигателя и механизма.

В решении основной задачи для наладчиков лаборатории автоматизированного электропривода (ЛАЭП) находящейся в СибГИУ на кафедре АИЭМ где производится наладка и разработка электроприводов.

Было принято решение с целью уменьшения, а в идеальном случае - исключения ошибки приточном количественном определении параметров объекта позволяет значительно уменьшить время требуемое на наладку, повысить качество переходных процессов, тем самым преследует цель создание автоматизированной системы поддержки наладочных работ электропривода включающее при правильном выборе передаточных функций.

1 Характеристика объекта

Автоматизированный электропривод представляет собой комплекс электрических машин, аппаратов и систем управления, в котором электродвигатели конструктивно связаны с исполнительным механизмом.

«Всякая развитая совокупность машин состоит из трех существенно различных частей: машины-двигателя, передаточного механизма, наконец, машины-орудия или рабочей машины».[1]

Электроприводом называется машинное устройство, осуществляющее преобразование электрической энергии в механическую и обеспечивающее электрическое управление, преобразованное в механическую энергию.

Электропривод состоит из двух частей: 1) силовой части, включающей электродвигатель, и устройство для передачи механической энергии рабочему органу; 2) системы управления, содержащей командные органы, устройства для формирования свойств электропривода и защитные средства.

Основная функция электропривода - приводить в движения рабочий механизм - сохраняется за ним и в настоящее время. Однако современный автоматизированный электропривод, обладающий системой автоматизированного управления, выполняет более широкие функции, обеспечивая рациональное ведение технологического процесса. При автоматическом управление достигается высокая производительность и улучшается качество выпускаемой продукции[2].

В настоящее время разработаны и используются промышленностью электроприводы постоянного тока, они получили достаточно широкое применение в различных отраслях хозяйственной деятельности. Основными потребителями регулируемых электроприводов постоянного тока средней и большой мощности являются металлургическая, горнорудная, бумагодельная, резиновая, машиностроительная промышленность и др. Являясь неотъемлемой частью практически большинства технологических агрегатов, во многих случаях они определяют эффективность технологического процесса, потребления электрической энергии и условия труда обслуживающего персонала.

2 Характеристика проблем

Наладка современного автоматизируемого электропривода требует глубокого знакомства с условиями работы производственного механизма. Высокая производительность и высокое качество выпускаемой продукции могут быть пучены лишь при надлежащем сочетании статических и динамических характеристик привода и рабочей машины. Кинематика и даже конструкция рабочей машины в значительной мере определяются типом применяемого привода. Одновременно имеет место и обратное влияние рабочей машины на привод. В зависимости от конструктивных особенностей исполнительного механизма привод претерпевает значительные изменения. В связи с этим налаживать электропривод надо совместно с условием характеристик рабочей машины.

Таким образом, наладка и регулировка современной высокопроизводительной рабочей машины может быть обеспечена только совместными усилиями наладчиков и технологов.

Наладка электропривода может вестись лишь на основе тщательно разработанного технического задания, в котором должны быть учтены все особенности производственного процесса и условия работы исполнительного механизма. В техническом задании должны найтись отражающие вопросы, касающиеся характера статического момента, необходимых пределов регулирований скорости, плавности регулирования, требуемого комплекса механических характеристик, условий пуска и торможения, числа включений в час и др.

В основном наладка предопределяется требованиями, касающимися условий регулирования скорости,- диапазоном, плавностью, длительностью работы на пониженных скоростях и т. п. В настоящее время в промышленности внедряется ряд систем регулируемых приводов переменного тока. Однако большинство этих систем может использоваться лишь в том случае, если длительность работы на пониженных скоростях в общем балансе времени невелика. При необходимости иметь широкий диапазон изменения скорости и возможность длительной работы на пониженной скорости, как правило, пока еще приходится прибегать к приводам постоянного тока.

При этом, особое внимание должно быть уделено возможности получения всего комплекса механических характеристик, необходимых для осуществления заданных режимов работы исполнительного механизма. Если привод предназначен для работы в динамическом режиме с частыми пусками и остановками, то предварительно также должны быть сопоставлены условия протекания переходных процессов при различных системах привода.

Как правило, приводы, в которых автоматически регулируется какой-либо параметр, снабжаются одной из систем непрерывного управления.

Работа электрифицированного агрегата часто сопровождается изменением скорости движения его органов, что вызывается рядом причин для наладки и регулировки: колебаниями механической нагрузки вследствие изменения режима работы, включением и выключением пусковых и тормозных сопротивлений электродвигателя, непостоянством напряжения питающей сети. Особенно большие изменения скорости имеются при пуске и торможения электропривода. Поскольку эти режимы не рабочие, то за их счет удлиняется цикл работы и, следовательно, снижается производительность рабочего агрегата. Совершенно необходимо уметь определять длительность этих переходных процессов и принимать меры к их сокращению.

Практическое значение переходных режимов нагрузочных диаграмм электроприводов: как правило, электропривод того или иного исполнения, механизма не работает длительно с неизменной скоростью, а тем более с неизменной нагрузкой. В большинстве случаев режим работы электродвигателя является переменным - непрерывно изменяется нагрузка, периодически осуществляются пуски и остановки, а иногда в соответствии с требованиями технологии, регулировка скорости.

Работа электропривода характеризуется нагрузочными диаграммами, которые представляют собой зависимости вращающего момента двигателя, мощности, тока, скорости, пройденного пути от времени:

 

М, Р, I, n, α = f(t).

Построение нагрузочных диаграмм необходимо, прежде всего, для наладки двигателя. Как будет показано ниже, учитывать необходимую мощность двигателя по величине статической нагрузки не представляется возможным[1].

Весьма существенное значение имеет работа маховых масс и динамические свойства тиристорного электропривода. В динамике тиристорного преобразователя характеризуется двумя его основными особенностями как элемент системы управления:

1) поскольку в системе импульсно - фазового управления аналоговый входной сигнал дискретно преобразуется в сдвиг управляющихся импульсов, преобразователь управляется не непрерывно а дискретно;

2) преобразователь представляет собой полу управляемое устройство тиристор открывается только тогда, когда ток через него станет равным нулю.

Таким образом, тиристорный преобразователь проявляет себя как существенно нелинейное звено, полоса пропускания которого ограниченна и характер переходного процесса в котором зависит от значения и знака входного сигнала, а также от момента подачи этого сигнала внутри периода напряжения питания[3]. Нелинейность преобразователя может являться причиной ряда специфических явлений таких, как появления низкочастотных биений при воздействии на преобразователь сигналов с частотой, большей частоты питания, возможность возникновения субгармонических колебании в замкнутых системах при попытках реализовать высокое быстродействие, появление постоянной составляющей электродвижущий силы при воздействии гармонического сигнала высокой частоты и.т.п. Все эти явления нежелательны и в правильно построенной системе тиристорного электропривода должны быть исключены. Поэтому всегда приходится предварительно задаваться мощностью двигателя, производить расчеты переходных процессов, строить нагрузочные диаграммы и лишь на основе последних производить проверку правильности работы двигателя.

Отдельные отрезки нагрузочных диаграмм представляют кривые переходных процессов. Под последними понимают процессы перехода электропривода от одного установившегося состояния к другому, т. е. режимы перехода от покоя к вращению или обратно, от одной скорости к другой, от прямого направления вращения к обратному, от одной нагрузки исполнительного механизма к иной и.т.п. Переходные режимы играют огромную роль в работе электропривода и механизма, и часто их характер предопределяет производственность механизма и качество выпускаемой продукции.

При анализе нагрузочные диаграммы могут быть представлены либо аналитически, либо графически.

Иногда к электроприводу предъявляются особо повышенные требования в отношении точности выполнения операций; может быть необходимым осуществление движения по определенному закону в зависимости от времени или перемещения рабочего органа, точной остановки механизма в заданном месте. Очевидно, что наладка привода в этих случаях может вестись только на основе анализа переходных режимов.

Для электроприводов, работающих большую часть времени в переходных режимах, существенное значение может иметь расход энергии, идущей на ускорение и торможение маховых масс. Очевидно этот непроизводительный расход энергии должен быть сведен к минимуму. Анализ переходных режимов позволяет выявить предельно допустимое с точки зрения нагрева число включений двигателя в час[1].

Из изложенного становится очевидным огромное практическое значение изучения переходных процессов и нагрузочных диаграмм. Анализ их дает возможность детально выявить поведения электропривода, произвести правильный его выбор и расчет, установить оптимальное сочетание механических (рабочих и тормозных) характеристик выявить параметры работы двигателей.

В результате исследования переходных процессов часто выявляется необходимость видоизменения предварительно принятой схемы автоматического управления приводом, а иногда даже пересмотра параметров электрических машин. Вопросы переходных процессов и нагрузочных диаграмм являются основой теории электропривода.

Анализ работы электроприводов с автоматическим регулированием исследование динамики работы привода, снабженного автоматическим регулятором, представляет достаточно сложную задач для наладчика, как с точки зрения физики происходящих явлений, так и особенно в отношении математического анализа.

Все основные требования сводятся к разработке комплексной информационной системы для обработки информации, при этом под обработкой понимается процесс решения вычислительных задач, адекватно отражающих функциональные задачи управления. Именно комплексная обработка информации позволяет повысить эффективность наладочных устройств которое должно информировать состояние работы электроприводов с целью экономии времени наладчика. Тем что наладчик может устранить все возможные недостатки с меньшими временными затратами связанные с поиском и выявлением проблем.

В настоящее время для наладки электропривода нет программных продуктов осуществляющие возможность детально выявить поведения электропривода и выявить параметры работы двигателей.

3 Выбор системы прототипа

Начиная с 1970-х гг., было разработано множество прикладных пакетов моделирования, автоматизирующих прежде всего этап представления математической модели для компьютера. Среди них лидирующее положение для исследования динамических систем занимают пакеты MATLAB и Simulink фирмы Math Work.

Первая версия пакета MATLAB была разработана уже более 20 лет тому назад. Развитие и совершенствование этого пакета происходило одновременно с развитием средств вычислительной техники. Название пакета MATLAB происходит от словосочетания Matrix Laboratory, он ориентирован в первую очередь на обработку массивов данных (матриц и векторов). Именно поэтому, несмотря на достаточно высокую скорость смены поколений вычислительной техники, MATLAB успевал впитывать все наиболее ценное от каждого из этих поколений.

В результате к настоящему времени MATLAB представляет собой богатейшую библиотеку функций, единственной проблемой работы с которыми заключается в умении быстро отыскать те из них, которые нужны для решения поставленной задачи.

Для облегчения работы с пакетом специалистам различных областей науки и техники вся библиотека функций разбита на разделы. Те из них, которые носят общий характер, входят в состав ядра MATLAB. Те же функции, которые являются специфическими для конкретной области, включены в состав пакетов расширения (Toolboxes, Blocksets).

В настоящее время появилась новая, существенно расширенная, версия R2006a, Simulink-6. Этой версии ниже уделено основное внимание. Однако необходимо отметить, что библиотеки старых версий с их интерфейсом сохранены.

Пакет Simulink является приложением к пакету MATLAB. При моделировании с использованием Simulink реализуется принцип визуального программирования, в соответствии с которым пользователь на экране из библиотек стандартных блоков создает модель устройства и осуществляет расчеты. При этом, в отличие от классических способов моделирования, пользователю не нужно досконально изучать язык программирования и численные методы математики, а достаточно общих знаний, требующихся при работе на компьютере и естественно, знаний той предметной области, в которой он работает[5].

Simulink является достаточно самостоятельным инструментом MATLAB и при работе с ним совсем не требуется знать сам MATLAB и остальные его приложения. С другой стороны, доступ к функциям MATLAB и другим его инструментам остается открытым и их можно использовать в Simulink. Часть входящих в состав пакетов имеет инструменты, встраиваемые в Simulink (например, LTT-Viewer приложения Control System Toolbox - пакета для разработки систем управления). Имеются также дополнительные библиотеки блоков для разных областей применения (например, Sim Power System - моделирование электротехнических устройств, Digital Signal Processing Blockset - набор блоков для разработки цифровых устройств и т. д.).

При работе с Simulink пользователь имеет возможность модернизировать библиотечные блоки, создавать свои собственные, а также составлять новые библиотеки блоков.

При моделировании пользователь может выбирать метод решения дифференциальных уравнений, а также способ изменения модельного времени (с фиксированным или переменным шагом). В ходе моделирования имеется возможность следить за процессами, происходящей в системе.

Развитие и совершенствование среды MATLAB - Simulink происходит достаточно быстро. С момента выхода MATLAB 6.0 для моделирования полупроводниковых систем, прошло около пяти лет. За это время разработано семь новых версий пакета, причем начиная с версии MATLAB 7.0 существенной переработки подвергся пакет расширения Sim Power System. Именно этот пакет расширения является основным при модельном исследовании и проектировании электромеханических систем.

Данная монография представляет собой учебник по моделированию электромеханических систем в среде MATLAB-Simulink и содержит всю необходимую информацию по всем разделам последней версии среды (R 2006 а), которые необходимы для изучения.

Целью разработки пакета является изучение физических основ функционирования отдельных элементов электромеханических системы и проектирования этих систем в среде MATLAB-Simulink.

Эта цель достигается последовательным изложением следующих вопросов:

1 Модельным исследованием общих задач анализа и синтеза динамики электромеханических систем в среде Matlab-Simulink.

2 Модельным исследованием устройств силовой электроники в пакете Sim Power System.

3 Модельным проектированием электромеханических систем постоянного тока.

4 Модельным проектированием асинхронных электромеханических систем.

5 Модельным проектированием синхронных электромеханических систем.

Рассмотрим пример установки - (прямого пуска асинхронного двигателя) с помощью пакета MATLAB и Simulink фирмы Math Work основано на замене исходного объекта объектом обладающим аналогичным поведением.

Пример

Виртуальная модель для исследования прямого пуска АКЗ на холостом ходу с последующим приложением номинального момента показана на рисунке 1- (файл AKZ_Virt).

Модель содержит трехфазную асинхронную машину (Asynchronous Machine SI Units), запитанную. от трехфазного источника (Three-Phase Source), блок для измерения скорости и момента машины (Machines Measurement Demux), блок момента нагрузки (Step) и блоки измерения (Scope, To Workspace).

При запуске модели осуществляется прямой пуск АКЗ, по истечению некоторого времени прикладывается момент нагрузки. Результаты моделирования машины тип двигателя 20HP , мощность -15 kw, напряжение 400V, частота 50Hz 1460 RPM, представлены на рисунке 1.

Рисунок 1 Модель асинхронного короткозамкнутого двигателя составлена из библиотеки пакета Sim Power System

Рисунок 2- модель с блоками: To File и Form File динамическая характеристика машины 20HP

Из результатов моделирования видно, что при прямом пуске на холостом ходу и при приложении нагрузки наблюдаются значительные колебания момента и скорости.

Виртуальная установка для исследованиея механических, электромагнитных и энергетических характеристик асинхронной машины во всем диапазоне изменения скольжения.

Сложность построения модели для проведения исследования заключается в том, механическая характеристика асинхронных машин имеет только одну устойчивую область работы в диапазоне изменения скольжения.

Остальные области механических характеристик являются областями неустойчивой работы.

Задача построения модели с последующим исследованием механических, электромагнитных и энергетических характеристик АМ во всем диапазоне изменения скольжения может быть решена при использовании подхода, описанного ниже.

Этот подход базируется на формировании нагрузочного момента в точности совпадающего с моментом исследуемого АКЗ и одновременным управлением скоростью двигателя. Модель такой виртуальной установки показана на риснке 3 - (файл AKZ_stat).

Рисунок 3 - Модель виртуальной установки для снятия статических характеристик асинхронной машины

Модель содержит две электрические машины одну асинхронную машину (АМ) со своим источником питания (ASC). Вторую машину постоянного тока (DCM) с источником питания обмотки возбуждения (DCS) и регулируемым источником в якорной цепи (CVS). Электромагнитный момент асинхронной машины является нагрузкой на валу машины постоянного тока, а электромагнитный момент машины постоянного тока служит нагрузкой на валу асинхронной машины.

При таком построении моменты обеих машин будут всегда (в установившемся режиме) равны и противоположны по знаку. Для задания скорости вращения исследуемой асинхронной машины машина постоянного тока управляется от регулятора, на вход которого поступает сигнал задания и сигнал обратной связи - скорость асинхронной машины. Блок (Measurement) является библиотечным блоком для измерения переменных состояния асинхронной машины.

Блок (Output) служит для передачи в рабочее пространство переменных для вычисления механических, электромагнитных и энергетических характеристик асинхронной машины. Модель этого блока представлена на рис.6.14. Здесь вычисляется скольжение, амплитуда тока статора и коэффициент мощности. Блок (To Workspace) служит для передачи данных в рабочее пространство Matlab.

Программа для расчета статических характеристик представлена в файле (AKZ_ Char), а сами характеристики показаны на рисунке 4.

Каждый из перечисленных разделов содержит теоретическую часть, подкрепленную практическими моделями. При этом пользователю рекомендуется самому реализовать модель согласно описанию. В том, что это описание далеко не всегда даст исчерпывающие ответы на массу вопросов, возникающих при разработке модели.

Пакет программ MATLAB-Simulink может быть полезен для следующих категорий пользователей: инженерам-проектировщикам электромеханических систем и желающим повысить уровень компьютерной грамотности.

Рисунок 4 - статические характеристики асинхронной машины

4 Постановка задачи

В настоящее время существует большое количество разнообразных информационно-измерительных систем, а также множество прикладных пакетов моделирования для математического анализа как например. Среди них лидирующее положение для исследования динамических систем занимают пакеты MATLAB и Simulink . Большинство из этих систем невозможно использовать в совокупности аналитического и измерительного инструмента для наладки электропривода.

Целью разработки является создание автоматизированной системы информационной поддержки наладочных работ электропривода, для повышения эффективности самого процесса наладки электропривода постоянного и переменного тока. Эта задача актуальна по следующим причинам:

-объекты управления электроприводами становятся более сложными; это выражается в том, что возрастает число задач, решаемых в процессе управления; одновременно с ростом числа задач сокращается допустимое время принятия решения и повышаются требования к надежности;

-наладка электропривода проводится достаточно долго в условиях неопределенности, т.е. при отсутствии в полном объеме информации, необходимой для правильного выбора технических решений.

Эти причины вызывают необходимость применения проектирования современной информационной системы в следующих областях: Первая область - применение вычислительной техники для выполнения численных расчетов, которые требует слишком больших затрат времени или вообще не реализуются вручную. Развитие этой области способствовало интенсификации методов численного решения сложных математических задач. Характерной особенностью данной области применения вычислительной техники является наличие сложных алгоритмов обработки, которые используются в простых по структуре данным, объем которых сравнительно невелик.

Вторая область, которая непосредственно относится к использованию средств вычислительной техники в автоматических или автоматизированных информационных системах. Информационная система представляет собой программно-аппаратный комплекс, обеспечивающий выполнение следующих функций:

1.       надежное хранение информации в памяти компьютера;

2.       выполнение специфических для данного приложения преобразований информации и вычислений;

3.       предоставление пользователям удобного и легко осваиваемого интерфейса. Однако в информационных системах совокупность взаимосвязанных информационных объектов фактически отражает модель объектов реальных событий. А потребность пользователей в информации, адекватно отражающей состояние реальных объектов, требует сравнительно быстрой реакции системы на их запросы. И в этом случае требуется наличие устройств хранения данных.

Процесс проектирования должен иметь иерархическую структуру. Этот принцип определяет последовательность анализа объекта при проектировании. В соответствии с ним анализ должен начинаться с выхода системы, рассматриваемой как единое целое. Затем система разбивается на небольшое число достаточно крупных подсистем, исследуется вклад каждой из них в результирующий выход системы. Иерархия проста и естественна в отображении взаимосвязи между классами объектов.

Основной метод проектирования сложной системы - метод декомпозиции. Иерархическая структура процесса проектирования и широкое использование метода декомпозиции объясняются особенностями процесса принятия решений ходе создания информационно-советующей системы и в ходе ее эксплуатации.

Качество принятого решения в общем случае зависит от информированности об объекте управления и временного ресурса, т.е. от многообразия просмотренных способов воздействии на процесс и оттого, насколько тщательно и полно проведен анализ хода процесса до некоторого момента времени. С другой стороны, закономерности управляемого процесса обычно таковы, что высокое качество управления может быть достигнуто лишь при достаточно малой задержке во времени управляющего воздействия. Таким образом, основное противоречие в требованиях к организации процесса принятия решения - противоречие между объемом работы по получению и переработке информации и отводимым на эту работу временем.

Одни из путей разрешения этого противоречия - использование иерархической структуры процесса принятия решения. Проблема или задача, подлежащая решению, разбивается на ряд задач (проводится декомпозиция задачи), каждая из которых по объему и сложности такова, что может быть решена за приемлемое время и содержит координирующие условия, обеспечивающие объединение решений частных задач. Управляемый процесс при этом, как правило, может быть разбит на ряд соответствующих взаимосвязанных подпроцессов.

Координирующие условия вырабатываются в результате декомпозиции исходной задачи, которая может осуществляться за меньшее время и при более ограниченном объеме информации, чем полное решение исходной задачи. Постановка частных задач и объединение их решений в решение полной задачи осуществляются на более высоком уровне соподчиненных решающих систем, чем решение частных задач, и представляют собой также процесс принятия решений. Указанное расслоение на два или большее число подчиненных один другому уровней может иметь место не только в результате дефицита времени или сложности задачи принятия решения.

Требования в эксплуатации системы, которые предназначены для решения задач, необходимых человеку при управлении сложными процессами или объектами; эти вычислительные системы не связаны с контурами управления, они вырабатывают информацию для уточнения (коррекции) сигналов управления, которая выдается наладчику через системы отображения принятия решений. Известны несколько режимов работы которые оказывают существенное влияние на формирования требований к их надежности:

Важными являются также вопросы эксплуатации. По этому необходимо иметь четкие представления о работе. Известны несколько режимов работы, которое оказывают существенное влияние на формирование требований и их надежностей:

1        Разовый режим - за период жизни используется для основной работы один раз;

2        Периодический режим - включается в основную работу через определенные интервалы времени и после ее выполнения выключается;

3        Длительность и непрерывный режимы - при длительном режиме работы системы включаются для работы на длительное время, связанное с периодами эксплуатации объекта, при непрерывном система включается на весь период жизни объекта.

Кроме того, по эксплуатационным требованиям можно ввести следующее деление.

Информационные системы которые не обслуживается в процессе основной работы, т.е. не могут ремонтироваться, но могут обслуживается человеком при подготовке к основной работе. Их программы после начала эксплуатации не изменяются, хотя их можно модернизировать.

Требования к надежности программ в процессе основной работы возможно было периодически модернизировать. При определении состава показателей надежной работы необходимо учитывать условия функционирования, области использования и условия эксплуатации.

Для неремонтируемых - необслуживаемых разового или периодического действия наиболее важным показателем является вероятность правильного функционирования в течение заданного времени. Для ремонтируемых - обслуживаемых - информационных систем длительного использования и периодической работы важен еще один показатель - коэффициент готовности.

Определения требований к основным параметрам производительности и емкости памяти - осуществляется на основе математических исследований алгоритмов, метода численного анализа, а также методов программирования. Кроме того для решения задач необходимо установить возможность параллельного выполнения программ вычислений.

Важным этапом в работе структуры является определение производительности работающей по временной диаграммы которая учитывает поступление, обработку и выдачу информации.

Информационные системы работающие в необходимых для человека условиях при управлении сложными процессами или объектами управляющих системах, можно условно классифицировать по принципу их построения:

- на вычислительных машинах;

- на вычислительных машинах с общем полем памяти;

- на отдельных устройствах (модулях) - процессорах - вычислителях, спецпроцессорах, модулях памяти, процессорах обмена и.т.п.

При построении информационные системы большое значение имеет принцип соединения вычислительных средств друг с другом. Известны следующие принципы соединения устройств для передачи информации:

- радиальные;

- магистральные;

- с помощью коммутатора;

- комбинированное;

По характеру используемых средств можно разделить следующим образом:

- однородные, состоящие из одинаковых вычислительных машин или процессоров - вычислителей, модулей памяти, имеющих одинаковую архитектуру;

- разнородные, состоящие из различных машин или процессоров вычислителей, т.е. имеющих различную архитектуру.

Информационно - советующая система может быть связана с различными источниками информации, по этому необходимо предусматривать возможность приема данных одновременно от нескольких источников, а также возможность приема информации по запросу источников и частоте ее поступления. Аналогичные условия необходимо предусматривать и при выдачи информации на исполнительные устройства, механизмы, а также на средства отображения информации. Принципы организации соединений с источниками и потребителями информации аналогичны принципам соединения информационно - советующей системы, т.е используется при ограничениях только магистральный и радиальный принципы, а также соединения с помощью коммутатора.

Правильность получении информации из информационно - советующей системы от правильного функционирования аппаратуры и схем контроля ее работы, так и от правильности поступающих данных алгоритмов и программ, по которым работает информационно - советующая система.

В ведем показатель, который комплексно оценивает характеристики, с вязаные с оценкой и построением правильно функционирующей аппаратуры. Это показатель достоверности работы, который представляет собой условную вероятность того что, работает правильно при отсутствии сигнала ошибки. При не избыточном построении системы (без аппаратного контроля) достаточным условием правильности работы информационно - советующей системы является исправное состояние правильного функционирования аппаратуры в этом случае равносильны и определяют достоверность работы. Достоверность работы системы зависит от качества методов контроля, которыми проверяется правильность функционирования устройств, а также от надежности работы аппаратуры контроля и основной аппаратуры информационно - советующей системы.

В информационно - советующей системе использующих важную информацию, предусматриваются меры регламентирующие возможность доступа к ней. Эти меры должны быть определены для каждого вида информации с учетом ранжирования ее по степени необходимости.

Для начала процесса ограничения информационно - советующей системы необходимо знать следующее:

- количество разрядов в числе, обеспечивающих получение заданной точности расчетов;

- предварительные алгоритмы решения задач и временную диаграмму работы системы

-количество абонентов информационно - советующей системы, объем и частоту принимаемой и выдаваемой информации;

- надежность работы и достоверность выдаваемой информации;

- условие работы при механических, климатических и специальных воздействиях окружающей среды;

- специальные требования по защите информации.

Построение «автоматизированной системы информационной поддержки наладочных работ электропривода»

Дано:

1        Объект информатизации

2        Ограничения

3        Критерий

4        База данных

5        Классификатор характеристик

6        Пакет программ для анализа и представления данных

4.1 Объект информатизации

Автоматизированная система информационной поддержки наладочных работ электропривода представляет собой систему комплексной обработки информации, при этом под обработкой понимается процесс решения вычислительных задач, адекватно отражающих функциональные задачи управления. Именно комплексная обработка информации позволяет повысить эффективность производства,

В информационном процессе функционирования можно выделить следующие типовые фазы преобразования информации. Сбор, подготовку данных, ввод, передачу, обработку, накопление, вывод, воспроизведение, регистрацию. Их можно рассматривать как самостоятельные информационные процессы. Хотя в общем случае в реальной системе отдельные фазы преобразования информации могут присутствовать неявно, соотношение и значимость этих фаз зависят от уровня системы (т.е. от того, является ли она организационно-экономической, организационно-технологической либо технологической ). Для рассматриваемой информационной советующей системы нужное значение приобретают такие фазы, как сбор, ввод, передача, вывод, отображение, регистрация. Особенностью обработки информации является то, что она должна осуществляться в реальном масштабе времени. Для верхних уровней может быть допущена пакетная обработка информации. Рассмотрим основные фазы преобразования информации

Сбор информации. Фаза сбора информации является начальным этапом формирования осведомляющей информации. Сбор осуществляется с датчиков информации, встроенных в технологический процесс. По характеру изменения сигналы делятся на непрерывные и дискретные. С технологического оборудования с помощью датчиков снимается непрерывная информация, которая подвергается операциям преобразования и кодирования. Эти операции выполняются преобразователями. При преобразовании осуществляется дискретизация непрерывной величины. Эту операцию могут выполнять и датчики. При кодировании дискретное значение непрерывной величины превращается в код. Под кодом понимают определенный набор символов и знаков, однозначно отображающих любое сообщение, в том числе дискретизированное или мгновенно снятое с датчика значение непрерывной величины. Представленные в кодированном виде значения исходной информации хранятся в накопительных устройствах и через коммутатор по определенному закону выводятся на следующую фазу преобразования информации. Режим опроса, т.е. функционирования коммутатора, задается устройством программного управления. При этом могут быть реализованы режимы циклического опроса, случайного поиска, опроса по загрузке накопителей, а также по заданным приоритетам.

Процедуры считывания информации с датчика и последующего кодирования зачастую удается совместить. Для уменьшения ошибки считывания при наличии аналогокодовых преобразователей используют специальные виды кодов.

Подготовка информации. Фаза подготовки информации заключается в записи информации, снятой с объекта управления, на носитель с целью включения этой информации в процесс управления. Вид представления информации зависит от того, с какой следующей фазой сопрягается подготовка информации. При пакетной обработке информации фаза подготовки непосредственно сопрягается с фазой обработки.

Передача информации. Фаза передачи информации в информационном процессе зависит от того, когда существует взаимодействие между физически удаленными объектами Схема на рисунке. 5 отражает простейшее взаимодействие источника и потребителя информации, между которыми существует канал связи и возникает задача передачи заданного объема информации через канал связи с требуемой помехоустойчивостью. Сообщение, формируемое источником информации (ИИ), подвергается на передающей стороне трем процедурам: 1) преобразованию, что выполняется преобразователем (Пр); 2) кодированию, осуществляемому кодирующим устройством (КУ); 3) модуляции, что реализуется модулятором (М).

На приемной стороне над сигналом, который прошел через линейные согласующие устройства (ЛУ) и канал связи (КС), выполняются следующие процедуры: 1) демодуляция с помощью демодулятора (ДМ); 2) декодирование, что реализует декодирующее устройство (ДКУ); 3) преобразование полученной информации в соответствующую форму, что выполняет потребитель информации (ПИ). Особенностью процесса передачи является то, что сигнал, отображающий код, в канале связи подвергается действию помех.




Приемная часть



Рисунок 5 - Структурная схема процесса передачи информации

 

Обработка информации. Выделяется как под этап предварительная обработка информации. Целью обработки является решение с помощью ЭВМ вычислительных задач оптимизационного, расчетного характера, отображающих функциональные задачи управления в системе. Должны существовать модели обработки информации, соответствующие принятым алгоритмам управления. Для обработки необходимо создать набор вычислительных алгоритмов с программным обеспечением, проблемно-ориентированным на задачи управления. На этапе предварительной обработки основной задачей является выявление смысла принятого сообщения. Поэтому должно существовать правило интерпретации сообщения, которое принято по согласованию между источниками и приемниками информации. Процесс предварительной обработки информации - обязательная составляющая с информационно-советующей системой. Одной из задач создания системы обработки является рациональное распределение вычислительных ресурсов между модулями с целью минимизации информационных потоков и времени решения вычислительных задач[4].

Хранение информации. Хранение информации можно рассматривать как передачу информации во времени. Различают оперативное и долговременное хранение информации Необходимость хранения информации в ЭВМ связана не только с процессом арифметической обработки. При управлении создают информационные массивы, которые хранятся в информационной базе.

4.2 Ограничения

Основные ограничения при наладочных работах которые определяются по этапам.

Наладочные работы по любому объекту могут быть разбиты на четыре основных этапа (стадии):

Первый этап охватывает проверку отдельных элементов электрооборудования и начало его определяется степенью готовности монтажа, а именно должны быть закончены: установка оборудования (выключатели, разъединители, трансформаторы тока и напряжения, силовые трансформаторы, ртутные выпрямители, двигатели, щиты, станции управления, пульты и пр.), монтаж вторичных цепей в пределах щитов, станций управления, пультов и распределительных устройств.

На первом этапе работы ведутся одновременно с завершением монтажных работ. Проверка реле и аппаратуры производится только на тех панелях, где закончены монтажные работы. При испытаниях под напряжением аппаратов на панелях должны быть приняты меры против попадания напряжения на смежные панели или на другие участки установки, где могут вестись монтажные работы.

На первом этапе наладки проводятся также испытания заземляющих устройств. При выполнении этой работы электромонтажной организацией руководитель бригады должен убедиться по документам в удовлетворительности результатов испытаний. В тех случаях, когда применяется проверка некоторых видов оборудования вне зоны строительной площадки, обязательным условием является подготовка помещения для этого оборудования и подача временного питания электроэнергией.

Работы на первом этапе можно разбить на две группы: внешний осмотр оборудования, проверка механической части аппаратуры и некоторые замеры; проверка отдельных элементов оборудования со сборкой временных испытательных схем.

К первой группе работ относятся:

ознакомление состава звена с территориальным расположением оборудования, запись паспортных данных и сопоставление их с проектными спецификациями;

тщательный внешний и, по возможности, внутренний осмотр оборудования и выполненного монтажа, выявление недоделок и дефектов; измерение сопротивления изоляции элементов оборудования;

измерение сопротивления постоянному току обмоток машин, катушек аппаратов, ящиков сопротивлений и пр.; проверка соответствия результатов замеров необходимым параметрам по проекту;

проверка диаграмм командоаппаратов: ключей управления, путевых выключателей по данным проекта; проверка переходных сопротивлений контактов масляных выключателей (при условии заливки маслом); проверка ручного включения и отключения масляных выключателей, автоматов,, разъединителей и других коммутационных; устройств; проверка механической части аппаратуры (зазоров, провалов, жесткости пружин), проверка газовых реле;

осмотр электрических машин, проверка правильности включения обмоток, определение нейтрали у машин постоянного тока.

Ко второй группе работ относятся:

снятие характеристик реле, проверка напряжения (или тока) втягивания и отпадания релейно-контакторной аппаратуры; проверка выдержек времени аппаратов;

проверка трансформаторов тока и напряжения (вольтамперные характеристики, полярность, коэффициент трансформации);

проверка силовых трансформаторов (группа соединений, коэффициент трансформации на всех отпайках);

проверка правильности показаний щитовых измерительных приборов;

испытание и формовка твердых выпрямителей;

проверка и снятие характеристик магнитных, электромашинных и электронных усилителей; необходимые проверки ртутных выпрямителей; проверка и настройка тепловой и максимальной защит пускателей, автоматов и других аппаратов в схемах электроприводов.

Все работы, относящиеся ко второй группе, связаны со сборкой испытательных схем и устройством временного питания. При этом должны быть соблюдены порядок подготовки рабочего места и правила безопасности. На этом этапе проводятся испытания только отдельных элементов схемы, а в саму схему напряжение ни в коем случае не должно подаваться. Сборку временных схем для испытания допускается производить только при снятом напряжении. Никакие переключения проводов по схеме, перестановки приборов, аппаратов и пр. после подачи напряжения не разрешаются.

При этом должна быть проявлена максимальная оперативность, имеющая целью не задерживать дальнейший ход наладки и ввод объекта в эксплуатацию.

Переход на второй этап работ определяется по отдельным узлам и участкам установки в зависимости от готовности вторичной коммутации и возможности подачи напряжения в схему[10].

Второй этап охватывает проверку под напряжением смонтированной схемы и взаимодействия ее элементов. Начало работ на втором этапе определяется: установкой всего оборудования по проекту, полной готовностью монтажа вторичных цепей - окончанием прокладки, разделки и подключения контрольных кабелей с вывешиванием бирок.

Наладочные работы на втором этапе заключаются в следующем:

измерение сопротивления изоляции вторичных цепей;

проверка правильности смонтированных схем управления, защиты и сигнализации (прозванивание или опробование под напряжением);

подача напряжения во вторичные цепи по постоянной схеме и комплексная проверка действия всех элементов, их взаимосвязи и блокировок во всех предусмотренных проектом режимах работы (ручной, автоматический и т. д.);

проверка работы схемы и отдельных ее элементов при нормированных отклонениях напряжения;

проверка действия и настройка коммутационной аппаратуры;

испытание вторичных цепей повышенным напряжением.

Работы на втором этапе связаны с приемом напряжения в схему оперативных цепей. Поэтому должны быть строго соблюдены порядок и условия подачи напряжения (с записью в журнале) и правила техники безопасности как в отношении персонала наладочных бригад, так и смежных организаций.

На установках, находящихся под напряжением, работы других каких-либо организаций, кроме наладочной бригады, должны быть категорически запрещены. Ликвидация недоделок может производиться только после снятия напряжения (с записью в журнале).

В результате работ на втором этапе должны быть выявлены все недоделки и монтажные ошибки во вторичных цепях; обеспечена четкость работы отдельных аппаратов и действия схемы в целом; соответствие проекту выполненного монтажа и необходимость внесения изменений. Обо всех замечаниях, недостатках и необходимых переделках следует извещать монтажную и проектную организации и производить, запись в журнале дефектов. Изменения в схемах обязательно согласовываются с проектной организацией. Реализация переделок должна быть проконтролирована наладчиками.

Третий этап охватывает проверку и испытания отдельных законченных электроустановок, и начало его определяется полным окончанием электро- и механомонтажных работ; для линий электропередачи - окончанием монтажа распредустройств и готовности к приему высокого напряжения. Работы в этот период наладки заключаются в следующем:

1) Проверка правильности выполненных первичных цепей (как правило, методом прозвоики), если это невозможно было выполнить на втором этапе наладки; фазировка линий питания; проверка правильности подключения силовых цепей к приемникам или источникам электроэнергии (если этой проверки нельзя было выполнить на втором этапе наладки); проверка изоляции силовых цепей и испытания электрооборудования повышенным напряжением (кабелей, трансформаторов, машин и др.).

2) Проверка первичным током схем защиты и измерения, проверка действия релейной аппаратуры (максимальной, дифференциальной, земляной и пр.); перед включением - обязательный наружный осмотр установки и повторная проверка изоляции всех цепей; прием напряжения на установку по постоянной схеме.

3) Пробное включение электроустановки: для генераторов - подъем напряжения с нуля; для электродвигателей - холостой ход; для линий электропередачи - подача напряжения; снятие характеристик машин.

4) Опробование двигателей совместно с механизмами на разных режимах (регулировка скорости, реверс) при ручном и автоматическом управлениях; окончательная настройка функциональной и защитной аппаратуры, путевых выключателей, тормозов; настройка окончательных уставок реле.

Все работы на третьем этапе должны быть тесно увязаны с электромонтажной, механомонтажной и эксплуатационной организациями с соблюдением порядка заполнения документации.

Участие представителей этих организаций в процессе испытания является обязательным. Первые включения под напряжение электроустановки и первые прокрутки механизмов должны производиться под наблюдением и в присутствии руководителя наладочной бригады. Режимные наладки также производятся в присутствии руководителя бригады. Особое внимание следует уделять обеспечению безопасности всего персонала - электромонтажников и наладчиков, механиков и др.

На третьем этапе должна быть проведена постепенная передача отдельных установок в ведение эксплуатационного персонала. В этот период наладчики должны вести наблюдение за правильностью действия обслуживающего персонала, при необходимости проводить технический инструктаж и оказывать помощь в работе. Одновременно передается необходимая техническая документация (исполнительные принципиальные схемы и данные по настройке .аппаратов защиты). Полный комплект технической документации сдается по окончании работ на четвертом этапе. Переход к четвертому этапу наладки обусловлен окончанием опробования всех электроустановок, входящих в комплекс объекта. Однако в некоторых случаях объект вводится в действие не

в целом, а частично. Тогда переход на четвертый этап наладки производится по определенному принятому графику очередности.

Четвертый этап относится к наладке электроприводов, является завершающим и охватывает два периода комплексного испытания объекта: «холодное» опробование - работа механизмов вхолостую; «горячее» опробование - работа механизмов под нагрузкой в рабочих режимах, определяемых технологией производства.

Перед комплексными испытаниями руководитель наладочной бригады проводит инструктаж всего состава бригады и четко разграничивает сферу деятельности каждого наладчика. Наладчики должны наблюдать за работой схем и электрооборудования, производить записи показаний приборов (по заданию) и оказывать по вызову эксплуатационного персонала оперативную помощь при обнаружении и устранении неполадок в электрической части.

Все работы на четвертом этапе производятся по программе, согласованной со всеми смежными строительно-монтажными организациями, службой эксплуатации и технологами предприятия. Во время комплексных испытаний обслуживание электроустановок должно полностью находиться в ведении эксплуатационного персонала, который по заявкам из цеха производит включение и отключение схем управления механизмами, дает операторам разрешение на работу и ведет ответственное наблюдение за состоянием электрооборудования. Доступ наладочного персонала к переданным в эксплуатацию схемам разрешается только по согласованию со службой эксплуатации.

По окончании «горячего» опробования должна быть подготовлена и сдана отчетная документация по наладке, обусловленная договором.

Во время комплексных испытаний производятся следующие работы: пуск и наблюдение за совместной работой всех электроприводов и оборудования комплекса; проверка надежности взаимных блокировок схем приводов; наблюдение за четкостью и надежностью действия аппаратуры; осуществление и наладка различных режимов работы комплекса совместно с механиками и технологами цеха; корректировка настроенных ранее параметров схем и аппаратуры; постепенное введение автоматического управления (где это предусмотрено).

Участие наладчиков в нормальной эксплуатации объекта зависит от его сложности, качества работы оборудования и подготовленности обслуживающего персонала. Длительность этого периода определяется договоренностью с заказчиком и обычно составляет 10-15 дней. Для участия в пробной эксплуатации выделяется из состава бригады ограниченное количество наиболее квалифицированных наладчиков.

Как и на последующих этапах наладчики не являются только объективными регистраторами недостатков, а должны активно участвовать в разрешении встретившихся затруднений, давая конкретные рекомендации по их устранению. При этом должна быть проявлена максимальная оперативность, имеющая целью не задерживать дальнейший ход наладки и ввод объекта в эксплуатацию.

Суммарное время наладки затраченное для выдачи, поиска и анализа информации и принятия решения длится 3 дня.

4.3 Критерий

Для решения этой задачи необходимо иметь эталон временных затрат в ручную т.е. сколько уходило времени на поиск информации, измерений и расчетов переходных процессов электромеханических характеристик без информационно - советующей системы, и сколько времени отнимет на эти же операции с информационно - советующей системой.

Где - τ ср п среднее время на поиск информации 2 дня.

Где - τ ср в среднее время на выдачу информации 1 день.


Среднее время затраченное на поиск и выдачу информации без информационной системы 3 дня на 1запорс.

Требуется : построить БД, которая удовлетворит ограничениям и минимизирует критерий.

4.4 База данных

Одними из основополагающих в концепции баз данных являются обобщенные категории «данные» и «модель данных».

Понятие «данные» в концепции баз данных - это набор конкретных значений, параметров, характеризующих объект, условие, ситуацию или любые другие факторы. Данные не обладают определенной структурой, данные становятся информацией тогда, когда пользователь задает им определенную структуру, то есть осознает их смысловое содержание. Поэтому центральным понятием в области баз данных является понятие модели. Не существует однозначного определения этого термина, токая абстракция определяется с некоторыми различиями, но тем не менее можно выделить нечто общее в этих определениях.

Система управления базами данных (СУБД) - совокупность языковых и программных средств, предназначенных для создания, ведения и совместного использования БД многими пользователями. Самая распространенная на сегодняшний день трехуровневая система организации БД, изображенная на рисунке 6

1 Уровень внешних моделей - самый верхний уровень, где каждая модель имеет свое «видение» данных. Этот уровень определяет точку зрения на БД отдельных приложений. Каждое приложение видит и обрабатывает только те данные, которые необходимы именно этому приложению.

2        Концептуальный уровень - центральное управляющее звено, здесь база данных представлена в наиболее общем виде, который объединяет данные, используемые всеми приложениями, работающими с данной базой данных. Фактически концептуальный уровень отражает обобщенную модель предметной области (объектов реального мира), для которой создавалась база данных. Как любая модель, концептуальная модель отражает только существенные, с точки зрения обработки, особенности объектов реального мира.

3 Физический уровень - собственно данные, расположенные в файлах или в страничных структурах, расположенных на внешних носителях информации.

Рисунок 6 - Трехуровневая модель системы управления базой данных

 

Модель данных - это некоторая абстракция, которая, будучи приложима к конкретным данным, позволяет пользователям и разработчикам трактовать их уже как информацию, то есть сведения, содержащие не только данные, но и взаимосвязь между ними.

На рисунке 7 - представлена классификация моделей данных.

В соответствии с рассмотренной ранее трехуровневой архитектурой мы сталкиваемся с понятием модели данных по отношению к каждому уровню. И действительно, физическая модель данных оперирует категориями, касающимися организации внешней памяти и структур хранения, используемых в данной операционной среде. В настоящий момент в качестве физических моделей используются различные методы размещения данных, основанные на файловых структурах: это организация файлов прямого и последовательного доступа, индексных файлов и инвертированных файлов, файлов, использующих различные методы хэширования, взаимосвязанных файлов. Кроме того, современные СУБД широко используют страничную организацию данных. Физические модели данных, основанные на страничной организации, являются наиболее перспективными.

Рисунок 7 - Классификация моделей данных

Кроме трех рассмотренных уровней абстракции при проектировании БД существует еще один уровень, предшествующий им. Модель этого уровня должна выражать информацию о предметной области в виде, независимом от используемой СУБД. Эти модели называются инфологическими, или семантическими, и отражают в естественной и удобной для разработчиков и других пользователей форме информационно-логический уровень абстрагирования, связанный с фиксацией и описанием объектов предметной области, их свойств и их взаимосвязей .

4.5 Классификатор характеристик

Основными функции разработки являются: измерения, аппроксимация и регистрации электрических характеристик. Система позволяет проводить произвольные выборки с использованием результатов измерений для решения задач по диагностике промышленных установок, протоколированию технологических процессов, выявлению причин нештатных ситуаций, которая позволит наладчикам за меньшее время детально выявить поведения электропривода и просмотреть параметры работы двигателей с сохранением данных.

Для создания информационно-советующий системы нужен набор соответствующих характеристик:

1.       Составляющая система должна быть лицензионно свободна

2. Модульная структура, для лёгкого расширения системы.

3.       Удобный и понятый интерфейс

4.       Просмотр осциллограмм

5.       Возможность получать и сохранять данные графических изображений с любого компьютера, имеющего доступ к локальной сети

6.       Регистрация и протоколирование осциллографических измерений

7.       Модификация

7.1.    Сдвиг нуля (по оси ординат)

7.2.    Сдвиг времени (по оси абсцисс)

7.3.    Масштабирование графика (осциллограммы)

8.       Анализ осциллограммы

8.1.    График производной от данной осциллограммы

8.2.    Определение максимума всей осциллограммы

8.3.    Определение максимума на выбранном диапазоне

8.4.    Определение среднеарифметического

8.5.    Определение среднегеометрического

8.6.    Среднеквадратического отклонения с автоматическим выводом

9.       Фильтрация

9.1.    Фильтр апериодичности

9.2.    Фильтр второго порядка (колебательного звена)

9.3.    Робастный фильтр

9.4.    Определения действующего значения

10.     Дополнительные построения

10.1.  Линейка

10.2.  Прямая по двум точкам

11.     Синусоида с построением пройденного пути от времени a=f(t)

4.6 Пакет программ для анализа

Несколько десятилетий наладчикам приходятся принимать участия, в разработке и наладки аналитических методов исследования которые, предоставили очень много теории и практики для электропривода. Однако эти методы дали существенные ограничения. Они позволяют в полной мере исследовать системы, которые описываются дифференциальными уравнениями первого и второго порядка. Системы, описываемые уравнениями третьего и четвертого порядка, подаются аналитическому решению, но влияние параметров системы приходится исследовать уже численными методами.

Численные методы базируются на использования компьютерного моделирования.

Компьютерная модель - это программная реализация математической модели дополненная различными служебными программами (например, рисующими и изменяющими графические обзоры во времени).

На исторических ранних этапах компьютерного моделирования программы создавались на языке машинных слов (1100101…).следующим шагом стал язык Ассемблера. В дальнейшем появились «языки высокого уровня»(Алгол, Бейсик, Фортран, Паскаль и др.). Применявшаяся в те годы технология программирования требовала на создание моделей очень много времени. Трудозатраты на создание простой, современной компьютерной модели оценивалась в 5-6 человеко-месяцев.

В настоящее время можно все кардинально изменить с помощью разработанных прикладных пакетов TrendWorX32 фирмы ICONICS является набором программ, предназначенных для реализации подсистемы построения и анализа зависимостей от параметров контролируемого процесса от времени и друг от друга. А также для архивации и последующего представления исторических данных на графиках на верхнем уровне автоматизированных систем управления.

Назначение программных компонентов TrendWorX32.

Контейнер TrendWorX32 - автономное приложение Windows с многодокументным пользовательским интерфейсом, которое предназначено для одновременной работы с множеством элементов просмотра графиков, включая конфигурирование и использование в режим е Исполнение. Контейнер позволяет запускать на исполнение отдельные экраны с вставленными управляющими элементами ActiveX. Содержит интегрированную среду разработки и исполнения сценарных процедур Microsoft Visual Bask: for Applications (VBA).

Рисунок 8- Архитектура пакета TrendWorX32

Элемент просмотра графиков TrendWorX32Viewer ActiveX (ICONICS TWXView32 ActiveX) -предназначен для построения графических зависимостей контролируемых параметров, получаемых от серверов ОРС доступа к дающим данным (ОРС Data Access или OPC DA) и из архивов. Элемент просмотра графиков TrendWorX32 также может использоваться совместно с другими приложениями, способными выполнять функцию контейнера ActiveX.

К основным функциональным возможностям элемента просмотра графиков относятся:

Построение графиков на основе текущих данных (данных реального времени)

1 Построение графиков на основе данных из архивов (исторических данных

2        Вторичная и статистическая обработка данных

3        Обеспечение целостности данных путем многопоточной буферизации

4        предоставлением пользователю возможности настраивать период сбора и обновления данных

5        Элемент просмотра графиков TrendWorX32 получает исторические данные из базы данных от сервера архивации TrendWorX32 SQL Server с использованием интерфейсов ОРС доступа к историческим данным ОРС Historical Data Access (DPC HDA).

Управляющий элемент ICONICS TWXSQL Tool Control-предназначен для выполнения запросов к базе данных архива GENESIS32. обслуживаемой TrendWorX32 SQL Server. Может быть вставлен в любой контейнер ActiveX, включая GraphWorX32, TrendWorX32 и AlarmWorX32.

Сервер архивации TrendworX32 SQL Server (SQL DataLogger) пред назначен для приема данных от ОРС - серверов, записи в базу данных MS Access, MS SQL Server 7.0, Oracle или Microsoft Date Engine (MSDE) с использованием заданных алгоритмов архивации и предоставления данных клиентским приложениям, соответствующим спецификации ОРС Historical Data Access 1.0 (ОРС HDA - спецификация ОРС доступа к историческим данным).

КонфигураторTrendWorX32 - предназначен для создания и редактирования конфигураций сервера архивации в базе данных. Кроме того, Конфигуратор TrendWorX32 содержит ряд отладочно-диагностических функций, позволяющих проверить правильность и эффективность работы подсистемы архивации данных.

Генератор отчетов TrendWorX32 Reporting - предназначен для автоматического выполнения запросов к базе данных архива и представления полученных выборок в текстовом файле, в рабочем листе MS Ехсеl или в таблице базы данных.

Сервер фоновой буферизации - предназначен для приема данных от серверов ОРС, размещения данных в оперативной памяти и, при необходимости, в файловых буферах, а также для предоставления доступа к буферизованным данным через OLE Automation.

Общие сведения: контейнер TrendWorX32является приложением с многооконным интерфейсом, которое предназначено для одновременной работы с множеством экземпляров элемента просмотра графиков ICONICS TWXView32 ActiveX, а также с другими управляющими элементами ActiveX, вставленными в дочерние окна (окна просмотра или экраны).

Контейнер TrendWorX32 предоставляет средства быстрого доступа к Конфигуратору сервера архивации, к Серверу архивации TrendWorX32 SQL Server, Серверу фоновой буферизации Persistent Trending и Генератору отчетов TrendWorX32 Reporting из единой среды разработки. Кроме того, в состав контейнера входит среда разработки и исполнения сценарных процедур Microsoft VBA.

Интерфейс пользователя. В этом разделе описан пользовательский интерфейс элемента TrendWorX32 ViewerActiveX.

Рисунок 9 - Внешний вид главного окна контейнера TrendWorX32 с кратким описанием областей и органов управления

Диалог TwxView32 ActiveXControlProperties (называемый также диалогом свойств), изображенный ниже, является пользовательским интерфейсом для конфигурирования ActiveX элемента. Он вызывается двойным щелчком на ActiveX элементе в режиме разработки, и состоит из следующих страниц свойств:

Рисунок 10 - диалоговое окно свойств элемента просмотра графиков

TWXView32 ActiveX Control Pro perties

Страница свойств Общие, изображенная ниже, является страницей по умолчанию диалога свойств. Она содержит следующие основные свойства элемента просмотра графиков:

1.       Заголовок

2.       Имя и местонахождение файла конфигурации элемента просмотра

3.       Адрес конфигурационной информации элемента просмотра в сети Интернет

4.       Тип графика

5.       Страница свойств Рабочая область рисунок 11

Страница свойств Рабочая область, изображенная на рисунке, конфигурирует различные косметические аспекты областей элемента просмотра графиков, такие, как наличие информации о диапазонах и подробности о перьях на графике .

Вы можете выбрать, какие компоненты графика должны отображаться на экране. Кроме того, можно указать Стиль рамки графика и Вид рамки. Существует также возможность придать рамке рельефный вид.

Рисунок 11 - Диалог свойств: страница Рабочая область

Страница свойств Линии сетки

Страница свойств Линии сетки, изображен на рисунке 12 ниже, управляет отображением сетки на графике. В зависимости от выбранного типа графика, некоторые параметры могут быть доступны или недоступны.

Содержимое страницы разбито на две секции, для оси X и для оси Y. Если отмечен флажок Показать, соответствующие линии сетки будут отображаться на экране. Поле количество определяет число линий для каждой из осей, а поле Ширина указывает толщину линий. Возможно также указать стиль для линий из следующих вариантов: пунктирная, сплошная, штриховая или штрих - пунктир. Как и в странице рабочая область, можно выбрать цвет для сетки, щелкнув на поле выбора цвета. Для удобства, TrendWorX32 предоставляет возможность независимой конфигурации для каждой из осей, за исключением гистограммы, не поддерживающей сетку по оси X.

Рисунок 12 - Диалог свойств: страница Линии сетки

Страница свойств Диапазоны

Страница свойств Диапазоны, изображенная ниже на рисунке 13, предназначена для определения внешнего вида и местоположения области отображения диапазонов. В зависимости от выбранного типа графика, некоторые из параметров могут быть доступны или недоступны.

Рисунок 13 - Диалог свойств: страница Диапазоны

Страница свойств Подробности

Страница Подробности диалога свойств, изображенная ниже на рисунке - 14, управляет отображением подробной информации об источниках данных, связанных с перьями, которая представляется в виде таблицы в нижней части элемента просмотра графиков.

Рисунок 14 -Диалог свойств: страница Подробности

Записи в таблице

Группа параметров Записи в таблице позволяет выбрать элементы информации, которые будут входить в таблицу в отдельных столбцах: Имя тега, Название пера, Границы диапазона, Допустимые значения, Предельные значения, Значения перьев, Единицы измерения, Качество, Метка времени, Дата и Ось X. Элементы будут появляться в таблице в том порядке, в котором они перечислены. Например, если отмечены Значения перьев и Метка времени, столбец Значения перьев всегда будет отображаться в таблице перед столбцом Метка времени.

Дополнительно к перечисленным параметрам, в диалоге присутствует флажок Заголовок. Если он отмечен, на экране будут показаны заголовки столбцов таблицы подробностей, позволяя увидеть, к каким параметром относятся данные в таблице. В противном случае, данные будут выводиться без указания, к чему они относятся.

Признак качества

Элемент просмотра графиков располагает встроенной поддержкой признака качества как для архивных (HDA) тегов, так и для текущих значений (OPCDA). Если параметр Качество отмечен на странице свойств Подробности диалогаTrendWorX32 ActiveXControlProperties, элемент просмотра графиков будет отображать информацию о признаке качества для каждого из отсчетов в таблице Подробности, как это показано на рисунке 15

Рисунок 15- Признак качества в таблице подробности

Кроме стандартных значений признака качества OPCDataAccess, элемент просмотра графиков поддерживает спецификацию качества HistoricalDataAccess для индикации интервалов времени, когда архивация данных остановлена, действительных (необработанных) отсчетов данных, или вычисленных значений. В режиме исполнения, таблица Подробности поддерживает расширенную функциональность для каждого из перьев или группы перьев (если указано).

Параметры перьев

Как изображено на рисунке, пользователь может выбрать одно или несколько перьев в таблице Подробности. При нажатии правой клавиши мыши на одном из них, возникает всплывающее меню. В подменю Опции перечислены следующие параметры отображения графика и действия для выбранного пера:

Рисунок 16- Меню таблицы подробности

1 Видимое перо: Показывает или скрывает перо на графике.

2        Отсчеты: Показывает отсчеты данных для пера.

3        Маркер пера: Отображает или скрывает маркер пера в правой части графика.

4        Пределы: Отображает или скрывает штриховые линии значений тревог на Нижнем допустимом, Нижнем предельном, Верхнем допустимом и Верхнем предельном уровнях.

5        Ступенчатая трасса: Включает ступенчатый метод рисования трассы пера. Этот режим наиболее подходит для отображения медленно меняющихся сигналов или заданий (уставок).

6        Показать диапазон: Отображает шкалу, соответствующую диапазону выбранного пера, в крайней левой позиции области диапазона.

7        Автоподбор диапазона: Делает недоступными параметры Мин. и Макс. на странице свойств пера Диапазон, и устанавливает эти значения автоматически, отслеживая текущие значения пера. При разрешенном на странице свойств Диапазоны автоподборе, значения границ диапазона увеличиваются, если текущее значение становится выше или ниже заданных пределов. Например, если установлен диапазон от 0 (Мин.) до 200 (Макс.), а текущее значение равно 250, то границы диапазона будут автоматически установлены от 0 до 280. Граница диапазона устанавливается примерно на 20 процентов выше текущего значения.

8        Показать комментарии: Если архивные перья присутствуют в конфигурации TrendWorX32 Viewer, выбор опции Показать комментарии переводит элемент просмотра графиков в режим фиксации и выводит все архивные комментарии и записи циклов, которые доступны.

9        Вставить комментарии: Выводит диалог Ввод комментария/Цикла для архивных перьев. Эта команда становится доступной только в режиме фиксации.

10      Следует заметить, что те же самые функции доступны и в режиме смешанного воспроизведения архивных данных.

Сдвиг времени:Одной из функций архивного воспроизведения является сдвиг времени для перьев в режиме фиксации. Она предназначена для сравнительного анализа графиков, вне зависимости от сдвига между ними по временной оси. Чтобы воспользоваться функцией сдвига времени, выберите нужное перо(перья) в таблице Подробности. Затем, нажмите правую клавишу мыши и выберите Сдвиг времени из всплывающего меню. При этом откроется диалог Установка сдвига времени для перьев, изображенный на рисунке 17.

После этого можно выбрать интервал и направление для сдвига. При нажатии OK, трассы выбранных перьев будут перерисованы с учетом смещения на указанный интервал времени. Операция сдвига времени может быть отменена в любое время выбором опции Отменить сдвиг.

Графический сдвиг времени. Существует также графический способ осуществления временного сдвига. Точно так же, необходимо выбрать нужные перья в таблице Подробности. Для осуществления графического сдвига времени, нажмите клавишу CTRL и перемещайте указатель мыши по области построения графика, удерживая левую клавишу мыши. При этом появится курсор сдвига времени, и трасса пера (перьев) будет перемещаться назад или вперед по оси времени, в зависимости от направления перемещения указателя.

Рисунок 17- Установка сдвига времени для перьев

Дополнительные свойства пера

Фильтрация выборки данных:

Атрибут Фильтр может быть использован при воспроизведении данных из архива для просмотра метода фильтрации или усреднения, используемого при получении данных.

Выпадающий список (Фильтр) доступен только при настройке параметров исторических перьев и позволяет задать тип фильтра для выборки данных из базы архива. Период архивации данных, как правило, отличается от минимального разрешения, с которым отсчеты отображаются на графике. Минимальное разрешение определяется полем (Период сбора данных) на странице (Интервалы) диалоговой панели свойств элемента просмотра графиков. Общий объем каждой выборки из базы данных определяется интервалом в области построения. При построении графика интервал в области построения делится на участки, соответствующие периоду сбора данных (разрешению). Данные, находящиеся в базе архива, которые располагаются по времени внутри каждого участка, подвергаются фильтрации в соответствии с выбранным типом фильтра. На рисунках18…21 - приведены примеры использование различных типов фильтра для одной выборки из базы архива. При этом интервал в области построения составляет 2 минуты, а период сбора данных (разрешение графика) - 10 секунд. Архивация данных в базу велась с периодом 30 секунд, причем данные от ОРС-сервера принимались 1 раз в секунду. Таким образом, на один отсчет на графике приходилось 10 отсчетов сигнала в базе данных. Поддерживаются следующие типы фильтров

Рисунок 18- использование фильтра минимальное время

Рисунок 19 - использование фильтра максимальное время

Рисунок 20- использование фильтра среднее значение на периоде сбора данных

Рисунок 21- использование фильтра среднеквадратическое отклонение вычисленное на периоде сбора данных

Использование идеальных перьев:

Любое перо, связанное с тегом базы данных архива, может быть использовано в качестве идеального. Идеальным называется историческое перо, которое отображает данные архивируемого тега, начиная с фиксированных даты в пределах текущих суток. Пример использование идеального пера приведен на рисунке 22. В указанном случае отображается значения одного и того же параметра, получаемые от сервера OPC в текущее время (17.06.2010) и из базы данных архива, начиная с(0:47:27 19.06.2010). Таким образом , идеальные перья являются мощным средство сравнительного анализа исторических и текущих данных.

Рисунок 22- Пример использование идеального пера

Настройка параметров идеального пера выполняется на странице (Идеальное перо)диалоговой панели свойств перьев, связанных с данными архива. Внешний вид страницы свойств показана на рисунке 23.

Рисунок23 - настройка параметров идеального пера

Особенности примечания:

Имеется ряд путей оптимизации производительности сервера фоновой буферизации данных и потребления системных ресурсов. Создание групп и тегов в сервере фоновой буферизации, которые получают данные от одного OPC сервера снижает потребления системных ресурсов. Кроме того, желательно избегать включения одних и тех же OPC - тегов в несколько различных групп сервера.

Рассмотренный пакт программ для анализа TrendWorX32 является мощным набором инструментов для построения графиков изменения параметров в реальном времени, архивирования их значений, последующего отображения и анализа.

Базируясь на спецификации OPC Historical Data Access для создания серверов и клиентов исторических данных, TrendWorX32 предусматривает открытое решение для приложений, требующих высокой производительности, масштабируемости и распределенности. Ядром TrendWorX32 является служба архивирования данных, базирующаяся на Microsoft ADO OLEDB. С помощью OPCHDA предоставляются стандартные COM и OLE интерфейсы для элемента управления ICONICS Trend ActiveXViewer Control, позволяющего одновременно отображать как текущие, так и исторические данные.

Поддерживаются многие виды отображения графиков, такие, как зависимость от времени, XY-зависимости, логарифмические графики, гистограммы, самописец, и круговые диаграммы. Возможность собирать данные с множество точек ввода-вывода и организовывать их в группы для наиболее быстрого и эффективного воспроизведения истории процесса и информации реального времени. Использование встроенные средства Visual Basic for Applications для создания отчетов, вычислений и анализа данных.

Такой набор данных и параметров в пакте программ для анализа TrendWorX32 вполне удовлетворяет как для автоматизированной информационной системы поддержки наладочных работ электропривода.

5 Типовые задачи

 

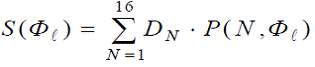
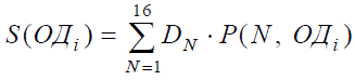
5.1 Многовариантное типирование интеллекта с профориентацией


Дано:

1        конкретная личность студент группы ИПу - 07 Григоренко А.А.

2        Многовариантное типирование личности включающее вопросники:

3        А) вопросники по Крегеру, Седых и Филатовой.

4        Б) Дихотомические тесты Филатовой.

5        Формулы для расчета долевых результирующих показателей базисных типов интеллекта.

6        Формулы для расчета индивидуальных спектров.

7        Базисно профессиональный классификатор.

8        Требуется:

9        Определить свой тип личности по многовариантной методике.

10      Определить и построить с учетом ранжирования типологический базисный спектр.

11      Провести анализ.

12      Построить индивидуальные спектры объекты деятельности, функциональные компоненты деятельности, обеспечивающие компоненты деятельности.

5.2 Методика многовариантного типирования интеллекта

Многовариантное типирование интеллекта нацелено на построение многовариантной типологической модели характерных свойств интеллекта конкретной личности и осуществляется согласно следующим методическим положениям. Под личностью понимается человек как носитель определенных свойств, способностей. Человеческое разнообразие является огромным, нестационарным, разносторонним и потому всякая систематизация его неизбежно приводит к весьма условным модельным построениям. Каждый многовариантный тип личности характеризуется гибким объединением многих вариантов модельно-личностных типов с их разнообразным взаимосовмещением и взаимодействием.

Первой паре классификационных признаков-предпочтений соответствуют экстравертный (Эв, обращенный вовне) и интровертный (Ив, обращенный внутрь себя) варианты ориентации, предпочтительного применения интеллектуальных способностей получения и обработки информации с принятием решений, так сказать, во внешнем мире или же в своём внутреннем мире. Второй паре соответствуют сенсорный (С) и интуитивный (И) варианты получения, сбора информации человеком. Третьей паре соответствуют мыслительный (М) и чувствующий (Ч) варианты обработки информации и принятия решений человеком в ходе интеллектуальной деятельности. Четвёртой паре соответствуют решающий (Р) и воспринимающий (В) варианты общения, взаимодействия человека с окружающим миром и отношения к нему. Детальным разъяснениям сущности каждой из четырёх пар признаков предпочтений в отдельности и в связи друг с другом. Краткие наименования личностных знаков являются весьма условными и потому их надо соотносить другими словесными обозначениями, включая следующую терминологию соматики (экстраверты) - релатики (интроверты); конкретики (ощущающие, сенсорики) - абстрактики (интуитики); объективики (мыслители, логики) - субъективики (эмоциональные, этики); планомерики (рациональные, решительные) -спонтаники (иррациональные). Разумеется, основную информацию для ти типирования несут не кодовые термины, а многовариантные определения, примеры, обсуждения реального опыта, образные выражения, например, такие: "Конкретика видится, ощущается, абстрактика понимается, выражается. Конкретиком мы будем называть человека с практическим складом мышления. Абстрактном называют человека с теоретическим, концептуальным складом мышления.

Предпринимаются попытки "дробления" данного модельного пространства посредством введения ряда подтипов, учёта дополнительных признаков личностей. Не отрицая полезности таких приемов наращивания модельного разнообразия применительно к огромному реальному разнообразию людей, считаем более естественным и основательным вариантнический подход , когда необходимое модельное разнообразие достигается путём гибких многовариантных формирований в эвристически ясном базисе относительно простых вариантов модельно-личностных типов. Здесь уместно отметить аналогии с классическим аппаратом спектрального анализа.

При наполнении информацией своего рода базисно-профессиональпого классификатора частично использованы труды по соционике и человеческому типоведению с их некоторой переориентацией и дополнением в аспекте компонентного функционально-обеспечивающего структурирования деятельности. Приведённые ниже эвристические характеристики базисных типов интеллекта соответствуют в основном книге Екатерины Филатовой . Примечательно, что уже по этим характеристикам возможно проводить многовариантное типирование интеллекта конкретных личностей. Описанные ранее группы профессий по О. Крегеру и по Р.К. Седых, как и в целом названные труды, остаются важным источником "типирующих" и профориентационных сведений. Вместе с тем, развиваемый подход по своей сути отличается от узкопрофессиональных классификаций, делая упор на достаточно универсальные компоненты деятельности в широком смысле, что надо постоянно иметь в виду при сочетании прежних разработок с излагаемыми здесь представлениями в форме 16-звснного классификатора. На основе четырёх пар характеристических признаков

Интровертный (Ив)      или Экстравертный (Эв)

Сенсорный (С)    или Интуитивный (И)

Мыслительный (М)       или Чувствующий (Ч)

Решающий (Р)     или Воспринимающий (В)

Получается 16 символически обозначенных вариантов личностных типов: ИвСМР, ИвСЧР, ИвИЧР, ИвИМР, ИвСМВ, ИвСЧВ, ИвИЧВ, ИвИМВ, ЭвСМВ, ЭвСЧВ, ЭвИЧВ, ЭвИМВ, ЭвСМР, ЭвСЧР, ЭвИЧР, ЭвИМР. Именно этими вариантами заполнено четырёхмерное пространство бинарных признаков-предпочтений.

Решение задачи

Берем вопросники Крегер, Седых и Филатовой. И по этим вопросам определяем тип личности. В результате прорешанных вопросников получились результаты, представленные в следующей таблице 7.1

Таблица 1 - Результаты вопросников

Экстраверт

Интроверт

0,3

0,7

Чувствительный

Мыслительный

0,3

0,7

Сенсорик

Интуит

0,6

0,4

Воспринимающий

Решающий

0,8

0,2


Затем по дихотомическим тестам определяем тип личности в таблице 2.

Таблица 2 - Таблица ответов на дихотомические тесты

I

II

III

IV

V

VI

VII

VIII

IX

X

Результат

1

1

1

1

1

9

1

9

9

9

9

50

2

1

1

1

1

1

1

1

1

1

1

10

3

9

9

9

9

9

1

5

9

9

9

78

4

1

1

1

9

1

1

1

9

1

1

26


По проведенным дихотомическим тестам были получены результаты, которых представлены в таблице 3.

Таблица 3 - Результаты типологического типирования

Характеристические данные

Значение

D(Эв)

0,10

D(Ив)

0,90

D(С)

0,26

D(И)

0,74

D(Ч)

0,22

D(М)

0,78

D(Р)

0,50

D(В)

0,50


После расчета дихотомических тестов, полученные результаты усредняем в таблице 4.

Таблица 4 - Усредненные данные

Тип

D

Тип

D

В

0,60

Р

0,40

Эв

0,20

Ив

0,80

М

0,79

Ч

0,21

С

0,43

И

0,57


Долевые результирующие показатели для базисных типов интеллекта.

Таблица 5- сортировка по возрастанию

1

0,22

ИвИМР

2

0,17

ИвСМР

3

0,14

ИвИМВ

4

0,11

ИвСМВ

5

0,06

ИвИЧР

6

0,05

ЭвИМР

7

0,04

ИвСЧР

8

0,04

ИвИЧВ

9

0,04

ЭвСМР

10

0,04

ЭвСЧР

11

0,04

ЭвИМВ

12

0,03

ИвСЧВ

13

0,03

ЭвСМВ

14

0,01

ЭвИЧР

15

0,01

ЭвСЧВ

16

0,01

ЭвИЧВ


Отображено неравномерное "соучастие" вариантов в составе многовариантных типов личностей необходимы, разумеется, специальные разработки классов Многовариантные типы личностей и в общем многовариантной типологии Человека с опорой на шестнадцать вариантов интеллектуальных модельно-личностных типов в рамках психоинформационных дисциплин соционики и типоведения.

На рисунке 24 приведены результаты расчета базисных типов личности проранжированных по убыванию

Рисунок - 24 Графическое построения из шестнадцати типов личности проранжированный по убыванию

Представление многовариантного типа личности в базисе шестнадцати типов оценивая качественно справедливый для конкретной личности нормированный (с условным началом в единице) долевой показатель соответствия ей каждого базисного модельно-личностного типа с индивидуальным присвоением ему номера личности в пределах от 1 до 16.

Базисные типы интеллекта с их характеристиками для эффективной деятельности.

Выводы

Базисный тип интеллекта Таким образом, личность Григоренко А. А. характеризуется базисными типами ИвИМВ, ИвИМР и ИвСМР.

1 Базисный тип интеллекта ИвИМВ

Осмыслитель жизни, Критик, любящий решать проблемы. Он не терпит поспешности. Работоспособность ИвИМВ исключительно избирательна. Слабо ориентируется в области эмоций, предпочитает скрытность, но порой его просто захлёстывает волна эмоций, лишая власти над самим собой. Сознание ИвИМВ воспринимает мир целостно и системно, а все процессы - в динамике, с ним мало кто может сравниться в стратегических прогнозах. Такие его способности находят себе применение везде, где требуется именно стратегический прогноз, включая и политику, и сферу финансов, и военное дело. Может успешно реализовать себя также и в научной работе (естественные и технические науки, философия, искусство) и в дальновидном руководстве крупными подразделениями.

Предпочтительные для ИвИМВ обобщённые объекты деятельности: Человеко-технические; Формализованные модельно-знаковые; Природные .

Предпочтительные для ИвИМВ функциональные компоненты деятельности: Прогнозирование; Исследование; Управление ... .

Предпочтительные для ИвИМВ обеспечивающие компоненты деятельности: Концептуальные; Информационные; Алгоритмические ... .

Предпочтительные специальности:

По Крегеру: писатели, художники, конферансье, программисты, учёные (общественные науки), адвокаты.

По Седых: естественные, исторические и философские науки, инженерия, планирование.

2 Базисный тип интеллекта ИвИМР

Вольный мыслитель жизни, Аналитик, стремящийся к познанию общих закономерностей, опираясь на факты. Обладает необходимыми свойствами для исследовательской работы. Способность разобраться в запутанных и сложных вопросах, увидеть проблему в целом и чётко изложить понятое делает ИвИМР хорошим преподавателем и методистом. Работа для ИвИМР очень часто является главным делом жизни. Интуитивное проникновение в сущность мироздания постоянно ведет его вперёд. Для него характерна заниженная самооценка. Любит во всем точность и порядок, бывает скрупулёзным и дотошным. Ему нравится систематизировать, планировать все заранее. С людьми общается обычно на далекой психологической дистанции, чаще всего проявляет осторожность и сдержанность.

Предпочтительные для ИвИМР обобщённые объекты деятельности: Натурно-модельные; Человеко-технические; Формализованные модельно-знаковые... .

Предпочтительные для ИвИМР функциональные компоненты деятельности: Исследование; Обучение; Развитие ... .

Предпочтительные для ИвИМР обеспечивающие компоненты деятельности: Концептуальные; Методические; Алгоритмические; Образовательные.

Предпочтительные специальности:

По Крегеру: адвокаты, учёные (естественные науки), специалисты по компьютерным системам, инженеры-химики, преподаватели университетов.

По Седых: точные науки, техника, инженерия, конструирование, преподавание естественных наук, аналитическая психология.

3 Базисный тип интеллекта ИвСМР

Дисциплинированный организатор жизни, Систематик, нацеленный делать то, что может быть реально сделано. ИвСМР незаменим везде, где требуется чёткое, неукоснительное соблюдение правил, инструкций, нормативов. Он всегда конкретен. Любое дело он продумывает глубоко и основательно, старается разобраться в сути. Сила воли, целеустремлённость, порядок и дисциплина - вот основной стиль деятельности ИвСМР. Он стремится занять в служебной иерархии как можно более высокое место, доминировать в коллективе. В области потенциальных возможностей и перспектив развития кого-либо или чего-либо чувствует себя неуверенно. Может стать отличным математиком, программистом, диспетчером, делопроизводителем, администратором, издателем, военным.

Предпочтительные для ИвСМР обобщённые объекты деятельности: Формализованные модельно-знаковые; Технические; Коллективно-человеческие.

Предпочтительные для ИвСМР функциональные компоненты деятельности: Исполнение; Контроль; Управление.

Предпочтительные для ИвСМР обеспечивающие компоненты деятельности: Организационные; Правовые; Программные.

Предпочтительные специальности:

По Крегеру: администраторы и менеджеры (школы, промышленность, медицина), дантисты, полицейские и следователи, ревизоры и фининспекторы, военные.

По Седых: материальное производство, юриспруденция, армия, правоохрана, банковское дело, дизайн, экономические специальности.

Индивидуальные спектры S(ОДi ), S(Ф ), S(Om )

По информации о типологическом спектре интеллекта конкретной личности и о предпочтительных для базисных типов интеллекта объектах деятельности и функционально-обеспечивающих компонентах деятельности строится тройка профориентирующих индивидуальных спектров, а именно:

1) Индивидуальный спектр приемлемости для конкретной личности различных обобщённых объектов деятельности (ЛОД-спектр);

2) Индивидуальный спектр приемлемости для конкретной личности различных функциональных компонентов деятельности (ЛФК-спектр);

3) Индивидуальный спектр приемлемости для конкретной личности различных обеспечивающих компонентов деятельности (ЛОК-спектр).

Обобщенные объекты деятельности

При построении индивидуального спектра используется следующая формула:


1        индивидуально-человеческие

2        коллективно-человеческие

3        природные

4        технические

5        человеко-технические

6        содержательные модельно-образные

7        формализованные модельно-знаковые

8        натурно-модельные объекты деятельности.

S (ОД1)=0,19

S (ОД2)=0,33

S (ОД3)=0,41

S (ОД4)=0,34

S (ОД5)=0,67

S (ОД6)=0,21

S (ОД7)=0,58

S (ОД8)=0,34

Функциональные компоненты деятельности

При построении индивидуального спектра используется следующая формула:

1) контроль

2) исследование

3) прогнозирование

4) исполнение

5) управление

6) создание

7) обслуживание

8) эксплуатация

9) обучение

10) развитие

S (Ф1)=0,43

S (Ф2)=0,15

S (Ф3)=0,26

S (Ф4)=0,34

S (Ф5)=0,32

S (Ф6)=0,45

S (Ф7)=0,46

S (Ф8)=0,16

S (Ф9)=0,15

S (Ф10)=0,31

Обеспечивающие компоненты деятельности

При построении индивидуального спектра используется следующая формула:


1) концептуальное

2) образовательно-кадровое

3) организационное

4) правовое

5) финансовое

6) социопсихологическое

7) лингвистическое

8) информационное

9) методическое

10) алгоритмическое

11) программное

12) техническое

S (О1)=0,46

S (О2)=0,34

S (О3)=0,24

S (О4)=0,21

S (О5)=0,14

S (О6)=0,21

S (О7)=0,04

S (О8)=0,39

S (О9)=0,31

S (О10)=0,39

S (О11)=0,31

S (О12)=0,23

На рисунке 25 представлены индивидуальные спектры S(ОДi ), S(Ф ), S(Om ).

Из приведённых индивидуальных спектров вытекает, что соответствующей личности в ходе непрерывного обучения и продуктивной работы имеет смысл делать упор на конкретизации своих целей, задач, действий применительно к обобщённым объектам: коллективно-человеческие, человеко-технические, натурно-модельные объекты деятельности. В группе функций: исследование, управление. В группе видов обеспечения: концептуальное, информационное.

 

Рисунок 25 - Индивидуальные спектры приемлемости для конкретной личности

Методы многокритериального выбора вариантов

Так как для решения данной задачи требуется внедрения нового программного контроллера представляется возможность использовать конфигурации аппаратных средств модуль программного контроллера серии PIC 16 передающего сигнала. Для ввода аналоговых сигналов через адресную шину (TRIS) от силового модуля состоящих из биполярных транзисторов с изолированной базой (IGBT) после чего следует передача сигнала через USB порт, которая связана с компьютером по интерфейсу пользователя реализован на базе TrendWorX32- ICONICS GENESIS. По этому первоначальное предназначение только для построения человеко-машинного интерфейса верхнего уровня.

Требуется : произвести многокритериальный выбор программируемого контроллера.

Таблица 6 - Исходные данные

Наименование

Тактовая частота MGz

Флеш память KBit

Диапазон входов

Ток питания мА

Цена $



Q1

Q2

Q3

Q4

Q5

1

PIC 16F873

10

4

3

2

60

2

PIC 16F874

15

4

3

4

3

PIC 16F875

20

8

3

0,5

120

4

PIC 16F876

20

8

5

15

95

5

PIC 16F877-201/P

20

4

3

5

65

6

PIC 16F877-201/L

20

4

5

10

72

7

PIC16C67-20/L

20

8

5

15

75


Таблица 1- исходные данные программируемых контроллеров четырех видов.

Проанализировав критерии, можно сделать вывод, что свести к минимуму требуется 2 критерия: "потребления тока", как потребитель электрической энергии, и "стоимость", как затраты на приобретение. Остальные критерии требуют максимизации. Поэтому, Q4 и Q5 следует нормировать по формуле:


а остальные Q1 ,Q2 ,Q3 по формуле:

 .

В таблицу 2 запишем нормированный критерий К- который распределяется по формулам постановленной задачи на основании показателя Q- из таблицы 1 в таблицу 2

Ранжирование критериев

Расставим критерии в следующий ряд по приоритетам.

К1(Q1) - быстродействие (тактовая частота)

К2(Q5) - стоимость

К3(Q2)- память

К4(Q4) - ток питания

К5(Q3) - входной диапазон (количество входных портов)

В таблице 2 приведены нормированные и ранжированные критерии. Коэффициенты важности для них определены по оценкам экспертов и также внесены в таблицу, при этом

Таблица 7- ранжирование критерия.

№ контроллера

К1(Q1)

К2(Q5)

К3(Q2)

К4(Q4)

К5(Q3)

КСв

1

0

1

0

0,89

0

0,33

2

0,5

0,8

0

0,75

0

0,51

3

1

0

1

1

1

0,7

4

1

0,42

1

0

1

0,8

5

1

0,9

0

0,69

0

0,79

6

1

0,8

0

0,33

1

0,76

7

1

0,75

1

0

1

0,89

α

0,5

0,3

0,15

0,03

0,02


Метод общего свёртывания критериев

По результатам расчётов наилучшим оказался PIC16C67-20/L № 7, КСВ=0,9.

Метод постепенно наращиваемой свёртки

1 этап. Заключается в том, что в результате анализа первого наиболее значимого критерия отбраковываем те варианты программируемого контроллера серии (PIC) для которых критерий оказался самым малым - это PIC 16F873 №1и PIC 16F874№2.

2. этап.

В результате отбраковываем один вариант PIC 16F875 №3и PIC 16F876№4 с наименьшими значениями .

3. этап.

Отбраковываем вариант PIC 16F877-201/L № 6        

4. этап.

Остается наилучший вариант PIC16C67-20/L № 7.

Метод поэтапного учёта критериев

1 этап. По первому критерию отбраковывается вариант PIC 16F873 №1и PIC 16F874№2.

2 этап. По второму критерию - вариант PIC 16F875 №3и PIC 16F876№4.

3 этап. По третьему критерию - вариант PIC 16F877-201/L № 6 .

4 этап. Отбраковывается PIC 16F877-201/P № 5.

Остается наилучший вариант PIC16C67-20/L № 7.

Метод с использованием соотношения "цена-баллы"

Здесь исключаем цену из разряда самостоятельных критериев и таблица 10 принимает следующий вид, не меняя ранга остальных критериев:

Таблица 8 - Исключение цены из критериев

K1 (Q1)

K2 (Q2)

K3 (Q4)

K4 (Q3)

SОТН

КСВ

Z

1

0

1

0

0,89

0,5

0,33

1,52

2

0,5

0,8

0

0,75

0,6

0,51

1,18

3

1

0

1

1

0,1

0,7

0,14

4

1

0,42

1

0

0,8

0,8

1,00

5

1

0,9

0

0,69

0.54

0,79

0,68

6

1

0,8

0

0,33

0,6

0,76

0,79

7

1

0,75

1

0

0,63

0,89

0,71

α

0,50

0,30

0,15

0,05





За «баллы» целесообразно принять значение свёрнутого критерия по оставшимся критериям.

Коэффициенты α поменяют свои значения, но ранжировка критериев сохранится.


Наилучший вариант SPSS № 2, где соотношение Z наименьшее.

Усовершенствованная методика свёртки

Исходные данные те же таблица 8.

В качестве примера выберем b =0,5.

,

КСВ - свёрнутый критерий методом общей свёртки, взят из таблицы .

Определить значения g(N) можно, построив графики распределения вариантов SPSS по критериям и подсчитав количество спадов критериальных функций для каждого варианта, а можно по таблице, аналогично подсчитав, сколько раз уменьшаются значения смежных (рядом стоящих) критериев для каждого варианта, начиная с наиболее важного.

Расчётные данные приведены в таблице 9.

Таблица 9 - Расчётные данные по усовершенствованной методике свёртки

К1

К2

К3

К4

К5

g(N)

КСВТ

1

0

1

0

0,89

0

2

0,53

2

0,5

0,8

0

0,75

0

2

0,71

3

1

0

1

1

1

2

0,9

4

1

0,42

1

0

1

2

1

5

1

0,9

0

0,69

0

2

0,99

6

1

0,8

0

0,33

1

2

0,96

7

1

0,75

1

0

1

2

1,09

a

0,50

0,30

0,15

0,03

0,02




Наилучшим остался вариант PIC16C67-20/L № 7.

Вывод: согласно результатам произведённого выбора из семи типов представленных лазерных принтеров, лучшим по всем процедурам является контроллер - PIC16C67-20/L № 7. Таким образом, получился согласованный выбор по всем методикам, что подтверждает целесообразность одновременного использования многих методов, плодотворность и надёжность предложенных методик МкВВ: усовершенствованной методики общей свёртки.

Заключение

В научно исследовательской работе принята последовательность решении проблемы связанной с переходными процессами электрических машин с позиций электромеханического преобразования энергии. Это дало возможность наиболее подробно изучения электромагнитных процессов не только на обычные, но и на любые другие принципиально возможные исполнения электрических машин и систем управления электроприводами.

В разделе характеристика объекта описаны основы и назначения применения электропривода в промышленных областях.

В характеристике проблем подробно раскрыт принцип воздействий статических и динамических характеристик электроприводов основным значением изменений момента нагрузки и.т.п. Притом эти возмущения приводящие к отклонению выходной координаты от предписанного ей значения, определяются параметры преобразователя, двигателя и механизма.

В выборе системы прототипа рассмотрен прикладной пакет программ MATLAB и Simulink фирмы Math Work, может быть полезен для следующих категорий пользователей: инженерам-проектировщикам электромеханических систем и желающим повысить уровень компьютерной грамотности. Как выяснилось эти прикладные пакеты невозможно использовать в совокупности аналитического и измерительного инструмента для наладки электропривода.

В постановке задачи рассмотрен процесс проектирования автоматизированной системы информационной поддержки наладочных работ электропривода, принцип определения последовательности анализа объекта при проектировании. Качество принятого решения от информированности об объекте управления и временного ресурса. С указанием на основные режимы работы, которые оказывают существенное влияние на формирования требований к их надежности. А также раскрыты основные фазы преобразования информации и основные ограничения при наладочных работах, которые определяются по этапам. Ограничения, критерий, базы данных, классификатор характеристик и наиболее подходящего пакта программ для анализа.

В методах многокритериального выбора вариантов. Важной задачей является внедрения и выбора программируемого контроллера который необходим для ввода сигнала через адресную шину для преобразования верхнего уровня человеко-машинного интерфейса в виде первоначальных осциллограмм.

В многовариантном типировании интеллекта с гибкой профориентацией и адаптацией обучения, приведены характеристики базисных типов интеллекта и выделенные для них объектно-функционально-обеспечивающие компоненты деятельности профориентирующих индивидуальных спектров, а именно индивидуальный спектр приемлемости для конкретной личности различных обобщённых объектов деятельности.

Список используемых источников

1)   В.П. Андреев, Ю.А Сабинин Основы электропривода Государственное энергетическое издательство Москва, Ленинград 1963г.

2)      М. Г. Чиликин. Общий курс электропривода Москва Энергия 1971г.

6-7стр.

3)   А.В. Башарин, В.А. Новиков, Г.Г.Соколовский. Управления электроприводами Ленинград Энергоиздат 1982г.

4)      В.Ю. Островлянчик. Автоматический электропривод постоянного тока горно - металлургического производства. Второе стереотипное Новокузнецк 2004г.

5)      С.Г.Герман - Галкин Matlab & Simulink проектирование мехатронных систем на ПК. Санкт - Петербург Корона - Век 2008г.

6)      К. Маркс Капитал Госполитиздат, 1951г. 378-379 стр.

7)      Карпова Т.С. Базы Данных издательство Питер 2002г.

8)   Электронный ресурс: Портал научно-технической информации ЭБ Нефть и Газ Боричев И.Е. Справочник по электроустановкам промышленных предприятий [http://electro.nglib.ru/book_view.jsp?idn=025026]; (дата обращения: 23.09.2010).

9)   Авдеев В.П., Многокритериальное типирование интеллекта с гибкой профориентацией и адаптацией обучения: учебное пособие/ В.П. Авдеев, Е.П. Фетинина: СибГИУ. - Новокузнецк, 2000. -73с.

10)     Фетинина Е.П. Типологические аспекты многокритериального выбора вариантов: монография / Е.П. Фетинина, Т.В. Кораблина, Ю.А. Соловьева // СибГИУ.- Новокузнецк, 2003.- 103с.

Похожие работы на - Международная экономическая Интеграция на примере НАФТА

 

Не нашли материал для своей работы?
Поможем написать уникальную работу
Без плагиата!
Без нейросетей!